积分公式大全
- 格式:doc
- 大小:1.86 MB
- 文档页数:15
高等数学积分公式大全高等数学是一门非常重要的学科,在很多领域都有应用。
其中,积分学是高等数学中的一个重要章节。
积分可以理解为求解曲线图形下面的面积,不同类型的积分公式有着不同的概念和应用,下面,就为大家整理了一份高等数学积分公式大全,让大家对这个知识点有一个更全面的认识。
1. 常数积分公式$$\int kdx=kx+C$$2. 幂函数积分公式$$\int x^ndx=\frac{x^{n+1}}{n+1}+C$$3. 指数函数积分公式$$\int e^xdx=e^x+C$$4. 对数函数积分公式$$\int \frac{1}{x}dx=\ln|x|+C$$5. 三角函数积分公式$$\int \sin xdx=-\cos x+C$$$$\int \cos xdx=\sin x+C$$6. 反三角函数积分公式$$\int \frac{1}{\sqrt{1-x^2}}dx=\arcsin x+C$$$$\int \frac{1}{1+x^2}dx=\arctan x+C$$$$\int \frac{1}{\sqrt{x^2-1}}dx=\ln|x+\sqrt{x^2-1}|+C$$7. 换元法积分公式$$\int f(u)du=\int f(u(x))\frac{du}{dx}dx$$8. 分部积分公式$$\int u(x)v'(x)dx=u(x)v(x)-\int v(x)u'(x)dx$$9. 定积分公式$$\int_a^bf(x)dx=F(b)-F(a)$$10. 积分中值定理$$\int_a^bf(x)dx=f(c)(b-a)$$这便是几种高等数学积分公式的介绍,这些公式是数学中不可或缺的知识点,掌握这些公式不仅有助于学生学好数学,还对应用数学的工作有相当多的帮助。
除了这些基本的积分公式之外,高等数学还涉及到一些比较复杂的积分公式,如多重积分、线性代数积分、微积分方程等等。
1. 多重积分公式多重积分是指对多元函数的积分,通常被用于几何问题、概率论问题和物理学问题中。
常见的不定积分公式大全一、基本积分公式。
1. ∫ kdx = kx + C(k为常数)- 例如,∫ 3dx = 3x + C。
2. ∫ x^n dx=frac{x^n + 1}{n+1}+C(n≠ - 1)- 如∫ x^2dx=frac{x^3}{3}+C,∫ x^(1)/(2)dx=(2)/(3)x^(3)/(2)+C。
3. ∫(1)/(x)dx=lnx+C- 注意这里绝对值的作用,当x>0时,∫(1)/(x)dx=ln x + C;当x<0时,∫(1)/(x)dx=ln(-x)+C。
4. ∫ e^x dx = e^x+C- 例如,∫ 2e^x dx = 2e^x + C。
5. ∫ a^x dx=(a^x)/(ln a)+C(a>0,a≠1)- ∫ 2^x dx=(2^x)/(ln 2)+C。
6. ∫sin xdx =-cos x + C- 例如,∫ 3sin xdx=- 3cos x + C。
7. ∫cos xdx=sin x + C- 如∫ 5cos xdx = 5sin x+C。
8. ∫(1)/(cos^2)xdx=tan x + C- 因为(d)/(dx)(tan x)=sec^2x=(1)/(cos^2)x。
9. ∫(1)/(sin^2)xdx =-cot x + C- 由于(d)/(dx)(-cot x)=(1)/(sin^2)x。
二、换元积分法相关公式(凑微分法)1. ∫ f(ax + b)dx=(1)/(a)∫ f(u)du(令u = ax + b)- 例如,∫sin(2x + 1)dx,令u = 2x+1,则du=2dx,所以∫sin(2x +1)dx=(1)/(2)∫sin udu=-(1)/(2)cos u + C=-(1)/(2)cos(2x + 1)+C。
2. ∫ x^n - 1f(x^n)dx=(1)/(n)∫ f(u)du(令u = x^n)- 如∫ x^2sin(x^3)dx,令u = x^3,du = 3x^2dx,则∫ x^2sin(x^3)dx=(1)/(3)∫sin udu=-(1)/(3)cos u + C=-(1)/(3)cos(x^3)+C。
常 用 积 分 公 式(一)含有ax b +的积分(0a ≠) 1.d x ax b +⎰=1ln ax b C a ++2.()d ax b x μ+⎰=11()(1)ax b C a μμ++++(1μ≠-)3.d x x ax b +⎰=21(ln )ax b b ax b C a +-++456.2d ()x x ax b +⎰=21ln a ax b C bx b x+-++ 7.2d ()xx ax b +⎰=21(ln )b ax b C a ax b++++ 8.22d ()x x ax b +⎰=231(2ln )b ax b b ax b C a ax b +-+-++ 9.2d ()x x ax b +⎰=211ln ()ax b C b ax b b x+-++(二)的积分10.x C +11.x ⎰=22(3215ax b C a -12.x x ⎰=22232(15128105a x abx b C a-+13.x⎰=22(23ax b C a -14.2x=22232(34815a x abx b C a -+ 15.(0)(0)C b C b ⎧+>+<16.2a b - 17.x=b ⎰18.x=2a +(三)含有22x a ±的积分 19.22d x x a +⎰=1arctan xC a a+ 20.22d ()n x x a +⎰=2221222123d 2(1)()2(1)()n n x n xn a x a n a x a ---+-+-+⎰21.22d x x a -⎰=1ln 2x aC a x a-++(四)含有2(0)ax b a +>的积分2223.2d x x ax b +⎰=21ln 2ax b C a++24.22d x x ax b+⎰=2d x b x a a ax b -+⎰25.2d ()xx ax b +⎰=221ln 2x C b ax b++ 26.22d ()xx ax b +⎰=21d a x bx b ax b --+⎰27.32d ()x x ax b +⎰=22221ln 22ax b a C b x bx+-+ 28.22d ()x ax b +⎰=221d 2()2x xb ax b b ax b +++⎰(五)含有2ax bx c ++(0)a >的积分29.2d x ax bx c ++⎰=22(4)(4)C b ac C b ac +<+> 30.2d x x ax bx c ++⎰=221d ln 22b x ax bx c a a ax bx c++-++⎰(0)a >的积分 31.=1arshxC a+=ln(x C ++ 32.C +33.xC34.x=C +35.2x 2ln(2a x C ++36.2x ⎰=ln(x C +++37.1lnaC a x +38.C +39.x 2ln(2a x C ++40.x =2243(25ln(88x x a a x C +++41.x ⎰C42.xx ⎰=422(2ln(88x a x a x C +-++43.x a C +44.2d x x ⎰=ln(x C x-+++(0)a >的积分45.=1arch x xC x a+=ln x C ++ 46.C +47.x C48.x =C +49.2x 2ln 2a x C ++50.2x ⎰=ln x C +++51.1arccos aC a x+52.C +53.x 2ln 2a x C ++54.x =2243(25ln 88x x a a x C -++55.x ⎰C56.xx ⎰=422(2ln 88x a x a x C -++57.x x⎰arccos a a C x -+58.2d x x ⎰=ln x C x-+++(0)a >的积分 59.=arcsinxC a+ 60.C +61.x =C +62.x C +63.2x =2arcsin 2a x C a + 64.2x ⎰arcsinxC a-+65.1C a +66.C +67.x 2arcsin 2a x C a+68.x =2243(52arcsin 88x x a x a C a -+69.x ⎰=C70.xx ⎰=422(2arcsin 88x a x x a C a-++71.x a C +72.x =arcsin xC a-+(0)a >的积分73.2ax b C +++74.x22ax b C ++++75.x2ax b C -+++76.=C +77.x 2C +78.x =C +79.x =((x b b a C --+80.x =((x b b a C --81.C()a b <82.x 2()4b a C -()a b < (十一)含有三角函数的积分 83.sin d x x ⎰=cos x C -+84.cos d x x ⎰=sin x C + 85.tan d x x ⎰=ln cos x C -+ 86.cot d x x ⎰=ln sin x C + 87.sec d x x ⎰=ln tan()42xC π++=ln sec tan x x C ++ 88.csc d x x ⎰=ln tan2xC +=ln csc cot x x C -+ 89.2sec d x x ⎰=tan x C + 90.2csc d x x ⎰=cot x C -+ 91.sec tan d x x x ⎰=sec x C + 92.csc cot d x x x ⎰=csc x C -+93.2sin d x x ⎰=1sin 224x x C -+ 94.2cos d x x ⎰=1sin 224x x C ++95.sin d nx x ⎰=1211sin cos sin d n n n x x x x n n----+⎰ 96.cos d nx x ⎰=1211cos sin cos d n n n x x x x n n ---+⎰ 97.d sin n x x ⎰=121cos 2d 1sin 1sin n n x n xn x n x ----⋅+--⎰98.d cos n x x ⎰=121sin 2d 1cos 1cos n n x n xn x n x---⋅+--⎰ 99.cos sin d m nx x x ⎰=11211cos sin cos sin d m n m n m x x x x x m n m n -+--+++⎰ =11211cos sin cos sin d m n m n n x x x x x m n m n+----+++⎰ 100.sin cos d ax bx x ⎰=11cos()cos()2()2()a b x a b x C a b a b -+--++-101.sin sin d ax bx x ⎰=11sin()sin()2()2()a b x a b x C a b a b -++-++-102.cos cos d ax bx x ⎰=11sin()sin()2()2()a b x a b x C a b a b ++-++-103.d sin xa b x +⎰tan xa b C ++22()a b >104.d sin x a b x +⎰C+22()a b <105.d cos x a b x +⎰)2xC +22()a b >106.d cos x a b x +⎰C +22()a b <107.2222d cos sin x a x b x +⎰=1arctan(tan )bx C ab a + 108.2222d cos sin x a x b x -⎰=1tan ln 2tan b x a C ab b x a ++-109.sin d x ax x ⎰=211sin cos ax x ax C a a -+ 110.2sin d x ax x ⎰=223122cos sin cos x ax x ax ax C a a a -+++111.cos d x ax x ⎰=211cos sin ax x ax C a a ++112.2cos d x ax x ⎰=223122sin cos sin x ax x ax ax C a a a+-+(十二)含有反三角函数的积分(其中0a >)113.arcsin d x x a ⎰=arcsin x x C a114.arcsin d x x x a ⎰=22()arcsin 24x a x C a -+115.2arcsin d x x x a ⎰=3221arcsin (239x x x a C a ++116.arccos d x x a ⎰=arccosxx C a-117.arccos d x x x a ⎰=22()arccos 24x a x C a --118.2arccos d x x x a ⎰=3221arccos (239x x x a C a -+119.arctand x x a ⎰=22arctan ln()2x a x a x C a -++ 120.arctan d x x x a ⎰=221()arctan 22x a a x x C a +-+121.2arctan d x x x a ⎰=33222arctan ln()366x x a a x a x C a -+++ (十三)含有指数函数的积分122.d xa x ⎰=1ln xa C a + 123.e d axx ⎰=1e ax C a +124.e d axx x ⎰=21(1)e ax ax C a-+125.e d n axx x ⎰=11e e d n ax n ax n x x x a a--⎰126.d xxa x ⎰=21ln (ln )x x x a a C a a -+ 127.d nxx a x ⎰=11d ln ln n x n xn x a x a x a a --⎰ 128.e sin d axbx x ⎰=221e (sin cos )ax a bx b bx C a b -++ 129.e cos d axbx x ⎰=221e (sin cos )ax b bx a bx C a b+++130.e sin d ax n bx x ⎰=12221e sin (sin cos )ax n bx a bx nb bx a b n--+ 22222(1)e sin d ax n n n b bx x a b n --++⎰131.e cos d ax n bx x ⎰=12221e cos (cos sin )ax n bx a bx nb bx a b n-++ 22222(1)e cos d ax n n n b bx x a b n--++⎰ (十四)含有对数函数的积分132.ln d x x ⎰=ln x x x C -+ 133.d ln x x x ⎰=ln ln x C +134.ln d n x x x ⎰=111(ln )11n x x C n n +-+++ 135.(ln )d n x x ⎰=1(ln )(ln )d n n x x n x x --⎰ 136.(ln )d m n x x x ⎰=111(ln )(ln )d 11m n m n n x x x x x m m +--++⎰(十五)含有双曲函数的积分137.sh d x x ⎰=ch x C +138.ch d x x ⎰=sh x C +139.th d x x ⎰=ln ch x C + 140.2sh d x x ⎰=1sh224x x C -++ 141.2ch d x x ⎰=1sh224x x C ++ (十六)定积分142.cos d nx x π-π⎰=sin d nx x π-π⎰=0 143.cos sin d mx nx x π-π⎰=0144.cos cos d mx nx x π-π⎰=0,,m n m n ≠⎧⎨π=⎩145.sin sin d mx nx x π-π⎰=0,,m n m n ≠⎧⎨π=⎩ 146.0sin sin d mx nx x π⎰=0cos cos d mx nx x π⎰=0,,2m n m n ≠⎧⎪⎨π=⎪⎩ 147. n I =20sin d n x x π⎰=20cos d n x x π⎰ n I =21n n I n-- 1342253n n n I n n --=⋅⋅⋅⋅- (n 为大于1的正奇数),1I =1 13312422n n n I n n --π=⋅⋅⋅⋅⋅-(n 为正偶数),0I =2π。
求积分公式大全高等数学在高等数学中,积分是微积分中的重要概念之一,用于求解函数的面积、体积、曲线的长度以及求解微分方程等问题。
常见的积分公式包括原函数的求法、基本积分公式、常用函数的积分公式等。
下面将介绍一些常用的积分公式。
1. 原函数的求法原函数是指对于给定函数f(x),找到一个函数F(x),使得F'(x)=f(x)。
常见的函数对应的原函数公式包括:- 常数函数的原函数:∫kdx = kx + C,其中k是常数,C是常数项。
- 幂函数的原函数:∫x^ndx = 1/(n+1)x^(n+1) + C,其中n不等于-1。
- 正弦函数的原函数:∫sinxdx = -cosx + C。
- 余弦函数的原函数:∫cosxdx = sinx + C。
- 指数函数的原函数:∫e^xdx = e^x + C。
2. 基本积分公式基本积分公式是指对于一些常见函数的积分形式,可以直接根据公式进行求解。
常见的基本积分公式包括:- 幂函数积分公式:∫x^n dx = 1/(n+1)x^(n+1) + C,其中n不等于-1。
- 三角函数积分公式:- ∫sinxdx = -cosx + C。
- ∫cosxdx = sinx + C。
- ∫sec^2xdx = tanx + C。
- ∫csc^2xdx = -cotx + C。
- 指数函数积分公式:∫e^xdx = e^x + C。
- 对数函数积分公式:∫1/xdx = ln|x| + C。
3. 常用函数的积分公式除了基本积分公式外,还有一些常用函数的积分公式:- 三角函数的复合函数积分公式:- ∫sin(ax)dx = -1/as * cos(ax) + C。
- ∫cos(ax)dx = 1/as * sin(ax) + C。
- ∫sec^2(ax)dx = 1/as * tan(ax) + C。
- ∫csc^2(ax)dx = -1/as * cot(ax) + C。
24个基本积分公式24个基本积分公式是数学中常用的工具,它能帮助我们快速解决复杂的积分问题。
1.一个公式:恒积分公式,它是所有积分公式中最基本也是最重要的公式,它表示对某一函数$f(x)$的某一闭区间$[a,b]$进行积分,其公式如下:$$int_a^bf(x)dx=F(b)-F(a)$$其中$F(x)$是$f(x)$的上原函数。
2.二个公式:幂积分公式,它也是一种常用的公式,它描述了当变量$x$的幂次为$n$时,$f(x)$的积分的公式如下:$$int x^nf(x)dx=frac{x^{n+1}}{n+1}f(x)-frac{n}{n+1}int x^{n-1}f(x)dx$$3.三个公式:复合公式,有时候积分可能会变得更加复杂,它描述了一种复合积分形式,其公式如下:$$int int_Rf(x,y)dydx=iint_Rf(x,y)dxdy$$其中$R$表示一个积分区域,$f(x,y)$表示函数。
4.四个公式:变量替代公式,当我们积分时,有时可能会用到变量替代的方法。
此时对于积分$int f(x)dx$,用变量$t$替代$x$,变量$t$的关于$x$的函数表达式为$t=t(x)$,当$x$的范围从$[a,b]$变为$[t_a,t_b]$时,这时需要用到变量替代公式,其公式如下:$$int_a^bf(x)dx=int_{t_a}^{t_b}f(t(x))t(x)dx$$ 其中$t(x)$表示$t$关于$x$的微分。
5.五个公式:指数积分公式,当我们积分某一函数$f(x)$关于$x$的幂为$n$时,能够用到指数积分公式,其公式如下:$$int x^ne^xdx=x^ne^x-nint x^{n-1}e^xdx$$6.六个公式:对数积分公式,当我们积分某一函数$f(x)$的流函数是一个对数函数的时候,可以用到对数积分公式,它的公式如下: $$int frac{1}{x}dx=ln|x|+C$$其中$C$是常量。
二十四个基本积分公式积分是微积分的基本概念之一,它是对函数曲线下其中一区间的面积进行求解的操作。
在求解积分时,我们可以利用一些基本的积分公式来简化计算。
下面将介绍二十四个常用的基本积分公式。
1. $\int x^ndx = \frac{1}{n+1}x^{n+1} + C$ (其中$n\neq -1$)这是幂函数的积分公式,对幂函数进行求积分时,指数加一后再乘以系数并且指数要除以新系数。
2. $\int \frac{1}{x}dx = \ln,x, + C$这是倒数函数的积分公式,对倒数函数求积分时,结果是该函数的自然对数的绝对值。
3. $\int e^xdx = e^x + C$这是指数函数的积分公式,对指数函数求积分时,结果是该函数本身。
4. $\int a^xdx = \frac{a^x}{\ln a} + C$ (其中$a>0, a\neq 1$)这是以底数为常数的指数函数的积分公式,对这种函数进行求积分时,结果是该函数除以对数的底数再加上常数。
5. $\int \sin xdx = -\cos x + C$这是正弦函数的积分公式,对正弦函数求积分时,结果是该函数的负余弦。
6. $\int \cos xdx = \sin x + C$弦。
7. $\int \tan xdx = -\ln,\cos x, + C$这是正切函数的积分公式,对正切函数求积分时,结果是该函数的负对数的余弦的绝对值。
8. $\int \sec xdx = \ln,\sec x + \tan x, + C$这是正割函数的积分公式,对正割函数求积分时,结果是该函数的对数的正割加正切的绝对值。
9. $\int \cot xdx = \ln,\sin x, + C$这是余切函数的积分公式,对余切函数求积分时,结果是该函数的对数的正弦的绝对值。
10. $\int \csc xdx = \ln,\csc x - \cot x, + C$这是余割函数的积分公式,对余割函数求积分时,结果是该函数的对数的余割减余切的绝对值。
常见积分公式事实上,所有的不定积分都可以当作积分公式来看,当然我们通常都只关注比较简单的那些,太复杂的也记不住啊。
常用的积分公式,指的是六大基本函数相关的一些不定积分。
首先是常量函数的积分公式。
包括:(1)∫0dx=C; (2)∫1dx=x+C; (3)∫adx=ax+C. a是任意常数。
虽然被积函数都是常量,但0的原函数是任意常数,而非0的常数的原函数却是一次函数.然后是幂函数:(3)∫x^adx=x^(a+1)/(a+1)+C (a≠-1,x>0).你可以对右边求导,就可以得到被积函数。
求导和不定积分可以看作是一个互逆的过程。
x大于0是为了防止偶数次号内有负数,或者分母是0,造成被积函数没有意义。
而a=-1时,却是另外一类不定积分,是原函数为对数函九有关的不定积分。
(4)∫1/xdx=ln|x|+C (x≠0); (5)∫1/(xlna)dx=log_a |x|+C(a>0, a≠1; x≠0);需要注意的是,当x>0时,不需要加绝对值符号。
否则就要加绝对值符号,这一点是很多人容易忽略的。
还有指数函数的不定积分公式:(6)∫e^xdx=e^x+C; (7)∫a^xdx=a^x/lna+C (a>0, a≠1).与三角函数有关的不定积分公式特别多,这里只分享比较简单的一些。
注意,不论是与三角函数有关的不定积分,还是与反三角函数有关的积分,它们一般都是成对出现的,而且两个积分之间总有某种交错对称的关系,注意观察,结合起来才容易记忆。
与三角函数有关的常用积分公式:(1)∫cosaxdx=1/a*sinax+C; ∫sinaxdx=-1/a*cosax+C(a≠0);当a=1时,就有∫cosxdx=sinx+C; ∫sinxdx=-cosx+C;其实所有的积分公式中,x都可以替换成中间变量u=ax,结果在原函数前面乘上一个1/a就可以了。
(2)∫(secx)^2dx=tanx+C; ∫(cscx)^2dx=-cotx+C;(3)∫secx·tanxdx=secx+C; ∫cscx·tanxdx=-cscx+C;(4)∫(sinx)^2dx=1/2*(x-sinxcosx)+C;∫(cosx)^2dx=1/2*(x+sinxcosx)+C;(5)∫dx/(1±sinx)=tanx?secx+C; ∫dx/(1±cosx)=-cotx±cscx+C;(6)∫dx/sinxcosx=ln|tanx|+C=ln|csc2x-cot2x|+C;注意,求不定积分的方法有很多,用不同的方法可能会得到不同的形式,所以千万不要一看到形式不同,就认为结果是错误的。
常见积分公式表常见积分公式表在微积分中,积分是一个重要的概念,它可以用来求解曲线下的面积、求解函数的原函数等。
而积分公式则是在求解积分过程中经常使用的一些公式,它们可以帮助我们简化计算,提高效率。
下面是一些常见的积分公式表:1. 基本积分公式:- ∫x^n dx = (1/(n+1)) * x^(n+1) + C,其中n不等于-1- ∫e^x dx = e^x + C- ∫a^x dx = (1/ln(a)) * a^x + C,其中a为常数且不等于1- ∫sin(x) dx = -cos(x) + C- ∫cos(x) dx = sin(x) + C- ∫sec^2(x) dx = tan(x) + C- ∫csc^2(x) dx = -cot(x) + C- ∫sec(x)tan(x) dx = sec(x) + C- ∫csc(x)cot(x) dx = -csc(x) + C2. 特殊函数积分公式:- ∫1/(1+x^2) dx = arctan(x) + C- ∫1/(√(1-x^2)) dx = arcsin(x) + C- ∫1/(√(x^2+1)) dx = ln(x + √(x^2+1)) + C- ∫e^x/(1+e^x) dx = ln(1+e^x) + C- ∫sinh(x) dx = cosh(x) + C- ∫cosh(x) dx = sinh(x) + C3. 三角函数积分公式:- ∫sin^n(x) dx = (-1/(n-1)) * sin^(n-1)(x) * cos(x) + (n-2)/(n-1) *∫sin^(n-2)(x) dx,其中n不等于1- ∫cos^n(x) dx = (1/(n-1)) * cos^(n-1)(x) * sin(x) + (n-2)/(n-1) *∫cos^(n-2)(x) dx,其中n不等于14. 指数函数积分公式:- ∫a^x ln(a) dx = (1/(ln(a))^2) * a^x + C,其中a为常数且不等于15. 分部积分公式:- ∫u dv = uv - ∫v du6. 替换积分公式:- ∫f(g(x)) g'(x) dx = ∫f(u) du,其中u = g(x)这些是常见的积分公式,掌握它们可以在求解积分时事半功倍。
高数积分公式大全高数积分公式大全在高等数学中,积分是一个重要的概念和工具。
积分公式是进行积分运算时的基本工具,掌握这些公式对于解题和推导都至关重要。
下面是一些常见的高数积分公式大全,希望对学习者有所帮助。
一、基本积分公式1. ∫xn dx = (1/n+1) xn+1 + C (n≠-1)2. ∫(1/x) dx = ln|x| + C3. ∫e^x dx = e^x + C4. ∫a^x dx = (1/ln(a)) a^x + C (a>0, a≠1)5. ∫sin(x) dx = -cos(x) + C6) ∫cos(x) dx = sin(x) + C7. ∫sec^2(x) dx = tan(x) + C8. ∫csc^2(x) dx = -cot(x) + C9. ∫sec(x)tan(x) dx = sec(x) + C10. ∫csc(x)cot(x) dx = -csc(x) + C11. ∫sec(x) dx = ln|sec(x) + tan(x)| + C12. ∫csc(x) dx = ln|csc(x) - cot(x)| + C13. ∫tan(x) dx = -ln|cos(x)| + C14. ∫cot(x) dx = ln|sin(x)| + C15. ∫cot^2(x) dx = -cot(x) - x + C二、一些特殊函数的积分公式1. ∫e^ax sin(bx) dx = (1/(a^2 + b^2))e^ax (a sin(bx)- b cos(bx)) + C2. ∫e^ax cos(bx) dx = (1/(a^2 + b^2))e^ax (a cos(bx) + b sin(bx)) + C3. ∫si n^2(x) dx = (1/2)(x - sin(x)cos(x)) + C4. ∫cos^2(x) dx = (1/2)(x + sin(x)cos(x)) + C5. ∫sin^3(x) dx = -(1/3)cos^3(x) + (1/3)cos(x) + C6. ∫cos^3(x) dx = (1/3)sin^3(x) + (1/3)sin(x) + C三、三角替换公式1. ∫√(a^2 - x^2) dx = (1/2)(x√(a^2 - x^2) +a^2arcsin(x/a)) + C2. ∫√(x^2 + a^2) dx = (1/2)(x√(x^2 + a^2) + a^2ln|x + √(x^2 + a^2)|) + C3. ∫√(x^2 - a^2) dx = (1/2)(x√(x^2 - a^2) - a^2ln|x + √(x^2 - a^2)|) + C四、分部积分公式1. ∫u dv = uv - ∫v du,其中u和v是可微的函数。
常用积分公式∫-一X = -A 3 卩(ax +b)2-2b(ax +b) +b 2l n ∣ax + b ∣∣+Cax b a 2(二)含有.ax b 的积分10. 『Jax+bdx = 2 J(aχ +b)3 +C L3a11.x 、.ax bdx = 飞(3ax-2b)∖(ax b)3C15a12. χ2 . ax bdx = 2^(15a 2χ2 - 12abx 8b 2) . (ax b)3C105a13.J —X dχ = -2y(ax -2b)'∕0x +b +C ^aX b 3a5.(一)含有ax 1.■ b 的积分(a = O)1ln aax + b + C 2. (ax b) 'dx =a (「)(ax S'1 C 「*)3.Xax b adx = p(ax + b - bln ax +b) + C 4. 6.dx x 2 (ax b)—b 2lnax b7.X 2dx (ax b)1=—2(ln ax + b + a9.(ax b)^dx=A (ax+b-2bln ax +b a-I ^)C ax b1 x(ax b)2b(ax b) b 2"dx ax b2(三)含有x2-a 2的积分.dx1 X19. -2 --- 2 = — arcta n 一 C ^x 2+a 2 a aF dxX2n — 3 FdX20 =—22、n2,22、n42.,2 2、n_J(X a )2(n - 1)a (X a )2(n - 1)a (X a )X 1 223. 1 —2 -- dx =——ln ax +b +C'ax +b 2ar dx J^a r et a √ab晶+c(bA0)IaX^HbJ ——ln2√-ab÷C (be O)+V-b2(四)含有ax ■ b(a 0)的积分22.14.dx,ax b百(3a2χ-4abx 8b2Z χ b C15.dx X M ax b2、、-bax b :-b(b 0) (b :16.dx x 2 ax bax b a dX bx 2b x. ax b17.dxT dX = 2E b x” ax -b 18..ax bdx.ax b a X 2 x λ ax b21.dx =X -a1 2aIn ra .ax b - . b .aXbb234.24. X 2 dXax b dx 2 ^ ax b25. dx x(ax 2b)丄In2b2Xax 2 b 26. ILdxx 2(ax 2b)1bx27.dx 3x 3(ax 2b) 2b 2"28. 29.30. (A) 31. 32. 33. dx b ax 2b ax 2 bx 2rdx2 2 2 I(ax b) 2b( ax b) 2b ax 2 bdx^2-含有ax 2bx c (a 0)的积分I L dxax 2 bx C-arctan —2J C4ac - b 2 ______ In、b 2- 4ac戶 dx =— ax bx C 2a ∙. 4ac _ b 22ax b - ∖,b 2 -4ac 2ax b . b 2 - 4acdx 2 _2(b ::4ac)C (b 2 4ac)In aχ2 + bx + c . 2 2a ' ax “ + bx + c 含有'.X 2 a 2 (a ■ 0)的积分 dx ■- x 2a 2 dx .(x 2 a 2)3arsh — C 1= In(x . x 2 a 2) C a a ⅛⅛ C^x^a2 dx =x 2 a 2C1dx = - ---- == C.(x 2 a 2)3■ x 2 a 235.36.37.38.39.40.41 .42.43.44.45.46.47.,x2aX r 2 2 a 2 2=dx = . x a ln(x .. X a ) C2 2 22 2、3dX = ----- 2——f ln X ' X^)C(X2 a2)X- adxx i x2 a2 a1 . x2 a2-a=—In C2dxx2', x2a2「rdx = ?|n(x .r> Cj√(x2 a2)3dx = -(2x2■ 5a2). x2 a2■ -3 a4 ln(x8 C[χjχ2 +a2dx =—L32 2、3x2 x2 a2dx = x s 2-2(2 x a)∖ x2 a2ln(X x2^X^dX =J K+aln 迂a—a +C2 22 a2) Ca2) C —-dx —三x2a2In(x ' x2a2) C含有.χ2 -a2 (a 0)的积分dX2 2X -adX=—arch X +C1=In X+ 寸x2_a2+C√X2-a2)32 2dX=χ2_a2CXPdX = - . 212+C-a ). x - a2IX r~2T a Idx = — ■ X -a In2XIX x 2 - a 21=—arccos —aXdx2 22 2.X -a . dx = X含有∙.a 2 -x 2(a 0)的积分X=arcsιn C a2 248.49.50.51 .52.53.54.55.56.57.58.(A)59.60.__________ _______________________ 2 .,口dx =号lnC2 X(X 2 _a 2)3dx = ∙x X (2χ2「5a 2)、χ2 _a 8 I L χjχ2 -a 2dx = I J (X 2 _a 2)3 + C L 3 + 3a 4∣n X 8+ 4—a 2 +Cx 2、F d X = j 2χ2 -血F4 __________-——ln x +P x -a +C 8-2 2 X -a I 2 dx = X'2 2X -a + In x + • χ2 -a 2『 dx.(a 2-X 2)3-+c2 2 2 a a -XX * 2j∣l 2 2XrX -a2.(x^a 2)3dx =Vx 2 -a 2 -aarccos∙aΛ dx—a 2=χ2dx XJ / 2X2 dx = -d a2—x 2 +C-X2X 2 2 a ∙ x—.a -X arcsIn C2 2aIX. X Xdx 1 I -------- =—lna 2 -x 2 a■; 2 2^y a -X +CX ∕aC a Xdx == - arcs InC,(a 2-X 2)3z 2-x 2a61.62. 63.64.65.66.67.68. 69. 70. 71 .72. (九) 73.dx x 2 . a 2 -x 2 __________ ______________________ 2 ∣"J a 2 -x 2dx = X J a 2 _x 2+ — arcsin — +C 2 2 a ! ;(a 2 _x 2)3dx = ;(5a 2 _2x 2) . a 2 _x2 J x √a^7dx =一 3 JU-a 4 arcsin X C8 a__________ ______________________________________ 4 χ2 -a 2-χ2dx = △(2χ2-a 2)、a 2-χ2 - arcsin' C 8 8 a '22 —a —dx =、a 2「x 2 a ln X J2 2a _ ‘aX C _2 2 -2 2' a —x 」 a -xXC 2 dx = arcs In C X X a 含有' -ax 2 bx c (a 0)的积分dx =丄 ∙. ax 2bx c I aIn 2ax+b+2寸a Jax 2 + bx + c +C I . _______ dx = .(a 2 -x 2)31+C.a 2-x 22f , X dx = J Il 2 2.a -XX474. 22ax b - 2ax bx CdX = --------- ax bx C4a4ac- b 1」8苛l2ιx b 2a ax bx C C 75. .ax 2bx Cdx=丄 J aχ2+ bx +c a22 x b 2 a76. dxIC bx -aχ21 2ax - b 〒arcsin :2 +C a ,b 4ac77. C bx -ax 2dx2ax一b2 bx-aχ2 4ab 2 4ac . 2ax-barcs InC8 a b 2 4ac78. -dx-C bx - axIJ C +bx -aχ2a+ Aarcsin 卓』+C 2 ∖ a 3 ■- b 24ac或、.(x 「a )(b 「x )的积分81. 82.79. 80. 含有*兰(X 一 b)J^b W a)In(J(b - a)arcs in »I-_ +C b-x (x-b)x - a b-xX 「a+』x _b )+c∙,(x -a)(b -x)2arcsin+C (a c b)'∙. (x -a)(b _ x)d2x 「a -b X = ---------■ (x -a)(b-x) + 守arcsin 后+ C(a :: b)(十一)含有三角函数的积分83. Si nxdx = - CoSX CCoSXdX = Sin x CI L tan XdX = —In cosx∣ +C∫cot XdX = ln Sinx +CJT X[secxdx = ln tan(上+—)+C = ln secx +tanx +C 4 2Xfcscxdx = ln tan—+c = ln cscx—cotx +CL22SeC XdX = tan x CCSC XdX = - cot X CSeCX tan XdX = SeCX CCSC X cot XdX = -CSCX CX 1 sin2x C2 42 X 1cos XdX = Sin 2x C2 4I- m ・ n I cosXSin XdX m -1・n十cos XSin X I- m-2 ・ n I cos XSin XdX84.85.86.87.88.89.90.91.92.93.94.95.96.97.98.99. 100.cos n XdX1 n 4 . n-∙1cos XSin xCOS n^XdXn ndx —1cos x n-2dxnSin X n -1n 4Sin X n -1!・ n _2Sin Xdx1Sin X n-2dxncos X n -1+nJ An-2 cos XSin n XdX =-丄Sinn 4xcosx ■ n―-n nm ・ n-2 Icos XSin XdX sin1 2 XdX =Sin n d XdXSin ax COSbXdX =-12(a b)cos(a b)x -12(a -b)cos(a -b)xX ata n b 22arctan C a 「b . a -b上叫I :二;X a b tan 2lb-a1 1 XSin axdx = —2 Sin ax X cosax Ca a「2. .42 +2 +2 +QX Sin axdx = X cosax 2 xsInaX 亍 cosax Ca a a1 1XCOSaXdX = 2cosax XSin ax Ca ax 2 COSaXdX = 1x 2s in ax Wxcosax--^s in ax Ca a a(十二)含有反三角函数的积分(其中 a 0) X X f 22113.arcs in dx = XarCS in a - x Ca a4barctan(- tan x) C ab aSin ax S inbxdx =cosax COSbXdX =12( a b) 1 2(a b)sin(a b)xsin(a b)x12(a -b) 12(a -b) Sin(a -b)x Sin(a 「b)X C 101. 102.103.104.105.106.107.10 8. 109. 110. 111. 112. f_______ dx _______ a 2 cos 2X b 2sin 2 X abfdx .^^2 2 Γ^2 ~- 2-a cos x -b Sin X丄ln 2ab bta n x abtan x -a dx(a 2 b 2)a bsin X(a 2 ::(a 2 b 2)dx lna ba bcosx2 2, .X X a 、 . XX 口 -------- 2 C 114.XarCSIn dx = ( )arcsιn a -X Ca 2 4 a 4 3 d__________X ∙ X 1 2 2 ~2 2=—arcsIn (X 2a )、a -X C3 a 9x 2arccos 二dx = arccos x -l(x 2 2a 2) , a 2 - x 2Ca 3a 9119.arctan xdx = Xarctan°-aln( a 2 x 2) C a a 2X 1 2 2 X a120.XarCtan dx = (a X )arctan X Ca 2 a 2 332X X Xa 2 a22121.X arctan —dx = arctan Xln(a X)Ca 3 a 66(十三)含有指数函数的积分115.X 2 arcsin X dX a 116.arccos jX dX = aXarCCOS — -?.a ^ X 2 Ca 117.2 X* ZXXarCCos-dx =(—a 22 _______________________________J arccos HLC118.122 .123 .124 . 125 .126 . 127 .1a x dx = ----- a x Cln aax 1 axe dx = e CaXe aX dX = -12 (ax -1)e ax Can ax 1 n ax n n 4 ax .XedX = X e XedXa a LXa X dX = a x 12 a x Cln a (ln a)X n a X dX= 1nX aln ae ax Sin bxdx =e ax cos bxdx =n n 4 X IXadX ln a1a2 b2e ax(asinbx -bcosbx) C1a2 b2e ax(bs inbx a COSbX) C139. thxdx = In ChX C 140.sh 2xdx = -X-sh2x C2 4 r 2 X I 1 丄141.Ch XdX = sh2x C4(十六)定积分ππ 142.cos nxdx = Sin nxdx = 0-π -π.π143.COSmXS in nxdx = 0-πI - ax・ n . I130. e Sin bxdx22 2 eaxsin n 'bx(asin bx - nbcosbx)a bn仲Iefn^bxdxa bnI BaX n . I131. e CoS bxdx1axa 2b 2n 2en _1cos bx(a cosbx nbsinbx)n(n -1)b 2 +-2 I2 2 a bne ax cos n 工 bxdx (十四)含有对数函数的积分132. In XdX = XIn x -x C 133. dx xln X=Inln X +C134. X n In XdX =(In 135. (In x)ndx = x(ln x)n1X) - C n +1n Λdx _ n (In X) m 1 nX (In X ) m 1(十五)含有双曲函数的积分136.x m(ln x)ndx =nx m (ln x)nj dx137. ShXdX = ChX C 138.ChXdX = ShX C二0, m n 144. COSmXCOS nxdx =I , m = nln.X - ax 2., x 2_ a 21m ^⅛ .n4 丄n —1cos XSi n Xm nm n- 0, m = n145. Sinm XSi nnxdx = 入 ■:≈, m = n146. 卩,π πSin mxsin nxdx = COSmXCOSnxdx =' LOI —, m = n2147. I n ππO2Sin n XdX = ∫02 CoS n XdX I nn -1 I n 1n_2I nn - 3 ... n -2 n -3(n 为大于1 的正奇数),I i = 1n -2Jl4 2 2(n 为正偶数)。
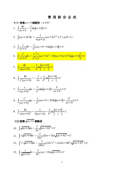
常 用 积 分 公 式(一)含有ax b +的积分(0a ≠) 1.d x ax b+⎰=1ln ax b C a++2.()d ax b x μ+⎰=11()(1)ax b C a μμ++++(1μ≠-)3.d x x ax b+⎰=21(ln )ax b b ax b C a+-++4.2d xx ax b+⎰=22311()2()ln 2ax b b ax b b ax b C a ⎡⎤+-++++⎢⎥⎣⎦ 5.d ()xx ax b +⎰=1ln ax b C b x +-+6.2d ()xx ax b +⎰=21lna axb C bx bx+-++7.2d ()x x ax b +⎰=21(ln )b ax b C aax b++++8.22d ()xx ax b +⎰=231(2ln )bax b b ax b C aax b+-+-++9.2d ()x x ax b +⎰=211ln()ax b C b ax b bx+-++的积分10.x ⎰=C11.x ⎰=22(3215ax b C a-+12.x x ⎰=22232(15128105a x abx b C a-+13.x⎰=22(23ax b C a-+14.2x⎰=22232(34815a x abx b C a-+15.⎰(0)(0)C b C b ⎧+>⎪<⎪⎩16.d x ⎰=2a bxb --⎰17.x x ⎰=b ⎰18.2d x x⎰=2ax-+⎰(三)含有22x a ±的积分 19.22d x x a+⎰=1arctanx C aa+20.22d ()nx x a +⎰=2221222123d 2(1)()2(1)()n n xn xn a x a n axa ---+-+-+⎰21.22d x x a-⎰=1ln 2x a C ax a-++(四)含有2(0)ax b a +>的积分22.2d x ax b+⎰=(0)(0)Cb Cb ⎧+>⎪⎪⎨+<23.2d x x ax b+⎰=21ln 2ax b C a ++ 24.22d xx ax b+⎰=2d x bxaa axb-+⎰25.2d ()xx ax b +⎰=221ln2xC bax b++26.22d ()xx ax b +⎰=21d axbxb axb--+⎰27.32d ()x x ax b +⎰=22221ln22ax b a C bxbx+-+28.22d ()x ax b +⎰=221d 2()2x xb ax b b axb+++⎰(五)含有2ax bx c ++(0)a >的积分29.2d x ax bx c ++⎰=22(4)(4)C b ac Cb ac +<⎨+>30.2d x x ax bx c++⎰=221d ln 22b xax bx c aaaxbx c++-++⎰(0)a >的积分 31.⎰=1arshx C a+=ln(x C ++32.⎰C +33.x ⎰C34.x ⎰=C -+35.2x ⎰2ln(2ax C ++36.2x ⎰=ln(x C -+++37.⎰1lnaC ax +38.⎰=2C a x-+39.x ⎰=2ln(2ax C +++40.x ⎰=2243(25ln(88x x a a x C ++++41.x ⎰=C +42.xx ⎰=422(2ln(88x ax a x C +++43.x x ⎰lna C +44.2d x x⎰=ln(x C x-+++(0)a >的积分45.⎰1archx x C xa+=ln x C ++46.⎰C -+47.x ⎰C48.x ⎰=C -+49.2x ⎰2ln 2ax C +++50.2x ⎰=ln x C -+++51.⎰=1arccosa C ax+52.⎰=2C a x+53.x ⎰2ln 2ax C +54.x ⎰=2243(25ln 88x x a a x C -++55.x ⎰=C +56.xx ⎰=422(2ln 88x ax a x C --++57.x x ⎰arccosa a C x+58.x x⎰=ln x C x-+++(0)a >的积分59.⎰=arcsinx C a +60.⎰C +61.x ⎰=C +62.x ⎰C +63.2x ⎰=2arcsin2ax C a-+64.2x ⎰arcsinx C a-+65.⎰=1lna C ax-+66.⎰=2C a x-+67.x ⎰2arcsin2ax C a+68.x ⎰=2243(52arcsin88x x a x a C a-++69.x ⎰=C -70.xx ⎰=422(2arcsin88x ax x a C a-+71.x x ⎰lna C +72.x x⎰=arcsin x C xa--+(0)a >的积分73.⎰12ax b C +++74.x ⎰2n 2a x b c C++++75.x ⎰=n 2a x b c C-+++ 76.⎰=C -+77.x ⎰2C ++78.x ⎰=C -+79.x ⎰=(()x b b a C -+-+80.x ⎰=(()arcsinx b b a C --81.⎰2arcsinC +()a b <82.x ⎰=2()arcsin4b a C -()a b < (十一)含有三角函数的积分 83.sin d x x ⎰=cos x C -+ 84.cos d x x ⎰=sin x C + 85.tan d x x ⎰=ln cos x C -+ 86.cot d x x ⎰=ln sin x C + 87.sec d x x ⎰=ln tan()42x C π++=ln sec tan x x C ++88.csc d x x ⎰=ln tan2x C +=ln csc cot x x C -+89.2sec d x x ⎰=tan x C + 90.2csc d x x ⎰=cot x C -+91.sec tan d x x x ⎰=sec x C + 92.csc cot d x x x ⎰=csc x C -+ 93.2sin d x x ⎰=1sin 224x x C -+ 94.2cos d x x ⎰=1sin 224x x C ++95.sin d n x x ⎰=1211sin cos sind n n n x x x x nn ----+⎰96.cos d nx x ⎰=1211cos sin cosd n n n x x x x nn---+⎰97.d sin nx x ⎰=121cos 2d 1sin 1sinn n xn xn xn x ----⋅+--⎰ 98.d cos n x x⎰=121sin 2d 1cos1cosn n xn xn xn x---⋅+--⎰99.cos sin d m nx x x ⎰=11211cos sincossin d m n m nm x x x x x m nm n-+--+++⎰=11211cossin cos sind m n mn n x x x x x m nm n+----+++⎰100.sin cos d ax bx x ⎰=11cos()cos()2()2()a b x a b x C a b a b -+--++-101.sin sin d ax bx x ⎰=11sin()sin()2()2()a b x a b x C a b a b -++-++-102.cos cos d ax bx x ⎰=11sin()sin()2()2()a b x a b x C a b a b ++-++-103.d sin x a b x+⎰=tanx a bC++22()a b >104.d sin x a b x+⎰=C+22()a b <105.d cos x a b x+⎰)2x C +22()a b >106.d cos x a b x+⎰C+22()a b <107.2222d cos sin xa xb x+⎰=1arctan(tan )b x C aba+108.2222d cos sin xa xb x-⎰=1tan ln2tan b x a C ab b x a++-109.sin d x ax x ⎰=211sin cos ax x ax C aa-+110.2sin d x ax x ⎰=223122cos sin cos x ax x ax ax C aaa-+++111.cos d x ax x ⎰=211cos sin ax x ax C aa++ 112.2cos d x ax x ⎰=223122sin cos sin x ax x ax ax C aaa+-+(十二)含有反三角函数的积分(其中0a >) 113.arcsin d xx a⎰=arcsinx x C a +114.arcsind x x x a⎰=22()arcsin24xax C a-+115.2arcsin d x x x a ⎰=3221arcsin(239xx x a C a+++116.arccos d xx a⎰=arccosx x C a-117.arccos d x x x a⎰=22()arccos24xax C a--+118.2arccos d x x x a⎰=3221arccos(239xx x a C a-+119.arctand x x a⎰=22arctan ln()2x a x a x C a-++120.arctand x x x a ⎰=221()arctan 22x a a x x C a+-+121.2arctand x x x a⎰=33222arctanln()366xx a ax a x C a-+++(十三)含有指数函数的积分 122.d xa x ⎰=1ln xa C a +123.e d axx ⎰=1e axC a +124.e d ax x x ⎰=21(1)e axax C a -+ 125.e d naxx x ⎰=11ee d naxn axn x xx aa--⎰126.d xxa x ⎰=21ln (ln )xxx a a C aa -+127.d nxx a x ⎰=11d ln ln nxn xnx a x a x aa--⎰128.e sin d axbx x ⎰=221e (sin cos )axa bxb bx C a b-++ 129.e cos d axbx x ⎰=221e (sin cos )axb bx a bx C a b+++ 130.e sin d axnbx x ⎰=12221esin(sin cos )ax n bx a bx nb bx a b n--+22222(1)es i n d a xn n n b b x x a b n--++⎰131.e cos d axnbx x ⎰=12221ecos (cos sin )axn bx a bx nb bx a b n-++22222(1)e c o s d a xn n n b b x x a b n--++⎰(十四)含有对数函数的积分 132.ln d x x ⎰=ln x x x C -+ 133.d ln x x x⎰=ln ln x C +134.ln d nx x x ⎰=111(ln )11n xx C n n +-+++135.(ln )d n x x ⎰=1(ln )(ln )d n n x x n x x --⎰136.(ln )d m n x x x ⎰=111(ln )(ln )d 11m nmn nxx x x x m m +--++⎰(十五)含有双曲函数的积分 137.sh d x x ⎰=ch x C + 138.ch d x x ⎰=sh x C + 139.th d x x ⎰=ln ch x C + 140.2sh d x x ⎰=1sh 224x x C -++141.2ch d x x ⎰=1sh 224x x C ++(十六)定积分142.cos d nx x π-π⎰=sin d nx x π-π⎰=0143.cos sin d mx nx x π-π⎰=0144.cos cos d mx nx x π-π⎰=0,,m n m n ≠⎧⎨π=⎩145.sin sin d mx nx x π-π⎰=0,,m n m n≠⎧⎨π=⎩146.0sin sin d mx nx x π⎰=0cos cos d mx nx x π⎰=0,,2m n m n ≠⎧⎪⎨π=⎪⎩ 147. n I =2sin d nx x π⎰=20cos d nx x π⎰ n I =21n n I n--1342253n n n I n n --=⋅⋅⋅⋅- (n 为大于1的正奇数),1I =113312422n n n I n n --π=⋅⋅⋅⋅⋅-(n 为正偶数),0I =2π。
适用标准文档常用积分公式(一)含有 ax b 的积分 ( a0 )1.dx = 1ln ax b Cax b a2. ( ax b) dx =a( 11) (ax b) 1C (1 )3.xb dx = 12 (ax b b ln ax b ) Cax a4.x 2dx = 11(ax b) 2 2b(ax b)b 2 ln ax bCax b a 3 25.dx= 1 ln axb Cx( axb)bx6.2dx b) = 1 a 2 ln ax b Cx (ax bxbx7.( ax x dx = 1(ln ax bax b ) Cb) 2a 2b8.x 22 dx = 13 (ax b 2b ln ax bb 2 ) C(ax b) aax bdx1 1 axb9.x(ax b)2=b( ax b) b 2 lnxC(二)含有ax b 的积分10.axbdx =2(ax b)3C3a211. x axbdx = 2 (3ax 2b)(ax b) 3 C15a12. x2ax bdx =23 (15a 2 x 212 abx 8b 2 ) (ax b)3 C105a13.x dx = 2(ax 2b) ax b Cax b 3a 2适用标准文档14.x 2 =22 22axb dx 15a 3 (3a x 4abx 8b ) ax b C1ax b b C (b0)dxlnax bb15.=bx axb2 arctan ax b C (b 0)b b16.dx=axba dxx 2 axbx2b x axbb17.ax bdx = 2 ax bbdxbxx ax18.ax bdx =ax b a dx bx 2x 2 xax(三)含有 x 2 a 2 的积分19.dx= 1 x C x 2a 2 arctana adxx2n 3dx20. ( x2a 2 )n=2( n 1)a 2 ( x 2a 2 )n 12( n 1)a 2 ( x 2a 2 )n 121.x dx = 1 ln x a C2 a 2 2a x a(四)含有 ax 2 b(a0) 的积分1 arctan a x C( b0)22.dxab bax 2 b =ax b1lnC (b0)2 ab axb23.x dx = 1ln ax 2b Cax 2 b 2a适用标准文档24.x 2dx = x bdxax 2a a2bbax 25.dx = 1ln x 2 b Cx(ax 2 b) 2b ax 226.dx=1 adxx 2(ax 2 b) bxbax2bdxb) = aax 2 b 1 C 27. x 3(ax 2 2b 2 ln x 2 2bx 228.dx=x1 dx(ax 2 b)b) 2b ax 2b22b( ax 2(五)含有 ax 2bx c ( a0) 的积分2arctan 2ax bC(b 24ac )29.dx = 4ac b 24ac b 2ax 2 bx12axbb 24accln(b 24ac )b 24ac 2ax b b 2C4ac30.ax xc dx = 1ln ax 2bx cb ax 2 dx2bx2a2a bx c(六)含有x 2 a 2 (a0) 的积分31.dx a 2 = arshxC 1 = ln( xx 2 a 2 ) Cx 2a32.dx=xC(x2a 2 )3a 2x2a233.x a 2 dx = x 2a 2 Cx 234.xdx =1C(x 2x 2a 2a 2 ) 335.x 2dx = x x 2 a 2 a 2 ln( xx 2a 2 ) Cx 222a 236.x 2a 2 )3dx=x a 2ln( xx 2 a 2 ) C( x 2x 237.dx = 1lnx 2a 2a C x x 2 a 2 ax38.dx=x 2 a 2 C2x 2a 2a 2xx39.x 22dx = x2a 2a 2 x2 a 2 ) Caxln( x2 240.( x2a 2 )3dx = x(2 x 2 5a 2 ) x 2 a 23 a4 ln( xx 2a 2 ) C8841. x x2a 2dx =1(x 2a 2 ) 3 C342. x 2 x2a 2dx = x(2 x8 43.x2a 2dx = x 2 ax2 a 2 ) x 2 a 2a 4 ln( xx 2 a 2 ) C82 a lnx 2a 2 aCx44.x 2 a 2 dx = x 2 a 2 ln( x x 2 a 2 ) Cx 2 x(七)含有x 2a 2 (a 0) 的积分45.dx = x arch xC 1 = ln xx 2 a 2Cx 2 a 2 x a46.dx=xC( x 2a 2 x 2a 2 ) 3a 247.x a 2 dx =x 2 a 2Cx 248.x dx =1C (x2x2a2a2 )349.x2a2dx =xx2a2a2ln x x2a2Cx22250.x 2dx =x ln x x2a2C(x2x2a2 a2 )351.dx=1arccosaCx x2 a 2a x 52.dx=x2a2C2x2a2a2 xx53.x2a2 dx =xx2a2a2ln x x2a2C 2254.( x2a2 )3 dx =x(2 x 25a2 ) x2a23a4 ln x x2a2Ca2 dx =18855.x x2(x2a2 )3C356.x2x2a2dx=x2a2) x2a2a4ln x x2a2C (2 x8857.x2x a2dx = x2a2 a arccosaCx58.x2a2dx=x2x a2ln x x2a2Cx2(八)含有a2x2(a0) 的积分59.dxx2= arcsinxCa2a60.dx=x C(a 2x2x2 ) 3a2 a261.a 2 x dx =a 2 x 2 Cx 262.xdx =1C(a 2 x 2 )3 a 2 x 263.x2dx = x a2x2a 2arcsin xCa 2 x 222 a64.x2dx =x x 2arcsinxC(a 2x 2 )3a 2a65.dx = 1 lnaa 2 x 2Cx a 2x 2ax66.dx=a 2x 2Cx2a2x2a 2x67.a 2 x 2dx =xa 2x 2 a 2 arcsin xC22 a68.(a 2x 2 )3dx = x(5a22x 2 ) a 2x 23a 4arcsinxC88 a69. x a 2x 2 dx = 1 (a 2x 2 )3 C370.x 2 a 2x 2dx = x(2 x2a 2 ) a 2 x 2 a 4 arcsin xC88 a 71.a2xx 2dx = a 2 x2a lnaa 2 x 2Cx 72.a 2 x 2a 2x 2arcsinxx 2dx =xCa(九)含有 ax 2bx c (a0) 的积分73.dx=1ln 2axb 2 a ax 2bx cCax 2 bxc a适用标准文档74.ax2bxcdx =2axb ax 2bx c4a4a c 2b2b xc C8 a3l n 2a x b 2 a a x75.ax 2xdx = 1ax 2 bx c bx c abl n 2a x2b x cC2b 2 a a xa 376.dx = 1arcsin2ax b Ccbx ax 2ab 2 4ac77.c bx ax 2dx =2axb c bx ax 2 b 2 4ac arcsin 2ax b C4a8 a 3 b 2 4ac 78.xdx = 1 c bx ax 2 b arcsin 2ax b Ccbx ax 2a2 a3 b 24ac(十)含有x a 或 ( x a)( b x) 的积分x b79.xa dx = (x b) x a (b a)ln(x ax b )Cx b x b80.xadx = (x b) x a (ba)arcsin x aCb xb xb x81.dx = 2arcsinx aC( a b)(xa)( b bxx)82.( x a)(bx)dx =2 xa b ( x a)( b x) (b a)2 arcsin x a C4 4b x(ab)(十一)含有三角函数的积分适用标准文档83.sin xdx =cos x C84.cos xdx =sin x C85.tan xdx =ln cosx C86.cot xdx =ln sinx C87.sec xdx = ln tan(x ) C =ln secx tan x C4 288.csc xdx = ln tan xC =ln cscx cot x C 289.sec2 xdx =tan x C 90.csc2 xdx =cotx C 91.secx tan xdx =secx C 92.csc x cot xdx =cscx C93.94.95.96.97.98.99.sin2 xdx =x1sin 2x C24cos2 xdx =x1sin 2x C24sin n xdx =1sin n1 xcos x n1sin n2 xdxn ncos n xdx =1cos n 1 x sin x n1cos n 2 xdxn ndx=1cos x n2dxsin n x n1sin n 1 x n1sin n 2 xdx=1sin x n2dxcos n x 1 cos n 1 x n1cos n2 xncos m xsin n xdx =1ncos m 1 xsin n 1 x m1cos m 2 x sin n xdxm m n=1ncos m 1 x sin n 1 x n1cos m x sin n 2 xdxm m n适用标准文档100. sin ax cosbxdx =1cos(a b)x1cos(a b) x C2( ab)2( a b)101. sin ax sin bxdx =1sin( a b) x1sin(a b)x C2( a2(a b)b)102. cosax cosbxdx =1sin( a b)x1sin( a b) xC2( a2(ab)b)dx2a tanxb103.a=a 2b 2 arctan a 2 2 C( a 2 b 2 )bsin x b 2dx1a tanxbb 2 a 22 2104.=ln2C( a )a bsin xb2a2 a tanxbb2a2b2105.dx=2a barctan(a bx C 2 2 a bcos x a bab a tan)( a b )b2dx1 ab tanxa b106.=ln2b aC(a 22)a bcos x ab babtanxa b2b a107.dxsin 2 x = 1 arctan( btan x) Ca 2 cos 2 xb 2 ab a 108.dxsin 2 x = 1ln b tan x a Ca 2 cos 2 xb 2 2ab b tan x a109.xsin axdx =11 x cosaxC 2 sin axaa122110.x 2sin axdx =x 2 cosaxCaa 2x sin ax3 cosaxa111. x cosaxdx = 12 cosax1x sin ax Caa112.x 2cosaxdx = 1x 2 sin ax 2 x cosax 2 sin ax Ca a 2a 0 ) a 3(十二)含有反三角函数的积分(此中适用标准文档113.arcsin xdx = x arcsinxa 2x 2Caa114.x= x 2 a 2xx a2 x 2Cxarcsin dx(4)arcsin4a2 a115.x 2arcsin xdx =x 3arcsinx1 (x2 2a 2 ) a 2 x 2 Ca3a9116. arccos xdx = xarccosxa 2x 2 Caa117.xarccos xdx = ( x2a 2 )arccos xx a 2 x 2 Ca2 4 a4118.x 2arccos xdx =x 3arccosx1 ( x2 2a 2 ) a 2x 2Ca3a9119. arctan xdx = x arctanxaln( a 2 x 2 ) Caa2120.x arctan xdx = 1(a2x 2)arctanxa x Ca 2a 2121.x 2arctan xdx =x 3arctanxa x 2 a 3 ln( a 2 x 2 ) Ca3 a66(十三)含有指数函数的积分122. a xdx =1a x Cln a123. e axdx = 1e axCa124.xe axdx = 12 (ax 1)e ax Ca125.x n e axdx =1x n e ax nx n 1e ax dxaa126.xa x dx =xa x1 2 a x Cln a(ln a)127.x na xdx =1x n a x n x n 1a x dxln a 21ln a128. e axsin bxdx =b 2 eax( a sin bxb cosbx ) Ca适用标准文档129.e ax cosbxdx=212 eax (bsin bx a cosbx)Ca b130.e ax sin n bxdx=212n 2 e ax sin n 1 bx(a sin bx nb cosbx )a bn( n1)b2axsin n2bxdxa2b2n2e131.e ax cos n bxdx=a21ax n1nbsin bx) b2n2ecos bx(a cosbxn( n1)b2axcos n2bxdxa2b2n2e (十四)含有对数函数的积分132.ln xdx=x ln x x C133.dx= ln ln x Cxln x11134.x n ln xdx =nx n1(ln x)C 1n 1135.(ln x)n dx=x(ln x)nn1n (ln x)dx136.x m (ln x)n dx =1x m 1(ln x)nm n x m (ln x)n 1dxm11(十五)含有双曲函数的积分137.shxdx=chx C138.chxdx=shx C139.thxdx =lnch x C140.sh2xdx=x1sh2x C141.ch2xdx=x214sh2x C 24(十六)定积分142.cos nxdx =sin nxdx =0 143.cos mx sin nxdx =0出色文案适用标准文档0, m n144.cos mx cos nxdx =,m n0, m n145.sin mx sin nxdx =,m n0, m n 146.sin mxsin nxdx=cosmx cos nxdx =00, m n2147.I n= 2 sin n xdx=2 cos n xdx00I n=n1I n n2I nn1n342n n25( n 为大于1的正奇数), I1=13I n n1n331( n 为正偶数), I 0=n n24222出色文案。
Part 4 不定积分的计算1. 基本积分公式①∫x k dx=,k≠−1{∫1x2dx=∫√x=∫1xdx=∫e x dx=②∫sinxdx=∫cosxdx=∫tanxdx=∫cotxdx=∫secxdx=∫1cosxdx=∫cscxdx=∫1sinxdx=∫sec2xdx=∫csc2xdx=∫secxtanxdx=∫cscxcotxdx=③∫11+x2dx=∫1a2+x2dx=(a>0)④∫√1−x2=∫√a2−x2=(a>0)⑤∫√x2+a2=∫√x2−a2=(|x|>|a|)⑥∫1x2−a2dx=∫1a2−x2dx=⑦∫√a2−x2dx=(a>|x|≥0)⑧∫sin2xdx== =∫cos2xdx== =∫tan2xdx== =∫cot2xdx== =2. 凑微分∫f[g(x)]g′(x)dx=∫f[g(x)]d[g(x)]=∫f(u)du ①dx=a≠0x k dx=k≠−1②xdx=√xdx=√x=1x2dx=1xdx=e x dx=a x dx=a>0,a≠1③sin xdx=cos x dx=sec2xdx=1cos2xdx=csc2xdx=1sin2xdx=11+x2dx=√1−x2=3. 换元法∫f(x)dx 令x=g(u)→∫f[g(u)]d[g(u)]=∫f[g(u)]g′(u)du①三角函数代换——当被积函数含有如下根式时,可作三角代换。
(a>0)√a 2−x 2→令 ,√a 2+x 2→令 , √x 2−a 2→令 , 若x >0,则 ;若x <0,则 ② 恒等变形后作三角函数代换③ 根式代换④ 倒代换——被积函数的分母幂次比分子高⑤ 复杂函数的直接代换a x ,e x ,ln x ,arcsin x ,arctan x4. 分部积分法∫udv =Part 5 定积分的计算1. 区间再现公式∫f(x)dx ba =∫f(x)dx b a = ∫f(x)dx b a = 2. 华里士公式∫sin n xdx π20=∫cos n xdx π20=∫sin n xdx π0=∫cos n xdx π0= ∫sin n xdx 2π0=∫cos n xdx 2π0=3. 其他含三角函数的积分公式① 诱导公式sin (π±t )=cos(π±t)=sin (π2±t)= cos (π2±t)=② ∫xf(sin x)dx π0=∫xf(sin x)dx π0=∫f(sin x)dx π20= ∫f(sin x ,cos x)dx π20= 4. 区间简化公式∫f(x)dx a −a = a >05. 变限积分求导公式[∫f (t )dt φ(x )a ]′x = [∫f (t )dt φ2(x )φ1(x )]′x= Part 6 定积分的精确定义和反常积分的判敛1. 定积分的精确定义∫f (x )dx ba = 令a=0,b=1,得到∫f (x )dx 10= 若上下限中有变量,则得到∫f (t )dt x0= 2. 反常积分的判敛① 概念∫f(x)dx +∞a 叫做无穷区间上的反常积分∫f(x)dx ba ,其中lim x→a +f(x)=∞,则a 叫做瑕点,该积分叫做无界函数的反常积分 ② 常用积分∫1x p dx 10{p <1−→??p ≥1−→??∫1x p dx +∞1{p >1−→??p ≤1−→??3. 反常积分敛散性判别法(数一同学可与级数判别法比较记忆)① 计算,极限存在则收敛② 无穷区间上的反常积分) 比较判别法:f(x),g(x)在[a,+∞]上连续,∃t >a ,若当x ∈[t,+∞]时,f(x)≤g(x),则当∫g(x)dx +∞a收敛时,∫f(x)dx +∞a 也收敛。
常 用 积 分 公 式(一)含有的积分() ax +0a ≠b 1.d x ax b +⎰=1ln ax b C a ++(2.=)d b x μ+ax ⎰1C μ+1()(1)ax b a μ+++1(μ≠-)3.d x x ax b +⎰=21(l ax b b ax a +-n )b C ++4.2d x x ax b +⎰=22311()2()ln 2ax b b ax b b ax a +-++b C ⎡⎤++⎢⎥⎣⎦5.d ()x x ax b +⎰=1ln ax b C b x+-+6.2d ()x x ax b +⎰=21ln a a bx b -+x bC x++ 7.2d ()x x ax ⎰b +=21(ln ax b a a ++bC x b++ 8.22d ()x x ax ⎰b +=2C x b ++31(2ln b ax b b ax b a a +-+-9.2d ()x x ax b +⎰=211ln ()ax b ax b b +b C x+-+的积分10.x ⎰C +11.x ⎰=C 22(3215ax b a -+12.x x ⎰=22232(15128105a x abx b aC -++13.x ⎰=22(23ax b a C -+14.2x ⎰=22232(34815a x abx b a C -++(0)(0)C b C b ⎧+>15.⎰+<16.2a bx b ⎰=-- 17.d x x ⎰=b +⎰18.2d x x ⎰=2a x -+22x a ±的积分 (三)含有19.22d x x a +⎰=1arctan xC a a+ 20.22d ()n x x a +⎰=22212232(1)()2(1)(x n n a x a n a 221d )n n x x a ---+-+-⎰+21.22d x x a -⎰=1ln 2x a C a x a-++(0)b a +>(四)含有的积分2ax (0)(0)x C b Cb ⎧+>⎪⎪⎨22.2d x ax b +⎰=+<23.2d x x ax ⎰b +=21ln 2ax a b C ++24.22d x x ax ⎰b +=x 2d b xax b a a -+⎰25.2d ()x x ax b +⎰=2C b21ln2x b ax ++ 26.22d ()x x ax b +⎰=21d a xax b bx b --+⎰ 27.32d ()x x ax b +⎰=222ln 22ax b a bx +21C bx -+ 28.22d ()x b +ax ⎰=221d 2()2x xax b ++⎰c (0)a >b ax b b +(五)含有的积分2ax bx ++29.2d x bx c ++ax ⎰=224)4)ac ac +<+>((C b C b 30.2d x x ax ⎰bx c ++=22ln 22ax bx c a a ax ++-1d b x bx c++⎰(0)a >的积分31.⎰=1ars =hxC a+ln(x C ++ 32.⎰C +33.x ⎰C +34.x ⎰=C +35.2x ⎰2ln(2a x -+C +36.2x ⎰=ln(x C +++37.⎰1ln a x a C -+38.⎰C a x -+239.x ⎰2ln(2a x ++C +40.x ⎰=2243(25ln(88x x a a x C ++++41.x ⎰C +42.xx ⎰=422(2ln(88x a x a x ++C +43.d x x ⎰ln a a x+C -+44.2d x x⎰=ln(x C +x -++(0)a >的积分45.=1x C x a+arch x=x C ln ++ 46.⎰C +47.x ⎰C +49.2x ⎰2ln 2a x ++C +50.2x ⎰=ln x C +++51.⎰=1arccos aC a x+52.⎰C a x 2+53.x ⎰2ln 2a x -+C +54.x ⎰=2243(25ln 88x x a a x C -+++55.x ⎰C +56.xx ⎰=422(2ln 88x a x a x --+C +57.d x x ⎰arccos aa -C x +58.2d x x⎰=ln x C +x -++(0)a >的积分 59.⎰=arcs inxC a +60.⎰C +62.x ⎰C +63.2x ⎰=2arcs 2a +in x C a +64.2x ⎰arcs inxC a-+65.⎰=C 1ln a a x -+66.⎰C a x -+267.x ⎰2arcs 2a +in x C a+68.x ⎰=2243(52arcs 88a x a -+in x x C a +69.x ⎰=C +70.xx ⎰=422(2arcs 88x a in x x a -+C a+71.d x x ⎰C +ln a a x-+72.2d x x ⎰=arcs --in xC x a +(0)a >的积分73.⎰2ax b C +++74.x ⎰22ax b +++C +75.x ⎰2ax b -++C +76.⎰=C +77.x ⎰2C ++78.x ⎰=C ++79.x ⎰=((b b a C -+-++x 80.x ⎰=((b b a C -+-+ x 81.⎰=C()a b <82.⎰x2(4b a )-C +()a b <(十一)含有三角函数的积分 83.sin d x x ⎰cos =x C -+84.cos d x x ⎰=sin x C + 85.tan d x x ⎰=ln c x os C -+ 86.cot d x x ⎰=ln x C + sin 87.sec d x x ⎰=ln tan(π)42xC ++=ln sec tan x x C ++ 88.csc d x x ⎰=ln tan2xC +=ln csc cot x x C -+ 89.2sec d x x ⎰=x C + tan 90.2csc d x x ⎰=x cot C -+ 91.sec tan d x x x ⎰=se x C + c 92.csc cot d x x x ⎰=x csc C -+ 93.2sin d x x ⎰=1sin 24x x 2C -+ 94.2cos d x x ⎰=1sin 24x x 2C ++95.sin d n x x ⎰=12d n n 11sin cos sin n x x x x --n n--+⎰ 96.cos d n x x ⎰=12s d n n 11cos sin co n x x x x --n n-+⎰ 97.d sin n x x ⎰=121cos 2d 1sin 1sin n n x n xn x n x ----⋅+--⎰ 98.d cos n x x ⎰=121sin 2d 1cos 1cos n n x n xn x n x---⋅+--⎰s m 99.cos in d n x x x ⎰=1111cos sin cos m n m m 2sin d nx x x m n m n-+x x --+++⎰ =1111cos sin cos si m n m n 2n d n x x x m n m n+-x x ---+++⎰ 100.=sin ax ⎰cos d bx x 11cos()cos(2()2()a b x a a b a b -+-+-)b x C -+101.=sin ax ⎰sin d bx x 11sin()sin(2()2()a b x a a b a b -+++-)b x C -+c102.=cos ax ⎰os d bx x 11sin()sin(2()2()a b x a a b a b )b x C ++-+-+103.d sin x a b x +⎰C tan xa b ++22()a b >104.d sin x a b x +⎰C +22()a b <105.d cos x a b x +⎰an )2xC +22()a b >106.d cos x a b x +⎰C +22()a b <107.2222sin b x d cos x a x +⎰=1arctan(t ban )x C ab a + 108.2222sin b x d cos x a x -⎰=1ta ln 2t b x ab b x n an aC a ++-109.sin d x ax x ⎰=211sin co ax x a a s ax C -+ 110.2sin d x ax x ⎰=2212cos sin co 32s x ax x ax a a -++ax C a +111.cos d x ax x ⎰=211cos si ax x a a n ax C ++112.2cos d x ax x ⎰=22312sin cos sin 2x ax x ax a a ax C a+-+0>(十二)含有反三角函数的积分(其中a )113.arcsin d x x a ⎰=arcsin x x C a++114.arcsin d x x x a ⎰=22)arcsin 24x a x C a -++(115.2arcsin d x x x a ⎰=3221arcsin (239x x x a C a +++ 116.arccos d xx a ⎰=arccosxx C a-+ 117.arccos d x x x a ⎰=22(24x a x C a --+118.2arccos d x x x a ⎰=3221arccos (239x x x a C a -++ 119.arctand x x a ⎰=22arctan ln()2x a x a x C a -++ 120.arctan d x x x a⎰=221()arctan 22x a a x x C a +-+121.2arctan d x x x a ⎰=33222arctan ln()366x x a a x a x C a -+++(十三)含有指数函数的积分122.=d xa x ⎰1ln xa C a + 123.e d axx ⎰=1e ax C +a124.e d ax x x ⎰=21(1ax a)e axC -+125.e d n axx x ⎰=1e e d n ax 1n ax n x x x -a a-⎰126.d xxa x ⎰=2x x a a C -+1ln (ln )x a a 127.d nxx a x ⎰=1d n x1ln ln n x n x a x a a -⎰a x -e s 128.=in d bx x ax⎰221e (sin co ax a bx b a b s )bx C -++ 129.=e c ax ⎰os d bx x 221e (sin co axb bx a a bs )bx C +++130.=e s ax ⎰in d n bx x 12221e sin (sin ax n bx a bx n a b n--+cos )b bx 2222(1)e si ax n n b a b n -++⎰2n d n bx x - 131.=e c ax ⎰os d n bx x 12221e cos (cos ax n bx a bx n a b n-++sin )b bx 2222(1)e co ax n n b a b n-++⎰2s d n bx x - (十四)含有对数函数的积分132.ln d x x ⎰ln =x x x C -+ 133.d ln x x x ⎰=x C +ln ln134.ln d n x x x ⎰=1(ln n 11)11x x C n n +-+++(l 135.n )d n x x (ln )(l n ⎰=1n )d n x x n -⎰x x -(ln 136.)d m n x x x ⎰=11ln )d m n 1(ln )(11m n n x x x m m -++⎰x x +- (十五)含有双曲函数的积分137.sh d x x ⎰=ch x C +138.ch d x x ⎰=sh x C +139.th d x x ⎰ln =x C + ch 140.2sh d x x ⎰=124x x sh2C -++ 141.2ch d x x ⎰=124x x sh2C ++sin d nx x sin d nx x c m n m n (十六)定积分142.==0 cos d nx x π-π⎰π-π⎰143.=0cos mx π-π⎰144.=cos mx π-π⎰os d nx x 0,,≠⎧⎨⎩π=145.=sin mx π-π⎰s ,m n m n in d nx x 0,≠⎧⎨⎩π=s c ,m n m n 146.==0sin mx π⎰in d nx x 0cos mx π⎰os d nx x 0,2≠⎧⎪⎨π=⎪⎩ 147. n I =20sin d n x x π⎰=20cos d n x x π⎰ n I =21n n I n-- 13423n n n I n n --=⋅⋅⋅⋅- n 125 (为大于1的正奇数),I =1 133122n n n I n n --π=⋅⋅⋅⋅⋅- n 0πI = 24(为正偶数),2。
积分公式大全2常 用 积 分 公 式(一)含有ax b +的积分(0a ≠)1.d x ax b +⎰=1ln ax b C a++ 2.()d ax b x μ+⎰=11()(1)ax b Ca μμ++++(1μ≠-)3.d x x ax b +⎰=21(ln )ax b b ax b C a +-++ 456.2d ()xx ax b +⎰=21ln a ax b C bx b x +-++ 7.2d ()x x ax b +⎰=21(ln )b ax b C a ax b++++ 8.22d ()x xax b +⎰=231(2ln )b ax b b ax b C a ax b+-+-++9.2d ()x x ax b +⎰=211ln ()ax bCb ax b b x +-++的积分10.x⎰=C11.x⎰=22(3215ax b Ca-342223.2d x x ax b +⎰=21ln 2axb Ca ++24.22d x xax b +⎰=2d x b x a a ax b-+⎰25.2d ()x x ax b +⎰=221ln 2x C b ax b++26.22d ()x x ax b +⎰=21d a xbx b ax b--+⎰27.32d ()x x ax b +⎰=22221ln 22ax b a C b x bx +-+28.22d ()x ax b +⎰=221d 2()2xxb ax b bax b+++⎰ (五)含有2ax bx c ++(0)a >的积分29.2d xax bx c++⎰=22(4)(4)C b ac C b ac +<+>30.2d xx ax bx c ++⎰=221d ln 22b x axbx c a a ax bx c++-++⎰(0)a >的积分31.=1arsh xC a+=ln(x C+532.C+33.xC34.x=C+35.2x2ln(2a x C ++ 36.2x=ln(x C++37.=1C a +38.C +39.x2ln(2a x C +40.x=2243(25ln(88x x a a x C+++41.x⎰C42.x x⎰=422(2ln(88x a x a x C +-++43.xln aa Cx++ 44.x=ln(x C+++6(0)a >的积分45.=1arch xx C x a+=ln x C+46.C+47.xC+48.x=C+49.2x2ln 2a x C ++ 50.2x=ln x C+++51.=1arccos aC ax+ 52.C +53.x2ln 2a x C ++54.x=2243(25ln 88x x a a x C-++55.x⎰C56.xx⎰=422(2ln 88x a x a x C -++757.xarccosa a C x+ 58.x=ln x C+++(0)a >的积分59.=arcsin xC a +60.C+61.x=C62.xC+63.2x=2arcsin 2a x C a+64.2xarcsinxC a-+65.=1ln a C a x -+66.C+67.x2arcsin 2a x C a+68.x=2243(52arcsin 88xxa x a Ca-+869.x⎰=C+70.x x⎰=422(2arcsin 88x a x x a C a-++71.d x x ⎰ln a a Cx -++72.2d x x⎰=arcsin x Cx a--+(0)a >的积分73.2ax b C +++74.x22ax b C++++75.x2ax b C-+++76.=C+77.x2C++78.x=C+979.x=((x b b a C--+80.x=((x b b a C --81.=C ()a b <82x2()arcsin 4b a C-+()a b <(十一)含有三角函数的积分 83.sin d x x ⎰=cos x C -+ 84.cos d x x ⎰=sin x C + 85.tan d x x ⎰=ln cos x C -+ 86.cot d x x ⎰=ln sin x C +87.sec d x x ⎰=ln tan()42xC π++=ln sec tan x x C ++ 88.csc d x x ⎰=ln tan 2xC +=ln csc cot x x C -+ 89.2sec d x x ⎰=tan x C + 90.2cscd x x⎰=cot x C -+1091.sec tan d x x x ⎰=sec x C + 92.csc cot d x x x ⎰=csc x C -+ 93.2sind x x⎰=1sin 224x x C -+ 94.2cos d x x⎰=1sin 224x x C ++ 95.sind nx x ⎰=1211sin cos sin d n n n x x x x n n----+⎰96.cosd nx x⎰=1211cossin cos d n n n x x x x n n---+⎰97.d sin nx x ⎰=121cos 2d 1sin 1sin n n x n xn x n x----⋅+--⎰ 98.d cos nx x ⎰=121sin 2d 1cos 1cos n n x n xn x n x---⋅+--⎰ 99.cossin d mn x x x⎰=11211cossin cos sin d m n m n m x x x x x m nm n-+--+++⎰=11211cos sin cos sin d m n m n n x x x x x m n m n+----+++⎰100.sin cos d ax bx x ⎰=11cos()cos()2()2()a b x a b x C a b a b -+--++- 101.sin sin d ax bx x ⎰=11sin()sin()2()2()a b x a b x C a b a b -++-++- 102.cos cos d ax bx x ⎰=11sin()sin()2()2()a b x a b x C a b a b ++-++-103.d sin xa b x +⎰tan xa b C ++22()a b >104.d sin x a b x+⎰C+22()a b <105.d cos xa b x+⎰)2xC +22()a b >106.d cos x a b x+⎰C +22()a b <107.2222d cos sin x a x b x +⎰=1arctan(tan )b x C ab a + 108.2222d cos sin x ax b x-⎰=1tan ln 2tan b x aC ab b x a++- 109.sin d x ax x ⎰=211sin cos ax x ax C a a -+110.2sin d xax x⎰=223122cos sin cos xax x ax ax C a a a-+++111.cos d x ax x ⎰=211cos sin ax x ax C a a ++112.2cos d xax x⎰=223122sin cos sin xax x ax ax C a a a+-+(十二)含有反三角函数的积分(其中0a >)113.arcsin d x x a⎰=arcsin xx Ca++114.arcsin d xx x a ⎰=22()arcsin 24x a x C a -++ 115.2arcsin d x x x a⎰=3221arcsin (239x x x a C a ++116.arccos d x x a ⎰=arccos xx Ca-117.arccos d xx x a⎰=22()arccos 24x a x C a - 118.2arccos d xx x a⎰=3221arccos (239x x x a C a -+119.arctan d x x a ⎰=22arctan ln()2x ax ax Ca -++ 120.arctan d x x x a ⎰=221()arctan22x aax x C a +-+121.2arctan d xx x a⎰=33222arctan ln()366x x a a x a x C a -+++(十三)含有指数函数的积分 122.d xa x ⎰=1ln xaCa +123.ed axx⎰=1e axCa+124.ed axx x⎰=21(1)eaxax Ca -+ 125.ed n axx x⎰=11e e d n axn axn x x x aa --⎰126.d x xa x ⎰=21ln (ln )xx x aa C a a -+ 127.d nxx a x ⎰=11d ln ln nxn x nx ax a x a a--⎰128.e sin d axbx x⎰=221e (sin cos )axa bxb bx C a b-++ 129.e cos d axbx x⎰=221e (sin cos )ax b bx a bx C ab+++130.esin d axn bx x⎰=12221e sin (sin cos )ax n bx a bx nb bx a b n--+22222(1)e sin d ax n n n b bx x a b n --++⎰131.ecos d axn bx x⎰=12221e cos (cos sin )ax n bx a bx nb bx a b n-++22222(1)e cos d ax n n n b bx x a b n--++⎰(十四)含有对数函数的积分132.ln d x x ⎰=ln x x x C -+133.d ln xx x⎰=ln ln x C + 134.ln d nxx x⎰=111(ln )11n xx C n n +-+++135.(ln )d nx x ⎰=1(ln )(ln )d n nx x n x x--⎰136.(ln )d mn xx x⎰=111(ln )(ln )d 11m n m n nx x x x x m m +--++⎰(十五)含有双曲函数的积分 137.sh d x x ⎰=ch x C + 138.ch d x x ⎰=sh x C + 139.th d x x ⎰=lnch x C +140.2sh d x x ⎰=1sh224x x C -++ 141.2ch d x x ⎰=1sh224x x C ++ (十六)定积分142.cos d nx x π-π⎰=sin d nx x π-π⎰=0143.cos sin d mx nx x π-π⎰=0 144.cos cos d mx nx xπ-π⎰=0,,m n m n≠⎧⎨π=⎩145.sin sin d mx nx xπ-π⎰=0,,m nm n≠⎧⎨π=⎩146.0sin sin d mx nx xπ⎰=0cos cos d mx nx xπ⎰=0,,2m nm n ≠⎧⎪⎨π=⎪⎩147. n I =20sin d nx xπ⎰=20cos d n x xπ⎰nI =21n n I n--1342253n n n I n n --=⋅⋅⋅⋅- (n 为大于1的正奇数),1I =113312422n n n I n n --π=⋅⋅⋅⋅⋅-(n 为正偶数),0I =2π。