经济数学基础-微积分课后习题答案_四川人民出版社_龚德恩
- 格式:pdf
- 大小:1.18 MB
- 文档页数:20
习题解答第一章 经济活动中的函数关系分析实训一(A )1.填空题:(1)(,2][2,)-∞-+∞ ; (2)()3,5; (3)1x; (4)2x e ;2x e ; (5)473x -,提示:由()()47433433g f x x x =+=+-⎡⎤⎣⎦,所以()473x g x -=.2.(1)tan(2)y x =;(2)(3)y=;(4)y=lg(sin 2)x .3.(1)cos y u =,1xu e =-; (2)ln y u =,222u x x =-+;(3)y =1u x =+;(4)y lg u v =,v =实训一(B )1.由已知可知2110x -<-<,得到201x <<,即定义域为()()1,00,1- .2.由()21f x x -=,可得()()2111f x x -=-+,所以()()21f x x =+.也可令1x t -=.3.(1)u y e =,sin u v =,2v x =;(2)log uv ay =,21u x =+,sin v w =,2w x =. 4. ()()()log log log a a a f x f y x y xy f xy +=+==;()()log log log a a axx f x f y x y f y y ⎛⎫-=-== ⎪⎝⎭. 实训二 (A )1.填空题:(1)y =(2)[]1,3-; (3)2π-,4π; (4)12,π. 2.(1)⨯;(2)⨯;(3)⨯;(4)√.3.(1)由()cos 21y x =+,解得21arccos x y +=,()1arccos 12x y =-, 所以,()()11arccos 12fx x -=-.定义域:[]1,1x ∈-;值域:11,22y π-⎡⎤∈-⎢⎥⎣⎦(2)由()1ln 2y x =++,解得12y x e -+=,12y x e -=-,所以,()112x fx e --=-定义域:(),x ∈-∞+∞;值域:()2,y ∈-+∞ 4.【水面波纹的面积】设面积为S (2cm ),时间为t (s ),则()22502500S t t ππ==【仪器初值】()0.04200.800208986.58Q Q e Q e -⨯-===解得0.808986.582000Q e =≈.实训二(B )1.由()x a f x x b +=+,解得反函数为()11a bx f x x --=-. 由已知()1x a f x x b -+=+,可得1a bx x a x x b-+=-+,相比较,可得a 为任意实数,1b =-.2.由()ln x x ϕ=,()21ln 3g x x ϕ=++⎡⎤⎣⎦,可得()221ln 3ln 3x x g x e e e ϕ+=⋅⋅=⎡⎤⎣⎦所以,()213x g x e+=.实训三【商品进货费用】 设批次为x ,由题意: 库存费:11250030000242C x x=⋅⋅=; 订货费:2100C x =. 【原料采购费用】设批量为x ,库存费用为1C ,进货费用为2C ,进货总费用为12C C C =+.1122C x x=⋅⋅= 23200640000200C xx=⋅=所以进货总费用为:12640000C C C x x=+=+. 【商品销售问题】设需求函数关系式为:d Q ap b =+,其中p 为定价. 由已知可得:1000070700073a ba b=+⎧⎨=+⎩,解得1000a =-,80000b =,所以100080000d Q p =-+; 供给函数为:1003000s Q p =+平衡状态下:价格70p =;需求量10000d Q =. 【商品盈亏问题】设()()()()2015200052000L x R x C x x x x =-=-+=-.()6001000L =; 无盈亏产量:()0L x =,解得400x =. 【供给函数】答案:1052PQ =+⋅. 【总成本与平均成本】总成本()1306C Q Q =+,[]0,100Q ∈. 平均成本()13061306Q C Q Q Q+==+,[]0,100Q ∈.第一章自测题一、填空题1、[2,1)(1,1)(1,)---+∞2、(,)-∞+∞3、(,1)a a --4、23x x -5、2ln(1)x -6、arcsin 2x7、cos(ln )x8、2142R Q Q =-+9、22()2505;()6248100R x x x L x x x =-=-+- 10、6P = 二、选择题1、C2、B3、B4、D5、C三、计算解答题1、(1)22log , 1y u u x ==+(2)1x y u e ==+ 2、1()1 , ()1f x x f x x -=+=- 四、应用题1、(1) 6 , 8P Q == (2) 3.5 , 3P Q == (3) 6.5 , 7P Q ==2、(1)()10200C x x =+,()200()10C x C x x x==+ (2)()15R x x =(3)()()()5200L x R x C x x =-=-,无盈亏点:40x =五、证明题(略)第二章 极限与变化趋势分析实训一(A )1.(1)×;(2)√;(3)×;(4)×;(5)√. 2.(1)收敛,且lim 0n n x →∞=;(2)发散,lim n n x →∞=∞;(3)收敛,且lim 2n n x →∞=;(4)发散.3.(1)收敛,且lim 2x y →∞=;(2)收敛,且0lim 1x y →=;(3)收敛,且lim 1x y →+∞=;(4)发散.【产品需求量的变化趋势】lim lim 0t t t Q e -→+∞→+∞==.实训一(B )(1)无穷大;(2)无穷大;(3)无穷大;(4)无穷大. 【人影长度】越靠近路灯,影子长度越短,越趋向于0.实训二 (A )1.填空题(1)5;(2)2;(3)1;(4)13;(5)∞;(6)∞;(7)2. 2.(1)()()()()2211111112lim lim lim 21121213x x x x x x x x x x x x →→→-+-+===---++; (2)(222211lim2x x x x x x →→→===--;(3)()()2322000222lim lim lim 211x x x x x x x x x x x x x →→→---===---; (4)()()211121111lim lim lim 111112x x x x x x x x x →→→--⎛⎫-===-⎪---++⎝⎭. 3.(1)222112lim lim 2111x x x x x x x →+∞→+∞-⎛⎫-==- ⎪+--⎝⎭; (2)()()()1121lim lim lim 22222222n n n n n n n n n n n n →∞→∞→∞⎛⎫++++-⎛⎫-=-==- ⎪⎪ ⎪+++⎝⎭⎝⎭. 【污染治理问题】由题意可知,该问题为等比级数问题,首项为a ,公比为45,则设n 周后所剩污染物为n a ,则45nn a a ⎛⎫= ⎪⎝⎭,因为4lim 05nn a →∞⎛⎫= ⎪⎝⎭,所以,可以确定随着时间的推移能将污染物排除干净.【谣言传播】 (1)1lim (t)lim11ktt t P ae -→∞→∞==+;(2)121(t)0.8110t P e-==+,可解得2ln 407.38t =≈.实训二(B )1.填空题(1)32π-; (2)0;0.(无穷小与有界函数的乘积为无穷小)(3)0a =,2b =-.2.(1)()3320lim3h x h x x h→+-=;(2)442x x x →→→===.3.由()3lim 30x x →-=,且232lim 43x x x kx →-+=-,可得()23lim 20x x x k →-+=,解得3k =-.4.由题意可知()()21116lim lim 511x x x x x ax bx x→→--++==--,可得7a =-,6b =.实训三 (A )1.填空题(1)1e -;(2)3e -;(3)e ;(4)e ;(5)3k =;(6)5050.1230⨯⨯=万元,()55010.125038.1⨯+-=万元,50.125041.1e ⨯=万元. 2.(1)6e -;(2)1e -;(3)2e -;(4)01e =. 3.(1)0.042003 6.68rtPe e ⨯==万元; 2.25o P =万元.(2)24.38t p =万元;24.43t p =万元.实训三(B )1.(1)(()0111lim 1lim 1lim 11x x x x x x e x x x --→∞→∞→∞⎡⎤⎛⎛⎫⎛⎫-=-=-==⎢⎥⎪⎪ ⎪⎝⎭⎝⎭⎝⎭⎢⎥⎣⎦;(2)()15lim 15xx x x e →→∞=+=;(3)()1111111lim lim 11xxx x xx e ---→→=+-=;(4)()()()1000ln 121limlim ln 12limln 12x x x x x x x xx →→→+=+=+ ()()112limln 12lnlim 12ln 2x xx x x x e →→=+=+==.2.322lim lim 122x xc x x x c c e e x c x c →∞→∞+⎛⎫⎛⎫=+== ⎪ ⎪--⎝⎭⎝⎭,所以3c =. 实训四 (A )1.填空题 (1)(]0,3;(2)()243,110,1x x x f x x ⎧-+≤-=⎨>⎩;(3)()0lim 1x f x -→=-,()0lim 0x f x +→=,()0lim x f x →不存在; (4)()(),22,-∞--+∞ ; (5)1x =,2x =;(6)1k =.2.图略,()0lim 1x f x -→=,()0lim 0x f x +→=,()0lim x f x →不存在. 3.()()1lim 11x f x f -→==,()1lim 2x f x +→=,因为()()11lim lim x x f x f x -+→→≠,所以()f x 在1x =处不连续.【个人所得税计算】个人所得税的起征点为月收入3500元.850035005000-=,50000.2555455⨯-=;1200035008500-=,85000.25551145⨯-=.【出租车费用】图略,()8, 322, 3836, 8x f x x x x x ≤⎧⎪=+<≤⎨⎪->⎩.实训四 (B )1.图略,()()0lim 10x f x f -→=-=,()0lim 0x f x +→=,因为()()11lim lim x x f x f x -+→→≠,所以()f x 在0x =处不连续.2.由连续的定义可知:()()220lim 1xx k f x e →==+=.3.因为()01f =,()01lim sin00x x f x→=≠(无穷小与有界函数的乘积), 所以0x =为第一类的可去间断点.第二章自测题一、填空题 1、1- 2、1 3、12- 4、345、221,02,0x x x x ⎧+=⎪⎨≠⎪⎩6、1-7、100 ; 0 8、0.035; 5.15e(万)(万)二、选择题1、C2、A3、C4、A5、B 三、计算解答题1、(1)原式=211(1)1 lim lim0(1)(1)1x xx xx x x→→--==+-+(2)原式=lim lim x x=1lim2x==-(3)设1xe t-=,则ln(1)x t=+,0x→时,0t→,原式=10011lim lim1ln(1)ln(1)limln(1)t ttttt ttt→→→==+⋅++1111lnln[lim(1)]ttet→===+(4)原式=sin[lim sin[limx x→+∞=s i n[l]s i n00x===2、(0)2f=00l i m()l) x x xf x---→→→==00lim lim(12x x--→→==+=00lim()lim(2)2x xf x x++→→=+=lim()2(0)xf x f→∴==()f x∴在0x=点连续,从而()f x在(,)-∞+∞内连续.四、应用题第三章经济最优化问题分析实训一(A )1.填空题(1)45x ; (2)2313x -; (3)23x ; (4)5232x --;(5)2ln 2x ; (6)1ln10x ; (7)0; (8)0.2.2log y x =,1ln 2y x '=.212ln 2x y ='=,122ln 2x y ='=.3.(1)()141y x -=-,即43y x =-; (2)()222y x +=--,即22y x =-+; (3)cos y x '=,312x k y π='==,切线方程为123y x π⎛⎫=- ⎪⎝⎭,即126y x π=-. 实训一(B )1.()()()20001sin010limlim lim sin 00x x x x f x f x f x x x x→→→-'====-.2.()()()()000002lim h f x h f x f x h f x h →+-+--()()()()0000022lim2h f x h f x hh f x h f x h →+-=+--()()()()00000022limlim 12h h f x h f x hh f x h f x h →→+-=⋅=+--. 其中()()()00002lim2h f x h f x f x h→+-'=,()()()()()00000021limh h f x f x h f x f x h f x →='+----⎡⎤⎡⎤⎣⎦⎣⎦. 3.因为3,02⎛⎫⎪⎝⎭不在21y x =上,不是切点.设过点3,02⎛⎫⎪⎝⎭与21y x =相切的切线的切点坐标为21,a a ⎛⎫ ⎪⎝⎭,则切点为21,a a ⎛⎫ ⎪⎝⎭的切线方程为:()2312Y X a a a -=--,有已知3,02⎛⎫ ⎪⎝⎭在切线上,带入可得1a =,所以切线方程为:()121y x -=--,即23y x =-+.实训二 (A )1.(1)223146y x x x '=+-; (2)11'ln n n y nx x x --=+; (3)21'41y x x =++; (4)2cosx cosx sinx'(x 1)x y +-=+. 2.(1)22'1xy x =+; (2)22'2sin3x 3cos3x x x y e e =+; (3)'y = (4)22sec cos122'csc sinx 2tan 2cos sin222x x y x x x x ====.3.(1)''2y =; (2)''2x x y e xe --=-+(3)222222(1x )2(2x)''224(1x )x y x x --+-==-+--; (4)2322222(1x)2''2arctanx 1(1x )x x x y x +-=++++. 4.(1)2212dy x xdx y y --+==;(2)x y x y dy y e y xy dx e x xy x++--==--. 【水箱注水】由24r h =,12r h =,22311133212h v r h h h πππ⎛⎫=== ⎪⎝⎭,两边求导得214v h h π''=,由已知2v '=,3h =,带入可得: 1294h π'=,89h π'=所以水位上升的速度为89π米/分.【梯子的滑动速度】由题意可得22100x y +=,两边求导可得:220dx dy xy dt dt +=,即dx y dy dt x dt=-, 将8y =,6x =,0.5dy dt =带入可得:820.563dy dt =-⨯=-.所以梯子的另一端华东的速度为23米/秒.负号表示运动方向. 实训二 (B )1.(1)11(1ln )e x e x y x x x e -=+++; (2)()()1112121y x x x ⎫'=--⎪⎪-+⎭. 2.()()cos sin x x y e x f e x ''=++. 3.将1y y xe -=两边对x 求导可得:0y y dy dy e xe dx dx --=,即1y ydy e dx xe =-.…………(1) 将0,1x y ==带入(1)可得:y e '=. 对(1)继续求导,()()()22121y y y y y y y e xe e e xy e y e xe ''----''==-.4.(1)22x z z xy x ∂'==∂, 22y zz yx y ∂'==∂; (2)2xy x z z ye xy x ∂'==+∂,2xy y z z xe x y∂'==+∂. 实训三 (A )1.填空题(1)单调递增区间,(),0-∞;单调递减区间()0,+∞. (2)6a =-.(3)驻点. (4)()00f x ''<.2.()()3444110y x x x x x '=-=-+=,得驻点1230,1,1x x x ==-=,单调递增区间:()()1.0 1.-+∞ ,单调递减区间:()().10.1-∞- .3.()()23693310y x x x x '=--=-+=,得驻点121,3x x =-=.又由于:66y x ''=-,()1120y ''-=-<,所以11x =-为极大点,极大值为0; ()360y ''=>,所以23x =为极小点,极小值为32-.【定价问题】21200080R PQ P P ==-,25000502500050(1200080)6250004000C Q P P =+=+-=-, 224000160T Q P ==-,21200080625000400024000160L R C T P P P P =--=--+-+28016160649000P P =-+-160161600L P '=-+=,解得:101P =, 167080L =.【售价与最大利润】1100200Q p =-,21100200R PQ P P ==-;220019004400L R C P P =-=+-,40019000L P '=-+=,解得 4.75P =此时:150Q =,112.5L =. 【最小平均成本】210000501000050x x c x x x ++==++;21000010c x '=-+=,解得100x =.【最大收入】315x R px xe -==,33155x x R exe--'=-3(155)0x x e-=-=,解得:3x =,此时115p e -=,145R e -=.实训三 (B )1.(1)设()1xf x e x =--,()10xf x e '=->(0x >),说明()f x 在0x >时单调递增,又()00f =,所以,当0x >时,()()00f x f >=,所以不等式成立. (2)设()()ln 1f x x x =-+,()1101f x x'=->+(0x >),说明()f x 在0x >时单调递增,又()00f =,所以,当0x >时,()()00f x f >=,所以不等式成立. 2.()cos cos3f x a x x '=+,没有不可导点,所以cos cos 033f a πππ⎛⎫'=+=⎪⎝⎭,得2a =.又()2sin 3sin3f x x x ''=--,03f π⎛⎫''=<⎪⎝⎭,所以3x π=为极大值点,极大值为3f π⎛⎫= ⎪⎝⎭【采购计划】 设批量为x ,采购费:132********200C x x =⨯=; 库存费:222xC x =⨯=;总费用:12640000C C C x x=+=+; 264000010C x'=-+=,解得800x =唯一驻点, 所以采购分4次,每次800吨,总费用最小.第三章自测题一、填空题 1. 2 2. 12-3. 21x -4. 1-5. 212c o s x xx+ 6. 17. 2l n3x + 8. 2 ; 09. 11ln ; ln y x y x yxy y x x xy --+⋅⋅+10. 12x =二、选择题1、C2、A3、A4、D5、A 三、计算解答题1、(1)([1]y x '''=+=+[12]()1x =⋅⋅⋅==(2)222()()2x x x x y e x e x xe e --'''=⋅+⋅-=- 2、方程221x y xy +-=两边对x 求导,得22()0x y y y x y ''+⋅-+= 解得:22y xy y x-'=-,将0,1x y ==代入,得切线斜率12k =,所以,切线方程为:11(0)2y x -=-,即:220x y -+=. 3、定义域(,)-∞+∞2363(2)y x x x x '=-=- 令0y '=,得驻点120,2x x ==递增区间:(,0)-∞、(2,)+∞ 递减区间:(0,2)极大值:(0)7f = 极小值:(2)3f = 四、应用题1、50S t ==(50)50dSt dt'== 所以,两船间的距离增加的速度为50千米/小时. 2、第四章 边际与弹性分析实训一(A )1.填空题(1)0.2x ∆=, 2.448y ∆=, 2.2dy =. (2)1x dy edx ==. (3)12dy x dx x ⎛⎫=+⎪⎝⎭. (4)cos(21)x +,2cos(21)x +. (5)[]()f g x ',[]()()f g x g x ''.2.(1)(12)dy x dx =+; (2)221dy dx x =+; (3)222(22)x x dy xe x e dx --=-; (4)322(1)dy x x dx -=-+; (5)23(1)1dy dx x =-+; (6)1dx dy x nx=. 3.()ln 11x y x x '=+++,11ln 22x y ='=+,所以11ln 22x dy dx =⎛⎫=+ ⎪⎝⎭. 【金属圆管截面积】2s r π=,2200.05ds r r πππ=∆=⨯=.实训一(B )1.(1)2sec x ;(2)1sin 5x 5;(3)2x ;(4)232x ;(5)21x +;(6)arctan x . 2.将x yxy e+=两边对x 求导,()1x yy xy ey +''+=+,解得:x y x ye yy x e ++-'=-,所以x y x ye ydy dx x e++-=-.3.(1110.001 1.00052≈+⨯=;(20.02221 2.001783⎛⎫==≈+= ⎪⨯⎝⎭; (3)()ln 1.01ln(10.01)0.01=+≈; (4)0.0510.05 1.05e ≈+=. 【圆盘面积的相对误差】2s r π=,0.2r ∆≤()'2s ds s r r r r π∆≈=∆=∆(1)()()22482240.29.65s ds cm cm πππ∆≈=⨯⨯==; (2)2220.22 1.67%24r r r s ds s s r r ππ∆∆∆≈===⨯≈. 实训二 (A )1.(1)()2'2x f x xe =;(2)[]1'()(1)a bf x x e a x ac --=++.2.(1)()21900110090017751200C =+⨯=;17757190036C ==. (2)()39002C '=,表示第901件产品的成本为32个单位;()51000 1.673C '=≈,表示第1001件产品的成本为53个单位. 3.(1)(50)9975R =;9975199.550R ==. (2)()502000.0250199R '=-⨯=,表示第51件产品的收入为199个单位. 4.22()()100.01520050.01200L R x C x x x x x x =-=---=--,50.020L x '=-=,解得唯一驻点250x =,所以当每批生产250个单位产品时,利润达到最大.实训二(B )1.()()()()()242,04282, 4x x x x L x R x C x x x ⎧--+≤≤⎪=-=⎨⎪-+>⎩, 即()232,0426, 4x x x L x x x ⎧-+-≤≤⎪=⎨⎪->⎩,求导()3,041, 4x x L x x -+≤<⎧'=⎨->⎩,令()0L x '=解得3x =百台(唯一驻点) 所以每年生产300台时,利润达到最大.()()430.5L L -=-万元,在最大利润的基础上再生产1百台,利润将减少0.5万元.2.()0.50.25C a a =+(万元)()2152R a aa =- ()22150.50.25 4.750.522a L a a a a a =---=-+-令() 4.750L a a '=-+=,解得 4.75a =(百台)又()10L a ''=-<,有极值的第二充分条件,可知当 4.75a =为最大值(唯一驻点) 所以该产品每年生产475台时,利润最大.实训三 (A )1.填空题 (1)1axy=;(2)21x Ey Ex ==;(3)1ln()4p η=-;(4)()334η=,()41η=,()554η=. 2.(1)15x η=; (2)3(3)5η=,价格为3时,价格上涨1%,需求下降0.6%,缺乏弹性;(5)1η=,价格为5时,价格上涨1%,需求下降1%,单位灵敏性; 6(6)5η=,价格为6时,价格上涨1%,需求下降1.2%. 3.(1)500P =元时,100000Q =张. (2)18002ppη=-.(3)1η=时,18002600p p p =-⇒=所以:当0600p ≤<时,1η<;当600900p <≤时,1η>.实训三 (B )1.(1)224202EQ x x Q Ex Q x '==--,243x EQ Ex ==-,所以价格增长5%,需求量减少6.7%;(2)()()3220R x xQ x x x ==--,x =403Q =.2.(1)2Q P '=-,48P Q ='=-,经济意义:在价格4P =的基础上,增加一个单位,需求量减少8个单位.(2)22275P P Q Q P η'=-=-,4320.542359P η===,经济意义,在4P =的基础上涨1%,需求减少0.54%.(3)375R PQ p p ==-,3375375p p p pη-=-,(4)0.46η=,经济意义,在4P =的基础上,若价格上涨1%,收入上涨0.46%.(4)198(6)0.46234η-=≈-,经济意义,在6P =的基础上,若价格上涨1%,收入减少0.46%. (5)375R p p =-,275305R p p '=-=⇒=,又6R p ''=-,()5300R ''=-<,所以由极值的第二充分条件,可知5P =时,总收入最大.第四章自测题一、填空题 1. 22 ; 2xxe e2.212x 3. arctan x4. 0.1 ; 0.63 ; 0.6 5. 45 ; 11 ; 456.10 ; 10% ; 变动富有弹性 7. 15%20% 8. 10% 二、选择题1、C2、B3、D4、A5、C 三、计算解答题1、(1)2222222()()2(2)x x x x y x e x e xe x e x ''''=⋅+⋅=+⋅2222222(1)x x x x e x e x e x =+=+ 22(1)xd y y d x xe x d x'∴==+ (2)222sin(12)[sin(12)]y x x ''=+⋅+2222s i n (12)c o s (12)(12)x x x '=+⋅+⋅+ 24s i n (24)x x =+ 24s i n (24)d y y d x x x d x'∴==+ 2、方程242ln y y x -=两边对x 求导,得31224dy dyy x dx y dx⋅-⋅⋅= 解得,3221dy x y dx y =-,3221x y dy dx y ∴=-3、四、应用题1、(1)()60.04C Q Q '=+ ()300()60.02C Q C Q Q Q Q==++(2)2300()0.02C Q Q'=-+令()0C Q '=,得Q = (3)2()()(204)204R Q P Q Q Q Q Q Q =⋅=-⋅=-2()()() 4.0214300L Q R Q C Q Q Q =-=-+- ()8.0414L Q Q '=-+ 令()0L Q =,得Q =2、 4Q P '=-(1)(6)24Q '=-,6P =时,价格上升1个单位,需求量减少24个单位.(2)22224(1502)15021502P P P Q P Q P P η''=-⋅=-⋅-=-- 24(6)13η=6P =时,价格变动1%,需求量变动2413% (3)23()()(1502)1502R P Q P P P P P P =⋅=-⋅=-33(1502)1502E R P PR P P E P R P P''=⋅=⋅--2215061502P P -=-61113P EREP==-6P =时,若价格下降2%,总收入将增加2213%第五章 经济总量问题分析实训一(A )1.填空题(1)3x ,3x C +; (2)3x ,3x C +; (3)cos x -,cos x C -+;(4C ; (5)arctan x ,arctan x C +.2.(1)B ; (2)C ; (3)D ; (4)A .3.(1)5322225x x C -+;(2)31cos 3xx e x C --+;(3)21x x C x-++; (4)(2)ln 2xe C e+. 4.(1)1arctan x C x--+;(2)sin cos x x C ++. 【曲线方程】由题意()21f x x '=+,所以()()()23113f x f x dx x dx x x C '==+=++⎰⎰,又过点()0,1带入,得到1C =,所以曲线方程为:()3113f x x x =++. 【总成本函数】由题意可得()220.01C x x x a =++,又固定成本为2000元,所以 ()220.012000C x x x =++. 【总收入函数】()()278 1.2780.6R x x dx x x C =-=-+⎰,由()000R C =⇒=,所以总收入函数为()2780.6R x x x =-.实训一(B )1.填空题(1)sin 2ln x x x +;(2)223cos3x e x +;(3)ln x x C +. 2.(1)D ; (2)B .3.(1)322233331u u u I du u du u u u -+-⎛⎫==-+- ⎪⎝⎭⎰⎰ 2133ln 2u u u C u=-+++; (2))32332333I dx x x C ===-+⎰;(3)()222222121212arctan 11x x I dx dx x C x x x x x ++⎛⎫==+=-++ ⎪++⎝⎭⎰⎰; (4)()()()1111tttt te e I dt edt e t C e +-==-=-++⎰⎰.实训二 (A )1.填空题 (1)212x ; (2)x e --; (3)ln x ; (4)arctan x ; (5)23x x +; (6)arcsin x . 2.(1)B ; (2)B .3.(1)()()()11cos 2121sin 2122I x d x x C =++=++⎰; (2)()()3212313139I x x C =+=++;(3)()()231ln ln ln 3I x d x x C ==+⎰;(4)111xx I e d e C x ⎛⎫=-=-+ ⎪⎝⎭⎰.4.(1)sin sin sin x xI e d x eC ==+⎰; (2)()()11ln 11x xx I d e e C e =+=+++⎰;(3)()()2222ln 22d x x I x x C x x -+==-++-+⎰;(4)22221111111x x x I dx dx x x x ++-⎛⎫==+- ⎪+++⎝⎭⎰⎰ 21l n (1)a r c t a n 2x x x C=++-+. 5.(1)()x x x x x I xd e xe e dx xe e C -----=-=-+=--+⎰⎰;(2)()()()ln 1ln 1ln 1I x dx x x xd x =+=+-+⎰⎰()()11ln 1ln 111x x x x dx x x dx x x +-=+-=+-++⎰⎰()()l n 1l n 1x x x x C =+-+++. 【需求函数】由已知,()111000ln3100033p pQ p dp C ⎛⎫⎛⎫=-⨯=+ ⎪ ⎪⎝⎭⎝⎭⎰ 又因为0p =时,1000Q =,代入上式,得到0C =.所以,()110003pQ p ⎛⎫= ⎪⎝⎭.【资本存量】由已知,32()2(1)y I t dt t C ===++⎰⎰因为0t =时,2500498y C C =+=⇒= 所以,322(1)498y t =++.实训二 (B )1.填空题(1)ln ()f x C +;(2)arctan(())f x C +;(3)'()()xf x f x C -+. 2.(1)()()2arctan 1x x x d e I e C e ==++⎰;(2)()()11131431dx I dx x x x x ⎛⎫==-⎪-+-+⎝⎭⎰⎰113l n 3l n 1l n 441x I x x C C x -=⎡--+⎤+=+⎣⎦+;(3)()()2arctan 111dxI x C x ==++++⎰;(4)()22222x x x x x I x d e x e e dx x e xe dx -----=-=-+=--⎰⎰⎰()22222x x x x x x I x e xe e C x e xe e C ------=----+=-+++. 【物体冷却模型】设()T t 为t 时刻物体的温度,由冷却定律可得:0()dTk T T dt=-, 分离变量0dT kdt T T =-,两边积分0dTkdt T T =-⎰⎰,可得:()0ln ln T T kt c -=+,0()kt T t T ce =+.由已知()0100T =,()160T =,020T =,带入得到:80c =,ln 2k =-, 所以ln2()2080t T t e -⋅=+, 当ln 23020803te t -⋅=+⇒=.实训三 (A )1.填空题 (1)122lim(1)nn i i n n→∞=+∑;(2)2)x dx -;(3)2π;(4)0. 2.(1)12010(3)3S x dx =+=⎰; (2)12218(2)3S x x dx -=--=⎰;(3)1303(1)4S x dx =-=⎰或034S ==⎰.实训三 (B )1.(1)分割:将[]0,4n 等分,每份长度为4n ;(2)近似代替:2412823i i n iA n n n⎡⎤+⎛⎫∆=⋅+= ⎪⎢⎥⎝⎭⎣⎦;(3)求和:()2212221111281281282nnni ii i n n n in n iA A n nn===++++≈∆===∑∑∑; (4)取极限:()2211282lim16n n n n A n→∞++==. 2.1sin xdx π⎰.3.22211113ln ln 222x dx x x x ⎛⎫⎛⎫-=-=- ⎪ ⎪⎝⎭⎝⎭⎰.实训四 (A )1.填空题(1)64;(2)1;(3)2π;(4)3;(5)1. 2.(1)()()()44341118111144I x d x x =--=-=⎰; (2)()()44223328I x dx xx =+=+=⎰;(几何上为直角三角形的面积)(3)22242200111222x x e I e dx e -===⎰; (4)2112111xx I e d e e x =-=-=⎰(5)01cos sin 222x x x I dx πππ++===⎰; (6)0;(利用当积分区间为对称区间,被积函数为奇函数时定积分的性质) (7)121211122222235I xdx xdx xdx xdx -=+=+=+=⎰⎰⎰⎰;(8)02sin 4I xdx π==⎰.(利用定积分的周期性)【资本存量问题】 (1)434211214I t ===⎰(万元);(4)33224422820 6.87x xtx x ⎛⎫==-=⇒=≈ ⎪⎝⎭⎰.【投资问题】01000P =,200A = 0.05()200T t tdP e dt-= 0.05()0.05020040004000TT t T t P edt e -==-+⎰ 10t =,0.5400040002595t P e=-+= 因为0.515741600T P e-≈<,所以,此项投资不恰当.实训四 (B )1.因为()1229214x dx --+=-⎰,()1129214x dx -+=⎰,()20216x dx +=⎰,()21214x dx +=⎰, ()3222213x dx +=⎰, 所以应该分两种情况: (1)因为()3403kf x dx =⎰,()()332240221816333k f x dx x dx -+=-==⎰⎰ 所以,0k =; (2)因为()()102112f x dx f x dx ---=⎰⎰,由对称性可知1k =-.2.对()21f x dx -⎰作代换令1x t -=(切记:定积分的换元要换限,积分值不变),则有:()()21011f x dx f t dt --=⎰⎰,所以,()()21101101112tte f x dx f t dt dt dt e t ---==+++⎰⎰⎰⎰ ()()()()001101011132ln 1ln 2ln 121t t td e ed te t e t e --+=++=+++=+++⎰⎰. 3.()()()()11111111I xf x dx xdf x x f x f x dx ----'===-⎰⎰⎰()()()()21111110x f f e f f --=+--=+-=.因为()()222x x f x e xe --'==-,()f x 为奇函数,所以()()110f f +-=.【储存费用问题】第五章自测题一、填空题 1.sin x x e c ++2.5314453x x x c -++ 3.ln xdx4.21ln 2x c +5.196.327.94π8.21200 ;200Q Q - 9.二、选择题1、D2、B3、A4、B5、C 三、计算解答题 1、(1)原式=1111()(3)(2)532dx dx x x x x =--+-+⎰⎰ 113[l n 3l n 2]l n 552x x x c cx -=--++=++ (2)原式=22111112sin ()cos cos cos1d x x x πππ-==-⎰2、(1)222222212(1)()()(1)(1)x x x F x G x dx dx x x x x ++++==++⎰⎰22111()arctan 1dx x c x x x=+=-+++⎰(2)222222212(1)3()()(1)(1)x x x F x G x dx dx x x x x -+--==++⎰⎰ 22131()3arctan 1dx x c x x x=-=--++⎰3、原式=31222(1)(1)1)33x x =+=+=⎰⎰四、应用题 1、(1)32412)2(24S x x dx x x =-=-=(2)1100()()1x x S e e dx ex e =-=-=⎰2、(1)2()()(100020)C Q C Q dQ Q Q dQ '==-+⎰⎰2311000103Q Q Q c =-++(0)9000C = ,9000c ∴=, 321()10100090003C Q Q Q Q ∴=-++ ()3400R Q Q = 321()()()10240090003L Q R Q C Q Q Q Q =-=-++- (2)令()()R Q C Q ''=,得60Q = 最大利润(60)99000L =(元) 3、.期末考试(90分钟)一、选择题(每题3分,共9分)1、设()0, 0x f x k x ≠=⎪=⎩在0x =处连续,问k =( )。
《微积分》课程教学大纲适用专业:广告专业执笔人:陈美霞审定人:鲍远圣系负责人:张从军南京财经大学应用数学系《微积分》课程教学大纲课程代码:120019/120020英文名:Calculus课程类别:文化技能课适用专业:广告专业前置课:初等数学后置课:线性代数、概率论与数理统计、数学建模学分:7学分课时:129课时主讲教师:王小灵等选定教材:[1]龚德恩等.《经济数学基础(第一分册微积分)》[M],成都:四川人民出版社,2004.(04级使用);[2]张从军、王育全、李辉、刘玉华. 微积分[M].上海:复旦大学出版社,2005.(05级使用).课程概述:微积分是研究变量及其变化规律的科学,它具有丰富的内容和深刻的思想。
它为研究事物的发展变化提供了基本的数学基础和框架。
微积分在各种实际问题中有着广泛的应用。
《微积分》课程是高等财经院校中广告专业的一门重要的公共基础课,是后继专业基础课和专业课程的基础。
本课程以函数为主要研究对象,以极限分析为基本方法,系统地介绍了微积分的基本理论与基本方法,同时着重介绍了微积分在实际问题尤其在经济问题中的应用。
教学目的:通过本课程的学习,使学生系统掌握微积分的基本理论和基本方法。
培养学生具有一定的抽象思维能力、逻辑推理能力、空间想象能力以及综合运用所学知识进行分析、解决实际问题的能力,为进一步学习其它数学课程和专业课程打好基础。
教学方法:教学过程宜采用以章为主的单元组织教学法,以课堂讲授为主,结合多媒体教学软件辅助教学,教学中应强调理论与实际并重,各章应安排一定课时的习题课,课后教师需安排时间集中对学生辅导答疑,学生必须完成一定量的作业。
本大纲中少数内容在现行中学教学中已有要求,对此应本着复习、深化、提高的要求组织教学。
本课程应配备习题册等教学辅助用书。
本课程可根据需要安排课堂讨论与数学实验上机操作。
各章教学要求及教学要点第一章函数课时分配:5课时教学要求:本章要求掌握函数的概念;了解函数的几何特性并掌握各几何特性的图形特征;了解反函数的概念并会求反函数;理解复合函数的概念并掌握将复合函数分解为简单函数的方法;理解基本初等函数的概念并熟练掌握基本初等函数的定义域、值域和基本性质;理解初等函数的概念;了解分段函数的概念;掌握常见的经济函数。
1经济数学基础综合练习及参考答案第一部分 微分学一、单项选择题 1.函数()1lg +=x xy 的定义域是(1->x 且0≠x). .2.若函数)(x f 的定义域是[0,1],则函数)2(xf 的定义域是(]0,(-∞ ).3.下列各函数对中,( x x x f 22cos sin )(+=,1)(=x g )中的两个函数相等.4.设11)(+=xx f ,则))((x f f =(11++xx).5.下列函数中为奇函数的是( 11ln+-=x x y).6.下列函数中,()1ln(-=x y )不是基本初等函数.7.下列结论中,( 奇函数的图形关于坐标原点对 )是正确的. 8. 当x →0时,下列变量中(xx 21+ )是无穷大量. 9. 已知1tan )(-=xxx f ,当( x →0 )时,)(x f 为无穷小量.10.函数sin ,0(),0xx f x xk x ⎧≠⎪=⎨⎪=⎩ 在x = 0处连续,则k = ( 1).11. 函数⎩⎨⎧<-≥=0,10,1)(x x x f 在x = 0处(右连续 ).12.曲线11+=x y 在点(0, 1)处的切线斜率为( 21- ).13. 曲线x y sin =在点(0, 0)处的切线方程为(y =x ).14.若函数x x f =)1(,则)(x f '=(-21x ).15.若xx x f c o s )(=,则='')(x f ( x x x cos s i n 2-- ).16.下列函数在指定区间(,)-∞+∞上单调增加的是(e x).17.下列结论正确的有( x 0是f (x )的极值点,且f '(x 0)存在,则必有f '(x 0) = 0 ).18. 设需求量q 对价格p 的函数为p p q 23)(-=,则需求弹性为E p =(--pp32 ).二、填空题1.函数⎩⎨⎧<≤-<≤-+=20,105,2)(2x x x x x f 的定义域是[-5,2]2.函数xx x f --+=21)5ln()(的定义域是(-5, 2 )3.若函数52)1(2-+=+x x x f ,则=)(x f 62-x .4.设函数1)(2-=u u f ,xx u 1)(=,则=))2((u f 43-.5.设21010)(x x x f -+=,则函数的图形关于 y 轴对称.6.已知生产某种产品的成本函数为C (q ) = 80 + 2q ,则当产量q = 50时,该产品的平均成本为3.6 .7.已知某商品的需求函数为q = 180 – 4p ,其中p 为该商品的价格,则该商品的收入函数R (q ) = 45q – 0.25q 2 . 8. =+∞→xx x x sin lim1 .9.已知x x x f sin 1)(-=,当0→x 时,)(x f 为无穷小量.10. 已知⎪⎩⎪⎨⎧=≠--=1111)(2x a x x x x f ,若f x ()在),(∞+-∞内连续,则=a 2 .11. 函数1()1e xf x =-的间断点是0x =.12.函数)2)(1(1)(-+=x x x f 的连续区间是)1,(--∞),2(∞+.)1处的切线斜率是(1)0.5y '=14.函数y = x 2 + 1的单调增加区间为(0, +∞)15.已知x x f 2ln )(=,则[f =0 .16.函数y x =-312()的驻点是x =1.17.需求量q 对价格p 的函数为2e 100)(pp q -⨯=,则需求弹性为E p =2p-.18.已知需求函数为pq 32320-=,其中p 为价格,则需求弹性E p =10-p p.三、计算题(答案在后面)1.423lim222-+-→x x x x 2.231lim21+--→x x x x 3.x → 4.2343limsin(3)x x x x →-+- 52)1tan(lim 21-+-→x x x x 6.))32)(1()23()21(lim 625--++-∞→x x x x x x 7.已知y xxx cos 2-=,求)(x y ' . 8.已知)(x f x x x ln sin 2+=,求)(x f ' . 9.已知x y cos 25=,求)2π(y ';10.已知y =32ln x ,求y d . 11.设x y x5sin cos e +=,求y d .12.设xx y -+=2tan 3,求y d .13.已知2sin 2cos x y x -=,求)(x y ' .14.已知xx y 53e ln -+=,求)(x y ' . 15.由方程2e e )1ln(=++xy x y 确定y 是x 的隐函数,求)(x y '.16.由方程0e sin =+yx y 确定y 是x 的隐函数,求)(x y '.17.设函数)(x y y =由方程y x y e 1+=确定,求0d d =x xy.18.由方程x y x y =++e )cos(确定y是x 的隐函数,求y d .四、应用题(答案在后面) 1.设生产某种产品x个单位时的成本函数为:x x x C 625.0100)(2++=(万元),求:(1)当10=x 时的总成本、平均成本和边际成本;(2)当产量x为多少时,平均成本最小?2.某厂生产一批产品,其固定成本为2000元,每生产一吨产品的成本为60元,对这种产品的市场需求规律为q p =-100010(q 为需求量,p 为价格).试求:(1)成本函数,收入函数; (2)产量为多少吨时利润最大?3.设某工厂生产某产品的固定成本为50000元,每生产一个单位产品,成本增加100元.又已知需求函数p q 42000-=,其中p 为价格,q 为产量,这种产品在市场上是畅销的,试求:(1)价格为多少时利润最大?(2)最大利润是多少? 4.某厂生产某种产品q 件时的总成本函数为C (q ) = 20+4q +0.01q 2(元),单位销售价格为p = 14-0.01q (元/件),试求:(1)产量为多少时可使利润达到最大?(2)最大利润是多少?5.某厂每天生产某种产品q件的成本函数为9800365.0)(2++=q q q C (元).为使平均成本最低,每天产量应为多少?此时,每件产品平均成本为多少? 6.已知某厂生产q件产品的成本为C q q q ()=++25020102(万元).问:要使平均成本最少,应生产多少件产品? 三、极限与微分计算题(答案) 1.解423lim222-+-→x x x x =)2)(2()1)(2(lim2+---→x x x x x =)2(1lim2+-→x x x = 412.解:231lim21+--→x x x x =)1)(2)(1(1lim 1+---→x x x x x=21)1)(2(1lim1-=+-→x x x3.解l ix →0x → =xx x x x 2sin lim)11(lim 00→→++=2⨯2 = 44.解 2343lim sin(3)x x x x →-+-=3(3)(1)lim sin(3)x x x x →---=333limlim(1)sin(3)x x x x x →→-⨯--= 25.解)1)(2()1tan(lim2)1tan(lim121-+-=-+-→→x x x x x x x x1)1tan(lim21lim11--⋅+=→→x x x x x 31131=⨯= 6.解))32)(1()23()21(lim 625--++-∞→x x x x x x =))32)(11()213()21(lim 625xx x x xx --++-∞→=2323)2(65-=⨯-7.解:2y '(x )=)cos 2('-xx x =2cos sin 2ln 2x xx x x --- =2cos sin 2ln 2x xx x x ++8.解xx x x f x x 1cos 2s i n 2ln 2)(++⋅=' 9.解 因为5ln 5sin 2)cos 2(5ln 5)5(cos 2cos 2cos 2x x x x x y -='='='所以5ln 25ln 52πsin 2)2π(2πcos2-=⋅-='y10.解 因为 )(ln )(ln 3231'='-x x y331ln 32)(ln 32xx x x ==- 所以x xx y d ln 32d 3=11.解 因为)(cos cos 5)(sin e4sin '+'='x x x y xx x x xsin cos 5cos e4sin -=所以x x x x y xd )sin cos 5cos e(d 4sin -=12.解 因为)(2ln 2)(cos 1332'-+'='-x x xy x2ln 2cos 3322x xx--=所以 x xx y x d )2ln 2cos 3(d 322--=13.解 )(cos )2(2sin )(22'-'-='x x x y x x2cos 22ln 2sin 2x x x x --=14.解:)5(e )(ln ln 3)(52'-+'='-x x x x y xx xx525e ln 3--=15.解 在方程等号两边对x 求导,得 )e ()e (])1ln([2'='+'+xy x y0)(e 1)1ln(='+++++'y x y xyx y xyxy xyy xyy x x e 1]e )1[ln(-+-='++故]e )1)[ln(1(e )1(xyxyx x x y x y y +++++-='16.解 对方程两边同时求导,得0e e cos ='++'y x y y yyyyy x y e)e (cos -='+)(x y '=yyx y e cos e +-.17.解:方程两边对x 求导,得 y x y yy '+='e eyy x y e1e-='当0=x 时,1=y所以,d d =x xye e 01e 11=⨯-=18.解 在方程等号两边对x 求导,得)()e (])[cos('='+'+x y x y1e ]1)[sin(='+'++-y y y x y)sin (1)]sin(e [y x y y x y++='+-)sin(e )sin(1y x y x y y +-++='故x y x y x y yd )sin(e )sin(1d +-++=四、应用题(答案)1.解(1)因为总成本、平均成本和边际成本分别为:x x x C 625.0100)(2++=625.0100)(++=x xx C ,65.0)(+='x x C所以,1851061025.0100)10(2=⨯+⨯+=C5.1861025.010100)10(=+⨯+=, 116105.0)10(=+⨯='C(2)令25.0100)(2=+-='xx ,得20=x (20-=x 舍去)因为20=x 是其在定义域内唯一驻点,且该问题确实存在最小值,所以当=x 20时,平均成本最小.2.解 (1)成本函数C q ()= 60q +2000.因为 qp =-100010,即p q =-100110, 所以 收入函数R q ()=p ⨯q =(100110-q )q =1001102q q -. (2)因为利润函数L q ()=R q ()-C q ()=1001102qq --(60q +2000)= 40q -1102q -2000 且'L q ()=(40q -1102q -2000')=40-0.2q令'L q ()= 0,即40- 0.2q = 0,得q = 200,它是L q ()在其定义域内的唯一驻点. 所以,q = 200是利润函数L q ()的最大值点,即当产量为200吨时利润最大.3.解 (1)C (p ) = 50000+100q = 50000+100(2000-4p ) =250000-400pR (p ) =pq = p (2000-4p )= 2000p -4p 2利润函数L (p ) = R (p ) - C (p ) =2400p -4p 2 -250000,且令)(p L '=2400 – 8p = 0得p =300,该问题确实存在最大值. 所以,当价格为p =300元时,利润最大.(2)最大利润1100025000030043002400)300(2=-⨯-⨯=L (元).4.解 (1)由已知201.014)01.014(q q q q qp R -=-==利润函数22202.0201001.042001.014q q q q q q C R L --=----=-=则q L 04.010-=',令004.010=-='q L ,解出唯一驻点250=q .因为利润函数存在着最大值,所以当产量为250件时可使利润达到最大,(2)最大利润为1230125020250025002.02025010)250(2=--=⨯--⨯=L (元)5. 解 因为 C q ()=C q q ()=05369800.q q++(q >0)'C q ()=(.)05369800q q++'=0598002.-q令'C q ()=0,即0598002.-q =0,得q 1=140,q 2=-140(舍去).q 1=140是C q ()在其定义域内的唯一驻点,且该问题确实存在最小值. 所以q 1=140是平均成本函数C q ()的最小值点,即为使平均成本最低,每天产量应为140件. 此时的平均成本为C ()140=05140369800140.⨯++=176 (元/件) 6.解 (1) 因为 C q ()=C q q ()=2502010q q ++'C q ()=()2502010qq ++'=-+2501102q令'C q ()=0,即-+=2501100q ,得q 1=50,q 2=-50(舍去),q 1=50是C q ()在其定义域内的唯一驻点.所以,q 1=50是q ()的最小值点,即要使平均成本最少,应生产50件产品.。
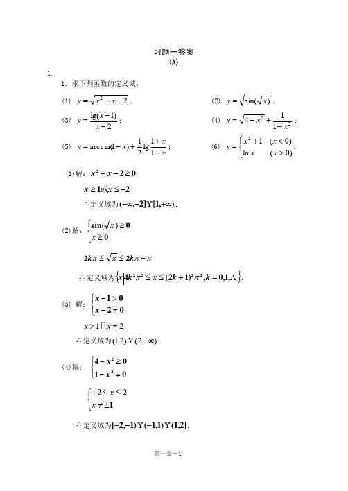
习题一答案(A)1.1. 求下列函数的定义域:(1) 22-+=x x y ; (2) )sin(x y =;(3) 2)1lg(--=x x y ; (4) 22114xx y -+-=; (5) x xx y -++-=11lg21)1arcsin(; (6) ⎩⎨⎧><+=)0(ln )0(12x xx x y . (1)解:022≥-+x x21-≤≥x x 或∴定义域为),1[]2,(+∞--∞ .(2)解:⎩⎨⎧≥≥00)sin(x xπππ+≤≤k x k 22∴定义域为{},1,0,)12(42222=+≤≤k k x k x ππ.(3) 解:⎩⎨⎧≠->-0201x x21≠>x x 且∴定义域为),2()2,1(+∞ .(4)解: ⎩⎨⎧≠-≥-010422x x ⎩⎨⎧±≠≤≤-122x x ∴定义域为]2,1()1,1()1,2[ ---.(5) 解:⎪⎪⎩⎪⎪⎨⎧≠->-+≤-≤-01011111x xxx ⇒ ⎪⎩⎪⎨⎧≠<<-≤≤11120x x x ∴定义域为)1,0[.(6) 解:定义域为),0()0,(+∞-∞ .2已知23)(2-+=x x x f ,求)1(,1),(),1(),1(),0(+⎪⎭⎫⎝⎛--x f x f x f f f f . 解:2200)0(2-=-+=f2231)1(2=-+=f 423)1()1(2-=---=-f232)(3)()(22--=--+-=-x x x x x f231)1(2-+=xx x f 252)1(3)1()1(22++=-+++=+x x x x x f3. 已知⎩⎨⎧≥<+=1ln 113)(x x x x x f ,求)2(),1(),0(f f f .解:1103)0(=+⨯=f01ln )1(==f 2ln )2(=f4. 讨论下列函数的单调性(指出其单调增加区间和单调减少区间) (1) x x y ln +=; (2) xe y =; (3) 24x x -. 解:(1)定义域为),0(+∞,设210x x <<,0)ln (ln ln ln 1212112212>-+-=--+=-x x x x x x x x y y故在定义域内为单调增函数,单调增加区间为),0(+∞. (2) 定义域为实数R,当021<<x x 时,21x x >,021>-x x e e ,函数为减函数; 当210x x <<时,21x x <,021<-x x ee,函数为增函数.故单调减少区间为)0,(-∞,单调增加区间为),0(+∞. (3) 定义域为[]4,0,4)2(422+--=-=x x x y当20≤≤x 时,2)2(--x 为增函数,4)2(2+--x 也为增函数,当42≤≤x 时,2)2(--x 为减函数,4)2(2+--x 也为减函数.故单调增加区间为]2,0[,单调减少区间为]4,2[.5. 判别下列函数中哪些是奇函数,哪些是偶函数,哪些是非奇非偶函数. (1)2x ey -=; (2)x x y sin 2=;(3)242x x y -=; (4)2x x y -=;(5)x x y cos sin -=; (6)x xy +-=11lg; (7))1ln(2x x y -+=; (8)x xx y cos sin +=;(9)x x xx e e e e y ---+=; (10)⎩⎨⎧≥+<-=0101x xx x y .解:(1)定义域为实数R,)()(22)(x y e e x y x x ===----,故函数为偶函数.(2)定义域为实数R,)(sin )sin()()(22x y x x x x x y -=-=--=-,故为奇函数.(3)定义域为实数R,)(2)(2)()(2424x y x x x x x y =-=---=-,故函数为偶函数.(4)定义域为实数R,函数2x x y -=为非奇非偶函数. (5)非奇非偶函数 (6)定义域为011>+-xx,0)1)(1(>+-x x ,即11<<-x , 0111lg 11lg )()(==+-+-+=+-lg xxx x x y x y ,即)()(x y x -=-y ,故函数为奇函数. (7)定义域为实数R,01ln )1ln()1ln()()(22==-+++=+-x x x x x y x y ,)()(x y x -=-y ,故函数为奇函数.(8)定义域为),0()0,(+∞-∞ ,)(cos sin )cos()sin()(x y x xx x x x x y =+=-+--=-,故函数为偶函数. (9)定义域为),0()0,(+∞-∞ ,)()(x y ee e e e e e e x y xx xx x x x x -=-+-=-+=-----,故函数为奇函数. (10))(01010101)(x y x xx x x x x x x y =⎩⎨⎧>+≤-=⎩⎨⎧≥--<-+=-,故函数为偶函数.6. 设)(x f 在),(+∞-∞内有定义,证明:)()(x f x f -+为偶函数,而)()(x f x f --为奇函数.证明:令)()()(x f x f x g -+=,)()()(x f x f x h --=,)()()()(x g x f x f x g =+-=-,)(x g 为偶函数, )()()()(x h x f x f x h -=--=-,)(x h 为奇函数.7. 判断下列函数是否为周期函数,如果是周期函数,求其周期: (1)x x y cos sin +=; (2)x x y cos =; (3))32sin(+=x y ; (4)x y 2sin =; (5)x y 2sin 1+=; (6)xy 1cos =. 解:(1))4sin(2)cos 22sin 22(2π+=+=x x x y故函数周期为π2.(2)无周期 (3)周期为ππ==22T(4)22cos 1sin 2xx y -==,周期为ππ==22T(5)设)22sin(1)(2sin 12sin 1T x T x x y ++=++=+= , 解得π=T 2 ,2/π=T .(6)无周期8. 讨论下列函数是否有界:(1)221xx y +=; (2)2x e y -=; (3)x y 1sin=; (4)x y -=11; (5)xx y 1cos =.解:(1)1122≤+=xx y ,故函数有界.(2)02≥x ,02≤-x ,102≤<-x e ,故函数有界.(3)11sin≤x,函数有界. (4)xy -=11无界. (5)xx y 1cos =无界.9. 设21)(x x x f -=,求)(cos x f .解:x x x x x f cos sin cos 1cos )(cos 2=-=10. 已知⎩⎨⎧>-≤+=0102)(2x x x x x f ,求)1(+x f 及)()(x f x f -+.解:⎩⎨⎧->-≤++=⎩⎨⎧>+-+≤+++=+1132011)1(012)1()1(22x xx x x x x x x x f⎩⎨⎧<--≥+=-0102)(2x x x x x f ⎩⎨⎧>-≤+=0102)(2x x x x x f⎪⎩⎪⎨⎧>++=<+-=-+01041)()(22x x x x x x x x f x f 11. 已知x x x f -=3)(,x x 2sin )(=ϕ,求)]([x f ϕ,)]([x f ϕ. 解:x x x f 2sin )2(sin )]([3-=ϕ,)(2sin )]([3x x x f -=ϕ 12. (1) 已知 2211xx x x f +=⎪⎭⎫ ⎝⎛+,求)(x f .(2)已知2ln )1(222-=-x x x f ,且x x f ln )]([=ϕ,求)(x ϕ.解:(1) 2)1(12-+=⎪⎭⎫ ⎝⎛+xx x x f ,2)(2-=∴x x f (2)令12-=x t ,11ln)(-+=t t t f ,xx x x f ln 1)(1)(ln ))((=-+=ϕϕϕ,x x x x =-+=-+1)(211)(1)(ϕϕϕ11112)(-+=+-=x x x x ϕ13. 在下列各题中,求由给定函数复合而成的复合函数,并确定定义域: (1)21,x u u y +==; (2)2,ln ,4xv v u u y ===; (3)x v v u u y 21,sin ,3+===;(4)222,tan ,arctan x a v v u u y +===. 解:(1)21x y +=,),(+∞-∞∈x (2)2ln4x y =,由02>x,),0(+∞∈x(3))21(sin 3x y +=,),(+∞-∞∈x(4))](arctan[tan 222x a y +=,由2/)(22ππ+≠+k x a ,有⎭⎬⎫⎩⎨⎧∈-+≠∈Z R k a k x x x ,2,22ππ14. 指出下列各函数是由哪些简单函数复合而成的? (1)x y alog =; (2)x e y -=arctan ;(3)x y 2sin ln =; (4)⎪⎭⎫⎝⎛-=2212arcsin x xy .解: (1)x y alog =,x u = (2)u y arctan =,v e u =,x v -=(3)u y ln =,2v u =,x v sin = (4)2u y =,v u arcsin =,212x x v -= 15. 求下列反函数及反函数的定义域:(1))31ln(x y -=,)0,(-∞=f D ; (2)29x y -=,]3,0[=f D ;(3)22-+=x x y ,),2()2,(+∞-∞= f D ; (4)2xx e e y --=,),(+∞-∞=f D ;(5)⎩⎨⎧≤<--≤<-=21)2(210122x x x x y . 解:(1)由)31ln(x y -=解得3/)1(ye x -=,故)1(31x e y -=,),0(1+∞=-f D (2)由29x y -=解得29y x -=,故29x y -=,]3,0[1=-f D(3)由22-+=x x y 解得1)1(2-+=y y x ,故1)1(2-+=x x y ,),1()1,(1+∞-∞=- f D (4)由2x x e e y --=同乘解得x e 解得12++=y y e x ,故)1ln(2++=x x y ,),(1+∞-∞=-f D(5)可解得⎩⎨⎧≤<--≤<-+=2122112/)1(y yy y x故⎪⎩⎪⎨⎧≤<--≤<-+=212211)1(21x x x x y ,]2,1(1-=-f D16. 某玩具厂每天生产60个玩具的成本为300元,每天生产80个玩具的成本为340元,求其线性成本函数,并求每天的固定成本和生产一个玩具的可变成本.解:设玩具的线性成本函数为bx a x C +=)(,则有⎩⎨⎧+=+=b a b a 8034060300 解得⎩⎨⎧==2180b a ,所以x x C 2180)(+= 故固定成本为180(元/每天),可变成本为2(元/每个).17. 某公司全年需购某商品2000台,每台购进价为5000元,分若干批进货.每批进货台数相同,一批商品售完后马上进下一批.每进货一次需消耗费用1000元,商品均匀投放市场(即平均年库存量为批量的一半),该商品每年每台库存费为进货价格的%4.试将公司全年在该商品上的投资总额表示为批量的函数.解:设批量为x ,投资总额为y ,则x xy 1001021067+⨯+= 18. 某饲料厂日产量最多为m 吨,已知固定成本为a 元,每多生产1吨饲料,成本增加k 元.若每吨化肥的售价为p 元,试写出利润与产量x 的函数关系式.解:设利润为)(x L ,则a x k p x L --=)()( (元) ,],0[m x ∈19. 生产某种产品,固定成本为3万元,每多生产1百台,成本增加1万元,已知需求函数为p Q 210-=(其中p 表示产品的价格,Q 表示需求量),假设产销平衡,试写出:(1)成本函数;(2)收入函数;(3)利润函数.解:(1) 3)(+=Q Q C (万元)(2) 2215)10(21)(Q Q Q Q P Q Q R -=⋅--=⋅= (万元) (3) 3421)()()(2-+--=Q Q Q C Q R Q L (万元) 20. 某酒店现有高级客房60套,目前租金每天每套200元则基本客满,若提高租金,预计每套租金每提高10元均有一套房间会空出来,试问租金定为多少时,酒店房租收入最大?收入多少元?这时酒店将空出多少套高级客房?解:设每套资金为x 元,酒店房租总收入为y 元,则有16000)400(101)1020060(2+--=--=x x x y ,故400=x 元/套,收入最大,为16000元, 这时酒店将空出20套高级客房.(B )1. 设x x f x x f =-⎪⎭⎫⎝⎛-+)(212212,求)(x f . 解:令2212-+=x x t ,得2212-+=t t x ,有2212221221)(-+=⎪⎭⎫ ⎝⎛-+-t t t t f t f ,即2212221221)(-+=⎪⎭⎫ ⎝⎛-+-x x x x f x f 又()x x f x x f =--+21)2212(,可解得()11322-++=x x x x f 2. 设下面所考虑的函数都是定义在区间),(l l -上的,证明:(1)两个偶函数的和是偶函数,两个奇函数的和是奇函数;(2)两个偶函数的乘积是偶函数,两个奇函数的乘积是偶函数,偶函数与奇函数的乘积是奇函数.证明:设)(1x f 和)(2x f 为偶函数,)(1x g 和)(2x g 为奇函数, (1)设)()()(21x f x f x f +=)()()()()()(2121x f x f x f x f x f x f =+=-+-=-故)(x f 为偶函数,得证. 设)()()(21x g x g x g +=)()()()()()(2121x g x g x g x g x g x g -=--=-+-=-故)(x g 为奇函数,得证.(2)设)()()(21x f x f x h ⋅=)()()()()()(2121x h x f x f x f x f x h =⋅=-⋅-=-故)(x h 为偶函数,得证. 设)()()(21x g x g x I ⋅=[][])()()()()()(2121x I x g x g x g x g x I =-⋅-=-⋅-=-故)(x I 为偶函数,得证. 设)()()(11x g x f x J ⋅=[])()()()()()(1111x J x g x f x g x f x J -=-⋅=-⋅-=-故)(x J 为奇函数,得证.3. 设函数)(x f 和)(x g 在D 上单调增加,试证函数)()(x g x f +也在D 上单调增加.证明:设D x x ∈<21,[][][][]0)()()()()()()()(12121122>+-+=+-+x g x g x f x f x g x f x g x f∴函数)()(x g x f +也在D 上单调增加.4. 设函数)(x f 在区间],[b a 和],[c b 上单调增加,试证)(x f 在区间],[c a 上仍单调增加.证明: 设[]c a x x ,21∈<,若c x x ≤<21,由题意有)()(12x f x f >, 若21x x b <≤,由题意有)()(12x f x f >, 若21x b x <≤,则)()()(12x f b f x f ≥>,若21x b x ≤<,则)()()(12x f b f x f >≥, 综上,)(x f 在区间],[c a 上仍单调增加.5. 设函数)(x f 和)(x g 在D 上有界,试证函数)()(x g x f ±和)()(x g x f ⋅在D 上也有界.证明:由题)(x f 和)(x g 在D 上有界,即对D x ∈∀,0,021>>∃M M ,有1)(M x f ≤,2)(M x g ≤,则21)()(M M x g x f +≤+,21)()(M M x g x f ⋅≤⋅ 即函数)()(x g x f ±和)()(x g x f ⋅在D 上有界. 6. 证明函数x x y sin =在),0(+∞上无界.证明:对任意0>M ,都存在02[,]x M M π∈+使得1sin 0=x ,则M x x x >=000sin ,即函数x x y sin =在),0(+∞上无界.7. 设)(x f 为定义在),(l l -的奇函数,若)(x f 在),0(l 内单调增加,证明)(x f 在)0,(l -内也单调增加.证明:设)0,(21l x x -∈<,则),0(12l x x ∈-<-,)()()()()()(211212x f x f x f x f x f x f ---=-+--=-)(x f 在),0(l 内单调增加,∴0)()(12>-x f x f ,∴)(x f 在)0,(l -内也单调增加.8. 已知函数)(x f 满足如下方程:0,)1()(≠=+x xcx bf x af其中c b a ,,为常数,且b a ≠,求)(x f ,并讨论)(x f 的奇偶性.解:由已知,xc x bf x af =+)1()(, 令xt 1=,则有ct t bf t af =+)()1(,即cx x bf x af =+)()1(可解得)()(22xabx a b c x f --= , 而)()(x f x f -=-,故)(x f 是奇函数.习题二答案(A)1. 观察判别下列数列的敛散性;若收敛,求其极限值:(1) nn u 31=; (2) 11ln +=n u n; (3) 212nu n +=; (4) 11+-=n n u n ;(5) nn u n πsin 1=; (6) n u n n )1(-=;(7) nn u )1(3-=; (8) πn nu n cos 1=. 解:(1) 收敛于0; (2) 发散; (3) 收敛于2; (4) 收敛于1; (5) 收敛于0; (6) 收敛于0; (7) 发散; (8) 收敛于0.2. 利用数列极限的分析定义证明下列极限: (1) 011lim=++∞→n n ; (2) 1311lim =⎪⎭⎫ ⎝⎛-+∞→n n ;(3) 532513lim =+++∞→n n n ; (4) 071lim =⎪⎭⎫⎝⎛-+∞→nn .(1)证明:0>∀ε,不妨设1<ε,要使ε<+=-110n u n 成立,只需112->εn 成立,因此取⎥⎦⎤⎢⎣⎡=21εN ,则当N n >时,有ε=<+=-N n u n 1110,所以011lim=++∞→n n .(2)证明:0>∀ε,要使ε<=-n u n 311成立,只需ε31>n 成立,因此取131+⎥⎦⎤⎢⎣⎡=εN ,则当N n >时,有ε<<=-N n u n 31311,即1)311(lim =-+∞→nn . (3)证明:0>∀ε,不妨设101<ε,取152251+⎥⎦⎤⎢⎣⎡-=εN ,则当N n >时,有ε<+<+=-)25(51)25(5153N n u n ,所以532513lim =+++∞→n n n .(4)证明:0>∀ε,不妨设1<ε,取11log 7+⎥⎦⎤⎢⎣⎡=εN ,则当N n >时,有ε<<=-N n n u 71710,所以071lim =⎪⎭⎫⎝⎛-+∞→nn .3. 求下列数列的极限:(1) 98124lim 22++-+∞→n n n n ; (2) 529lim 2+++∞→n n n n ; (3) nn n n n -+-++∞→32lim; (4) )5(lim 2n n n n -++∞→;(5) )11()311)(211(lim 222nn ---+∞→ ; (6) nnn 5151131311lim+++++++∞→ ; (7) )1sin (sin lim --+∞→n n n ; (8) nnn n n 1)4321(lim ++++∞→;(9) ⎪⎪⎭⎫ ⎝⎛+++⋅+⋅+∞→)1(1321211lim n n n ; (10) 11)1(6)1(6lim +++∞→-+-+n n nn n . (1)=98124lim22++-+∞→n n n n 21/98/1/24lim 222=++-+∞→n n n n n (2)=529lim2+++∞→n n n n 235219lim =+++∞→nn n (3)nn n n n -+-++∞→32lim32)2(3)3(2lim)2)(3)(3()3)(2)(2(lim =++++=++++-+++++-+=+∞→+∞→n n n n n n n n n n n n n n n n n n(4) )5(lim 2n n n n -++∞→2555lim 5)5)(5(lim2222=++=++++-++∞→+∞→n n n n n n n n n n n n n n n = (5)因为 n n n n n n n 11)11)(11(112+⋅-=+-=-, 所以)11()311)(211(lim 222nn ---+∞→2121lim 11454334322321lim=+=+-⨯⨯⨯⨯⨯+∞→+∞→n n nn n n n n =(6)=nnn 5151131311lim +++++++∞→ 565/1113/111lim =-÷-+∞→n(7))1sin (sin lim --+∞→n n n21cos )1(21sin 2lim 21cos21sin2lim =-+-+=-+--+∞→+∞→n n n n n n n n n n = (8)=nnn n n 1)4321(lim ++++∞→4)43()42()41(1lim 41=⎥⎦⎤⎢⎣⎡++++∞→nn n n n (9) ⎪⎪⎭⎫⎝⎛+++⋅+⋅+∞→)1(1321211lim n n n 1)111(lim )111()3121()211(lim 4=+-=⎥⎦⎤⎢⎣⎡+-+-+-=+∞→+∞→n n n n n(10)=-+-++++∞→11)1(6)1(6lim n n n n n 61)6)1(1()6)1(61(lim 111=-+-+++++∞→n n n nn4. 判断下列结论是否正确,为什么?(1) 设数列}{n u ,当n 越来越大时,A u n -越来越小,则A u n n =+∞→lim ;(2) 设数列}{n u ,当n 越来越大时,A u n -越来越接近于零,则A u n n =+∞→lim ;(3) 设数列}{n u ,若对+∈∃>∀Z N ,0ε,当N n >时,有无穷多个n u 满足ε<-A u n ,则A u n n =+∞→lim ;(4) 设数列}{n u ,若对0>∀ε,}{n u 中仅有有限个n u 不满足ε<-A u n ,则A u n n =+∞→lim ;(5) 若}{n u 收敛,则k n n n n u u ++∞→+∞→=lim lim (k 为正整数);(6) 有界数列}{n u 必收敛; (7) 无界数列}{n u 必发散; (8) 发散数列}{n u 必无界.解: (1) 错; (2) 错; (3) 错; (4) 正确; (5)正确; (6) 错; (7) 正确; (8) 错.5. 利用函数极限的分析定义证明下列极限:(1) 539lim22=--→x x x ; (2) 0)21(lim =+∞→x x ; (3) 1)32(lim 2=-→x x ; (4) 02lim 2=-+→x x .证明:(1)0>∀ε,取εδ=,当δ<-<20x 时,有εδ=<-=--2392x x x ,故 539lim 22=--→x x x .(2)0>∀ε,不妨设1<ε,取ε1log 2=M ,则当M x >时,有ε=<M x )21()21(,故0)21(lim =+∞→x x .(3)0>∀ε,取2/εδ=,当δ<-<20x 时,有εδ=<-=--222132x x ,故 1)32(lim 2=-→x x .(4)0>∀ε,取2εδ=,当δ<-<20x 时,有εδ=<-=-22x x ,故 02lim 2=-+→x x .6. 下列函数什么过程中是无穷小量,什么过程中是无穷大量?(1) 21xy =; (2) )2ln()1(+-=x x y ; (3) xe y -=; (4) 2tan x y =;(5) xy -=112; (6) 12322-+-=x x x y . 解:(1) ∞→x 无穷小量,0→x 无穷大量;(2) 1→x 无穷小量,1-→x 无穷小量,+-→2x 无穷大量,+∞→x 无穷大量;(3) +∞→x 无穷小量 ,-∞→x 无穷大量;(4) πk x 2→(k 为整数)无穷小量 ,ππ+→k x 2(k 为整数)无穷大; (5) +→1x 无穷小量,-→1x 无穷大量; (6) 2→x 无穷小量,1-→x 无穷大量. 7. 求下列函数的极限:(1) 852)3)(sin 6(lim 32+--+∞→x x x x x x ; (2) 732523lim 42+--+∞→x x x x x ; (3) 12102)12()31(lim +-∞→x x x x ; (4) )2(lim 22++-∞→x x x x ; (5) 125lim 3++∞→x x x ; (6) 2)2sin(lim --∞→x x x ;(7) )1(lim 33x x x -+∞→; (8) xx x 1lim2++∞→; (9) xx x 1lim2+-∞→;(10) )49(lim +-++∞→x x x a a (0>a 且1≠a )解:(1)0852)3)(sin 6(lim 32=+--+∞→x x x x x x (2)=+--+∞→732523lim 42x x x x x 23732523lim 432=+--+∞→xx x x x (3)=+-∞→12102)12()31(limx x x x 1210121012121210223)21()31(lim )12()31(lim =+-=+-∞→∞→x x x x x x x x x(4))2(lim 22++-∞→x x x x122lim2)2)(2(lim 222222222-=+--=+-+-++=-∞→-∞→x x x xx x x x x x x x x x x(5)∞=++∞→125lim3x x x (6)02)2sin(lim=--∞→x x x(7))1(lim 33x x x -+∞→)1(11lim)1(1))1(1)(1(lim32333232333232333233=-+-⋅-=-+-⋅--+-⋅--+=∞→∞→x x x x x x x x x x x x x x x x(8)11lim2=++∞→xx x (9)11lim2-=+-∞→xx x (10)当10<<a 时,=+-++∞→)49(lim x x x a a 149=-当1>a 时,)49(lim +-++∞→x x x a a049)49)(49(lim=+++++++-+=+∞→xxx x x x x a a a a a a8. 求下列函数的极限:(1) )153(lim 22--→x x x ; (2) 11lim 1--→n m x x x (n m ,为正整数);(3) 11lim31--→x x x ; (4) ⎪⎭⎫⎝⎛---→121lim 21x x xx ;(5) 22lim 2-→x xx ; (6) 3152lim 23--+→x x x x ;(7) 2211limx x x +-→; (8) ⎪⎭⎫⎝⎛+-++--→x x x x x x 212112lim ;(9) x x xx -----→111lim 1; (10) 1lim 21--+++→x nx x x n x .解:(1)1)153(lim 22=--→x x x(2)=11lim 1--→nm x x x nm x x x x x x n m x =+++-+++---→)1)(1()1)(1(lim 111(3)=--→11lim31x x x 32)1)(1)(1()1)(1)(1(lim33233231=+++-+++-→x x x x x x x x x (4)=⎪⎭⎫ ⎝⎛---→121lim 21x x xx 2312lim 12)1(lim 22121=--+=--+→→x x x x x x x x (5)由022lim2=-→xx x ,有∞=-→22lim 2x xx(6)=--+→3152lim 23x x x x 83)3)(5(lim 3=--+→x x x x(7)=+-→2211limx x x 2)1(1)11(lim 2220-=+-++→x x x x (8)=⎪⎭⎫⎝⎛+-++--→x x x x x x 212112lim 4)1(2lim 22lim 1221=-=+-+--→-→x x x x x x x x x (9)=-----→xx x x 111lim 11111lim 1-=---→x x(10)1lim 21--+++→x nx x x n x2)1(21)1()1(1[lim 1)1()1()1(lim 1121+=+++=+++++++=--++-+-=-→→n n n x x x x x x x n x n x9. 求下列各题中的常数a 和b :(1) 1112lim 23=⎪⎪⎭⎫ ⎝⎛++-+∞→x x b ax x ; (2) 51lim 21=-++→x abx x x ;(3) k b ax x x x =--+++∞→)1(lim 2(k 为已知常数).解:(1)因为11)2(11222323+-+++-=++-+x b ax bx x a x x b ax 若1)112(lim 23=++-+→∝x x b ax x ,则02=-a ,1=b ,即2=a ,1=b . (2)因为01lim )1(lim 1)1(lim )(lim 2112121=-++-=-++⋅-=++→→→→xa bx x x x a bx x x a bx x x x x x所以01=++b a ,即a b --=1511))(1(lim 1)1(lim 1lim 12121=-=---=-++-=-++→→→a xa x x x a x a x x a bx x x x x 故6=a ,7-=b . (3)因为kbax x x b x ab x a b ax x x x x =++++-+-+-=--++∝+→∝+→11)21()1(lim)1(lim 22222因此012=-a ,0>a ,k a ab =+-121,求得1=a ,k b -=21.10. 求下列函数极限: (1) x x x 3arcsin 4arctan lim0→; (2) xxx 3sin 2tan lim 0→;(3) x x x 1sin lim ∞→; (4) 2)4sin(lim 22--→x x x ;(5) 2220)cos 1(tan lim x x x x -→; (6) )1cos 1(lim 2xx x -∞→;(7) 30sin 1tan 1limxx x x +-+→; (8) x x xx x sin 3sin 2lim 0+-→;(9) x x x x 2sin 5tan lim0-→; (10) hxh x h sin )sin(lim 0-+→.解:(1)3434lim 3arcsin 4arctan lim 00==x x x x x x →→(2)3232lim 3sin 2tan lim 00==→→x x x x x x(3)=∞→x x x 1sin lim 1/1)/1sin(lim =∞→xx x(4)=--→2)4sin(lim22x x x 424lim 22=--→x x x (5)=-→2220)cos 1(tan limx xx x 4)2/(lim 2240=→x x x (6)=-∞→)1cos1(lim 2x x x 2121lim 22=⋅∞→xx x(7)=+-+→30sin 1tan 1limx xx x 4121lim 212)cos 1(tan lim 32030=⋅=-→→xxx xx x x x (8)=+-→x x xx x sin 3sin 2lim041/)(sin 3/)(sin 2lim0=+-→x x x x x (9)=-→x xx x 2sin 5tan lim03252sin lim 5tan lim 00=-=-→→xx x x x x(10)=-+→h x h x h sin )sin(lim 0x hh x h h cos ]2/)2cos[()2/sin(2lim 0=+→11. 求下列函数极限: (1) xx x)11(lim -∞→; (2) x x x 2cot 20)(sec lim →;(3) 121011lim +→⎪⎭⎫⎝⎛+xx x ; (4) xx x x ⎪⎭⎫⎝⎛+-∞→22lim ;(5) 311lim +∞→⎪⎭⎫⎝⎛-+x x x x ; (6) xx x-→111lim .解:(1)=-∞→x x x )11(lim 1)1()11(lim ---∞→=-e xx x(2)=→xx x 2cot20)(sec lim e x xx =+→2tan120)tan 1(lim(3)121011lim +→⎪⎭⎫⎝⎛+xx x21)1(21100210)11(lim 11lim )11(lim -+⋅+→→→=+-=+⋅+=exxx x x x x x x x x(4)xx x x ⎪⎭⎫⎝⎛+-∞→22lim42)4(422)4(42)241(lim )241(lim )241(lim --∞→-⋅+-∞→--⋅+-∞→=+-⋅+-=+-=e x x x x x x x x (5)=⎪⎭⎫⎝⎛-++∞→311lim x x x x 212213)121(lim )11(lim )11(lim e x x x x x x x x x x =-+=-+⋅-++⋅-∞→∞→∞→(6)=-→xx x111lim 1)1(111)11(lim --⋅-→=-+e x x x12. 求下列函数极限: (1) )6sin(sin 21lim6ππ--→x x x ; (2) xxx 251ln lim0+→;(3) )21ln()31ln(lim x x x ++-∞→; (4) 1arcsin lim 20--→x x e xx ;(5) )1ln(121lim2x x x x ---→; (6) x e x x 21lim3sin 0-→;(7) xx x 1)tan 21(lim ++→; (8) xxx e x 10)(lim +→;(9) x x x x 3)421ln(lim 20+-→; (10) )4tan()2tan(lim 4x x x -⋅→ππ;(11) xx x 1)sin 1(lim -→; (12) x x x 2cot 10)(cos lim +→.解:(1)令6π-=x t ,6π→x 时0→t ,原式化为)6sin(sin 21lim6ππ--→x x x3)sin 3(lim cos 1lim ]2/)(cos 2/)(sin 3[21limsin )6/sin(21lim0000-=-+-=+-=+-→→→→tt t t tt t tt t t t t π=(2)=x x x 251ln lim0+→45252122/)51ln(lim 0=⋅=+→x x x(3)=)21ln()31ln(limx x x ++-∞→0)23(lim 23lim ==-∞→-∞→xx x x x (4)=1arcsin lim2--→xx e x x 1lim220-=-→x x x (5)=---→)1ln(121lim 20x x x x 12/)2(lim 220=--→xx x(6)=xe x x 21lim3sin 0-→6123/)(sin lim 0-=-→x x x(7)xx x 1)tan 21(lim ++→ 2tan 2limtan 210tan 22tan 2100)tan 21(lim )tan 21(lim e x x xxx x x x x x x =+=+=+→++⋅→⋅→(8)=+→xxx e x 1)(lim 2111)11(lim e e x x e x e x x x x x =-++-+⋅-+→(9)=+-→x x x x 3)421ln(lim2032324lim 20-=-→x x x x (10)令x t -=4π,4π→x 时0→t ,)4tan()2tan(lim 4x x x -⋅→ππ21tan 2tan 1lim 2cot lim )22/tan(lim 2000=-⋅==⋅-=→→→t t t t t tt t t t π(11)=-→xx x 10)sin 1(lim 1sin sin 10)sin 1(lim --⋅-→=-e x xx x x(12)xx x 2cot 10)(cos lim +→21tan 1cos 1cos 10cot 022)1cos 1(lim cos lim cos lim --⋅-→→→=-+=⋅=ex xx xx x x xx x13. 证明:0)2(1)1(11lim 222=⎥⎦⎤⎢⎣⎡+++++∞→n n n n . 证明:222221)2(1)1(11)2(1n n n n n n n +≤++++≤+ 又由01lim )2(1lim22=+=++∞→+∞→n n n n n n所以0])2(1)1(11[lim 222=+++++∞→n n n n 14.求下列函数的间断点,并判断类型.)1( 1212)(11+-=xxx f ; (2) ()x x x x f 21)1ln()(2--=;(3) ⎪⎩⎪⎨⎧-=-≠+-=10111)(2x x xx x f ; +++++++++++++++++++++++ (4) ⎪⎩⎪⎨⎧≥+<≤+<=23212416)(2x x x x x x f 解:(1)11212lim/1/10-=+--→x x x 12/112/11lim 1212lim /1/10/1/10=+-=+-++→→xxx x x x即0=x 为跳跃间断点.(2)0)21()1ln(lim20=--→x x x x ,即0=x 为可去间断点. 0)21()1ln(lim 20=--→x x x x ,即21=x 为无穷间断点. (3)211lim 21=+--→xx x ,即1-=x 为可去间断点.(4)10)(lim 2=-→x f x ,7)(lim 2=+→x f x ,即2=x 为跳跃间断点. 15. 讨论下列函数的连续性:(1) ⎪⎩⎪⎨⎧≥<=)0(0)0(1sin)(2x x xx x f ;(2) ⎪⎩⎪⎨⎧=≠=)0(1)0(sin )(x x xx x f ;(3) ⎪⎩⎪⎨⎧=≠=003)(1x x x f x. 解:(1) 0<x 时,xx x f 1sin)(2=连续, 0>x 时,0)(=x f 连续,0=x 时,)(lim 0)(lim 0_x f x f x x +→→==连续, 所以)(x f 在),(+∞-∞连续.(2) 0<x 时,x xx f sin )(-=连续, 0>x 时,xxx f sin )(=连续,0=x 时,1)sin (lim )(lim 00-=-=--→→xxx f x x ,1sin lim )(lim 00==++→→xxx f x x , 所以)(x f 在0=x 处不连续.(3)0≠x 时,xx f 13)(=连续,03lim )(lim 10==--→→x x x x f ,∞==++→→xx x x f 103lim )(lim , 所以)(x f 在0=x 处不连续. 16. 确定常数b a ,使下列函数连续:(1) ⎪⎩⎪⎨⎧+<<--=其他53541)(2bxa x x x f ; (2) ⎪⎪⎩⎪⎪⎨⎧>+=-<=01sin 010sin 1)(x b x x x a x xx x f .解:(1)若)(x f 在54-=x ,53=x 处连续,则有2)54()54(1lim)(lim x bx a x x -=++--→-→,)(lim 1lim)53(2)53(bx a x x x +=-+-→→,即⎪⎪⎩⎪⎪⎨⎧=+=-54535354b a b a ,解得⎪⎪⎩⎪⎪⎨⎧==7175b a (2))(x f 在0=x 处连续,1sin 1lim 0-=-→a x x x ,1)sin 1(lim 0-=++→a b x xx , 有11=-a ,1-=a b ,解得2=a ,1=b . 17. 试证方程0133=--x x 在区间)2,1(内至少有一个实根. 证明:令13)(3--=x x x f ,)(x f 在)2,1(连续,03)1(<-=f ,01)2(>=f ,由零点定理知,至少存在一点)2,1(0∈x ,使得0)(0=x f 成立,即 方程0133=--x x 在区间)2,1(内至少有一个实根. 18. 试证方程2-=xe x 在区间)2,0(内至少有一个实根. 证明:令2)(+-=xe x xf ,)(x f 在)2,0(连续,01)0(>=f ,04)2(2<-=e f ,由零点定理知,至少存在一点)2,0(0∈x ,使得0)(0=x f 成立,即 方程2-=xe x 在区间)2,0(内至少有一个实根.(B)1. 求极限)31ln()21ln(lim x x x +++∞→.解:)31ln()21ln(lim x x x +++∞→3ln 2ln )3/11ln(3ln )2/11ln(2ln lim)3/11ln(3ln )2/11ln(2ln lim=++++=+++++∞→+∞→x xx x x x x x x x =2. 设nn n n n u n ++++++=2222211 ,求n n u +∞→lim . 解:因为1212122++++≤≤++++n n u n n n n , 212/)1(lim 21lim 22=++=++++∝+→∝+→nn n n n n n n n , 2112/)1(lim 121lim 22=++=++++∝+→∝+→n n n n n n n , 由极限存在定理可知,21lim =∝+→n n u . 3. 设数列}{n u :,2,,222,22,21-++++n u ,证明:n n u +∞→lim 存在,并求此极限值.证明:首先证}{n u 单调增加。
《微积分》各章习题及详细答案(总42页)--本页仅作为文档封面,使用时请直接删除即可----内页可以根据需求调整合适字体及大小--第一章 函数极限与连续一、填空题1、已知x xf cos 1)2(sin +=,则=)(cos x f 。
2、=-+→∞)1()34(lim22x x x x 。
3、0→x 时,x x sin tan -是x 的 阶无穷小。
4、01sin lim 0=→xx k x 成立的k 为 。
5、=-∞→x e x x arctan lim 。
6、⎩⎨⎧≤+>+=0,0,1)(x b x x e x f x 在0=x 处连续,则=b 。
7、=+→xx x 6)13ln(lim 0 。
8、设)(x f 的定义域是]1,0[,则)(ln x f 的定义域是__________。
9、函数)2ln(1++=x y 的反函数为_________。
10、设a 是非零常数,则________)(lim =-+∞→xx ax a x 。
11、已知当0→x 时,1)1(312-+ax 与1cos -x 是等价无穷小,则常数________=a 。
12、函数x xx f +=13arcsin )(的定义域是__________。
13、lim ____________x →+∞=。
14、设8)2(lim =-+∞→xx ax a x ,则=a ________。
15、)2)(1(lim n n n n n -++++∞→=____________。
二、选择题1、设)(),(x g x f 是],[l l -上的偶函数,)(x h 是],[l l -上的奇函数,则 中所给的函数必为奇函数。
(A))()(x g x f +;(B))()(x h x f +;(C ))]()()[(x h x g x f +;(D ))()()(x h x g x f 。
2、xxx +-=11)(α,31)(x x -=β,则当1→x 时有 。
第一章 函数习题1-113、用区间表示满足下列不等式的所有x 的集合(1)3||≤x ; ]3,3[-(2)1|2|≤-x ; ]3,1[(3)ε<-||a x ; ),(εε+-a a(4)5||≥x ; ),5[]5,(+∞--∞(5)2|1|>+x . ),1()3,(+∞--∞14、用区间表示满足下列点集,并在数轴上表示出来:(1)}2|3||{<+=x x A ; )1,5(--(2)}3|2|1|{<-<=x x B . )5,3()1,1( -习题1-22、求下列函数的自然定义域 (2)2112++-=x x y ; 解:⎩⎨⎧≥+≠-02012x x ⇒⎩⎨⎧-≥±≠21x x ⇒),1()1,1()1,2[)(+∞---= f D . (4)21arcsin-=x y ; 解:121≤-x ⇒2|1|≤-x ⇒]3,1[)(-=f D . (6)1||)3ln(--=x x y ;解:⎩⎨⎧>->-01||03x x ⇒⎩⎨⎧><1||3x x ⇒)3,1()1,()( --∞=f D . (6)6712arccos 2---=x x x y . 解:⎪⎩⎪⎨⎧>--≤-0617122x x x ⇒⎩⎨⎧>+-≤-0)2)(3(712x x x ⇒⎩⎨⎧>-<≤≤3 243x x x 或- ⇒]4,3()2,3[)( --=f D .4、确定函数⎪⎩⎪⎨⎧<<-≤-=.2||1 ,1,1|| ,1)(22x x x x x f 的定义域并作出函数图形. 解:函数的定义域为 )2,2()(-=f D .其图形为图形> plot(max((max(1-x^2,0))^(1/2),x^2-1),x=-2..2);7、下列各函数中哪些是周期函数?对周期函数指出其周期(1) x y 2sin =; 解:22cos 1sin )(2x x x f y -===,由于 )(22cos 12)22cos(1)(x f x x x f =-=+-=+ππ, 所以, x y 2sin =是以π为周期的周期函数.注:x T x T x T 2cos )22cos()(2cos 22π======+=+令(2) )cos(θω+=t y (θω,为常数);解:)cos()(θω+==t x f y ,由于)cos()2cos()2(θωθπωωπ+=+±=+t t t f ,所以, )cos(θω+=t y 是以ωπ2为周期的周期函数.注:)cos()cos()(2θωθωωπω+=====++=+=t T t T t f T 令(3) x y 1cos =. 解:xx f y 1cos )(==不是周期函数.因为假设有T ,使得)()(x f T x f =+,那么 x T x 1cos 1cos =+⇒πk x T x 211+=+ (k 为某整数) ⇒)(2T x x k T x x +++=π⇒)(2T x x k T +=π ⇒ 0=k ⇒0=T .8、设)(x f 为定义在),(l l -内的奇函数,若)(x f 在),0(l 内单调增加,证明)(x f 在)0,(l -内也单调增加.解:)0,(21l x x -∈<∀,有),0(12l x x ∈-<-, ↑)(x f ),0(l ,)()(12x f x f -<-∴,又)(x f 为奇函数,则)()()()(2211x f x f x f x f =--<--=,所以)(x f 在)0,(l -内也单调增加.习题1-33、指出下列函数的复合过程(1)x y 2cos =;解:u y cos =,x u 2=.(2)x e y 1=;解:u e y =,xu 1=.(3)x e y 3sin =;解:u e y =,3v u =,x v sin =.(3))]12arcsin[lg(+=x y ;解:u y arcsin =,v u lg =,12+=x v .4、(1)设12cos )(sin +=x x f ,求)(cos x f . 解:由于2sin 2222cos 12)(sin 2+-=+-⋅-=x x x f , 可见22)(2+-=t t f ,所以x x x f 22sin 22cos 2)(cos =+-=.解2:令x t sin =,则221)sin 21(12cos )(22+-=+-=+=t x x t f ,所以x x x f 22sin 22cos 2)(cos =+-=.(2)设221)1(xx x x f +=+,求)(x f . 解:由于2)1(1)1(222-+=+=+xx x x x x f , 可见2)(2-=t t f , 所以2)(2-=x x f .解2:令xx t 1+=,则22)1(1)(2222-=-+=+=t x x x x t f , 所以2)(2-=x x f .5、已知x x x f -=3)(,x x 2sin )(=ϕ,求)]([x f ϕ,)]([x f ϕ.解:x x x f x f 2sin 2sin )2(sin )]([3-==ϕ,)(2sin ][)]([33x x x x x f -=-=ϕϕ.习题1-42、下列函数中哪些是初等函数?哪些不是初等函数?(1) x x e y 2sin 2+-=;解:此函数显然是初等函数.(2) )cos 212ln(x x y -+=; 解:此函数显然是初等函数.(3) ⎩⎨⎧<≥-=.0 ,3,0 ,1x x y 解:此函数不是初等函数.(简单的判断:因为函数不连续,由后面知识知函数不是初等函数)(4) ⎩⎨⎧<<+-≤≤-+=.10 ,12,01 ,1x x x x y 图形> plot([x+1,-2*x+1],x=-1..1); 解:令1+=x u ,12+-=x v ,11≤≤-x ,有 2||},min{v u v u v u y --+== 2)]12()1[()12()1(2+--+-+-++=x x x x 2)3(22x x --=, 11≤≤-x ,故此函数是初等函数.3、函数⎩⎨⎧>≤-=.1 ,,1 ,2x x x x y 能用一个解析式表示吗?为什么? 图形> plot([2-x,x],x=-1..3);解:令x u -=2,x v =,有2||},max{v u v u v u y -++== 2])2[()2(2x x x x --++-=1)1(2)22(222+-=-+=x x , 故此函数能用一个解析式表示,当然是初等函数.4、由xy 2=的图形作下列函数的图形(1) x y 23⋅=; 图形> plot([3*2^x,2^x],x=-2..2);(2) 42+=x y ; 图形> plot([2^x+4,2^x],x=-2..2);(3) x y 2-=; 图形> plot([-2^x,2^x],x=-2..2);(4) x y -=2. 图形> plot([2^(-x),2^x],x=-2..2);5、由x y lg =的图形作下列函数的图形(1) x y lg 3=;图形> plot([3*ln(x)/ln(10),ln(x)/ln(10)],x=0..2,-2.5..2);(2) 2lg x y =;图形> plot([2*ln(abs(x))/ln(10),ln(x)/ln(10)],x=-2..2,-2.5..2); (3) x y lg=; 图形> plot([1/2*ln(x)/ln(10),ln(x)/ln(10)],x=0..2,-1..1); (4) xy 1lg =. 图形> plot([-ln(x)/ln(10),ln(x)/ln(10)],x=0..2,-1..1);6、由x y sin =的图形作下列函数的图形(1) x y 2sin =; 图形> plot([sin(2*x),sin(x)],x=-2*Pi..2*Pi);(2) x y 2sin 2=; 图形> plot([2*sin(2*x),sin(x)],x=-2*Pi..2*Pi);(3) x y 2sin 21-=; 图形> plot([1-2*sin(2*x),sin(x)],x=-2*Pi..2*Pi);习题1-51、某运输公司规定货物的吨公里运输价为:在a 公里以内,每公里k 元;超过a公里,超过部分每公里k 54元.求运价m 和里程s 之间的函数关系. 解:⎪⎩⎪⎨⎧>-+≤≤=. ),(54,0 ,a s a s k ka a s ks m2、拟建一个容积为v 的长方体水池,设它的底为正方形,如果池底所用材料单位面积的造价是四周单位面积造价的2倍,试将总造价表示成底边长的函数,并确定此函数的定义域.解:依题意,设底边长为x ,四周单位面积造价为a ,则水池高为2x v , 那么总造价为 )2(242222xv x a x v x a ax y +=⋅⋅⋅+=, ),0(+∞∈x .3、设一矩形面积为A ,试将周长s 表示为宽x 的函数,并求其定义域. 解:依题意,矩形的长为x A ,于是周长s 为 )(2xA x s +=, ),0(+∞∈x .4、在半径为r 的球内嵌入一圆柱,试将圆柱的体积表示为其高的函数,并确定此函数的定义域.解:依题意,设圆柱的高为h ,圆柱的半径为22)2(hr -,那么圆柱的体积为 )4()2(22222h r h h h r y -=⎥⎦⎤⎢⎣⎡-=ππ, )2,0(r h ∈.5、用铁皮做一个容积为v 的圆柱形罐头筒,试将它的全面积表示成底半径的函数,并确定此函数的定义域.解:依题意,设底半径为r ,则圆柱形底面积为2r π,高为2r v π,那么全面积为 )(222222rv r r v r r S +=⋅+=ππππ, ),0(+∞∈r .6、按照银行规定,某种外币一年期存款的年利率为%2.4,半年期存款的年利率为%0.4,每笔存款到期后,银行自动将其转为同样期限的存款,设将总数为A 单位货币的该种外币存入银行,两年后取出,问存何种期限的存款能有较多的收益?多多少?解:依题意,半年期存款两年后本利和为41%)0.45.01(⨯+=A A ,一年期存款两年后本利和为22%)2.41(+=A A ,由于 A A A A A 00333184.0%)0.45.01(%)2.41(4212=⨯+-+=-.所以, 一年期存款有较多的收益,多A 00333184.0.7、某工厂生产某种产品,年产量为x ,每台售价250元,当年产量600台以内时,可以全部售出, 当年产量超过600台时,经广告宣传又可再多售出200台,每台平均广告费20元,生产再多,本年就售不出去了,建立本年的销售总收入R 与年产量x 的函数关系.解:(1)当6000≤≤x 时, x R 250=;(2)当800600≤<x 时,12000230)600(20250+=--=x x x R ;(3)当800>x 时,19600012000800230=+⨯=R .所以⎪⎩⎪⎨⎧>≤<+≤≤=.800 ,196000,800600 ,12000230,6000 ,250x x x x x R习题1-61、某厂生产录音机的成本为每台50元,预计当以每台x 元的价格卖出时,消费者每月购买x -200台,请将该厂的月利润表达为价格x 的函数.解:依题意,月收入为)200(x x R -=,成本为)200(50x C -=,则月利润为)50)(200()200(50)200(--=---=-=x x x x x C R L .2、当某商品价格为P 时,消费者对该商品的月需求量为P P D 20012000)(-=.(1)画出需求函数图形;(2)将月销售额(即消费者购买此商品的支出)表达为价格的函数;(3)销售额的图形,并解释其经济意义.解:(1) 图形> plot(12000-200*p,p=0..61);(2)月销售额220012000)()(P P P D P P R -=⋅=.(3) 图形> plot(12000*p-200*p^2,p=0..61);由于180000)30(20020012000)(22+--=-=P P P P R ,于是①当商品价格不超过30时,月销售额随价格上涨而增加;②当商品价格达到30时,月销售额随价格达到最大180000;③当商品价格超过30时,月销售额随价格上涨而减少;④当商品价格达到60时,因无需求量而使得月销售额0.3、报纸的发行量以一定的速度增加,三个月前发行量为32000份,现在为44000份.(1)写出发行量依赖于时间的函数关系,并画出图形;(2)2个月后的发行量是多少?解:(1)依题意,报纸的发行量每月增加400033200044000=-份,若以现在为时间起点,用x 表示报纸发行的月份数,那么发行量为440004000+=x y .图形> plot(4000*x+44000,x=0..2);(2)2个月后的发行量是520004400024000=+⨯=y 份.4、某厂生产的手掌游戏机每台可卖110元,固定成本为7500元,可变成本为每台60元.(1) 要卖多少台手掌机,厂家才可保本(收回投资)?(2) 卖掉100台的话,厂家赢利或亏损了多少?(3) 要获得1250元利润,需要卖多少台?解:依题意,设手掌机卖掉x 台,则厂家赢利为750050)607500(110-=+-=-=x x x C R L .(1)令0750050=-=x L ,有150=x ,即要卖150台手掌机,厂家才可保本.(2)因2500750010050-=-⨯=L ,可见卖掉100台的话,厂家亏损2500元.(1)令1250750050=-=x L ,有175=x ,即要获得1200元利润,需要卖175台.5、有两家健身俱乐部,第一家每月会费300元,每次健身收费1元, 第二家每月会费200元,每次健身收费2元,若只考虑经济因素,你会选择哪一家俱乐部(根据年每月健身次数决定)?解:依题意,设每月健身次数为x 次,则第一家与第二家消费费用差额为x x x y -=+-+=100)2200()300(.所以,当每月健身次数小于100次时,0>y ,说明第一家比第二家消费费用要高,当然选择第二家,否则应选择第一家.6、设某商品的需求函数与供给函数分别为PP D 5600)(=和10)(-=P P S . (1)找出均衡价格,并求此时的供给量与需求量;(2)在同一坐标中画出供给与需求曲线;(3)何时供给曲线过P 轴,这一点的经济意义是什么?解:(1)令)()(P S P D =,即105600-=P P,得均衡价格80=P . 此时的供给量70805600)80(==D ,需求量701080)80(=-=S . (2) 图形> plot([5600/p,p-10],p=8..100);(3)令010)(=-=P P S ,得10=P ,说明只有当商品的价格超过10时,才有厂家愿意生产并提供该商品出售.7、某化肥厂生产某产品1000吨,每吨定价为130元,销售量在700吨以内时,按原价出售,超过700吨时超过的部分需打9折出售,请将销售总收益与总销售量的函数关系用数学表达式表出.解:设总销售量为Q 吨, 销售总收益为R 元,依题意有(1)当7000≤≤Q 时, Q R 130=;(2)当1000700≤<x 时,9100117)700(%90130700130+=-⨯⨯+⨯=Q Q R .所以⎩⎨⎧≤<+≤≤=.1000700 ,9100117,7000 ,130Q Q Q Q R8、某饭店现有高级客房60套,目前租金每天每套200元则基本客满,若提高租金,预计每套租金每提高10元均有一套房间空出来,试问租金定为多少时,饭店房租收入最大?收入多少元?这时饭店将空出多少套高级客房?解:依题意,设每套租金提高n 10元,59,,2,1,0 =n ,饭店房租收入为1200040010)60)(10200(2++-=-+=n n n n R16000)20(102+--=n .可见,当20=n 时, 房租收入达到最大16000=R 元,此时每套租金为4002010200=⨯+元,这时饭店将空出20=n 套高级客房.。
高等数学经济应用数学基础微积分课后习题答案标题:高等数学经济应用数学基础微积分课后习题答案详解高等数学是大学数学的重要组成部分,它在经济、物理、工程等领域都有着广泛的应用。
在经济应用数学基础微积分课程中,学生需要掌握微积分的基本概念和技能,包括极限、导数、微分、积分等。
本文将对这些基本概念和技能进行详细的解释,并给出一些相应的例题和答案。
一、极限极限是微积分的基础,它描述了一个变量在趋近于某个值时变化的趋势。
在数学上,我们用lim表示极限,记作lim f(x) = A,其中f(x)是自变量x的函数,A是一个常数。
例1:求lim(x->0) sin(x)/x。
解:当x趋近于0时,sin(x)和x都趋近于0,因此我们可以使用洛必达法则来求解。
将分子和分母分别求导,得到lim(x->0) cos(x)/1 = 1。
二、导数导数描述了一个函数在某一点的变化率,记作f'(x)。
如果f'(x)是一个常数,那么f(x)就是线性的;如果f'(x)不是常数,那么f(x)就是非线性的。
例2:求f(x) = x^3的导数。
解:f'(x) = 3x^2。
三、微分微分是导数的逆运算,它描述了一个函数在某一点的微小变化。
记作df(x) = f'(x)dx。
例3:求f(x) = x^3的微分。
解:df(x) = 3x^2dx。
四、积分积分是微分的逆运算,它可以将一个函数的微小变化累积起来,得到这个函数的积分。
记作∫f(x)dx。
例4:求∫(x^2)dx。
解:∫(x^2)dx = (1/3)x^3+C,其中C为常数。
以上就是微积分的基本概念和技能,通过这些例题和答案,我们可以更好地理解和掌握这些概念和技能,为后续的学习和应用打下坚实的基础。
经济应用数学基础教案标题:经济应用数学基础教案一、文章类型与目标本文将提供一份全面的经济应用数学基础教案,旨在为教师提供教学指导,帮助学生掌握与经济相关的数学基础知识,为进一步学习经济学、金融学等专业课程打下坚实的基础。
第四章教材习题选解或提示(A )2.不用求出函数()()()()321---=x x x x x f 的导数,说明()x f '有几个根及所在区间.解:()()()()321---=x x x x x f 的导数为三次多项式,则()0='x f 最多有三个解,因为()()()()3210f f f f ===,根据罗尔定理,可知存在()1,01∈ξ使得()01='ξf ;存在()2,12∈ξ使得()02='ξf ;存在()3,23∈ξ使得()03='ξf .3. 证明方程0535=+++x x x 有且仅有一个实根. 证:设函数()535+++=x x x x f ,则()x f 在R 上连续.由于()372-=-f ,()50=f ,所以存在一点1x ()0,2-∈,使得()01=x f .假设0535=+++x x x 除1x 外还有一根2x 0≠.不妨假设21x x <,则()()21x f x f =.()x f 在闭区间[]21,x x 上连续,在开区间()21,x x 内可导.因此,有()()21,,0x x f ∈='ξξ而()113524≥++='x x x f ,矛盾,得证.4. 设1,0>>>n b a ,证明:()()b a naba b a nbn nn n -<-<---11.证:设函数()n x x f =,在区间[]b a ,上应用拉格朗日定理,得 1-=--n nnn ab a b ξ()b a ,∈ξ因为()b a ,∈ξ,所以111---<<n n n nb n naξ,所以11--<--<n nnn nbab a b na,得()()b a na b a b a nb n n n n -<-<---11.6.设函数()x f 在[]a ,0上连续,在()a ,0内可导,且()0=a f ,证明:至少存在一点()a ,0∈ξ,使得()()0='+ξξξf f .证:设函数()()x xf x F =,因为()()00==a F F ,可知()x F 在区间[]a ,0满足罗尔定理,则有()0='ξF ()a ,0∈ξ,即()()0='+ξξξf f()a ,0∈ξ.7.若方程01110=+++--x a xa x a n n n 有一个正根0x x =,证明: 方程()0112110=++-+---n n n a xn a nxa 必有一个小于0x 的正根.证:设函数()x a x a x a x F n n n 1110--+++= ,()00=F ,则可知()x F 在区间[]0,0x 满足罗尔定理,可知()x F 在区间[]0,0x 满足罗尔定理,则有()0='ξF ()00x ,∈ξ,即()0112110=++-+---n n n a n a n a ξξ,()00x ,∈ξ,方程()0112110=++-+---n n n a xn a nxa 必有一个小于0x 的正根.8.设函数()x f 在[]b a ,上连续,在()b a ,内可导,并且有()()b f a f =0=.试证:至少存在一点()b a ,∈ξ,使得()()0=-'ξξf f .证:设函数()()x e x f x F -=, ()()0==b F a F ,可知()x F 在区间[]b a ,满足罗尔定理,则有()0='ξF ()b a ,∈ξ,即()()[]0=-'-ξξξe f f ,可得,至少存在一点()b a ,∈ξ,使得()()0=-'ξξf f . 9.求下列极限:()1 ()xx x +→1ln lim0; ()2 xee xx x sin lim-→-;()3 31cos limxxx x +-→; ()4 xba xxx -→0lim()0,>b a ;()5xarc x x cot 11ln lim⎪⎭⎫ ⎝⎛++∞→; ()6 212lim x x e x →;()7 ⎪⎭⎫⎝⎛--→x x xx ln 11lim 1; ()8 ()xx x sin 0tan lim +→; ()9xx x x x sin sin lim+-∞→; ()10 xxx x x ee e e --+∞→+-lim;()11 xx x a ⎪⎭⎫ ⎝⎛+∞→1lim ; ()12 xx x tan 01lim ⎪⎭⎫⎝⎛+→.解:()1 ()xx x +→1ln lim=1111lim 0=+→x x ;()2 xee xxx sin lim-→-= 2cos lim=+-→xee xx x ;()3 301cos limxxx x +-→=23121sin limxxx x +--→∞=;()4 xba xx x -→0lim=ba bb aa xxx ln1ln ln lim=-→;()5xarc x x cot 11ln lim⎪⎭⎫ ⎝⎛++∞→=1111111lim 22=+-⎪⎭⎫ ⎝⎛-++∞→xx xx ; ()6 212limx x e x → ==→211lim2xe x x ∞=-⎪⎭⎫ ⎝⎛-→33101212lim 2xx e x x ; ()7 ⎪⎭⎫⎝⎛--→x x xx ln 11lim 1=()x x x x x x ln 11ln lim1-+-→=xx x x 1-1ln ln lim 1+→ =∞=-→211x 11limxx x ;()8()xx x sin 0tan lim +→=()xx x esin tan ln 0lim +→=xx x e tan ln sin lim 0+→=xxx e sin 1tan ln lim+→=xxx e 1tan ln lim+→=221sec tan 1limxxxx e -+→=10=e ;()9xx x x x sin sin lim+-∞→=1sin 1sin 1lim=+-∞→xx xx x ;()10 xxx x x ee e e --+∞→+-lim= 111lim22=+---+∞→xx x ee ;()11 xx x a ⎪⎭⎫⎝⎛+∞→1lim =xx a x e⎪⎭⎫ ⎝⎛+∞→1ln lim =⎪⎭⎫ ⎝⎛+∞→x a x x e1ln lim =xx a x e11ln lim⎪⎭⎫ ⎝⎛+∞→=22111limxx a xa x e-⎪⎭⎫⎝⎛-+∞→=a e ;()12 xx x tan 01lim⎪⎭⎫ ⎝⎛+→= xx x etan 1ln 0lim ⎪⎭⎫ ⎝⎛→+=xxx e tan 11ln lim+→=xxx e11lnlim+→=101lim22==--+→e exx x x .10.确定下列函数单调区间:()1 29323+--=x x x y ; ()4 xe x y-=.解:()1 29323+--=x x x y ,令09632=--='x x y , 得 3,121=-=x x ,列表讨论](1,-∞-和[)+∞,3为函数()x f 的单调增加区间,[]3,1-为函数()x f 的单调减少区间;()4 x e x y-=,令01=-='xe y ,得0=x ,当0<x 时,0>'y ;当0>x 时,0<'y ,因此(]0,∞-为单调增加区间,[)+∞,0单调减少区间.11.证明下列不等式:()1 当0>x时,x x +>+121解:设函数()=x f x x +-+121,()xx f +-='12121,当0>x 时,函数单调增加,有()()00=>f x f ,即x x +>+121.13.求下列函数的最值:()1 []4,1,3223-∈-=x x x y解:令x x y 662-='=0,得1,021==x x ,()()()()804,11,00,51=-==-=-f f f f ,函数的最大值为()804=f ,函数最小值为()51-=-f .18.设某厂生产某种产品x 个单位时,其销售收入()x x R 3=,成本函数为()1412+=x x C .求使总利润达到最大的产量x .解:总利润为()14132--=x x x L ,()223x xx L -=',得驻点39=x ,当39=x 时,总利润最大.20.当a 、b 为何值时,点()3,1为曲线23bx ax y +=的拐点? 解:()31=f ,即3=+b a ,()0261=+=''b a f ,得29,23=-=b a .(B )2.已知函数()x f 在[]10,上连续,在()10,内可导,且()()11,00==f f ,()x f 是x 的非线性函数.试证:在()10,内至少存在一点ξ,使得()1>'ξf . 证:()x f 是x 的非线性函数,则至少有一点()1,00∈x ,使得()00x x f ≠,不妨设()00x x f >,则在()0,0x 满足拉格朗日中值定理,即 ()()()ξf x f x f '=--00001>,其中()0,0x ∈ξ()1,0⊂.5.设函数()x f 在闭区间[]A ,0上连续,且()00=f .如果()x f '存在且为增函数()()A x ,0∈.试证:函数()()x f xx F 1=也是增函数.证:()()()x f xx f x x F 211-'=',当0>x , ()x f 在区间()x ,0满足拉格朗日中值定理,则有()()()x f xx f ,0,∈'=ξξ,()()()011>'-'='ξf xx f x x F ,函数()()x f xx F 1=是增函数.9.设()x f 在0=x 处二阶可导,且二阶导数连续,已知 ()31201lim e x x f x x x x =⎪⎭⎫ ⎝⎛+++→,求()()()0,0,0f f f '''及 ()x x x x f 101lim ⎪⎭⎫ ⎝⎛+→. 解:()()⎪⎭⎫⎝⎛++→→=⎪⎭⎫ ⎝⎛+++201lim 1201lim x x f x x x x ex x f x x 3e =,则()2lim2=→xx f x ,()22lim='→xx f x ,()22lim=''→x f x ,则()()()10,00,00=''='=f f f ,()x x x x f 101lim ⎪⎭⎫ ⎝⎛+→=()2lim 20e e x x f x =⎪⎭⎫⎝⎛→.(四)模拟试题一、填空题(本题共5小题,每题6分,共30分)1.函数()x x f sin =在区间()π,0满足罗尔定理的点为 . 2.极限2cos 1limxxx -→为 .3.函数()x x x f -=32的单调减少区间为 . 4.曲线223+-=x x y 的拐点为 .5.曲线x e y 1=的渐近线为 .二、计算题(本题共4小题,每题10分,共40分)1.求极限()x x x 31ln sin lim+→.2.求函数x x y ln -=的单调区间.3.求函数()232+-=x x x f 在区间[]4,0上的最值. 4.求函数x x y arctan =的凸凹性.三、证明题(本题共3小题,每题10分,共30分)1.设0>>a b ,证明:bb a ba ab a -<<-ln.2.证明:当20π<<x 时,x x x 2tan sin >+.3.证明:曲线112+-=x x y 有三个拐点位于同一条直线上.模拟试题参考答案一、填空题1.2π2.21 3.⎥⎦⎤⎢⎣⎡-66,66 4.()2,0 5.0=x 及1=y 二、计算题1.31 2.(]1,0单调减少区间,[)+∞,1单调增加区间 3.最小值为0,最大值为6 4.下凸三、证明题 略.。
第二章 极限与连续习 题 二(A)1.观察判别下列数列的敛散性;若收敛,求其极限值:(1)u n=5n-3n; (2)u n=1ncosnπ;(3)u n=2+-12n;(4)u n=1+(-2)n;(5)u n=n2-1n;(6)u n=a n(a为常数).解 (1)将该数列具体写出来为2,72,4,174,225,…,5-3n,…观察可知u n→5(n→∞).因此,该数列收敛,其极限为5.(2)因为u n=1ncosnπ=1n(-1)n=1n→0(n→∞)所以,该数列收敛,其极限为0.(3)因为u n-2=-12n=12n→0(n→∞)所以,该数列收敛,其极限为2.(4)该数列的前五项分别为:-1,5,-7,17,-31,…观察可知u n→∞(n→∞).因此,该数列发散.(5)该数列的前五项分别为0,32,83,154,245,…观察可知u n→∞(n→∞).所以,该数列发散.(6)当a<1时,u n=a n→0(n→∞);当a>1时,u n=a n→∞(n→∞);当a=1时,u n=1→1(n→∞);当a=-1时,u n=(-1)n,发散因此,a<1时,数列收敛,其极限为0;a=1时,数列收敛,其极限为1;a ≤-1或a>1时,数列发散.2.利用数列极限的定义证明下列极限:(1)limn→∞-13n=0; (2)limn→∞n2+1n2-1=1;(3)limn→∞1n+1=0;(4)limn→∞n2+a2=1(a为常数).证 (1)对任意给定的ε>0(不妨设0<ε<1),要使u n-0=13n<ε只需n>log31ε (∵0<ε<1,∴log31ε>0)取正整数N=1+log31ε>log31ε,则当n>N时,恒有-13n-0<ε因此limn→∞-13n=0.(2)对任意给定的ε>0,要使u n-1=n2+1n2-1-1=2n2-1=2n+1·1n-1≤1n-1<ε只需n>1+1ε.取正整数N=1+1ε,则当n>N时,恒有n2+1n2-1-1<ε由此可知limn →∞n 2+1n 2-1=1.(3)对任意给定的ε>0,要使u n -0=1n +1-0=1n +1<1n<ε只需n >1ε2.取正整数N =1ε2+1,则当n >N >1ε2时,恒有1n +1-0<ε.由此可知limn→∞1n +1=0.(4)对任意给定的ε>0,要使u n -1=n 2+a2n -1=a2n (n 2+a 2+n )<a22n2<ε只需n >a2ε.取正整数N =a 2ε+1,则当n >N >a2ε时,恒有n 2+a2n-1<ε因此limn →∞n 2+a2=1.3.求下列数列的极限:(1)limn →∞3n +5n 2+n +4; (2)limn →∞(n +3-n );(3)limn →∞(1+2n+3n+4n)1/n;(4)limn →∞(-1)n+2n(-1)n +1+2n +1;(5)limn →∞1+12+122+…+12n ;(6)limn →∞1+12+122+…+12n1+14+142+…+14n.解 (1)因为3n +5n 2+n +4=3+5n1+1n +4n 2→3(n →∞)所以limn→∞3n +5n 2+n +4=3.(2)因为n +3-n =3n +3+n →0(n →∞)所以limn →∞(n +3-n )=0.(3)因为(1+2n+3n+4n)1/n=414n+24n+34n+11/n→4(n →∞)所以limn→∞(1+2n+3n+4n)1/n=4.(4)因为(-1)n+2n(-1)n +1+2n +1=12·-12n+1-12n +1+1→12(n →∞)所以limn →∞(-1)n+2n(-1)n +1+2n +1=12.(5)因为 1+12+122+…+12n =1-12n +11-12=21-12n +1→2(n →∞)所以limn →∞1+12+122+…+12n =2.(6)因为1+12+122+…+12n =21-12n +1,1+14+142+…+14n =1-14n -11-14=431-14n +1于是1+12+122+…+12n 1+14+142+…+14n =32·1-12n +11-14n +1→32(n →∞)所以limn →∞1+12+122+…+12n1+14+142+…+14n=32.4.利用函数极限的定义,证明下列极限:(1)limx →3(2x -1)=5; (2)limx →2+x -2=0;(3)limx →2x 2-4x -2=4;(4)limx →1-(1-1-x )=1.证 (1)对任意给定的ε>0,要使(2x -1)-5=2x -3<ε只需取δ=ε2>0,则当0<x -3<δ时,恒有(2x -1)-5=2x -3<2δ=ε因此limx →3(2x -1)=5.(2)对任意给定的ε>0,要使x -2-0=x -2<ε只零取δ=ε2>0,则当0<x -2<δ时,恒有x -2-0=x -2<δ=ε所以limx →2+x -2=0.(3)对任意给定的ε>0,要使(x ≠2)x 2-4x -2-4=(x +2)-4=x -2<ε只需取δ=ε>0,则当0<x -2<δ时,恒有x 2-4x -2-4=x -2<δ=ε因此limx →2x 2-4x -2=4.(4)对任意给定的ε>0,要使(1-1-x )-1=1-x <ε只需0<1-x <ε2取δ=ε2>0,则当0<1-x <δ时,恒有(1-1-x )-1=1-x <δ=ε因此limx →1-(1-1-x )=1.5.讨论下列函数在给定点处的极限是否存在?若存在,求其极限值:(1)f (x )=1-1-x ,x <1,在x =1处;x -1,x >0(2)f (x )=2x +1,x ≤1,x 2-x +3,1<x ≤2,x 3-1,2<x ,在x =1与x =2处.解 (1)因为f (1-0)=limx →1-f (x )=limx →1-(1-1-x )=1f (1+0)=limx →1+f (x )=limx →1+(x -1)=0这表明f (1-0)≠f (1+0).因此,limx →1f (x )不存在.(2)在x =1处,有f (1-0)=limx →1-(2x +1)=3.f (1+0)=limx →1+(x 2-x +3)=3.因f (1-0)=f (1+0)=3,所以,limx →1f (x )=3(存在);在x =2处,有f (2-0)=limx →2-(x 2-x +3)=5f (2+0)=limx →2+(x 3-1)=7因f(2-0)≠f(2+0),所以limx→2f(x)不存在.6.观察判定下列变量当x→?时,为无穷小:(1)f(x)=x-2x2+2; (2)f(x)=ln(1+x);(3)f(x)=e1-x;(4)f(x)=1ln(4-x).解 (1)因为当x→2或x→∞时,x-2x2+2→0因此,x→2或x→∞时,x-2x2+2为无穷小.(2)因为当x→0时,ln(1+x)→0因此,x→0时,ln(1+x)为无穷小.(3)因为当x→+∞时,e1-x=eex→0,因此,x→+∞时,e1-x为无穷小.(4)因为当x→4-或x→-∞时,1ln(4-x)→0因此,x→4-或x→-∞时,1ln(4-x)为无穷小.7.观察判定下列变量当x→?时,为无穷大:(1)f(x)=x2+1x2-4; (2)f(x)=ln1-x;(3)f(x)=e-1/x;(4)f(x)=1x-5.解 (1)因为当x→±2时,x2-4x2+1→0因此当x→±2时,x2+1x2-4→∞所以,x→±2时,x2+1x2-4为无穷大.(2)因为当x→1时,1-x→0+当x→∞时,-x→+∞因此当x→1时,ln1-x→-∞当x→∞时,ln1-x→+∞所以,x→1或x→∞时,ln1-x为无穷大.(3)因为limn→0--1x=+∞所以limx→0-e-1/x=+∞由此可知,x→0-时,e-1/x为无穷大.(4)因为limx→5+x-5=0所以limx→5+1x-5=+∞由此可知,x→5+时,1x-5为无穷大.8.求下列函数的极限:(1)limx→3(3x3-2x2-x+2); (2)limx→05+42-x;(3)limx→16x-5x+4x-16;(4)limx→0(x+a)2-a2x(a为常数);(5)limx→0x2+a2-ax2+b2-b(a,b为正的常数);(6)limx→1x+x2+…+x n-nx-1(提示:x+x2+…+x n-n=(x-1)+(x2-1)+…+(x n-1))解 (1)由极限的线性性质,得原式=3limx→3x3-2limx→3x2-limx→3x+2=3x33-2×32-3+2=62(2)因为limx→0(2-x)=2≠0,所以原式=5+limx →042-x =5+4limx →0(2-x )=5+42=7.(3)因为x -5x +4=(x -4)(x -1),x -16=(x -4)(x +4).所以原式=limx →16(x -4)(x -1)(x -4)(x +4)=limx →16x -1x +4=38.(4)因为(x +a )2-a 2=x (x +2a ),所以原式=limx →0x (x +2a )x=limx →0(x +2a )=2a .(5)原式=limx →0(x 2+a 2-a )(x 2+a 2+a )(x 2+a 2+b )(x 2+b 2-b )(x 2+b 2+b )(x 2+a 2+a )=limx →0x 2(x 2+b 2+b )x 2(x 2+a 2+a )=limx →0x 2+b 2+bx 2+a 2+a=b a(6)因为 x +x 2+…+x n-n =(x -1)+(x 2-1)+…+(x n-1)=(x -1)[1+(x +1)+…+(xn -1+xn -2+…+1)]所以原式=limx →1(x -1)[1+(x +1)+…+(xn -1+xn -2+…+1)]x -1=limx →1[1+(x +1)+…+(x n -1+xn -2+…+1)]=1+2+…+n =12n (n +1).9.求下列函数的极限:(1)limx →∞[x 2+1-x 2-1]; (2)limx →∞(x -1)10(3x -1)10(x +1)20;(3)limx →+∞5x 3+3x 2+4x 6+1;(4)limx →∞(x +31-x 3);(5)limx →+∞x (3x -9x 2-6);(6)limx →+∞(a x+9)-a x+4(a >0).解 (1)原式=limx →∞2x 2+1+x 2-1=0.(2)原式=limx→∞1-1x103-1x 101+1x20=310(3)原式=limx →+∞5+(3/x )+(4/x 3)1+(1/x 3)=5.(4)因为(x +31-x 3)[x 2-x31-x 3+(31-x 3)2]=x 3-(31-x 3)3=1所以原式=limx→∞1x 2-x 31-x 3+(31-x 3)2=0.(5)因为x (3x -9x 2-6)=x (3x -9x 2-6)(3x +9x 2-6)3x +9x 2-6=x [9x 2-(9x 2-6)]3x +9x 2-6=6x3x +9x 2-6所以原式=limx →+∞6x3x +9x 2-6=limx →+∞63+9-(6/x 2)=1(6)原式=limx →+∞5a x+9+a x+4=1,0<a <110-5,a =10,a >1.10.求下列各题中的常数a 和b :(1)已知limx →3x -3x 2+ax +b=1;(2)已知limx →+∞(x 2+x +1-ax -b )=k (已知常数).解 (1)由于分子的极限limx →3(x -3)=0,所以分母的极限也应为0(否则原式=0≠1),即有limx →3(x 2+ax +b )=9+3a +b =0另一方面,因分子=x -3,故分母x 2+ax +b =(x -3)(x -c ),于是原式=limx →3x -3(x -3)(x -c )=limx →31x -c =13-c=1由此得c =2.于是得x 2+ax +b =(x -3)(x -2)=x 2-5x +6由此得a =-5,b =6(2)原式可变形为原式=limx →+∞[x 2+x +1-(ax +b )][x 2+x +1+(ax +b )]x 2+x +1+ax +b=limx →+∞(1-a 2)x 2+(1-2ab )x +(1-b 2)x 2+x +1+ax +b显然应有1-a 2=0,即有a =±1.于是原式=limx →+∞(1-2ab )x +(1-b 2)x 2+x +1+ax +b=limx →+∞1-2ab +(1-b 2)/x1+(1/x )+(1/x 2)+a +(b /x )=1-2ab1+a=k (a ≠-1)由上式可知,a ≠-1,于是a =1,从而有1-2b2=k 痴b =12-k .11.已知f (x )=2+x1+x(1-x )/(1-x )(1)limx →0f (x ); (2)limx →1f (x ); (3)limx →∞f (x ).解 令g (x )=2+x 1+x ,h (x )=1-x1-x.(1)因为limx →0g (x )=2,limx →0h (x )=1所以limx →0f (x )=limx →0g (x )h (x )=21=2.(2)因为 limx →1g (x )=32>0limx →1h (x )=limx →1(1-x )(1+x )(1-x )(1+x )=limx →111+x =12所以limx →1f (x )=limx →1g (x )h (x )=3212(3)因为limx →∞g (x )=limx →∞1+(2/x )1+(1/x )=1>0limx →∞h (x )=limx→∞(1/x )-(1-x )(1/x )-1=0所以limx →∞f (x )=limx→∞g (x )h (x )=10=1.12.求下列极限:(1)limx →0sin3x sin2x ; (2)limx →0tan5xsin2x ;(3)limx →0arctan4x arcsin2x;(4)limx →∞x sin1x;(5)limx →0sin2(2x )x2;(6)limx →0tan3x -sin2xx;(7)limx →01-cosxx sinx;(8)limx →0ax -sinbxtankx(a ,b ,k >0).解 (1)原式=limx →0sin3x3x·2x sin2x ·32=32.(2)原式=limx →0tan5x 5x ·2x sin2x ·52=52.(3)原式=limx →0arctan4x 4x ·2x arcsin2x ·42=2.(4)令u =1x,则x →∞时u →0.于是原式=limu →0sinu u=1.(5)原式=limx →0sin2(2x )(2x )2·4=4limx →0sin2x 2x 2=4.(6)原式=3limx →0tan3x 3x -2limx →0sin2x2x =3-2=1(7)因为1-cosx ~12x 2(x →0),所以原式=12limx →0x 2x sinx =12limx →0x sinx =12(8)原式=limx →0a k ·kx tankx -b k ·sinbx bx ·kxtankx=a k -b k =a -bk.13.求下列极限:(1)limx →∞1-1xx; (2)limx →∞1+5xx;(3)limx →0(1-sinx )1/x;(4)limx →0(1+3x )1/x;(5)limx →01-x22/x;(6)limx →∞x -2x +2x.解(1)原式=limx→∞1+1-x-x-1=1e.(2)原式=limx→∞1+1x /5x /55=e5.(3)令u =sinx ,则x →0时,u →0.于是原式=limu →0(1+u )1/u u /arcsin(-u )=e-1.(4)原式=limx →0[(1+3x )1/(3x )]3=e3(5)原式=limx →01-x 2-2/x-1=e-1(6)原式=limx →∞1-4x +2x=limx→∞1-4x +2-(x +2)/4-4x /(x +2)=e-4另解,令u =-x +24,则x =-4u -2,且u →∞(x →∞时),于是原式=limu →∞1+1u-4u -2=limu →∞1+1uu -4·limu →∞1+1u-2=e-4.14.求下列极限:(1)limx →0(cosx )1/(1-cosx ); (2)limx →0(sec2x )cot2x;(3)limx →π/2(1+cosx )5secx;(4)limx →0sinx -tanxsinx3;(5)limx →0(sinx 3)tanx1-cosx 2;(6)limx →π/61-2sinxsin(x -π/6);(7)limx →π/4(tan2x )tanπ4-x .解(1)令u =1-cosx ,则cosx =1-u ,且u →0(x →0时),因此原式=limu →0(1-u )1/u=e-1.(2)令u =cot2x ,则sec2x =1+1cot2x=1+1u ,且x →0时,u →+∞.因此原式=limu →+∞1+1uu=e(3)令u =cosx ,则secx =1u ,且x →π2时,u →0.因此原式=limu →0(1+u )5/u=limu →0(1+u )1/u 5=e5.(4)因为x →0时,sinx ~x ,sinx 3~x 3,cosx -1~-x22所以 原式=limx →0sinx (cosx -1)cosx ·sinx3=limx →0x ·(-x 2/2)x 3cosx=-12limx →01cosx =-12.(5)因为x →0时,sinx 3~x 3,tanx ~x ,1-cosx 2~12(x 2)2,所以原式=limx →0x 3·xx 4/2=2(6)令u =x -π6,则x →π6时,u →0,且有sinx =sinu +π6=12(3sinu +cosu )于是有 原式=limu →01-(3sinu +cosu )sinu=limu →01-cosu sinu -3=limu →0u 2/2sinu-3=-3.(7)因为tan2x =sin2x cos2x =sin2xcos2x -sin2xtanπ4-x =sinπ4-x cosπ4-x =cosx -sinx cosx +sinx所以tan2x tanπ4-x =sin2x cos2x -sin2x ·cosx -sinx cosx +sinx =sin2x (cosx +sinx )2从而原式=limx →π/4sin2x (cosx +sinx )2=122+222=12.15.讨论下列函数的连续性:(1)f (x )=x1-1-x ,x <0,x +2,x ≥0;(2)f (x )=e1/x,x <0,0,x =0,1xln(1+x 2),x >0.解 (1)由题设知f (0)=2,且f (0-0)=limx →0-x 1-1-x=limx →0-x (1+1-x )x =2f (0+0)=limx →0+(x +2)=2可见limx →0f (x )=2=f (0).所以,该函数在x =0处连续.另一方面,x1-1-x 在(-∞,0)内为初等函数,连续;x +2在(0,+∞)内为线性函数,连续.综上所述,该函数在(-∞,+∞)内连续.(2)因f (0)=0,且 f (0-0)=limx →0-e1/x=0, f (0+0)=limx →0+1xln(1+x 2)=limx →0+x ln(1+x 2)1/x 2=0·1=0所以 limx →0f (x )=0=f (0).因此,该函数在x =0处连续.另一方面,e1/x在(-∞,0)内连续,1xln(1+x 2)在(0,+∞)内连续.综上所述,该函数在(-∞,+∞)内连续.16.指出下列函数的间断点及其类型;如为可去间断点,将相应函数修改为连续函数;作出(1)、(2)、(3)的图形:(1)f (x )=1-x21+x ,x ≠-1,0,x =-1;(2)f (x )=x 2,x ≤0,lnx ,x >0;(3)f (x )=x x ; (4)f (x )=x sin1x.解 (1)由题设知f (-1)=0,而limx →-1f (x )=limx →-11-x 21+x =limx →-1(1-x )=2≠f (0)所以,x =-1为该函数的可去间断点.令f (-1)=2,则f ~(x )=1-x 21+x ,x ≠-12,x =-1=1-x在(-∞,+∞)内连续.f (x )的图形如图2.1所示.图2.1图2.2(2)由题设有f (0)=0,而f (0-0)=limx →0-x 2=0,f (0+0)=limx →0+lnx =-∞所以,x =0为该函数的无穷间断点.f (x )的图形如图2.2所示.(3)该函数在x =0处无定义,而f (0-0)=limx →0-xx =limx →0-x-x =-1,f (0+0)=limx →0+x x=limx →0+x x=1.图2.3因为左、右极限均存在但不相等,所以,x =0为该函数的跳跃间断点.f (x )的图形如图2.3所示.(4)该函数在x =0处无定义.因limx →0f (x )=limx →0x sin1x=0,故x =0为该函数的可去间断点.若令f (0)=0,则函数f ~(x )=x sin1x,x ≠00,x =0在(-∞,+∞)内连续.17.确定下列函数的定义域,并求常数a ,b ,使函数在定义域内连续:(1)f (x )=1x sinx ,x <0,a ,x =0,x sin1x+b ,x >0;(2)f (x )=ax +1,x ≤1,x 2+x +b ,x>1;(3)f (x )=1-x 2,-45<x <35,a +bx ,其他.解 (1)D f =(-∞,+∞).因f (x )在D f 的子区间(-∞,0)与(0,+∞)内均为初等函数.因此,f (x )在(-∞,0)∪(0,+∞)内连续.现讨论f (x )在分界点x =0处的连续性.已知f (0)=a ,而且f (0-0)=limx →0-sinxx =1,f (0+0)=limx →0+x sin1x+b =b 当f (0-0)=f (0+0)=f (0)时,即当a =b =1时,f (x )在x =0处连续.综上所述,当a =b =1时,该函数在其定义域(-∞,+∞)内连续.(2)D f =(-∞,+∞).因为f (-1)=1-a ,且f (-1-0)=limx →(-1)-(x 2+x +b )=bf (-1+0)=limx →(-1)+(ax +1)=1-a 所以,当a +b =1时,f (x )在x =-1处连续.又因f (1)=1+a ,且f (1-0)=limx →1-(ax +1)=a +1f (1+0)=limx →1+(x 2+x +b )=2+b所以,当a +1=2+b ,即a -b =1时,f (x )在x =1处连续.综上所述,当a +b =1且a -b =1,即a =1,b =0时,f (x )在x =-1和x =1处连续,从而f (x )在其定义域(-∞,+∞)内连续.(3)D f =(-∞,+∞).因f -45=a -45b ,且f -45-0=limx →-45-(ax +b )=a -45b f -45+0=limx →-45+1-x 2=35所以,当a -45b =35,即5a -4b =3时,f (x )在点x =-45处连续.又因f35=a +35b ,且f35-0=limx →35-1-x 2=45f35+0=limx →35+(a +bx )=a +35b 所以,当a +35b =45,即5a +3b =4时,f (x )在点x =35处连续.综上所述,当5a -4b =3且5a +3b =4,即a =57,b =17时,f(x)在x=-45与x=35处连续,从而f(x)在其定义域(-∞,+∞)内连续.(B)1.填空题:(1)limn→∞1n2+1(n+1)2+…+1(2n)2= ;(2)limx→0ln(x+a)-lnax(a>0)= ;(3)limx→a+x-a+x-ax2-a2(a>0)= ;(4)若limx→+∞xx n+1-(x-1)n+1=k≠0,n为正整数,则n= ,k= ;(5)x→0时,1+x-1-x是x的 无穷小;(6)设f(x)=sinx·sin1x,则x=0是f(x)的 间断点;(7)设f(x)=x x,则x=0是f(x)的 间断点;(8)函数f(x)=1x2-5x+6的连续区间是 .答 (1)0; (2)1a; (3)12a;(4)2008,12008; (5)等价;(6)可去; (7)跳跃; (8)(-∞,2)∪(3,+∞).解 (1)因为14n≤1n2+1(n+1)2+…+1(2n)2≤1n且limn→∞14n=0,limn→∞1n=0.所以,由夹逼定理可知,原式=0.(2)原式=limx→0ln1+x a1/x=1alimx→0ln1+x a a/x=1alnlimx→01+x a a/x=1alne=1a.(3)因为x-a+x-ax2-a2=x-ax+a(x+a)+1x+a且limx→a+x-ax+a(x+a)=0,limx→a+1x+a=12a所以,原式=12a.(4)因为x n+1-(x-1)n+1=[x-(x-1)][x n+x n-1(x-1)+…+x(x-1)n-1+(x-1)n]=x n1+1-1x+…+1-1x n-1+1-1x n所以,由题设有原式=limx→+∞x2008-n1+1-1x+…+1-1x n-1+1-1x n=k≠0显然,要上式成立,应有2008-n=0,即n=2008.从而原式=limx→+∞11+1-1x+…+1-1x n-11-1x n=1n=k所以,k=1n=12008.(5)因为limx→01+x-1-xx=limx→021+x+1-x=1所以,x→0时,1+x-1-x是x的等价无穷小.(6)因为limx→0sinx·sin1x=limx→0sinx x·limx→0xsin1x=1×0=0.所以,x=0是f(x)的可去间断点(令f(0)=0,即可).(7)因为f (0-0)=limx →0--x x =-1,f (0+0)=limx →0+xx=1左、右极限存在,但不相等,故x =0为跳跃间断点.(8)该函数有定义的条件是x 2-5x +6=(x -2)(x -3)>0由此得x <2或x >3.因此,该函数的连续区间为(-∞,2)或(3,+∞).2.单项选择题:(1)函数f (x )在点x 0处有定义,是极限limx →x 0f (x )存在的 .(A)必要条件; (B)充分条件;(C)充分必要条件;(D)无关条件.(2)下列“结论”中,正确的是 .(A)无界变量一定是无穷大;(B)无界变量与无穷大的乘积是无穷大;(C)两个无穷大的和仍是无穷大;(D)两个无穷大的乘积仍是无穷大.(3)设函数f (x )=1,x ≠1,0,x =1,则limx →1f (x )= .(A)0; (B)1; (C)不存在; (D)∞.(4)若limx →2x 2+ax +bx 2-3x +2=-1,则 .(A)a =-5,b =6; (B)a =-5,b =-6;(C)a =5,b =6;(D)a =5,b =-6.(5)设f (x )=1-x 1+x,g (x )=1-3x ,则当x →1时, .(A)f (x )与g (x )为等价无穷小;(B)f (x )是比g (x )高阶的无穷小;(C)f (x )是比g (x )低阶的无穷小;(D)f (x )与g (x )为同阶但不等价的无穷小.(6)下列函数中,在定义域内连续的是 .(A)f (x )=cosx ,x ≤0,sinx ,x >0; (B)f (x )=1x,x >0,x ,x ≤0;(C)f (x )=x +1,x ≤0,x -1,x >0;(D)f (x )=1-e-1/x 2,x ≠0,1,x =0.(7)下列函数在区间(-∞,1)∪[3,+∞]内连续的是 .(A)f (x )=x 2+2x -3; (B)f (x )=x 2-2x -3;(C)f (x )=x 2-4x +3;(D)f (x )=x 2+4x +3.(8)若f (x )在区间 上连续,则f (x )在该区间上一定取得最大、最小值.(A)(a ,b ); (B)[a ,b ]; (C)[a ,b ); (D)(a ,b ].答 (1)D; (2)D; (3)B;(4)A;(5)D; (6)D; (7)C; (8)B.解 (1)limx →x 0f (x )是否存在与f (x )在点x 0是否有定义无关,故应选(D).(2)(A)、(B)、(C)都不正确.例如n →∞时n sinn 是无界变量,而不是无穷大;n →∞时,n sinn 是无界变量,n 是无穷大,而n ·n sinn =n 2sinn 是无界变量,不是无穷大;n →∞时,n 与-n 都是无穷大,但n +(-n )=0是一常量,不是无穷大.(D)正确.例如,设limu →∞u 0=∞, limu →∞v n =∞则对任意给定的M >0,存在正整数N 1,N 2,使当n =N 1,n >N 2时,恒有u n>M ,v n >M取N =max{N 1,N 2},则当n >N 时,恒有u n v n=u n ·v n>M ·M =M2这表明limn →∞u n v n =∞.(3)易知f (1-0)=f (1+0)=1,从而limx →1f (x )=1,故应选(B).(4)因为limx →2(x 2-3x +2)=limx →2(x -2)(x -1)=0,因此,分子的极限也应为0,即应有x 2+ax +b =(x -2)(x -c )=x 2-(2+c )x +2c由此得a =-(2+c ),b =2c于是,由题设有limx →2x 2+ax +b x 2-3x +2=limx →2(x -2)(x -c )(x -2)(x -1)=limx →2x -cx -1=2-c =-1由此得c =3,从而得a =-5,b =6.故应选(A).(5)因为limx →1f (x )g (x )=limx →11-x 1+x ·11-3x=limx →1(1-3x )(1+3x +3x 2)(1+x )(1-3x )=limx →11+3x +3x21+x =32≠1所以,应选(D).(6)(A)、(B)、(C)均在x =0处不连续.因为(A)f (0-0)=1≠f (0+0)=0;(B)f (0-0)=0,f (0+0)=+∞;(C)f (0-0)=1≠f (0+0)=-1;因为limx →0(1-e-1/x 2)=limx →01-1e1/x 2=1-0=1=f (0)故(D)中f (x )在x =0处连续;在x ≠0处为初等函数,连续.因此,在定义域(-∞,+∞)内连续.故应选(D).(7)(A)、(B)、(D)均不符合要求.因为(A)应有x 2+2x -3=(x -1)(x +3)≥0痴x ≤-3或x ≥1;(B)应有x 2-2x -3=(x +1)(x -3)≥0痴x ≤-1或x ≥3;(C)应有x 2-4x +3=(x -1)(x -3)≥0痴x ≤1或x ≥3;(D)应有x 2+4x +3=(x +1)(x +3)≥0痴x ≤-3或x ≥-1.由此可知,应选(C).(8)选(B).3.证明:若limx →x 0f (x )=a ,则limx →x0f (x )=a ;举例说明,反之不一定成立.证 因limx →x0f (x )=a ,所以对任意给定的ε>0,存在δ>0,使当0<x -x 0<δ时,恒有f (x )-a<ε于是有||f (x )|-|a ||≤|f (x )-a |<ε因此有limx →x 0|f (x )|=|a |反之不一定成立.例如,设f (x )=-1,x <01x >0则limx →0|f (x )|=limx →01=1而limx →0-f (x )=-1,limx →0+f (x )=1,左、右极限存在,但不相等,故limx →0f (x )不存在.4畅求下列极限:(1)limn →∞312·22+522·32+…+2n +1n 2(n +1)2;(2)limn →∞1n 2+n +1+2n 2·n +2+…+nn 2+n +n;(3)limn →∞(1+2n )1/n ; (4)limn →∞3n sinx3n .解 (1)因为2n +1n 2(n +1)2=1n 2-1(n +1)2,n =1,2,3,…所以原式=limn→∞112-122+122-132+…+1n 2-1(n +1)2=limn →∞1-1(n +1)2=1(2)因为1n 2+n +n +2n 2+n +n +…+n n 2+n +n =1+2+…+n n 2+2n=n +12(n +2)<1n 2+n 1+1+2n 2+n +2+…+nn 2+n +n<1n 2+n +1+2n 2+n +1+…+n n 2+n +1=1+2+…+n n 2+n +1=n (n +1)2(n 2+n +1)而limn→∞n +12(n +2)=12, limn →∞n +12(n 2+n +1)=12所以,由夹逼定理得 原式=12(3)原式=limn →∞2n1+12n 1/n=2limn →∞1+12n 1/n =2×10=2(4)原式=limn →∞1x 3n ·sinx 3n ·x =x .5畅设x 1=1,x n =1+x n -11+x n -1(n =2,3,…).求limn →∞x n .解 显然,0<x n <2(n =1,2,…),即x n 有界.另一方面,显然有x 1<x 2,设x n -1<x n ,则x n +1-x n =1+x n 1+x n -1+x n -11+x n -1=x n -x n -1(1+x n )(1+x n -1)>0即x n <x n +1.因此,x n 单调增加.由于x n 单调有界,故极限存在.设limn →∞x n =a则由x n =1+x n -11+x n -1两边同时取极限,得a =1-a1+a由此解得limn →∞x n =a =12(1+5) (舍去负值).6畅求下列极限:(1)limx →01xln1+8x ;(2)limx →x 0a x-a x0x -x 0(0<a ≠1);(3)limx →∞9x 2+x -8-1x 2+sinx;(4)limx →0ln(cos2x +1-x 2)ex +sinx+(1+x )2/x ;(5)limx →π/21sinx -1sinx +sin2+…+sinn x -n ;(6)limx →∞1-5xx;(7)limx →∞1+3x +2x2x;(8)limx →∞sin1x +cos1x x;(9)limx →+∞1xln(1+x )-lnx ;(10)limx →+∞x a 1/x-b1/x (a >0,b >0)解(1)原式=4limx →018xln(1+8x )=4limx →0ln(1+8x )1/8x=4×1=4.(2)令u =x -x 0,则x →x 0时,u →0,于是原式=limu →0au +x 0-a x0u =a x 0limu →0a u-1u由式(2畅24)知,a u-1~u lna .从而有原式=a x0limu →0u lna u=a x 0lna .(3)原式=limx→∞|x |q +1x -8x2-1|x |1+(sinx )/x2=limx →∞q +1x -1x 2-1|x |1+(sinx )/x2=31=3(4)因为limx →0ln(cos2x +1-x 2)=lnlimx →0(cos2x +1-x 2)=ln2,limx →0(ex+sinx )=elimx →0x+limx →0sinx =1≠0,limx →0(1+x )2/x=limx →0(1+x )1/x2=e2.所以原式=limx →0ln(cos2x +1-x 2)limx →0(ex+sinx )+limx →0(1+x )2/x=ln21+e2=ln2+e2(5)因为 sinx +sin2x +…+sinnx -n =(sinx -1)+(sin2x -1)+…+(sinnx -1)=(sinx -1)[1+(sinx +1)++(sinn -1x +…+sinx +1)]所以原式=limx →π/2[1+(sinx +1)+…+(sinn -1x +…+sinx +1)]=1+2+…+n =12n (n +1)(6)原式=limx →∞1+-5x(-5/x )-5=e-5(7)原式=limx →∞1+3x +2x2x=limx →∞1+3x +2x2x 2/(3x +2)(3x +2)/x=e3(8)令u =1x,则x →∞时,u →0.于是原式=limu →0(sinu +cosu )1/u =limu →0(sinu +cosu )21/2u=limu →0(1+sin2u )1/2u=limu →0[(1+sin2u )1/sin2u]sin2u /2u=e1=e.(9)原式=limx →+∞ln1+1x1/x=lnlimx →+∞1+1x1/x=ln1=0(10)令u =1x,则x →+∞时,u →0+.于是原式=limu →0+a u-b uu =limu →0+(a u-1)-(b u-1)u=limu →0+u lna -u lnb u =lna -lnb =lna b7畅设f (x )=limu →+∞1uln(eu +x u ),(x >0):(1)求f (x );(2)讨论f (x )的连续性.解(1)x =e时,f (e)=limu →+∞1uln(2eu )=limu →+∞1u (ln2+u )=1;0<x <e时,f (x )=limu →+∞1u lneu 1+x eu=1+limu →+∞1u ln1+x eu=1x >e时,f (x )=limu →+∞1u lnx u 1+exu=limu →+∞lnx +1u ln1+ex u=lnx所以f (x )=1,0<x ≤elnx ,x >e(2)因为f (e-0)=1,f (e+0)=limx >e+lnx =1,f (e)=1可见f (x )在x =e处连续.又因在(0,e)内f (x )≡1,连续;在(e,+∞)内f (x )=lnx ,连续.综上所述,f (x )在(0,+∞)内连续.8畅证明下列方程在给定区间内至少存在的一个根:(1)x ·3x=1,x ∈[0,1];(2)x 3+px +q =0(p >0),x ∈(-∞,+∞);(3)x =a sinx +b (a >0,b >0),x ∈[0,a +b ].证 (1)令f (x )=x ·3x-1则f (x )为初等函数,在[0,1]上连续,且f (0)=-1<0,f (1)=2>0所以,由零值定理可知,方程f (x )=x ·3x-1=0在(0,1)内至少有一实根,即存在ξ∈(0,1),使得f (ξ)=0,即ξ·3ξ=1(2)令f (x )=x 3+px +8因为limx →-∞f (x )=-∞,所以,存在x 1∈(-∞,0),使得f (x 1)<0类似地,因为limx →+∞f (x )=+∞,故存x 2∈(0,+∞),使得f (x 2)>0因f (x )为多项式函数,在闭区间[x 1,x 2]上连续,故由零值定理可知,f (x )=x 3+px +q =0在(x 1,x 2)炒(-∞,+∞)内至少有一个实根.(3)令f (x )=a sinx +b -x则f (x )在[0,a +b ]上连续,且有f (0)=b >0,f (a +b )=a sin(a +b )+b -(a +b )=a [sin(a +b )-1]若sin(a +b )=1,则f (a +b )=0,x =a +b 为所求,若sin(a +b )<1,则f (a +b )<0,f (x )=0在(0,a +b )内至少有一实根.。
习 题 一1.写出下列事件的样本空间: (1) 把一枚硬币抛掷一次; (2) 把一枚硬币连续抛掷两次;(3) 掷一枚硬币,直到首次出现正面为止;(4) 一个库房在某一个时刻的库存量(假定最大容量为M ).解 (1) Ω={正面,反面} △ {正,反}(2) Ω={(正、正),(正、反),(反、正),(反、反)} (3) Ω={(正),(反,正),(反,反,正),…} (4) Ω={x ;0 ≤x ≤ m } 2.掷一颗骰子的试验,观察其出现的点数,事件A =“偶数点”,B =“奇数点”,C =“点数小于5”,D =“小于5的偶数点”,讨论上述各事件间的关系.解 {}{}{}{}{}.4,2,4,3,2,1,5,3,1,6,4,2,6,5,4,3,2,1=====D C B A ΩA 与B 为对立事件,即B =A ;B 与D 互不相容;A ⊃D ,C ⊃D.3. 事件A i 表示某个生产单位第i 车间完成生产任务,i =1,2,3,B 表示至少有两个车间完成生产任务,C 表示最多只有两个车间完成生产任务,说明事件B 及B -C 的含义,并且用A i (i =1,2,3)表示出来.解 B 表示最多有一个车间完成生产任务,即至少有两个车间没有完成生产任务. 313221A A A A A A B ++=B -C 表示三个车间都完成生产任务321321321321+++A A A A A A A A A A A A B =321321321321321321321A A A A A A A A A A A A A A A A A A A A A C ++++++=321A A A C B =-4. 如图1-1,事件A 、B 、C 都相容,即ABC ≠Φ,把事件A +B ,A +B +C ,AC +B ,C -AB 用一些互不相容事件的和表示出来.解 B A A B A +=+C B A B A A C B A ++=++C B A B B AC +=+BC A C B A C B A AB C ++=-5.两个事件互不相容与两个事件对立的区别何在,举例说明.解 两个对立的事件一定互不相容,它们不可能同时发生,也不可能同时不发生;两个互不相容的事件不一定是对立事件,它们只是不可能同时发生,但不一定同时不发生. 在本书第6页例2中A 与D 是对立事件,C 与D 是互不相容事件. 6.三个事件A 、B 、C 的积是不可能事件,即ABC =Φ,问这三个事件是否一定互不相容?画图说明.解 不一定. A 、B 、C 三个事件互不相容是指它们中任何两个事件均互不相容,即两两互不相容.如图1-2,事件ABC =Φ,但是A 与B 相容.7. 事件A 与B 相容,记C =AB ,D =A+B ,F =A -B. 说明事件A 、C 、D 、F 的关系.解 由于AB ⊂A ⊂A+B ,A -B ⊂A ⊂A+B ,AB 与A -B 互不相容,且A =AB +(A -B). 因此有A =C +F ,C 与F 互不相容, D ⊃A ⊃F ,A ⊃C.8. 袋内装有5个白球,3个黑球,从中一次任取两个,求取到的两个球颜色不同的概率. 解 记事件A 表示“取到的两个球颜色不同”. 则有利于事件A 的样本点数目#A =1315C C .而组成试验的样本点总数为#Ω=235+C ,由古典概率公式有P (A )==Ω##A 2815281315=C C C (其中#A ,#Ω分别表示有利于A 的样本点数目与样本空间的样本点总数,余下同)9. 计算上题中取到的两个球中有黑球的概率.解 设事件B 表示“取到的两个球中有黑球”则有利于事件B 的样本点数为#25C B =.1491)(1)(2825=-==C C B P B P -10. 抛掷一枚硬币,连续3次,求既有正面又有反面出现的概率.解 设事件A 表示“三次中既有正面又有反面出现”, 则A 表示三次均为正面或三次均为反面出现. 而抛掷三次硬币共有8种不同的等可能结果,即#Ω=8,因此图1-1图1-2143821#1)(1)(=-=Ω-=-=A A P A P # 11. 10把钥匙中有3把能打开一个门锁,今任取两把,求能打开门锁的概率.解 设事件A 表示“门锁能被打开”. 则事件A 发生就是取的两把钥匙都不能打开门锁.15811)(1)(21027==Ω-=-=CC A A P A P -## 从9题-11题解中可以看到,有些时候计算所求事件的对立事件概率比较方便. 12. 一副扑克牌有52张,不放回抽样,每次一张,连续抽取4张,计算下列事件的概率:(1)四张花色各异; (2)四张中只有两种花色.解 设事件A 表示“四张花色各异”;B 表示“四张中只有两种花色”.,113113113113452##C C C C A , C Ω== ) +#2132131133131224C C C C C C B (= 105013##)(4524.C ΩA A P ===30006048+74366##)(452 )(.C ΩB B P ===13. 口袋内装有2个伍分、3个贰分,5个壹分的硬币共10枚,从中任取5枚,求总值超过壹角的概率.解 设事件A 表示“取出的5枚硬币总值超过壹角”.)+(+C =##25231533123822510C C C C C C A C Ω , = 50252126)(.ΩA A P ==##=14. 袋中有红、黄、黑色球各一个,每次任取一球,有放回地抽取三次,求下列事件的概率:A =“三次都是红球” △ “全红”,B =“全白”,C =“全黑”,D =“无红”,E =“无白”,F =“无黑”,G =“三次颜色全相同”,H =“颜色全不相同”,I =“颜色不全相同”.解 #Ω=33=27,#A =#B =#C =1, #D =#E =#F =23=8, #G =#A +#B +#C =3,#H =3!=6,#I =#Ω-#G =24271)()()(===C P B P A P 278)()()(===F P E P D P 982724)(,92276)(,91273)(======I P H P G P 15. 一间宿舍内住有6位同学,求他们中有4个人的生日在同一个月份的概率. 解 设事件A 表示“有4个人的生日在同一个月份”.#Ω=126,#A =21124611C C0073.01221780##)(6==ΩA A P =16. 事件A 与B 互不相容,计算P )(B A +. 解 由于A 与B 互不相容,有AB =Φ,P (AB )=0.1)(1)()(=-==+AB P AB P B A P17. 设事件B ⊃A ,求证P (B )≥P (A ). 证 ∵B ⊃A∴P (B -A )=P (B ) - P (A ) ∵P (B -A )≥0 ∴P (B )≥P (A )18. 已知P (A )=a ,P (B )=b ,ab ≠0 (b >0.3a ),P (A -B )=0.7a ,求P (B +A ),P (B -A ),P (B +A ).解 由于A -B 与AB 互不相容,且A =(A -B )+AB ,因此有P (AB )=P (A )-P (A -B )=0.3aP (A +B )=P (A )+P (B )-P (AB )=0.7a +b2P (B -A )=P (B )-P (AB )=b -0.3aP(B +A )=1-P (AB )=1-0.3a19. 50个产品中有46个合格品与4个废品,从中一次抽取三个,计算取到废品的概率. 解 设事件A 表示“取到废品”,则A 表示没有取到废品,有利于事件A 的样本点数目为#A =346C ,因此P (A )=1-P (A )=1-3503461C C ΩA-=## =0.225520. 已知事件B ⊃A ,P (A )=ln b ≠ 0,P (B )=ln a ,求a 的取值范围.解 因B ⊃A ,故P (B )≥P (A ),即ln a ≥ln b ,⇒a ≥b ,又因P (A )>0,P (B )≤1,可得b >1,a ≤e ,综上分析a 的取值范围是:1<b ≤a ≤e21. 设事件A 与B 的概率都大于0,比较概率P (A ),P (AB ),P (A +B ),P (A )+P (B )的大小(用不等号把它们连接起来).解 由于对任何事件A ,B ,均有AB ⊂A ⊂A +B且P (A +B )=P (A )+P (B )-P (AB ),P (AB )≥0,因此有P (AB )≤P (A )≤P (A +B )≤P (A )+P (B )22. 一个教室中有100名学生,求其中至少有一人的生日是在元旦的概率(设一年以365天计算).解 设事件A 表示“100名学生的生日都不在元旦”,则有利于A 的样本点数目为#A =,而样本空间中样本点总数为#Ω=,所求概率为1001003653641##1)(1)(-=Ω-=-=A A P A P= 0.239923. 从5副不同手套中任取4只手套,求其中至少有两只手套配成一副的概率.解 设事件A 表示“取出的四只手套至少有两只配成一副”,则A 表示“四只手套中任何两只均不能配成一副”.21080##)(4101212121245===C C C C C C ΩA A P 62.0)(1)(=-=A P A P24. 某单位有92%的职工订阅报纸,93%的人订阅杂志,在不订阅报纸的人中仍有85%的职工订阅杂志,从单位中任找一名职工求下列事件的概率: (1)该职工至少订阅一种报纸或期刊; (2)该职工不订阅杂志,但是订阅报纸.解 设事件A 表示“任找的一名职工订阅报纸”,B 表示“订阅杂志”,依题意P (A )=0.92,P (B )=0.93,P (B |A )=0.85P (A +B )=P (A )+P (A B )=P (A )+P (A )P (B |A )=0.92+0.08×0.85=0.988P (A B )=P (A +B )-P (B )=0.988-0.93=0.05825. 分析学生们的数学与外语两科考试成绩,抽查一名学生,记事件A 表示数学成绩优秀,B表示外语成绩优秀,若P (A )=P (B )=0.4,P (AB )=0.28,求P(A |B ),P (B |A ),P (A +B ).解 P (A |B )=7.04.028.0)()(==B P AB PP (B |A)=7.0)()(=A P AB PP (A +B )=P (A )+P (B )-P (AB )=0.5226. 设A 、B 是两个随机事件. 0<P (A )<1,0<P (B )<1,P (A |B )+P (A |B )=1. 求证P (AB )=P (A )P (B ).证 ∵P ( A |B )+P (A |B )=1且P ( A |B )+P (A |B )=1∴P ( A |B )=P (A |B ))(1)()()()()()(B P AB P A P B P B A P B P AB P --==P (AB )[1-P (B )]=P ( B )[P ( A )-P ( AB )]整理可得P (AB )=P ( A ) P ( B )27. 设A 与B 独立,P ( A )=0.4,P ( A +B )=0.7,求概率P (B ). 解 P ( A +B )=P (A )+P (A B )=P ( A )+P (A ) P ( B )⇒ 0.7=0.4+0.6P ( B )⇒ P ( B )=0.528. 设事件A 与B 的概率都大于0,如果A 与B 独立,问它们是否互不相容,为什么?3解 因P ( A ),P ( B )均大于0,又因A 与B 独立,因此P ( AB )=P ( A ) P ( B )>0,故A 与B 不可能互不相容.29. 某种电子元件的寿命在1000小时以上的概率为0.8,求3个这种元件使用1000小时后,最多只坏了一个的概率. 解 设事件Ai表示“使用1000小时后第i 个元件没有坏”,i =1,2,3,显然A 1,A 2,A 3相互独立,事件A 表示“三个元件中最多只坏了一个”,则A=A 1A 2A 3+1A A 2A 3+A 12A A 3+A 1A 23A ,上面等式右边是四个两两互不相容事件的和,且P (A 1)=P (A 2)=P (A 3)=0.8P ( A )=[][])()(3)(12131A P A P A P +=0.83+3×0.82×0.2 =0.89630. 加工某种零件,需经过三道工序,假定第一、二、三道工序的废品率分别为0.3,0.2,0.2,并且任何一道工序是否出现废品与其他各道工序无关,求零件的合格率. 解 设事件A 表示“任取一个零件为合格品”,依题意A 表示三道工序都合格.P (A )=(1-0.3)(1-0.2)(1-0.2)=0.44831. 某单位电话总机的占线率为0.4,其中某车间分机的占线率为0.3,假定二者独立,现在从外部打电话给该车间,求一次能打通的概率;第二次才能打通的概率以及第m 次才能打通的概率(m 为任何正整数).解 设事件A i 表示“第i 次能打通”,i =1,2,…,m ,则P (A 1)=(1-0.4)(1-0.3)=0.42 P (A 2)=0.58 × 0.42=0.2436 P (A m )=0.58m -1 × 0.4232. 一间宿舍中有4位同学的眼镜都放在书架上,去上课时,每人任取一副眼镜,求每个人都没有拿到自己眼镜的概率.解 设A i 表示“第i 人拿到自己眼镜”,i =1,2,3,4. P ( A i )=41,设事件B 表示“每个人都没有拿到自己的眼镜”. 显然B 则表示“至少有一人拿到自己的眼镜”. 且B =A 1+A 2+A 3+A 4.P (B )=P (A 1+A 2+A 3+A 4)=∑∑∑-+-=≤≤≤≤4141414321)()()()(i j i k j i k j i i i i A A A A P A A A P A A P A p <<<P (A i A j )=P (A i )P (A j |A i )=)41(1213141≤≤=⨯j i < P (A i A j A k )=P (A i )P (A j |A i )P (A k |A i A j )=41×31×21=241(1≤i <j <k ≤4) P (A 1A 2A 3A 4) =P (A 1)P (A 2|A 1)P (A 3|A 1A 2)×P (A 4|A 1A 2A 3)=2411213141=⨯⨯⨯ 85241241121414)(3424=-⨯+⨯-⨯=C C B P83)(1)(=-=B P B P33. 在1,2,…,3000这3000个数中任取一个数,设A m =“该数可以被m 整除”,m =2,3,求概率P (A 2A 3),P (A 2+A 3),P (A 2-A 3). 解 依题意P (A 2)=21,P (A 3)=31P (A 2A 3)=P (A 6)=61P (A 2+A 3)=P (A 2)+P (A 3)-P (A 2A 3)=32613121=-+ P (A 2-A 3)=P (A 2)-P (A 2A 3)=316121=-34. 甲、乙、丙三人进行投篮练习,每人一次,如果他们的命中率分别为0.8,0.7,0.6,计算下列事件的概率: (1)只有一人投中; (2)最多有一人投中; (3)最少有一人投中.解 设事件A 、B 、C 分别表示“甲投中”、“乙投中”、“丙投中”,显然A 、B 、C 相互独立.设A i 表示“三人中有i 人投中”,i =0,1,2,3,依题意,)()()() ()(0C P B P A P C B A P A P ===0.2×0.3×0.4×=0.024P ( A 3 )=P ( ABC )=P ( A ) P ( B ) P ( C )4=0.8×0.7×0.6=0.336P (A 2)=P (AB C )+P (A B C )+P (A BC )=0.8×0.7×0.4+0.8×0.3×0.6+0.2×0.7×0.6=0.452 (1) P (A 1)=1-P (A 0)-P (A 2)-P (A 3)=1-0.024-0.452-0.336=0.188(2) P (A 0+A 1)=P (A 0)+P (A 1)=0.024+0.188=0.212 (3) P (A +B +C )=P (0A )=1-P (A 0)=0.97635. 甲、乙二人轮流投篮,甲先开始,假定他们的命中率分别为0.4及0.5,问谁先投中的概率较大,为什么?解 设事件A 2n -1B 2n 分别表示“甲在第2n -1次投中”与“乙在第2n 次投中”,显然A 1,B 2,A 3,B 4,…相互独立.设事件A 表示“甲先投中”.⋯+++=)()()()(543213211A B A B A P A B A P A P A P⋯⨯⨯⨯⨯=+++0.40.5)(0.60.40.50.60.42 743.014.0=-=计算得知P (A )>0.5,P (A )<0.5,因此甲先投中的概率较大.36. 某高校新生中,北京考生占30%,京外其他各地考生占70%,已知在北京学生中,以英语为第一外语的占80%,而京外学生以英语为第一外语的占95%,今从全校新生中任选一名学生,求该生以英语为第一外语的概率.解 设事件A 表示“任选一名学生为北京考生”,B 表示“任选一名学生,以英语为第一外语”. 依题意P (A )=0.3,P (A )=0.7,P (B |A)=0.8,P (B |A )=0.95. 由全概率公式有P (B )=P (A )P (B |A )+P (A )P (B |A )=0.3×0.8+0.7×0.95=0.90537. A 地为甲种疾病多发区,该地共有南、北、中三个行政小区,其人口比为9 : 7 : 4,据统计资料,甲种疾病在该地三个小区内的发病率依次为4‰,2‰,5‰,求A 地的甲种疾病的发病率.解 设事件A 1,A 2,A 3分别表示从A 地任选一名居民其为南、北、中行政小区,易见A 1,A 2,A 3两两互不相容,其和为Ω.设事件B 表示“任选一名居民其患有甲种疾病”,依题意:P (A 1)=0.45,P (A 2)=0.35,P (A 3)=0.2,P (B |A 1)=0.004,P (B |A 2)=0.002,P (B |A 3)=0.005=∑=31)|()(i i i A B P A P= 0.45 × 0.004 + 0.35 × 0.002 + 0.2 × 0.005=0.003538. 一个机床有三分之一的时间加工零件A ,其余时间加工零件B ,加工零件A 时,停机的概率为0.3,加工零件B 时停机的概率为0.4,求这个机床停机的概率.解 设事件A 表示“机床加工零件A ”,则A 表示“机床加工零件B ”,设事件B 表示“机床停工”.)|()()|()()(A B P A P A B P A P B P +=37.0324.0313.0=⨯+⨯= 39. 有编号为Ⅰ、Ⅱ、Ⅲ的3个口袋,其中Ⅰ号袋内装有两个1号球,1个2号球与1个3号球,Ⅱ号袋内装有两个1号球和1个3号球,Ⅲ号袋内装有3个1号球与两个2号球,现在先从Ⅰ号袋内随机地抽取一个球,放入与球上号数相同的口袋中,第二次从该口袋中任取一个球,计算第二次取到几号球的概率最大,为什么?解 设事件A i 表示“第一次取到i 号球”,B i 表示第二次取到i 号球,i =1,2,3.依题意,A 1,A 2,A 3构成一个完全事件组.41)()(,21)(321===A P A P A P41)|()|(,21)|(131211===A B P A B P A B P41)|()|(,21)|(232221===A B P A B P A B P61)|(,31)|(,21)|(333231===A B P A B P A B P应用全概率公式∑==31)|()()(i i j i j A B P A P B P 可以依次计算出4811)(,4813)(,21)(321===B P B P B P . 因此第二次取到1号球的概率最大. 40. 接37题,用一种检验方法,其效果是:对甲种疾病的漏查率为5%(即一个甲种疾病患者,经此检验法未查出的概率为5%);对无甲种疾病的人用此检验法误诊为甲种疾病患者的概率为1%,在一次健康普查中,某人经此检验法查为患有甲种疾病,计算该人确实患有此病的概率.解 设事件A 表示“受检人患有甲种疾病”,B 表示“受检人被查有甲种疾病”,由37题计算可5知P (A )=0.0035,应用贝叶斯公式)|()()|()()|()()|(A B P A P A B P A P A B P A P B A P +=01.09965.095.00035.095.00035.0⨯⨯⨯=+25.0= 41. 甲、乙、丙三个机床加工一批同一种零件,其各机床加工的零件数量之比为5 : 3 : 2,各机床所加工的零件合格率,依次为94%,90%,95%,现在从加工好的整批零件中检查出一个废品,判断它不是甲机床加工的概率.解 设事件A 1,A 2,A 3分别表示“受检零件为甲机床加工”,“乙机床加工”,“丙机床加工”,B 表示“废品”,应用贝叶斯公式有∑==31111)|()()|()()|(i i i A B P A P A B P A P B A P7305020+1030+06.05.006.05.0=⨯⨯⨯⨯=....74)|(1)|(11=-=B A P B A P42. 某人外出可以乘坐飞机、火车、轮船、汽车4种交通工具,其概率分别为5%,15%,30%,50%,乘坐这几种交通工具能如期到达的概率依次为100%,70%,60%与90%,已知该旅行者误期到达,求他是乘坐火车的概率.解 设事件A 1,A 2,A 3,A 4分别表示外出人“乘坐飞机”,“乘坐火车”,“乘坐轮船”,“乘坐汽车”,B 表示“外出人如期到达”.∑==41222)|()()|()()|(i i i A B P A P A B P A P B A P1.05.04.03.03.015.0005.03.015.0⨯+⨯+⨯+⨯⨯==0.20943. 接39题,若第二次取到的是1号球,计算它恰好取自Ⅰ号袋的概率.解 39题计算知P (B 1)=21,应用贝叶斯公式21212121)()|()()|(111111=⨯==B P A B P A P B A P44. 一箱产品100件,其次品个数从0到2是等可能的,开箱检验时,从中随机地抽取10件,如果发现有次品,则认为该箱产品不合要求而拒收,若已知该箱产品已通过验收,求其中确实没有次品的概率.解 设事件A i 表示一箱中有i 件次品,i =0, 1, 2. B 表示“抽取的10件中无次品”,先计算P ( B )∑++⨯===20101001098101001099)1(31)|()()(i i i C C C C A B P A P B P37.0)(31)|(0==B P B A P45. 设一条昆虫生产n 个卵的概率为λλ-=e !n p nn n =0, 1, 2, …其中λ>0,又设一个虫卵能孵化为昆虫的概率等于p (0<p <1). 如果卵的孵化是相互独立的,问此虫的下一代有k 条虫的概率是多少?解 设事件A n =“一个虫产下几个卵”,n =0,1,2….B R =“该虫下一代有k 条虫”,k =0,1,….依题意λλ-==e !)(n p A P nn n⎩⎨⎧≤≤=-nk qp C n k A B P kn k k n n k 00)|(>其中q =1-p . 应用全概率公式有∑∑∞=∞===kn n k n n n k n k A B P A P A B P A P B P )|()()|()()(0∑∞=-λ--λ=l n k n k n q p k n k n n !)(!!e !∑∞=-λ--λλk n k n kk n q k p !)()(e !)(6由于q k n kn k n k n k n q k n q λ∞=--∞=-∑∑=-λ=-λe !)()(!)()(0,所以有 ,2,1,0e)(e e !)()(===--k kp k p B P pp q k k λλλλλ7习 题 二1. 已知随机变量X 服从0-1分布,并且P {X ≤0}=0.2,求X 的概率分布.解 X 只取0与1两个值,P {X =0}=P {X ≤0}-P {X <0}=0.2,P {X =1}=1-P {X =0}=0.8. 2. 一箱产品20件,其中有5件优质品,不放回地抽取,每次一件,共抽取两次,求取到的优质品件数X 的概率分布.解 X 可以取0, 1, 2三个值. 由古典概型公式可知{})2,1,0(2202155===-m C C C m X P mm 依次计算得X 的概率分布如下表所示:3. 上题中若采用重复抽取,其他条件不变,设抽取的两件产品中,优质品为X 件,求随机变量X 的概率分布.解 X 的取值仍是0, 1, 2.每次抽取一件取到优质品的概率是1/4,取到非优质品的概率是3/4,且各次抽取结果互不影响,应用伯努利公式有{}1694302=⎪⎭⎫⎝⎛==X P{}1664341112=⎪⎭⎫ ⎝⎛⎪⎭⎫ ⎝⎛==C X P {}1614122=⎪⎭⎫⎝⎛==X P4. 第2题中若改为重复抽取,每次一件,直到取得优质品为止,求抽取次数X 的概率分布. 解 X 可以取1, 2, …可列个值. 且事件{X = n }表示抽取n 次,前n -1次均未取到优质品且第n 次取到优质品,其概率为41431⋅⎪⎭⎫⎝⎛-n . 因此X 的概率分布为 {}⋯=⎪⎭⎫⎝⎛==-,2,143411n n X P n5. 盒内有12个乒乓球,其中9个是新球,3个为旧球,采取不放回抽取,每次一个直到取得新球为止,求下列随机变量的概率分布. (1)抽取次数X ; (2)取到的旧球个数Y .解 (1)X 可以取1, 2, 3, 4各值.{}{}4491191232431=⨯====X P X P {}22091091121233=⨯⨯==X P {}2201991011121234=⨯⨯⨯==X P (2) Y 可以取0, 1, 2, 3各值 .{}{}4310====X P Y P {}{}44921====X P Y P {}{}220932====X P Y P {}{}220143====X P Y P 6. 上题盒中球的组成不变,若一次取出3个,求取到的新球数目X 的概率分布. 解 X 可以取0, 1, 2, 3各值.{}2201031233===C C X P{}2202713122319===C C C X P{}22010823121329===C C C X P{}22084331239===C C X P7. 已知P {X =n }=p n,n =1, 2, 3, …, 求p 的值.8解 根据{}∑=∞=11n n X P =, 有 ∑∞=-==111n n pp P 解上面关于p 的方程,得p =0.5.8. 已知P {X =n }=p n, n =2, 4, 6, …,求p 的值.解 1122642=-=⋯+++p p p p p解方程,得p =2±/29. 已知P {X =n }=cn , n =1, 2, …, 100, 求c 的值. 解 ∑=+⋯++==10015050)10021(1n c c cn =解得 c =1/5050 .10. 如果p n =cn _2,n =1, 2, …, 问它是否能成为一个离散型概率分布,为什么?解 ,1121∑=∑∞=∞=n n n n c p 由于级数∑∞=121n n 收敛, 若记∑∞=121n n =a ,只要取ac 1=, 则有∑∞=1n n p =1,且p n >0. 所以它可以是一个离散型概率分布.11. 随机变X 只取1, 2, 3共三个值,其取各个值的概率均大于零且不相等并又组成等差数列,求X 的概率分布.解 设P {X =2}=a ,P {X =1}=a -d , P {X =3}=a +d . 由概率函数的和为1,可知a =31, 但是a -d 与a +d 均需大于零,因此|d |<31, X 的概率分布为其中d 应满足条件:0<|d |<312. 已知{}λ-==e !m c λm X P m ,m =1, 2, …, 且λ>0, 求常数c . 解{}∑∑∞=-∞====11e!1m m m m c m X p λλ由于∑∑∞=∞==+=10e !1!m mm mm m λλλ, 所以有∑∞=---=-=-=11)e 1(e )1e (e !m m c c m c λλλλλ 解得 λ--=e 11c13. 甲、乙二人轮流投篮,甲先开始,直到有一人投中为止,假定甲、乙二人投篮的命中率分别为0.4及0.5,求: (1)二人投篮总次数Z 的概率分布; (2)甲投篮次数X 的概率分布; (3)乙投篮次数Y 的概率分布.解 设事件A i 表示在第i 次投篮中甲投中,j 表示在第j 次投篮中乙投中,i =1, 3, 5, …, j =2, 4, 6,…,且A 1, B 2, A 3, B 4,…相互独立.(1){}{}1222321112---=-=k k k A B A B A p k Z P = (0.6×0.5)1-k ·0.4= 0.4(0.3)1-k k=1, 2, …{})(2212223211k k k k B A B A B A p k Z P ---===0.5×0.6×(0.6×0.5)1-k =0.3kk=1, 2, …(2) {}{}12223211---==n n n A B A B A p n X P{}n n n n B A B AB A p 212223211---+)5.06.04.0()5.06.0(1⨯+⨯=-n,2,13.07.01=⨯=-n n (3) {}4.0)(01===A P Y P{}{}{}122121121211+--+==n n n n n A B A B A P B A B A P n Y P)4.05.05.0(6.0)5.06.0(1⨯+⨯⨯⨯=-n,2,13.042.01=⨯=-n n 14. 一条公共汽车路线的两个站之间,有四个路口处设有信号灯,假定汽车经过每个路口时遇到绿灯可顺利通过,其概率为0.6,遇到红灯或黄灯则停止前进,其概率为0.4,9求汽车开出站后,在第一次停车之前已通过的路口信号灯数目X 的概率分布(不计其他因素停车).解 X 可以取0, 1, 2, 3, 4 .P { X =0 } =0.4 P { X =1 }=0.6×0.4=0.24 P { X =2 } =0.62×0.4=0.144 P { X =3 } =0.63×0.4=0.0864 P { X =4 } =0.64=0.129615. ⎩⎨⎧∈=.,0],[,sin )(其他,b a x x x f问f (x )是否为一个概率密度函数,为什么?如果(1).π23,)3( ;π,0)2( ;2π,0======b a b a b a π解 在[0, 2π]与[0, π]上,sin x ≥0,但是,1d sin π0≠⎰x x,1d sin 2π0=⎰x x 而在⎥⎦⎤⎢⎣⎡π23,π上,sin x ≤0.因此只有(1)中的a , b 可以使f (x )是一个概率密度函数.16. ⎪⎩⎪⎨⎧≤=-.0,00e)(,22x x cx x f cx ,>其中c >0,问f (x )是否为密度函数,为什么?解 易见对任何x ∈(-∞ , +∞) , f ( x ) ≥ 0,又1d e 202=⎰-∞+x cx cxf (x )是一个密度函数 .17.⎩⎨⎧+=.0.2<<,2)(其他,a x a x x f问f ( x )是否为密度函数,若是,确定a 的值;若不是,说明理由. 解 如果f ( x )是密度函数,则f ( x )≥0,因此a ≥0,但是,当a ≥0时,444|d 2222≥+==⎰⨯++a x x a a a a 由于x x f d )(⎰+∞∞-不是1,因此f ( x )不是密度函数. 18. 设随机变量X ~f ( x )⎪⎩⎪⎨⎧∞++=.,0,,)1(π2)(2其他<<x a x x f 确定常数a 的值,如果P { a < x < b } =0.5,求b 的值.解)arctan 2π(2arctan π2d )1(π22a x x x a a-π==+⎰⎰+∞+∞ 解方程 π2⎪⎭⎫ ⎝⎛a arctan - 2π=1 得 a = 0{}b x x x f b x P b barctan π2|arctan π2d )(000==⎰=<< 解关于b 的方程:π2arctan b =0.5 得 b =1.19. 某种电子元件的寿命X 是随机变量,概率密度为⎪⎩⎪⎨⎧≥=.100,0,100100)(2<x x x x f3个这种元件串联在一个线路中,计算这3个元件使用了150小时后仍能使线路正常工作的概率.解 串联线路正常工作的充分必要条件是3个元件都能正常工作. 而三个元件的寿命是三个相互独立同分布的随机变量,因此若用事件A 表示“线路正常工作”,则3])150([)(>X P A P ={}32d 1001502150=⎰∞+x x X P => 278)(=A P 20. 设随机变量X ~f ( x ),f ( x )=A e-|x|,确定系数A ;计算P { |X | ≤1 }. 解 A x A x A x x 2d e 2d e10||=⎰=⎰=∞+-∞+∞--解得 A =21 {}⎰⎰---==≤10||11d e d e 211||x x X P x x632.0e 11≈-=-21. 设随机变量Y 服从[0, 5]上的均匀分布,求关于x 的二次方程4x 2+4xY +Y +2=0有实数根的概率.解 4x 2+4xY +Y +2=0. 有实根的充分必要条件是△=b 2-4ac =16Y 2-16(Y +2)=16Y 2-16Y -32≥0 设事件P (A )为所求概率.则{}{}{}120321616)(2-≤+≥=≥--=Y P Y P Y Y P A P=0.622. 设随机变量X ~ f ( x ),⎪⎩⎪⎨⎧-=.,01||,1)(2其他,<x xcx f确定常数c ,计算.21||⎭⎬⎫⎩⎨⎧≤X P 解 π|arcsin d 1111211c x c x x c ==-⎰=--c =π131arcsin 2d 1121||0212121 2=π=-π=⎭⎬⎫⎩⎨⎧≤⎰-xx x X P 23. 设随机变量X 的分布函数F ( x )为⎪⎩⎪⎨⎧≥=.1,1,10,0,0)(x x x A x x F <<,< 确定系数A ,计算{}25.00≤≤X P ,求概率密度f ( x ). 解连续型随机变量X 的分布函数是连续函数,F (1)=F (1-0),有A =1.⎪⎩⎪⎨⎧=.,0,10,21)(其他<<x xx f {}5.0)0()25.0(25.00=-=≤≤F F X P24. 求第20题中X 的分布函数F ( x ) . 解 {}t x X P x F t xd e 21)(||-∞-⎰=≤= 当t ≤ 0时,x t xt x F e 21d e 21)(=⎰=∞- 当t >0时,t t t x F t x t t x d e 21d e 21d e 21)(-00||⎰+⎰=⎰=-∞--∞-x x ---=-+=e 211)e 1(212125. 函数(1+x 2)-1可否为连续型随机变量的分布函数,为什么? 解 不能是分布函数,因F (-∞)= 1 ≠ 0. 26. 随机变量X ~f ( x ),并且)1(π)(2x ax f +=,确定a 的值;求分布函数F ( x );计算{}1||<X P . 解 a x a x x a ==⎰+=∞+∞-∞+∞-arctan πd )1(π12因此a =1x xt t t x F ∞-∞-=⎰+=arctan π1d )1(π1)(2x arctan π121+= {}⎰+=⎰+=-12112d )1(π12d )1(π11||x x x x X P <21arctan π210==x27. 随机变量X 的分布函数F ( x ) 为:⎪⎩⎪⎨⎧≤-=.2,02,1)(2x x xA x F ,>确定常数A 的值,计算{}40≤≤X P . 解 由F ( 2+0 )=F ( 2 ),可得4,041==-A A{}{})0()4(4X 040F F P X P -=≤=≤≤<=0.7528. 随机变量X ~f ( x ),f ( x )=,ee xx A-+确定A 的值;求分布函数F ( x ) .解 ⎰+=⎰+=∞∞-∞∞--x A x A xx x x d e 1e d e e 12A A x 2πe arctan ==∞∞-因此 A =π2,x txt t t x F ∞-∞--=+=⎰e arctan π2d )e e (π2)(x e arctan π2=29. 随机变量X ~f ( x ),⎪⎩⎪⎨⎧=.,00,π2)(2其他<<a x xx f确定a 的值并求分布函数F ( x ) .解 220222ππd π21a x x x a a ==⎰= 因此,a = π 当0<x <π时,⎰=x x t t x F 0222πd π2)(⎪⎪⎩⎪⎪⎨⎧≥≤=π1,π0,π0,0)(22x x xx x F << 30. 随机变量X 的分布函数为)0(0,e 22210,0)(22>>a x ax x a x x F ax⎪⎩⎪⎨⎧++-≤=-求X 的概率密度并计算⎭⎬⎫⎩⎨⎧a X P 10<<. 解 当x ≤ 0时,X 的概率密度f ( x ) =0;当x > 0时,f ( x ) =F′ ( x )⎪⎩⎪⎨⎧≤=-.0,e 2,0,0)(23> x x a x x f ax)0()1(1010F a F a x P a x P -=⎭⎬⎫⎩⎨⎧≤=⎭⎬⎫⎩⎨⎧<<<08.0e 2511≈-=- 31. 随机变量X 服从参数为0.7的0-1分布,求X 2,X 2-2X 的概率分布.解 X 2仍服从0-1分布,且P { X 2=0 } =P { X =0 } =0.3,P {X 2=1}=P {X=1}=0.7X 2-2X 的取值为-1与0 , P {X 2-2X =0}其他=P { X =0 } =0.3P { X 2-2X =-1 } =1-P { X =0 } =0.732. 已知P { X =10n} =P { X =10-n}=,,2,1,31=n n Y =l gX ,求Y 的概率分布.解 Y 的取值为±1, ±2 , …P { Y =n } =P { l gX =n } =P { X =10n } =31P { Y =-n } =P { l gX =-n } =P { x =10-n } =31 n =1 ,2 , …33. X 服从[a , b ]上的均匀分布,Y =ax +b (a ≠0),求证Y 也服从均匀分布.证 设Y 的概率密度为f Y ( y ) ,X 的概率密度为f X ( x ),只要a ≠ 0,y = ax + b 都是x 的单调函数. 当a > 0时,Y 的取值为[a 2+b , ab +b ],ax y h b y a y h x y1)(,)(1)(='='-== ],,[,)(1])([)()(2b ab b a y a b a y h f y h y f X Y ++∈-='=当],[2b ab b a y ++∈时,f Y ( y ) =0.类似地,若a <0,则Y 的取值为[ ab +b , a 2+b ]⎪⎩⎪⎨⎧+≤≤+--=.,0,,)(1)(2其他b a y b ab a b a y f Y因此,无论a >0还是a <0,ax +b 均服从均匀分布.34. 随机变量X 服从[0 , 2π]上的均匀分布Y =cos X , 求Y 的概率密度f Y ( y ).解 y =cos x 在[0, 2π]上单调,在(0 , 1)上,h ( y ) = x =arccos yh′ ( y ) = 211y -- , f x ( x ) = π2 , 0 ≤ x ≤ 2π. 因此⎪⎩⎪⎨⎧-=.0,10,1π2)(2其他,<<y yy f Y35. 随机变量X 服从(0 , 1)上的均匀分布,Y =e x, Z =|ln X |,分别求随机变量Y 与Z 的概率密度f Y ( y ) 及f Z ( z ) .解 y = e x在(0 , 1)内单调 , x =ln y 可导,且x′y = y1, f X ( x ) =1 0 < x < 1 , 因此有⎪⎩⎪⎨⎧.,0,e 1,1)(其他 <<y yy f Y在(0 , 1)内ln x < 0|ln x |=-ln x 单调,且x = e z -,x′z =-e z -,因此有⎩⎨⎧∞+=-.,0,0e )(其他<<,z z f z z36. 随机变量X ~f ( x ) ,⎩⎨⎧≤=-0,00,e )(x x xf x > Y =X , Z = X 2 , 分别计算随机变量Y 与Z 的概率密度f y ( y ) 与f Z ( z ) .解 当x > 0时,y =x 单调,其反函数为x = y 2 , x′y = 2y⎪⎩⎪⎨⎧≤=-.0,0,0,e 2)(2y y y y f y Y >当x > 0时z =x 2也是单调函数,其反函数为x =z , x′ z =z21⎪⎩⎪⎨⎧≤=-.0,00e 21)(z ,z zz f zz >37.随机变量X ~f ( x ),当x ≥ 0时,)1(2)(2x x f +=π, Y =arctan X ,Z =X1,分别计算随机变量Y 与Z 的概率密度f Y ( y ) 与fz ( z ) . 解 由于y = arctan x 是单调函数,其反函数x =tan y , x′ y =sec 2y 在⎪⎭⎫ ⎝⎛-2π,0内恒不为零,因此,当0 < y <π2时,π2)tan 1(π2sec )(22=+=y y y f Y 即Y 服从区间(0 , 2π)上的均匀分布.z = x 1在x >0时也是x 的单调函数,其反函数x =z 1, x′ z =21z-.因此当z >0时,)1(π2])1(1[π21)(222z zz z fz +=+-=⎪⎩⎪⎨⎧≤+=0,00,)1(π2)(2z z z z f z > 即Z =X1与X 同分布. 38. 一个质点在半径为R ,圆心在原点的圆的上半圆周上随机游动. 求该质点横坐标X 的密度函数f X ( x ) .解 如图,设质点在圆周位置为M ,弧MA 的长记为L ,显然L 是一个连续型随机变量,L 服从[0,πR ]上的均匀分布.⎪⎩⎪⎨⎧≤≤=.,0π0,π1)(其他,R l Rl f LM 点的横坐标X 也是一个随机变量,它是弧长L 的函数,且X = R cos θ = R cosRL函数x = R cos l / R 是l 的单调函数 ( 0< l < πR ) ,其反函数为l = R arccosRx 22xR R l x--='当-R < x < R 时,L′x ≠ 0,此时有2222π1π1)(x R R x R R x f X -=⋅--=当x ≤ -R 或x ≥ R 时,f X ( x ) =0 .39. 计算第2 , 3 , 5 , 6 , 11各题中的随机变量的期望. 解 根据第2题中所求出的X 概率分布,有2138223815138210=⨯+⨯+⨯=EX 亦可从X 服从超几何分布,直接计算2120521=⨯==N N nEX 在第3题中21161216611690=⨯+⨯+⨯=EX亦可从X 服从二项分布(2,41),直接用期望公式计算:21412=⨯==np EX在第5题中(1) 3.122014220934492431=⨯+⨯+⨯+⨯=EX (2) 3.022013220924491430=⨯+⨯+⨯+⨯=EY在第6题中,25.2220843220108222027122010=⨯+⨯+⨯+⨯=EX在第11题中,⎪⎭⎫⎝⎛+⨯+⨯+⎪⎭⎫ ⎝⎛-⨯=d 313312d 311EX图2-131|<d <|0 d 22+=40. P { X = n } =nc, n =1, 2, 3, 4, 5, 确定C 的值并计算EX .解 160137543251==++++=∑=c c c c c c n c n13760=C 137300551==∑⋅==C n c n EX n 41. 随机变量X 只取-1, 0, 1三个值,且相应概率的比为1 : 2 : 3,计算EX .解 设P { X =-1 } = a ,则P { X =0 } =2a , P { X =1 } =3a ( a >0 ) ,因a + 2a + 3a = 1 , 故a =1/631631620611=⨯+⨯+⨯-=EX 42. 随机变量X 服从参数为0.8的0-1分布,通过计算说明EX 2是否等于( EX )2? 解 EX =P { X =1 } =0.8,( EX )2=0.64EX 2=1×0.8=0.8>( EX )243. 随机变量X ~f ( x ) ,f ( x ) =0.5e - | x |,计算EX n,n 为正整数. 解 当n 为奇数时,)(x f x n是奇函数,且积分x x xn d e 0-∞⎰收敛,因此0d e5.0||=⎰=-∞+∞-x x EX x n n当n 为偶数时,x x x x EX x n x n n d e 5.02d e 5.00||-∞+-∞+∞-⎰=⎰=!)1(d e 0n n x x x n =+Γ=⎰=-∞+44. 随机变量X ~f ( x ) ,⎪⎩⎪⎨⎧-≤≤=.,0,21,2,10,)(其他<<x x x x x f 计算EX n(n 为正整数) . 解 x x x x x x x f x EXn n n nd )2(d d )(21101⎰-+⎰=⎰=+∞+∞-1)2(21)12(122121-+--+++=++n n n n n )2()1(222++-=+n n n45. 随机变量X ~f ( x ) ,⎩⎨⎧≤≤=.,0,10,)(x cx x f bb ,c 均大于0,问EX 可否等于1,为什么?解 11d d )(10=+=⎰=⎰∞+∞-b cx cx x x f b 而2d 101+=⎰=+b cx cx EX b 由于方程组⎪⎪⎩⎪⎪⎨⎧=+=+1211b c b c无解,因此EX 不能等于1. 46. 计算第6,40各题中X 的方差DX . 解 在第6题中,从第39题计算知EX =49, 22012152208492201084220272=⨯+⨯+=EX DX =EX 2-( EX )2≈0.46在第40题中,已计算出EX =137300, c cn n c n EX n n 15515122=∑=⨯∑=== =137900DX =EX 2-(EX )2≈1.7747. 计算第23,29各题中随机变量的期望和方差.其他其他解 在第23题中,由于f ( x ) =x21(0<x <1),因此31d 21=⎰=x xxEX51d 22102=⎰=x xx EXDX = EX 2- ( EX )2 =454 在第29题中,由于f ( x ) =2π2x( 0<x <π ) , 因此π32d π2π022=⎰=x xEX2πd π22π0232=⎰=x x EX DX =EX 2- ( EX )2=18π248. 计算第34题中随机变量Y 的期望和方差. 解 EY =π2d 1π2d )(12=⎰-=⎰∞+∞-y y y y y yf Y EY 2=21d 1π21022=⎰-y y y DY =222π28ππ421-=-49. 已知随机变量X 的分布函数F ( x ) 为:F ( x ) =⎪⎪⎪⎩⎪⎪⎪⎨⎧≥≤+≤-++-.1,11022101,2211,022x x ,x x x x x x ,<-,<,<计算EX 与DX .解 依题意,X 的密度函数f ( x ) 为:⎪⎩⎪⎨⎧≤-≤-+=.010,101,1)(其他,<,<,x x x x x f解 EX =0d )1(d )1(0101=-⎰++⎰--x x x x x xEX 2=61d )1(d )1(102012=-⎰++⎰-x x x x x x DX =61 50. 已知随机变量X 的期望E X =μ,方差DX =σ2,随机变量Y = σμ-X , 求EY 和DY .解 EY =σ1( EX -μ ) =0 DY =2σDX=151. 随机变量Y n ~B ( n , 41) ,分别就n =1, 2, 4, 8, 列出Y n 的概率分布表,并画出概率函数图 .其中a = 1/65536 . 图略 .52. 设每次试验的成功率为0.8,重复试验4次,失败次数记为X ,求X的概率分布 . 解 X 可以取值0, 1, 2, 3, 4 .相应概率为P ( X =m ) =m m mC 2.08.0444⨯⨯-- ( m=0, 1, 2, 3, 4 ) 计算结果列于下表53. 设每次投篮的命中率为0.7,求投篮10次恰有3次命中的概率 ;至少命中3次的概率 .解 记X 为10次投篮中命中的次数,则 X ~B ( 10 , 0.7 ) .{}009.03.07.0373310≈==C X P{}{}{}{}21013=-=-=-=≥X P X P X P X P=1-0.310-10×0.7×0.39-45×0.72×0.38≈0.998454.掷四颗骰子,求“6点”出现的平均次数及“6点”出现的最可能(即概率最大)次数及相应概率.解 掷四颗骰子,记“6点”出现次数为X ,则X ~B (4,61).EX = np =32由于np + p = 65,其X 的最可能值为[ np + p ]=0{}1296625)65(04===X P 若计算{}12965001==X P ,显然{}{},3,2==x P x P{}4=x P 概率更小.55.已知随机变量X ~B (n , p ),并且EX =3,DX =2,写出X 的全部可能取值,并计算{}8≤X P .解 根据二项分布的期望与方差公式,有⎩⎨⎧==23npq np 解方程,得q =32,p =31,n =9 .X 的全部可能取值为0, 1, 2, 3, …, 9 .{}{}918=-=≤X P X P= 1-9)31(≈ 0.999956.随机变量X ~B (n ,p ),EX =0.8,EX 2=1.28,问X 取什么值的概率最大,其概率值为何? 解 由于DX = EX 2-(EX)2=0.64, EX =0.8, 即⎩⎨⎧==8.064.0np npq 解得 q = 0.8,p = 0.2,n = 4 .由于np +p =1,因此X 取0与取1的概率最大,其概率值为{}{}4096.08.0104=====X P X P57.随机变量X ~B (n , p ),Y =e aX,计算随机变量Y 的期望EY 和方差DY .解 随机变量Y 是X 的函数,由于X 是离散型随机变量,因此Y 也是离散型随机变量,根据随机变量函数的期望公式,有 }{ }{∑+==∑==∑+==∑∑====-==-==-ni n a i n i a in ni ai ni na i n i a i n ni ni in i i n ai ai q p q p C i X P EY q p q p C qp C i X P EY 022022000)e ()e ()e ()e ()e (e en ap n ap q q DY 22)e ()e (+-+=58. 从一副扑克牌(52张)中每次抽取一张,连续抽取四次,随机变量X ,Y 分别表示采用不放回抽样及有放回抽样取到的黑花色张数,分别求X ,Y 的概率分布以及期望和方差. 解 X 服从超几何分布,Y 服从二项分布B (4,21).)4,3,2,1,0(45242626===-m C C C m X P m m }{)4,3,2,1,0()21()21(44===-m C m Y P mm m }{具体计算结果列于下面两个表中.X 0 1 2 3 4 P46/833 208/833 325/833208/833 46/833Y 0 1 2 3 4 P1/164/166/164/161/161 2214171651485226522641252264211===⨯===⨯⨯⨯=--⋅⋅==⨯==npq DY np EY N n N N N N N n DX N N n EX 59. 随机变量X 服从参数为2的泊松分布,查表写出概率4,3,2,1,0,==m m X P }{并与上题中的概率分布进行比较.X0 1 2 3 4 P0.13530.27070.27070.18040.090260.从废品率是0.001的件产品中,一次随机抽取500件,求废品率不超过0.01的概率. 解 设500件中废品件数为X ,它是一个随机变量且X 服从N=,1N =100,n =500的超几何分布.由于n 相对于N 较小,因此它可以用二项分布B (500,0.001)近似.又因在二项分布B (500,0.001)中,n =500比较大,而p =0.001非常小,因此该二项分布又可用泊松分布近似,其分布参数λ=np =0.5.}∑=≈≤=≤⎩⎨⎧=-505.0999986.0e !5.05X 001.0500m m m P XP }{ 61.某种产品每件表面上的疵点数服从泊松分布,平均每件上有0.8个疵点,若规定疵点数不超过1个为一等品,价值10元;疵点数大于1不多于4为二等品,价值8元;4个以上者为废品,求: (1)产品的废品率; (2)产品价值的平均值解 设X 为一件产品表面上的疵点数目,(1)}{}>{314≤-=X P X P ∑==-==30014.01m m X P }{(2)设一件产品的产值为Y 元,它可以取值为0,8,10.)(61.98088.0101898.08 110418 10108800元}{}<{}{}{}{≈⨯+⨯=≤+≤==⨯+=⨯+=⨯=X P X P Y P Y P Y P EY62.设书籍中每页的印刷错误服从泊松分布,经统计发现在某本书上,有一个印刷错误的页数与有2个印刷错误的页数相同,求任意检验4页,每页上都没有印刷错误的概率.解 设一页书上印刷错误为X ,4页中没有印刷错误的页数为Y ,依题意,}{}{21===X P X P 即 λλλλ--=e !2e2解得λ=2,即X 服从λ=2的泊松分布.2e 0-===}{X P p显然Y ~B )e ,4(2-84e 4-===p Y P }{63.每个粮仓内老鼠数目服从泊松分布,若已知一个粮仓内,有一只老鼠的概率为有两只老鼠概率的两倍,求粮仓内无鼠的概率. 解 设X 为粮仓内老鼠数目,依题意λλλλ--⨯====e !22e2212}{}{X P X P解得λ=1.1e 0-==}{X P。