2020年中考试题汇编:计算题(word版,含解析)
- 格式:docx
- 大小:334.42 KB
- 文档页数:9
2020中考复习——计算题每天一练(二)班级:___________姓名:___________ 得分:___________1. 计算:(1) 8−(−10)−|−2|(2)217−323+(−317)−(+513) (3) −24×(−12+34−13)(4) −492425×10(简便运算)(5)−124÷(13−78+512) (6)3×(−38511)−4×(−38511)−385112. 化简求值:(1)m −5m 2+3−2m −1+5m 2 ;(2)2(x −3x 2+1)−3(2x 2−x −2);(3)3x 2−[6xy +2(x 2−y 2)]−3(y 2−2xy),其中x =−2,y =3.3. 解下列方程:(1)x +5=12(x +3);(2)2x+32=x −x−16;(3)x+40.3−2x−0.30.5=1.4.计算.5.计算:(1)(3x+5)(3x−5);(2)(3a−2b)2;(3)(x−y)(x2+xy+y2);(4)(x−2)2−(x+2)(x−1);(5)(x−1)(x−2)(x−3);(6)(2a−3b)2−(b+3a)(3a−b).6.把下列各式分解因式:(1)(x+2)x−x−2;(2)2a3b−4a2b2+2ab3;(3)3m4−48;(4)(x2−4x)2−8(4x−x2)+16.7.甲、乙两名同学在解方程组{mx+y=5,2x−ny=13时,甲解题时看错了m,解得{x=72,y=−2;乙解题时看错了n,解得{x=3,y=−7.请你根据以上两种结果,求出原方程组的正确解.8. 解不等式(组),并把它们的解集表示在数轴上:(1)x−13<x+14−2(2){5x +1>3x +412x ≥−2+x 并求其整数解的积.9. 计算:(1)m m 2−1−11−m 2;(2)(3a+2+a −2)÷a 2−2a+1a+210. 解方程:2x+1−xx 2−1=0.11. 计算:(1)√8+√13−2√12;(2)5√12÷(15√50)×15√32; (3)−12017+(−12)−2−√13×√48+|1−√2|+(π−3)0.12. 按括号中的要求解下列一元二次方程:(1)4(1+x)2=9;(2)x 2+4x +2=0;(3)3x 2+2x −1=0;(4)(2x +1)2=−3 (2x +1)13. 计算:(1)2sin30°+3cos60°−4tan45°;(2)cos30°sin45°+sin30°cos45°;(4)(sin60°+cos45°)(sin60°−cos45°).14. 小明学习电学知识后,用四个开关按键(每个开关键闭合的可能性相等)、一个电源和一个灯泡设计了一个电路图(1)若小明设计的电路图(四个开关按键都处于打开状态)如图所示,求任意闭合一个开关按键,灯泡能发光的概率;(2)若小明设计的电路图(四个开关按键都处于打开状态)如图所示,求同时闭合其中的两个开关按键,灯泡能发光的概率.(用列表或树状图法)15.为了了解全校1500名学生对学校设置的篮球、羽毛球、乒乓球、踢毽子、跳绳共5项体育活动的喜爱情况,在全校范围内随机抽查部分学生,对他们喜爱的体育项目(每人只选一项)进行了问卷调查,将统计数据绘制成如图两幅不完整统计图,请根据图中提供的信息解答下列各题.(1)本次问卷调查共抽查了______名学生;(2)请补全条形统计图;(3)请你估计该校约有______名学生最喜爱打篮球;(4)学校准备从喜欢跳绳活动的4人(三男一女)中随机选取2人进行体能测试,请利用列表或树状图的方法,求抽到一男一女的概率.答案和解析1.解:(1)原式=8+10−2=16;(2)原式=217−323−317−513=217−317−323−513=−1−9=−10;(3)原式=−24×(−12)−24×34−24×(−13) =12−18+8=2;(4)原式=(−50+125)×10=−50×10+125×10=−500+25=−49935;(5)原式=−124÷(824−2124+1024)=−124÷(−18)=−124×(−8)=13;(6)原式=−38511×(3−4+1)=−38511×0=0.2. 解:(1)m −5m 2+3−2m −1+5m 2=(m −2m )+(−5m 2+5m 2)+(3−1)=−m +2;(2)2(x −3x 2+1)−3(2x 2−x −2)=2x −6x 2+2−6x 2+3x +6=−12x 2+5x +8;(3)3x 2−[6xy +2(x 2−y 2)]−3(y 2−2xy)=3x 2−(6xy +2x 2−2y 2)−3y 2+6xy=3x 2−6xy −2x 2+2y 2−3y 2+6xy=x 2−y 2,当x =−2,y =3时,原式=(−2)2−32=4−9=−5.3.解:(1)去分母,2x+10=x+3,移项,2x−x=3−10,合并同类项,x=−7;(2)去分母,3(2x+3)=6x−(x−1),去括号,6x+9=6x−x+1,移项,6x−6x+x=1−9,合并同类项,x=−8;(3)原方程可化为,10x+403−20x−35=1去分母,5(10x+40)−3(20x−3)=15,去括号,50x+200−60x+9=15,移项,50x−60x=15−200−9,合并同类项,−10x=−194,系数化为1,x=19.4.4.解:(1)原式=m2n+3n3÷m n−2=m n+5n3;(2)原式.5.解:(1)(3x+5)(3x−5)=(3x)2−52=9x2−25;(2)(3a−2b)2=(3a)2−2·3a·2b+(2b)2=9a2−12ab+4b2;(3)(x−y)(x2+xy+y2)=x3−x2y+x2y+xy2−xy2−y3=x3−y3(4)(x−2)2−(x+2)(x−1)=x2−4x+4−x2−2x+x+2=−5x+6;(5)(x−1)(x−2)(x−3)=(x2−3x+2)(x−3)=x3−3x2+2x−3x2+9x−6=x3−6x2+11x−6;(6)(2a−3b)2−(b+3a)(3a−b)=(2a)2−2·2a·3b+(3b)2−(3a)2+b2=4a2−12ab+9b2−9a2+b2=−5a2−12ab+10b2.6.解:(1)原式=x2+2x−x−2=x2+x−2=(x+2)(x−1);(2)原式=2ab(a 2−2ab +b 2)=2ab(a −b)2.(3)原式=3(m 2+4)(m +2)(m −2);(4)原式=x 2(x −4)2+8x (x −4)+16=[x(x −4)+4]2=(x −2)47. 解:把{x =72y =−2代入得:7+2n =13, 把{x =3y =−7代入得:3m −7=5, 解得:n =3,m =4,∴原方程组为{4x +y =52x −3y =13, 解得:{x =2y =−3.8. 解:(1)4(x −1)<3(x +1)−24,4x −4<3x +3−24,4x −3x <3−24+4x <−17.解集表示在数轴上为(2)由不等式5x +1>3x +4,得x >32,由不等式12x ≥−2+x ,得x ≤4,∴不等式组的解集为32<x ≤4;解集在数轴上表示为其整数解为2、3、4三个,乘积为2×3×4=24.9. 解:(1)m m 2−1−11−m 2=m (m+1)(m−1)+1(m+1)(m−1)=m+1(m+1)(m−1)=1m−1;(2)(3a+2+a −2)÷a 2−2a+1a+2 =3+a 2−4a+2·a+2(a−1)2 =(a+1)(a−1)(a−1)2=a+1a−1.10. 解:2x+1−xx 2−1=0,方程两边同乘(x −1)(x +1),得2(x −1)−x =0,解这个方程得,x =2,检验:当x =2时,(x −1)(x +1)≠0,所以x =2是原方程的解.11. 解:(1)原式=2√2+√33−2×√22=√2+√33. (2)原式=5×2√3÷(15×5√2)×15×√62=5×2√3×√22×15×√62=3. (3)原式=−1+(−2)2−√33×4√3+√2−1+1=−1+4−4+√2=√2−1.12. 解:(1)4(1+x)2=9(直接开平方法)(1+x)2=94∴1+x =±32,∴x 1=12,x 2=−52; (2)x 2+4x +2=0(配方法)x 2+4x =−2,x 2+4x +4=−2+4,(x +2)2=2,x +2=±√2,x 1=−2+√2,x 2=−2−√2;(3)3x 2+2x −1=0(公式法)a =3,b =2,c =−1,△=4+12=16,∴x =−2±√162×3=−2±46, ∴x 1=13,x 2=−1;(4)(2x +1)2=−3(2x +1)(因式分解法)(2x+1)2+3(2x+1)=0 ∴(2x+1)(2x+1+3)=0,∴2x+1=0或2x+4=0,∴x1=−12,x2=−2.13.解(1)原式=2×12+3×12−4×1=1+32−4=−32(2)原式=√32×√22+12×√22=√64+√24=√6+√24(3)原式=√3×√32−3×√33×√32=32−32=0(4)原式(√32+√22)×(√32−√22)=34−24=1414.解:(1)任意闭合一个开关按键,灯泡能发光的概率=14;(2)画树状图为:共有12种等可能的结果数,其中同时闭合其中的两个开关按键,灯泡能发光的结果数为6,所以同时闭合其中的两个开关按键,灯泡能发光的概率=612=12.15.解:(1)50;(2)喜欢乒乓球的人数=50−12−17−7−4=10(人),补全条形统计图为:(3)360;共有12种等可能的结果数,其中一男一女的情况有6种,所以抽到一男一女的概率=612=12.解:(1)调查的总人数为12÷24%=50(人),故答案为:50;(2)见答案;(3)1500×24%=36,所以估计该校约有360名学生最喜爱打篮球;故答案为:360;第11页,共11页。
河北 周建杰分类(2020年泰州市)1.化简-(-2)的结果是A .-2B .21- C .21 D .2 (2020年泰州市)2.国家投资建设的泰州长江大桥已经开工,据泰州日报报道,大桥预算总造价是9 370 000 000元人民币,用科学记数法表示为A .93.7×109元B . 9.37×109元C . 9.37×1010元D .0.937×1010元(2020年泰州市)19.让我们轻松一下,做一个数字游戏:第一步:取一个自然数n 1=5 ,计算n 12+1得a 1;第二步:算出a 1的各位数字之和得n 2,计算n 22+1得a 2;第三步:算出a 2的各位数字之和得n 3,再计算n 23+1得a 3;…………依此类推,则a 2020=_______________.(2020年南京市)1.3-的绝对值是( )A .3-B .3C .13-D .13(2020年南京市)2.2020年5月27日,北京2020年奥运会火炬接力传递活动在南京境内举行,火炬传递路线全程约12 900m ,将12 900m 用科学记数法表示应为( )A .50.12910⨯B .41.2910⨯C .312.910⨯D .212910⨯以下是河南省高建国分类:(2020年巴中市)1.下列各式正确的是( )A .33--=B .326-=-C .(3)3--=D .0(π2)0-=(2020年巴中市)唐家山堰塞湖是“5g 12汶川地震”形成的最大最险的堰塞湖,垮塌山体约达2037万立方米,把2037万立方米这个数用科学记数法表示为 立方米.(2020年自贡市)方程063=+x 的解的相反数是( )A .2B .-2C .3D .-3(2020年自贡市)北京奥运圣火于2020年3月25日在希腊奥林匹亚按照传统仪式取火,火炬接力时间为130天,传递总里程约13.7万公里。
用科学记数法表示13.7万这个数为 。
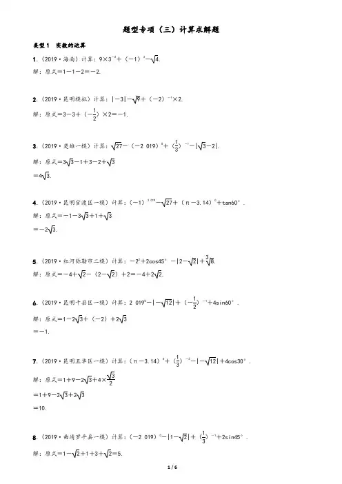
题型专项(三)计算求解题类型1 实数的运算1.(2019·海南)计算:9×3-2+(-1)3- 4. 解:原式=1-1-2=-2.2.(2019·昆明模拟)计算:|-3|-9+(-2)-1×2. 解:原式=3-3+(-12)×2=-1.3.(2019·楚雄一模)计算:27-(-2 019)0+(13)-1-|3-2|.解:原式=33-1+3-2+ 3 =4 3.4.(2019·昆明官渡区一模)计算:(-1)2 019-27+(π-3.14)0+tan60°.解:原式=-1-33+1+ 3 =-2 3.5.(2019·红河弥勒市二模)计算:-22+2cos45°-|2-2|+38. 解:原式=-4+2-(2-2)+2=-4+2 2.6.(2019·昆明十县区一模)计算:2 0190-|-12|+(-12)-1+4sin60°.解:原式=1-23+(-2)+2 3 =-1.7.(2019·昆明五华区一模)计算:(π-3.14)0+(13)-2-|-12|+4cos30°.解:原式=1+9-23+4×32=1+9-23+2 3 =10.8.(2019·曲靖罗平县一模)计算:(-2 019)0-|1-2|+(13)-1+2sin45°.解:原式=1-2+1+3+2=5.9.(2019·曲靖模拟)计算:-14+(2 019-π)0-(-12)-1+|1-3|-2sin60°.解:原式=-1+1-(-2)+3-1-2×32=-1+1+2+3-1- 3 =1.类型2 分式的化简求值10.(2019·福建)先化简,再求值:(x -1)÷(x -2x -1x),其中x =2+1. 解:原式=(x -1)÷x 2-2x +1x=(x -1)·x(x -1)2=x x -1. 当x =2+1时, 原式=2+12+1-1=1+22.11.(2019·云南模拟)先化简,再求值:8x 2-4+2x +2,其中x =2+2.解:原式=8(x +2)(x -2)+2(x -2)(x +2)(x -2)=8+2(x -2)(x +2)(x -2)=2(x +2)(x +2)(x -2)=2x -2. 当x =2+2时,原式=22+2-2= 2.12.(2019·十堰)先化简,再求值:(1-1a )÷(a 2+1a -2),其中a =3+1.解:原式=a -1a ÷a 2+1-2aa=a -1a ·a (a -1)2 =1a -1. 当a =3+1时,原式=13+1-1=33.13.(2019·曲靖一模)先化简,再求值:(1+1x 2-1)÷x2x 2-2x +1,其中x =2.解:原式=x 2-1+1x 2-1÷x2x 2-2x +1=x 2(x +1)(x -1)·(x -1)2x 2=x -1x +1. 当x =2时,原式=2-12+1=13.14.(2019·曲靖麒麟区4月模拟)先化简,再求值:(x x -1-1)÷x 2+2x +1x 2-1,其中x = 2.解:原式=x -(x -1)x -1·(x +1)(x -1)(x +1)2=x -x +1x +1 =1x +1. 当x =2时,原式=12+1=2-1.15.(2019·玉溪江川区模拟)先化简,再求值:(1-1a -2)÷a 2-6a +92a -4,其中a =23+3.解:原式=a -3a -2·2(a -2)(a -3)2=2a -3. 当a =23+3时, 原式=223+3-3=33.16.(2019·云南考试说明)已知x -3y =0,求2x +yx 2-2xy +y 2·(x -y )的值. 解:原式=2x +y(x -y )2·(x -y ) =2x +yx -y. 由x -3y =0,得x =3y , ∴原式=6y +y 3y -y =72.17.(2018·昆明五华区三模)先化简x 2+x x 2-2x +1÷(2x -1-1x ),再求值,请你从-1≤x <3的范围内选取一个你喜欢的整数作为x 的值.解:原式=x (x +1)(x -1)2÷x +1x (x -1) =x 2x -1. 当x =2时,原式=4.18.(2019·本溪)先化简,再求值:(a 2-4a 2-4a +4-12-a )÷2a 2-2a ,其中a 满足a 2+3a -2=0.解:原式=[(a +2)(a -2)(a -2)2+1a -2]·a (a -2)2 =(a +2a -2+1a -2)·a (a -2)2=a +3a -2·a (a -2)2 =a (a +3)2=a 2+3a 2.∵a 2+3a -2=0, ∴a 2+3a =2. ∴原式=22=1.类型3 方程(组)的解法 19.解方程:x -32-2x +13=1.解:去分母,得3(x -3)-2(2x +1)=6. 去括号,得3x -9-4x -2=6. 移项,得-x =17. 系数化为1,得x =-17.20.(2019·山西)解方程组:⎩⎪⎨⎪⎧3x -2y =-8,①x +2y =0.②解:①+②,得4x =-8, ∴x =-2.把x =-2代入①,得-6-2y =-8, ∴y =1.∴方程组的解为⎩⎪⎨⎪⎧x =-2,y =1.21.(2019·常德)解方程:x 2-3x -2=0. 解:∵a =1,b =-3,c =-2,∴b 2-4ac =(-3)2-4×1×(-2)=9+8=17. ∴x =-b ±b 2-4ac 2a =3±172.∴x 1=3+172,x 2=3-172.22.(2019·南京)解方程:x x -1-1=3x 2-1.解:方程两边同乘(x +1)(x -1),得 x (x +1)-(x 2-1)=3, 即x 2+x -x 2+1=3, 解得x =2.检验:当x =2时,(x +1)(x -1)=(2+1)(2-1)=3≠0, 故原分式方程的解是x =2.23.(2019·宁夏)解方程:2x +2+1=xx -1.解:方程两边同乘(x +2)(x -1),得 2(x -1)+(x +2)(x -1)=x (x +2), ∴x =4.检验:当x =4时,(x +2)(x -1)=18≠0, 故原分式方程的解是x =4.类型4 不等式(组)的解法24.(2019·攀枝花)解不等式x -25-x +42>-3,并把它的解集在数轴上表示出来.解:去分母,得2(x -2)-5(x +4)>-30. 去括号,得2x -4-5x -20>-30. 移项,得2x -5x >-30+4+20. 合并同类项,得-3x >-6. 系数化为1,得x <2.将不等式解集表示在数轴上如下:25.(2019·云南模拟)解不等式组:⎩⎪⎨⎪⎧3x -5≤1,①13-x 3<4x ,②并在数轴上表示其解集.解:解不等式①,得x ≤2. 解不等式②,得x >1. ∴不等式组的解集为1<x ≤2. 将其表示在数轴上,如图所示.26.(2019·广西)解不等式组:⎩⎪⎨⎪⎧3x -5<x +1,①3x -46≤2x -13,②并利用数轴确定不等式组的解集.解:解不等式①,得x<3. 解不等式②,得x ≥-2. 用数轴表示为:所以不等式组的解集为-2≤x<3.27.(2019·普洱一模)求不等式组⎩⎪⎨⎪⎧2x -4<x ,①x +53+x ≥3②的整数解.解:解不等式①,得x <4. 解不等式②,得x ≥1. ∴不等式组的解集为1≤x <4. ∴不等式组的整数解为1,2,3.。
2020年中考物理:机械效率专项练习题汇编1.(2019扬州,20)如图所示,用 100N 的拉力F匀速提升重为 240N 的物体,在 10s 内物体上升 lm,则有用功是_____________J,拉力的功率是_________W,机械效率是_________。
2.(.2019达州,17)救援车工作原理如图所示,当车载电机对钢绳施加的拉力F大小为2.5×103N时,小车A恰能匀速缓慢地沿斜面上升。
已知小车A的质量为1t,斜面高为2m,斜面长为5m(不计车长、钢绳重、动滑轮重、钢绳与滑轮间的摩擦和滑轮与轴间的摩擦,g =10Nkg)在小车A由水平路面被拖上救援车的过程中,钢绳所做的有用功为J,整个装置的机械效率为,小车A与斜面间的摩擦力大小为N.3.(2019哈尔滨,39)如图所示,用2N的拉力匀速竖直向上拉绳子自由端,将重为3. 5N4.(2019宁夏,12)如图所示,用滑轮组将道为400N的物体匀速提升了1m。
已知拉力F为250N,则提升重物的过程中,滑轮组的机械效率是________。
请写出一种提高此滑轮组机械效率的方法:________________________________________。
5.(2019南京,17)建筑工地上,起重机吊臂上的滑轮组如图所示在匀速起吊重4.2×103N 的物体时,物体5s内上升了6m,此过程中有用功为J,钢丝绳移动的速度为m/s;若滑轮组的机械效率为70%,则额外功为J,拉力F为N,其功率为W。
6.(2019孝感,9)如图所示,用相同的滑轮组装成甲、乙滑轮组,分别将同一重物在相等的时间内提升相同的高度,不计绳重和摩擦,则()A.甲、乙的拉力之比是3:2B.甲、乙绳的自由端速度之比是1:1C.甲、乙拉力的功率之比是3:2D.甲、乙的机械效率之比是1:17.(2019长春,10)如图所示,用甲、乙滑轮组在相同时间分别将A、B物体匀速提升相同高度,已知物体受到的重力GA>GB,滑轮组的机械效率η甲<η乙(忽略绳重和摩擦)下列判断正确的是()A.两滑轮组绳端移动的距离相等B.甲滑轮组的有用功比乙的少C.甲滑轮组的总功率比乙的小D.甲滑轮组的动滑轮比乙的重8.(2019绵阳,9)如图所示,斜面长20m、高10m,固定在水平地面上。
专题2 代数式和因式分解一、选择题1. (2017浙江衢州第3题)下列计算正确的是( ) A .2a+b=2ab B .(﹣a )2=a 2C .a 6÷a 2=a 3D .a 3•a 2=a 6【答案】B.考点:1.同底数幂的除法;2.合并同类项;3.同底数幂的乘法;4.幂的乘方与积的乘方. 2.(2017山东德州第5题)下列运算正确的是( )A .22(a )m ma = B .33(2a )2a = C .3515a a a --= D .352a a a --÷= 【答案】A 【解析】试题分析: B .3333(2a )2=8a a = C .352a a a --= D .353(5)8a a a a ---÷==故选A考点:1.同底数幂的乘除法运算法则;2.积的乘方运算法则;3.幂的乘方运算 3.(2017浙江宁波第2题)下列计算正确的是( ) A.235a a a +=B.()224a a =C.235a a a ?D.()325a a =【答案】C. 【解析】试题解析:A.235a a a +?,故该选项错误; B.()2224a a =, 故该选项错误; C.235a a a ?, 故该选项正确; D.()326a a =, 故该选项错误.故选C.考点:1.合并同类项;2.积的乘方与幂的乘方;3.同度数幂的乘法. 4.(2017重庆A 卷第3题)计算x 6÷x 2正确的解果是( ) A .3B .x 3C .x 4D .x 8【解析】试题解析:x6÷x2=x4.故选C.考点:同底数幂的除法.5.(2017重庆A卷第6题)若x=﹣13,y=4,则代数式3x+y﹣3的值为()A.﹣6 B.0 C.2 D.6 【答案】B.【解析】试题解析:∵x=﹣13,y=4,∴代数式3x+y﹣3=3×(﹣13)+4﹣3=0.故选B.考点:代数式求值6.(2017重庆A卷第7题)要使分式43x-有意义,x应满足的条件是()A.x>3 B.x=3 C.x<3 D.x≠3【答案】D.【解析】试题解析:当x﹣3≠0时,分式43x-有意义,即当x≠3时,分式43x-有意义,故选D.考点:分式的意义的条件.7.(2017甘肃庆阳第5题)下列计算正确的是()A.x2+x2=x4 B.x8÷x2=x4 C.x2•x3=x6 D.(-x)2-x2=0 【答案】D试题解析:A 原式=2x 2,故A 不正确; B 原式=x 6,故B 不正确; C 原式=x 5,故C 不正确; D 原式=x 2-x 2=0,故D 正确; 故选D考点:1.同底数幂的除法;2.合并同类项;3.同底数幂的乘法;4.幂的乘方与积的乘方. 8.(2017广西贵港第5题)下列运算正确的是( )A .2333a a a += B .()32522a a a -= C. 623422a a a += D .()22238a a a --=【答案】D考点:单项式乘单项式;合并同类项;幂的乘方与积的乘方. 9.(2017贵州安顺第3题)下面各式运算正确的是( ) A .2(a ﹣1)=2a ﹣1 B .a 2b ﹣ab 2=0 C .2a 3﹣3a 3=a 3D .a 2+a 2=2a 2【答案】D . 【解析】试题解析:A 、2(a ﹣1)=2a ﹣2,故此选项错误; B 、a 2b ﹣ab 2,无法合并,故此选项错误; C 、2a 3﹣3a 3=﹣a 3,故此选项错误; D 、a 2+a 2=2a 2,正确. 故选D .考点:合并同类项;去括号与添括号. 10.(2017湖北武汉第2题)若代数式14a -在实数范围内有意义,则实数a 的取值范围为( ) A .4a = B .4a > C .4a < D .4a ≠【解析】试题解析:根据“分式有意义,分母不为0”得: a-4≠0 解得:a ≠4. 故选D.考点:分式有意义的条件.11.(2017湖北武汉第3题)下列计算的结果是5x 的为( )A .102x x ÷B .6x x -C .23x x D .23()x【答案】C.考点:1.同底数幂的除法;2.同底数幂的乘法;3.积的乘方与幂的乘方. 12.(2017湖北武汉5题)计算(1)(2)x x ++的结果为( )A .22x +B .232x x ++C . 233x x ++D .222x x ++ 【答案】B. 【解析】试题解析:(1)(2)x x ++=x 2+2x+x+2= x 2+3x +2.故选B.考点:多项式乘以多项式13.(2017湖南怀化第2题)下列运算正确的是( ) A.321m m -= B.()236m m =C.()3322m m -=-D.224m m m +=【答案】B考点:幂的乘方与积的乘方;合并同类项.14.(2017江苏无锡第3题)下列运算正确的是()A.(a2)3=a5B.(ab)2=ab2C.a6÷a3=a2D.a2•a3=a5【答案】D.【解析】试题解析:A、(a2)3=a6,故错误,不符合题意;B、(ab)2=a2b2,故错误,不符合题意;C、a6÷a3=a3,故错误,不符合题意;D、a2•a3=a5,正确,符合题意,故选D.考点:1.同底数幂的除法;2.同底数幂的乘法;3.幂的乘方与积的乘方.15. (2017江苏无锡第5题)若a﹣b=2,b﹣c=﹣3,则a﹣c等于()A.1 B.﹣1 C.5 D.﹣5【答案】B【解析】试题解析:∵a﹣b=2,b﹣c=﹣3,∴a﹣c=(a﹣b)+(b﹣c)=2﹣3=﹣1,故选B考点:整式的加减.16.(2017江苏盐城第5题)下列运算中,正确的是()A.7a+a=7a2 B.a2•a3=a6 C.a3÷a=a2 D.(ab)2=ab2【答案】C【解析】试题解析:A、错误、7a+a=8a.B、错误.a2•a3=a5.C、正确.a3÷a=a2.D、错误.(ab)2=a2b2故选C.考点:幂的乘方与积的乘方;合并同类项;同底数幂的乘法.17.(2017贵州黔东南州第3题)下列运算结果正确的是()A.3a﹣a=2 B.(a﹣b)2=a2﹣b2C.6ab2÷(﹣2ab)=﹣3b D.a(a+b)=a2+b【答案】C考点:整式的混合运算.18.(2017四川泸州第3题)下列各式计算正确的是()A.2x•3x=6x B.3x-2x=x C.(2x)2=4x D.6x÷2x=3x 【答案】B.【解析】试题解析:A、原式=6x2,不符合题意;B、原式=x,符合题意;C、原式=4x2,不符合题意;D、原式=3,不符合题意,故选B考点:整式的混合运算.19.(2017新疆建设兵团第5题)下列运算正确的是()A.6a﹣5a=1 B.(a2)3=a5C.3a2+2a3=5a5D.2a•3a2=6a3【答案】D.【解析】试题解析:A、6a﹣5a=a,故错误;B 、(a 2)3=a 6,故错误;C 、3a 2+2a 3,不是同类项不能合并,故错误; D 、2a•3a 2=6a 3,故正确; 故选D .考点:单项式乘单项式;合并同类项;幂的乘方与积的乘方. 20.(2017江苏徐州第4题)下列运算正确的是( )A .()a b c a b c -+=-+B .235236a a a ⋅=C. 5302a a a += D .()2211x x +=+【答案】B . 【解析】试题解析:A 、原式=a-b-c ,故本选项错误; B 、原式=6a 5,故本选项正确; C 、原式=2a 3,故本选项错误; D 、原式=x 2+2x+1,故本选项错误; 故选B .考点:1.单项式乘单项式;2.整式的加减;3.完全平方公式. 二、填空题1.(2017浙江衢州第12题)计算:=+-++1112x xx x __________ 【答案】1. 【解析】 试题解析:原式=2+1-x1x 1x =+考点:分式的加法.2.(2017浙江衢州第14题)如图,从边长为(a+3)的正方形纸片中剪去一个边长为3的正方形,剩余部分沿虚线又剪拼成一个如图所示的长方形(不重叠无缝隙),则拼成的长方形的另一边长是 .【答案】a+6.试题解析:拼成的长方形的面积=(a+3)2﹣32,=(a+3+3)(a+3﹣3),=a(a+6),∵拼成的长方形一边长为a,∴另一边长是a+6.考点:图形的拼接.3.(2017甘肃庆阳第11题)分解因式:x2-2x+1= .【答案】(x-1)2.【解析】试题解析:x2-2x+1=(x-1)2.考点:因式分解-运用公式法.4.(2017甘肃庆阳第13题)如果m是最大的负整数,n是绝对值最小的有理数,c是倒数等于它本身的自然数,那么代数式m2015+2016n+c2017的值为【答案】0【解析】试题解析:由题意可知:m=﹣1,n=0,c=1∴原式=(﹣1)2015+2016×0+12017=0考点:代数式求值.5.(2017贵州安顺第11题)分解因式:x3﹣9x= .【答案】x(x+3)(x﹣3)【解析】试题解析:原式=x(x2﹣9)=x(x+3)(x﹣3)考点:提公因式法与公式法的综合运用.6.(2017贵州安顺第14题)已知x2y+xy2的值为.【答案】【解析】试题解析:∵xy=,=xy(x+y)考点:因式分解的应用.7. (2017贵州安顺第15题)若代数式x2+kx+25是一个完全平方式,则k= .【答案】±10.【解析】试题解析:∵代数式x2+kx+25是一个完全平方式,∴k=±10.考点:完全平方式.8.(2017湖北武汉第12题)计算2111xx x-++的结果为.【答案】x-1. 【解析】试题解析:2111xx x-++=211)(1)=111(-+-=-++x x xxx x考点:分式的加减法.9.(2017湖南怀化第11题)因式分解:2m m-=.【答案】m(m﹣1)【解析】试题解析:m2﹣m=m(m﹣1)考点:因式分解﹣提公因式法.10.(2017湖南怀化第12题)计算:2111xx x-=--.【答案】x+1 【解析】试题解析:2111xx x-=--21(1)(1)x111x x xx x-+-==+--考点:分式的加减法.11.(2017江苏无锡第12题)分解因式:3a2﹣6a+3= .【答案】3(a﹣1)2.【解析】试题解析:原式=3(a2﹣2a+1)=3(a﹣1)2.考点:提公因式法与公式法的综合运用.12.(2017江苏盐城第8题)分解因式a2b-a的结果为【答案】a(ab-1)【解析】试题解析:a2b-a=a(ab-1)考点:提公因式法与公式法的综合运用.13.(2017贵州黔东南州第13题)在实数范围内因式分解:x5﹣4x= .【答案】x(x2+2)((x【解析】试题解析:原式=x(x4﹣22),=x(x2+2)(x2﹣2)=x(x2+2)((x,考点:实数范围内分解因式.14.(2017四川泸州第14题)分解因式:2m2-8= .【答案】2(m+2)(m-2)【解析】试题解析:2m2-8,=2(m2-4),=2(m+2)(m-2)考点:提公因式法与公式法的综合运用.15.(2017四川宜宾第9题)分解因式:xy2﹣4x= .【答案】x(y+2)(y﹣2)【解析】试题解析:原式=x(y2﹣4)=x(y+2)(y﹣2)考点:提公因式法与公式法的综合运用.16.(2017新疆建设兵团第10题)分解因式:x 2﹣1= . 【答案】(x+1)(x ﹣1). 【解析】试题解析:x 2﹣1=(x+1)(x ﹣1). 考点:因式分解﹣运用公式法.17.(2017江苏徐州第14题)已知10,8a b a b +=-=,则22a b -= . 【答案】80. 【解析】试题解析:∵(a+b )(a-b )=a 2-b 2, ∴a 2-b 2=10×8=80. 考点:平方差公式.18.(2017浙江嘉兴第11题)分解因式:2ab b -= . 【答案】b (a-b ) 【解析】试题解析:原式=b (a-b ) 考点:因式分解-提公因式法. 三.解答题1.(2017山东德州第18题)先化简,在求值:222442342a a a a a a-+-÷--+,其中a=72. 【答案】12.考点:分式的化简求值.2.(2017浙江宁波第19题)先化简,再求值:()()()()2215x x x x +-+-+,其中32x =.【答案】5. 【解析】试题分析:利用平方差公式和多项式乘以多项式进行化简,然后把x=32代入化简结果中即可求解. 试题解析:()()()()2215x x x x +-+-+ =4-x 2+x 2+4x-5 =4x-1 当x=32时,原式=4×32-1=5. 考点:1.平方差公式;3.多项式乘以多项式;3.代数式求值. 3.(2017重庆A 卷第21题)计算: (1)x (x ﹣2y )﹣(x+y )2(2)2321(2)a 22a a a a -++-÷++.【答案】(1)﹣4xy ﹣y 2;(2)a+1a-1. 【解析】试题分析:(1)先去括号,再合并同类项即可得出结果;(2)先将括号里的进行通分,再将除法转化为乘法,分解因式后进行约分. 试题解析:(1)x (x ﹣2y )﹣(x+y )2, =x 2﹣2xy ﹣x 2﹣2xy ﹣y 2, =﹣4xy ﹣y 2;(2)(3a 2++a ﹣2)÷2212a a a -++=[3a 2++(a+2)(a-2)a 2+]22(1)a a +⨯-, =22a -122(1)a a a +⨯+-,=a+1a-1. 考点:1.单项式乘以多项式;2.完全平方公式;3.分式的混合运算.4.(2017广西贵港第19(2)题)先化简,在求值:21142111a a a a +⎛⎫-+⎪-+-⎝⎭,其中2a =-【答案】【解析】试题分析:先化简原式,然后将a 的值代入即可求出答案.试题解析:当原式=()()4211()(112)aa a a a ++-++- =2621aa +-2考点:分式的化简求值5.(2017贵州安顺第20题)先化简,再求值:(x ﹣1)÷(21x +﹣1),其中x 为方程x 2+3x+2=0的根.【答案】1. 【解析】试题分析:先根据分式混合运算的法则把原式进行化简,再把a 的值代入进行计算即可.考点:分式的化简求值;解一元二次方程﹣因式分解法.6.(2017湖南怀化第21题)先化简,再求值:()()()()2212112a a a a a --+---,其中1a . 【答案】4. 【解析】试题分析:原式利用完全平方公式,平方差公式,以及单项式乘以多项式法则计算,去括号合并得到最简结果,把a 的值代入计算即可求出值.试题解析:原式=4a 2﹣4a+1﹣2a 2+2﹣a 2+2a=a 2﹣2a+3,当1a 时,原式2+3=4. 考点:整式的混合运算—化简求值.7.(2017江苏无锡第19(2)题)计算:(a+b )(a ﹣b )﹣a (a ﹣b ) 【答案】ab ﹣b 2【解析】试题分析:根据平方差公式以及单项式乘以多项式法则即可求出答案. 试题解析:原式=a 2﹣b 2﹣a 2+ab=ab ﹣b 2考点:1.平方差公式;2.单项式乘多项式.8.(2017江苏盐城第19题)先化简,再求值:35222x (x )x x +÷+---,其中【答案】13. 【解析】试题分析:原式括号中两项通分并利用同分母分式的减法法则计算,约分得到最简结果,把x 的值代入计算即可求出值.试题解析:原式=2345222x x ()x x x +-÷----=23922x x x x +-÷--=()()32•233x x x x x +--+- =13x -,当时,原式11=3. 考点:分式的化简求值.9.(2017贵州黔东南州第18题)先化简,再求值:2211(1)x x x x x x----÷+,其中.【解析】试题分析:原式括号中两项通分并利用同分母分式的减法法则计算,同时利用除法法则变形,约分得到最简结果,把x 的值代入计算即可求出值.试题解析:原式=()()()()()()221121(1••11111)x x x x x x x x x x x x x x ++-+-==-+-+-当时,原式 考点:分式的化简求值.10.(2017山东烟台第19题)先化简,再求值:xyx y x x y xy x +-÷--2222)2(,其中2=x ,12-=y . 【答案】1. 【解析】试题分析:根据分式的减法和除法可以化简题目中的式子,然后将x 、y 的值代入化简后的式子即可解答本题.考点:分式的化简求值.11.(2017四川泸州第19题)化简:2x-225(1)x 14x x +++- 【答案】12x x ++ 【解析】试题分析:原式括号中两项通分并利用同分母分式的加法法则计算,约分即可得到结果. 试题解析:原式=()()()2121•1222x x x x x x x +-+=+++-. 考点:分式的混合运算.12.(2017四川宜宾第17(2)题)化简(1﹣11a -)÷( 2244a a a a-+-). 【答案】a2a -.【解析】试题分析:先算减法和分解因式,把除法变成乘法,最后根据分式的乘法法则进行计算即可.试题解析:原式=211(2)1(1)a a a a a ---÷--=2a-2(1)a-1(2)a a a -⨯- =a2a -. 考点:分式的混合运算.13.(2017四川自贡第20题)先化简,再求值:211()a 22a a a -+÷++,其中a=2.【答案】3. 【解析】试题分析:原式括号中的两项通分并利用同分母分式的加法法则计算,同时利用除法法则变形,约分即可得到结果.试题解析:(a+12a +)÷2a 12a -+,=[(2)122a a a a ++++]×a 2(1)(1)a a +-+ =2(1)22(1)(1)a a a a a ++⨯+-+=a+1a-1当a=2时,原式=2+12-1=3. 考点:分式的化简求值.14.(2017江苏徐州第19(2)题)2421244x x x x +⎛⎫+÷ ⎪--+⎝⎭. 【答案】x-2.考点:1.分式的混合运算;15.(2017浙江嘉兴第17(2)题)化简:(2)(2)33mm m m +--⨯.【答案】-4.【解析】试题分析:首先利用平方差公式和单项式的乘法法则计算,最后合并同类项即可.试题解析:原式=m2-4-m2=-4.考点:1.平方差公式;2.单项式乘单项式.。
2020年上海16区中考物理一模试题分类汇编(五)——压强计算题1.(2020年宝山一模)如图12所示,轻质薄壁圆柱形容器置于水平地面,容器中盛有体积为3×10-3米3的水。
⑴求水的质量m 水。
⑵求0.1米深处水的压强p 水。
⑶现有质量为3千克的柱状物体,其底面积是容器的三分之二。
若通过两种方法增大地面受到的压强,并测出压强的变化量,如下表所示。
请根据表中的信息,通过计算判断将物体放入容器时是否有水溢出,若有水溢出请求出溢出水的重力ΔG 水;若无水溢出请说明理由。
【答案】(1)m 水=ρ水V 水=1.0×103千克/米3⨯3×10-3米3=3千克。
(2)p水=ρ水gh水=1.0⨯103千克/米3⨯9.8牛/千克⨯0.1米=980帕。
(3)Δp 1=(G 水+ G 物)/S 物- G 水/ S 容器=2 G 水/(2S 容器/3)- G 水/ S 容器=2 G 水/ S 容器∴S 容器=2 G 水/Δp 2=2×(3千克⨯9.8牛/千克)/2940帕=0.02米2。
假设将物体放入容器中时,有ΔG 水溢出则Δp 2=(2G 水- ΔG 水)/S 容器- G 水/ S 容器∴ΔG 水=G 水-(Δp 1/ S 容器)=(3千克⨯9.8牛/千克)-(1225帕× 0.02米2)=4.9牛。
∵ΔG水>0 ∴假设成立。
即有4.9牛的水溢出。
2.(2020年崇明一模)如图9(a)所示,轻质薄壁圆柱形容器甲置于水平地面,底面积为2S ,容器高0.2米,内盛0.15米深的水。
①若容器的底面积为22410-⨯米,求容器中水的质量m ; ②求0.1米深处水的压强p ;③现有密度为6ρ水的圆柱体乙,如图9(b)所示,将乙竖放入容器甲中.若要使水对容器底部的压强ρ水最大,求乙的底面积的最小值S 乙小。
【答案】① m =ρV =103千克/米3×4×10-2米2×0.15米=6千克 ② p =ρ gh =1×103千克/米3×9.8牛/千克×0.1米=980帕图12(公式、代入、结果各1分,共3分)③V缺水=V柱体2 S×(0.2米-0.15米)=S乙小×0.2米S乙小=0.5 S3.(2020年奉贤一模)如图13所示,圆柱形木块甲与薄壁圆柱形容器乙放置于水平桌面上,已知木块甲的密度为0.6×103千克/米3,高为0.3米、底面积为2×10-2米2的乙容器内盛有0.2米深的水。
2020年中考数学试卷一、选择题:本大题共10小题,在每小题给出的四个选项中,只有一项是正确的,请把正确的选项选出来.每小题选对得3分,选错、不选或选出的答案超过一个均记零分.1.(3.00分)﹣的倒数是()A.﹣5 B.5 C.﹣ D.2.(3.00分)下列运算正确的是()A.﹣(x﹣y)2=﹣x2﹣2xy﹣y2B.a2+a2=a4C.a2•a3=a6 D.(xy2)2=x2y43.(3.00分)下列图形中,根据AB∥CD,能得到∠1=∠2的是()A.B.C.D.4.(3.00分)在平面直角坐标系中,若点P(m﹣2,m+1)在第二象限,则m 的取值范围是()A.m<﹣1 B.m>2 C.﹣1<m<2 D.m>﹣15.(3.00分)为了帮助市内一名患“白血病”的中学生,东营市某学校数学社团15名同学积极捐款,捐款情况如下表所示,下列说法正确的是()A.众数是100 B.中位数是30 C.极差是20 D.平均数是306.(3.00分)小岩打算购买气球装扮学校“毕业典礼”活动会场,气球的种类有笑脸和爱心两种,两种气球的价格不同,但同一种气球的价格相同.由于会场布置需要,购买时以一束(4个气球)为单位,已知第一、二束气球的价格如图所示,则第三束气球的价格为()A.19 B.18 C.16 D.157.(3.00分)如图,在四边形ABCD中,E是BC边的中点,连接DE并延长,交AB的延长线于点F,AB=BF.添加一个条件使四边形ABCD是平行四边形,你认为下面四个条件中可选择的是()A.AD=BC B.CD=BF C.∠A=∠C D.∠F=∠CDF8.(3.00分)如图所示,圆柱的高AB=3,底面直径BC=3,现在有一只蚂蚁想要从A处沿圆柱表面爬到对角C处捕食,则它爬行的最短距离是()A. B.C.D.9.(3.00分)如图所示,已知△ABC中,BC=12,BC边上的高h=6,D为BC上一点,EF∥BC,交AB于点E,交AC于点F,设点E到边BC的距离为x.则△DEF 的面积y关于x的函数图象大致为()A.B.C.D.10.(3.00分)如图,点E在△DBC的边DB上,点A在△DBC内部,∠DAE=∠BAC=90°,AD=AE,AB=AC.给出下列结论:①BD=CE;②∠ABD+∠ECB=45°;③BD⊥CE;④BE2=2(AD2+AB2)﹣CD2.其中正确的是()A.①②③④B.②④C.①②③D.①③④二、填空题:本大题共8小题,其中11-14题每小题3分,15-18题每小题3分,共28分.只要求填写最后结果.11.(3.00分)东营市大力推动新旧动能转换,产业转型升级迈出新步伐.建立了新旧动能转换项目库,筛选论证项目377个,计划总投资4147亿元.4147亿元用科学记数法表示为元.12.(3.00分)分解因式:x3﹣4xy2=.13.(3.00分)有五张背面完全相同的卡片,其正面分别画有等腰三角形、平行四边形、矩形、正方形、菱形,将这五张卡片背面朝上洗匀,从中随机抽取一张,卡片上的图形是中心对称图形的概率是.14.(3.00分)如图,B(3,﹣3),C(5,0),以OC,CB为边作平行四边形OABC,则经过点A的反比例函数的解析式为.15.(4.00分)如图,在Rt△ABC中,∠B=90°,以顶点C为圆心,适当长为半径画弧,分别交AC,BC于点E,F,再分别以点E,F为圆心,大于EF的长为半径画弧,两弧交于点P,作射线CP交AB于点D.若BD=3,AC=10,则△ACD的面积是.16.(4.00分)已知一个圆锥体的三视图如图所示,则这个圆锥体的侧面积为.17.(4.00分)在平面直角坐标系内有两点A、B,其坐标为A(﹣1,﹣1),B(2,7),点M为x轴上的一个动点,若要使MB﹣MA的值最大,则点M的坐标为.18.(4.00分)如图,在平面直角坐标系中,点A1,A2,A3,…和B1,B2,B3,…分别在直线y=x+b和x轴上.△OA1B1,△B1A2B2,△B2A3B3,…都是等腰直角三角形.如果点A1(1,1),那么点A2018的纵坐标是.三、解答题:本大题共7小题,共62分.解答要写出必要的文字说明、证明过程或演算步骤.19.(7.00分)(1)计算:|2﹣|+(+1)0﹣3tan30°+(﹣1)2018﹣()﹣1;(2)解不等式组:并判断﹣1,这两个数是否为该不等式组的解.20.(8.00分)2018年东营市教育局在全市中小学开展了“情系疏勒书香援疆”捐书活动,200多所学校的师生踊跃参与,向新疆疏勒县中小学共捐赠爱心图书28.5万余本.某学校学生社团对本校九年级学生所捐图书进行统计,根据收集的数据绘制了下面不完整的统计图表.请你根据统计图表中所提供的信息解答下列问题:(1)求该校九年级共捐书多少本;(2)统计表中的a=,b=,c=,d=;(3)若该校共捐书1500本,请估计“科普图书”和“小说”一共多少本;(4)该社团3名成员各捐书1本,分别是1本“名人传记”,1本“科普图书”,1本“小说”,要从这3人中任选2人为受赠者写一份自己所捐图书的简介,请用列表法或树状图求选出的2人恰好1人捐“名人传记”,1人捐“科普图书”的概率.21.(8.00分)小明和小刚相约周末到雪莲大剧院看演出,他们的家分别距离剧院1200m和2000m,两人分别从家中同时出发,已知小明和小刚的速度比是3:4,结果小明比小刚提前4min到达剧院.求两人的速度.22.(8.00分)如图,CD是⊙O的切线,点C在直径AB的延长线上.(1)求证:∠CAD=∠BDC;(2)若BD=AD,AC=3,求CD的长.23.(9.00分)关于x的方程2x2﹣5xsinA+2=0有两个相等的实数根,其中∠A是锐角三角形ABC的一个内角.(1)求sinA的值;(2)若关于y的方程y2﹣10y+k2﹣4k+29=0的两个根恰好是△ABC的两边长,求△ABC的周长.24.(10.00分)(1)某学校“智慧方园”数学社团遇到这样一个题目:如图1,在△ABC中,点O在线段BC上,∠BAO=30°,∠OAC=75°,AO=,BO:CO=1:3,求AB的长.经过社团成员讨论发现,过点B作BD∥AC,交AO的延长线于点D,通过构造△ABD就可以解决问题(如图2).请回答:∠ADB=°,AB=.(2)请参考以上解决思路,解决问题:如图3,在四边形ABCD中,对角线AC与BD相交于点O,AC⊥AD,AO=,∠ABC=∠ACB=75°,BO:OD=1:3,求DC的长.25.(12.00分)如图,抛物线y=a(x﹣1)(x﹣3)(a>0)与x轴交于A、B两点,抛物线上另有一点C在x轴下方,且使△OCA∽△OBC.(1)求线段OC的长度;(2)设直线BC与y轴交于点M,点C是BM的中点时,求直线BM和抛物线的解析式;(3)在(2)的条件下,直线BC下方抛物线上是否存在一点P,使得四边形ABPC 面积最大?若存在,请求出点P的坐标;若不存在,请说明理由.中考数学试卷参考答案与试题解析一、选择题:本大题共10小题,在每小题给出的四个选项中,只有一项是正确的,请把正确的选项选出来.每小题选对得3分,选错、不选或选出的答案超过一个均记零分.1.(3.00分)﹣的倒数是()A.﹣5 B.5 C.﹣ D.【分析】根据倒数的定义,互为倒数的两数乘积为1.【解答】解:﹣的倒数是﹣5,故选:A.【点评】主要考查倒数的概念及性质.倒数的定义:若两个数的乘积是1,我们就称这两个数互为倒数.2.(3.00分)下列运算正确的是()A.﹣(x﹣y)2=﹣x2﹣2xy﹣y2B.a2+a2=a4C.a2•a3=a6 D.(xy2)2=x2y4【分析】根据完全平方公式、合并同类项法则、同底数幂的乘法、积的乘方与幂的乘方逐一计算可得.【解答】解:A、﹣(x﹣y)2=﹣x2+2xy﹣y2,此选项错误;B、a2+a2=2a2,此选项错误;C、a2•a3=a5,此选项错误;D、(xy2)2=x2y4,此选项正确;故选:D.【点评】本题主要考查整式的运算,解题的关键是掌握完全平方公式、合并同类项法则、同底数幂的乘法、积的乘方与幂的乘方.3.(3.00分)下列图形中,根据AB∥CD,能得到∠1=∠2的是()A.B.C.D.【分析】两直线平行,同位角相等;两直线平行,同旁内角互补;两直线平行,内错角相等,据此进行判断即可.【解答】解:A.根据AB∥CD,能得到∠1+∠2=180°,故本选项不符合题意;B.如图,根据AB∥CD,能得到∠3=∠4,再根据对顶角相等,可得∠1=∠2,故本选项符合题意;C.根据AC∥BD,能得到∠1=∠2,故本选项不符合题意;D.根据AB平行CD,不能得到∠1=∠2,故本选项不符合题意;故选:B.【点评】本题主要考查了平行线的性质,解题时注意:两直线平行,同位角相等;两直线平行,同旁内角互补;两直线平行,内错角相等.4.(3.00分)在平面直角坐标系中,若点P(m﹣2,m+1)在第二象限,则m 的取值范围是()A.m<﹣1 B.m>2 C.﹣1<m<2 D.m>﹣1【分析】根据第二象限内点的横坐标是负数,纵坐标是正数列出不等式组求解即可.【解答】解:∵点P(m﹣2,m+1)在第二象限,∴,解得﹣1<m<2.故选:C.【点评】本题考查了各象限内点的坐标的符号特征以及解不等式,记住各象限内点的坐标的符号是解决的关键,四个象限的符号特点分别是:第一象限(+,+);第二象限(﹣,+);第三象限(﹣,﹣);第四象限(+,﹣).5.(3.00分)为了帮助市内一名患“白血病”的中学生,东营市某学校数学社团15名同学积极捐款,捐款情况如下表所示,下列说法正确的是()A.众数是100 B.中位数是30 C.极差是20 D.平均数是30【分析】根据中位数、众数和极差的概念及平均数的计算公式,分别求出这组数据的中位数、平均数、众数和极差,得到正确结论.【解答】解:该组数据中出现次数最多的数是30,故众数是30不是100,所以选项A不正确;该组共有15个数据,其中第8个数据是30,故中位数是30,所以选项B正确;该组数据的极差是100﹣10=90,故极差是90不是20,所以选项C不正确;该组数据的平均数是=不是30,所以选项D 不正确.故选:B.【点评】本题考查了中位数、平均数、众数和极差的概念.题目难度不大,注意勿混淆概念.6.(3.00分)小岩打算购买气球装扮学校“毕业典礼”活动会场,气球的种类有笑脸和爱心两种,两种气球的价格不同,但同一种气球的价格相同.由于会场布置需要,购买时以一束(4个气球)为单位,已知第一、二束气球的价格如图所示,则第三束气球的价格为()A.19 B.18 C.16 D.15【分析】设一个笑脸气球的单价为x元/个,一个爱心气球的单价为y元/个,根据前两束气球的价格,即可得出关于x、y的方程组,用前两束气球的价格相加除以2,即可求出第三束气球的价格.【解答】解:设一个笑脸气球的单价为x元/个,一个爱心气球的单价为y元/个,根据题意得:,方程(①+②)÷2,得:2x+2y=18.故选:B.【点评】本题考查了二元一次方程组的应用,找准等量关系,正确列出二元一次方程组是解题的关键.7.(3.00分)如图,在四边形ABCD中,E是BC边的中点,连接DE并延长,交AB的延长线于点F,AB=BF.添加一个条件使四边形ABCD是平行四边形,你认为下面四个条件中可选择的是()A.AD=BC B.CD=BF C.∠A=∠C D.∠F=∠CDF【分析】正确选项是D.想办法证明CD=AB,CD∥AB即可解决问题;【解答】解:正确选项是D.理由:∵∠F=∠CDF,∠CED=∠BEF,EC=BE,∴△CDE≌△BFE,CD∥AF,∴CD=BF,∵BF=AB,∴CD=AB,∴四边形ABCD是平行四边形.故选:D.【点评】本题考查平行四边形的判定和性质、全等三角形的判定和性质等知识,解题的关键是正确寻找全等三角形解决问题,属于中考常考题型.8.(3.00分)如图所示,圆柱的高AB=3,底面直径BC=3,现在有一只蚂蚁想要从A处沿圆柱表面爬到对角C处捕食,则它爬行的最短距离是()A. B.C.D.【分析】要求最短路径,首先要把圆柱的侧面展开,利用两点之间线段最短,然后利用勾股定理即可求解.【解答】解:把圆柱侧面展开,展开图如右图所示,点A、C的最短距离为线段AC的长.在Rt△ADC中,∠ADC=90°,CD=AB=3,AD为底面半圆弧长,AD=1.5π,所以AC=,故选:C.【点评】本题考查了平面展开﹣最短路径问题,解题的关键是会将圆柱的侧面展开,并利用勾股定理解答.9.(3.00分)如图所示,已知△ABC中,BC=12,BC边上的高h=6,D为BC上一点,EF∥BC,交AB于点E,交AC于点F,设点E到边BC的距离为x.则△DEF 的面积y关于x的函数图象大致为()A.B.C.D.【分析】可过点A向BC作AH⊥BC于点H,所以根据相似三角形的性质可求出EF,进而求出函数关系式,由此即可求出答案.【解答】解:过点A向BC作AH⊥BC于点H,所以根据相似比可知:=,即EF=2(6﹣x)所以y=×2(6﹣x)x=﹣x2+6x.(0<x<6)该函数图象是抛物线的一部分,故选:D.【点评】此题考查根据几何图形的性质确定函数的图象和函数图象的读图能力.要能根据几何图形和图形上的数据分析得出所对应的函数的类型和所需要的条件,结合实际意义画出正确的图象.10.(3.00分)如图,点E在△DBC的边DB上,点A在△DBC内部,∠DAE=∠BAC=90°,AD=AE,AB=AC.给出下列结论:①BD=CE;②∠ABD+∠ECB=45°;③BD⊥CE;④BE2=2(AD2+AB2)﹣CD2.其中正确的是()A.①②③④B.②④C.①②③D.①③④【分析】只要证明△DAB≌△EAC,利用全等三角形的性质即可一一判断;【解答】解:∵∠DAE=∠BAC=90°,∴∠DAB=∠EAC∵AD=AE,AB=AC,∴△DAB≌△EAC,∴BD=CE,∠ABD=∠ECA,故①正确,∴∠ABD+∠ECB=∠ECA+∠ECB=∠ACB=45°,故②正确,∵∠ECB+∠EBC=∠ABD+∠ECB+∠ABC=45°+45°=90°,∴∠CEB=90°,即CE⊥BD,故③正确,∴BE2=BC2﹣EC2=2AB2﹣(CD2﹣DE2)=2AB2﹣CD2+2AD2=2(AD2+AB2)﹣CD2.故④正确,故选:A.【点评】本题考查全等三角形的判定和性质、勾股定理、等腰直角三角形的性质等知识,解题的关键是正确寻找全等三角形解决问题,属于中考选择题中的压轴题.二、填空题:本大题共8小题,其中11-14题每小题3分,15-18题每小题3分,共28分.只要求填写最后结果.11.(3.00分)东营市大力推动新旧动能转换,产业转型升级迈出新步伐.建立了新旧动能转换项目库,筛选论证项目377个,计划总投资4147亿元.4147亿元用科学记数法表示为 4.147×1011元.【分析】科学记数法的表示形式为a×10n的形式,其中1≤|a|<10,n为整数.确定n的值时,要看把原数变成a时,小数点移动了多少位,n的绝对值与小数点移动的位数相同.当原数绝对值>1时,n是正数;当原数的绝对值<1时,n 是负数.【解答】解:4147亿元用科学记数法表示为4.147×1011,故答案为:4.147×1011【点评】此题考查科学记数法的表示方法.科学记数法的表示形式为a×10n的形式,其中1≤|a|<10,n为整数,表示时关键要正确确定a的值以及n的值.12.(3.00分)分解因式:x3﹣4xy2=x(x+2y)(x﹣2y).【分析】原式提取x,再利用平方差公式分解即可.【解答】解:原式=x(x2﹣4y2)=x(x+2y)(x﹣2y),故答案为:x(x+2y)(x﹣2y)【点评】此题考查了提公因式法与公式法的综合运用,熟练掌握因式分解的方法是解本题的关键.13.(3.00分)有五张背面完全相同的卡片,其正面分别画有等腰三角形、平行四边形、矩形、正方形、菱形,将这五张卡片背面朝上洗匀,从中随机抽取一张,卡片上的图形是中心对称图形的概率是.【分析】直接利用中心对称图形的性质结合概率求法直接得出答案.【解答】解:∵等腰三角形、平行四边形、矩形、正方形、菱形中,平行四边形、矩形、正方形、菱形都是中心对称图形,∴从中随机抽取一张,卡片上的图形是中心对称图形的概率是:.故答案为:.【点评】此题主要考查了中心对称图形的性质和概率求法,正确把握中心对称图形的定义是解题关键.14.(3.00分)如图,B(3,﹣3),C(5,0),以OC,CB为边作平行四边形OABC,则经过点A的反比例函数的解析式为y=.【分析】设A坐标为(x,y),根据四边形OABC为平行四边形,利用平移性质确定出A的坐标,利用待定系数法确定出解析式即可.【解答】解:设A坐标为(x,y),∵B(3,﹣3),C(5,0),以OC,CB为边作平行四边形OABC,∴x+5=0+3,y+0=0﹣3,解得:x=﹣2,y=﹣3,即A(﹣2,﹣3),设过点A的反比例解析式为y=,把A(﹣2,﹣3)代入得:k=6,则过点A的反比例解析式为y=,故答案为:y=【点评】此题考查了待定系数法求反比例函数解析式,以及平行四边形的性质,熟练掌握待定系数法是解本题的关键.15.(4.00分)如图,在Rt△ABC中,∠B=90°,以顶点C为圆心,适当长为半径画弧,分别交AC,BC于点E,F,再分别以点E,F为圆心,大于EF的长为半径画弧,两弧交于点P,作射线CP交AB于点D.若BD=3,AC=10,则△ACD的面积是15.【分析】作DQ⊥AC,由角平分线的性质知DB=DQ=3,再根据三角形的面积公式计算可得.【解答】解:如图,过点D作DQ⊥AC于点Q,由作图知CP是∠ACB的平分线,∵∠B=90°,BD=3,∴DB=DQ=3,∵AC=10,=•AC•DQ=×10×3=15,∴S△ACD故答案为:15.【点评】本题主要考查作图﹣基本作图,解题的关键是掌握角平分线的尺规作图及角平分线的性质.16.(4.00分)已知一个圆锥体的三视图如图所示,则这个圆锥体的侧面积为20π.【分析】先利用三视图得到底面圆的半径为4,圆锥的高为3,再根据勾股定理=πrl代入计算即可.计算出母线长l为5,然后根据圆锥的侧面积公式:S侧【解答】解:根据三视图得到圆锥的底面圆的直径为8,即底面圆的半径r为4,圆锥的高为3,所以圆锥的母线长l==5,所以这个圆锥的侧面积是π×4×5=20π.故答案为:20π【点评】本题考查了圆锥的计算,连接圆锥顶点和底面圆周上任意一点的线段叫做圆锥的母线.连接顶点与底面圆心的线段叫圆锥的高.圆锥的侧面展开图为一扇形,这个扇形的弧长等于圆锥底面的周长,扇形的半径等于圆锥的母线长.掌握圆锥的侧面积公式:S=•2πr•l=πrl是解题的关键.也考查了三视图.侧17.(4.00分)在平面直角坐标系内有两点A、B,其坐标为A(﹣1,﹣1),B(2,7),点M为x轴上的一个动点,若要使MB﹣MA的值最大,则点M的坐标为.【分析】要使得MB﹣MA的值最大,只需取其中一点关于x轴的对称点,与另一点连成直线,然后求该直线x轴交点即为所求.【解答】解:取点B关于x轴的对称点B′,则直线AB′交x轴于点M.点M即为所求.设直线AB′解析式为:y=kx+b把点A(﹣1,﹣1)B′(2,﹣7)代入解得∴直线AB′为:y=﹣2x﹣3,当y=0时,x=﹣∴M坐标为(﹣,0)故答案为:(﹣,0)【点评】本题考查轴对称﹣最短路线问题、坐标与图象变换,解答本题的关键是明确题意,利用三角形两边之差小于第三边和一次函数的性质解答.18.(4.00分)如图,在平面直角坐标系中,点A1,A2,A3,…和B1,B2,B3,…分别在直线y=x+b和x轴上.△OA1B1,△B1A2B2,△B2A3B3,…都是等腰直角三角形.如果点A1(1,1),那么点A2018的纵坐标是.【分析】因为每个A点为等腰直角三角形的直角顶点,则每个点A的纵坐标为对应等腰直角三角形的斜边一半.故先设出各点A的纵坐标,可以表示A的横坐标,代入解析式可求点A的纵坐标,规律可求.【解答】解:分别过点A1,A2,A3,…向x轴作垂线,垂足为C1,C2,C3,…∵点A1(1,1)在直线y=x+b上∴代入求得:b=∴y=x+∵△OA1B1为等腰直角三角形∴OB1=2设点A2坐标为(a,b)∵△B1A2B2为等腰直角三角形∴A2C2=B1C2=b∴a=OC2=OB1+B1C2=2+b把A2(2+b,b)代入y=x+解得b=∴OB2=5同理设点A3坐标为(a,b)∵△B2A3B3为等腰直角三角形∴A3C3=B2C3=b∴a=OC3=OB2+B2C3=5+b把A2(5+b,b)代入y=x+解得b=以此类推,发现每个A的纵坐标依次是前一个的倍则A2018的纵坐标是故答案为:【点评】本题为一次函数图象背景下的规律探究题,结合了等腰直角三角形的性质,解答过程中注意对比每个点A的纵坐标变化规律.三、解答题:本大题共7小题,共62分.解答要写出必要的文字说明、证明过程或演算步骤.19.(7.00分)(1)计算:|2﹣|+(+1)0﹣3tan30°+(﹣1)2018﹣()﹣1;(2)解不等式组:并判断﹣1,这两个数是否为该不等式组的解.【分析】(1)先求出每一部分的值,再代入求出即可;(2)先求出不等式的解集,再求出不等式组的解集,再判断即可.【解答】解:(1)原式==;(2)∵解不等式①得:x>﹣3,解不等式②得:x≤1∴不等式组的解集为:﹣3<x≤1,则﹣1是不等式组的解,不是不等式组的解.【点评】本题考查了绝对值、特殊角的三角函数值、零指数幂、负整数指数幂、解一元一次组等知识点,能求出每一部分的值是解(1)的关键,能求出不等式组的解集是解(2)的关键.20.(8.00分)2018年东营市教育局在全市中小学开展了“情系疏勒书香援疆”捐书活动,200多所学校的师生踊跃参与,向新疆疏勒县中小学共捐赠爱心图书28.5万余本.某学校学生社团对本校九年级学生所捐图书进行统计,根据收集的数据绘制了下面不完整的统计图表.请你根据统计图表中所提供的信息解答下列问题:(1)求该校九年级共捐书多少本;(2)统计表中的a=0.35,b=150,c=0.22,d=0.13;(3)若该校共捐书1500本,请估计“科普图书”和“小说”一共多少本;(4)该社团3名成员各捐书1本,分别是1本“名人传记”,1本“科普图书”,1本“小说”,要从这3人中任选2人为受赠者写一份自己所捐图书的简介,请用列表法或树状图求选出的2人恰好1人捐“名人传记”,1人捐“科普图书”的概率.【分析】(1)根据名人传记的圆心角求得其人数所占百分比,再用名人传记的人数除以所得百分比可得总人数;(2)根据频率=频数÷总数分别求解可得;(3)用总人数乘以样本中科普图书和小说的频率之和可得;(4)列表得出所有等可能结果,从中找到恰好1人捐“名人传记”,1人捐“科普图书”的结果数,利用概率公式求解可得.【解答】解:(1)该校九年级共捐书:;(2)a=175÷500=0.35、b=500×0.3=150、c=110÷500=0.22、d=65÷500=0.13,故答案为:0.35、150、0.22、0.13;(3)估计“科普图书”和“小说”一共1500×(0.3+0.22)=780(本);(4)分别用“1、2、3”代表“名人传记”、“科普图书”、“小说”三本书,可用列表法表示如下:则所有等可能的情况有6种,其中2人恰好1人捐“名人传记”,1人捐“科普图书”的情况有2种,所以所求的概率:.【点评】本题考查了列表法和树状图法求概率,频数分布直方图,扇形统计图,正确的识图是解题的关键.21.(8.00分)小明和小刚相约周末到雪莲大剧院看演出,他们的家分别距离剧院1200m和2000m,两人分别从家中同时出发,已知小明和小刚的速度比是3:4,结果小明比小刚提前4min到达剧院.求两人的速度.【分析】设小明的速度为3x米/分,则小刚的速度为4x米/分,根据时间=路程÷速度结合小明比小刚提前4min到达剧院,即可得出关于x的分式方程,解之经检验后即可得出结论.【解答】解:设小明的速度为3x米/分,则小刚的速度为4x米/分,根据题意得:﹣=4,解得:x=25,经检验,x=25是分式方程的根,且符合题意,∴3x=75,4x=100.答:小明的速度是75米/分,小刚的速度是100米/分.【点评】本题考查了分式方程的应用,找准等量关系,正确列出分式方程是解题的关键.22.(8.00分)如图,CD是⊙O的切线,点C在直径AB的延长线上.(1)求证:∠CAD=∠BDC;(2)若BD=AD,AC=3,求CD的长.【分析】(1)连接OD,由OB=OD可得出∠OBD=∠ODB,根据切线的性质及直径所对的圆周角等于180°,利用等角的余角相等,即可证出∠CAD=∠BDC;(2)由∠C=∠C、∠CAD=∠CDB可得出△CDB∽△CAD,根据相似三角形的性质结合BD=AD、AC=3,即可求出CD的长.【解答】(1)证明:连接OD,如图所示.∵OB=OD,∴∠OBD=∠ODB.∵CD是⊙O的切线,OD是⊙O的半径,∴∠ODB+∠BDC=90°.∵AB是⊙O的直径,∴∠ADB=90°,∴∠OBD+∠CAD=90°,∴∠CAD=∠BDC.(2)解:∵∠C=∠C,∠CAD=∠CDB,∴△CDB∽△CAD,∴=.∵BD=AD,∴=,∴=,又∵AC=3,∴CD=2.【点评】本题考查了相似三角形的判定与性质、圆周角定义以及切线的性质,解题的关键是:(1)利用等角的余角相等证出∠CAD=∠BDC;(2)利用相似三角形的性质找出.23.(9.00分)关于x的方程2x2﹣5xsinA+2=0有两个相等的实数根,其中∠A是锐角三角形ABC的一个内角.(1)求sinA的值;(2)若关于y的方程y2﹣10y+k2﹣4k+29=0的两个根恰好是△ABC的两边长,求△ABC的周长.【分析】(1)利用判别式的意义得到△=25sin2A﹣16=0,解得sinA=;(2)利用判别式的意义得到100﹣4(k2﹣4k+29)≥0,则﹣(k﹣2)2≥0,所以k=2,把k=2代入方程后解方程得到y1=y2=5,则△ABC是等腰三角形,且腰长为5.分两种情况:当∠A是顶角时:如图,过点B作BD⊥AC于点D,利用三角形函数求出AD=3,BD=4,再利用勾股定理求出BC即得到△ABC的周长;当∠A是底角时:如图,过点B作BD⊥AC于点D,在Rt△ABD中,AB=5,利用三角函数求出AD得到AC的长,从而得到△ABC的周长.【解答】解:(1)根据题意得△=25sin2A﹣16=0,∴sin2A=,∴sinA=或,∵∠A为锐角,∴sinA=;(2)由题意知,方程y2﹣10y+k2﹣4k+29=0有两个实数根,则△≥0,∴100﹣4(k2﹣4k+29)≥0,∴﹣(k﹣2)2≥0,∴(k﹣2)2≤0,又∵(k﹣2)2≥0,∴k=2,把k=2代入方程,得y2﹣10y+25=0,解得y1=y2=5,∴△ABC是等腰三角形,且腰长为5.分两种情况:当∠A是顶角时:如图,过点B作BD⊥AC于点D,在Rt△ABD中,AB=AC=5∵sinA=,∴AD=3,BD=4∴DC=2,∴BC=.∴△ABC的周长为;当∠A是底角时:如图,过点B作BD⊥AC于点D,在Rt△ABD中,AB=5,∵sinA=,∴A D=DC=3,∴AC=6.∴△ABC的周长为16,综合以上讨论可知:△ABC的周长为或16.【点评】本题考查了根的判别式:一元二次方程ax2+bx+c=0(a≠0)的根与△=b2﹣4ac有如下关系:当△>0时,方程有两个不相等的实数根;当△=0时,方程有两个相等的实数根;当△<0时,方程无实数根.也考查了解直角三角形.24.(10.00分)(1)某学校“智慧方园”数学社团遇到这样一个题目:如图1,在△ABC中,点O在线段BC上,∠BAO=30°,∠OAC=75°,AO=,BO:CO=1:3,求AB的长.经过社团成员讨论发现,过点B作BD∥AC,交AO的延长线于点D,通过构造△ABD就可以解决问题(如图2).请回答:∠ADB=75°,AB=4.(2)请参考以上解决思路,解决问题:如图3,在四边形ABCD中,对角线AC与BD相交于点O,AC⊥AD,AO=,∠ABC=∠ACB=75°,BO:OD=1:3,求DC的长.【分析】(1)根据平行线的性质可得出∠ADB=∠OAC=75°,结合∠BOD=∠COA 可得出△BOD∽△COA,利用相似三角形的性质可求出OD的值,进而可得出AD 的值,由三角形内角和定理可得出∠ABD=75°=∠ADB,由等角对等边可得出AB=AD=4,此题得解;(2)过点B作BE∥AD交AC于点E,同(1)可得出AE=4,在Rt△AEB中,利用勾股定理可求出BE的长度,再在Rt△CAD中,利用勾股定理可求出DC的长,此题得解.【解答】解:(1)∵BD∥AC,∴∠ADB=∠OAC=75°.∵∠BOD=∠COA,∴△BOD∽△COA,∴==.又∵AO=,∴OD=AO=,∴AD=AO+OD=4.∵∠BAD=30°,∠ADB=75°,∴∠ABD=180°﹣∠BAD﹣∠ADB=75°=∠ADB,∴AB=AD=4.故答案为:75;4.(2)过点B作BE∥AD交AC于点E,如图所示.∵AC⊥AD,BE∥AD,∴∠DAC=∠BEA=90°.∵∠AOD=∠EOB,∴△AOD∽△EOB,∴==.∵BO:OD=1:3,∴==.∵AO=3,∴EO=,∴AE=4.∵∠ABC=∠ACB=75°,∴∠BAC=30°,AB=AC,∴AB=2BE.在Rt△AEB中,BE2+AE2=AB2,即(4)2+BE2=(2BE)2,解得:BE=4,∴AB=AC=8,AD=12.在Rt△CAD中,AC2+AD2=CD2,即82+122=CD2,解得:CD=4.【点评】本题考查了相似三角形的性质、等腰三角形的判定与性质、勾股定理以及平行线的性质,解题的关键是:(1)利用相似三角形的性质求出OD的值;(2)利用勾股定理求出BE、CD的长度.25.(12.00分)如图,抛物线y=a(x﹣1)(x﹣3)(a>0)与x轴交于A、B两点,抛物线上另有一点C在x轴下方,且使△OCA∽△OBC.(1)求线段OC的长度;(2)设直线BC与y轴交于点M,点C是BM的中点时,求直线BM和抛物线的解析式;(3)在(2)的条件下,直线BC下方抛物线上是否存在一点P,使得四边形ABPC 面积最大?若存在,请求出点P的坐标;若不存在,请说明理由.【分析】(1)令y=0,求出x的值,确定出A与B坐标,根据已知相似三角形得比例,求出OC的长即可;(2)根据C为BM的中点,利用直角三角形斜边上的中线等于斜边的一半得到OC=BC,确定出C的坐标,利用待定系数法确定出直线BC解析式,把C坐标代入抛物线求出a的值,确定出二次函数解析式即可;(3)过P作x轴的垂线,交BM于点Q,设出P与Q的横坐标为x,分别代入抛物线与直线解析式,表示出坐标轴,相减表示出PQ,四边形ACPB面积最大即为三角形BCP面积最大,三角形BCP面积等于PQ与B和C横坐标之差乘积的一半,构造为二次函数,利用二次函数性质求出此时P的坐标即可.【解答】解:(1)由题可知当y=0时,a(x﹣1)(x﹣3)=0,解得:x1=1,x2=3,即A(1,0),B(3,0),∴OA=1,OB=3∵△OCA∽△OBC,∴OC:OB=OA:OC,∴OC2=OA•OB=3,则OC=;(2)∵C是BM的中点,即OC为斜边BM的中线,∴OC=BC,∴点C的横坐标为,又OC=,点C在x轴下方,∴C(,﹣),设直线BM的解析式为y=kx+b,把点B(3,0),C(,﹣)代入得:,解得:b=﹣,k=,∴y=x﹣,又∵点C(,﹣)在抛物线上,代入抛物线解析式,解得:a=,。
2020中考分类——整式的乘除一、选择题1. (2020·盐城) 下列运算正确的是:( )A .22a a -=B .326a a a ⋅=C .32a a a ÷= D .()2526a a = 答案:C 解析: C本题考查了整式的运算,熟练掌握运算法则是解本题的关键,A 项中2a -a =a ,原计算错误,故此选项不符合题意;B 项235a a a ⋅= 中,原计算错误,故此选项不符合题意;C 项中,原计算正确,故此选项符合题意;D 项中,(2a 2)3=8a 6计算错误,故此选项不符合题意,因此本题选C .2. (2020·徐州)下列计算正确的是( ) A.22423a a a += B.362a a a ÷=C.()222a b a b -=- D.222()ab a b =答案:D 解析:D根据整式运算的法则进行计算和判别.3. (2020·连云港)下列计算正确的是A .2x+3y = 5xyB . (x+1)(x-2) =x 2-x-2C . a 2·a 3=a 6 D. (a-2)2=a 2-4 答案:B解析:B本题A 项考查了合并同类项,A 项不可以进行合并同类项;C 项考查的是同底数幂的乘法,正确的结果应该是a 5;D 项考查了完全平方公式,正确的结果a 2-4a +4.因此本题选B . 4. (2020·淮安)如果一个数等于两个连续奇数的平方差,那么我们称这个数为"幸福数".下列数中为"幸福数"的是( ) A.205B.250C.502D.520答案:D 解析: D设较小的奇数为x ,较大的为x +2,根据题意列出方程,求出解判断即可. 设较小的奇数为x ,较大的为x +2,根据题意得:(x +2)2﹣x 2=(x +2﹣x )(x +2+x )=4x +4, 若4x +4=205,即x ,不为整数,不符合题意; 若4x +4=250,即x ,不为整数,不符合题意; 若4x +4=502,即x,不为整数,不符合题意;若4x +4=520,即x =129,符合题意.5. (2020·湖北黄冈)下列运算正确的是( ) A .m +2m =3m 2 B .2m 3·3m 2=6m 6C .()3328m m =D .m 6÷m 2=m 3答案:C 解析:C本题考查了整式的加减运算及幂的运算性质,涉及到合并同类项、单项式乘单项式、同底数幂的乘法和除法、积的乘方等知识.求解时根据选项中的运算选择相应的法则进行计算,其中()3328m m =是正确的,因此本题选C .6. 已知a ≠0,下列运算中正确的是( )A .3a +2a 2=5a 3B .6a 3÷2a 2=3aC .(3a 3)2 =6a 6D .3a 3÷2a 2=5a 5 答案:B 解析:B ,本题考查整式的运算,分别根据合并同类项法则,单项式的除法法则,幂的乘方和积的乘方,逐一判断即可.解: 3a 与2a 2不是同类项,不能合并,故A 错; 由单项式除法法则,得6a 3÷2a 2=3a ,故 B 正确; 由幂的乘方和积的乘方,得(3a 3)2 =9a 6,故C 错;由单项式除法法则,得3a 3÷2a 2=32a ,故D 错; 综上,故选B. 故选:D .7. (2020·常州)计算m 6÷m 2的结果是( ) A .m 3B .m 4C .m 8D .m 12答案:B解析:B本题考查了同底数幂的除法,同底数幂相除,底数不变,指数相减,因此本题应选B . 8. (2020·吉林)下列运算正确的是( ) A .a 2•a 3=a 6 B .(a 2)3=a 5C .(2a )2=2a 2D .a 3÷a 2=a答案:D 解析:D根据同底数幂的乘除法、幂的乘方、积的乘方的运算法则,对各个选项进行计算后利用排除法求解.a 2•a 3=a 5,原计算错误,故A 选项不正确;(a 2)3=a 6,原计算错误,故B 选项正确;(2a )2=4a 2,原计算错误,故C 选项不正确; a 3÷a 2=a ,原计算正确,故D 选项正确;故选:D .9. (2020·株洲)下列运算正确的是( ) A. 34a a a ⋅=B. 22a a -=C. ()527a a =D.22(3)6b b -=答案:A 解析:A根据同底数幂的乘法法则、合并同类项法则、幂的乘方的运算法则及积的乘方的运算法则依次计算各项后即可解答.选项A ,根据同底数幂的乘法法则可得34a a a ⋅=,选项A 正确; 选项B ,根据合并同类项法则可得2a a a -=,选项B 错误; 选项C ,根据幂的乘方的运算法则可得()5210aa =,选项C 错误;选项D ,根据积的乘方的运算法则可得22(3)9b b -=,选项D 错误.故选A .10. (2020·张家界)下列计算正确的是( ) A. 2235a a a +=B. ()325a a = C. 22(1)1a a +=+D.2(2)(2)4a a a +-=-答案:D 解析:D此题考查了合并同类项、幂的乘方、完全平方公式和平方差公式,熟练掌握公式及法则是解本题的关键.根据合并同类项、幂的乘方、完全平方公式和平方差公式逐一进行判断即可 解:A 、235a a a +=,故原式错误; B 、()326a a =,故原式错误;C 、22(11)2a a a +=++,故原式错误;D 、2(2)(2)4a a a +-=-,故原式正确, 故选:D .11. (2020·岳阳)下列运算结果正确的是A .()33a a =-B . 339a a a =÷C .a a a 32=+D .22a a a =⋅答案:C 解析:C()33a a -=-,故选项A 错误;639a a a =÷,故选项B 错误;a a a 32=+,故选项C 正确;32a a a =⋅,故选项D 错误.12. (2020·娄底)下列运算正确的是( ) A .236a a a=B .222()a b a b +=+C .33(2)8a a -=- D .224a a a += 答案:C 解析:C本题考查了合并同类项、同底数幂的乘法、积的乘方运算及乘法公式,235a a a =,222+2()a a b a b b +=+,33(2)8a a -=-,2222a a a +=,C 正确,因此本题选C .13. (2020·怀化)下列运算正确的是( ) A .a 2+a 3=a 5 B .a 6÷a 2=a 4C .(2ab )3=6a 3b 3D .a 2•a 3=a 6答案:B 解析:B分别根据合并同类项的法则、同底数幂的除法法则、积的乘方与同底数幂的乘法法则计算各项,进而可得答案.解:a 2与a 3不是同类项,不能合并,因此选项A 计算错误,不符合题意; a 6÷a 2=a 4,因此选项B 计算正确,符合题意;(2ab )3=8a 3b 3≠6a 3b 3,因此选项C 计算错误,不符合题意; a 2•a 3=a 5≠a 6,因此选项D 计算错误,不符合题意. 故选:B .14. (2020·江西)下列计算正确的是( ) A .a 3+a 2=a 5 B .a 3﹣a 2=aC .a 3•a 2=a 6D .a 3÷a 2=a答案:D解析: D .本题考查了整式的加减运算及幂的运算性质,求解时根据选项中的运算选择相应的法则进行计算.a 2·a 3=a 3+2=a 5,因此本题选C . 15. (2020·咸宁)下列计算正确的是( ) A. 32a a -=B. 23a a a ⋅=C. 623a a a ÷=D.()22436a a =答案:B 解析:B本题考查了合并同类项,同底数幂的乘法和除法,幂的乘方和积的乘方运算,32a a a -=,23a a a ⋅=,624a a a ÷=,()22439aa =,因此本题选B .316. (2020·抚顺本溪辽阳)下列运算正确的是( )A .m 2+m =3m 3B .m 4÷m 2=m 2C .m 2·m 3=m 6D .(m 2)3=m 5 答案:B 解析:B∵m 2与m 不是同类项,不能合并,∴m 2+m ≠3m 3,故选项A 错误;m 4÷m 2=m 4-2=m 2,故选项B 正确;m 2·m 3=m 2+3=m 5,故选项C 错误;(m 2)3=m 2×3=m 6,故选项D 错误.故选项B 正确.17. (2020·鄂州)下列运算正确的是( ) A .2235x x x += B .33(2)6x x -=-C .325236x x x ⋅= D .2(32)(23)94x x x +-=-答案:C解析:C本题考查了整式的运算,熟练掌握运算法则是解题的关键.利用合并同类项、积的乘方、单项式乘单项式、多项式乘多项式直接计算判断即可. A .235x x x +=,选项错误; B .33(2)8x x -=-,选项错误;C .325236x x x ⋅=,选项正确;D .2(32)(23)94x x x +-=-+,选项错误; 故选:C .18. (2020·绥化)下列计算正确的是( )A .b 2·b 3=b 6B .(a 2)3=a 6C .-a 2÷a =aD .(a 3)2·a =a 6 答案:B 解析:B选项A ,C ,D 计算的结果分别是b 5,-a ,a 7.只有选项B 中的计算是正确的,故选B . 19. (2020·齐齐哈尔)下列计算正确的是( ) A .a +2a =3aB .(a +b )2=a 2+ab +b 2C .(﹣2a )2=﹣4a 2D .a •2a 2=2a 2答案:A 解析: A分别根据合并同类项法则、完全平方公式、单项式的乘方及单项式乘单项式法则逐一计算可得.A .a +2a =(1+2)a =3a ;B .(a +b )2=a 2+2ab +b 2;C .(﹣2a )2=4a 2;D .a •2a 2=2a 3.∴选项A 正确.20. (2020·牡丹江)下列运算正确的是( ) A. (a +b )(a -2b )=a 2-2b 2 B. 41)21(22-=-a a C. -2(3a -1)=-6a +1 D. (a +3)(a -3)=a 2-9 答案:D 解析:D(a +b )(a -2b )=a 2-ab -2b 2,故选项A 错误;41)21(22+-=-a a a ,故选项B 错误;-2(3a -1)=-6a +2,故选项C 错误; (a +3)(a -3)=a 2-9,故选项D 正确.21. (2020·河南)电子文件的大小常用B ,KB ,MB ,GB 等作为单位,其中1012GBMB ,1012MB KB ,1012KB B .某视频文件的大小约为1GB ,1GB 等于( )A. 302B B. 308B C. 10810B D. 30210B 答案:A 解析:A本题考查了同底数幂的乘法及单位换算,1012GBMB ,KB KB MB 201010102222=⨯=,202010302222KB B B ,因此本题选A .22. (2020·河北)2墨迹覆盖了等式“x 3x (x ≠0)”中的运算符号,则覆盖的是A. +B.-C.×D.÷答案:D解析:D根据“同底数幂相除,底数不变,指数相除”可知x 3÷x =x 3-1=x 2,故覆盖的是“÷”.23. (2020·河北)对于①x -3xy =x (1-3y ),② (x +3)(x -1)=x 2+2x -3,从左到右的变形,表述正确的是A.都是因式分解B.都是乘法运算C.①是因式分解,②是乘法运算D.①是乘法运算,②是因式分解 答案:C解析:C对于x -3xy =x (1-3y ),左边是一个多项式,右边是两个整式的乘积,故①是因式分解;对于(x +3)(x -1)=x 2+2x -3,左边是两个整式的乘积,右边是一个多项式,故②是整式乘法.24. (2020·河北)若22(91)(111)k--=8×10×12,则k = A.12 B.10 C.8 D.6 答案:B解析:B解析:k =()()229111181012--⨯⨯=919111111181012+-+-⨯⨯()()()()=108121112080⨯⨯⨯⨯⨯=10,故答案为B .25. (2020·河北)若k 为正整数,则k kk k k k ⎛⎫++⋅⋅⋅+ ⎪ ⎪⎝⎭个=( )A .k 2kB .k 2k +1C .2k kD .k 2+k答案:A解析:A解析:原式= (k 2)k =k 2k ,故答案为A .26. (2020·河北)已知光速为300 000千米/秒,光经过t 秒(1≤t ≤10)传播的距离用科学记数法表示为a ×10n 千米,则n 可能为 A.5 B.6 C.5或6 D.5或6或7 答案:C解析:C解析:300000t =3t ×105,∵1≤t ≤10,∴3≤3t ≤30.∴3×105≤3t ×105≤30×105,∴n 可能为5或6,故答案为C .27.(2020·黔西南州)下列运算正确的是()A.a3+a2=a5B.a3÷a=a3C.a2•a3=a5D.(a2)4=a6答案:C解析:C本题考查了整式的加减运算及幂的运算性质,求解时根据选项中的运算选择相应的法则进行计算.a2·a3=a3+2=a5,因此本题选C.28.(2020·黔东南州)下列运算正确的是()A.(x+y)2=x2+y2B.x3+x4=x7C.x3•x2=x6D.(﹣3x)2=9x2答案:D解析:DA、(x+y)2=x2+2xy+y2,故此选项错误;B、x3+x4,不是同类项,无法合并,故此选项错误;C、x3•x2=x5,故此选项错误;D、(﹣3x)2=9x2,正确.故选D.29.(2020·常德)下列计算正确的是()A.222+=+ B.246a b a b()+=a a aC.1052a a a⋅=a a a÷=D.235答案:D解析:DA、222a b a ab b+=++,原计算错误,故此选项不符合题意;()2B、2a与4a不是同类项不能合并,原计算错误,故此选项不符合题意;C、1055÷=,原计算错误,故此选项不符合题意;a a aD、235⋅=,原计算正确,故此选项符合题意;a a a,因此本题选D.30.(2020·淄博)下列运算正确的是()A.a2+a3=a5B.a2•a3=a5C.a3÷a2=a5D.(a2)3=a5答案:B解析:BA.a2+a3≠a5,所以A选项错误;B.a2•a3=a5,所以B选项正确;C.a3÷a2=a,所以C选项错误;D.(a2)3=a6,所以D选项错误.31.(2020·台州)计算2a2•3a4的结果是()A.5a6B.5a8C.6a6D.6a8答案:C解析:C直接利用单项式乘单项式运算法则计算:2a2•3a4=6a6.32.(2020•衢州)计算(a2)3,正确结果是()A.a5B.a6C.a8D.a9答案:B解析:B根据“幂的乘方,底数不变,指数相乘”得:236,因此本题选B.a a()33.(2020·宁波)下列计算正确的是A.a3·a2=a6B.(a3)2=a5C.a6÷a3=a3D.a2+a3=a5答案:C解析:C本题考查了整式的相关运算,选项A为同底数幂的乘法,底数不变指数相加,a3·a2=a5,所以该选项错误;选项B为幂的乘方,底数不变,指数相乘,(a3)2=a2×3=a6,所以该选项错误;选项C为同底数幂相除,底数不变,指数相减a6÷a3=a6-3=a3,所以该选项正确;选项D为整式的加减,两项不是同类项,不能合并,所以该选项错误.因此本题选C.34.(2020·杭州)(1+y)(1—y)=()A.1+y2B.-1-y2C.1一y2D..1+y2答案:C解析:C本题考查了整式乘法的平方差公式,(1+y )(1—y )=12-y 2=1一y 2,因此本题选C . 35. (2020·云南)下列运算正确的是( ) A .=±2B .()﹣1=﹣2C .(﹣3a )3=﹣9a 3D .a 6÷a 3=a 3 (a ≠0)答案:D解析: D .本题考查了整式的加减运算及幂的运算性质,求解时根据选项中的运算选择相应的法则进行计算.选项A 的结果是2,选项B 的结果是2,选项C 的结果是﹣27a 3,选项D :a 6÷a 3=a 6-3=a 3,因此本题选D .36. (2020·新疆)下列计算正确的是 ························································· ( ) A .236x x x ⋅= B .633x x x ÷= C .3362x x x += D .33(2)6x x -=-答案:B 解析:B本题主要考查了同底数幂的乘除运算、幂的乘方运算以及整式的加减运算,直接利用同底数幂的乘除运算法则、幂的乘方运算法则以及合并同类项法则进行计算.x 2·x 3=x 2+3=x 5,选项A 不正确;x 6÷x 3=x 6-3=x 3,选项B 正确;x 3+x 3=(1+1)x 3=2x 3,选项C 不正确;(-2x )3=(-2)3·x 3=-8x 3,选项D 不正确,因此本题选B . 37. (2020·宜宾)下列计算正确的是( ) A .3a +2b =5ab B .(﹣2a )2=﹣4a 2 C .(a +1)2=a 2+2a +1D .a 3•a 4=a 12答案:C 解析:C3a 与2b 不是同类项,不能合并,故选项A 错误;(-2a ) 2=(-2)2·a 2=4a 2,故选项B 错误;(a +1)2=a 2+2a +1,故选项C 正确;a 3·a 4=a 3+4=a 7,故选项D 错误. 38. (2020·乐山)已知3m =4,32m -4n =2.若9n =x ,则x 的值为( )A .8B .4C .2 2D . 2答案:C 解析:C逆用同底数幂的乘除法及幂的乘方法则即可,由32m -4n =32m ÷34n =(3m )2÷(9n )2,故42÷x 2=2,从而x 2=8;又x >0,所以x =22.39. (2020·甘孜州)下列运算中,正确的是( )A.a4·a4=a16 B.a+2a2=3a3C.a3÷(-a)=-a2D.(-a3)2=a5答案:C解析:C本题考查了整式的运算.由同底数幂的乘法法则,得a4·a4=a8,故A错;a与2a2不是同类项,不能合并,故B错;由同底数幂的除法法则,得a3÷(-a)=-a2,故C正确;由幂的乘方法则,得(-a3)2=a6,故D错.所以此题选C.40.(2020·成都)下列计算正确的是()A.3a+2b=5ab B.a3•a2=a6C.(﹣a3b)2=a6b2D.a2b3÷a=b3答案:C解析:C根据合并同类项、同底数幂的乘法和除法、积的乘方进行计算即可.解:A、3a与2b不是同类项,不能合并,原计算错误,故此选项不符合题意;B、a3•a2=a5,原计算错误,故此选项不符合题意;C、(﹣a3b)2=a6b2,原计算正确,故此选项符合题意;D、a2b3÷a=ab3,原计算错误,故此选项不符合题意.故选:C.41.(2020·镇江)下列计算正确的是( )A.B.C.D.答案:B解析:B本题考查了整式的运算,A项正确结果应该是2a3;C项的正确结果应该是a4;D项的正确结果为a3b3..42.(2020·山西)下列运算正确的是()A.3a+2a=5a2B.-8a7÷4a=2a C.(-2a2)3=-8a 6D.4a2·3a2=12a6答案:C解析:C本题考查整式的运算.3a与2a不是同类项,不能合并,故选项A错;根据单项式的除法法则,得-8a 7÷4a =-2a 6,故选项B 错;根据幂的乘方法则,得(-2a 2)3=-8a 6,故选项C 正确;根据单项式的乘法法则,得4a 2·3a 2=12a 4,故选项D 错; 综上,选C . 43. (2020·枣庄)图(1)是一个长为2a ,宽为2b (a >b )的长方形,用剪刀沿图中虚线(对称轴)剪开,把它分成四块形状和大小完全相同的小长方形,然后按图(2)那样拼成一个正方形,则中间空余的部分的面积是( ) A .ab B .(a +b )2 C .(a -b )2 D .a 2-b 2答案:C解析:C拼成的正方形的面积减去原长方形的面积,即为中间空余的部分的面积.(a +b )2-2a ·2b =(a +b )2-4ab =(a -b )2.44. (2020·潍坊)下列运算正确的是( ) A. 235a b ab +=B. 325a a a ⋅=C. 222()a b a b +=+D.()326a b a b =答案:B 解析:B本题考查了整式的运算.选项A 考查了合并同类项,左边2a 与3b 不是同类型,因此不能合并同类项,故是错误的;选项B 考查了同底数幂的乘法,m n m n a a a +=,故是正确的;选项C 考查了乘法公式(完全平方公式),222()2a b a ab b +=++,故是错误的;选项D 考查了积的乘方,()mm mab a b =,正确答案是()3263a b a b =,故是错误的.因此本题选B.45. (2020·威海)下列运算正确的是( ) A .3x 3•x 2=3x 5 B .(2x 2)3=6x 6C .(x +y )2=x 2+y 2D .x 2+x 3=x 5答案:A 解析:AA 项,3x 3•x 2=3x 5,故本选项符合题意;B 项,(2x 2)3=8x 6,故本选项不合题意;C 项,(x +y )2=x 2+2xy +y 2,故本选项不合题意;D 项,x 2与x 3不是同类项,所以不能合并,故本选项不合题意. 故选:A .46. (2020·遵义)下列计算正确的是( )A .x 2+x =x 3B .(-3x ) 2=6x 2C .8x 4÷2x 2=4x 2D .(x -2y ) (x +2 y )=x 2-2y 2 答案:C 解析:C本题考查合并同类项,积的乘方,单项式除以单项式,平方差公式,掌握相关公式和法则是解题的关键.x 2与x 不是同类项不能合并,故选项A 错误;由积的乘方,得 (-3x ) 2=9x 2,故选项B 错误;由单项式的除法法则,得8x 4÷2x 2=4x 2,故选项C 正确;由平方差公式,得(x -2y ) (x +2 y )=x 2-4y 2,故选项D 错误;故选C. 47. (2020·广州)下列运算正确的是( )A B .=C .5630xx x ⋅=D .()5210xx =答案:D 解析:D本题考查了二次根式的运算和整式的乘法, A 选项考查了二次根式的加法,只有同类二次次根式,不能合并;B 选项考查了二次根式的乘法,正确的计算过程应是:2236a =⨯⨯=;选项C 考查了同底数幂的乘法,底数不变,指数相加,正确的结果应是11x ;D 选项考查了幂的乘方,底数不变,指数相乘,所以计算结果正确.因此本题选D .48. (2020·广西北部湾经济区)下列运算正确的是( ) A .2x 2+x 2=2x 4 B .x 3•x 3=2x 3C .(x 5)2=x 7D .2x 7÷x 5=2x 2答案:D 解析: D本题考查了整式的混合运算,正确掌握相关运算法则是解题关键.直接利用合并同类项法则以及幂的乘方运算法则、同底数幂的乘除运算法则分别计算得出答案.解:A 、2x 2+x 2=3x 2,故此选项错误; B 、x 3•x 3=x 6,故此选项错误; C 、(x 5)2=x 10,故此选项错误; D 、2x 7÷x 5=2x 2,正确.因此本题选D . 49. (2020·深圳)下列运算正确的是( ) A .a +2a =3a 2 B .a 2⋅a 3=a 5 C .(ab )3=ab 3 D .(-a 3)2=-a 6答案:B 解析:B利用合并同类项、幂的乘方、积的乘方以及同底数幂的乘法的计算法则进行计算即可.a +2a =3a ,a 2•a 3=a 2+3=a 5,(ab )3=a 3b 3,(-a 3)2=a 6,因此本题选B .50. (2020·天水)观察等式:2+22=23-2;2+22+23=24-2;2+22+23+24=25-2;…已知按一定规律排列的一组数:2100,2101,2102,…,2199,2200,若2100=S ,用含S 的式子表示这组数据的和是( ) A .2S 2-S B .2S 2+S C .2S 2-2S D .2S 2-2S -2答案:A 解析:A根据等式的规律,可知2100+2101+2102+…+2199+2200=2100(1+2+22+…+299+2100)=2100(1+2101-2)=2×(2100)2-2100,又2100=S ,即可用含S 的式子表示这组数据的和为2S 2-S .因此本题选A .51. (2020·福建)下列运算正确的是( ) A.2233-=a aB.222()+=+a b a b C.()222436-=-ab a b D.11(0)-⋅=≠a aa答案:D 解析:D本题考查了整式的相关运算,22232a a a-=,222()2a b a ab b +=++,()222439ab a b -=,11101(0)a a a a a --⋅===≠,因此本题选D52. (2020·临沂)计算()2322a a -÷的结果是( )A.32a -B.42a -C.34aD.44a解析:D直接根据整式除法及幂的相关计算公式计算即可:()242326442a a a a a ÷÷=-=,所以选D .53. (2020·东营)下列运算正确的是( ) A. 235x x B. 222x yx yC.5333222-y x xy y x -=• D. 33x y x y答案:C 解析:C本题考查了整式的运算,解:A 、结果是x 6,故本选项不符合题意;B 、结果是x 2﹣2xy +y 2,故本选项不符合题意;D 、结果是﹣3x ﹣y ,故本选项不符合题意;故选:C .54. (2020·德州)下列运算正确的是 A. 651a a -=B. 235a a a ⋅=C. 22(2)4a a -=-D.623a a a ÷=答案:B 解析:BA. 65a a a -=,故本选项错误;B. 235a a a ⋅=本选项正确;C. 22(2)4a a -=,故本选项错误;D.624a a a ÷=,故本选项错误. 55. (2020·陕西)计算:3223x y ⎛⎫- ⎪⎝⎭=( )A .﹣2x 6y 3B .827x 4y 3C .﹣827x 6y 3D .﹣827x 4y 3答案:C 解析:C积的乘方等于积里每个因式分别乘方,再把所得的幂相乘,()333223632283327x y x y x y ⎛⎫⎛⎫-=-⋅⋅=- ⎪ ⎪⎝⎭⎝⎭.55. ](2020·宿迁)已知a +b =3,a 2+b 2=5,则ab = .解析:2∵a +b =3,∴(a +b )2=32,即a 2+2ab +b 2=9.∵a 2+b 2=5,∴2ab +5=9.∴ab =2.故答案为2.56. (2020·贵阳)(4分)化简x (x ﹣1)+x 的结果是 . 答案:x2.解析: x 2.解:x (x ﹣1)+x =x 2﹣x +x =x 2, 故答案为:x 2. -2).57. (2020·铜仁)观察下列等式: 2+22=23﹣2; 2+22+23=24﹣2; 2+22+23+24=25﹣2; 2+22+23+24+25=26﹣2; …已知按一定规律排列的一组数:220,221,222,223,224,…,238,239,240,若220=m ,则220+221+222+223+224+…+238+239+240= (结果用含m 的代数式表示).答案:2m2﹣m 解析:2m 2﹣m由题意可得220+221+222+223+224+…+238+239+240=220(1+2+22+…+219+220)=220(1+221﹣2)=220(220×2﹣1),再将220=m 代入,原式=m (2m ﹣1)==2m 2﹣m .58. (2020·咸宁)按一定规律排列的一列数:3,23,13-,33,43-,73,113-,183-,…,若a ,b ,c 表示这列数中的连续三个数,猜想a ,b ,c 满足的关系式是__________.答案:bc=a解析: bc=a本题考查了数字的变化规律,∵一列数:3,23,13-,33,43-,73,113-,183-,…,可发现:第n 个数等于前面两个数的商,∵a ,b ,c 表示这列数中的连续三个数,∴bc=a ,因此本题填bc=a .59. (2020·宜昌)数学讲究记忆方法.如计算()25a 时若忘记了法则,可以借助()10555525a a a a a ==⨯=+,得到正确答案.你计算()7352a a -a ⨯的结果是 .答案:0 解析:0 由计算得:-=-=060. (2020·凉山州)(5分)化简求值:(2x +3)(2x -3)-(x +2)2+4(x +3),其中x =2. {解析}根据乘法公式和单项式乘以多项式的法则,先化简,再将x 的值代入化简后的式子进行求值.解析:解:原式=4x 2-9-(x 2+4x +4)+4x -12 =4x 2-9-x 2-4x -4+4x -12 =3x 2-1.当x =2时, 原式=3×(2)2-1=3×2-1=5.61. (2020·河北)有一电脑程序:每按一次按键,屏幕的A 区就会自动加上a ²,同时B 区就会自动减去3a ,且均显示化简后的结果.已知A ,B 两区初始显示的分别是25和-16,如图12,如,第一次按键后,A ,B 两区分别显示:(1)从初始状态按2次后,分别求A ,B 两区显示的结果;(2)从初始状态按4次后,计算A ,B 两区代数式的和,请判断这个和能为负数吗?说明理由.解析:解:(1)A 区:25+a 2+a 2=25+2a 2,B 区:-16-3a -3a =-16-6a ; (2)25+4a 2+(-16-12a )=4a 2-12a +9. 不能.4a 2-12a +9=(2a -3)2≥0,∴不能是负数. 62. (2020·荆门)先化简,再求值:(2x +y )2+(x +2y )2-x (x +y )-2(x +2y )(2x +y ),其中x +1,y -1. 解析:解:原式=[(2x +y )-(x +2y )]2-x 2-xy =(x -y )2-x 2-xy =x 2-2xy +y 2-x 2-xy =y 2-3xy .当x +1,y -1时,原式=-1)2-+-1)=3-3=-.63. (2020·随州)先化简,再求值:a(a+2b)-2b(a+b),其中a=5,b=3. 解:原式=2a +2ab-2ab-22b =222b a -……………………3分 当a=5,b=3时,原式=22)3(2)5(⨯-=5-2×3=5-6=-1.……………5分64. (2020·襄阳)(6分)先化简,再求值:(2x +3y )2-(2x +y )(2x -y )-2y (3x +5y ),其中x,y =21. 原式=4x 2+12xy +9y 2-(4x 2-y 2)-6xy -10y 2 =4x 2+12xy +9y 2-4x 2+y 2-6xy -10y 2 =6xy .当x ,y 1时,原式=×(21)=.65. (2020·衡阳)化简:b (a +b ) +(a +b )(a -b ). 解:原式= ab +b 2+a 2-b 2=ab +a 2. 66. (2020·邵阳)已知|m -1|+2+n =0,(1)求m ,n 的值;(2)先化简再求值:m (m -3n )+(m +2n )2-4n 2. 解:(1)根据非负数得:m -1=0且n +2=0, 解得:1,2m n ==-,(2)原式=22223444m mn m mn n n -+++-=22m mn +, 当1,2m n ==-,原式=211(2)0⨯+⨯-=. 67. (2020·南通)(本小题满分5+5=10分)(1)(2m +3n )2-(2m +n )(2m -n )解:(1)原式=22224129(4)m mn n m n ++-- =222241294m mn n m n ++-+ =21210mn n +.68. (2020·北京)已知2510x x --=,求代数式(32)(32)(2)x x x x +-+-的值. 解: 原式=4210249222--=-+-x x x x x ∵0152=--x x , ∴152=-x x ,∴原式=22(5)4242x x =--=-=-2019年中考分类整式的乘除一、选择题1.(2019·贵港,5)下列运算正确的是( )A .a 3+(-a )3=-a 6B .(a +b )2=a 2+b 2C .2a 2·a =2a 3D .(ab 2)3=a 3b 5答案:C2.(2019·龙东,1)下列各运算中,计算正确的是( )A .a 2+2a 2=3a 4B .b 10÷b 2=b 5C .(m -n )2=m 2-n 2D .(-2x 2)3=-8x 6答案:D3.(2019年陕西省T5)下列计算正确的是( )A .222632a a a =⋅B .()242263b a ba =- C .()222b a b a -=- D .2222a a a =+-答案:D4.(2019年黑友江龙东)下列各运算中,计算正确的是( )A .22423a a a +=B .1025b b b ÷=C .222()m n m n -=-D .236(2)8x x -=- 答案:D5. (2019贵阳)选择计算(﹣4xy 2+3x 2y )(4xy 2+3x 2y )的最佳方法是( )A .运用多项式乘多项式法则B .运用平方差公式C .运用单项式乘多项式法则D .运用完全平方公式答案:B6.(2019·张家界,4)下列运算正确的是( )A .a 2·a 3=a 6B .a 2+a 3=a 5C .(a +b )2=a 2+b 2D .(a 3)2=a 6答案:D7.(2019·广西省北部湾经济区,6)下列运算正确的是( )A .(ab 3)2=a 2b 6B .2a +3b =5abC .5a 2-3a 2=2D .(a +1)2=a 2+1答案:A8.(2019·眉山,4)下列运算正确的是( )A .2x 2y +3xy =5x 3y 2B .(-2ab 2)3=-6a 3b 6C .(3a +b )2=9a 2+b 2D .(3a +b )(3a -b )=9a 2-b 2答案:D9.(2019·柳州,12)定义:形如a +bi 的数称为复数(其中a 和b 为实数,i 为虚数单位,规定i 2=-1),a 称为复数的实部,b 称为复数的虚部,复数可以进行四则运算,运算的结果还是一个复数,例如(1+3i )2=12+2×1×3i +(3i )2=1+6i +9i 2=1+6i -9=-8+6i ,因此(1+3i )2的实部是-8,虚部是6.已知复数(3-mi )2的虚部是12,则实部是( )A .-6B .6C .5D .-5答案:C10.(2019·哈尔滨,2)下列运算正确的是( )A .2a +2a =2a 2B .a 2·a 3=a 6C.()2a 23=6a 6D.()a +b ()a -b =a 2-b 2答案:D11.(2019·德州,4)下列运算正确的是( )A .(-2a )2=-4a 2B .(a +b )2=a 2+b 2C .(a 5)2=a 7D .(-a +2)(-a -2)=a 2-4答案:D12.(2019·烟台,9)南宋数学家杨辉在其著作《详解九章算法》中揭示了(a +b )n (n 为非负整数)展开式的项数及各项系数的有关规律如下,后人也将右表称为“杨辉三角”.(a+b)0=1(a+b)1=a+b(a+b)2=a2+2ab+b2(a+b)3=a3+3a2b+3ab2+b3(a+b)4=a4+4a3b+6a2b2+4ab3+b4(a+b)5=a5+5a4b+10a3b2+10a2b3+5ab4+b5……则(a+b)9展开式中所有项的系数和是()A.128 B.256 C.512 D.1024答案:C13.(2019·威海,5)下列运算正确的是()A.(a2)3=a5B.3a2+a=3a3C.a5÷a2=a3(a≠0) D.a(a+1)=a2+1答案:C14.(2019·宜昌,9)化简(x-3)2-x(x-6)的结果为()A.6x-9 B.-12x+9 C.9 D.3x+9答案:C考点:完全平方公式}15.(2019·岳阳,2)下列运算结果正确的是()A.3x-2x=1 B.x3÷x2=x C.x3·x2=x6D.x2+y2=(x+y)2答案:B二、填空题16.(2019·枣庄,13)若m-1m=3,则m2+1m2=________.答案:1117.(2019·连云港,10)计算:(2-x)2=____________. 答案:x2-4x+418.(2019·无锡,13)计算:(a+3)2=________.答案:a2+6a+9三、解答题19.(2019·桂林,16)若x 2+ax +4=(x -2)2,则a =________.解析:-420.(2019·湖州,18)化简:(a +b )2- b (2a +b ).解析:解:原式=a 2+2ab +b 2-2ab -b 2=a 2.21.(2019·兰州,18)化简:a (1-2a )+2(a +1)(a -1).解析:解:原式=a -2a 2+2(a 2-1)=a -2.22.(2019·凉山州,19)先化简,再求值:(a +3)2-(a +1)(a -1)-2(2a +4),其中a =-12. 解析:解:原式=a 2+6a +9-a 2+1-4a -8=2a +2,当a =-12时,原式=2×⎝⎛⎭⎫-12+2=-1+2=1.。
专题1.1 有理数及其运算专项突破卷(1)1.B【解析】根据正数和负数表示相反意义即可解答.【详解】解:∵向东走10步记作+10步,∵向西走9步记作﹣9步.故选B.【点睛】本题考查了正数和负数的意义,弄清题意、明确正数和负数表示相反意义是解答本题的关键. 2.D【解析】根据只有符号不同的两个数互为相反数,可得一个数的相反数.【详解】﹣13与13只有符号不同,所以﹣13的相反数是13,故选D.【点睛】本题考查了相反数,熟练掌握相反数的定义是解题的关键.在一个数的前面加上负号就是这个数的相反数.3.A【解析】试题分析:根据有理数大小比较的法则直接求得结果,再判定正确选项.解:∵正数和0大于负数,∵排除2和3.∵|﹣2|=2,|﹣1|=1,|﹣4|=4,∵4>2>1,即|﹣4|>|﹣2|>|﹣1|,∵﹣4<﹣2<﹣1.故选A.考点:有理数大小比较.4.D【解析】试题分析:分别利用绝对值以及有理数和相反数的定义分析得出即可.A、一个数的绝对值一定比0大,有可能等于0,故此选项错误;B、一个数的相反数一定比它本身小,负数的相反数,比它本身大,故此选项错误;C、绝对值等于它本身的数一定是正数,0的绝对值也等于其本身,故此选项错误;D、最小的正整数是1,正确考点:绝对值;有理数;相反数5.B【解析】相反数、绝对值、倒数是中考中的一个必考内容。
负数的绝对值是它的相反数故为2,所以选择B 6.C【解析】根据绝对值的性质:一个正数的绝对值是它本身,一个负数的绝对值是它的相反数,0的绝对值是0.若|-a|=-a,则可求得a的取值范围.注意0的相反数是0.【详解】因为|-a|≥0,所以-a≥0,那么a的取值范围是a≤0.故选C.【点睛】绝对值规律总结:一个正数的绝对值是它本身,一个负数的绝对值是它的相反数,0的绝对值是0.7.D【解析】解:由数轴上a的位置可知a<0,|a|>1;设a=-2,则-a=2,∵-2<1<2∵a<1<-a,故选D.8.C【解析】根据数轴上到原点距离等于3的数为绝对值是3的数即可求解.【详解】绝对值为3的数有3,-3.故答案为C.【点睛】本题考查数轴上距离的意义,解题的关键是知道数轴上的点到原点的距离为绝对值.9.B【解析】试题分析:根据互为相反数的两数和为0可得a+1=0,再由0的绝对值是0即可得|a+1|=|0|=0.故答案选B.考点:相反数;绝对值.10.D【解析】根据题意,a可能为正数,故-a为负数;a可能为0,则-a为0;a可能为负数,-a为正数,由于题中未说明a 是哪一种,故无法判断-a.【详解】∵a 可正、可负、也可能是0∵选D.【点睛】本题考查了有理数的分类,解本题的关键是掌握a 不确定正负性,-a 就无法确定.11.<【解析】分析:根据负数都小于0得出即可.详解:-3<0.故答案为<.点睛:本题考查了有理数的大小比较的应用,能熟记有理数的大小比较法则是解此题的关键,难度不大. 12.3【解析】表示3-的点与原点的距离是3-的绝对值.【详解】在数轴上表示3-的点与原点的距离是33-=.故答案为:3.【点睛】本题考查了实数与数轴,熟记数轴的特点以及绝对值的几何意义是解题的关键.13.0【解析】根据题意,既不是正数,也不是负数的数只有0.【详解】解:一个数既不是正数,也不是负数,这个数是0.故答案为0.【点睛】本题考查了正数和负数,解决本题需注意既不是正数也不是负数的数只有0.14.3x ≤【解析】根据绝对值的意义,绝对值表示距离,所以30x -≥,即可求解;【详解】根据绝对值的意义得,30x -≥,3x ∴≤;故答案为:3x ≤;【点睛】本题考查绝对值的意义;理解绝对值的意义是解题的关键.15.10【解析】根据题意列出算式,利用有理数的减法法则计算出结果即可解答.【详解】6﹣(﹣4)=6+4=10∵.故答案为10.【点睛】本题主要考查了有理数的减法的应用,正确列出算式,根据有理数的减法法则计算出结果是解题的关键.16.6.97×108【解析】科学记数法的表示形式为a×10n 的形式,其中1≤|a|<10,n 为整数.确定n 的值时,要看把原数变成a 时,小数点移动了多少位,n 的绝对值与小数点移动的位数相同.当原数绝对值>1时,n 是正数;当原数的绝对值<1时,n 是负数.【详解】697000000将小数点向左移8位得到6.97,所以697000000用科学记数法表示为:6.97×108,故答案为:6.97×108.【点睛】本题考查科学记数法的表示方法.科学记数法的表示形式为a×10n 的形式,其中1≤|a|<10,n 为整数,表示时关键要正确确定a 的值以及n 的值.17.110【解析】试题分析:根据前三个正方形中的数字规律可知:C 所处的位置上的数字是连续的奇数,所以c=9,而a 所处的位置上的数字是连续的偶数,所以a=10,而b=ac+1=9×10+1=91,所以a+b+c=9+10+91=110. 考点:数字规律.18.34335- 【解析】根据有理数的加减法法则计算即可. 【详解】原式=11353235131010464675-+-+- 13153231531010446675⎛⎫⎛⎫⎛⎫=+-++- ⎪ ⎪ ⎪⎝⎭⎝⎭⎝⎭ 15935=-+ 34335=- 【点睛】本题考查的是有理数的加减混合运算,掌握有理数的加减法的运算法则是关键.19.-8【解析】直接利用有理数的混合运算法则计算得出答案.【详解】解:原式1011=-++8=-.【点睛】考核知识点:有理数的混合运算.掌握有理数的运算法则是关键.20.1【解析】含有有理数的加、减、乘、除、乘方多种运算的算式.根据几种运算的法则可知:减法、除法可以转化成加法和乘法,乘方是利用乘法法则来定义的,所以有理数混合运算的关键是加法和乘法.加法和乘法的法则都包括符号和绝对值两部分,同学在计算中要学会正确确定结果的符号,再进行绝对值的运算.【详解】原式=4-7+3+1=121.见解析【解析】试题分析:按有理数分类的标准把各数填入相应集合的大括号里即可.试题解析:正有理数集合:{3,2.003,114,-(-2.28),3.14…} 负有理数集合:{ 2.5-,-103,-••0.15,4--…} 整数集合:{ 3,0,4--…}负分数集合:{ 2.5-,-103,-••0.15…}. 22.在数轴上表示见解析,比较大小见解析.【解析】试题分析:根据题意,先把这些数的绝对值符号和括号去掉,再在数轴上表示出来,然后根据在数轴上表示的数用“<”号把这些数连接起来即可.试题解析:3.5--<12⎛⎫+- ⎪⎝⎭<0<112<()2.5++<()4.-- 23.(1)①1189-;②111n n -+;(2)20082009【解析】分析:(1)由于1:112⨯=1﹣11223⨯,=12﹣11334⨯,=13﹣14…利用题目规律即可求出结果;(2)首先把题目利用(1)的结论变为11111122320082009-+-+-L,然后利用有理数的加减混合运算法则计算即可求解.详解:(1)①189⨯=1189-;②11n n⨯+()=111n n-+(n是正整数);(2)112⨯+123⨯+134⨯…+120072008⨯+120082009⨯=11111 122320082009 -+-+-L=1﹣1 2009=2008 2009.点睛:本题主要考查了有理数的混合运算,解题时首先正确理解题目中隐含的规律,然后利用规律把题目变形,从而使计算变得比较简便.24.(1)画图见解析;(2)小彬家与学校之间的距离是3km;(3)小明跑步共用了36分钟.【解析】试题分析:(1)根据题意画出即可;(2)计算2﹣(﹣1)即可求出答案;(3)求出每个数的绝对值,相加可求小明一共跑了的路程,再根据时间=÷速度即可求出答案.试题解析:(1)如图所示:(2)小彬家与学校的距离是:2﹣(﹣1)=3(km).故小彬家与学校之间的距离是3km;(3)小明一共跑了(2+1.5+1)×2=9(km),小明跑步一共用的时间是:9000÷250=36(分钟).答:小明跑步一共用了36 分钟长时间.25.(1) 14元;(2)60元;(3)360元.【解析】(1)让七天的收入总和减去支出总和即可;(2)首先计算出一天的结余,然后乘以30即可;(3)计算出这7天支出的平均数,即可作为一个月中每天的支出,乘以30即可求得.解:(1)由题意可得:15+18+16+25+24﹣10﹣14﹣13﹣8﹣10﹣14﹣15=14元;(2)由题意得:14÷7×30=60元;(3)根据题意得;84÷7×30=360元。
2020年数学中考试题(及答案)一、选择题1.如图,若一次函数丁=-2%+b 的图象与两坐标轴分别交于A , B 两点,点A 的坐标为 (0, 3),则不等式-2%+b >0的解集为(5.如图,在矩形ABCD 中,AD=3, M 是CD 上的一点,将^ADM 沿直线AM 对折得到 △ANM ,若AN 平分N MAB ,则折痕AM 的长为()D M CA . 3B . 2 <3C . 3、,■:2D . 6A . %> 3B . %< 3C . %>3 2 2D .%<32 .如图,。
O 的半径为5, AB 为弦, 点C 为AB 的中点,若N ABC=30°,则弦AB 的长C .容D .5行3 .下列运算正确的是( )A . a + a 2 = a 3B .(3a » = 6a 24 .如图,直线l 1〃l 2,将一直角三角尺按如图所示放置,使得直角顶点在直线11上,两直 角边分别与直线11、12相交形成锐角N 1、N 2且N 1 = 25°,则N 2的度数为(B .75°C .65°D .55°A . —B . 5 2 A .25°6.已知直线m//n,将一块含30。
角的直角三角板ABC按如图方式放置(/ABC = 30。
),其中A , B两点分别落在直线m , n上,若/1 = 40。
,则Z2的度数为()A. 10。
B. 20。
C. 30。
D.40。
估643 、,:7的值应在()A. 3和4之间B. 4和5之间C. 5和6之间D.6和7之间8.根据以下程序,当输入%=2时,输出结果为()A. - 1B. -4C. 1D. 119.如图,将n ABCD沿对角线BD折叠,使点A落在点E处,交BC于点F,若/ ABD = 48 , / CFD = 40,则乙 E 为()EA. 102B. 112C. 122D. 9210.如图,AB〃CD,N C=80°,N CAD=60°,则N BAD 的度数等于(。
常见的碱1.(2020•遵义)某兴趣小组进行了化学探究活动。
实验一:相同条件下,将10.00g下列物质分别置于相同规格的烧杯中,敞口放置在空气中,烧杯中物质质量随时间变化如下表。
实验二:下列说法不正确的是A.浓硫酸敞口久置后浓度会变小B.实验二的溶液①中溶质只有Na2CO3C.稀盐酸敞口久置后浓度可能会变大D.饱和石灰水的质量变化小于水的质量变化,原因之一是饱和石灰水吸收了空气中的CO2【答案】B【解析】A、浓硫酸敞口久置于空气中,其浓度会变小,是因为浓硫酸具有吸水性,不符合题意;B、从实验一知道,氢氧化钠溶液的质量变化小于水的质量变化,原因之一是氢氧化钠溶液吸收了空气中的CO2,产生了Na2CO3,溶液①中加入50g 7.3%的稀盐酸后,溶液质量是68.8g,则没有物质逸出,盐酸是和先与溶液①还没有变质的氢氧化钠反应,导致盐酸的量不足,和Na2CO3反应只能产生碳酸氢钠,而不能放出二氧化碳气体,所以溶液①的溶质还有氢氧化钠,符合题意;C、稀盐酸敞口久置后浓度可能会变大,因为盐酸中水的蒸发量可能大于氯化氢的蒸发量,不符合题意;D、饱和石灰水中的氢氧化钙能与二氧化碳反应生成碳酸钙沉淀和水,所以饱和石灰水的质量变化小于水的质量变化,不符合题意。
故选B。
2.(2020•龙东)某兴趣小组设计实验探究氢氧化钠的性质,请你参与他们的探究。
(实验过程与分析)(1)实验一的现象:___________。
(2)实验二的现象:__________。
(实验反思与拓展)(3)实验一中发生反应的化学方程式: _____。
(4)某同学认为实验三的结论不正确,他改进了该实验方案:先向氢氧化钠溶液中滴入几滴酚酞溶液并振荡,再滴入稀硫酸,观察到溶液由____色变为无色,由此可知氢氧化钠与稀硫酸确实发生了反应,该反应的化学方程式为__________。
(5)由实验三联想到二氧化碳通入到氢氧化钠溶液中也没有明显现象,那么二氧化碳与氢氧化钠是否发生了化学反应呢? (本实验中忽略CO2溶于水)①甲同学设计了如图所示实验方案,当观察到_________现象时,说明两者发生了化学反应。
2020年全国各地中考数学试题分类解析汇编(第一辑)第2章 整式的加减
一.选择题(共10小题) 1.(2020•常德)若﹣x3ya与xby是同类项,则a+b的值为( ) A.2 B.3 C.4 D.5 2.(2020•上海)下列单项式中,与a2b是同类项的是( ) A.2a2b B.a2b2C.ab2D.3ab 3.(2020•泸州)计算3a2﹣a2的结果是( ) A.4a2B.3a2C.2a2D.3 4.(2020•连云港)计算:5x﹣3x=( ) A.2x B.2x2C.﹣2x D.﹣2 5.(2020•舟山)计算2a2+a2,结果正确的是( ) A.2a4B.2a2C.3a4D.3a2 6.(2020•崇左)下列各组中,不是同类项的是( ) A.52与25B.﹣ab与ba C.0.2a2b与﹣a2b D.a2b3与﹣a3b2 7.(2020•柳州)在下列单项式中,与2xy是同类项的是( ) A.2x2y2B.3y C.xy D.4x 8.(2020•玉林)下列运算中,正确的是( ) A.3a+2b=5ab B.2a3+3a2=5a5C.3a2b﹣3ba2=0 D.5a2﹣4a2=1 9.(2020•济宁)化简﹣16(x﹣0.5)的结果是( ) A.﹣16x﹣0.5 B.﹣16x+0.5 C.16x﹣8 D.﹣16x+8 10.(2020•临沂)观察下列关于x的单项式,探究其规律: x,3x2,5x3,7x4,9x5,11x6,… 按照上述规律,第2020个单项式是( ) A.2020x2020B.4029x2020C.4029x2020D.4031x2020 2020年全国各地中考数学试题分类解析汇编(第一辑)第2章 整式的加减 参考答案与试题解析 一.选择题(共10小题) 1.(2020•常德)若﹣x3ya与xby是同类项,则a+b的值为( ) A.2 B.3 C.4 D.5 【分析】根据同类项中相同字母的指数相同的概念求解. 【解答】解:∵﹣x3ya与xby是同类项, ∴a=1,b=3,
2020中考数的综合运算(四)专项训练(原创)学校:___________姓名:___________班级:___________考号:___________一、解答题1.解方程:214111x x x ++=--. 2.解方程:6x 1x 2x 3=--+. 3.解方程:13122x x x -=---. 4.解方程:214111x x x ++=--. 5.解方程:21133x x x x =+++. 6.解方程:233x x =-. 7.解方程:11322x x x--=--. 8.解分式方程:21133x x x-+=--. 9.解方程:311(1)(2)x x x x -=--+. 10.解方程:11222x x x-=--- 11.解方程:242111x x x ++=---. 12.解分式方程:2311x x x x +=--. 13. 解方程:223124x x x --=+-. 14.解方程:11224x x x x -=---. 15.解分式方程:1x x -﹣1=233x x -. 16.解方程:228122x x x x-=-- 17.解方程:2121x x x +=+-. 18.解方程:331221x x x x --=++. 19.解方程:226122x x x ++=--.20.解分式方程:241244x x x x -=--+.参考答案1.x=﹣3.【解析】【分析】通过去分母,把分式方程化成整式方程,求解整式方程,再代入最简公分母检验即可.【详解】解:方程两边乘以(x+1)(x ﹣1)得:2(1)4(1)(1)x x x ++=+-,解这个方程得:x=﹣3,检验:当x=﹣3时,(x+1)(x ﹣1)≠0,∴x=﹣3是原方程的解;∴原方程的解是:x=﹣3.考点:解分式方程.2.4x 3=-【解析】分析:观察可得最简公分母是()()x 2x 3-+,方程两边乘最简公分母,可以把分式方程转化为整式方程求解,最后检验.解:方程两边同乘以()()x 2x 3-+,得:()()()()6x 3x x 2x 2x 3+=---+化简得:226x 18x 2x x x 6?9x 12+=---+=-,, 解得4x 3=-. 经检验,4x 3=-是原方程的根. ∴原方程的解为4x 3=-. 3.3x =.【解析】【分析】分式方程去分母转化为整式方程,求出整式方程的解得到x 的值,经检验即可得到分式方程的解.【详解】解:13122x x x -=---. 123x x -=--.26x -=-.3x =.经检验,3x =是原方程的解.∴原方程的解是3x =.考点:分式方程的解法.4.原方程无解.【解析】【分析】观察可得最简公分母是(x ﹣1)(x+1),方程两边乘最简公分母,可以把分式方程转化为整式方程求解.【详解】解:方程的两边同乘(x ﹣1)(x+1),得2(1)4(1)(1)x x x +-=+-,解得x=1.检验:把x=1代入(x ﹣1)(x+1)=0.所以原方程的无解.【点睛】本题考查解分式方程.5.32x =-【解析】【分析】分式方程两边同乘3(x+1),解出x 的解,再检验解是否满足.【详解】解:方程两边都乘()31x +,得:()3231x x x -=+, 解得:32x =-,经检验32x =-是方程的解, ∴原方程的解为32x =-. 【点睛】本题考查的知识点是分式方程的求解,解题关键是解出的解要进行检验.6.9x =.【解析】【分析】观察可得最简公分母是(3)x x -,方程两边乘最简公分母,可以把分式方程转化为整式方程求解.【详解】解:方程两边同乘以(3)x x -,得23(3)x x =-解得9x =检验:将9x =代入(3)x x -知,(3)0x x -≠所以9x =是原方程的根.【点睛】本题考查解分式方程,注意分式方程的结果要检验.7.x=3.【解析】分析:根据分式方程的解法,先把分式方程化为整式方程,再解整式方程,检验后确定是否为分式方程的解即可. 详解:11322x x x--=-- 1-3(x-2)=1-x解得x=3检验:把x=3代入x-2=3-2=1≠0,所以x=3时原分式方程的解点睛:此题主要考查了分式方程的解法,通过去分母把方程化为整式方程是解题关键,注意解分式方程一定要检验,容易遗忘漏掉.8.2x =.【解析】试题分析:方程最简公分母为(3)x -,方程两边同乘(3)x -将分式方程转化为整式方程求解,要注意检验.试题解析:方程两边同乘(3)x -,得:213x x --=-,整理解得:2x =,经检验:2x =是原方程的解.考点:解分式方程.9.原方程无解.【解析】【分析】根据分式方程的解法去分母把方程化成整式方程即可求解.【详解】31(1)(2)x x x x -=--+1, 解:(2)31(1)(2)x x x x +-=-+ 2231(2)(1)x x x x +-=+- 223(1)(2)x x x x +-=-+,1x =,经检验1x =是方程的增根,∴原方程无解;【点睛】此题主要考查分式方程的求解,解题的关键是进行验根.10.无解【解析】【分析】解:去分母:方程两边同时乘以x-2,得1-x=-1-2(x-2)1-x="-1-2x+4X="2检验:当x=2时,x-2=0,所以x=2不是原方程的解.∴原方程无解.【详解】请在此输入详解!11.13x = 【解析】【分析】观察可得最简公分母是(x+1)(x ﹣1),方程两边乘最简公分母,可以把分式方程转化为整式方程求解.【详解】 解:242111x x x++=--- 整理,得:421(1)(1)1x x x x +-=-+-- 方程两边都乘以(x+1)(x ﹣1),得4﹣(x+1)(x+2)=﹣(x 2﹣1),整理,得,3x=1, 解得1x=3. 经检验,1x=3是原方程的根.∴原方程的解是1x=3.【点睛】本题考查解分式方程,注意解分式方程,结果要检验.12.x=3【解析】试题分析:分式方程去分母转化为整式方程,求出整式方程的解得到x 的值,经检验即可得到分式方程的解.试题解析:解:去分母得:3+x 2﹣x =x 2,解得:x =3,经检验x =3是分式方程的解. 点睛:此题考查了解分式方程,利用了转化的思想,解分式方程注意要检验.13.54x = 【解析】【分析】【详解】解:22(2)(4)3x x ---=.45x -=-.54x =. 经检验,54x =是原方程的解. 14.2x =-.【解析】【分析】方程最简公分母为:2(2)x -,将方程去分母转化为整式方程即可求解.【详解】化为整式方程得:2224x x x -=-+,解得:2x =-,把2x =-代入原分式方程中,等式两边相等,经检验2x =-是分式方程的解.【点睛】本题考查解分式方程,将分式方程化为整式方程求解是关键,注意需要验根.15.分式方程的解为x=1.5.【解析】【分析】根据解分式方程的步骤:①去分母;②求出整式方程的解;③检验;④得出结论依次计算可得.【详解】两边都乘以3(x ﹣1),得:3x ﹣3(x ﹣1)=2x ,解得:x=1.5,检验:x=1.5时,3(x ﹣1)=1.5≠0,所以分式方程的解为x=1.5.【点睛】本题考查了解分式方程,熟练掌握解分式方程的一般步骤以及注意事项是解题的关键. 16.x =-4.【解析】【分析】首先去分母,化为整式方程, 求出解,然后合并同类项,把未知数的系数化为1,最后检验求得的结果是否使原分式有意义,即可得到结果【详解】去分母,得2x 2-8=x 2-2x移项、整理得x 2+2x -8=0.解这个方程,得x 1=2,x 2=-4.经检验:x =2是增根,舍去;x =-4是原方程的根。
计算题1.(2020•铜仁)铜粉中混有少量的铁粉,为了除去铁粉,某校兴趣小组同学,取该铜粉20g 于烧杯中,然后等量分5次加入未知质量分数的某强酸(W )溶液,充分反应后所得数据如下表,请根据相关知识和图表信息回答下列问题。
(1)写出你所选择酸(W )的化学式 。
(2)铜粉中混有铁粉的质量是 。
(3)计算你选择酸(W )的质量分数(写出计算过程)。
解析 (1)H 2SO 4(或HCl )(2)0.98g (3)9.8%或7.3%(详见解析)【解析】解:(1)铁的金属活动性排在氢的前面,会置换出硫酸或盐酸中的氢,所以所选择酸(W )的化学式是:H 2SO 4(或HCl );(2)根据图表信息,共生成氢气的质量为:0.01g+ 0.01g+0.01g+0.005g =0.035g 设参加反应的铁的质量为x , 2442Fe +H SO FeSO +H 5620.035gx↑═56=20.035g x x =0.98g(3)①假设该酸是硫酸,设5g 该硫酸溶液中含H 2SO 4的质量为y ,2442Fe +H SO FeSO +H 9820.01gy ↑═98=20.01gy y =0.49g 该硫酸溶液中溶质的质量分数为0.49g 5g×100%=9.8%; 答:该硫酸溶液中溶质的质量分数为9.8%。
②假设该酸是盐酸,设5g 该盐酸溶液中含HCl 的质量为z ,22Fe +2HCl FeCl +H 7320.01g z═73=20.01gz z =0.365g 该盐酸溶液中溶质的质量分数为0.365g 5g×100%=7.3%。
答:若选择的酸为硫酸,该硫酸溶液中溶质的质量分数为9.8%;若选择的酸为盐酸,则质量分数为7.3%。
2.(2020•河北)20.某小组用粗锌测定某稀硫酸中溶质的质量分数。
取一定质量的稀硫酸于烧杯中,称量稀硫酸和烧杯的总质量;然后,向其中分两次加入粗锌(杂质不参加反应),实验过程和数据如图所示。
请计算:(1)生成氢气的总质量为 g 。
(2)稀硫酸中溶质的质量分数。
答案 (1)0.2g ;(2)9.8%【解析】(1)由图可知,先加入8g 粗锌,反应后,天平显示的质量是213.4g ,再加入2g 粗锌,天平显示的质量是215.4g ,故第一次加入8g 粗锌,已经完全反应。
生成氢气的总质量为:205.6g+8g-213.4g=0.2g ;(2)解:设稀硫酸中溶质的质量分数为x加入稀硫酸的质量为:205.6g-105.6g=100g ;2442Zn +H SO =ZnSO +H 982100g 0.2gx↑98100g =20.2gx x =9.8%答:稀硫酸中溶质的质量分数为9.8%。
3.(2020•荆州)现有盛88.4gNa 2CO 3,和NaOH 混合溶液的大烧杯,向其中滴加质量分数为9.8%的H 2SO 4溶液,充分搅拌,烧杯中溶液的质量与滴加H 2SO 4溶液的质量关系如图所示,回答下列问题:(1)写出AB 段发生反应的化学方程式 。
(2)BC 段可以观察到大烧杯的溶液中有气泡产生,则生成气体的质量为 g 。
(3)B 点时,大烧杯中的溶液pH 7(填”>”、“=”或“<”)。
(4)C 点时,所得溶液为不饱和溶液,求溶液中溶质的质量分数。
(写出计算过过程) 答案 (1)2NaOH+H 2SO 4=Na 2SO 4+2H 2O (2)4.4(3)>(4)设:氢氧化钠和硫酸反应硫酸钠的质量为z 。
242422NaOH H SO =Na SO 2H O 98142100g 9.8%z 98100g 9.8%=z=14.2g 142z++⨯⨯,反应后硫酸钠的质量包括碳酸钠和硫酸反应生成的硫酸钠以及氢氧化钠和硫酸反应生成的硫酸钠等于14.2g+14.2g=28.4g ,反应后溶液质量为88.4g+200g-4.4g=284g故溶质质量分数为28.4g 100%=10%284g⨯ 答:溶质质量分数10%。
【解析】(1)烧杯中滴加H 2SO 4溶液氢氧化钠和稀硫酸优先反应,碳酸钠再和硫酸反应,AB 段表示氢氧化钠和硫酸反应生成硫酸钠和水,化学方程式为2NaOH+H 2SO 4=Na 2SO 4+2H 2O ,故填:2NaOH+H 2SO 4=Na 2SO 4+2H 2O 。
(2)生成气体质量为x ,生成硫酸钠质量为y 。
()()()23242422Na CO H SO =Na SO CO H O9814244200g -100g 9.8%y x 200g -100g 9.8%200g -100g 9.8%9898==44x142yx=4.4g y=14.2g++↑+⨯⨯⨯,,故填:4.4。
(3)B 点时,表示氢氧化钠和稀硫酸恰好反应生成硫酸和水,大烧杯中的溶液溶质为硫酸钠和碳酸钠,碳酸钠显碱性,pH>7,故填:>。
(4)设:氢氧化钠和硫酸反应硫酸钠的质量为z 。
242422NaOH H SO =Na SO 2H O 98142100g 9.8%z 98100g 9.8%=z=14.2g 142z++⨯⨯,反应后硫酸钠的质量为:14.2g+14.2g=28.4g ,反应后溶液质量为:88.4g+200g-4.4g=284g 故溶质质量分数为28.4g 100%=10%284g⨯ 答:溶质质量分数10%。
4.(2020•怀化)随着人类现代化程度迅速提高,温室气体(CO 2)排放日益增加,为降低温室气体含量,科学家正在研究一种新型的“人造树叶”。
假设每1升“人造树叶”每天可从空气中吸收二氧化碳880g 并转化为乙醇(C 2H 5OH ),对应化学方程式为222522CO +3H O C H OH+3O 一定条件 。
请回答:(1)写出该研究的一点意义 。
(2)若每天一棵树平均可吸收44g CO 2,则一升“人造树叶”一天吸收的CO 2相当于多少棵树吸收的CO 2。
(3)1升“人造树叶”工作一个月(按30天计)可得到乙醇多少克?(写出计算过程)。
答案 (1)降低温室气体含量,缓解温室效应;(2)20;(3)13800【解析】(1)该研究可将二氧化碳转化为乙醇,可以降低温室气体含量,缓解温室效应; (2)每1升“人造树叶”每天可从空气中吸收二氧化碳880g ,每天一棵树平均可吸收44g CO 2,880g ÷44g=20g ,故一升“人造树叶”一天吸收的CO 2相当于20棵树吸收的CO 2; (3)每1升“人造树叶”每天可从空气中吸收二氧化碳880g ,一个月可吸收二氧化碳的质量为:880g ×30=26400g解:设1升“人造树叶”工作一个月(按30天计)可得到乙醇的质量是x222522CO +3H OC H OH +3O 884626400g x 一定条件8826400=46g xx =13800g 。
答:1升“人造树叶”工作一个月(按30天计)可得到乙醇13800g 。
5.(2020•长沙)为了测定某小苏打样品中碳酸氢钠的质量分数,小兰同学进行了如下实验:向盛有10g 样品的烧杯中加入稀硫酸,恰好完全反应时,加入稀硫酸的质量为90g ,反应后烧杯内物质的总质量为95.6g 。
(杂质不溶于水也不与酸发生反应)已知反应的化学方程式如下:2NaHCO 3+H 2SO 4═Na 2SO 4+2CO 2↑+2H 2O(1)该反应生成二氧化碳的质量为 g 。
(2)求该样品中碳酸氢钠的质量分数(写出计算过程)。
答案 (1)4.4(2)84%【解析】(1)根据质量守恒定律,反应物的总质量等于生成物的总质量,因此该反应生成二氧化碳的质量为:10g+90g ﹣95.6g =4.4g ;(2)设碳酸氢钠质量为x32424222NaHCO +H SO Na SO +2CO +2H O16888x4.4g 168x =x=8.4g 88 4.4g↑⇒═ 该样品中碳酸氢钠的质量分数是:8.4g 10.0g×100%=84%, 答:该样品中碳酸氢钠的质量分数是84%。
6.(2020•江西)“二氧化碳的实验室制取与性质”实验活动产生的废液中含稀盐酸,需先测定其溶质质量分数后进行处理。
(杂质不参加反应)(1)实验时需配制50g5%的氢氧化钠溶液,若用氢氧化钠固体和水来配制,则需称量氢氧化钠固体的质量为_____g 。
(2)取20g 废液样品于烧杯中,向其中逐滴加入5%的氢氧化钠溶液,恰好完全反应时共消耗氢氧化钠溶液16g 。
计算废液中盐酸的溶质质量分数。
(写出计算过程)(3)恰好完全反应时烧杯中的溶液所含粒子数目关系:Na +_____Cl -。
(填“>”、“=”或“<”)答案 (1)2.5;(2)3.65%(过程见解析(;(3)<【解析】(1)氢氧化钠质量:50g ×5%=2.5g ,故填:2.5。
(2)设:盐酸溶质质量分数为x 。
2NaOH HCl =NaCl H O4036.516g 5%20gx4016g 5%=36.520gxx=3.65%++⨯⨯,答:废液中盐酸的溶质质量分数3.65%。
(3)实验室用稀盐酸和石灰石或大理石制取二氧化碳,废液中还有氯化钙,故氯离子数目大于钠离子数目,故填:<。
7.(2020•泰安)请你仔细分析如图所示的实验过程和提供的数据,并进行计算。
(1)反应后烧杯中溶液质量为_____g 。
(2)应后所得溶液中溶质的质量分数是多少_____?(写出计算过程,精确到 0.1%) 答案 200 12.7%【解析】解:(1)设反应生成氯化亚铁质量为x ,生成氢气为y ,22=Fe +2HCl Fe 56127211.2g x Cl +H yx 127=11.2g 56x =25.4g , y 2=11.2g 56y =0.4g , 反应后烧杯中溶液质量为:11.2g+189.2g ﹣0.4g =200g ;(2)反应后所得溶液中溶质的质量分数是:25.4g 200g×100%=12.7%, 答:反应后所得溶液中溶质的质量分数是12.7%。
8.(2020•陕西)为测定某赤铁矿中Fe 2O 3的含量,取10g 该赤铁矿样品于烧杯中,向其中加入100g 盐酸,恰好完全反应,测得剩余固体的质量为2g 。
(杂质不溶于水也不与酸反应) 请完成下列分析及计算:(1)10g 样品中杂质的质量为 g 。
(2)计算稀盐酸中溶质的质量分数。
答案 (1)2;(2)10.95%【解析】设100g 稀盐酸中溶质的质量为x。
3232+6HCl 16063Fe O 2FeCl 6.5g 3H O8x⨯=+1608g 636.5x=⨯x=10.95g稀盐酸中溶质的质量分数=10.95100%10.95% 100gg⨯=(其它合理的解法均照上述标准给分)答:稀盐酸中溶质的质量分数10.95%。