高等数学课后习题与解答
- 格式:doc
- 大小:864.59 KB
- 文档页数:40
高等数学(本)第一章 函数与极限1. 设 ⎪⎩⎪⎨⎧≥<=3||,03|||,sin |)(ππϕx x x x , 求).2(446ϕπϕπϕπϕ、、、⎪⎭⎫ ⎝⎛-⎪⎭⎫ ⎝⎛⎪⎭⎫ ⎝⎛6sin )6(ππϕ=21=224sin )4(==ππϕ ()0222)4sin()4(==-=-ϕππϕ2. 设()x f 的定义域为[]1,0,问:⑴()2x f ; ⑵()x f sin ; ⑶()()0>+a a x f ; ⑷()()a x f a x f -++ ()0>a 的定义域是什么?(1)][;,-的定义域为所以知-11)(,111022x f x x ≤≤≤≤[]ππππ)12(,2)(sin ),()12(21sin 0)2(+∈+≤≤≤≤k k x f Z k k x k x 的定义域为所以知由][a a a x f ax a a x -+-≤≤≤+≤1,)(110)3(-的定义域为所以知-由][φ时,定义域为当时,定义域为当从而得-知由211,210111010)4(>-≤<⎩⎨⎧+≤≤-≤≤⎩⎨⎧≤-≤≤+≤a a a a a x a ax a a x a x班级 姓名 学号3. 设()⎪⎩⎪⎨⎧>-=<=111011x x x x f ,()x e x g =,求()[]x g f 和()[]x f g ,并做出这两个函数的图形。
⎪⎪⎩⎪⎪⎨⎧>=<==⎪⎩⎪⎨⎧>-=<=⎪⎩⎪⎨⎧>-=<=-1,1,11,)]([.)20,10,00,1)]([1)(,11)(,01)(,1)]([.)11)(x e x x e e x f g x x x x g f x g x g x g x g f x f 从而得4. 设数列{}n x 有界, 又,0lim =∞→n n y 证明: .0lim =∞→n n n y x{}结论成立。
大学高等数学课后习题答案总习题六23???1(求由曲线与纵轴所围图形面积。
y,(4,x)233/2思路:曲线关于x轴对称,又曲线的一条分支是关于的减函yxx,,,(4),(4)yx,,(4)x数,见图6-1可知用y型或用对称性求图形面积较为简单。
y8x04,8图6-12/3解:曲线表达为,它和y轴的交点:() x,4,y0,,888831282/32/35/3? (4)2(4)2(32S,,ydy,,ydy,,y,,,,80550???2(求介于直线之间、由曲线和所围成的平面图形的面积。
x,0,x,2,y,sinxy,cosx 2,解: S,sinx,cosxdx,0,/45,/42, ,(cosx,sinx)dx,(sinx,cosx)dx,(cosx,sinx)dx,42,,,0/45/4,, 22???3(直线将椭圆分成两块,设小块面积为A,大块面积为B,求的y,xx,3y,6yA/B值。
22思路:由于和的交点为及,,因此面积较小的一y,x(0,0)(3/2 , 3/2)x,3y,6y3/2,1部分用y型做较简单,见图6-3yy,x B3/2 A1x3/23/2图6-3,,0y3/2,解:较小部分区域表达为:: D,A2y,x,6y,3y,xt,3cosyt,,sin1,3/2/693322则, Ayyydytdt,,,,,,,,(63)3cos,,0/2,,83433233433,,,? ,,,,,,,,AB/,B33434833,,112222???4(求椭圆和公共部分的面积。
x,y,1x,y,133122思路:由图形的对称性可得所求面积是和及所围在第一象限内区域面积Dy,xx,0yx,,113的8倍,见图6-4y122 y,x,13y,xD1x图6-4,03/2,,y,2解: : D,1yyx,,,1,3,,2yt,3sin3/2y226? ,,,,,,,,SSydytdt88(1)83cos33D,,1003333???5(求由曲线所围图形面积。
高等数学课后习题及解答1. 设u=a-b+2c,v=-a+3b-c.试用a,b,c 表示2u-3v.解2u-3v=2(a-b+2c)-3(-a+3b-c)=5a-11b+7c.2. 如果平面上一个四边形的对角线互相平分,试用向量证明它是平行四边形.证如图8-1 ,设四边形ABCD中AC 与BD 交于M ,已知AM = MC ,DM故MB .AB AM MB MC DM DC .即AB // DC 且|AB |=| DC | ,因此四边形ABCD是平行四边形.3. 把△ABC的BC边五等分,设分点依次为D1,D2,D3,D4,再把各分点与点 A 连接.试以AB=c, BC=a 表向量证如图8-2 ,根据题意知1 D1A,1D2A, D3A, D A.41D3 D4BD11a,5a, D1D2 a,5 51D2D3a,5故D1 A=- (AB BD1)=- a- c5D 2 A =- ( ABD A =- ( AB BD 2BD )=-)=-2a- c5 3a- c3=- ( AB 3BD 4)=- 5 4a- c. 54. 已知两点 M 1(0,1,2)和 M 2(1,-1,0) .试用坐标表示式表示向量 M 1M 2 及-2 M 1M 2 .解M 1M 2 =(1-0, -1-1, 0-2)=( 1, -2, -2) .-2 M 1M 2 =-2( 1,-2,-2) =(-2, 4,4).5. 求平行于向量 a =(6, 7, -6)的单位向量 .a解 向量 a 的单位向量 为,故平行向量 a 的单位向量为aa 1=( 6,7, -6)=6 ,7 , 6,a1111 11 11其 中 a 6272( 6)211.6. 在空间直角坐标系中,指出下列各点在哪个卦限?A (1,-2,3),B ( 2, 3,-4),C (2,-3,-4),D (-2,-3, 1).解 A 点在第四卦限, B 点在第五卦限, C 点在第八卦限, D 点在第三卦限 .7. 在坐标面上和在坐标轴上的点的坐标各有什么特征?指出下列各点的位置:A ( 3, 4, 0),B ( 0, 4,3),C ( 3,0,0),D ( 0,D A4-1,0).解在坐标面上的点的坐标,其特征是表示坐标的三个有序数中至少有一个为零,比如xOy 面上的点的坐标为(x0,y0,0),xOz 面上的点的坐标为(x0,0,z0),y Oz 面上的点的坐标为(0,y0,z0).在坐标轴上的点的坐标,其特征是表示坐标的三个有序数中至少有两个为零,比如x 轴上的点的坐标为(x0,0,0),y 轴上的点的坐标为(0,y0,0),z 轴上的点的坐标为(0,0,z0).A 点在xOy 面上,B 点在yOz 面上,C 点在x 轴上,D 点在y 轴上.8.求点(a,b,c)关于(1)各坐标面;(2)各坐标轴;(3)坐标原点的对称点的坐标.解(1)点(a,b,c)关于xOy 面的对称点(a,b,-c),为关于yOz面的对称点为(-a,b,c),关于zOx面的对称点为(a,-b,c).(2)点(a,b,c)关于x 轴的对称点为(a,-b,-c),关于y 轴的对称点为(-a,b,-c),关于z 轴的对称点为(-a,-b,c).(3)点(a,b,c)关于坐标原点的对称点是(-a,-b,-c). 9.自点P(0 x0,y0,z0)分别作各坐标面和各坐标轴的垂线,写出各垂足的坐标.解设空间直角坐标系如图8-3,根据题意,P0F 为点P0 关于xOz 面的垂线,垂足 F 坐标为(x0,0,z0);P0D 为点P0关于xOy 面的垂线,垂足 D 坐标为( x0,y0,0);P0E 为点P0 关于yOz 面的垂线,垂足E坐标为(0,y0,z o ) .P0A 为点P0 关于x 轴的垂线,垂足 A 坐标为( x o,0,0);P0B 为点P0关于y 轴的垂线,垂足B 坐标为(0, y0 ,0) ;P0C为点P0关于z 轴的垂线,垂足 C 坐标为(0,0, z0 ) .10.过点P(0 x0,y0,z0)分别作平行于z 轴的直线和平行于xOy 面的平面,问在它们上面的点的坐标各有什么特点?解如图8-4,过P0 且平行于z 轴的直线l 上的点的坐标,其特点是,它们的横坐标均相同,纵坐标也均相同.而过点P0 且平行于xOy 面的平面上的点的坐标,其特点是,它们的竖坐标均相同.11. 一边长为a 的正方体放置在xOy 面上,其底面的中心在坐标原点,底面的顶点在x 轴和y 轴上,求它各顶点的坐标.2解如图8-5,已知AB=a,故OA=OB= a ,于是各顶点的坐2标分别为A(2a,0,0) ,B((0,22 2a,0)),C(- a,0,0),D2 2(0,-2a ,0),E(22a ,0,a ),F(0,22a ,a ),G(-22 a,20,a ),H(0,-2a ,a ). 212. 求点M(4,-3,5)到各坐标轴的距离.解点M 到x 轴的距离为d1=( 3) 25234 ,点M 到y 轴的距离为d2= 42 5241 ,点M 到z 轴的距离为d3= 42( 3) 225 5.13.在yOz 面上,求与三点A(3,1,2),B(4,-2,-2),C(0,5,1)等距离的点.解所求点在yOz 面上,不妨设为P(0,y,z),点P 与三点A,B,C等距离,PA32 ( y1)2(z 2)2 ,PB 42( y 2)2(z 2)2 ,PC ( y 5)2( z 1)2 .由 PAPBPC 知,32( y 1)2( z 2)242( y 2) 2( z 2)2( y 5) 2 ( z 1) 2 ,即解上述方程组,得 y=1, z =-2.故所求点坐标为( 0,1, -2).14.试证明以三点 A (4, 1, 9), B (10,-1,6),C ( 2, 4,3)为顶点的三角形是等腰直角三角形 .证 由AB(104)2( 1 1)2(6 9)27,AC(2BC(2 4)2 10)2(4 1) 2 (4 1)2(3 9)27,(3 6)298 7 2知 AB2AC 及 BC2AB AC 2.故△ ABC 为等腰直角三角形.15. 设已知两点为 M 1(4, 2 ,1),M 2(3,0,2),计算向量的模、方向余弦和方向角 .M 1M 2解 向量M 1M 2=(3-4, 0-2 , 2-1) =(-1,- 2 , -1),其模M 1M 2( -1)2( - 2)2124 2 .其方向余弦分9 ( y 1) 2 ( z 2) 2 16 ( y 2) 2 ( z 2)2, 9 ( y 1) 2( z 2) 2( y 5) 2( z 1)2.别为 cos =- 1 , c os =-22 1,cos = .22方向角分别为2 ,3 , .3 4316. 设向量的方向余弦分别满足( 1)cos =0;(2)cos =1;( 3)cos =cos=0,问这些向量与坐标轴或坐标面的关系如何?解 (1)由 cos =0 得知 ,故向量与 x 轴垂直,平行于2yOz 面.(2) 由 cos =1 得知=0,故向量与 y 轴同向,垂直于 xOz 面.(3) 由 cos =cos =0 知,故向量垂直于 x 轴和 y 轴,2即与 z 轴平行,垂直于 xOy 面.17. 设向量 r 的模是 4,它与 u 轴的夹角为,求 r 在 u 轴上的投影 .31解 已知|r |=4 ,则 Prj u r=| r |cos=4?cos 3=4× 2=2.18. 一向量的终点在点 B (2,-1,7),它在 x 轴、y 轴和 z 轴上的投影依次为 4, -4 和 7,求这向量的起点 A 的坐标.解 设 A 点坐标为( x ,y , z ),则AB =( 2-x ,-1-y ,7-z ),由题意知2-x=4,-1-y=-4,7-z=7,故 x=-2,y=3,z=0,因此 A 点坐标为( -2, -3, 0).19. 设 m =3i +4j +8k ,n =2i -4j -7k 和 p =5i +j -4k . 求向量 a =4m +3n -p 在 x 轴上的投影及在y 轴上的分向量.解a=4m+3n-p=4(3i+5j+8k)+3(2i-4j-7k)-(5i+j-4k)=13i+7j+15k,a 在x 轴上的投影为13,在y 轴上的分向量为7j.21. 设a3i j 2k,b i 2 j k ,求(1) a 余弦.b 及a b ;(2)( - 2a )3b 及a 2b ;(3) a ,b 的夹角的解 ( 1) ab (3,- 1,- 2)(1,2,- 1)3ij k1 ( - 1)2 ( - 2)( - 1) 3,a b 31 122 =(5,1,7) . 1(2) (2a) 3b 6(a b) 6 3 18a 2b 2(a b) 2(5,1,7) a b (10,2,14)3(3 cos(a,b)a b3 32( 31)2( 2)21222( 1)214 62 212. 设 a, b ,c 为单位向量,满足a b c 0,求a b b c c a.解 已知 ab c 1, a b c 0,故( ab c )( a b c ) 0 .2 2即 abc2a b 2b c 2c a0.因此a b b c c a1 22 ( a b 22 3 c ) - 23.已知 M 1( 1,-1,2),M 2( 3,3,1)M 3( 3,1,3).求与同时垂直的单位向量 .M 1M 2 , M 2 M 3解M 1M 2 =( 3-1,3-(-1),1-2) =(2,4, -1)M 2 M 3=(3-3,1-3,3-1)=(0,-2,2)由于M 1M 2取为M2M3与M 1M 2, M 2M 3 同时垂直,故所求向量可a (M 1M 2M 2M 3),M 1M 2M 2M 3由M 1M 2iM 2M 3= 2j k4 1 =(6,-4,-4),2 2M1M 2知a M 2 M 3 61(6, 4, 4)( 4)2 ((3,4)22,682).2 172 17 17 17 174.设质量为100kg 的物体从点M1(3,1,8)沿直线移动到点M2(1,4,2),计算重力所作的功(坐标系长度单位为m,重力方向为z 轴负方向).解M 1M 2 =(1-3,4-1,2-8)=(-2,3,-6)F=(0,0,-100×9.8)=(0,0,-980)W=F?M 1M 2 =(0,0,-980)?(-2,3 ,-6 )=588(0 J).5.在杠杆上支点O的一侧与点O的距离为x1 的点P1 处,有一与OP1成角1的力F1 作用着;在O的另一侧与点O的距离为x2 的点P2 处,有一与OP2成角 2 的力F2 作用着(图8-6 ),问 1 ,2 ,x1,x2,F1 , F2符合怎样的条件才能使杠杆保持平衡?解如图8-6 ,已知有固定转轴的物体的平衡条件是力矩的代数和为零,又由对力矩正负符号的规定可得杠杆保持平衡的条件为2F1即F1x1sin 1x1sin 1F2 x2F2 x2sinsin20 ,2.6.求向量a(4,- 3,4)在向量b (2,2,1)上的投影.a b ( 4, 3,4) (2,2,1) 6 解Pr j b ab 2 .22 22 12 37.设a(3,5, 2),b (2,1,4) ,问与有怎样的关系,能使a b与z 轴垂直?解 a b = (3,5 ,-2 )+ (2,1,4 )=(3 2 ,5 , 2 4 ).要 a b与z 轴垂直,即要( a b )(0,0,1 ),即( a b)?(0,0,1 )=0,亦即(3 2 ,5 , 2 4 )?(0,0,1 )=0,故( 2 4 )=0,因此 2 时能使 a b与z 轴垂直. 8.试用向量证明直径所对的圆周角是直角.证如图8-7 ,设AB是圆O的直径,C点在圆周上,要证∠ACB= ,2 只要证明AC BC 0 即可. 由AC BC =( AO OC) ( BO OC)= AOBO AO OC 2OC BO OC2=AO AO OC AO OC 2OC0 .故 ACBC , ∠ACB 为直角.9.已知向量 a 2i 3 j k, b ij 3k 和c i 2 j ,计算:(1) (ab)c (a c)b (2)(a b) (b c)(3)(ab) c解 (1)(a b)c (a c)b 8(1, 2,0) 8(1, 1,3) (0, 8, 24)8i 24k .(2) ab =(2,-3,1 )+(1,-1,3 )=(3,-4,4 ),b c =( 1, -1,3 ) +( 1, -2,0 ) =( 2, -3,3 ),ij k(a b) (b c) 34 4 (0, 1, 1) j k .23 3ab (2, 3,1) (1, 1,3) 8,a c (2, 3,1) (1, 2,0) 8,(3)(a b) c 211312132.10. 已知OA i 3k,OB j 3k ,求△OAB的面积.解由向量积的几何意义知S△OAB=12OA OB ,OA OB ( 3) 2( 3)2 1 19 S △OAB 19 211. 已知a( a x , a y , a z ), b(b x ,b y , b z ), c(c x , c y ,c z ) ,试利用行列式的性质证明:(a b) c (b c) a (c a) b证因为(a b) c a xb xc xa yb yc ya zb z , (bc zc) ab xc xa xb yc ya yb zc za z(c a) b c xa xb xc ya yb yc za z ,b zi j kOA OB 1 0 3 ( 3, 3,1) ,0 1 3而由行列式的性质知aabb2 2 a x a y a z b x b y b z c x c yc zb x b yc xc ya x a yb zc x c z = a x a z b xc yc z a y a z , 故b yb z(a b) c (b c) a (c a) b .12. 试用向量证明不等式:2 2 2 2 123123a 1b 1 a 2b2a 3b 3 ,其中 a 1, a 2 ,a 3 , b 1, b 2 ,b 3 为任意实数 . 并指出等号成立的条件.证 设向量 a ( a 1 , a 2 , a 3 ), b ( b 1, b 2 ,b 3 ). 由ab a b cos(a,b) a b ,从而a 1b 1 a 2b 2 a 3b 3 22a 1a 2a 1 222 a 3b 1b 2a 2 a 32b 3 ,当 a 1, a 2 , a 3与 b 1, b 2 ,b 3 成比例,即b 1b 2时,上述等式成立.b 3ab1. 求过点( 3,0,-1)且与平面 3x 7 y 程.解所求平面与已知平面3x 7 y 5z 125z 12 0 平行的平面方0 平行.因此所求平面的法向量可取为 n=(3,-7,5),设所求平面为3x 7 y 5z D 0.将点( 3,0, -1)代入上式得 D=-4.故所求平面方程为3x 7 y 5z 4 0 .2. 求过点 M 0( 2,9, -6)且与连接坐标原点及点 M 0 的线段 OM 0 垂直的平面方程 .解OM 0(2,9, 6).所求平面与 OM 0 垂直,可取 n= OM 0 ,设所求平面方程为2x 9 y6z D 0.将点 M 0( 2,9, -6)代入上式得 D=-121.故所求平面方程为2x 9 y 6z 121 0.3. 求过( 1,1, -1),(-2, -2, 2)和( 1,-1,2)三点的平面方程 .x 1y 1 z 10 ,得 x 3 y 2z 0 ,即为所求平面方程 .注 设 M ( x ,y,z )为平面上任意一点, M i( x i , y i , z i )(i1,2,3) 为平面上已知点 .由M 1M(M 1M 2 M 1M 3) 0, 即解 由2 1 2 1 2 11 11 12 1x x 1 x 2 x 1 x 3 x 1 y y 1 y 2 y 1 y 3 y 1 z z 1z 2 z 1 0, z 3 z 1它就表示过已知三点 M i ( i =1,2,3)的平面方程 . 4. 指出下列各平面的特殊位置,并画出各平面: (1)x=0; (2) 3y-1=0; (3)2x-3y-6=0; (4) x -3y=0;(5)y+z=1; ( 6)x-2z=0;(7)6x+5y-z=0.解 ( 1)—( 7)的平面分别如图 8— 8(a )—( g ) . (1)x=0 表示 yOz 坐标面.(2)3y-1=0 表示过点( 0, 1,0)且与 y 轴垂直的平面 .3(3)2x-3y-6=0 表示与 z 轴平行的平面 . (4)x-3y=0 表示过 z 轴的平面 .(5)y+z=1表示平行于 x 轴的平面 . (6)x-2z=0 表示过 y 轴的平面 . (7)6x+5y-z=0表示过原点的平面 .5. 求平面2x 2y z 5 0与各坐标面的夹角的余弦.解平面的法向量为n=(2,-2,1),设平面与三个坐标面xOy,yOz,zOx的夹角分别为1, 2 , 3 .则根据平面的方向余弦知cos cos n k (2, 2,1) (0,0,1) 1 ,n k 22( 2)212 1 3cos 2cos n i ( 2,n i2,1)3(1,0,0) 2,1 3cos 3cos n j ( 2,n j2,1)3( 0,1,0) 2.1 36. 一平面过点(1,0,-1)且平行于向量a试求这个平面方程.(2,1,1) 和b (1, 1,0) ,解所求平面平行于向量 a 和b,可取平面的法向量i j kn a b 2 1 1 (1,1, 3) .1 1 01故所求平面为1 ( x 1) 1 ( y 0) 3( z 1) 0,即x y 3z 4 0 .7. 求三平面x 3y交点.z 1,2x y z 0, x 2 y 2z 3的解联立三平面方程x 3y 2x y x 2y z 1,z 0,2z 3.解此方程组得x 1, y 1, z 3.故所求交点为(1,-1,3). 8. 分别按下列条件求平面方程:(1)平行于xOz面且经过点(2,-5,3);(2)通过z 轴和点(-3,1,-2);(3)平行于x 轴且经过两点(4,0,-2)和(5,1,7).解(1 )所求平面平行于xOz 面,故设所求平面方程为By D 0.将点(2,-5,3)代入,得5B D 0,即D 5B.因此所求平面方程为By 5B 0,即y 5 0.(2)所求平面过z 轴,故设所求平面为Ax By 0 .将点(-3,1,-2)代入,得3A B 0,即B 3A.因此所求平面方程为Ax 3Ay 0 ,即x 3y 0.(3)所求平面平行于x 轴,故设所求平面方程为By Cz D 0. 将点(4,0,-2)及(5,1,7)分别代入方程得2C D 0 及C D, B2B 7CD 0.9D .2因此,所求平面方程为9 Dy 2 Dz D 0 ,2即9 y z 2 0.9. 求点(1,2,1)到平面x 2 y 2z 10 0 的距离.解利用点的距离公式M 0 ( x0 , y o , z o ) 到平面Ax By Cz D 0dAx0By0Cz0 DA2 B 2 C 21 2 2 2 1 10 3 1.12 22 22 3x 3 y1. 求过点(4,-1,3)且平行于直线2 1 z 1的直线方程. 5解所求直线与已知直线平行,故所求直线的方向向量s (2,1,5),直线方程即为x 4 y 1 z 3.2 1 52. 求过两点M 1(3, 2,1) 和M 2 ( 1,0,2) 的直线方程.解取所求直线的方向向量s M 1M 2( 1 3,0 ( 2),2 1) ( 4,2,1) ,因此所求直线方程为x 3 y 2 z 1.4 2 13. 用对称式方程及参数方程表示直线x y 2 x y z 1, z 4.解根据题意可知已知直线的方向向量i j ks 1 1 1 ( 2,1,3).2 1 1取x=0,代入直线方程得y z 1,y z 4.3 5解得y3, z25.这2样就得到直线经过的一点(0, ,2 ).因此直线的对称式方程为2参数方程为3 5 x 0 y 2 z 22 1 3x 2t ,y3t ,2z 53t.2注由于所取的直线上的点可以不同,因此所得到的直线对称式方程或参数方程得表达式也可以是不同的.4. 求过点(2,0,-3)且与直线x 2 y 3x 5 y 4z 7 0, 2z 1 0垂直的平面方程.解根据题意,所求平面的法向量可取已知直线的方向向量,即i j n s 1 23 5 k4 ( 16,14,11), 2故所求平面方程为16( x16x 2)14y 14( y 0)11z 6511(z 3)0.0.即5 x 5. 求直线3x 3y 3z 92 y z 10, 2 x 2 y与直线0 3x 8 yz 23 0,z 18 0的夹角的余弦..解 两已知直线的方向向量分别为i s 15 3j k3 3 (3,4, 2 11), s 2 i j k 2 2 1 3 81(10,5,10),因此,两直线的夹角的余弦cos(cos s 1 , s 2 )s 1 s 2 s 1 s 23 1045 1 100.32x 2 y 42( 1) 2 102( z 7, 3x 5)21026 y 3z 8, 6. 证明直线2x y 与直线z 7平2x y z 0行.证 已知直线的方向向量分别是i j s 11 22 1ki 1 (3,1,5), s 2 3 12j k 6 3 ( 119, 3,15),由 s 23s 1知两直线互相平行 .7. 求过点(0,2,4)且与两平面 x 方程.2 z 1和 y 3z 2平行的直线解 所求直线与已知的两个平面平行, 因此所求直线的方向向量可取i j ks n1n2 1 0 2 ( 2,3,1),0 1 3故所求直线方程为x 0 2 y 2 z 4.3 1注本题也可以这样解:由于所求直线与已知的两个平面平行,则可视所求直线是分别与已知平面平行的两平面的交线,不妨设所求直线为x 2z a,y 3z b.将点(0,2,4)代入上式,得 a 8, b10.故所求直线为x 2z 8,y 3z8. 求过点(3,1,-2)且通过直线解利用平面束方程,过直线的平面方程. 的平面束方程为x 4 y 3 5 2 (y 3z) 0, 2将点(3,1,-2)代入上式得11 .因此所求平面方程为20x 4 y 3 5 2 11(y 3z) 0, 20 210.x 4 y 3 z5x 4 y231z5 2 1即9. 求直线8x 9yx y 3z22z 59 0.0,与平面x y z 1 0的夹角. x y z 0i解已知直线的方向向量s 11 j k1 3 ( 2,4,1 12), 平面的法向量n(1, 1, 1).设直线与平面的夹角为, 则sin cos(n, s) s n 2 1 4 ( 1) ( 2) ( 1)0,即0.s n 2242 ( 2)2 12( 1)2 ( 1)2 10. 试确定下列各组中的直线和平面间的关系;x 3 y 4 (1)2 7x y z z和4x 2 y32z 3 ;(2)3和3x 2y2 77z 8;(3)x 23 y 2 z13和x4y z 3.解设直线的方向向量为s,平面的法向量为n ,直线与平面的夹角为, 且sin cos(n, s) s n. s n(1)s ( 2, 7,3), n(4, 2, 2),sin(( 2) 22) 4 ( 7)( 7)2 32( 2)423 ( 2)( 2)2 (0,2)2则0.故直线平行于平面或在平面上,现将直线上的点A(-3,-4,0)代入平面方程,方程不成立.故点A 不在平面上,因此直线不在平面上,直线与平面平行.(2)s(3, 2,7), n(3, 2,7), 由于s n 或sin332 (3 ( 2)2)2 72( 2)327 71,( 2)2 72知,故直线与平面垂直.2(3)s(3,1, 4), n (1,1,1), 由于s n 0或sin 3 1 1 1 ( 4) 1 0,32 12 ( 4)212 12 12知0, 将直线上的点A(2,-2,3)代入平面方程,方程成立,即点A 在平面上.故直线在平面上.11.求过点(1,2,1)而与两直线x 2 y x yz 1 0,和z 1 02 x yx yz 0,z 0平行的平面的方程.解两直线的方向向量为i s1 11 j k2 1 (1,1 1i2, 3), s2 21j k1 1 (0, 1,1 11),i 取n s1s2 1 j k2 3 (1,1, 1),0 1 1则过点(1,2,1),以n 为法向量的平面方程为1 ( x 即1) 1 ( y 2)x y z 0.1 ( z 1) 0,12.求点(-1,2,0)在平面x 2y z 1 0上的投影.解作过已知点且与已知平面垂直的直线.该直线与平面的交点即为所求.根据题意,过点(-1,2,0)与平面x 2y z 1 0垂直的直线为x 1 y 2 1 2 z 0,1将它化为参数方程x 1t , y 22t, z t ,代入平面方程得1 t 2(2 2t )( t ) 1 0,2整理得t .从而所求点(-1,2,0)在平面x 2y3z 1 0 上的投影为(5,2,2).3 3 3x y z 1 0,13.求点P(3,-1,2)到直线2x y z 4 0的距离.i 解直线的方向向量s 12 j k1 1 (0, 3,1 13).在直线上取点(1,-2,0),这样,直线的方程可表示成参数方程形式x 1, y 2 3t ,z3t. (1)又,过点P(3,-1,2),以s (0, 3, 3) 为法向量的平面方程为3( y 1) 3( z 2) 0,即y z 1 0. (2)1将式(1)代入式(2)得t ,于是直线与平面的交点为(1,2 1,3),2 2故所求距离为d (3 1)2( 1 1)22(23)223 2.214. 设M0 是直线L 外一点,M 是直线L 上任意一点,且直线的方向向量为s,试证:点M0到直线L 的距离M 0M sd .s证如图8-9,点M0 到直线L 的距离为 d.由向量积的几何意义知M 0M s 表示以M 0M ,s为邻边的平行四边形的面积.而M 0Ms s表示以s 为边长的该平面四边形的高,即为点M 0 到直线L的距离.于是M 0M sd .s15. 求直线2 x 4 y z3x y 2z0,在平面4x9 0y z 1上的投影直线的方程.解作过已知直线的平面束,在该平面束中找出与已知平面垂直的平面,该平面与已知平面的交线即为所求.设过直线2x 4 y z3x y 2z0,的平面束方程为9 02x 4y z (3x y 2z 9) 0,经整理得(2由(2 313 3 )x ( 4) 4 ( 4) y (1 2 ) z 9 0.) ( 1) (1 2 ) 1 0,得.代入平面束方程,得1117x 因此所求投影直线的方程为17x 31y31y37z37z117 0.117 0,4x y z 1.16. 画出下列各平面所围成的立体的图形.(1)x 0, y 0, z 0, x 2, y 1,3x 4 y 2z 12 0;(2)x0, z 0, x 1, y 2, z y .4解(1)如图8-10(a);(2)如图8-10(b).221.一球面过原点及 A ( 4,0, 0), B ( 1,3, 0)和 C (0,0, -4)三点,求球面的方程及球心的坐标和半径 .解 设所求球面的方程为( x a) 2 ( y b) 2 ( z c) 2R ,将已知点的坐标代入上式,得a2b2 c2R 2 ,(1)(a 4)2( a 1) 2b2c2(b 3) 2R 2 , c 2R 2 ,(2)(3)(3)a2b2( 4 c) 2R ,(4)联立( 1)( 2)得a2, 联立( 1)(4)得 c 2, 将a 2代入(2)( 3)并联立得 b=1,故 R=3.因此所求球面方程为( x 2)2 ( y 1) 2 ( z 2) 29,其中球心坐标为(2,1, 2), 半径为 3.2. 建立以点( 1,3, -2)为球心,且通过坐标原点的球面方程 .解 设以点( 1,3, -2)为球心, R 为半径的球面方程为( x 球面经过原点,故R2从而所求球面方程为1) 2(0 ( x ( y 3) 2 ( z 2) 2 R 2,3. 方 程x2y2z22 x 4 y 2 z 0表示什么曲面?解 将已知方程整理成( x 1)2 ( y 2)2 ( z 1) 2 ( 6) 2,1)2 ( 0 3) 2 (0 2) 214, 1) 2 ( y 3) 2 ( z 2) 2 14.所以此方程表示以(1,-2,-1)为球心,以 6 为半径的球面. 4. 求与坐标原点O 及点(2,3,4)的距离之比为1:2 的点的全体所组成的曲面的方程,它表示怎样的曲面?解设动点坐标为(x, y, z),根据题意有1,2( x 2)2 ( y 32 4 1)2( z4)232(229)2 .3它表示以(, 1,3)为球心,以29为半径的球面.3 325. 将xOz坐标面上的抛物线转曲面的方程.z 5x绕x 轴旋转一周,求所生成的旋解以y2 z2 代替抛物线方程z25x中的z,得( y2z2 ) 2 5x,即y2z25x.注xOz 面上的曲线F ( x, z) 0 绕x 轴旋转一周所生成的旋转曲面方程为F ( x, y2 z2 ) 0.6. 将xOz坐标面上的圆转曲面的方程.x2 z2 9 绕z 轴旋转一周,求所生成的旋解以x2 y2 代替圆方程x2 z2 9 中的x ,得( 即x2 x2y2 )2z29, y2 z2 9.( x 0)2( y 0)2( z 0)2化简整理得( x 2)2( y 3)2( z 4)2x z 7. 将 xOy 坐标面上的双曲线4x29 y236分别绕 x 轴及 y 轴旋转一周,求所生成的旋转曲面的方程 .解 以y2z2代替双曲线方程4x 29 y 236中的 y ,得该双曲线绕 x 轴旋转一周而生成的旋转曲面方程为4 x 2即4 x2229(9( y2y2z 2 z 2 )2)236.236, 以x z 代替双曲线方程 4x9 y36 中的 x ,得该双曲线绕 y 轴旋转一周而生成的旋转曲面方程为4(即4( x2x2z 2 ) z 2 )29 y29 y 236. 36,8. 画出下列各方程所表示的曲面:(1) ( x a ) 2 y 2 ( a ) 2;(2)x 2y 21;(3) 2 2 21; 2(4)y2 z 0;49( 5) z2 x 2 .9 4解 (1)如图 8-11(a ); (2)如图 8-11( b ); ( 3)如图 8-11(c );(4)如图 8-11(d ); ( 5)如图 8-11( e ).22229. 指出下列方程在平面解析几何中和在空间解析几何中分别表示什么图形: (1) x2;( 2) yx 1;(3) x2y24;( 4) x y1.解 ( 1) x2 在平面解析几何中表示平行于y 轴的一条直线,在空间解析几何中表示与 yOz 面平行的平面 .(2) yx 1在平面解析几何中表示斜率为1, y 轴截距也为 1 的一条直线,在空间解析几何中表示平行于 z 轴的平面 .(3) x2y24在平面解析几何中表示圆心在原点,半径为2 的圆,在空间解析几何中表示母线平行于 z 轴,准线为的圆柱面.x 2 y 2 4, z 0(4) xy1在平面解析几何中表示以 x 轴为实轴, y 轴为虚轴的双曲线,在空间解析几何中表示母线平行于z 轴,准线为y 12y z 2x2y2z 01,的双曲柱面 .10. 说明下列旋转曲面是怎样形成的:(1)x4221; 99( 2) 2x2z21;4(3) x2y2z 2 1; ( 4) ( z a) 2x 2 y 2.x 2y 2z 2x 2y2解( 1)1表示 xOy 面上的椭圆 1绕 x499 49x 2z2轴旋转一周而生成的旋转曲面,或表示 xOz 面的椭圆绕 49x 轴旋转一周而生成的旋转曲面 .(2) x2yz241表示 xOy 面上的双曲线 2y2x4y 21绕 y 轴 旋转一周而生成的旋转曲面, 或表示 yOz 面的双曲线绕 y 轴旋转一周而生成的旋转曲面 .z214(3) xy2z21表示 xOy 面上的双曲线 x2y 21绕 x 轴旋转一周而生成的旋转曲面,或表示 xOz 面的双曲线x 轴旋转一周而生成的旋转曲面 .x2z21绕(4) ( za) 2x 2y 表示 xOz 面上的直线 z x a 或zx a 绕 z 轴旋转一周而生成的旋转曲面,或表示 yOz 面的直线zy a 或 zy a 绕 z 轴旋转一周而生成的旋转曲面.11. 画出下列方程所表示的曲面:222(1) 4x2y2z24;(2) x 2y 2 4 z 24;z x2y2(3).34 9解 (1)如图 8-12(a ); (2)如图 8-12( b ); ( 3)如图 8-12(c );12. 画出下列各曲面所围立体的图形:(1) z卦限内); 0, z 3, x y 0, x 3y 0, x2y21(在第一(2)x 限内) .0, y 0, z 0, x 2 y 2R 2, y 2 z 2R (在第一卦解 ( 1)如图 8-13 所示;( 2)如图 8-14 所示.2 1. 画出下列曲线在第一卦限内的图形;(1)x 1, y 2;z(2)x 4 x 2 y 0;y 2,x 2 ( 3)x2y 2a 2, z2a 2.解 ( 1)如图 8-15( a );( 2)如图 8-15( b );( 3)如图 8-15( c ) .2. 指出下列方程组在平面解析几何中与在空间解析几何中分别表示什么图形:y5x 1,x2y21,(1)y 2 x 3;y 5x 1, ( 2)4 9 y 3.解 ( 1)y 2 x 3在平面解析几何中表示两直线的交点 .在空间解析几何中表示两平面的交线,即空间直线.x2(2) 4y 1,9在平面解析几何中表示椭圆x2y2与 y 34 9其切线y 3 的交点,即切点.在空间解析几何中表示椭圆柱面x2y21与其切平面 y 3的交线,即空间直线.4 913. 分别求母线平行于x 轴及y 轴而且通过曲线的柱面方程. 2x2x2y2 z2z2 y216,2x2解在x2y2 z2z2 y216,中消去x,得3 y2z216,即为母线平行于x 轴且通过已知曲线的柱面方程.2x2在x2y 2 z2z2 y216,中消去y,得3x2 2 z216,即为母线平行于y 轴且通过已知曲线多的柱面方程.4. 求球面x2y2 z2 9 与平面x z1的交线在xOy 面上的投影的方程.解在x2 y2 z2x z 1 9,中消去z,得x2 y2 (1 x) 29, 即2 x2x y28,它表示母线平行于z 轴的柱面,故交线在xOy 面上的投影的方程. 2x22x y2z 08,表示已知5. 将下列曲线的一般方程化为参数方程:x2 y2 (1)y x; z2 9,(2)( xz1) 20.y2( z 1)24,2解(1)将y x代入x2y2 z2 9, 得2x2z29,3取x cos t, 则z23sint,从而可得该曲线的参数方程x 3cost , 2y 3cost, (02t 2 )z 3sin t(2)将z=0 代入( x1) 2y2( z 1) 24,得( x 1)2y23,取x 1 3 c ost, 则y 3 s in t, 从而可得该曲线的参数方程x 1 3cost,y 3 sint,z 0(0 t 2 )6. 求螺旋线方程. x acosy asinz b,, 在三个坐标面上的投影曲线的直角坐标解由x acos , y asin 得x2 y2a2, 故该螺旋线在xOy 面上的投影曲线的直角坐标方程为x2 y2z 0a2,由y asin , z b 得y asin z,故该螺旋线在yOz面上b的投影曲线的直角坐标方程为y a sinz,b x 0由x acos , z b 得x a cos z,故故该螺旋线在yOz 面b上的投影曲线的直角坐标方程为x acosz,b y 0.7. 求上半球0 z a2 x2 y2与圆柱体x2y2ax(a >0 )的公共部分在xOy 面和xOz面上的投影.解如图8-16.所求立体在xOy 面上的投影即为x2y2ax ,而由z a2 x2x2 y2 axy2 ,得z a2 ax. 故所求立体在xOz 面上的投影为由x 轴,z 轴及曲线z a2ax 所围成的区域.8. 求旋转抛物面z x2y2( 0 z 4) 在三坐标面上的投影22 2解联立面上的投影为z x2z 4x2 y2y,得x24,y2 4.故旋转抛物面在xOy如图8-17.z 0.联立z xx 0 y2,得z y2 , 故旋转抛物面在yOz 面上的投影为z y 及z4所围成的区域.z x2同理,联立y 0 y2 ,得z x2, 故旋转抛物面在xOz面上的投影为z x 及z4所围成的区域.2。
高等数学课后答案习题1-11. 设A =(-∞, -5)⋃(5, +∞), B =[-10, 3), 写出A ⋃B , A ⋂B , A \B 及A \(A \B )的表达式. 解 A ⋃B =(-∞, 3)⋃(5, +∞), A ⋂B =[-10, -5), A \B =(-∞, -10)⋃(5, +∞), A \(A \B )=[-10, -5).2. 设A 、B 是任意两个集合, 证明对偶律: (A ⋂B )C =A C ⋃B C . 证明 因为x ∈(A ⋂B )C ⇔x ∉A ⋂B ⇔ x ∉A 或x ∉B ⇔ x ∈A C 或x ∈B C ⇔ x ∈A C ⋃B C , 所以 (A ⋂B )C =A C ⋃B C .3. 设映射f : X →Y , A ⊂X , B ⊂X . 证明 (1)f (A ⋃B )=f (A )⋃f (B ); (2)f (A ⋂B )⊂f (A )⋂f (B ). 证明 因为y ∈f (A ⋃B )⇔∃x ∈A ⋃B , 使f (x )=y⇔(因为x ∈A 或x ∈B ) y ∈f (A )或y ∈f (B ) ⇔ y ∈f (A )⋃f (B ), 所以 f (A ⋃B )=f (A )⋃f (B ). (2)因为y ∈f (A ⋂B )⇒∃x ∈A ⋂B , 使f (x )=y ⇔(因为x ∈A 且x ∈B ) y ∈f (A )且y ∈f (B )⇒ y ∈ f (A )⋂f (B ), 所以 f (A ⋂B )⊂f (A )⋂f (B ).4. 设映射f : X →Y , 若存在一个映射g : Y →X , 使X I f g = , Y I g f = , 其中I X 、I Y 分别是X 、Y 上的恒等映射, 即对于每一个x ∈X , 有I X x =x ; 对于每一个y ∈Y , 有I Y y =y . 证明: f 是双射, 且g 是f 的逆映射: g =f -1.证明 因为对于任意的y ∈Y , 有x =g (y )∈X , 且f (x )=f [g (y )]=I y y =y , 即Y 中任意元素都是X 中某元素的像, 所以f 为X 到Y 的满射.又因为对于任意的x 1≠x 2, 必有f (x 1)≠f (x 2), 否则若f (x 1)=f (x 2)⇒g [ f (x 1)]=g [f (x 2)] ⇒ x 1=x 2.因此f 既是单射, 又是满射, 即f 是双射.对于映射g : Y →X , 因为对每个y ∈Y , 有g (y )=x ∈X , 且满足f (x )=f [g (y )]=I y y =y , 按逆映射的定义, g 是f 的逆映射.5. 设映射f : X →Y , A ⊂X . 证明: (1)f -1(f (A ))⊃A ;(2)当f 是单射时, 有f -1(f (A ))=A .证明 (1)因为x ∈A ⇒ f (x )=y ∈f (A ) ⇒ f -1(y )=x ∈f -1(f (A )), 所以 f -1(f (A ))⊃A . (2)由(1)知f -1(f (A ))⊃A .另一方面, 对于任意的x ∈f -1(f (A ))⇒存在y ∈f (A ), 使f -1(y )=x ⇒f (x )=y . 因为y ∈f (A )且f 是单射, 所以x ∈A . 这就证明了f -1(f (A ))⊂A . 因此f -1(f (A ))=A .6. 求下列函数的自然定义域: (1)23+=x y ;解 由3x +2≥0得32->x . 函数的定义域为) ,32[∞+-.(2)211xy -=;解 由1-x 2≠0得x ≠±1. 函数的定义域为(-∞, -1)⋃(-1, 1)⋃(1, +∞). (3)211x xy --=;解 由x ≠0且1-x 2≥0得函数的定义域D =[-1, 0)⋃(0, 1]. (4)241x y -=; 解 由4-x 2>0得 |x |<2. 函数的定义域为(-2, 2). (5)x y sin =;解 由x ≥0得函数的定义D =[0, +∞). (6) y =tan(x +1);解 由21π≠+x (k =0, ±1, ±2, ⋅ ⋅ ⋅)得函数的定义域为 12-+≠ππk x (k =0, ±1, ±2, ⋅ ⋅ ⋅).(7) y =arcsin(x -3);解 由|x -3|≤1得函数的定义域D =[2, 4]. (8)xx y 1arctan 3+-=;解 由3-x ≥0且x ≠0得函数的定义域D =(-∞, 0)⋃(0, 3).(9) y =ln(x +1);解 由x +1>0得函数的定义域D =(-1, +∞). (10)xe y 1=.解 由x ≠0得函数的定义域D =(-∞, 0)⋃(0, +∞). 7. 下列各题中, 函数f (x )和g (x )是否相同?为什么? (1)f (x )=lg x 2, g (x )=2lg x ; (2) f (x )=x , g (x )=2x ;(3)334)(x x x f -=,31)(-=x x x g . (4)f (x )=1, g (x )=sec 2x -tan 2x . 解 (1)不同. 因为定义域不同.(2)不同. 因为对应法则不同, x <0时, g (x )=-x . (3)相同. 因为定义域、对应法则均相相同. (4)不同. 因为定义域不同.8. 设⎪⎩⎪⎨⎧≥<=3||03|| |sin |)(ππϕx x x x , 求)6(πϕ, )4(πϕ, )4(πϕ-, ϕ(-2), 并作出函数y =ϕ(x )的图形.解 21|6sin |)6(==ππϕ, 22|4sin |)4(==ππϕ, 22|)4sin(|)4(=-=-ππϕ, 0)2(=-ϕ. 9. 试证下列函数在指定区间内的单调性: (1)x x y -=1, (-∞, 1);(2)y =x +ln x , (0, +∞).证明 (1)对于任意的x 1, x 2∈(-∞, 1), 有1-x 1>0, 1-x 2>0. 因为当x 1<x 2时, 0)1)(1(112121221121<---=---=-x x x x x x x x y y , 所以函数x x y -=1在区间(-∞, 1)内是单调增加的.(2)对于任意的x 1, x 2∈(0, +∞), 当x 1<x 2时, 有0l n )()l n ()l n (2121221121<+-=+-+=-x xx x x x x x y y ,所以函数y =x +ln x 在区间(0, +∞)内是单调增加的.10. 设 f (x )为定义在(-l , l )内的奇函数, 若f (x )在(0, l )内单调增加, 证明f (x )在(-l , 0)内也单调增加.证明 对于∀x 1, x 2∈(-l , 0)且x 1<x 2, 有-x 1, -x 2∈(0, l )且-x 1>-x 2. 因为f (x )在(0, l )内单调增加且为奇函数, 所以f (-x 2)<f (-x 1), -f (x 2)<-f (x 1), f (x 2)>f (x 1),这就证明了对于∀x 1, x 2∈(-l , 0), 有f (x 1)< f (x 2), 所以f (x )在(-l , 0)内也单调增加. 11. 设下面所考虑的函数都是定义在对称区间(-l , l )上的, 证明: (1)两个偶函数的和是偶函数, 两个奇函数的和是奇函数;(2)两个偶函数的乘积是偶函数, 两个奇函数的乘积是偶函数, 偶函数与奇函数的乘积是奇函数.证明 (1)设F (x )=f (x )+g (x ). 如果f (x )和g (x )都是偶函数, 则 F (-x )=f (-x )+g (-x )=f (x )+g (x )=F (x ), 所以F (x )为偶函数, 即两个偶函数的和是偶函数. 如果f (x )和g (x )都是奇函数, 则F (-x )=f (-x )+g (-x )=-f (x )-g (x )=-F (x ), 所以F (x )为奇函数, 即两个奇函数的和是奇函数. (2)设F (x )=f (x )⋅g (x ). 如果f (x )和g (x )都是偶函数, 则 F (-x )=f (-x )⋅g (-x )=f (x )⋅g (x )=F (x ), 所以F (x )为偶函数, 即两个偶函数的积是偶函数. 如果f (x )和g (x )都是奇函数, 则F (-x )=f (-x )⋅g (-x )=[-f (x )][-g (x )]=f (x )⋅g (x )=F (x ), 所以F (x )为偶函数, 即两个奇函数的积是偶函数. 如果f (x )是偶函数, 而g (x )是奇函数, 则F (-x )=f (-x )⋅g (-x )=f (x )[-g (x )]=-f (x )⋅g (x )=-F (x ), 所以F (x )为奇函数, 即偶函数与奇函数的积是奇函数.12. 下列函数中哪些是偶函数, 哪些是奇函数, 哪些既非奇函数又非偶函数? (1)y =x 2(1-x 2); (2)y =3x 2-x 3;(3)2211x xy +-=;(4)y =x (x -1)(x +1);(5)y =sin x -cos x +1;(6)2x x aa y -+=.解 (1)因为f (-x )=(-x )2[1-(-x )2]=x 2(1-x 2)=f (x ), 所以f (x )是偶函数. (2)由f (-x )=3(-x )2-(-x )3=3x 2+x 3可见f (x )既非奇函数又非偶函数.(3)因为())(111)(1)(2222x f x x x x x f =+-=-+--=-, 所以f (x )是偶函数. (4)因为f (-x )=(-x )(-x -1)(-x +1)=-x (x +1)(x -1)=-f (x ), 所以f (x )是奇函数. (5)由f (-x )=sin(-x )-cos(-x )+1=-sin x -cos x +1可见f (x )既非奇函数又非偶函数. (6)因为)(22)()()(x f a a a ax f x x x x =+=+=-----, 所以f (x )是偶函数.13. 下列各函数中哪些是周期函数?对于周期函数, 指出其周期: (1)y =cos(x -2);解 是周期函数, 周期为l =2π. (2)y =cos 4x ;解 是周期函数, 周期为2π=l .(3)y =1+sin πx ;解 是周期函数, 周期为l =2. (4)y =x cos x ; 解 不是周期函数. (5)y =sin 2x .解 是周期函数, 周期为l =π. 14. 求下列函数的反函数: (1)31+=x y ;解 由31+=x y 得x =y 3-1, 所以31+=x y 的反函数为y =x 3-1. (2)xx y +-=11;解 由x x y +-=11得y yx +-=11, 所以x x y +-=11的反函数为xx y +-=11.(3)dcx b ax y ++=(ad -bc ≠0);解 由d cx b ax y ++=得a cy bdy x -+-=, 所以d cx b ax y ++=的反函数为acx b dx y -+-=.(4) y =2sin3x ;解 由y =2sin 3x 得2arcsin 31yx =, 所以y =2sin3x 的反函数为2arcsin 31x y =.(5) y =1+ln(x +2);解 由y =1+ln(x +2)得x =e y -1-2, 所以y =1+ln(x +2)的反函数为y =e x -1-2.(6)122+=x xy .解 由122+=x x y 得y y x -=1log 2, 所以122+=x x y 的反函数为xx y -=1log 2. 15. 设函数f (x )在数集X 上有定义, 试证: 函数f (x )在X 上有界的充分必要条件是它在X 上既有上界又有下界.证明 先证必要性. 设函数f (x )在X 上有界, 则存在正数M , 使|f (x )|≤M , 即-M ≤f (x )≤M . 这就证明了f (x )在X 上有下界-M 和上界M .再证充分性. 设函数f (x )在X 上有下界K 1和上界K 2, 即K 1≤f (x )≤ K 2 . 取M =max{|K 1|, |K 2|}, 则 -M ≤ K 1≤f (x )≤ K 2≤M ,即 |f (x )|≤M .这就证明了f (x )在X 上有界.16. 在下列各题中, 求由所给函数复合而成的函数, 并求这函数分别对应于给定自变量值x 1和x 2的函数值:(1) y =u 2, u =sin x , 61π=x , 32π=x ; 解 y =sin 2x , 41)21(6sin 221===πy ,43)23(3sin 222===πy .(2) y =sin u , u =2x , 81π=x ,42π=x ;解 y =sin2x , 224sin )82sin(1==⋅=ππy ,12sin )42sin(2==⋅=ππy . (3)u y =, u =1+x 2, x 1=1, x 2= 2;解 21x y +=, 21121=+=y , 52122=+=y . (4) y =e u , u =x 2, x 1 =0, x 2=1;解 2x e y =, 1201==e y , e e y ==212.(5) y =u 2 , u =e x , x 1=1, x 2=-1. 解 y =e 2x , y 1=e 2⋅1=e 2, y 2=e 2⋅(-1)=e -2.17. 设f (x )的定义域D =[0, 1], 求下列各函数的定义域: (1) f (x 2);解 由0≤x 2≤1得|x |≤1, 所以函数f (x 2)的定义域为[-1, 1]. (2) f (sin x );解 由0≤sin x ≤1得2n π≤x ≤(2n +1)π (n =0, ±1, ±2⋅ ⋅ ⋅), 所以函数f (sin x )的定义域为 [2n π, (2n +1)π] (n =0, ±1, ±2⋅ ⋅ ⋅) . (3) f (x +a )(a >0);解 由0≤x +a ≤1得-a ≤x ≤1-a , 所以函数f (x +a )的定义域为[-a , 1-a ]. (4) f (x +a )+f (x -a )(a >0).解 由0≤x +a ≤1且0≤x -a ≤1得: 当210≤<a 时, a ≤x ≤1-a ; 当21>a 时, 无解. 因此当210≤<a 时函数的定义域为[a , 1-a ], 当21>a 时函数无意义.18. 设⎪⎩⎪⎨⎧>-=<=1||11||01||1)(x x x x f , g (x )=e x , 求f [g (x )]和g [f (x )], 并作出这两个函数的图形. 解 ⎪⎩⎪⎨⎧>-=<=1|| 11|| 01|| 1)]([x x x e e e x g f , 即⎪⎩⎪⎨⎧>-=<=0 10 001)]([x x x x g f .⎪⎩⎪⎨⎧>=<==-1|| 1|| e 1|| )]([101)(x e x x e e x f g x f , 即⎪⎩⎪⎨⎧>=<=-1|| 1|| 11|| )]([1x e x x e x f g . 19. 已知水渠的横断面为等腰梯形, 斜角ϕ=40︒(图1-37). 当过水断面ABCD 的面积为定值S 0时, 求湿周L (L =AB +BC +CD )与水深h 之间的函数关系式, 并指明其定义域.图1-37解 40sin hDC AB ==, 又从)]40cot 2([21Sh BC BC h =⋅++ 得h hS BC ⋅-=40cot 0, 所以h h S L 40sin 40cos 20-+=. 自变量h 的取值范围应由不等式组h >0,040cot 0>⋅-h hS确定, 定义域为40cot 00S h <<.20. 收敛音机每台售价为90元, 成本为60元. 厂方为鼓励销售商大量采购, 决定凡是订购量超过100台以上的, 每多订购1台, 售价就降低1分, 但最低价为每台75元.(1)将每台的实际售价p 表示为订购量x 的函数; (2)将厂方所获的利润P 表示成订购量x 的函数; (3)某一商行订购了1000台, 厂方可获利润多少? 解 (1)当0≤x ≤100时, p =90.令0.01(x 0-100)=90-75, 得x 0=1600. 因此当x ≥1600时, p =75. 当100<x <1600时,p =90-(x -100)⨯0.01=91-0. 01x . 综合上述结果得到⎪⎩⎪⎨⎧≥<<-≤≤=1600 75160010001.091100090x x x x p . (2)⎪⎩⎪⎨⎧≥<<-≤≤=-=1600 15160010001.0311000 30)60(2x x x x x x x x p P . (3) P =31⨯1000-0.01⨯10002=21000(元).习题1-21. 观察一般项x n 如下的数列{x n }的变化趋势, 写出它们的极限: (1)nn x 21=; 解 当n →∞时, nn x 21=→0, 021lim =∞→n n . (2)nx n n 1)1(-=;解 当n →∞时, n x n n 1)1(-=→0, 01)1(lim =-∞→nn n .(3)212nx n +=; 解 当n →∞时, 212n x n +=→2, 2)12(lim 2=+∞→n n . (4)11+-=n n x n ;解 当n →∞时, 12111+-=+-=n n n x n →0, 111lim =+-∞→n n n .(5) x n =n (-1)n .解 当n →∞时, x n =n (-1)n 没有极限.2. 设数列{x n }的一般项nn x n 2cos π=. 问n n x ∞→lim =? 求出N , 使当n >N 时, x n与其极限之差的绝对值小于正数ε , 当ε =0.001时, 求出数N .解 0lim =∞→n n x .n n n x n 1|2c o s||0|≤=-π. ∀ε >0, 要使|x n -0|<ε , 只要ε<n 1, 也就是ε1>n . 取]1[ε=N , 则∀n >N , 有|x n -0|<ε .当ε =0.001时, ]1[ε=N =1000.3. 根据数列极限的定义证明:(1)01lim 2=∞→n n ;分析 要使ε<=-221|01|n n , 只须ε12>n , 即ε1>n . 证明 因为∀ε>0, ∃]1[ε=N , 当n >N 时, 有ε<-|01|2n , 所以01lim2=∞→n n .(2)231213lim =++∞→n n n ;分析 要使ε<<+=-++n n n n 41)12(21|231213|, 只须ε<n41, 即ε41>n .证明 因为∀ε>0, ∃]41[ε=N , 当n >N 时, 有ε<-++|231213|n n , 所以231213lim =++∞→n n n .(3)1lim 22=+∞→na n n ; 分析 要使ε<<++=-+=-+na n a n n a n n a n n a n 22222222)(|1|, 只须ε2a n >. 证明 因为∀ε>0, ∃][2εa N =, 当∀n >N 时, 有ε<-+|1|22n a n , 所以1lim 22=+∞→na n n .(4)19 999.0lim =⋅⋅⋅∞→个n n . 分析 要使|0.99 ⋅ ⋅ ⋅ 9-1|ε<=-1101n , 只须1101-n <ε , 即ε1lg 1+>n . 证明 因为∀ε>0, ∃]1lg 1[ε+=N , 当∀n >N 时, 有|0.99 ⋅ ⋅ ⋅ 9-1|<ε , 所以19 999.0lim =⋅⋅⋅∞→个n n . 4. a u n n =∞→lim , 证明||||lim a u n n =∞→. 并举例说明: 如果数列{|x n |}有极限, 但数列{x n }未必有极限.证明 因为a u n n =∞→lim , 所以∀ε>0, ∃N ∈N , 当n >N 时, 有ε<-||a u n , 从而||u n |-|a ||≤|u n -a |<ε .这就证明了||||lim a u n n =∞→.数列{|x n |}有极限, 但数列{x n }未必有极限. 例如1|)1(|lim =-∞→n n , 但n n )1(lim -∞→不存在.5. 设数列{x n }有界, 又0lim =∞→n n y , 证明: 0lim =∞→n n n y x .证明 因为数列{x n }有界, 所以存在M , 使∀n ∈Z , 有|x n |≤M .又0lim =∞→n n y , 所以∀ε>0, ∃N ∈N , 当n >N 时, 有M y n ε<||. 从而当n >N 时, 有εε=⋅<≤=-M M y M y x y x n n n n n |||||0|,所以0lim =∞→n n n y x .6. 对于数列{x n }, 若x 2k -1→a (k →∞), x 2k →a (k →∞),证明: x n →a (n →∞).证明 因为x 2k -1→a (k →∞), x 2k →a (k →∞), 所以∀ε>0, ∃K 1, 当2k -1>2K 1-1时, 有| x 2k -1-a |<ε ; ∃K 2, 当2k >2K 2时, 有|x 2k -a |<ε .取N =max{2K 1-1, 2K 2}, 只要n >N , 就有|x n -a |<ε . 因此x n →a (n →∞). 习题1-31. 根据函数极限的定义证明: (1)8)13(lim 3=-→x x ;分析 因为|(3x -1)-8|=|3x -9|=3|x -3|,所以要使|(3x -1)-8|<ε , 只须ε31|3|<-x .证明 因为∀ε>0, ∃εδ31=, 当0<|x -3|<δ时, 有|(3x -1)-8|<ε , 所以8)13(lim 3=-→x x .(2)12)25(lim 2=+→x x ;分析 因为|(5x +2)-12|=|5x -10|=5|x -2|, 所以要使|(5x +2)-12|<ε , 只须ε51|2|<-x .证明 因为∀ε >0, ∃εδ51=, 当0<|x -2|<δ时, 有 |(5x +2)-12|<ε , 所以12)25(lim 2=+→x x .(3)424lim 22-=+--→x x x ; 分析 因为|)2(||2|244)4(2422--=+=+++=--+-x x x x x x x ,所以要使ε<--+-)4(242x x , 只须ε<--|)2(|x . 证明 因为∀ε >0, ∃εδ=, 当0<|x -(-2)|<δ时, 有ε<--+-)4(242x x , 所以424lim 22-=+--→x x x .(4)21241lim 321=+--→x x x . 分析 因为|)21(|2|221|212413--=--=-+-x x x x ,所以要使ε<-+-212413x x , 只须ε21|)21(|<--x . 证明 因为∀ε >0, ∃εδ21=, 当δ<--<|)21(|0x 时, 有ε<-+-212413x x , 所以21241lim 321=+--→x x x . 2. 根据函数极限的定义证明:(1)2121lim 33=+∞→x xx ; 分析 因为333333||21212121x x x x x x =-+=-+, 所以要使ε<-+212133x x , 只须ε<3||21x , 即321||ε>x . 证明 因为∀ε >0, ∃321ε=X , 当|x |>X 时, 有 ε<-+212133x x , 所以2121lim 33=+∞→x xx . (2)0sin lim =+∞→xx x .分析 因为x xx x x 1|s i n |0s i n≤=-.所以要使ε<-0sin xx , 只须ε<x1, 即21ε>x . 证明 因为∀ε>0, ∃21ε=X , 当x >X 时, 有ε<-0s i n xx , 所以0sin lim =+∞→xx x .3. 当x →2时, y =x 2→4. 问δ等于多少, 使当|x -2|<δ时, |y -4|<0.001? 解 由于当x →2时, |x -2|→0, 故可设|x -2|<1, 即1<x <3. 要使|x 2-4|=|x +2||x -2|<5|x -2|<0.001, 只要0002.05001.0|2|=<-x .取δ=0.0002, 则当0<|x -2|<δ时, 就有|x 2-4|<0. 001.4. 当x →∞时, 13122→+-=x x y , 问X 等于多少, 使当|x |>X 时, |y -1|<0.01?解 要使01.034131222<+=-+-x x x , 只要397301.04||=->x , 故397=X . 5. 证明函数f (x )=|x |当x →0时极限为零. 证明 因为|f (x )-0|=||x |-0|=|x |=|x -0|, 所以要使|f (x )-0|<ε, 只须|x |<ε.因为对∀ε>0, ∃δ=ε, 使当0<|x -0|<δ, 时有 |f (x )-0|=||x |-0|<ε, 所以0||lim 0=→x x .6. 求,)(x x x f = xx x ||)(=ϕ当x →0时的左﹑右极限, 并说明它们在x →0时的极限是否存在.证明 因为11lim lim )(lim 000===---→→→x x x x x x f , 11lim lim )(lim 000===+++→→→x x x x x x f ,)(lim )(lim 0x f x f x x +→→=-,所以极限)(lim 0x f x →存在.因为1lim ||lim )(lim 000-=-==---→→→xx x x x x x x ϕ,1lim||lim )(lim 000===+++→→→x x x x x x x x ϕ, )(lim )(lim 0x x x x ϕϕ+→→≠-,所以极限)(lim 0x x ϕ→不存在.7. 证明: 若x →+∞及x →-∞时, 函数f (x )的极限都存在且都等于A , 则A x f x =∞→)(lim .证明 因为A x f x =-∞→)(lim , A x f x =+∞→)(lim , 所以∀ε>0,∃X 1>0, 使当x <-X 1时, 有|f (x )-A |<ε ; ∃X 2>0, 使当x >X 2时, 有|f (x )-A |<ε .取X =max{X 1, X 2}, 则当|x |>X 时, 有|f (x )-A |<ε , 即A x f x =∞→)(lim .8. 根据极限的定义证明: 函数f (x )当x →x 0 时极限存在的充分必要条件是左极限、右极限各自存在并且相等.证明 先证明必要性. 设f (x )→A (x →x 0), 则∀ε>0, ∃δ>0, 使当0<|x -x 0|<δ 时, 有 |f (x )-A |<ε .因此当x 0-δ<x <x 0和x 0<x <x 0+δ 时都有 |f (x )-A |<ε .这说明f (x )当x →x 0时左右极限都存在并且都等于A . 再证明充分性. 设f (x 0-0)=f (x 0+0)=A , 则∀ε>0, ∃δ1>0, 使当x 0-δ1<x <x 0时, 有| f (x )-A <ε ; ∃δ2>0, 使当x 0<x <x 0+δ2时, 有| f (x )-A |<ε .取δ=min{δ1, δ2}, 则当0<|x -x 0|<δ 时, 有x 0-δ1<x <x 0及x 0<x <x 0+δ2 , 从而有 | f (x )-A |<ε , 即f (x )→A (x →x 0).9. 试给出x →∞时函数极限的局部有界性的定理, 并加以证明.解 x →∞时函数极限的局部有界性的定理: 如果f (x )当x →∞时的极限存在, 则存在X >0及M >0, 使当|x |>X 时, |f (x )|<M .证明 设f (x )→A (x →∞), 则对于ε =1, ∃X >0, 当|x |>X 时, 有|f (x )-A |<ε =1. 所以 |f (x )|=|f (x )-A +A |≤|f (x )-A |+|A |<1+|A |.这就是说存在X >0及M >0, 使当|x |>X 时, |f (x )|<M , 其中M =1+|A |. 习题1-41. 两个无穷小的商是否一定是无穷小?举例说明之. 解 不一定.例如, 当x →0时, α(x )=2x , β(x )=3x 都是无穷小, 但32)()(lim 0=→x x x βα, )()(x x βα不是无穷小.2. 根据定义证明:(1)392+-=x xy 当x →3时为无穷小;(2)xx y 1sin =当x →0时为无穷小.证明 (1)当x ≠3时|3|39||2-=+-=x x x y . 因为∀ε>0, ∃δ=ε , 当0<|x -3|<δ时, 有εδ=<-=+-=|3|39||2x x x y ,所以当x →3时392+-=x xy 为无穷小.(2)当x ≠0时|0||1sin |||||-≤=x xx y . 因为∀ε>0, ∃δ=ε , 当0<|x -0|<δ时, 有εδ=<-≤=|0||1sin |||||x xx y ,所以当x →0时xx y 1sin =为无穷小.3. 根据定义证明: 函数x x y 21+=为当x →0时的无穷大. 问x 应满足什么条件, 能使|y |>104?证明 分析2||11221||-≥+=+=x x x x y , 要使|y |>M , 只须M x >-2||1, 即21||+<M x .证明 因为∀M >0, ∃21+=M δ, 使当0<|x -0|<δ时, 有M x x >+21,所以当x →0时, 函数xx y 21+=是无穷大.取M =104, 则21014+=δ. 当2101|0|04+<-<x 时, |y |>104. 4. 求下列极限并说明理由:(1)xx x 12lim +∞→;(2)xxx --→11lim 20.解 (1)因为xx x 1212+=+, 而当x →∞ 时x 1是无穷小, 所以212lim =+∞→x x x .(2)因为x x x +=--1112(x ≠1), 而当x →0时x 为无穷小, 所以111lim 20=--→x x x .5. 根据函数极限或无穷大定义, 填写下表:f (x )→Af (x )→∞f (x )→+∞f (x )→-∞x→x 0 ∀ε>0, ∃δ>0, 使 当0<|x -x 0|<δ时,有恒|f (x )-A |<ε.x →x 0+x →x 0-x →∞∀ε>0, ∃X >0, 使当|x |>X 时,有恒|f (x )|>M .x →+∞x →-∞解 f (x )→A f (x )→∞ f (x )→+∞ f (x )→-∞ x →x 0∀ε>0, ∃δ>0, 使当0<|x -x 0|<δ∀M >0, ∃δ>0, 使当∀M >0, ∃δ>0, 使当∀M >0, ∃δ>0, 使当时, 有恒|f (x )-A |<ε.0<|x -x 0|<δ时, 有恒|f (x )|>M .0<|x -x 0|<δ时, 有恒f (x )>M .0<|x -x 0|<δ时, 有恒f (x )<-M .x→x 0+ ∀ε>0, ∃δ>0,使当0<x -x 0<δ时, 有恒|f (x )-A |<ε.∀M >0,∃δ>0, 使当0<x -x 0<δ时, 有恒|f (x )|>M .∀M >0, ∃δ>0, 使当0<x -x 0<δ时, 有恒f (x )>M .∀M >0, ∃δ>0, 使当0<x -x 0<δ时, 有恒f (x )<-M .x →x 0- ∀ε>0, ∃δ>0,使当0<x 0-x <δ时, 有恒|f (x )-A |<ε.∀M >0,∃δ>0, 使当0<x 0-x <δ时, 有恒|f (x )|>M .∀M >0, ∃δ>0, 使当0<x 0-x <δ时, 有恒f (x )>M .∀M >0, ∃δ>0, 使当0<x 0-x <δ时, 有恒f (x )<-M .x →∞∀ε>0, ∃X >0, 使当|x |>X 时, 有恒|f (x )-A |<ε.∀ε>0, ∃X >0, 使当|x |>X 时, 有恒|f (x )|>M .∀ε>0, ∃X >0, 使当|x |>X 时, 有恒f (x )>M .∀ε>0, ∃X >0, 使当|x |>X 时, 有恒f (x )<-M .x →+∞∀ε>0, ∃X >0, 使当x >X 时, 有恒|f (x )-A |<ε.∀ε>0, ∃X >0, 使当x >X 时, 有恒|f (x )|>M .∀ε>0, ∃X >0, 使当x >X 时, 有恒f (x )>M .∀ε>0, ∃X >0, 使当x >X 时, 有恒f (x )<-M .x →-∞∀ε>0, ∃X >0,使当x <-X 时, 有恒|f (x )-A |<ε.∀ε>0, ∃X >0,使当x <-X 时, 有恒|f (x )|>M .∀ε>0, ∃X >0,使当x <-X 时, 有恒f (x )>M .∀ε>0, ∃X >0,使当x <-X 时, 有恒f (x )<-M .6. 函数y =x cos x 在(-∞, +∞)内是否有界?这个函数是否为当x →+∞ 时的无穷大?为什么?解 函数y =x cos x 在(-∞, +∞)内无界.这是因为∀M >0, 在(-∞, +∞)内总能找到这样的x , 使得|y (x )|>M . 例如y (2k π)=2k π cos2k π=2k π (k =0, 1, 2, ⋅ ⋅ ⋅),当k 充分大时, 就有| y (2k π)|>M .当x →+∞ 时, 函数y =x cos x 不是无穷大.这是因为∀M >0, 找不到这样一个时刻N , 使对一切大于N 的x , 都有|y (x )|>M . 例如0)22cos()22()22(=++=+ππππππk k k y (k =0, 1, 2, ⋅ ⋅ ⋅),对任何大的N , 当k 充分大时, 总有N k x >+=22ππ, 但|y (x )|=0<M .7. 证明: 函数xx y 1sin 1=在区间(0, 1]上无界, 但这函数不是当x →0+时的无穷大.证明 函数x x y 1sin 1=在区间(0, 1]上无界. 这是因为∀M >0, 在(0, 1]中总可以找到点x k , 使y (x k )>M . 例如当221ππ+=k x k (k =0, 1, 2, ⋅ ⋅ ⋅)时, 有22)(ππ+=k x y k ,当k 充分大时, y (x k )>M .当x →0+ 时, 函数xx y 1sin 1=不是无穷大. 这是因为∀M >0, 对所有的δ>0, 总可以找到这样的点x k , 使0<x k <δ, 但y (x k )<M . 例如可取πk x k 21=(k =0, 1, 2, ⋅ ⋅ ⋅),当k 充分大时, x k <δ, 但y (x k )=2k πsin2k π=0<M . 习题1-51. 计算下列极限:(1)35lim22-+→x x x ;解 9325235lim222-=-+=-+→x x x . (2)13lim 223+-→x x x ; 解 01)3(3)3(13lim 22223=+-=+-→x x x . (3)112lim 221-+-→x x x x ;解 02011lim )1)(1()1(lim 112lim 121221==+-=+--=-+-→→→x x x x x x x x x x x . (4)xx xx x x 2324lim 2230++-→;解 2123124lim 2324lim 202230=++-=++-→→x x x x x x x x x x .(5)hx h x h 220)(lim -+→;解 x h x hx h hx x h x h x h h h 2)2(lim 2lim )(lim 02220220=+=-++=-+→→→. (6))112(lim 2x x x +-∞→;解 21lim 1lim2)112(lim 22=+-=+-∞→∞→∞→x x x x x x x . (7)121lim 22---∞→x x x x ;解 2111211lim 121lim 2222=---=---∞→∞→xx x x x x x x . (8)13lim 242--+∞→x x xx x ;解 013lim 242=--+∞→x x x x x (分子次数低于分母次数, 极限为零). 或 012111lim 13lim 4232242=--+=--+∞→∞→xx x x x x x x x x . (9)4586lim 224+-+-→x x x x x ; 解 32142412lim )4)(1()4)(2(lim 4586lim 44224=--=--=----=+-+-→→→x x x x x x x x x x x x x .(10))12)(11(lim 2x x x -+∞→;解 221)12(lim )11(lim )12)(11(lim 22=⨯=-⋅+=-+∞→∞→∞→x x x x x x x . (11))21 41211(lim nn +⋅⋅⋅+++∞→;解 2211)21(1lim )21 41211(lim 1=--=+⋅⋅⋅++++∞→∞→n n n n . (12)2)1( 321limn n n -+⋅⋅⋅+++∞→;解 211lim 212)1(lim )1( 321lim 22=-=-=-+⋅⋅⋅+++∞→∞→∞→n n n n n n n n n n .(13)35)3)(2)(1(limnn n n n +++∞→; 解 515)3)(2)(1(lim3=+++∞→n n n n n (分子与分母的次数相同, 极限为 最高次项系数之比).或 51)31)(21)(11(lim 515)3)(2)(1(lim3=+++=+++∞→∞→n n n n n n n n n . (14))1311(lim 31xx x ---→;解 )1)(1()2)(1(lim )1)(1(31lim )1311(lim 2122131x x x x x x x x x x x x x x x ++-+--=++--++=---→→→ 112l i m 21-=+++-=→x x x x .2. 计算下列极限:(1)2232)2(2lim -+→x x x x ;解 因为01602)2(lim 2322==+-→x x x x , 所以∞=-+→2232)2(2lim x x x x . (2)12lim 2+∞→x xx ;解 ∞=+∞→12lim2x x x (因为分子次数高于分母次数). (3))12(lim 3+-∞→x x x .解 ∞=+-∞→)12(lim 3x x x (因为分子次数高于分母次数).3. 计算下列极限:(1)xx x 1sin lim 20→;解 01sin lim 20=→xx x (当x →0时, x 2是无穷小, 而x 1sin 是有界变量).(2)xx x arctan lim ∞→.解 0arctan 1lim arctan lim =⋅=∞→∞→x x x x x x (当x →∞时, x 1是无穷小,而arctan x 是有界变量). 4. 证明本节定理3中的(2).习题1-51. 计算下列极限:(1)35lim22-+→x x x ;解 9325235lim222-=-+=-+→x x x . (2)13lim 223+-→x x x ; 解 01)3(3)3(13lim 22223=+-=+-→x x x . (3)112lim 221-+-→x x x x ;解 02011lim )1)(1()1(lim 112lim 121221==+-=+--=-+-→→→x x x x x x x x x x x . (4)xx xx x x 2324lim 2230++-→;解 2123124lim 2324lim 202230=++-=++-→→x x x x x x x x x x . (5)hx h x h 220)(lim -+→;解 x h x hx h hx x h x h x h h h 2)2(lim 2lim )(lim 02220220=+=-++=-+→→→. (6))112(lim 2xx x +-∞→; 解 21lim 1lim2)112(lim 22=+-=+-∞→∞→∞→x x x x x x x . (7)121lim 22---∞→x x x x ;解 2111211lim 121lim 2222=---=---∞→∞→xx x x x x x x . (8)13lim 242--+∞→x x xx x ;解 013lim 242=--+∞→x x x x x (分子次数低于分母次数, 极限为零).或 012111lim 13lim 4232242=--+=--+∞→∞→xx x x x x x x x x .(9)4586lim 224+-+-→x x x x x ; 解 32142412lim )4)(1()4)(2(lim 4586lim 44224=--=--=----=+-+-→→→x x x x x x x x x x x x x .(10))12)(11(lim 2x x x -+∞→;解 221)12(lim )11(lim )12)(11(lim 22=⨯=-⋅+=-+∞→∞→∞→x x x x x x x . (11))21 41211(lim n n +⋅⋅⋅+++∞→; 解 2211)21(1lim )21 41211(lim 1=--=+⋅⋅⋅++++∞→∞→n n n n .(12)2)1( 321limn n n -+⋅⋅⋅+++∞→;解 211lim 212)1(lim )1( 321lim 22=-=-=-+⋅⋅⋅+++∞→∞→∞→n n n n n n n n n n . (13)35)3)(2)(1(lim n n n n n +++∞→;解 515)3)(2)(1(lim 3=+++∞→nn n n n (分子与分母的次数相同, 极限为 最高次项系数之比).或 51)31)(21)(11(lim 515)3)(2)(1(lim3=+++=+++∞→∞→n n n n n n n n n .(14))1311(lim 31xx x ---→;解 )1)(1()2)(1(lim )1)(1(31lim )1311(lim 2122131x x x x x x x x x x x x x x x ++-+--=++--++=---→→→ 112l i m 21-=+++-=→x x x x . 2. 计算下列极限:(1)2232)2(2lim -+→x x x x ; 解 因为01602)2(lim 2322==+-→x x x x , 所以∞=-+→2232)2(2limx x x x .(2)12lim 2+∞→x x x ;解 ∞=+∞→12lim2x x x (因为分子次数高于分母次数). (3))12(lim 3+-∞→x x x .解 ∞=+-∞→)12(lim 3x x x (因为分子次数高于分母次数).3. 计算下列极限:(1)xx x 1sin lim 20→;解 01sin lim 20=→xx x (当x →0时, x 2是无穷小, 而x 1sin 是有界变量).(2)xx x arctan lim ∞→.解 0arctan 1lim arctan lim =⋅=∞→∞→x x x x x x (当x →∞时, x 1是无穷小,而arctan x 是有界变量). 4. 证明本节定理3中的(2).习题 1-71. 当x →0时, 2x -x 2 与x 2-x 3相比, 哪一个是高阶无穷小?解 因为02lim 2lim202320=--=--→→xx x x x x x x x , 所以当x →0时, x 2-x 3是高阶无穷小, 即x 2-x 3=o (2x -x 2).2. 当x →1时, 无穷小1-x 和(1)1-x 3, (2))1(212x -是否同阶?是否等价?解 (1)因为3)1(lim 1)1)(1(lim 11lim212131=++=-++-=--→→→x x x x x x x x x x x , 所以当x →1时, 1-x 和1-x 3是同阶的无穷小, 但不是等价无穷小.(2)因为1)1(lim 211)1(21lim 121=+=--→→x x x x x , 所以当x →1时, 1-x 和)1(212x -是同阶的无穷小, 而且是等价无穷小.3. 证明: 当x →0时, 有: (1) arctan x ~x ;(2)2~1sec 2xx -.证明 (1)因为1tan limarctan lim 00==→→y yxx y x (提示: 令y =arctan x , 则当x →0时, y →0), 所以当x →0时, arctan x ~x .(2)因为1)22sin 2(lim 22sin 2lim cos cos 1lim 2211sec lim 202202020===-=-→→→→x xx x x x x xx x x x x , 所以当x →0时, 2~1s e c2x x -. 4. 利用等价无穷小的性质, 求下列极限: (1)xx x 23tan lim 0→;(2)mn x x x )(sin )sin(lim 0→(n , m 为正整数);(3)x x x x 30sin sin tan lim -→; (4))1sin 1)(11(tan sin lim320-+-+-→x x x x x . 解 (1)2323lim 23tan lim 00==→→x x x x x x .(2)⎪⎩⎪⎨⎧<∞>===→→mn m n m n x x x x mn x m n x 0 1lim )(sin )sin(lim00. (3)21cos 21lim sin cos cos 1lim sin )1cos 1(sin lim sin sin tan lim 220203030==-=-=-→→→→x x x x x x xx x x x x x x x x . (4)因为32221)2(2~2s i n t a n 2)1(c o s t a n t a n s i n x x x x x x x x x -=⋅--=-=-(x →0),23232223231~11)1(11x x x x x ++++=-+(x →0), x x x x x ~s i n ~1s i n 1s i n 1s i n1++=-+(x →0),所以 33121l i m )1s i n 1)(11(tan sin lim 230320-=⋅-=-+-+-→→xx x x x x x x x .5. 证明无穷小的等价关系具有下列性质: (1) α ~α (自反性);(2) 若α ~β, 则β~α(对称性); (3)若α ~β, β~γ, 则α~γ(传递性). 证明 (1)1lim =αα, 所以α ~α ;(2) 若α ~β, 则1lim =βα, 从而1lim =αβ. 因此β~α ;(3) 若α ~β, β~γ, 1lim lim lim =⋅=βαγβγα. 因此α~γ.习题1-81. 研究下列函数的连续性, 并画出函数的图形:(1)⎩⎨⎧≤<-≤≤=21 210 )(2x x x x x f ;解 已知多项式函数是连续函数, 所以函数f (x )在[0, 1)和(1, 2]内是连续的. 在x =1处, 因为f (1)=1, 并且1lim )(lim 211==--→→x x f x x , 1)2(lim )(lim 11=-=++→→x x f x x . 所以1)(lim 1=→x f x , 从而函数f (x )在x =1处是连续的.综上所述,函数f (x )在[0, 2]上是连续函数.(2)⎩⎨⎧>≤≤-=1|| 111 )(x x x x f .解 只需考察函数在x =-1和x =1处的连续性. 在x =-1处, 因为f (-1)=-1, 并且)1(11l i m )(l i m 11-≠==---→-→f x f x x , )1(1lim )(lim 11-=-==++-→-→f x x f x x ,所以函数在x =-1处间断, 但右连续.在x =1处, 因为f (1)=1, 并且1l i m )(l i m 11==--→→x x f x x =f (1), 11lim )(lim 11==++→→x x x f =f (1), 所以函数在x =1处连续.综合上述讨论, 函数在(-∞, -1)和(-1, +∞)内连续, 在x =-1处间断, 但右连续. 2. 下列函数在指出的点处间断, 说明这些间断点属于哪一类, 如果是可去间断点, 则补充或改变函数的定义使它连续:(1)23122+--=x x xy , x =1, x =2;解 )1)(2()1)(1(23122---+=+--=x x x x x x x y . 因为函数在x =2和x =1处无定义, 所以x =2和x =1是函数的间断点.因为∞=+--=→→231lim lim 2222x x xy x x , 所以x =2是函数的第二类间断点;因为2)2()1(limlim 11-=-+=→→x x y x x , 所以x =1是函数的第一类间断点, 并且是可去间断点. 在x =1处, 令y =-2, 则函数在x =1处成为连续的.(2)x x y tan =, x =k , 2ππ+=k x (k =0, ±1, ±2, ⋅ ⋅ ⋅);解 函数在点x =k π(k ∈Z)和2ππ+=k x (k ∈Z)处无定义, 因而这些点都是函数的间断点.因∞=→x x k x tan lim π(k ≠0), 故x =k π(k ≠0)是第二类间断点;因为1tan lim 0=→x x x ,0tan lim2=+→x x k x ππ(k ∈Z), 所以x =0和2ππ+=k x (k ∈Z) 是第一类间断点且是可去间断点.令y |x =0=1, 则函数在x =0处成为连续的;令2 ππ+=k x 时, y =0, 则函数在2ππ+=k x 处成为连续的.(3)xy 1cos 2=, x =0;解 因为函数x y 1cos 2=在x =0处无定义, 所以x =0是函数xy 1cos 2=的间断点. 又因为xx 1cos lim 20→不存在, 所以x =0是函数的第二类间断点. (4)⎩⎨⎧>-≤-=1311x x x x y , x =1.解 因为0)1(lim )(lim 11=-=--→→x x f x x 2)3(lim )(lim 11=-=++→→x x f x x , 所以x =1是函数的第一类不可去间断点.3. 讨论函数x x x x f nnn 2211lim)(+-=∞→的连续性, 若有间断点, 判别其类型. 解 ⎪⎩⎪⎨⎧<=>-=+-=∞→1|| 1|| 01|| 11lim )(22x x x x x x x x x f nn n . 在分段点x =-1处, 因为1)(lim )(lim 11=-=---→-→x x f x x , 1lim )(lim 11-==++-→-→x x f x x , 所以x =-1为函数的第一类不可去间断点.在分段点x =1处, 因为1lim )(lim 11==--→→x x f x x , 1)(lim )(lim 11-=-=++→→x x f x x , 所以x =1为函数的第一类不可去间断点.4. 证明: 若函数f (x )在点x 0连续且f (x 0)≠0, 则存在x 0的某一邻域U (x 0), 当x ∈U (x 0)时, f (x )≠0.证明 不妨设f (x 0)>0. 因为f (x )在x 0连续, 所以0)()(lim 00>=→x f x f x x , 由极限的局部保号性定理, 存在x 0的某一去心邻域)(0x U , 使当x ∈)(0x U时f (x )>0, 从而当x ∈U (x 0)时, f (x )>0. 这就是说, 则存在x 0的某一邻域U (x 0), 当x ∈U (x 0)时, f (x )≠0.5. 试分别举出具有以下性质的函数f (x )的例子:(1)x =0, ±1, ±2, 21±, ⋅ ⋅ ⋅, ±n , n1±, ⋅ ⋅ ⋅是f (x )的所有间断点, 且它们都是无穷间断点; 解 函数x x x f ππcsc )csc()(+=在点x =0, ±1, ±2, 21±, ⋅ ⋅ ⋅, ±n , n 1±, ⋅ ⋅ ⋅处是间断的且这些点是函数的无穷间断点.(2)f (x )在R 上处处不连续, 但|f (x )|在R 上处处连续;解 函数⎩⎨⎧∉∈-=Q Qx x x f 1 1)(在R 上处处不连续, 但|f (x )|=1在R 上处处连续.(3)f (x )在R 上处处有定义, 但仅在一点连续.解 函数⎩⎨⎧∉-∈=Q Q x x x x x f)(在R 上处处有定义, 它只在x =0处连续.习题1-91. 求函数633)(223-+--+=x x x x x x f 的连续区间, 并求极限)(lim 0x f x →, )(lim 3x f x -→及)(lim 2x f x →.解 )2)(3()1)(1)(3(633)(223-++-+=-+--+=x x x x x x x x x x x f , 函数在(-∞, +∞)内除点x =2和x =-3外是连续的, 所以函数f (x )的连续区间为(-∞, -3)、(-3, 2)、(2, +∞).在函数的连续点x =0处, 21)0()(lim 0==→f x f x . 在函数的间断点x =2和x =-3处, ∞=-++-+=→→)2)(3()1)(1)(3(lim)(lim 22x x x x x x f x x , 582)1)(1(lim)(lim 33-=-+-=-→-→x x x x f x x . 2. 设函数f (x )与g (x )在点x 0连续, 证明函数 ϕ(x )=max{f (x ), g (x )}, ψ(x )=min{f (x ), g (x )} 在点x 0也连续.证明 已知)()(lim 00x f x f x x =→, )()(lim 00x g x g x x =→.可以验证] |)()(|)()([21)(x g x f x g x f x -++=ϕ,] |)()(|)()([21)(x g x f x g x f x --+=ψ.因此 ] |)()(|)()([21)(00000x g x f x g x f x -++=ϕ,] |)()(|)()([21)(00000x g x f x g x f x --+=ψ.因为] |)()(|)()([21lim )(lim 00x g x f x g x f x x x x x -++=→→ϕ] |)(lim )(lim |)(lim )(lim [210000x g x f x g x f x x x x x x x x →→→→-++=] |)()(|)()([210000x g x f x g x f -++==ϕ(x 0),所以ϕ(x )在点x 0也连续.同理可证明ψ(x )在点x 0也连续.3. 求下列极限: (1)52lim 20+-→x x x ;。
第一章 函数、极限、连续习题1-11.求下列函数的自然定义域:(1)321x y x=+-(2) 1arctany x=+(3) 1arccosx y -=;(4) 313 , 1x y x ⎧≠⎪=⎨⎪=⎩. 解:(1)解不等式组23010x x +≥⎧⎨-≠⎩得函数定义域为[3,1)(1,1)(1,)---+∞U U ; (2)解不等式组230x x ⎧-≥⎨≠⎩得函数定义域为[U ;(3)解不等式组2111560x x x -⎧-≤≤⎪⎨⎪-->⎩得函数定义域为[4,2)(3,6]--U ; (4)函数定义域为(,1]-∞.2.已知函数()f x 定义域为[0,1],求(cos ),()() (0)f f x f x c f x c c ++->的定义域.解:函数f要有意义,必须01≤≤,因此f 的定义域为[0,1];同理得函数(cos )f x 定义域为[2π-,2π]22k k ππ+;函数()()f x c f x c ++-要有意义,必须0101x c x c ≤+≤⎧⎨≤-≤⎩,因此,(1)若12c <,定义域为:[],1c c -;(2)若12c =,定义域为:1{}2;(3)若12c >,定义域为:∅. 3.设21()1,||x a f x x x a ⎛⎫-=- ⎪-⎝⎭0,a >求函数值(2),(1)f a f .解:因为21()1||x a f x x x a ⎛⎫-=- ⎪-⎝⎭,所以 21(2)104a f a a a ⎛⎫=-= ⎪⎝⎭,22 ,>1,11(1)10 ,0<<111a a f a a ⎛⎫⎧-=-= ⎪⎨ ⎪-⎩⎝⎭. 4. 证明下列不等式:(1) 对任何x R ∈有 |1||2|1x x -+-≥; (2) 对任何n Z +∈有 111(1)(1)1n n n n++>++;(3) 对任何n Z +∈及实数1a >有 111na a n--≤.证明:(1)由三角不等式得|1||2||1(2)|1x x x x -+-≥---= (2)要证111(1)(1)1n n n n++>++,即要证111n +>+= 111(1)(1)(1)11111n n n n n +++++++<=+++L 得证。
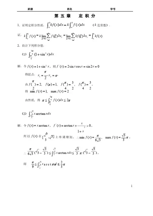
班级姓名学号1 第五章定积分1.证明定积分性质:òò=b abadxx f kdx x kf )()((k 是常数). 证:òåòå=D =D ==®=®banii ban ii x kf x kf x f k x f k)()(lim )(lim )(1010x x l l 2.估计下列积分值:(1)dxx )sin 1(4542ò+p p解:令x x f 2sin 1)(+=,则02sin cos sin 2)(===x x x x f ‘得驻点:,,221p p==x x 由23)4(,23)4(,1)(,2)2(====p p p pf f f f ,得2)(max ,1)(min ==x f x f 由性质,得pp p p2)(454££òdx x f (2)ò333arctan xdxx 解:令x x x f arctan )(=,01arctan )(2>++=xxx x f ‘,所以)(x f 在]333[,上单调增加,p p33)(max ,36)(min ==\x f x f ,)()(33333arctan 33336333-££-\òp pxdx x ,即pp32a r c t a n 9333££òx d x x班级班级 姓名姓名 学号学号3.比较下列积分值的大小:.比较下列积分值的大小: (1)dx x ò12与dxx ò13解:当10££x 时,有23x x £,且23x x -不恒等于0,0312>-\òdx x x )(,即,即 dxx dxx òò>1212。
(2)ò6pxdx 与ò6sin pxdx解:当60p££x 时,有x x £sin ,且x x sin -不恒等于0,0sin 10>-\òdx x x )(,即,即 dx x dx x òò>1010sin 。
习 题 6—11、在平行四边形ABCD 中, 设−→−AB =a , −→−AD =b . 试用a 和b 表示向量−→−MA 、−→−MB 、−→−MC 、−→−MD , 其中M 是平行四边形对角线的交点.解: 由于平行四边形的对角线互相平分, 所以a +b −→−−→−==AM AC 2, 即 -(a +b )−→−=MA 2, 于是 21-=−→−MA (a +b ).因为−→−−→−-=MA MC , 所以21=−→−MC (a +b ). 又因-a +b −→−−→−==MD BD 2, 所以21=−→−MD (b -a ). 由于−→−−→−-=MD MB , 所以21=−→−MB (a -b ).2、若四边形的对角线互相平分,用向量方法证明它是平行四边形.证: =,BM =,∴=+=+BM =与 平行且相等,结论得证.3、 求起点为)1,2,1(A ,终点为)1,18,19(--B 的向量→AB 与12AB −−→-的坐标表达式.解:→AB =j i k j i 2020)11()218()119(--=-+--+--={20,20,0}--, 12AB −−→-={10,10,0}4、 求平行于a ={1,1,1}的单位向量.解:与a 平行的单位向量为{}1,1,131±=±a a .5、在空间直角坐标系中,指出下列各点在哪个卦限?(1,1,1),A - (1,1,1),B -(1,1,1),C -- (1,1,1).D -- 解: A:Ⅳ; B:Ⅴ; C:Ⅷ; D:Ⅲ.6、 求点),,(z y x M 与x 轴,xOy 平面及原点的对称点坐标.解:),,(z y x M 关于x 轴的对称点为),,(1z y x M --,关于xOy 平面的对称点为),,(2z y x M -,关于原点的对称点为),,(3z y x M ---.7、已知点A(a, b, c), 求它在各坐标平面上及各坐标轴上的垂足的坐标(即投影点的坐标). 解:分别为),0,0(),0,,0(),0,0,(),,0,(),,,0(),0,,(c b a c a c b b a .8、过点(,,)P a b c 分别作平行于z 轴的直线和平行于xOy 面的平面,问它们上面的点的坐标各有什么特点?解:平行于z 轴的直线上面的点的坐标:x a,y b,z R ==∈;平行于xOy 面的平面上的点的坐标为 z c,x,y R =∈.9、求点P (2,-5,4)到原点、各坐标轴和各坐标面的距离.解:到原点的距离为x y 轴的距离为到z10、 求证以)1,3,4(1M 、)2,1,7(2M 、)3,2,5(3M 三点为顶点的三角形是一个等腰三角形. 解:222212(74)(13)(21)14M M =-+-+-=,222223(57)(21)(32)6M M =-+-+-= 222213(45)(32)(13)6M M =-+-+-=,即1323M M M M =,因此结论成立.11、 在yoz 坐标面上,求与三个点A(3, 1, 2), B(4, -2, -2), C(0, 5, 1)等距离的点的坐标. 解:设yoz 坐标面所求点为),,0(z y M ,依题意有||||||MC MB MA ==,从而222)2()1()30(-+-+-z y 222)2()2()40(++++-=z y222)2()1()30(-+-+-z y联立解得2,1-==z y ,故所求点的坐标为)2,1,0(-.12、 z 轴上,求与点A(-4, 1, 7), 点B(3, 5,-2)等距离的点. 解:设所求z 轴上的点为),0,0(z ,依题意:222)7()10()40(-+-++z 222)2()50()30(++-+-=z ,两边平方得914=z ,故所求点为)914,0,0(.13、 求λ使向量}5,1,{λ=a 与向量}50,10,2{=b 平行. 解:由b a //得5051012==λ得51=λ.14、 求与y 轴反向,模为10的向量a 的坐标表达式. 解:a =j j 10)(10-=-⋅={0,10,0}-.15、求与向量a ={1,5,6}平行,模为10的向量b 的坐标表达式. 解:}6,5,1{6210==a a a ,故 {}6,5,16210100±=±=a b .16、 已知向量6410=-+a i j k ,349=+-b i j k ,试求: (1)2+a b ; (2)32-a b .解:(1) 264102(349)1248i a b i j k i j k j k +=-+++-=+-; (2)323(6410)2(349)=122048a b =i j k i j k i j k --+-+--+.17、已知两点A 和(3,0,4)B ,求向量AB 的模、方向余弦和方向角.解: 因为(1,1)AB =-, 所以2AB =,11cos ,cos 22αβγ===-,从而π3α=,3π4β=,2π3γ=.18、设向量的方向角为α、β、γ.若已知其中的两个角为π3α=,2π3β=.求第三个角γ. 解: π3α=,2π3β=,由222cos cos cos 1αβγ++=得21cos 2γ=.故π4γ=或3π4.19、 已知三点(1,0,0)=A ,(3,1,1)B ,(2,0,1)C ,求:(1)BC 与CA 及其模;(2)BC 的方向余弦、方向角;(3)与BC 同向的单位向量.解:(1)由题意知{}{}23,01,111,1,0,BC =---=--{}{}12,00,011,0,1,CA =---=-- 故 2,2==BC CA .(2)因为{}1,1,0,=--BC 所以,由向量的方向余弦的坐标表示式得:cos 0αβγ===,方向角为:3,42ππαβγ===.(3)与BC 同向的单位向量为:oa =⎧⎫=⎨⎬⎩⎭BCBC .20、 设23,23,34,m i j k n i j k p i j k =++=+-=-+和23a m n p =+-求向量在x 轴上的投影和在y 轴上的分向量.解:2(23)3(23)(34)5114a i j k i j k i j k i j k =++++---+=+-.故向量a 在x 轴上的投影5=x a ,在y 轴上的投影分量为11y a j =.21、一向量的终点为点B(-2,1,-4),它在x 轴,y 轴和z 轴上的投影依次为3,-3和8,求这向量起点A 的坐标.解:设点A 为(x, y, z ),依题意有:84,31,32=---=-=--z y x , 故12,4,5-==-=z y x ,即所求的点A (-5, 4,-12).22、 已知向量a 的两个方向余弦为cos α=72 ,cos β=73, 且a 与z 轴的方向角是钝角.求cos γ. 解:因222cos cos cos 1,αβγ++=22223366cos 1cos 77497γγ=-==±故()—(),,又γ是钝角,所以76cos -=γ.23、设三力1232234F ,F ,F i j i j k j k =-=-+=+作用于同一质点,求合力的大小和方向角.解: 合力123(2)(234)()F F F F i k i j k j k =++=-+-+++323i j k =-+,因此,合力的大小为|F |=合力的方向余弦为,222cos ,cos 223cos -===βγα因此παγβ===-习 题 6—21、 {}0,0,1=a ,{}0,1,0=b ,)1,0,0(=c ,求⋅a b ,c a ⋅,c b ⋅,及a a ⨯,b a ⨯,c a ⨯,c b ⨯. 解:依题意,i a =,j b =,k c =,故0=⋅=⋅j i b a ,0=⋅=⋅k i c a ,0=⋅=⋅k j c b .0=⨯=⨯i i a a ,k j i b a =⨯=⨯,j k i c a -=⨯=⨯,i k j c b =⨯=⨯.2、 }}{{1,2,2,21,1==b a ,,求b a ⋅及b a ⨯ .a 与b的夹角余弦. 解:(1)121221⋅=⨯+⨯+⨯=a b 6, 112221⨯==i j ka b }{3,3,0-.(2)cos a b a b a b θ++==3、 已知 π5,2,,3∧⎛⎫=== ⎪⎝⎭a b a b ,求23a b -解:()()2232323-=-⋅-a b a b a b 22412976=-⋅+=a a b b ,∴ 23-=ab4、 证明下列问题:1)证明向量}{1,0,1=a 与向量}{1,1,1-=b 垂直. 2) 证明向量c 与向量()()a c b b c a ⋅-⋅垂直. 证:1)01110)1(1=⨯+⨯+-⨯=⋅b a ,^π(,)2a b ∴=,即a 与b 垂直. 2) [()()]⋅-⋅⋅a c b b c a c [()()]=⋅⋅-⋅⋅a c b c b c a c ()[]=⋅⋅-⋅c b a c a c 0=[()()]∴⋅-⋅⊥a c b b c a c .5、 求点)1,2,1(M 的向径OM 与坐标轴之间的夹角.解:设OM 与x 、y 、z 轴之间的夹角分别为γβα,,,则211)2(11cos 22=++==α,22cos ==β, 21cos ==γ. 3π=∴α, 4π=β, 3π=γ.6、 求与k j i a ++=平行且满足1=⋅x a 的向量x .解:因x a //, 故可设{}λλλλ,,==a x ,再由1=⋅x a 得1=++λλλ,即31=λ,从而⎭⎬⎫⎩⎨⎧=31,31,31x .7、求与向量324=-+a i j k ,2=+-b i j k 都垂直的单位向量.解:=⨯=xy z x y zij kc a b a a a b b b 324112=--i j k =105+j k,||10==c 0||∴=c c c=.⎫±+⎪⎭j8、 在顶点为)2,1,1(-A 、)2,6,5(-B 和)1,3,1(-C 的三角形中,求三角形ABC 的面积以及AC 边上的高BD .解:{0,4,3},{4,5,0}AC AB =-=-,三角形ABC 的面积为,22516121521||21222=++=⨯=AB C A S ||||21,5)3(4||22BD S ==-+= ||521225BD ⋅⋅= .5||=∴BD9、 已知向量≠0a ,≠0b ,证明2222||||||()⨯=-⋅a b a b a b .解 2222||||||sin ()∧⨯=⋅a b a b ab 222||||[1cos ()]∧=⋅-a b ab 22||||=⋅a b 222||||cos ()∧-⋅a b ab 22||||=⋅a b 2().-⋅a b10、 证明:如果++=0a b c ,那么⨯=⨯=⨯b c c a a b ,并说明它的几何意义.证: 由++=0a b c , 有()++⨯=⨯=00a b c c c , 但⨯=0c c ,于是⨯+⨯=0a c b c ,所以⨯=-⨯=⨯b c a c c a . 同理 由()++⨯=0a b c a , 有 ⨯=⨯c a a b ,从而 ⨯=⨯=⨯b c c a a b .其几何意义是以三角形的任二边为邻边构成的平行四边形的面积相等.11、 已知向量23,3=-+=-+a i j k b i j k 和2=-c i j ,计算下列各式:(1)()()⋅-⋅a b c a c b (2)()()+⨯+a b b c (3)()⨯⋅a b c (4)⨯⨯a b c 解: (1)()()8(2)8(3)⋅-⋅=---+=a b c a c b i j i j k 824--j k .(2) 344,233+=-++=-+a b i j k b c i j k ,故()()+⨯+a b b c 344233=-=-i jk--j k . (3)231()231(2)(85)(2)11311312-⨯⋅=-⋅-=--+⋅-=-=--i jk a b c i j i j k i j 2. (4)由(3)知85,()851120⨯=--+⨯⨯=--=-i jka b i j k a b c 221++i j k .习 题 6—31、已知)3,2,1(A ,)4,1,2(-B ,求线段AB 的垂直平分面的方程. 解:设),,(z y x M 是所求平面上任一点,据题意有|,|||MB MA =()()()222321-+-+-z y x ()()(),412222-+++-=z y x化简得所求方程26270x y z -+-=.这就是所求平面上的点的坐标所满足的方程, 而不在此平面上的点的坐标都不满足这个方程,所以这个方程就是所求平面的方程.2、 一动点移动时,与)0,0,4(A 及xOy 平面等距离,求该动点的轨迹方程.解:设在给定的坐标系下,动点),,(z y x M ,所求的轨迹为C ,则(,,)M x y z C MA z ∈⇔= 亦即z z y x =++-222)4( 0)4(22=+-∴y x 从而所求的轨迹方程为0)4(22=+-y x .3、 求下列各球面的方程:(1)圆心)3,1,2(-,半径为6=R ; (2)圆心在原点,且经过点)3,2,6(-;(3)一条直径的两端点是)3,1,4()5,32(--与;(4)通过原点与)4,0,0(),0,3,1(),0,0,4(- 解:(1)所求的球面方程为:36)3()1()2(222=-+++-z y x (2)由已知,半径73)2(6222=+-+=R ,所以球面方程为49222=++z y x(3)由已知,球面的球心坐标1235,1213,3242=-=-=+-==+=c b a , 球的半径21)35()31()24(21222=++++-=R ,所以球面方程为: 21)1()1()3(222=-+++-z y x(4)设所求的球面方程为:0222222=++++++l kz hy gx z y x因该球面经过点)4,0,0(),0,3,1(),0,0,4(),0,0,0(-,所以⎪⎪⎩⎪⎪⎨⎧=-=++=+=08160621008160k h g g l 解之得⎪⎪⎩⎪⎪⎨⎧=-=-==2210k g h l∴所求的球面方程为0424222=+--++z y x z y x .4、将yOz 坐标面上的抛物线22y z =绕z 旋转一周,求所生成的旋转曲面的方程. 解:222x y z +=(旋转抛物面) .5、将zOx 坐标面上的双曲线12222=-c z a x 分别绕x 轴和z 轴旋转一周,求所生成的旋转曲面的方程.解: 绕x 轴旋转得122222=+-c z y a x 绕z 轴旋转得122222=-+cz a y x .6、指出下列曲面的名称,并作图:(1)22149x z +=;(2)22y z =;(3)221x z += ;(4)22220x y z x ++-=; (5)222y x z +=;(6)22441x y z -+=;(7)221916x y z ++=;(8)222149x y z -+=-;(9)1334222=++z y x ;(10)2223122z y x +=+.解: (1)椭圆柱面;(2) 抛物柱面;(3) 圆柱面;(4)球面;(5)圆锥面;(6)双曲抛物面;(7)椭圆抛物面;(8)双叶双曲面;(9)为旋转椭球面;(10)单叶双曲面.7、指出下列方程在平面解析几何和空间解析几何中分别表示什么图形? (1)1+=x y ;(2)422=+yx ;(3)122=-y x ;(4)22x y =.解:(1)1+=x y 在平面解析几何中表示直线,在空间解析几何中表示平面; (2)422=+y x 在平面解析几何中表示圆周,在空间解析几何中表示圆柱面; (3)122=-y x 在平面解析几何中表示双曲线,在空间解析几何中表示双曲柱面;(4)y x22=在平面解析几何中表示抛物线,在空间解析几何中表示抛物柱面.8、 说明下列旋转曲面是怎样形成的?(1)1994222=++z y x ;(2)14222=+-z y x (3)1222=--z y x ;(4)222)(y x a z +=- 解:(1)xOy 平面上椭圆19422=+y x 绕x 轴旋转而成;或者 xOz 平面上椭圆22149+=x z 绕x 轴旋转而成(2)xOy 平面上的双曲线1422=-y x 绕y 轴旋转而成;或者 yOz 平面上的双曲线2214-=y z 绕y 轴旋转而成(3)xOy 平面上的双曲线122=-y x 绕x 轴旋转而成;或者 xOz 平面上的双曲线221x z -=绕x 轴旋转而成 (4)yOz 平面上的直线a y z +=绕z 轴旋转而成或者 xOz 平面上的直线z x a =+绕z 轴旋转而成.9、 画出下列各曲面所围立体的图形:(1)012243=-++z y x 与三个坐标平面所围成;(2)42,42=+-=y x x z 及三坐标平面所围成; (3)22=0,(0)=1z z =a a >,y =x,x +y 及0x =在第一卦限所围成;(4)2222,8z x y z x y =+=--所围. 解:(1)平面012243=-++z y x 与三个坐标平面围成一个在第一卦限的四面体; (2)抛物柱面24z x =-与平面24x y +=及三坐标平面所围成;(3)坐标面=0z 、0x =及平面(0)z =a a >、y=x 和圆柱面22=1x +y 在第一卦限所围成; (4)开口向上的旋转抛物面22z x y =+与开口向下的抛物面228z x y =--所围.作图略.习 题 6—41、画出下列曲线在第一卦限内的图形(1)⎩⎨⎧==21y x ;(2)⎪⎩⎪⎨⎧=---=0422y x y x z ;(3)⎪⎩⎪⎨⎧=+=+222222a z x ay x解:(1)是平面1x =与2y =相交所得的一条直线; (2)上半球面z 与平面0x y -=的交线为14圆弧; (3)圆柱面222x y a +=与222x z a +=的交线.图形略.2、分别求母线平行于x 轴及y 轴而且通过曲线⎪⎩⎪⎨⎧=-+=++0162222222y z x z y x 的柱面方程.解:消去x 坐标得16322=-z y ,为母线平行于x 轴的柱面;消去y 坐标得:162322=+z x ,为母线平行于y 轴的柱面.3、求在yOz 平面内以坐标原点为圆心的单位圆的方程(任写出三种不同形式的方程).解:⎩⎨⎧==+0122x z y ;⎩⎨⎧==++01222x z y x ; ⎪⎩⎪⎨⎧=+=++1122222z y z y x .4、试求平面20x -=与椭球面222116124x y z ++=相交所得椭圆的半轴与顶点.解:将椭圆方程22211612420x y z x ⎧++=⎪⎨⎪-=⎩化简为:221932y z x ⎧+=⎪⎨⎪=⎩,可知其为平面2=x 上的椭圆,半轴分别为3,3,顶点分别为)3,0,2(),3,0,2(),0,3,2(),0,3,2(--.5 、将下面曲线的一般方程化为参数方程(1)2229x y z y x ⎧++=⎨=⎩; (2)⎩⎨⎧==+++-04)1()1(22z z y x解:(1)原曲线方程即:⎪⎩⎪⎨⎧=+=199222z x xy ,化为⎪⎪⎪⎩⎪⎪⎪⎨⎧=≤≤==tz t t y t x sin 3)20(cos 23cos 23π;(2))20(0sin 3cos 31πθθθ≤≤⎪⎪⎩⎪⎪⎨⎧==+=z y x .6、求螺旋线⎪⎩⎪⎨⎧===θθθb z a y a x sin cos 在三个坐标面上的投影曲线的直角坐标方程.解:⎩⎨⎧==+0222z a y x ;⎪⎩⎪⎨⎧==0sin x b z a y ;⎪⎩⎪⎨⎧==0cosy b z a x .7、指出下列方程所表示的曲线(1)222253⎧++=⎨=⎩x y z x (2)⎩⎨⎧==++13094222z z y x ;(3)⎩⎨⎧-==+-3254222x z y x ; (4)⎩⎨⎧==+-+408422y x z y ; (5)⎪⎩⎪⎨⎧=-=-0214922x z y . 解:(1)圆; (2)椭圆; (3)双曲线; (4)抛物线; (5)双曲线.8、 求曲线⎩⎨⎧==-+30222z x z y 在xOy 面上的投影曲线方程,并指出原曲线是何种曲线.解:原曲线即:⎩⎨⎧=-=3922z x y ,是位于平面3=z 上的抛物线,在xOy 面上的投影曲线为⎩⎨⎧=-=0922z x y9、 求曲线 ⎪⎩⎪⎨⎧==++211222z z y x 在坐标面上的投影. 解:(1)消去变量z 后得,4322=+y x 在xOy 面上的投影为,04322⎪⎩⎪⎨⎧==+z y x 它是中心在原点,半径为23的圆周.(2)因为曲线在平面21=z 上,所以在xOz 面上的投影为线段.;23||,021≤⎪⎩⎪⎨⎧==x y z (3)同理在yOz 面上的投影也为线段..23||,21≤⎪⎩⎪⎨⎧==y x z10、 求抛物面x z y =+22与平面 02=-+z y x 的交线在三个坐标面上的投影曲线方程.解: 交线方程为⎩⎨⎧=-+=+0222z y x x z y ,(1)消去z 得投影,004522⎩⎨⎧==-++z x xy y x(2)消去y 得投影2252400x z xz x y ⎧+--=⎨=⎩,(3)消去x 得投影22200y z y z x ⎧++-=⎨=⎩.习 题 6—51、写出过点()3,2,10M 且以{}1,2,2=n 为法向量的平面方程. 解:平面的点法式方程为()()()032212=-+-+-z y x .2、求过三点()()()01,0,0,1,0,0,0,1C B A 的平面方程.解:设所求平面方程为0=+++d cz by ax ,将C B A ,,的坐标代入方程,可得d c b a -===,故所求平面方程为1=++z y x .3、求过点()1,0,0且与平面1243=++z y x 平行的平面方程. 解:依题意可取所求平面的法向量为}2,4,3{=n ,从而其方程为()()()0120403=-+-+-z y x 即 2243=++z y x .4、求通过x 轴和点(4, -3, -1)的平面的方程.解:平面通过x 轴, 一方面表明它的法线向量垂直于x 轴, 即A =0; 另一方面表明它必通过原点, 即D =0. 因此可设这平面的方程为By +Cz =0.又因为这平面通过点(4, -3, -1), 所以有-3B -C =0, 或C =-3B . 将其代入所设方程并除以B (B 0), 便得所求的平面方程为y -3z =0.5、求过点)1,1,1(,且垂直于平面7=+-z y x 和051223=+-+z y x 的平面方程.解:},1,1,1{1-=n }12,2,3{2-=n 取法向量},5,15,10{21=⨯=n n n所求平面方程为化简得:.0632=-++z y x6、设平面过原点及点)1,1,1(,且与平面8x y z -+=垂直,求此平面方程.解: 设所求平面为,0=+++D Cz By Ax 由平面过点)1,1,1(知平0,A B C D +++=由平面过原点知0D =,{1,1,1},n ⊥- 0A B C ∴-+=,0A C B ⇒=-=,所求平面方程为0.x z -=7、写出下列平面方程:(1)xOy 平面;(2)过z 轴的平面;(3)平行于zOx 的平面;(4)在x ,y ,z 轴上的截距相等的平面.解:(1)0=z ,(2)0=+by ax (b a ,为不等于零的常数), (3)c y = (c 为常数), (4) a z y x =++ (0)a ≠.8、 求平行于0566=+++z y x 而与三个坐标面所围成的四面体体积为1的平面方程.解: 设平面为,1=++c z b y a x ,1=V 111,32abc ∴⋅=由所求平面与已知平面平行得,611161c b a ==化简得,61161c b a ==令tc t b t a t c b a 61,1,6161161===⇒===代入体积式 11111666t t t ∴=⋅⋅⋅ 1,6t ⇒=±,1,6,1===∴c b a 或1,6,1,a b c =-=-=-所求平面方程为666x y z ++=或666x y z ++=-.9、分别在下列条件下确定n m l ,,的值:(1)使08)3()1()3(=+-+++-z n y m x l 和016)3()9()3(=--+-++z l y n x m 表示同一平面; (2)使0532=-++z my x 与0266=+--z y lx 表示二平行平面; (3)使013=+-+z y lx 与027=-+z y x 表示二互相垂直的平面.解:(1)欲使所给的二方程表示同一平面,则:168339133-=--=-+=+-l n n m m l 即: ⎪⎩⎪⎨⎧=-+=-+=-+092072032n l m n l m ,解之得 97=l ,913=m ,937=n . (2)欲使所给的二方程表示二平行平面,则:6362-=-=m l ,所以4-=l ,3=m . (3)欲使所给的二方程表示二垂直平面,则:7230l ++=所以: 57l=-.10、求平面011=-+y x 与083=+x 的夹角; 解:设011=-+y x 与083=+x 的夹角为θ,则cos θ ∴ 4πθ=.11、 求点(2,1,1)到平面2240x y z +-+=的距离. 解:利用点到平面的距离公式可得933d ===.习 题 6—61、求下列各直线的方程:(1)通过点)1,0,3(-A 和点)1,5,2(-B 的直线; (2) 过点()1,1,1且与直线433221-=-=-z y x 平行的直线. (3)通过点)3,51(-M 且与z y x ,,三轴分别成︒︒︒120,45,60的直线; (4)一直线过点(2,3,4)-A ,且和y 轴垂直相交,求其方程. (5)通过点)2,0,1(-M 且与两直线11111-+==-z y x 和01111+=--=z y x 垂直的直线; (6)通过点)5,3,2(--M 且与平面02536=+--z y x 垂直的直线.解:(1)所求的直线方程为:015323-=-=++z y x 即:01553-=-=+z y x ,亦即01113-=-=+z y x . (2)依题意,可取L 的方向向量为{}4,3,2=s ,则直线L 的方程为413121-=-=-z y x . (3)所求直线的方向向量为:{}⎭⎬⎫⎩⎨⎧-=︒︒︒21,22,21120cos ,45cos ,60cos ,故直线方程为: 132511--=+=-z y x . (4)因为直线和y 轴垂直相交,所以交点为),0,3,0(-B 取{2,0,4},BA s −−→==所求直线方程.440322-=+=-z y x (5)所求直线的方向向量为:{}{}{}2,1,10,1,11,1,1---=-⨯-,所以,直线方程为:22111+==-z y x . (6)所求直线的方向向量为:{}5,3,6--,所以直线方程为: 235635x y z -++==--.2、求直线1,234x y z x y z ++=-⎧⎨-+=-⎩的点向式方程与参数方程.解 在直线上任取一点),,(000z y x ,取10=x ,063020000⎩⎨⎧=--=++⇒z y z y 解2,000-==z y .所求点的坐标为)2,0,1(-,取直线的方向向量{}{}3,1,21,1,1-⨯=s k j i kji34312111--=-=,所以直线的点向式方程为:,321041-+=--=-z y x 令102,413x y z t --+===--则所求参数方程: .3241⎪⎩⎪⎨⎧--=-=+=tz ty tx3、判别下列各对直线的相互位置,如果是相交的或平行的直线求出它们所在的平面,如果相交时请求出夹角的余弦.(1)⎩⎨⎧=-+=+-0623022y x z y x 与⎩⎨⎧=-+=--+01420112z x z y x ;(2)⎪⎩⎪⎨⎧--=+==212t z t y tx 与142475x y z --+==-. 解:(1)将所给的直线方程化为标准式为:4343223z y x =-=--43227-=--=-z y x 234234-==-- ∴二直线平行.又点)0,43,23(与点(7,2,0)在二直线上,∴向量⎭⎬⎫⎩⎨⎧=⎭⎬⎫⎩⎨⎧--0,45,2110,432,237平行于二直线所确定的平面,该平面的法向量为:{}{}19,22,50,45,2114,3,2--=⎭⎬⎫⎩⎨⎧⨯-,从而平面方程为:0)0(19)2(22)7(5=-+---z y x ,即0919225=++-z y x .(2)因为121475-≠≠-,所以两直线不平行,又因为0574121031=--=∆,所以两直线相交,二直线所决定的平面的法向量为{}{}{}1,1,35,7,412,1--=-⨯-,∴二直线所决定的平面的方程为:330x y z -++=.设两直线的夹角为ϕ,则cos ϕ==4、判别下列直线与平面的相关位置: (1)37423z y x =-+=--与3224=--z y x ;(2)723zy x =-=与8723=+-z y x ; (3)⎩⎨⎧=---=-+-01205235z y x z y x 与07734=-+-z y x ;(4)⎪⎩⎪⎨⎧-=+-==4992t z t y t x 与010743=-+-z y x .解(1) 0)2(3)2()7(4)2(=-⨯+-⨯-+⨯-,而017302)4(234≠=-⨯--⨯-⨯,所以,直线与平面平行.(2) 0717)2(233≠⨯+-⨯-⨯,所以,直线与平面相交,且因为772233=--=,∴直线与平面垂直. (3)直线的方向向量为:{}{}{}1,9,51,1,22,3,5=--⨯-, 0179354=⨯+⨯-⨯,所以直线与平面平行或者直线在平面上;取直线上的点)0,5,2(--M ,显然点在)0,5,2(--M 也在平面上(因为4(2)3(5)70⨯--⨯--=),所以,直线在平面上.(4)直线的方向向量为{}9,2,1-, 097)2(413≠⨯+-⨯-⨯∴直线与平面相交但不垂直.5、验证直线l :21111-=-=-z y x 与平面π:032=--+z y x 相交,并求出它的交点和交角. 解: 032111)1(2≠-=⨯-⨯+-⨯∴直线与平面相交.又直线的参数方程为:⎪⎩⎪⎨⎧+=+=-=t z t y tx 211设交点处对应的参数为0t ,∴03)21()1()(2000=-+-++-⨯t t t ∴10-=t ,从而交点为(1,0,-1). 又设直线l 与平面π的交角为θ,则:21662111)1(2sin =⨯⨯-⨯+-⨯=θ,∴6πθ=.6、确定m l ,的值,使: (1)直线13241zy x =+=-与平面0153=+-+z y lx 平行; (2)直线⎪⎩⎪⎨⎧-=--=+=135422t z t y t x 与平面076=-++z my lx 垂直.解:(1)欲使所给直线与平面平行,则须:015334=⨯-⨯+l 即1l =-. (2)欲使所给直线与平面垂直,则须:3642=-=m l ,所以:8,4-==m l .7、求下列各平面的方程: (1)通过点)1,0,2(-p ,且又通过直线32121-=-=+z y x 的平面; (2)通过直线115312-+=-+=-z y x 且与直线⎩⎨⎧=--+=---052032z y x z y x 平行的平面; (3)通过直线223221-=-+=-z y x 且与平面0523=--+z y x 垂直的平面;(4). 求过点(2,1,0)M 与直线2335x t y t z t =-⎧⎪=+⎨⎪=⎩垂直的平面方程.解:(1)因为所求的平面过点)1,0,2(-p 和)2,0,1(-'p ,且它平行于向量{}3,1,2-,所以要求的平面方程为:03331212=--+-z y x , 即015=-++z y x .(2)已知直线的方向向量为{}{}{}2,1,11,2,13,1,5--⨯-=,∴平面方程为:2311510315x y z -++--=,即3250x y z +--= (3)所求平面的法向量为{}{}{}13,8,11,2,32,3,2-=-⨯-,∴平面的方程为:0)2(13)2(8)1(=--+--z y x ,即09138=+--z y x .(4).所求平面的法向量为{}2,3,1,则平面的方程为:2(2)3(1)(0)0x y z -+-+-=, 即 2370x y z ++-=.8、求点(4,1,2)M 在平面1x y z ++=上的投影.解: 过点(4,1,2)M 作已知平面的垂线,垂线的方向向量就是已知平面的法向量(1,1,1),所以垂线方程为412111x y z ---==,此垂线与已知平面的交点即为所求投影.为了求投影,将垂线方程化为参数方程412x t y t z t =+⎧⎪=+⎨⎪=+⎩,代入平面方程求得2t =-,故投影为(2,1,0)-. 9、求点)1,3,2(-p 到直线⎩⎨⎧=++-=++-0172230322z y x z y x 的距离.解:直线的标准方程为:2251211-+==-z y x 所以p 到直线的距离 1534532025)2(1212392292421243222222===-++-+--+-=d .10、设0M 是直线L 外一点,M 是直线L 上一点,且直线的方向向量为s ,试证:点0M 到直线L 的距离为d =.证:设0M M 与L 的夹角为θ,一方面由于0sin d M M θ=;另一方面,00sin M M s M M s θ⨯=,所以d =.11、求通过平面0134=-+-z y x 和025=+-+z y x 的交线且满足下列条件之一的平面: (1)通过原点; (2)与y 轴平行;(3)与平面0352=-+-z y x 垂直. 解: (1)设所求的平面为:0)25()134(=+-++-+-z y x z y x λ 欲使平面通过原点,则须:021=+-λ,即21=λ,故所求的平面方程为 0)25()134(2=+-++-+-z y x z y x 即:0539=++z y x .(2)同(1)中所设,可求出51=λ.故所求的平面方程为 0)25()134(5=+-++-+-z y x z y x 即:031421=-+z x .(3)如(1)所设,欲使所求平面与平面0352=-+-z y x 垂直,则须:0)3(5)51()4(2=-++--+λλλ从而3=λ,所以所求平面方程为05147=++y x .12、求直线⎩⎨⎧=++-=--+0101z y x z y x 在平面0=++z y x 上的投影直线的方程.解:应用平面束的方法.设过直线⎩⎨⎧=++-=--+0101z y x z y x 的平面束方程为0)1()1(=++-+--+z y x z y x λ即01)1()1()1(=-++-+-++λλλλz y x这平面与已知平面0=++z y x 垂直的条件是01)1(1)1(1)1(=⋅+-+⋅-+⋅+λλλ,解之得1-=λ代入平面束方程中得投影平面方程为10y z --=,所以投影直线为⎩⎨⎧=++=--001z y x z y .13、请用异于本章第五节例7的方法来推导点到平面的距离公式.证:设),,(0000z y x P 是平面π:0+++=Ax By Cz D 外的一点,下面我们来求点0P 到平面π的距离. 过0P 作平面π的垂线L :000x x y y z z A B C---==,设L 与平面π的交点为(,,)P x y z ,则P 与0P 之间的距离即为所求.因为点(,,)P x y z 在L 上,所以000x x Aty y Bt z z Ct-=-=-=⎧⎪⎨⎪⎩,而(,,)P x y z 在平面π上,则000()()()0A x At B y Bt C z Ct D ++++++=000222Ax By Cz A B t DC ⇒=-+++++,故000222Ax By Cz Dd t A B C+++===++=.习 题 6—7飞机的速度:假设空气以每小时32公里的速度沿平行y 轴正向的方向流动,一架飞机在xoy 平面沿与x 轴正向成π6的方向飞行,若飞机相对于空气的速度是每小时840公里,问飞机相对于地面的速度是多少?解:如下图所示,设OA 为飞机相对于空气的速度,AB 为空气的流动速度,那么OB 就是飞机相对于地面的速度.840cos 840sin 4203420,3266OA i j i j AB j ππ=⋅+⋅=+=所以, 24203452,(420856.45OB i j OB =+=≈千米/小时.复习题A一 、判断正误:1、 若c b b a ⋅=⋅且≠0b ,则c a =; ( ⨯ )解析 c b b a ⋅-⋅=)(c a b -⋅=0时,不能判定=b 0或c a =.例如i a =,j b =,k c =,有⋅=⋅=0a b b c ,但c a ≠.2、 若c b b a ⨯=⨯且≠0b ,则c a =; ( ⨯ )解析 此结论不一定成立.例如i a =,j b =,)(j i c +-=,则k j i b a =⨯=⨯,k j i j c b =+-⨯=⨯)]([,c b b a ⨯=⨯,但c a ≠.3 、若0=⋅c a ,则=0a 或=0c ; ( ⨯ ) 解析 两个相互垂直的非零向量点积也为零.4、 a b b a ⨯-=⨯. ( √ ) 解析 这是叉积运算规律中的反交换律.二、选择题:1 、 当a 与b 满足( D )时,有b a b a +=+;(A)⊥a b ; (B)λ=a b (λ为常数); (C)a ∥b ; (D)⋅=a b a b .解析 只有当a 与b 方向相同时,才有a +b =a +b .(A)中a ,b 夹角不为0,(B),(C)中a ,b 方向可以相同,也可以相反.2、下列平面方程中,方程( C )过y 轴;图6-1 空所流动与飞机飞行速度的关系(A) 1=++z y x ; (B) 0=++z y x ; (C) 0=+z x ; (D) 1=+z x . 解析 平面方程0=+++D Cz By Ax 若过y 轴,则0==D B ,故选C .3 、在空间直角坐标系中,方程2221y x z --=所表示的曲面是( B );(A) 椭球面; (B) 椭圆抛物面; (C) 椭圆柱面; (D) 单叶双曲面.解析 对于曲面2221y x z --=,垂直于z 轴的平面截曲面是椭圆,垂直于x 轴或y 轴的平面截曲面是开口向下的抛物线,根据曲面的截痕法,可以判断曲面是椭圆抛物面.4、空间曲线⎩⎨⎧=-+=5,222z y x z 在xOy 面上的投影方程为( C );(A)722=+y x ; (B)⎩⎨⎧==+5722z y x ; (C) ⎩⎨⎧==+0722z y x ;(D)⎩⎨⎧=-+=0222z y x z解析 曲线⎩⎨⎧==+5722z y x 与xOy 平面平行,在xOy 面上的投影方程为⎩⎨⎧==+0722z y x .5 、直线11121-+==-z y x 与平面1=+-z y x 的位置关系是( B ). (A) 垂直; (B) 平行; (C) 夹角为π4; (D) 夹角为π4-.解析 直线的方向向量s ={2,1,-1},平面的法向量n ={1,-1,1},n s ⋅=2-1-1=0,所以,s ⊥n ,直线与平面平行.三、填空题:1、若2=b a ,π()2=a,b ,则=⨯b a 2 ,=⋅b a 0 ; 解 =⨯b a b a sin()a,b π22=2,=⋅b a b a cos()a,b π22=0.2、与平面062=-+-z y x 垂直的单位向量为 }2,1,1{66-±; 解 平面的法向量 n ={1,-1,2}与平面垂直,其单位向量为0n =411++=6,所以,与平面垂直的单位向量为}2,1,1{66-±.3、过点)2,1,3(--和)5,0,3(且平行于x 轴的平面方程为 057=-+z y ;解 已知平面平行于x 轴,则平面方程可设为 0=++D Cz By ,将点 (-3,1,-2)和(3,0,5)代入方程,有{20,50,B C D C D -+=+= ⇒ 7,51,5B D C D ⎧=-⎪⎨⎪=-⎩得 05157=+--D Dz Dy ,即 057=-+z y .4、过原点且垂直于平面022=+-z y 的直线为z yx -==20; 解 直线与平面垂直,则与平面的法向量 n ={0,2,-1}平行,取直线方向向量s =n ={0,2,-1},由于直线过原点,所以直线方程为z yx -==20 .5、曲线⎩⎨⎧=+=1,222z y x z 在xOy 平面上的投影曲线方程为 ⎩⎨⎧==+.0,1222z y x解: 投影柱面为 1222=+y x ,故 ⎩⎨⎧==+0,1222z y x 为空间曲线在xOy 平面上的投影曲线方程.四、解答题:1、 已知}1,2,1{-=a ,}2,1,1{=b ,计算(a) b a ⨯; (b) ()()-⋅+2a b a b ; (c) 2b a -;解: (a) b a ⨯=211121-kj i 1,3}5,{--=. (b) {2,4,2}{1,1,2}{1,5,0}2a b -=--=-,1,3}{2,{1,1,2}2,1}{1,-=+-=+b a , 所以()()-⋅+2a b a b 7}3,1,2{}0,5,1{=-⋅-=.(c) 1}3,{0,{1,1,2}2,1}{1,--=--=-b a ,所以2b a -10)19(2=+=.2、已知向量21P P 的始点为)5,2,2(1-P ,终点为)7,4,1(2-P ,试求:(1)向量21P P 的坐标表示; (2)向量21P P 的模;(3)向量21P P 的方向余弦; (4)与向量21P P 方向一致的单位向量.解: (1) }2,6,3{}57),2(4,21{21-=-----=P P ;74926)3(222==++-=;(3) 21P P 在z y x ,,三个坐标轴上的方向余弦分别为362cos ,cos ,cos 777αβγ=-==;(4)k j i k j i 7276737263)(21++-=++-==P P.3、设向量{}1,1,1=-a ,{}1,1,1=-b ,求与a 和b 都垂直的单位向量.解: 令{}1110,2,2111=⨯=-=-i j kc a b,01⎧==⎨⎩c c c ,故与a 、b都垂直的单位向量为0⎧±=±⎨⎩c .4、向量d垂直于向量]1,3,2[-=a和]3,2,1[-=b ,且与]1,1,2[-=c的数量积为6-,求向量d解: d垂直于a与b ,故d平行于b a⨯,存在数λ使()b a d⨯=λ⨯-=]1,3,2[λ]3,2,1[-]7,7,7[λλλ--=因6-=⋅c d,故6)7(1)7()1(72-=-⨯+-⨯-+⨯λλλ, 73-=λ]3,3,3[-=∴d.5、求满足下列条件的平面方程:(1)过三点)2,1,0(1P ,)1,2,1(2P 和)4,0,3(3P;(2)过x 轴且与平面025=++z y x 的夹角为π3. 解 (1)解1: 用三点式.所求平面的方程为0241003211201210=---------z y x ,即01345=+--z y x . 解2:}1,1,1{-=}2,1,3{-=,由题设知,所求平面的法向量为k j i kj in 452131113121--=--=⨯=P P P P , 又因为平面过点)2,1,0(1P ,所以所求平面方程为0)2(4)1(5)0(=-----z y x ,即01345=+--z y x .解3: 用下面的方法求出所求平面的法向量},,{C B A =n ,再根据点法式公式写出平面方程也可. 因为3121,P P P P ⊥⊥n n ,所以{0,320,A B C A B C +-=-+=解得A C A B 4,5-=-=,于是所求平面方程为0)2(4)1(5)0(=-----z A y A x A ,即 01345=+--z y x .(2)因所求平面过x 轴,故该平面的法向量},,{C B A =n 垂直于x 轴,n 在x 轴上的投影0=A ,又平面过原点,所以可设它的方程为0=+Cz By ,由题设可知0≠B (因为0=B 时,所求平面方程为0=Cz 又0≠C ,即0=z .这样它与已知平面025=++z y x 所夹锐角的余弦为π1cos 32=≠=,所以0≠B ),令C B C'=,则有0='+z C y ,由题设得 22222212)5(10121503cos ++'++⨯'+⨯+⨯=πC C , 解得3='C 或13C '=-,于是所求平面方程为03=+z y 或03=-z y .6、 一平面过直线⎩⎨⎧=+-=++04,05z x z y x 且与平面01284=+--z y x 垂直,求该平面方程;解法1: 直线⎩⎨⎧=+-=++04,05z x z y x 在平面上,令x =0,得 54-=y ,z =4,则(0,-54,4)为平面上的点.设所求平面的法向量为n =},,{C B A ,相交得到直线的两平面方程的法向量分别为 1n ={1,5,1},2n ={1,0,-1},则直线的方向向量s =1n ⨯2n =101151-kj i ={-5,2,-5},由于所求平面经过直线,故平面的法向量与直线的方向向量垂直,即⋅n s ={-5,2,-5}•},,{C B A =C B A 525-+-=0,因为所求平面与平面01284=+--z y x 垂直,则}8,4,1{},,{--⋅C B A =C B A 84--=0,解方程组{5250,480,A B C A B C -+=--= ⇒ 2,5,2A CBC =-⎧⎪⎨=-⎪⎩ 所求平面方程为 0)4()54(25)0(2=-++---z C y C x C ,即012254=+-+z y x .解法2: 用平面束(略)7、求既与两平面1:43x z π-=和2:251x y z π--=的交线平行,又过点(3,2,5)-的直线方程.解法1:{}11,0,4=-n ,{}22,1,5=--n ,{}124,3,1s =⨯=---n n ,从而根据点向式方程,所求直线方程为325431x y z +--==---,即325431x y z +--==. 解法2:设{},,s m n p =,因为1⊥s n ,所以40m p -=;又2⊥s n ,则250m n p --=,可解4,3m p n p ==,从而0p ≠.根据点向式方程,所求直线方程为32543x y z p p p +--==,即325431x y z +--==. 解法3:设平面3π过点(3,2,5)-,且平行于平面1π,则{}311,0,4==-n n 为3π的法向量,从而3π的方程为1(3)0(2)4(5)0x y z ⋅++⋅--⋅-=,即4230x z -+=.同理,过已知点且平行于平面2π的平面4π的方程为25330x y z --+=.故所求直线的方程为423025330x z x y z -+=⎧⎨--+=⎩.8、 一直线通过点)1,2,1(A ,且垂直于直线11231:+==-z y x L ,又和直线z y x ==相交,求该直线方程;解: 设所求直线的方向向量为{,,}m n p =s ,因垂直于L ,所以320m n p ++=;又因为直线过点)1,2,1(A ,则所求直线方程为 p z n y m x 121-=-=-,联立121,①,②320,③x y z m n p x y z m n p ---⎧==⎪⎨==⎪++=⎩由①,令λ=-=-=-p z n y m x 121,则有⎪⎩⎪⎨⎧+=+=+=,1,2,1p z n y m x λλλ代入方程②有{12,11,m n m p λλλλ+=++=+ 可得p m =,代入③解得p n 2-=, 因此,所求直线方程为112211-=--=-z y x .9、 指出下列方程表示的图形名称:(a) 14222=++z y x ;(b) z y x 222=+;(c) 22y x z +=;(d) 022=-y x ;(e) 122=-y x ; (f) ⎩⎨⎧=+=222z y x z .解: (a) 绕y 轴旋转的旋转椭球面.(b) 绕z 轴旋转的旋转抛物面. (c) 绕z 轴旋转的锥面. (d) 母线平行于z 轴的两垂直平面:y x =,y x -=. (e) 母线平行于z 轴的双曲柱面. (f) 旋转抛物面被平行于XOY 面的平面所截得到的圆,半径为2,圆心在(0,0,2)处.10、求曲面22z x y =+与222()z x y =-+所围立体在xOy 平面上的投影并作其图形.解: 将所给曲面方程联立消去z ,就得到两曲面交线C 的投影柱面的方程122=+y x ,所以柱面与xOy 平面的交线⎩⎨⎧==+'01:22z y x C 所围成的区域221+≤x y 即为曲面22z x y =+与222()z x y =-+所围立体在xOy 平面上的投影(图略).复习题B1、设4=a ,3=b ,()6π=a,b ,求以2+a b 和3-a b 为邻边的平行四边形的面积.解:(2)(3)326A =+⨯-=⨯-⨯+⨯-⨯a b a b a a a b b a b b325=-⨯-⨯=-⨯a b a b a b 15sin()543302=⋅=⨯⨯⨯=a b a,b .2、设(3)(75)+⊥-a b a b ,(4)(72)-⊥-a b a b ,求()a,b . 解: 由已知可得:(3)(75)0+⋅-=a b a b ,(4)(72)0-⋅-=a b a b 即 22715160-+⋅=a b a b ,2278300+-⋅=a b a b .这可看成是含三个变量a 、b 及⋅a b 的方程组,可将a 、b 都用⋅a b 表示,即==a b 1cos()22⋅⋅===⋅a b a b a,b a b a b ,()3π=a,b .3、求与}3,2,1{-=a 共线,且28=⋅b a 的向量b .解 由于b 与a 共线,所以可设}3,2,{λλλλ-==a b ,由28=⋅b a ,得28}3,2,{}3,2,1{=-⋅-λλλ, 即2894=++λλλ,所以2=λ,从而}6,4,2{-=b .4、 已知}0,1,1{},2,0,1{=-=b a ,求c ,使b c a c ⊥⊥,且6=c .解法1: 待定系数法.设},,{z y x =c ,则由题设知0,0=⋅=⋅b c a c 及6=c ,所以有①20②③6x z ⎧-=⎪=由①得2xz = ④,由②得x y -= ⑤,将④和⑤代入③得62)(222=⎪⎭⎫⎝⎛+-+x x x ,解得2,4,4±==±=z y x ,于是 }2,4,4{-=c 或}2,4,4{--=c .解法2: 利用向量的垂直平行条件,因为b c a c ⊥⊥,,所以c ∥b a ⨯.设λ是不为零的常数,则k j i k j i b a c λλλλλ+-=-=⨯=22011201)(,因为6=c ,所以6]1)2(2[2222=+-+λ,解得2±=λ,所以}2,4,4{-=c 或{4,4,2}=--c .解法3: 先求出与向量b a ⨯方向一致的单位向量,然后乘以6±.k j i kji b a +-=-=⨯22011201,31)2(2222=+-+=⨯b a ,故与b a ⨯方向一致的单位向量为}1,2,2{31-.于是}1,2,2{36-±=c ,即}2,4,4{-=c 或}2,4,4{--=c .5、求曲线222x y R x y z ⎧+=⎨++=⎩的参数式方程.解: 曲线参数式方程是把曲线上任一点(,,)P x y z 的坐标,,x y z 都用同一变量即参数表示出来,故可令cos ,sin x R t y R t ==,则(cos sin )z R t t =-+.6、求曲线22:2z L x y x⎧⎪=⎨+=⎪⎩xOy 面上及在zOx 面上的投影曲线的方程.解: 求L 在xOy 面上的投影的方程,即由L 的两个方程将z 消去,即得L 关于xOy 面的投影柱面的方程222x y x +=则L 在xOy 面上的投影曲线的方程为2220x y xz ⎧+=⎨=⎩. 同理求L 在zOx 面上的投影的方程,即由L 的两个方程消去y ,得L 关于zOx 面的投影柱面的方程z =L 在zOx面上的投影曲线方程为0z y ⎧=⎪⎨=⎪⎩.7、已知平面π过点0(1,0,1)M -和直线1211:201x y z L ---==,求平面π的方程. 解法1: 设平面π的法向量为n ,直线1L 的方向向量1(2,0,1)=s ,由题意可知1⊥n s ,(2,1,1)M 是直线1L 上的一点,则0(1,1,2)M M =在π上,所以0MM ⊥n ,故可取10MM =⨯n s (1,3,2)=--.则所求平面的点法式方程为1(1)3(0)2(1)0x y z ⋅-+⋅--⋅+=,即3230x y z +--=为所求平面方程.解法2: 设平面π的一般方程为0Ax By Cz D +++=,由题意可知,π过点0(1,0,1)M -,故有0A C D -+=, (1)在直线1L 上任取两点12(2,1,1),(4,1,2)M M ,将其代入平面方程,得20A B C D +++=, (2)420A B C D +++=, (3)由式(1)、(2)、(3)解得3,2,3B A C A D A ==-=-,故平面π的方程为3230x y z +--=.解法3: 设(),,M x y z 为π上任一点.由题意知向量0M M 、01M M 和1s 共面,其中()12,1,1M 为直线1L 上的点,1(2,0,1)=s 为直线1L 的方向向量.因此0011()0M M M M ⨯⋅=s ,故平面π的方程为1012110110201x y z --+--+=,即3230x y z +--=为所求平面方程.8、求一过原点的平面π,使它与平面0:π4830x y z -+-=成4π角,且垂直于平面1:π730x z ++=. 解: 由题意可设π的方程为0Ax By Cz ++=,其法向量为(,,)A B C =n ,平面0π的法向量为0(1,4,8)=-n ,平面1π的法向量为1(7,0,1)=n ,由题意得00||cos 4||||π⋅=⋅n n n n ,即=(1) 由10⋅=n n ,得70A C +=,将7C A =-代入(12=,解得20,B A =或10049B A =-,则所求平面π的方程为2070x y z +-= 或 491003430x y z --=.9、求过直线1L :0230x y z x y z ++=⎧⎨-+=⎩且平行于直线2L :23x y z ==的平面π的方程.解法1: 直线1L 的方向向量为1=s 111(4,1,3)213==---i j k,直线2L 的对称式方程为632x y z==,方向向量为2(6,3,2)=s ,依题意所求平面π的法向量1⊥n s 且2⊥n s ,故可取12=⨯n s s ,则413(7,26,18)632=--=-i j kn ,又因为1L 过原点,且1L 在平面π上,从而π也过原点,故所求平面π的方程为726180x y z -+=.解法2: 设所求平面π为 (23)0x y z x y z λ+++-+=,即(12)(1)(13)0x y z λλλ++-++=, 其法向量为(12,1,13)λλλ=+-+n ,由题意知2⊥n s ,故26(12)3(1)2(13)0λλλ⋅=++-++=n s ,得1115λ=-,则所求平面π的方程为726180x y z -+=.另外,容易验证230x y z -+=不是所求的平面方程.10、求过直线L :⎩⎨⎧=+-+=+-+0185017228z y x z y x 且与球面1222=++z y x 相切的平面方程解: 设所求平面为 ()018517228=+-+++-+z y x z y x λ,即 (15)(288)(2)170x y z λλλλ+++-+++=,由题意:球心)0,0,0(到它的距离为1,即1)2()828()51(17222=--+++++λλλλ解得:89250-=λ 或 2-=λ 所求平面为:42124164387=--z y x 或 543=-y x11、求直线L :11111--==-z y x 在平面π:012=-+-z y x 上投影直线0L 的方程,并求直线0L 绕y 轴旋转一周而成的曲面方程.解: 将直线L :11111--==-z y x 化为一般方程 ⎩⎨⎧=-+=--0101y z y x ,设过直线L 且与平面π垂直的平面方程为()011=-++--y z y x λ,则有02)1(1=+--λλ,即2λ=-,平面方程为0123=+--z y x ,这样直线0L 的方程⎩⎨⎧=-+-=+--0120123z y x z y x 把此方程化为:⎩⎨⎧--==)1(221y z yx ,因此直线0L 绕y 轴旋转一周而成的曲面方程为:22221(2)(1)2x z y y ⎛⎫+=+-- ⎪⎝⎭即 0124174222=-++-y z y x .12、求过点)1,0,3(-A 且平行于平面1π:3450x y z --+=,又与直线1:2x L =1111y z -+=-相交的直线L 的方程.解法1: 用点向式方程.因为直线L 平行于平面1π,故直线L 的方向向量},,{p n m =s 垂直于平面1π的法向量}1,4,3{--=n ,从而得043=--p n m ①,又直线1L 的方向向量为}1,1,2{-=s ,)1,1,0(-B 是直线1L 上一点,)1,0,3(-A 是直线L 上一点,根据题设:直线L 与直线1L 相交,所以1s,s 及AB 共面,因此1()2110312m n pAB ⨯⋅=-=-s s ,即0=-+-p n m ②,将①和②联立解得p n p m 4,5-=-=,由此得145p n m =-=-,于是所求直线方程为11453-=-=-+z y x .。
习题6?21? 求图6?21 中各画斜线部分的面积?(1)解 画斜线部分在x 轴上的投影区间为[0? 1]? 所求的面积为 61]2132[)(1022310=-=-=⎰x x dx x x A .(2)解法一 画斜线部分在x 轴上的投影区间为[0? 1]? 所求的面积为1|)()(1010=-=-=⎰x x e ex dx e e A ?解法二 画斜线部分在y 轴上的投影区间为[1? e ]? 所求的面积为1)1(|ln ln 111=--=-==⎰⎰e e dy y y ydy A e e e ?(3)解 画斜线部分在x 轴上的投影区间为[?3? 1]? 所求的面积为 332]2)3[(132=--=⎰-dx x x A ?(4)解 画斜线部分在x 轴上的投影区间为[?1? 3]? 所求的面积为332|)313()32(3132312=-+=-+=--⎰x x x dx x x A ?2. 求由下列各曲线所围成的图形的面积?(1) 221x y =与x 2?y 2?8(两部分都要计算)?解?34238cos 16402+=-=⎰ππtdt ? 346)22(122-=-=ππS A ? (2)xy 1=与直线y ?x 及x ?2?解?所求的面积为⎰-=-=212ln 23)1(dx x x A ?(3) y ?e x ? y ?e ?x 与直线x ?1?解?所求的面积为 ⎰-+=-=-1021)(ee dx e e A x x ? (4)y =ln x , y 轴与直线y =ln a , y =ln b (b >a >0).解所求的面积为3? 求抛物线y ??x 2?4x ?3及其在点(0? ?3)和(3? 0)处的切线所围成的图形的面积? 解?y ???2 x ?4?过点(0, ?3)处的切线的斜率为4? 切线方程为y ?4(x ?3)?过点(3, 0)处的切线的斜率为?2? 切线方程为y ??2x ?6?两切线的交点为)3 ,23(? 所求的面积为 49]34(62[)]34(34[23023232=-+--+-+-+---=⎰⎰dx x x x x x x A ?4? 求抛物线y 2=2px 及其在点),2(p p 处的法线所围成的图形的面积?解2y ?y ??2p ?在点),2(p p处? 1),2(=='p p y p y ? 法线的斜率k ??1? 法线的方程为)2(px p y --=-? 即y p x -=23? 求得法线与抛物线的两个交点为),2(p p 和)3,29(p p -? 法线与抛物线所围成的图形的面积为233232316)612123()223(p y p y y p dy p y y p A p p pp =--=--=--⎰? 5? 求由下列各曲线?所围成的图形的面积?(1)??2a cos ? ??解?所求的面积为 ⎰⎰==-2022222cos 4)cos 2(21πππθθθθd a d a A ??a 2?(2)x ?a cos 3t , y ?a sin 3t ;解所求的面积为2206204283]sin sin [12a tdt tdt a πππ=-=⎰⎰? (3)?=2a (2+cos ? )解所求的面积为 2202220218)cos cos 44(2)]cos 2(2[21a d a d a A πθθθθθππ=++=+=⎰⎰? 6? 求由摆线x ?a (t ?sin t )? y ?a (1?cos t )的一拱(0?t ?2?)与横轴?所围成的图形的面积?解?所求的面积为π22023)2cos 1cos 21(a dt t t a a =++-=⎰? 7? 求对数螺线??ae ?(??????)及射线???所围成的图形面积?解所求的面积为 )(421)(21222222ππππθππθθθ----===⎰⎰e e a d e a d ae A ? 8? 求下列各曲线所围成图形的公共部分的面积?(1)??3cos ? 及??1?cos ?解曲线??3cos ? 与??1?cos ??交点的极坐标为)3,23(πA ? )3,23(π-B ? 由对称性? 所求的面积为πθθθθπππ45])cos 3(21)cos 1(21[2232302=++=⎰⎰d d A ? (2)θρsin 2=及θρ2cos 2=?解曲线θρsin 2=与θρ2cos 2=的交点M 的极坐标为M )6,22(π? 所求的面积为 2316]2cos 21)sin 2(21[246602-+=+=⎰⎰πθθθθπππd d A ? 9? 求位于曲线y =e x 下方??该曲线过原点的切线的左方以及x 轴上方之间的图形的面积?解 设直线y ?kx 与曲线y ?e x 相切于A (x 0? y 0)点? 则有⎪⎩⎪⎨⎧=='==k e x y e y kx y x x 00)(0000?求得x 0?1? y 0?e ? k ?e ?所求面积为21ln 21)ln 1(00020e dy y y y y y e dy y y e e e e e=⋅+-=-⎰⎰? 10? 求由抛物线y 2?4ax 与过焦点的弦所围成的图形的面积的最小值?解 设弦的倾角为?? 由图可以看出? 抛物线与过焦点的弦所围成的图形的面积为10A A A +=? 显然当时? A 1?0? 当2πα<时? A 1?0? 2πα=因此? 抛物线与过焦点的弦所围成的图形的面积的最小值为 20300383822a x a dx ax A a a===⎰? 11? 把抛物线y 2?4ax 及直线x ?x 0(x 0?0)所围成的图形绕x 轴旋转? 计算所得旋转体的体积?解 所得旋转体的体积为2002002224000x a x a axdx dx y V x x x ππππ====⎰⎰?12? 由y ?x 3? x ?2? y ?0所围成的图形? 分别绕x 轴及y 轴旋转? 计算所得两个旋转体的体积?解 绕x 轴旋转所得旋转体的体积为ππππ712871207206202====⎰⎰x dx x dx y V x ?绕y 轴旋转所得旋转体的体积为πππ56453328035=-=y ?13? 把星形线3/23/23/2a y x =+所围成的图形? 绕x 轴旋转? 计算所得旋转体的体积? 解 由对称性? 所求旋转体的体积为30234323234210532)33(2a dx x x a x a a a ππ=-+-=⎰?14? 用积分方法证明图中球缺的体积为)3(2H R H V -=π?证明 ⎰⎰---==RHR RHR dy y R dy y x V )()(222ππ)3()31(232H R H y y R RH R -=-=-ππ? 15? 求下列已知曲线所围成的图形? 按指定的轴旋转所产生的旋转体的体积? (1)2x y =? 2y x =? 绕y 轴?解 ππππ103)5121()(1052102210=-=-=⎰⎰y y dy y ydy V ?(2)ax a y ch=? x ?0? x ?a ? y ?0? 绕x 轴? 解 ⎰⎰⎰===102302202chch )(udu a au x dx ax a dx x y V aaπππ令 )2sh 2(43+=a π? (3)16)5(22=-+y x ? 绕x 轴? 解 ⎰⎰------+=44224422)165()165(dx x dx x V ππ24021601640π⎰=-=dx x ?(4)摆线x ?a (t ?sin t )? y ?a (1?cos t )的一拱? y ?0? 绕直线y ?2a ? 解 ⎰⎰--=ππππa a dx y a dx a V 202202)2()2(232023237sin )cos 1(8ππππa tdt t a a =+-=⎰?16? 求圆盘222a y x ≤+绕x ??b (b >a >0)旋转所成旋转体的体积? 解 ⎰⎰------+=aaaa dy y ab dy y a b V 222222)()(ππ2202228ππb a dy y a b a=-=⎰?17? 设有一截锥体? 其高为h ? 上、下底均为椭圆? 椭圆的轴长分别为2a 、2b 和2A 、2B ? 求这截锥体的体积?解 建立坐标系如图? 过y 轴上y 点作垂直于y 轴的平面? 则平面与截锥体的截面为椭圆? 易得其长短半轴分别为y h a A A --? y hb B B --? 截面的面积为π)()(y hb B B y h a A A --⋅--?于是截锥体的体积为])(2[61)()(0bA aB AB ab h dy y h b B B y h a A A V h+++=--⋅--=⎰ππ? 18? 计算底面是半径为R 的圆? 而垂直于底面上一条固定直径的所有截面都是等边三角形的立体体积?解 设过点x 且垂直于x 轴的截面面积为A (x )? 由已知条件知? 它是边长为x R -2的等边三角形的面积? 其值为 )(3)(22x R x A -=?所以 322334)(3R dx x R V RR=-=⎰-?19? 证明 由平面图形0?a ?x ?b ? 0?y ?f (x )绕y 轴旋转所成的旋转体的体积为 ⎰=badx x xf V )(2π?证明 如图? 在x 处取一宽为dx 的小曲边梯形? 小曲边梯形绕y 轴旋转所得的旋转体的体积近似为2?x ?f (x )dx ? 这就是体积元素? 即 dV ?2?x ?f (x )dx ?于是平面图形绕y 轴旋转所成的旋转体的体积为⎰⎰==bab adx x xf dx x xf V )(2)(2ππ?20? 利用题19和结论? 计算曲线y ?sin x (0?x ??)和x 轴所围成的图形绕y 轴旋转所得旋转体的体积? 解 2002)sin cos (2cos 2sin 2πππππππ=+-=-==⎰⎰x x x x xd xdx x V ?21? 计算曲线y ?ln x 上相应于83≤≤x 的一段弧的长度?解 ⎰⎰⎰+=+='+=8328328321)1(1)(1dx xx dx x dx x y s ?令t x =+21? 即12-=t x ? 则23ln 211111113223232222322+=-+=-=-⋅-=⎰⎰⎰⎰dt t dt dt t t dt t tt t s ? 22? 计算曲线)3(3x x y -=上相应于1?x ?3的一段弧的长度?解 x x x y 31-=? x x y 2121-='? x x y 4121412+-='? )1(2112xx y +='+?所求弧长为3432)232(21)1(213131-=+=+=⎰x x x dx xx s ? 23? 计算半立方抛物线32)1(32-=x y 被抛物线32x y =截得的一段弧的长度?解 由⎪⎩⎪⎨⎧=-=3)1(32232x y x y 得两曲线的交点的坐标为)36,2(? )36 ,2(-? 所求弧长为⎰'+=21212dx y s ?因为2)1(22-='x y y ? yx y 2)1(-='? )1(23)1(32)1()1(34242-=--=-='x x x y x y ? 所以]1)25[(98)13(13232)1(2312232121-=--=-+=⎰⎰x d x dx x s ? 24? 计算抛物线y 2?2px 从顶点到这曲线上的一点M (x ? y )的弧长?解 ⎰⎰⎰+=+='+=y y ydy y p p dy p y dy y x s 02202021)(1)(1py p y p y p p y 2222ln22++++=? 25? 计算星形线t a x 3cos =? t a y 3sin =的全长? 解 用参数方程的弧长公式?a tdt t 6cos sin 122==⎰π?26? 将绕在圆(半径为a )上的细线放开拉直? 使细线与圆周始终相切? 细线端点画出的轨迹叫做圆的渐伸线? 它的方程为 )sin (cos t t t a x +=? )cos (sin t t t a y -=?计算这曲线上相应于t 从0变到?的一段弧的长度? 解 由参数方程弧长公式202ππa tdt a==⎰? 27? 在摆线x ?a (t ?sin t )? y ?a (1?cos t )上求分摆线第一拱成1? 3的点的坐标? 解 设t 从0变化到t 0时摆线第一拱上对应的弧长为s (t 0)? 则)2cos 1(42sin 2000t a dt t a t -==⎰? 当t 0?2?时? 得第一拱弧长s (2?)?8a ? 为求分摆线第一拱为1? 3的点为A (x ? y )? 令a t a 2)2cos 1(40=-?解得320π=t ? 因而分点的坐标为? 横坐标a a x )2332()32sin 32(-=-=πππ? 纵坐标a a y 23)32cos1(=-=π?故所求分点的坐标为)23 ,)2332((a a -π? 28? 求对数螺线θρa e =相应于自??0到???的一段弧长?? 解 用极坐标的弧长公式?)1(1122-+=+=⎰θϕθθa a e aa d e a ?29? 求曲线???1相应于自43=θ至34=θ的一段弧长? 解 按极坐标公式可得所求的弧长23ln 12511344322+=+=⎰θθθd ? 30? 求心形线??a (1?cos ???的全长?? 解 用极坐标的弧长公式?a d a82cos 40==⎰πθθ?习题6?31? 由实验知道? 弹簧在拉伸过程中? 需要的力F (单位? N )与伸长量s (单位? cm)成正比? 即F ?ks (k 为比例常数)? 如果把弹簧由原长拉伸6cm? 计算所作的功?解 将弹簧一端固定于A ? 另一端在自由长度时的点O 为坐标原点? 建立坐标系? 功元素为dW ?ksds ? 所求功为1821626===⎰s k ksds W k(牛?厘米)? 2? 直径为20cm 、高80cm 的圆柱体内充满压强为10N/cm 2的蒸汽? 设温度保持不变? 要使蒸汽体积缩小一半? 问需要作多少功? 解 由玻?马定律知?ππ80000)8010(102=⋅⋅==k PV ?设蒸气在圆柱体内变化时底面积不变? 高度减小x 厘米时压强 为P (x )牛/厘米2? 则ππ80000)]80)(10[()(2=-⋅x x P ? π-=80800)(x P ? 功元素为dx x P dW )()10(2⋅=π? 所求功为2ln 8008018000080800)10(400402πππππ=-=-⋅⋅=⎰⎰dx dx W (J)? 3? (1)证明? 把质量为m 的物体从地球表面升高到h 处所作的功是hR mgRhW +=? 其中g 是地面上的重力加速度? R 是地球的半径?(2)一颗人造地球卫星的质量为173kg? 在高于地面630km 处进入轨道? 问把这颗卫星从地面送到630的高空处? 克服地球引力要作多少功?已知g ?9?8m/s 2? 地球半径R ?6370km?证明 (1)取地球中心为坐标原点? 把质量为m 的物体升高的功元素为dy y kMm dW 2=? 所求的功为)(2h R R mMhk dy y kMm W hR R+⋅==⎰+?(2)533324111075.910)6306370(106370106301098.51731067.6⨯=⨯+⨯⨯⨯⨯⨯⋅⨯=-W (kJ)?4? 一物体按规律3ct x =作直线运动? 媒质的阻力与速度的平方成正比? 计算物体由x ?0移至x ?a 时? 克服媒质阻力所作的功? 解 因为3ct x =? 所以23)(cx t x v ='=? 阻力4229t kc kv f -=-=? 而32)(cx t =? 所以 34323429)(9)(x kc cx kc x f -=-=? 功元素dW ??f (x )dx ? 所求之功为37320343203432072799)]([a kc dx x kc dx x kc dx x f W a aa ===-=⎰⎰⎰? 5? 用铁锤将一铁钉击入木板? 设木板对铁钉的阻力与铁钉击入木板的深度成正比? 在击第一次时? 将铁钉击入木板1cm? 如果铁锤每次打击铁钉所做的功相等? 问锤击第二次时? 铁钉又击入多少?解 设锤击第二次时铁钉又击入h cm? 因木板对铁钉的阻力f 与铁钉击入木板的深度x (cm)成正比? 即f ?kx ? 功元素dW ?f dx ?kxdx ? 击第一次作功为k kxdx W 21101==⎰?击第二次作功为)2(212112h h k kxdx W h+==⎰+?因为21W W =? 所以有)2(21212h h k k +=?解得12-=h (cm)?6? 设一锥形贮水池? 深15m? 口径20m? 盛满水? 今以唧筒将水吸尽? 问要作多少功?解 在水深x 处? 水平截面半径为x r 3210-=? 功元素为dx x x dx r x dW 22)3210(-=⋅=ππ?所求功为?1875(吨米)?57785.7(kJ)?7? 有一闸门? 它的形状和尺寸如图? 水面超过门顶2m? 求闸门上所受的水压力?解 建立x 轴? 方向向下? 原点在水面? 水压力元素为xdx dx x dP 221=⋅⋅=?闸门上所受的水压力为 21252252===⎰xxdx P (吨)=205? 8(kN)?8? 洒水车上的水箱是一个横放的椭圆柱体? 尺寸如图所示? 当水箱装满水时? 计算水箱的一个端面所受的压力?解 建立坐标系如图? 则椭圆的方程为11)43()43(2222=+-y x ? 压力元素为dx x x dx x y x dP 22)43()43(38)(21--⋅=⋅⋅=? 所求压力为ππ169cos 49202==⎰tdx (吨)?17.3(kN)? (提示? 积分中所作的变换为t x sin 4343=-) 9? 有一等腰梯形闸门? 它的两条底边各长10m 和6m? 高为20m? 较长的底边与水面相齐? 计算闸门的一侧所受的水压力?解 建立坐标系如图? 直线AB 的方程为 x y 1015-=? 压力元素为dx x x dx x y x dP )5110()(21-⋅=⋅⋅=? 所求压力为1467)5110(200=-⋅=⎰dx x x P (吨)?14388(千牛)? 10? 一底为8cm 、高为6cm 的等腰三角形片? 铅直地沉没在水中? 顶在上? 底在下且与水面平行? 而顶离水面3cm? 试求它每面所受的压力?解 建立坐标系如图?腰AC 的方程为x y 32=? 压力元素为 dx x x dx x x dP )3(34322)3(+=⋅⋅⋅+=? 所求压力为168)2331(34)3(34602360=+=+=⎰x x dx x x P (克)?????(牛)? 11? 设有一长度为l 、线密度为?的均匀细直棒? 在与棒的一端垂直距离为a 单位处有一质量为m 的质点M ? 试求这细棒对质点M 的引力?解 建立坐标系如图? 在细直棒上取一小段dy ? 引力元素为 dy y a Gm y a dy m G dF 2222+=+⋅=μμ? dF 在x 轴方向和y 轴方向上的分力分别为? dF ry dF y =? 2202222022)(1)(l a a l Gm dy y a y a aGm dy y a Gm r a F l lx +-=++-=+⋅-=⎰⎰μμμ? )11()(12202222022l a a Gm dy y a y a Gm dy y a Gm r y F l ly +-=++=+⋅=⎰⎰μμμ? 12? 设有一半径为R 、中心角为 ??的圆弧形细棒? 其线密度为常数???? 在圆心处有一质量为m 的质点F ? 试求这细棒对质点M 的引力?解 根据对称性? F y ?0?θθμθθμd RGm R Rd Gm cos cos )(2=⋅=? 2sin 2cos 220ϕμθθμϕR Gm d R Gm ==⎰? 引力的大小为2sin 2ϕμR Gm ? 方向自M 点起指向圆弧中点? 总 习 题 六 dF r adF x -=1? 一金属棒长3m ? 离棒左端xm 处的线密度为11)(+=x x ρ (kg/m )? 问x 为何值时? [0? x ]一段的质量为全棒质量的一半? 解 x 应满足⎰⎰+=+300112111dt t dt t x? 因为212]12[1100-+=+=+⎰x t dt t x x? 1]12[2111213030=+=+⎰t dt t ? 所以 1212=-+x ?45=x (m)? 2? 求由曲线??a sin ?? ??a (cos ??sin ?)(a >0)所围图形公共部分的面积?解 ⎰++⋅=432222)sin (cos 21)2(21ππθθθπd a a S 24322241)2sin 1(28a d a a -=++=⎰πθθπππ? 3? 设抛物线c bx ax y ++=2通过点(0? 0)? 且当x ?[0? 1]时? y ?0? 试确定a 、b 、c 的值? 使得抛物线c bx ax y ++=2与直线x ?1? y ?0所围图形的面积为94? 且使该图形绕x 轴旋转而成的旋转体的体积最小?解 因为抛物线c bx ax y ++=2通过点(0? 0)? 所以c ?0? 从而bx ax y +=2?抛物线bx ax y +=2与直线x ?1? y ?0所围图形的面积为 23)(102b a dx bx ax S +=+=⎰? 令9423=+b a ? 得968a b -=? 该图形绕x 轴旋转而成的旋转体的体积为)]968(2)968(315[22a a a a -+-+=π? 令0)]128(181********[=-+-⋅+2=a a a d dV π? 得35-=a ? 于是b ?2? 4? 求由曲线23x y =与直线x ?4? x 轴所围图形绕y 轴旋转而成的旋转体的体积?解 所求旋转体的体积为πππ7512722240274023=⋅=⋅=⎰x dx x x V ? 5? 求圆盘1)2(22≤+-y x 绕y 轴旋转而成的旋转体的体积?解 )2(122312⎰--⋅⋅=dx x x V π22224cos )sin 2(4sin 2ππππ=+=-⎰-tdt t t x 令?6? 抛物线221x y =被圆322=+y x 所需截下的有限部分的弧长? 解 由⎪⎩⎪⎨⎧==+222213x y y x 解得抛物线与圆的两个交点为)1 ,2(-? )1 ,2(? 于是所求的弧长为)32ln(6++=?7? 半径为r 的球沉入水中? 球的上部与水面相切?球的比重与水相同? 现将球从水中取出? 需作多少功? 解 建立坐标系如图? 将球从水中取出时? 球的各点上升的高度均为2r ? 在x 处取一厚度为dx 的薄片? 在将球从水中取出的过程中? 薄片在水下上升的高度为r ?x ? 在水上上升的高度为r ?x ? 在水下对薄片所做的功为零? 在水上对薄片所做的功为dx x r x r g dW ))((22--=π?对球所做的功为g r x d x r x r g W rr 22234))((ππ=--=⎰-? 8? 边长为a 和b 的矩形薄板? 与液面成??角斜沉于液体内? 长边平行于液面而位于深h 处? 设a >b ? 液体的比重为?? 试求薄板每面所受的压力?解 在水面上建立x 轴? 使长边与x 轴在同一垂面上? 长边的上端点与原点对应? 长边在x 轴上的投影区间为[0? b cos ?]? 在x 处x 轴到薄板的距离为h ?x tan ?? 压力元素为 dx x h ga dx a x h g dP )tan (cos cos )tan (ααρααρ+=⋅⋅+⋅=? 薄板各面所受到的压力为 )sin 2(21)tan (cos cos 0αρααραb h gab dx x h ga P b +=+=⎰? 9? 设星形线t a x 3cos =? t a y 3sin =上每一点处的线密度的大小等于该点到原点距离的立方? 在原点O 处有一单位质点? 求星形线在第一象限的弧段对这质点的引力? 解 取弧微分ds 为质点? 则其质量为 ds y x ds y x 322322)()(+=+? 其中tdt t a dt t a t a ds cos sin 3])sin [(])cos [(2323='+'=?设所求的引力在x 轴、y 轴上的投影分别为F x 、F y ? 则有 ⎰+⋅++⋅⋅=202222322)()(1πds y x x y x y x G F x 2204253sin cos 3Ga tdt t Ga ==⎰π? ⎰+⋅++⋅⋅=202222322)()(1πds yx y y x y x G F x 2204253sin cos 3Ga tdt t Ga ==⎰π? 所以)53 ,53(22Ga Ga =F ?。
第一章 函数与极限1. 设 ⎪⎩⎪⎨⎧≥<=3||,03|||,sin |)(ππϕx x x x , 求).2(446ϕπϕπϕπϕ、、、⎪⎭⎫ ⎝⎛-⎪⎭⎫ ⎝⎛⎪⎭⎫ ⎝⎛6sin )6(ππϕ=21=224sin )4(==ππϕ()0222)4sin()4(==-=-ϕππϕ2. 设()x f 的定义域为[]1,0,问:⑴()2x f ; ⑵()x f sin ; ⑶()()0>+a a x f ; ⑷()()a x f a x f -++ ()0>a 的定义域是什么?(1)][;,-的定义域为所以知-11)(,111022x f x x ≤≤≤≤ []ππππ)12(,2)(sin ),()12(21sin 0)2(+∈+≤≤≤≤k k x f Z k k x k x 的定义域为所以知由][a a a x f ax a a x -+-≤≤≤+≤1,)(110)3(-的定义域为所以知-由 ][φ时,定义域为当时,定义域为当从而得-知由211,210111010)4(>-≤<⎩⎨⎧+≤≤-≤≤⎩⎨⎧≤-≤≤+≤a a a a ax a ax a a x a x3. 设()⎪⎩⎪⎨⎧>-=<=111011x x x x f ,()xe x g =,求()[]x gf 和()[]x fg ,并做出这两个函数的图形。
⎪⎪⎩⎪⎪⎨⎧>=<==⎪⎩⎪⎨⎧>-=<=⎪⎩⎪⎨⎧>-=<=-1,1,11,)]([.)20,10,00,1)]([1)(,11)(,01)(,1)]([.)11)(x e x x e e x f g x x x x g f x g x g x g x g f x f 从而得4. 设数列{}nx 有界, 又,0lim =∞→nn y证明:.0lim =∞→n n n y x{}结论成立。
从而时,有,当自然数即又有对有界,∴=<=-<>∃>∀=≤∀>∃∴∞→ ..0)(,0,0lim ,,0εεεεMM y x y x My N n N y Mx n M x n n n n n n n n n 5. 根据函数的定义证明: ⑴()813lim 3=-→x x8)13(lim 813303,033,33813,03=-<--<-<>∀<-<-=-->∀→x x x x x x x 所以成立时,恒有,当=取故即可。
习 题 6—11、在平行四边形ABCD 中, 设−→−AB =a , −→−AD =b . 试用a 和b 表示向量−→−MA 、−→−MB 、−→−MC 、−→−MD , 其中M 是平行四边形对角线的交点.解: 由于平行四边形的对角线互相平分, 所以a +b −→−−→−==AM AC 2, 即 -(a +b )−→−=MA 2, 于是 21-=−→−MA (a +b ).因为−→−−→−-=MA MC , 所以21=−→−MC (a +b ). 又因-a +b −→−−→−==MD BD 2, 所以21=−→−MD (b -a ). 由于−→−−→−-=MD MB , 所以21=−→−MB (a -b ).2、若四边形的对角线互相平分,用向量方法证明它是平行四边形.证: =,BM =,∴=+=+BM =与 平行且相等,结论得证.3、 求起点为)1,2,1(A ,终点为)1,18,19(--B 的向量→AB 与12AB −−→-的坐标表达式.解:→AB =j i k j i 2020)11()218()119(--=-+--+--={20,20,0}--, 12AB −−→-={10,10,0}4、 求平行于a ={1,1,1}的单位向量.解:与a 平行的单位向量为{}1,1,131±=±a a .5、在空间直角坐标系中,指出下列各点在哪个卦限?(1,1,1),A - (1,1,1),B -(1,1,1),C -- (1,1,1).D -- 解: A:Ⅳ; B:Ⅴ; C:Ⅷ; D:Ⅲ.6、 求点),,(z y x M 与x 轴,xOy 平面及原点的对称点坐标.解:),,(z y x M 关于x 轴的对称点为),,(1z y x M --,关于xOy 平面的对称点为),,(2z y x M -,关于原点的对称点为),,(3z y x M ---.7、已知点A(a, b, c), 求它在各坐标平面上及各坐标轴上的垂足的坐标(即投影点的坐标). 解:分别为),0,0(),0,,0(),0,0,(),,0,(),,,0(),0,,(c b a c a c b b a .8、过点(,,)P a b c 分别作平行于z 轴的直线和平行于xOy 面的平面,问它们上面的点的坐标各有什么特点?解:平行于z 轴的直线上面的点的坐标:x a,y b,z R ==∈;平行于xOy 面的平面上的点的坐标为 z c,x,y R =∈.9、求点P (2,-5,4)到原点、各坐标轴和各坐标面的距离.解:到原点的距离为x y 轴的距离为到z10、 求证以)1,3,4(1M 、)2,1,7(2M 、)3,2,5(3M 三点为顶点的三角形是一个等腰三角形. 解:222212(74)(13)(21)14M M =-+-+-=,222223(57)(21)(32)6M M =-+-+-= 222213(45)(32)(13)6M M =-+-+-=,即1323M M M M =,因此结论成立.11、 在yoz 坐标面上,求与三个点A(3, 1, 2), B(4, -2, -2), C(0, 5, 1)等距离的点的坐标. 解:设yoz 坐标面所求点为),,0(z y M ,依题意有||||||MC MB MA ==,从而222)2()1()30(-+-+-z y 222)2()2()40(++++-=z y222)2()1()30(-+-+-z y联立解得2,1-==z y ,故所求点的坐标为)2,1,0(-.12、 z 轴上,求与点A(-4, 1, 7), 点B(3, 5,-2)等距离的点. 解:设所求z 轴上的点为),0,0(z ,依题意:222)7()10()40(-+-++z 222)2()50()30(++-+-=z ,两边平方得914=z ,故所求点为)914,0,0(.13、 求λ使向量}5,1,{λ=a 与向量}50,10,2{=b 平行. 解:由b a //得5051012==λ得51=λ.14、 求与y 轴反向,模为10的向量a 的坐标表达式. 解:a =j j 10)(10-=-⋅={0,10,0}-.15、求与向量a ={1,5,6}平行,模为10的向量b 的坐标表达式. 解:}6,5,1{6210==a a a ,故 {}6,5,16210100±=±=a b .16、 已知向量6410=-+a i j k ,349=+-b i j k ,试求: (1)2+a b ; (2)32-a b .解:(1) 264102(349)1248i a b i j k i j k j k +=-+++-=+-; (2)323(6410)2(349)=122048a b =i j k i j k i j k --+-+--+.17、已知两点A 和(3,0,4)B ,求向量AB 的模、方向余弦和方向角.解: 因为(1,1)AB =-, 所以2AB =,11cos ,cos 22αβγ===-,从而π3α=,3π4β=,2π3γ=.18、设向量的方向角为α、β、γ.若已知其中的两个角为π3α=,2π3β=.求第三个角γ. 解: π3α=,2π3β=,由222cos cos cos 1αβγ++=得21cos 2γ=.故π4γ=或3π4.19、 已知三点(1,0,0)=A ,(3,1,1)B ,(2,0,1)C ,求:(1)BC 与CA 及其模;(2)BC 的方向余弦、方向角;(3)与BC 同向的单位向量.解:(1)由题意知{}{}23,01,111,1,0,BC =---=--{}{}12,00,011,0,1,CA =---=-- 故 2,2==BC CA .(2)因为{}1,1,0,=--BC 所以,由向量的方向余弦的坐标表示式得:cos 0αβγ===,方向角为:3,42ππαβγ===.(3)与BC 同向的单位向量为:oa =⎧⎫=⎨⎬⎩⎭BCBC .20、 设23,23,34,m i j k n i j k p i j k =++=+-=-+和23a m n p =+-求向量在x 轴上的投影和在y 轴上的分向量.解:2(23)3(23)(34)5114a i j k i j k i j k i j k =++++---+=+-.故向量a 在x 轴上的投影5=x a ,在y 轴上的投影分量为11y a j =.21、一向量的终点为点B(-2,1,-4),它在x 轴,y 轴和z 轴上的投影依次为3,-3和8,求这向量起点A 的坐标.解:设点A 为(x, y, z ),依题意有:84,31,32=---=-=--z y x , 故12,4,5-==-=z y x ,即所求的点A (-5, 4,-12).22、 已知向量a 的两个方向余弦为cos α=72 ,cos β=73, 且a 与z 轴的方向角是钝角.求cos γ. 解:因222cos cos cos 1,αβγ++=22223366cos 1cos 77497γγ=-==±故()—(),,又γ是钝角,所以76cos -=γ.23、设三力1232234F ,F ,F i j i j k j k =-=-+=+作用于同一质点,求合力的大小和方向角.解: 合力123(2)(234)()F F F F i k i j k j k =++=-+-+++323i j k =-+,因此,合力的大小为|F |=合力的方向余弦为,222cos ,cos 223cos -===βγα因此παγβ===-习 题 6—21、 {}0,0,1=a ,{}0,1,0=b ,)1,0,0(=c ,求⋅a b ,c a ⋅,c b ⋅,及a a ⨯,b a ⨯,c a ⨯,c b ⨯. 解:依题意,i a =,j b =,k c =,故0=⋅=⋅j i b a ,0=⋅=⋅k i c a ,0=⋅=⋅k j c b .0=⨯=⨯i i a a ,k j i b a =⨯=⨯,j k i c a -=⨯=⨯,i k j c b =⨯=⨯.2、 }}{{1,2,2,21,1==b a ,,求b a ⋅及b a ⨯ .a 与b的夹角余弦. 解:(1)121221⋅=⨯+⨯+⨯=a b 6, 112221⨯==i j ka b }{3,3,0-.(2)cos a b a b a b θ++==3、 已知 π5,2,,3∧⎛⎫=== ⎪⎝⎭a b a b ,求23a b -解:()()2232323-=-⋅-a b a b a b 22412976=-⋅+=a a b b ,∴ 23-=ab4、 证明下列问题:1)证明向量}{1,0,1=a 与向量}{1,1,1-=b 垂直. 2) 证明向量c 与向量()()a c b b c a ⋅-⋅垂直. 证:1)01110)1(1=⨯+⨯+-⨯=⋅b a ,^π(,)2a b ∴=,即a 与b 垂直. 2) [()()]⋅-⋅⋅a c b b c a c [()()]=⋅⋅-⋅⋅a c b c b c a c ()[]=⋅⋅-⋅c b a c a c 0=[()()]∴⋅-⋅⊥a c b b c a c .5、 求点)1,2,1(M 的向径OM 与坐标轴之间的夹角.解:设OM 与x 、y 、z 轴之间的夹角分别为γβα,,,则211)2(11cos 22=++==α,22cos ==β, 21cos ==γ. 3π=∴α, 4π=β, 3π=γ.6、 求与k j i a ++=平行且满足1=⋅x a 的向量x .解:因x a //, 故可设{}λλλλ,,==a x ,再由1=⋅x a 得1=++λλλ,即31=λ,从而⎭⎬⎫⎩⎨⎧=31,31,31x .7、求与向量324=-+a i j k ,2=+-b i j k 都垂直的单位向量.解:=⨯=xy z x y zij kc a b a a a b b b 324112=--i j k =105+j k,||10==c 0||∴=c c c=.⎫±+⎪⎭j8、 在顶点为)2,1,1(-A 、)2,6,5(-B 和)1,3,1(-C 的三角形中,求三角形ABC 的面积以及AC 边上的高BD .解:{0,4,3},{4,5,0}AC AB =-=-,三角形ABC 的面积为,22516121521||21222=++=⨯=AB C A S ||||21,5)3(4||22BD S ==-+= ||521225BD ⋅⋅= .5||=∴BD9、 已知向量≠0a ,≠0b ,证明2222||||||()⨯=-⋅a b a b a b .解 2222||||||sin ()∧⨯=⋅a b a b ab 222||||[1cos ()]∧=⋅-a b ab 22||||=⋅a b 222||||cos ()∧-⋅a b ab 22||||=⋅a b 2().-⋅a b10、 证明:如果++=0a b c ,那么⨯=⨯=⨯b c c a a b ,并说明它的几何意义.证: 由++=0a b c , 有()++⨯=⨯=00a b c c c , 但⨯=0c c ,于是⨯+⨯=0a c b c ,所以⨯=-⨯=⨯b c a c c a . 同理 由()++⨯=0a b c a , 有 ⨯=⨯c a a b ,从而 ⨯=⨯=⨯b c c a a b .其几何意义是以三角形的任二边为邻边构成的平行四边形的面积相等.11、 已知向量23,3=-+=-+a i j k b i j k 和2=-c i j ,计算下列各式:(1)()()⋅-⋅a b c a c b (2)()()+⨯+a b b c (3)()⨯⋅a b c (4)⨯⨯a b c 解: (1)()()8(2)8(3)⋅-⋅=---+=a b c a c b i j i j k 824--j k .(2) 344,233+=-++=-+a b i j k b c i j k ,故()()+⨯+a b b c 344233=-=-i jk--j k . (3)231()231(2)(85)(2)11311312-⨯⋅=-⋅-=--+⋅-=-=--i jk a b c i j i j k i j 2. (4)由(3)知85,()851120⨯=--+⨯⨯=--=-i jka b i j k a b c 221++i j k .习 题 6—31、已知)3,2,1(A ,)4,1,2(-B ,求线段AB 的垂直平分面的方程. 解:设),,(z y x M 是所求平面上任一点,据题意有|,|||MB MA =()()()222321-+-+-z y x ()()(),412222-+++-=z y x化简得所求方程26270x y z -+-=.这就是所求平面上的点的坐标所满足的方程, 而不在此平面上的点的坐标都不满足这个方程,所以这个方程就是所求平面的方程.2、 一动点移动时,与)0,0,4(A 及xOy 平面等距离,求该动点的轨迹方程.解:设在给定的坐标系下,动点),,(z y x M ,所求的轨迹为C ,则(,,)M x y z C MA z ∈⇔= 亦即z z y x =++-222)4( 0)4(22=+-∴y x 从而所求的轨迹方程为0)4(22=+-y x .3、 求下列各球面的方程:(1)圆心)3,1,2(-,半径为6=R ; (2)圆心在原点,且经过点)3,2,6(-;(3)一条直径的两端点是)3,1,4()5,32(--与;(4)通过原点与)4,0,0(),0,3,1(),0,0,4(- 解:(1)所求的球面方程为:36)3()1()2(222=-+++-z y x (2)由已知,半径73)2(6222=+-+=R ,所以球面方程为49222=++z y x(3)由已知,球面的球心坐标1235,1213,3242=-=-=+-==+=c b a , 球的半径21)35()31()24(21222=++++-=R ,所以球面方程为: 21)1()1()3(222=-+++-z y x(4)设所求的球面方程为:0222222=++++++l kz hy gx z y x因该球面经过点)4,0,0(),0,3,1(),0,0,4(),0,0,0(-,所以⎪⎪⎩⎪⎪⎨⎧=-=++=+=08160621008160k h g g l 解之得⎪⎪⎩⎪⎪⎨⎧=-=-==2210k g h l∴所求的球面方程为0424222=+--++z y x z y x .4、将yOz 坐标面上的抛物线22y z =绕z 旋转一周,求所生成的旋转曲面的方程. 解:222x y z +=(旋转抛物面) .5、将zOx 坐标面上的双曲线12222=-c z a x 分别绕x 轴和z 轴旋转一周,求所生成的旋转曲面的方程.解: 绕x 轴旋转得122222=+-c z y a x 绕z 轴旋转得122222=-+cz a y x .6、指出下列曲面的名称,并作图:(1)22149x z +=;(2)22y z =;(3)221x z += ;(4)22220x y z x ++-=; (5)222y x z +=;(6)22441x y z -+=;(7)221916x y z ++=;(8)222149x y z -+=-;(9)1334222=++z y x ;(10)2223122z y x +=+.解: (1)椭圆柱面;(2) 抛物柱面;(3) 圆柱面;(4)球面;(5)圆锥面;(6)双曲抛物面;(7)椭圆抛物面;(8)双叶双曲面;(9)为旋转椭球面;(10)单叶双曲面.7、指出下列方程在平面解析几何和空间解析几何中分别表示什么图形? (1)1+=x y ;(2)422=+yx ;(3)122=-y x ;(4)22x y =.解:(1)1+=x y 在平面解析几何中表示直线,在空间解析几何中表示平面; (2)422=+y x 在平面解析几何中表示圆周,在空间解析几何中表示圆柱面; (3)122=-y x 在平面解析几何中表示双曲线,在空间解析几何中表示双曲柱面;(4)y x22=在平面解析几何中表示抛物线,在空间解析几何中表示抛物柱面.8、 说明下列旋转曲面是怎样形成的?(1)1994222=++z y x ;(2)14222=+-z y x (3)1222=--z y x ;(4)222)(y x a z +=- 解:(1)xOy 平面上椭圆19422=+y x 绕x 轴旋转而成;或者 xOz 平面上椭圆22149+=x z 绕x 轴旋转而成(2)xOy 平面上的双曲线1422=-y x 绕y 轴旋转而成;或者 yOz 平面上的双曲线2214-=y z 绕y 轴旋转而成(3)xOy 平面上的双曲线122=-y x 绕x 轴旋转而成;或者 xOz 平面上的双曲线221x z -=绕x 轴旋转而成 (4)yOz 平面上的直线a y z +=绕z 轴旋转而成或者 xOz 平面上的直线z x a =+绕z 轴旋转而成.9、 画出下列各曲面所围立体的图形:(1)012243=-++z y x 与三个坐标平面所围成;(2)42,42=+-=y x x z 及三坐标平面所围成; (3)22=0,(0)=1z z =a a >,y =x,x +y 及0x =在第一卦限所围成;(4)2222,8z x y z x y =+=--所围. 解:(1)平面012243=-++z y x 与三个坐标平面围成一个在第一卦限的四面体; (2)抛物柱面24z x =-与平面24x y +=及三坐标平面所围成;(3)坐标面=0z 、0x =及平面(0)z =a a >、y=x 和圆柱面22=1x +y 在第一卦限所围成; (4)开口向上的旋转抛物面22z x y =+与开口向下的抛物面228z x y =--所围.作图略.习 题 6—41、画出下列曲线在第一卦限内的图形(1)⎩⎨⎧==21y x ;(2)⎪⎩⎪⎨⎧=---=0422y x y x z ;(3)⎪⎩⎪⎨⎧=+=+222222a z x ay x解:(1)是平面1x =与2y =相交所得的一条直线; (2)上半球面z 与平面0x y -=的交线为14圆弧; (3)圆柱面222x y a +=与222x z a +=的交线.图形略.2、分别求母线平行于x 轴及y 轴而且通过曲线⎪⎩⎪⎨⎧=-+=++0162222222y z x z y x 的柱面方程.解:消去x 坐标得16322=-z y ,为母线平行于x 轴的柱面;消去y 坐标得:162322=+z x ,为母线平行于y 轴的柱面.3、求在yOz 平面内以坐标原点为圆心的单位圆的方程(任写出三种不同形式的方程).解:⎩⎨⎧==+0122x z y ;⎩⎨⎧==++01222x z y x ; ⎪⎩⎪⎨⎧=+=++1122222z y z y x .4、试求平面20x -=与椭球面222116124x y z ++=相交所得椭圆的半轴与顶点.解:将椭圆方程22211612420x y z x ⎧++=⎪⎨⎪-=⎩化简为:221932y z x ⎧+=⎪⎨⎪=⎩,可知其为平面2=x 上的椭圆,半轴分别为3,3,顶点分别为)3,0,2(),3,0,2(),0,3,2(),0,3,2(--.5 、将下面曲线的一般方程化为参数方程(1)2229x y z y x ⎧++=⎨=⎩; (2)⎩⎨⎧==+++-04)1()1(22z z y x解:(1)原曲线方程即:⎪⎩⎪⎨⎧=+=199222z x xy ,化为⎪⎪⎪⎩⎪⎪⎪⎨⎧=≤≤==tz t t y t x sin 3)20(cos 23cos 23π;(2))20(0sin 3cos 31πθθθ≤≤⎪⎪⎩⎪⎪⎨⎧==+=z y x .6、求螺旋线⎪⎩⎪⎨⎧===θθθb z a y a x sin cos 在三个坐标面上的投影曲线的直角坐标方程.解:⎩⎨⎧==+0222z a y x ;⎪⎩⎪⎨⎧==0sin x b z a y ;⎪⎩⎪⎨⎧==0cosy b z a x .7、指出下列方程所表示的曲线(1)222253⎧++=⎨=⎩x y z x (2)⎩⎨⎧==++13094222z z y x ;(3)⎩⎨⎧-==+-3254222x z y x ; (4)⎩⎨⎧==+-+408422y x z y ; (5)⎪⎩⎪⎨⎧=-=-0214922x z y . 解:(1)圆; (2)椭圆; (3)双曲线; (4)抛物线; (5)双曲线.8、 求曲线⎩⎨⎧==-+30222z x z y 在xOy 面上的投影曲线方程,并指出原曲线是何种曲线.解:原曲线即:⎩⎨⎧=-=3922z x y ,是位于平面3=z 上的抛物线,在xOy 面上的投影曲线为⎩⎨⎧=-=0922z x y9、 求曲线 ⎪⎩⎪⎨⎧==++211222z z y x 在坐标面上的投影. 解:(1)消去变量z 后得,4322=+y x 在xOy 面上的投影为,04322⎪⎩⎪⎨⎧==+z y x 它是中心在原点,半径为23的圆周.(2)因为曲线在平面21=z 上,所以在xOz 面上的投影为线段.;23||,021≤⎪⎩⎪⎨⎧==x y z (3)同理在yOz 面上的投影也为线段..23||,21≤⎪⎩⎪⎨⎧==y x z10、 求抛物面x z y =+22与平面 02=-+z y x 的交线在三个坐标面上的投影曲线方程.解: 交线方程为⎩⎨⎧=-+=+0222z y x x z y ,(1)消去z 得投影,004522⎩⎨⎧==-++z x xy y x(2)消去y 得投影2252400x z xz x y ⎧+--=⎨=⎩,(3)消去x 得投影22200y z y z x ⎧++-=⎨=⎩.习 题 6—51、写出过点()3,2,10M 且以{}1,2,2=n 为法向量的平面方程. 解:平面的点法式方程为()()()032212=-+-+-z y x .2、求过三点()()()01,0,0,1,0,0,0,1C B A 的平面方程.解:设所求平面方程为0=+++d cz by ax ,将C B A ,,的坐标代入方程,可得d c b a -===,故所求平面方程为1=++z y x .3、求过点()1,0,0且与平面1243=++z y x 平行的平面方程. 解:依题意可取所求平面的法向量为}2,4,3{=n ,从而其方程为()()()0120403=-+-+-z y x 即 2243=++z y x .4、求通过x 轴和点(4, -3, -1)的平面的方程.解:平面通过x 轴, 一方面表明它的法线向量垂直于x 轴, 即A =0; 另一方面表明它必通过原点, 即D =0. 因此可设这平面的方程为By +Cz =0.又因为这平面通过点(4, -3, -1), 所以有-3B -C =0, 或C =-3B . 将其代入所设方程并除以B (B 0), 便得所求的平面方程为y -3z =0.5、求过点)1,1,1(,且垂直于平面7=+-z y x 和051223=+-+z y x 的平面方程.解:},1,1,1{1-=n }12,2,3{2-=n 取法向量},5,15,10{21=⨯=n n n所求平面方程为化简得:.0632=-++z y x6、设平面过原点及点)1,1,1(,且与平面8x y z -+=垂直,求此平面方程.解: 设所求平面为,0=+++D Cz By Ax 由平面过点)1,1,1(知平0,A B C D +++=由平面过原点知0D =,{1,1,1},n ⊥- 0A B C ∴-+=,0A C B ⇒=-=,所求平面方程为0.x z -=7、写出下列平面方程:(1)xOy 平面;(2)过z 轴的平面;(3)平行于zOx 的平面;(4)在x ,y ,z 轴上的截距相等的平面.解:(1)0=z ,(2)0=+by ax (b a ,为不等于零的常数), (3)c y = (c 为常数), (4) a z y x =++ (0)a ≠.8、 求平行于0566=+++z y x 而与三个坐标面所围成的四面体体积为1的平面方程.解: 设平面为,1=++c z b y a x ,1=V 111,32abc ∴⋅=由所求平面与已知平面平行得,611161c b a ==化简得,61161c b a ==令tc t b t a t c b a 61,1,6161161===⇒===代入体积式 11111666t t t ∴=⋅⋅⋅ 1,6t ⇒=±,1,6,1===∴c b a 或1,6,1,a b c =-=-=-所求平面方程为666x y z ++=或666x y z ++=-.9、分别在下列条件下确定n m l ,,的值:(1)使08)3()1()3(=+-+++-z n y m x l 和016)3()9()3(=--+-++z l y n x m 表示同一平面; (2)使0532=-++z my x 与0266=+--z y lx 表示二平行平面; (3)使013=+-+z y lx 与027=-+z y x 表示二互相垂直的平面.解:(1)欲使所给的二方程表示同一平面,则:168339133-=--=-+=+-l n n m m l 即: ⎪⎩⎪⎨⎧=-+=-+=-+092072032n l m n l m ,解之得 97=l ,913=m ,937=n . (2)欲使所给的二方程表示二平行平面,则:6362-=-=m l ,所以4-=l ,3=m . (3)欲使所给的二方程表示二垂直平面,则:7230l ++=所以: 57l=-.10、求平面011=-+y x 与083=+x 的夹角; 解:设011=-+y x 与083=+x 的夹角为θ,则cos θ ∴ 4πθ=.11、 求点(2,1,1)到平面2240x y z +-+=的距离. 解:利用点到平面的距离公式可得933d ===.习 题 6—61、求下列各直线的方程:(1)通过点)1,0,3(-A 和点)1,5,2(-B 的直线; (2) 过点()1,1,1且与直线433221-=-=-z y x 平行的直线. (3)通过点)3,51(-M 且与z y x ,,三轴分别成︒︒︒120,45,60的直线; (4)一直线过点(2,3,4)-A ,且和y 轴垂直相交,求其方程. (5)通过点)2,0,1(-M 且与两直线11111-+==-z y x 和01111+=--=z y x 垂直的直线; (6)通过点)5,3,2(--M 且与平面02536=+--z y x 垂直的直线.解:(1)所求的直线方程为:015323-=-=++z y x 即:01553-=-=+z y x ,亦即01113-=-=+z y x . (2)依题意,可取L 的方向向量为{}4,3,2=s ,则直线L 的方程为413121-=-=-z y x . (3)所求直线的方向向量为:{}⎭⎬⎫⎩⎨⎧-=︒︒︒21,22,21120cos ,45cos ,60cos ,故直线方程为: 132511--=+=-z y x . (4)因为直线和y 轴垂直相交,所以交点为),0,3,0(-B 取{2,0,4},BA s −−→==所求直线方程.440322-=+=-z y x (5)所求直线的方向向量为:{}{}{}2,1,10,1,11,1,1---=-⨯-,所以,直线方程为:22111+==-z y x . (6)所求直线的方向向量为:{}5,3,6--,所以直线方程为: 235635x y z -++==--.2、求直线1,234x y z x y z ++=-⎧⎨-+=-⎩的点向式方程与参数方程.解 在直线上任取一点),,(000z y x ,取10=x ,063020000⎩⎨⎧=--=++⇒z y z y 解2,000-==z y .所求点的坐标为)2,0,1(-,取直线的方向向量{}{}3,1,21,1,1-⨯=s k j i kji34312111--=-=,所以直线的点向式方程为:,321041-+=--=-z y x 令102,413x y z t --+===--则所求参数方程: .3241⎪⎩⎪⎨⎧--=-=+=tz ty tx3、判别下列各对直线的相互位置,如果是相交的或平行的直线求出它们所在的平面,如果相交时请求出夹角的余弦.(1)⎩⎨⎧=-+=+-0623022y x z y x 与⎩⎨⎧=-+=--+01420112z x z y x ;(2)⎪⎩⎪⎨⎧--=+==212t z t y tx 与142475x y z --+==-. 解:(1)将所给的直线方程化为标准式为:4343223z y x =-=--43227-=--=-z y x 234234-==-- ∴二直线平行.又点)0,43,23(与点(7,2,0)在二直线上,∴向量⎭⎬⎫⎩⎨⎧=⎭⎬⎫⎩⎨⎧--0,45,2110,432,237平行于二直线所确定的平面,该平面的法向量为:{}{}19,22,50,45,2114,3,2--=⎭⎬⎫⎩⎨⎧⨯-,从而平面方程为:0)0(19)2(22)7(5=-+---z y x ,即0919225=++-z y x .(2)因为121475-≠≠-,所以两直线不平行,又因为0574121031=--=∆,所以两直线相交,二直线所决定的平面的法向量为{}{}{}1,1,35,7,412,1--=-⨯-,∴二直线所决定的平面的方程为:330x y z -++=.设两直线的夹角为ϕ,则cos ϕ==4、判别下列直线与平面的相关位置: (1)37423z y x =-+=--与3224=--z y x ;(2)723zy x =-=与8723=+-z y x ; (3)⎩⎨⎧=---=-+-01205235z y x z y x 与07734=-+-z y x ;(4)⎪⎩⎪⎨⎧-=+-==4992t z t y t x 与010743=-+-z y x .解(1) 0)2(3)2()7(4)2(=-⨯+-⨯-+⨯-,而017302)4(234≠=-⨯--⨯-⨯,所以,直线与平面平行.(2) 0717)2(233≠⨯+-⨯-⨯,所以,直线与平面相交,且因为772233=--=,∴直线与平面垂直. (3)直线的方向向量为:{}{}{}1,9,51,1,22,3,5=--⨯-, 0179354=⨯+⨯-⨯,所以直线与平面平行或者直线在平面上;取直线上的点)0,5,2(--M ,显然点在)0,5,2(--M 也在平面上(因为4(2)3(5)70⨯--⨯--=),所以,直线在平面上.(4)直线的方向向量为{}9,2,1-, 097)2(413≠⨯+-⨯-⨯∴直线与平面相交但不垂直.5、验证直线l :21111-=-=-z y x 与平面π:032=--+z y x 相交,并求出它的交点和交角. 解: 032111)1(2≠-=⨯-⨯+-⨯∴直线与平面相交.又直线的参数方程为:⎪⎩⎪⎨⎧+=+=-=t z t y tx 211设交点处对应的参数为0t ,∴03)21()1()(2000=-+-++-⨯t t t ∴10-=t ,从而交点为(1,0,-1). 又设直线l 与平面π的交角为θ,则:21662111)1(2sin =⨯⨯-⨯+-⨯=θ,∴6πθ=.6、确定m l ,的值,使: (1)直线13241zy x =+=-与平面0153=+-+z y lx 平行; (2)直线⎪⎩⎪⎨⎧-=--=+=135422t z t y t x 与平面076=-++z my lx 垂直.解:(1)欲使所给直线与平面平行,则须:015334=⨯-⨯+l 即1l =-. (2)欲使所给直线与平面垂直,则须:3642=-=m l ,所以:8,4-==m l .7、求下列各平面的方程: (1)通过点)1,0,2(-p ,且又通过直线32121-=-=+z y x 的平面; (2)通过直线115312-+=-+=-z y x 且与直线⎩⎨⎧=--+=---052032z y x z y x 平行的平面; (3)通过直线223221-=-+=-z y x 且与平面0523=--+z y x 垂直的平面;(4). 求过点(2,1,0)M 与直线2335x t y t z t =-⎧⎪=+⎨⎪=⎩垂直的平面方程.解:(1)因为所求的平面过点)1,0,2(-p 和)2,0,1(-'p ,且它平行于向量{}3,1,2-,所以要求的平面方程为:03331212=--+-z y x , 即015=-++z y x .(2)已知直线的方向向量为{}{}{}2,1,11,2,13,1,5--⨯-=,∴平面方程为:2311510315x y z -++--=,即3250x y z +--= (3)所求平面的法向量为{}{}{}13,8,11,2,32,3,2-=-⨯-,∴平面的方程为:0)2(13)2(8)1(=--+--z y x ,即09138=+--z y x .(4).所求平面的法向量为{}2,3,1,则平面的方程为:2(2)3(1)(0)0x y z -+-+-=, 即 2370x y z ++-=.8、求点(4,1,2)M 在平面1x y z ++=上的投影.解: 过点(4,1,2)M 作已知平面的垂线,垂线的方向向量就是已知平面的法向量(1,1,1),所以垂线方程为412111x y z ---==,此垂线与已知平面的交点即为所求投影.为了求投影,将垂线方程化为参数方程412x t y t z t =+⎧⎪=+⎨⎪=+⎩,代入平面方程求得2t =-,故投影为(2,1,0)-. 9、求点)1,3,2(-p 到直线⎩⎨⎧=++-=++-0172230322z y x z y x 的距离.解:直线的标准方程为:2251211-+==-z y x 所以p 到直线的距离 1534532025)2(1212392292421243222222===-++-+--+-=d .10、设0M 是直线L 外一点,M 是直线L 上一点,且直线的方向向量为s ,试证:点0M 到直线L 的距离为d =.证:设0M M 与L 的夹角为θ,一方面由于0sin d M M θ=;另一方面,00sin M M s M M s θ⨯=,所以d =.11、求通过平面0134=-+-z y x 和025=+-+z y x 的交线且满足下列条件之一的平面: (1)通过原点; (2)与y 轴平行;(3)与平面0352=-+-z y x 垂直. 解: (1)设所求的平面为:0)25()134(=+-++-+-z y x z y x λ 欲使平面通过原点,则须:021=+-λ,即21=λ,故所求的平面方程为 0)25()134(2=+-++-+-z y x z y x 即:0539=++z y x .(2)同(1)中所设,可求出51=λ.故所求的平面方程为 0)25()134(5=+-++-+-z y x z y x 即:031421=-+z x .(3)如(1)所设,欲使所求平面与平面0352=-+-z y x 垂直,则须:0)3(5)51()4(2=-++--+λλλ从而3=λ,所以所求平面方程为05147=++y x .12、求直线⎩⎨⎧=++-=--+0101z y x z y x 在平面0=++z y x 上的投影直线的方程.解:应用平面束的方法.设过直线⎩⎨⎧=++-=--+0101z y x z y x 的平面束方程为0)1()1(=++-+--+z y x z y x λ即01)1()1()1(=-++-+-++λλλλz y x这平面与已知平面0=++z y x 垂直的条件是01)1(1)1(1)1(=⋅+-+⋅-+⋅+λλλ,解之得1-=λ代入平面束方程中得投影平面方程为10y z --=,所以投影直线为⎩⎨⎧=++=--001z y x z y .13、请用异于本章第五节例7的方法来推导点到平面的距离公式.证:设),,(0000z y x P 是平面π:0+++=Ax By Cz D 外的一点,下面我们来求点0P 到平面π的距离. 过0P 作平面π的垂线L :000x x y y z z A B C---==,设L 与平面π的交点为(,,)P x y z ,则P 与0P 之间的距离即为所求.因为点(,,)P x y z 在L 上,所以000x x Aty y Bt z z Ct-=-=-=⎧⎪⎨⎪⎩,而(,,)P x y z 在平面π上,则000()()()0A x At B y Bt C z Ct D ++++++=000222Ax By Cz A B t DC ⇒=-+++++,故000222Ax By Cz Dd t A B C+++===++=.习 题 6—7飞机的速度:假设空气以每小时32公里的速度沿平行y 轴正向的方向流动,一架飞机在xoy 平面沿与x 轴正向成π6的方向飞行,若飞机相对于空气的速度是每小时840公里,问飞机相对于地面的速度是多少?解:如下图所示,设OA 为飞机相对于空气的速度,AB 为空气的流动速度,那么OB 就是飞机相对于地面的速度.840cos 840sin 4203420,3266OA i j i j AB j ππ=⋅+⋅=+=所以, 24203452,(420856.45OB i j OB =+=≈千米/小时.复习题A一 、判断正误:1、 若c b b a ⋅=⋅且≠0b ,则c a =; ( ⨯ )解析 c b b a ⋅-⋅=)(c a b -⋅=0时,不能判定=b 0或c a =.例如i a =,j b =,k c =,有⋅=⋅=0a b b c ,但c a ≠.2、 若c b b a ⨯=⨯且≠0b ,则c a =; ( ⨯ )解析 此结论不一定成立.例如i a =,j b =,)(j i c +-=,则k j i b a =⨯=⨯,k j i j c b =+-⨯=⨯)]([,c b b a ⨯=⨯,但c a ≠.3 、若0=⋅c a ,则=0a 或=0c ; ( ⨯ ) 解析 两个相互垂直的非零向量点积也为零.4、 a b b a ⨯-=⨯. ( √ ) 解析 这是叉积运算规律中的反交换律.二、选择题:1 、 当a 与b 满足( D )时,有b a b a +=+;(A)⊥a b ; (B)λ=a b (λ为常数); (C)a ∥b ; (D)⋅=a b a b .解析 只有当a 与b 方向相同时,才有a +b =a +b .(A)中a ,b 夹角不为0,(B),(C)中a ,b 方向可以相同,也可以相反.2、下列平面方程中,方程( C )过y 轴;图6-1 空所流动与飞机飞行速度的关系(A) 1=++z y x ; (B) 0=++z y x ; (C) 0=+z x ; (D) 1=+z x . 解析 平面方程0=+++D Cz By Ax 若过y 轴,则0==D B ,故选C .3 、在空间直角坐标系中,方程2221y x z --=所表示的曲面是( B );(A) 椭球面; (B) 椭圆抛物面; (C) 椭圆柱面; (D) 单叶双曲面.解析 对于曲面2221y x z --=,垂直于z 轴的平面截曲面是椭圆,垂直于x 轴或y 轴的平面截曲面是开口向下的抛物线,根据曲面的截痕法,可以判断曲面是椭圆抛物面.4、空间曲线⎩⎨⎧=-+=5,222z y x z 在xOy 面上的投影方程为( C );(A)722=+y x ; (B)⎩⎨⎧==+5722z y x ; (C) ⎩⎨⎧==+0722z y x ;(D)⎩⎨⎧=-+=0222z y x z解析 曲线⎩⎨⎧==+5722z y x 与xOy 平面平行,在xOy 面上的投影方程为⎩⎨⎧==+0722z y x .5 、直线11121-+==-z y x 与平面1=+-z y x 的位置关系是( B ). (A) 垂直; (B) 平行; (C) 夹角为π4; (D) 夹角为π4-.解析 直线的方向向量s ={2,1,-1},平面的法向量n ={1,-1,1},n s ⋅=2-1-1=0,所以,s ⊥n ,直线与平面平行.三、填空题:1、若2=b a ,π()2=a,b ,则=⨯b a 2 ,=⋅b a 0 ; 解 =⨯b a b a sin()a,b π22=2,=⋅b a b a cos()a,b π22=0.2、与平面062=-+-z y x 垂直的单位向量为 }2,1,1{66-±; 解 平面的法向量 n ={1,-1,2}与平面垂直,其单位向量为0n =411++=6,所以,与平面垂直的单位向量为}2,1,1{66-±.3、过点)2,1,3(--和)5,0,3(且平行于x 轴的平面方程为 057=-+z y ;解 已知平面平行于x 轴,则平面方程可设为 0=++D Cz By ,将点 (-3,1,-2)和(3,0,5)代入方程,有{20,50,B C D C D -+=+= ⇒ 7,51,5B D C D ⎧=-⎪⎨⎪=-⎩得 05157=+--D Dz Dy ,即 057=-+z y .4、过原点且垂直于平面022=+-z y 的直线为z yx -==20; 解 直线与平面垂直,则与平面的法向量 n ={0,2,-1}平行,取直线方向向量s =n ={0,2,-1},由于直线过原点,所以直线方程为z yx -==20 .5、曲线⎩⎨⎧=+=1,222z y x z 在xOy 平面上的投影曲线方程为 ⎩⎨⎧==+.0,1222z y x解: 投影柱面为 1222=+y x ,故 ⎩⎨⎧==+0,1222z y x 为空间曲线在xOy 平面上的投影曲线方程.四、解答题:1、 已知}1,2,1{-=a ,}2,1,1{=b ,计算(a) b a ⨯; (b) ()()-⋅+2a b a b ; (c) 2b a -;解: (a) b a ⨯=211121-kj i 1,3}5,{--=. (b) {2,4,2}{1,1,2}{1,5,0}2a b -=--=-,1,3}{2,{1,1,2}2,1}{1,-=+-=+b a , 所以()()-⋅+2a b a b 7}3,1,2{}0,5,1{=-⋅-=.(c) 1}3,{0,{1,1,2}2,1}{1,--=--=-b a ,所以2b a -10)19(2=+=.2、已知向量21P P 的始点为)5,2,2(1-P ,终点为)7,4,1(2-P ,试求:(1)向量21P P 的坐标表示; (2)向量21P P 的模;(3)向量21P P 的方向余弦; (4)与向量21P P 方向一致的单位向量.解: (1) }2,6,3{}57),2(4,21{21-=-----=P P ;74926)3(222==++-=;(3) 21P P 在z y x ,,三个坐标轴上的方向余弦分别为362cos ,cos ,cos 777αβγ=-==;(4)k j i k j i 7276737263)(21++-=++-==P P.3、设向量{}1,1,1=-a ,{}1,1,1=-b ,求与a 和b 都垂直的单位向量.解: 令{}1110,2,2111=⨯=-=-i j kc a b,01⎧==⎨⎩c c c ,故与a 、b都垂直的单位向量为0⎧±=±⎨⎩c .4、向量d垂直于向量]1,3,2[-=a和]3,2,1[-=b ,且与]1,1,2[-=c的数量积为6-,求向量d解: d垂直于a与b ,故d平行于b a⨯,存在数λ使()b a d⨯=λ⨯-=]1,3,2[λ]3,2,1[-]7,7,7[λλλ--=因6-=⋅c d,故6)7(1)7()1(72-=-⨯+-⨯-+⨯λλλ, 73-=λ]3,3,3[-=∴d.5、求满足下列条件的平面方程:(1)过三点)2,1,0(1P ,)1,2,1(2P 和)4,0,3(3P;(2)过x 轴且与平面025=++z y x 的夹角为π3. 解 (1)解1: 用三点式.所求平面的方程为0241003211201210=---------z y x ,即01345=+--z y x . 解2:}1,1,1{-=}2,1,3{-=,由题设知,所求平面的法向量为k j i kj in 452131113121--=--=⨯=P P P P , 又因为平面过点)2,1,0(1P ,所以所求平面方程为0)2(4)1(5)0(=-----z y x ,即01345=+--z y x .解3: 用下面的方法求出所求平面的法向量},,{C B A =n ,再根据点法式公式写出平面方程也可. 因为3121,P P P P ⊥⊥n n ,所以{0,320,A B C A B C +-=-+=解得A C A B 4,5-=-=,于是所求平面方程为0)2(4)1(5)0(=-----z A y A x A ,即 01345=+--z y x .(2)因所求平面过x 轴,故该平面的法向量},,{C B A =n 垂直于x 轴,n 在x 轴上的投影0=A ,又平面过原点,所以可设它的方程为0=+Cz By ,由题设可知0≠B (因为0=B 时,所求平面方程为0=Cz 又0≠C ,即0=z .这样它与已知平面025=++z y x 所夹锐角的余弦为π1cos 32=≠=,所以0≠B ),令C B C'=,则有0='+z C y ,由题设得 22222212)5(10121503cos ++'++⨯'+⨯+⨯=πC C , 解得3='C 或13C '=-,于是所求平面方程为03=+z y 或03=-z y .6、 一平面过直线⎩⎨⎧=+-=++04,05z x z y x 且与平面01284=+--z y x 垂直,求该平面方程;解法1: 直线⎩⎨⎧=+-=++04,05z x z y x 在平面上,令x =0,得 54-=y ,z =4,则(0,-54,4)为平面上的点.设所求平面的法向量为n =},,{C B A ,相交得到直线的两平面方程的法向量分别为 1n ={1,5,1},2n ={1,0,-1},则直线的方向向量s =1n ⨯2n =101151-kj i ={-5,2,-5},由于所求平面经过直线,故平面的法向量与直线的方向向量垂直,即⋅n s ={-5,2,-5}•},,{C B A =C B A 525-+-=0,因为所求平面与平面01284=+--z y x 垂直,则}8,4,1{},,{--⋅C B A =C B A 84--=0,解方程组{5250,480,A B C A B C -+=--= ⇒ 2,5,2A CBC =-⎧⎪⎨=-⎪⎩ 所求平面方程为 0)4()54(25)0(2=-++---z C y C x C ,即012254=+-+z y x .解法2: 用平面束(略)7、求既与两平面1:43x z π-=和2:251x y z π--=的交线平行,又过点(3,2,5)-的直线方程.解法1:{}11,0,4=-n ,{}22,1,5=--n ,{}124,3,1s =⨯=---n n ,从而根据点向式方程,所求直线方程为325431x y z +--==---,即325431x y z +--==. 解法2:设{},,s m n p =,因为1⊥s n ,所以40m p -=;又2⊥s n ,则250m n p --=,可解4,3m p n p ==,从而0p ≠.根据点向式方程,所求直线方程为32543x y z p p p +--==,即325431x y z +--==. 解法3:设平面3π过点(3,2,5)-,且平行于平面1π,则{}311,0,4==-n n 为3π的法向量,从而3π的方程为1(3)0(2)4(5)0x y z ⋅++⋅--⋅-=,即4230x z -+=.同理,过已知点且平行于平面2π的平面4π的方程为25330x y z --+=.故所求直线的方程为423025330x z x y z -+=⎧⎨--+=⎩.8、 一直线通过点)1,2,1(A ,且垂直于直线11231:+==-z y x L ,又和直线z y x ==相交,求该直线方程;解: 设所求直线的方向向量为{,,}m n p =s ,因垂直于L ,所以320m n p ++=;又因为直线过点)1,2,1(A ,则所求直线方程为 p z n y m x 121-=-=-,联立121,①,②320,③x y z m n p x y z m n p ---⎧==⎪⎨==⎪++=⎩由①,令λ=-=-=-p z n y m x 121,则有⎪⎩⎪⎨⎧+=+=+=,1,2,1p z n y m x λλλ代入方程②有{12,11,m n m p λλλλ+=++=+ 可得p m =,代入③解得p n 2-=, 因此,所求直线方程为112211-=--=-z y x .9、 指出下列方程表示的图形名称:(a) 14222=++z y x ;(b) z y x 222=+;(c) 22y x z +=;(d) 022=-y x ;(e) 122=-y x ; (f) ⎩⎨⎧=+=222z y x z .解: (a) 绕y 轴旋转的旋转椭球面.(b) 绕z 轴旋转的旋转抛物面. (c) 绕z 轴旋转的锥面. (d) 母线平行于z 轴的两垂直平面:y x =,y x -=. (e) 母线平行于z 轴的双曲柱面. (f) 旋转抛物面被平行于XOY 面的平面所截得到的圆,半径为2,圆心在(0,0,2)处.10、求曲面22z x y =+与222()z x y =-+所围立体在xOy 平面上的投影并作其图形.解: 将所给曲面方程联立消去z ,就得到两曲面交线C 的投影柱面的方程122=+y x ,所以柱面与xOy 平面的交线⎩⎨⎧==+'01:22z y x C 所围成的区域221+≤x y 即为曲面22z x y =+与222()z x y =-+所围立体在xOy 平面上的投影(图略).复习题B1、设4=a ,3=b ,()6π=a,b ,求以2+a b 和3-a b 为邻边的平行四边形的面积.解:(2)(3)326A =+⨯-=⨯-⨯+⨯-⨯a b a b a a a b b a b b325=-⨯-⨯=-⨯a b a b a b 15sin()543302=⋅=⨯⨯⨯=a b a,b .2、设(3)(75)+⊥-a b a b ,(4)(72)-⊥-a b a b ,求()a,b . 解: 由已知可得:(3)(75)0+⋅-=a b a b ,(4)(72)0-⋅-=a b a b 即 22715160-+⋅=a b a b ,2278300+-⋅=a b a b .这可看成是含三个变量a 、b 及⋅a b 的方程组,可将a 、b 都用⋅a b 表示,即==a b 1cos()22⋅⋅===⋅a b a b a,b a b a b ,()3π=a,b .3、求与}3,2,1{-=a 共线,且28=⋅b a 的向量b .解 由于b 与a 共线,所以可设}3,2,{λλλλ-==a b ,由28=⋅b a ,得28}3,2,{}3,2,1{=-⋅-λλλ, 即2894=++λλλ,所以2=λ,从而}6,4,2{-=b .4、 已知}0,1,1{},2,0,1{=-=b a ,求c ,使b c a c ⊥⊥,且6=c .解法1: 待定系数法.设},,{z y x =c ,则由题设知0,0=⋅=⋅b c a c 及6=c ,所以有①20②③6x z ⎧-=⎪=由①得2xz = ④,由②得x y -= ⑤,将④和⑤代入③得62)(222=⎪⎭⎫⎝⎛+-+x x x ,解得2,4,4±==±=z y x ,于是 }2,4,4{-=c 或}2,4,4{--=c .解法2: 利用向量的垂直平行条件,因为b c a c ⊥⊥,,所以c ∥b a ⨯.设λ是不为零的常数,则k j i k j i b a c λλλλλ+-=-=⨯=22011201)(,因为6=c ,所以6]1)2(2[2222=+-+λ,解得2±=λ,所以}2,4,4{-=c 或{4,4,2}=--c .解法3: 先求出与向量b a ⨯方向一致的单位向量,然后乘以6±.k j i kji b a +-=-=⨯22011201,31)2(2222=+-+=⨯b a ,故与b a ⨯方向一致的单位向量为}1,2,2{31-.于是}1,2,2{36-±=c ,即}2,4,4{-=c 或}2,4,4{--=c .5、求曲线222x y R x y z ⎧+=⎨++=⎩的参数式方程.解: 曲线参数式方程是把曲线上任一点(,,)P x y z 的坐标,,x y z 都用同一变量即参数表示出来,故可令cos ,sin x R t y R t ==,则(cos sin )z R t t =-+.6、求曲线22:2z L x y x⎧⎪=⎨+=⎪⎩xOy 面上及在zOx 面上的投影曲线的方程.解: 求L 在xOy 面上的投影的方程,即由L 的两个方程将z 消去,即得L 关于xOy 面的投影柱面的方程222x y x +=则L 在xOy 面上的投影曲线的方程为2220x y xz ⎧+=⎨=⎩. 同理求L 在zOx 面上的投影的方程,即由L 的两个方程消去y ,得L 关于zOx 面的投影柱面的方程z =L 在zOx面上的投影曲线方程为0z y ⎧=⎪⎨=⎪⎩.7、已知平面π过点0(1,0,1)M -和直线1211:201x y z L ---==,求平面π的方程. 解法1: 设平面π的法向量为n ,直线1L 的方向向量1(2,0,1)=s ,由题意可知1⊥n s ,(2,1,1)M 是直线1L 上的一点,则0(1,1,2)M M =在π上,所以0MM ⊥n ,故可取10MM =⨯n s (1,3,2)=--.则所求平面的点法式方程为1(1)3(0)2(1)0x y z ⋅-+⋅--⋅+=,即3230x y z +--=为所求平面方程.解法2: 设平面π的一般方程为0Ax By Cz D +++=,由题意可知,π过点0(1,0,1)M -,故有0A C D -+=, (1)在直线1L 上任取两点12(2,1,1),(4,1,2)M M ,将其代入平面方程,得20A B C D +++=, (2)420A B C D +++=, (3)由式(1)、(2)、(3)解得3,2,3B A C A D A ==-=-,故平面π的方程为3230x y z +--=.解法3: 设(),,M x y z 为π上任一点.由题意知向量0M M 、01M M 和1s 共面,其中()12,1,1M 为直线1L 上的点,1(2,0,1)=s 为直线1L 的方向向量.因此0011()0M M M M ⨯⋅=s ,故平面π的方程为1012110110201x y z --+--+=,即3230x y z +--=为所求平面方程.8、求一过原点的平面π,使它与平面0:π4830x y z -+-=成4π角,且垂直于平面1:π730x z ++=. 解: 由题意可设π的方程为0Ax By Cz ++=,其法向量为(,,)A B C =n ,平面0π的法向量为0(1,4,8)=-n ,平面1π的法向量为1(7,0,1)=n ,由题意得00||cos 4||||π⋅=⋅n n n n ,即=(1) 由10⋅=n n ,得70A C +=,将7C A =-代入(12=,解得20,B A =或10049B A =-,则所求平面π的方程为2070x y z +-= 或 491003430x y z --=.9、求过直线1L :0230x y z x y z ++=⎧⎨-+=⎩且平行于直线2L :23x y z ==的平面π的方程.解法1: 直线1L 的方向向量为1=s 111(4,1,3)213==---i j k,直线2L 的对称式方程为632x y z==,方向向量为2(6,3,2)=s ,依题意所求平面π的法向量1⊥n s 且2⊥n s ,故可取12=⨯n s s ,则413(7,26,18)632=--=-i j kn ,又因为1L 过原点,且1L 在平面π上,从而π也过原点,故所求平面π的方程为726180x y z -+=.解法2: 设所求平面π为 (23)0x y z x y z λ+++-+=,即(12)(1)(13)0x y z λλλ++-++=, 其法向量为(12,1,13)λλλ=+-+n ,由题意知2⊥n s ,故26(12)3(1)2(13)0λλλ⋅=++-++=n s ,得1115λ=-,则所求平面π的方程为726180x y z -+=.另外,容易验证230x y z -+=不是所求的平面方程.10、求过直线L :⎩⎨⎧=+-+=+-+0185017228z y x z y x 且与球面1222=++z y x 相切的平面方程解: 设所求平面为 ()018517228=+-+++-+z y x z y x λ,即 (15)(288)(2)170x y z λλλλ+++-+++=,由题意:球心)0,0,0(到它的距离为1,即1)2()828()51(17222=--+++++λλλλ解得:89250-=λ 或 2-=λ 所求平面为:42124164387=--z y x 或 543=-y x11、求直线L :11111--==-z y x 在平面π:012=-+-z y x 上投影直线0L 的方程,并求直线0L 绕y 轴旋转一周而成的曲面方程.解: 将直线L :11111--==-z y x 化为一般方程 ⎩⎨⎧=-+=--0101y z y x ,设过直线L 且与平面π垂直的平面方程为()011=-++--y z y x λ,则有02)1(1=+--λλ,即2λ=-,平面方程为0123=+--z y x ,这样直线0L 的方程⎩⎨⎧=-+-=+--0120123z y x z y x 把此方程化为:⎩⎨⎧--==)1(221y z yx ,因此直线0L 绕y 轴旋转一周而成的曲面方程为:22221(2)(1)2x z y y ⎛⎫+=+-- ⎪⎝⎭即 0124174222=-++-y z y x .12、求过点)1,0,3(-A 且平行于平面1π:3450x y z --+=,又与直线1:2x L =1111y z -+=-相交的直线L 的方程.解法1: 用点向式方程.因为直线L 平行于平面1π,故直线L 的方向向量},,{p n m =s 垂直于平面1π的法向量}1,4,3{--=n ,从而得043=--p n m ①,又直线1L 的方向向量为}1,1,2{-=s ,)1,1,0(-B 是直线1L 上一点,)1,0,3(-A 是直线L 上一点,根据题设:直线L 与直线1L 相交,所以1s,s 及AB 共面,因此1()2110312m n pAB ⨯⋅=-=-s s ,即0=-+-p n m ②,将①和②联立解得p n p m 4,5-=-=,由此得145p n m =-=-,于是所求直线方程为11453-=-=-+z y x .。
习题六1. 指出下列各微分方程的阶数:1一阶 2二阶 3三阶 4一阶2. 指出下列各题中的函数是否为所给微分方程的解:2(1)2,5xy y y x '==;解:由25y x =得10y x '=代入方程得故是方程的解.(2)0,3sin 4cos y y y x x ''+==-;解:3cos 4sin ;3sin 4cos y x x y x x '''=+=-+代入方程得 3sin 4cos 3sin 4cos 0x x x x -++-=.故是方程的解.2(3)20,e x y y y y x '''-+== ;解:2222e e (2)e ,(24)e x x x x y x x x x y x x '''=+=+=++代入方程得 2e 0x ≠.故不是方程的解.解:12122211221122e e ,e e x x x x y C C y C C λλλλλλλλ'''=+=+代入方程得故是方程的解.3. 在下列各题中,验证所给二元方程为所给微分方程的解: 证:方程22x xy y C -+=两端对x 求导: 得22x y y x y -'=-代入微分方程,等式恒成立.故是微分方程的解.证:方程ln()y xy =两端对x 求导: 11y y x y ''=+ 得(1)yy x y '=-. 式两端对x 再求导得将,y y '''代入到微分方程,等式恒成立,故是微分方程的解.4. 从下列各题中的曲线族里,找出满足所给的初始条件的曲线: 解:当0x =时,y =5.故C =-25故所求曲线为:2225y x -= 解: 2212(22)e x y C C C x '=++当x =0时,y =0故有10C =.又当x =0时,1y '=.故有21C =.故所求曲线为:2e x y x =.5. 求下列各微分方程的通解:(1)ln 0xy y y '-=;解:分离变量,得 d 1d ln y xy y x =积分得 11d ln d ln y x y x =⎰⎰得 e cx y =.解:分离变量,得= 积分得=得通解:.c -=-(3)(e e )d (e e )d 0x y x x y y x y ++-++=;解:分离变量,得 e e d d 1e 1e y yy x y x =-+积分得ln(e 1)ln(e 1)ln y x c --=+- 得通解为 (e 1)(e 1)x yc +-=. (4)cos sind sin cos d 0x y x x y y +=;解:分离变量,得 cos cos d d 0sin sin x y x y x y +=积分得 lnsin lnsin ln y x c +=得通解为 sin sin .y x c ⋅=(5)y xy '=;解:分离变量,得 d d y x x y =积分得 211ln 2y x c =+得通解为 2112e (e )x c y c c ==(6)210x y '++=;解: 21y x '=--积分得 (21)d y x x =--⎰得通解为2y x x c =--+. 32(7)4230x x y y '+-=;解:分离变量,得 233d (42)d y y x x x =+积分得 342y x x c =++即为通解.(8)e x y y +'=.解:分离变量,得e d e d y x y x -= 积分得 e d e d y x y x-=⎰⎰ 得通解为: e e y x c --=+.6. 求下列各微分方程满足所给初始条件的特解:20(1)e ,0x y x y y -='== ;解:分离变量,得2e d e d y x y x = 积分得 21e e 2y x c =+.以0,0x y ==代入上式得12c = 故方程特解为 21e (e 1)2y x =+.π2(2)sin ln ,ex y x y y y ='== .解:分离变量,得 d d ln sin y x y y x =积分得 tan 2ex c y ⋅= 将π,e 2x y ==代入上式得1c =故所求特解为 tan 2exy =.7. 求下列齐次方程的通解:(1)0xy y '-=;解:d d y y x x =+令d d d d y y u u u x x x x =⇒=+ 原方程变为d x x = 两端积分得ln(ln ln u x c =+ 即通解为:2y cx += d (2)ln d y y xy x x =; 解:d ln d y y y x xx = 令y u x =, 则d d d d y u u x x x =+原方程变为 d d (ln 1)u x u u x =- 积分得 ln(ln 1)ln ln u x c -=+即方程通解为 1e cx y x +=解: 2221d d y y x y x y x xyx ⎛⎫+ ⎪+⎝⎭== 令y u x =, 则d d d d y u u x x x =+ 原方程变为2d 1d u u u x x u ++= 即 d 1d ,d d u x x u u x ux == 积分得 211ln ln 2u x c =+故方程通解为22221ln()()y x cx c c == 332(4)()d 3d 0x y x xy y +-=;解:333221d d 33y y x y x x xy y x ⎛⎫+ ⎪+⎝⎭==⎛⎫ ⎪⎝⎭ 令y u x =, 则d d d d y u u x x x =+ 原方程变为32d 1d 3u u u x x u ++= 即 233d d 12u x u ux =- 积分得 311ln(21)ln ln 2u x c --=+ 以yx 代替u ,并整理得方程通解为332y x cx -=. d (5)d y x y x x y +=-; 解:1d d 1yy x yx x +=- 令y u x =, 则d d d d y u u x x x =+原方程变为d 1d 1u u u xx u ++=- 分离变量,得 211d d 1u u x ux -=+ 积分得 211arctan ln(1)ln ln 2u u x c -+=+ 以y x 代替u ,并整理得方程通解为到2arctan 22211e .()y x x y c c c +== 解:d d yy x = 即d d x x y y =+令x v y =, 则d d ,d d x v x yv v y y y ==+, 原方程可变为 即d d v yy =分离变量,得d yy =积分得ln(ln ln v y c =-. 即y v c +=以yv x =代入上式,得222c y c x ⎛⎫=+ ⎪⎝⎭ 即方程通解为 222y cx c =+.8. 求下列各齐次方程满足所给初始条件的解:220(1)(3)d 2d 0,1x y x y xy x y =-+== ;解: 22d d 3y y xx y x =-⎛⎫- ⎪⎝⎭令y ux =,则得 2d 2d 3u u u x x u +=-- 分离变量,得 233d d u x u u ux -=- 积分得 3ln ln(1)ln(1)ln u u u cx -+-++=即 231ln ln u c u x -=得方程通解为 223y x cy -=以x =0,y =1代入上式得c =1.故所求特解为 223y x y -=.1(2),2x xyy y y x ='=+= .解:设y ux =, 则d d d d yuu x x x =+原方程可变为 d d x u u x =积分得 21ln ln 2u x c =+.得方程通解为 222(ln ln )y x x c =+以x =1,y =2代入上式得c =e 2.故所求特解为 222(ln 2)y x x =+.9. 利用适当的变换化下列方程为齐次方程,并求出通解:解:设1,1x X y Y =+=+,则原方程化为令 d 25d 24Y u uu u X X X u -=⇒+=+代回并整理得2(43)(23),(y x y x c c --+-==. 解:d 1d 41y x yx y x --=-+-作变量替换,令 1,0x X y Y Y =+=+=原方程化为 1d d 414YY X YX YX X Y X --=-=-++令Y uX =,则得分离变量,得 214d d 14u X u u x +-=+积分得即 22ln ln(14)arctan 2X u u c +++=代回并整理得 222ln[4(1)]arctan .1yy x c x +-+=-(3)()d (334)d 0x y x x y y +++-=;解:作变量替换,v x y =+ 则d d 1d d yvx x =-原方程化为 d 1d 34v v xv -=-- 代回并整理得 32ln(2).x y x y c +++-=d 1(4)1d y x x y =+-.解:令,u x y =-则d d 1d d u y xx =- 原方程可化为 d 1d u xu =- 分离变量,得 d d u u x =-积分得 2112u x c =-+故原方程通解为21()2.(2)x y x c c c -=-+= 10. 求下列线性微分方程的通解:(1)e x y y -'+=;解:由通解公式2(2)32xy y x x '+=++;解:方程可化为123y y x x x '+=++由通解公式得 解: cos d cos d sin sin e e ().e e d x x x x x x y x c x c ---⎰⎡⎤⎰==+⋅+⎢⎥⎣⎦⎰(4)44y xy x '=+;解:22(4)d (4)d 22e e 4e d 4e d x x x x x x y x x c x x c ----⎰⎡⎤⎰⎡⎤==++⎢⎥⎣⎦⎣⎦⎰⎰ ()222222e e e 1x x x c c -=-+=-.3(5)(2)2(2)x y y x '-=+-; 解:方程可化为 2d 12()d 2y y x x x x -=--解:方程可化为2222411x x y y x x '+=++ 11. 求下列线性微分方程满足所给初始条件的特解:πd 11(1)sin ,1d x y y x y x x x =+== ;解: 11d d 11sine sin d [cos ]e d x x x x x y x x c c x x c x x x -⎡⎤⎰⎰⎡⎤==+=-+⎢⎥⎣⎦⎣⎦⎰⎰以π,1x y ==代入上式得π1c =-,故所求特解为 1(π1cos )y x x =--.2311(2)(23)1,0x y x y y x ='+-== . 解:22323d 3ln x x x x c x --=--+⎰ 以x =1,y =0代入上式,得12e c =-. 故所求特解为2311e 22e x y x -⎛⎫=- ⎪⎝⎭. 12. 求下列伯努利方程的通解: 解:令121z y y --==,则有即为原方程通解. 411(2)(12)33y y x y '+=-.解:令3d 21d z z y z x x -=⇒-=-.即为原方程通解.13. 求下列各微分方程的通解:(1)sin y x x ''=+;解:方程两边连续积分两次得(2)e x y x '''=;解:积分得 1e d e e x x x y x x x c ''==-+⎰(3)y y x '''=+;解:令p y '=,则原方程变为故 21121(e 1)d e 2x x y c x x c x x c =--=--+⎰.3(4)()y y y ''''=+;解:设y p '=, 则d d p y py ''= 原方程可化为 3d d p p p py =+即 2d (1)0d p p p y ⎡⎤-+=⎢⎥⎣⎦ 由p =0知y =c ,这是原方程的一个解.当0p ≠时,22d d 1d d 1p p p y y p =+⇒=+解:11d ln y x c x x ''==+⎰(6)y ''=;解:1arcsin y x x c '==+(7)0xy y '''+=; 解:令y p '=,则得1d d 00p x p p x p x '+=⇒+=得1c p x =故 112d ln c y x c c x x ==+⎰.3(8)10y y ''-=. 解:令p y '=,则d d p y py ''=.原方程可化为33d 10,d d d p y p p p y y y --==14.求下列各微分方程满足所给初始条件的特解: 311(1)10,1,0x x y y y y =='''+===;解:令y p '=,则d d p y p y ''=,原方程可化为 33d 11d d d p y p p p y y y ⋅=-⇒=-由1,1,0x y y p '====知,11c =-,从而有由1,1x y ==,得21c =故222x y x += 或y =. 211(2)1,0,1x x x y xy y y ==''''+===;解:令y p '=,则y p '''=.原方程可化为211p p x x '+= 则 11(ln )y x c x '=+以1,1x y '==代入上式得11c = 则1(ln 1)y x x '=+ 当x =1时,y =0代入得20c =故所求特解为 21ln ln 2y x x =+.2001(3),01x x y y y x =='''===+;解:1arctan y x c '=+当0,0x y '==,得10c =以x =0,y =0代入上式得20c =故所求特解为 21arctan ln(1)2y x x x =-+.200(4)1,1,0x x y y y y ==''''=+==;解:令p y '=,则p y '''=.原方程可化为21p p '=+ 以0,0x y '==代入上式得1πc k =.以x =0,y =1代入上式得21c =故所求特解为200(5)e ,0y x x y y y =='''===;解:令y p '=,则d d p y py ''=. 原方程可化为 2d e d yp p y =即 2d e d y p p y =积分得221111e 222y p c =+ 以0,0x y y '===代入上式得11c =-,则p y '==以x =0,y =0代入得2π2c =,故所求特解为 πarcsin e 2y x -=+ 即πe sin cos 2y x x -⎛⎫==± ⎪⎝⎭. 即lnsec y x =.00(6)1,2x x y y y =='''===.解:令d ,d p y p y p y '''== 原方程可化为 12d 3d p p y y =以0,2,1x y p y '====代入得10c = 故 342y p y '==± 由于0y ''=>. 故342y y '=,即 34d 2d yx y =积分得14242y x c =+ 以x =0,y =1代入得24c =故所求特解为4112y x ⎛⎫=+ ⎪⎝⎭. 15. 求下列微分方程的通解:(1)20y y y '''+-=;解:特征方程为 220r r +-=解得 121,2r r ==-故原方程通解为212e e .x x y c c -=+ (2)0y y ''+=;解:特征方程为 210r +=解得 1,2r i =±故原方程通解为 12cos sin y c x c x =+22d d (3)420250d d x x x t t -+=;解:特征方程为 2420250r r -+=解得1252r r == 故原方程通解为 5212()e t x c c t =+.(4)450y y y '''-+=;解:特征方程为 2450r r -+= 解得 1,22r i =±故原方程通解为212e (cos sin )x y c x c x =+. (5)440y y y '''++=;解:特征方程为 2440r r ++=解得 122r r ==-故原方程通解为212e ()x y c c x -=+ (6)320y y y '''-+=.解:特征方程为 2320r r -+=解得 1,2r r ==故原方程通解为 212e e x x y c c =+.16. 求下列微分方程满足所给初始条件的特解:00(1)430,6,10x x y y y y y ==''''-+===;解:特征方程为 2430r r -+=解得 121,3r r ==通解为 312e e x x y c c =+由初始条件得 121122643102c c c c c c +==⎧⎧⇒⎨⎨+==⎩⎩ 故方程所求特解为 34e 2e x xy =+.解:特征方程为 24410r r ++= 解得1212r r ==- 通解为 1212()e x y c c x -=+由初始条件得 11221221102c c c c c =⎧=⎧⎪⇒⎨⎨=-=⎩⎪⎩故方程所求特解为 12(2)e x y x -=+.解:特征方程为 24290r r ++=解得 1,225r i =-±通解为212e (cos5sin 5)x y c x c x -=+ 由初始条件得 112120052153c c c c c ==⎧⎧⇒⎨⎨-==⎩⎩ 故方程所求特解为23e sin 5x y x -=. 00(4)250,2,5x x y y y y =='''+===.解:特征方程为 2250r +=解得 1,25r i =±通解为 12cos5sin 5y c x c x =+由初始条件得 112222551c c c c ==⎧⎧⇒⎨⎨==⎩⎩ 故方程所求特解为 2cos5sin 5y x x =+.17. 求下各微分方程的通解:(1)22e x y y y '''+-=;解: 2210r r +-=得相应齐次方程的通解为令特解为*e x y A =,代入原方程得 2e e e 2e x x x x A A A +-=,解得1A =, 故*e x y =,故原方程通解为 212e e e x x xy c c -=++.2(2)25521y y x x '''+=--;对应齐次方程通解为212e x y c c -=+ 令*2()y x ax bx c =++, 代入原方程得 比较等式两边系数得 则*321373525y x x x =-+ 故方程所求通解为532212137e 3525x y c c x x x -⎛⎫=++-+ ⎪⎝⎭. (3)323e x y y y x -'''++=;解:2320r r ++= 121,2r r =-=-,对应齐次方程通解为 212e e x x y c c --=+令*()e x y x Ax B -=+代入原方程得解得 3,32A B ==-则*23e 32x y x x -⎛⎫=- ⎪⎝⎭ 故所求通解为22123e e e 32x x x y c c x x ---⎛⎫=++- ⎪⎝⎭. (4)25e sin 2x y y y x '''-+=;解:2250r r -+=相应齐次方程的通解为令*e (cos 2sin 2)x y x A x B x =+,代入原方程并整理得 得 1,04A B =-=则 *1e cos 24x y x x =-故所求通解为 121e (cos 2sin 2)e cos 24x x y c x c x x x =+-.(5)2y y y x '''++=;解:2210r r ++=相应齐次方程通解为 12()e x y c c x -=+令*y Ax B =+代入原方程得得 1,2A B ==-则 *2y x =-故所求通解为 12()e 2x y c c x x -=++- 2(6)44e x y y y '''-+=.对应齐次方程通解为 12()e c c x =+令*22e x y Ax =代入原方程得 故原方程通解为222121()e e 2x x y c c x x =++.18. 求下列各微分方程满足已给初始条件的特解: ππ(1)sin 20,1,1x x y y x y y =='''++===; 解:特征方程为 210r +=得 1,2r i =±对应齐次方程通解为 12cos sin y c x c x =+令*cos 2sin 2y A x B x =+代入原方程并整理得得 10,3A B ==故通解为 121cos sin sin 23y c x c x x =++.将初始条件代入上式得11221121133c c c c -==-⎧⎧⎪⎪⇒⎨⎨-+==-⎪⎪⎩⎩ 故所求特解为 11cos sin sin 233y x x x =--+.200633(2)109e ,,77x x x y y y y y ==''''-+===.解: 21090r r -+=对应齐次方程通解为 912e e x x y c c =+令*2e x y A =,代入原方程求得 17A =-则原方程通解为 29121e e e 7x x xy c c =-++由初始条件可求得1211,22c c == 故所求特解为 9211(e e )e 27x x xy =+-.19. 求下列欧拉方程的通解:解:作变换e tx =,即t =ln x ,原方程变为 (1)0D D y Dy y -+-= 即 22d 0d y y t -=特征方程为 210r -=故 12121e e t t y c c c c x x -=+=+.23(2)4x y xy y x '''+-=.解:设e tx =,则原方程化为 232d 4e d ty y t -= ①特征方程为 240r -=故①所对应齐次方程的通解为又设*3e t y A =为①的特解,代入①化简得 15A =, *31e 5t y = 故 223223121211e e e .55t t t y c c c x c x x --=++=++。
1、根据无穷小的定义证明:1)当n →∞时,!n n n u n =是无穷小。
证明:0>∀ε!!10n n n n n n n-=< 取1N ε=,当n N >时恒有!0n n nε-< 所以当n →∞时,!n nn u n =是无穷小。
2)当0→x 时,221cos xx y =为无穷小 证明:0>∀ε 2221cos x xx ≤ 取εδ=,当δ<<x 0时,恒有ε<221cosx x 所以221cos xx y =当0→x 时为无穷小。
2、根据无穷大的定义证明:当0x →时,()12x f x x +=是无穷大。
证明:对于任给的0>M121122x x x x+=+>- 取12M δ=+,当00x δ<-<时,恒有12x M x+> 所以当0x →时,()12x f x x +=是无穷大。
3、当1x →时,将()223211x x f x x +-=+分解为一个常数于一个无穷小的和。
解:()()2222223212223321111x x x x x x f x x x x x +-+++-+===+-+++ ()213lim 101x x x x →+-=+4、求下列极限并说明理由1)()1lim 1x x x e →∞+ 解:因为()lim 1x x x e →∞+=∞,所以()1lim 01xx x e →∞=+ 2)101lim 1x x x e e →-+解:因为()0lim 10x x e →-=,1111x e <+,所以101lim 01x x x e e →-=+。
(有界量与无穷小的积还是无穷小)5、设0x x →时,()()A x g x f →∞→,,(A 为有限数)。
试证明下列各式: 1)()()()0lim x x g x f x →+=∞ 证明:对于任给0>M ,因为()∞=→x f x x 0lim ,所以存在01>δ,当100δ<-<x x 时, 恒有()23AM x f +>又因为()A x g x x =→0lim ,对于2A =ε,一定存在02>δ,当200δ<-<x x 时,恒有()()()2322A x g A A x g A A x g <⇒<-⇒<- 取{}21,min δδδ=,当δ<-<00x x 时()()()()3322A A g x f x f x g x M M +≥->+-= 所以()()()0lim x x g x f x →+=∞ 2)()()()1lim 0=+→x g x f x f x x 证明:因为()()()()()()x g x f x g x g x f x f +-+=+1,所以只需证明()()()0lim 0=+-→x g x f x g x x 由1)中证明,可得()()x g x f +为0x x →时的无穷大,由无穷大与无穷小的关系0x x →时,()()x g x f +1为无穷小,又因为()A x g x x =→0lim ,利用极限的性质,()x g 是局 部有界的,因此()x g -也是局部有界的。
习题十二1.写出下列级数的一般项:(1)1111357++++;(2)22242462468x x ++++⋅⋅⋅⋅⋅⋅;(3)35793579a a a a -+-+;解:(1)121n U n =-;(2)()2!!2nn xU n =;(3)()211121n n n a U n ++=-+;2.求下列级数的和:(1)()()()1111n x n x n x n ∞=+-+++∑;(2)1n ∞=∑;(3)23111555+++;解:(1)()()()()()()()111111211n u x n x n x n x n x n x n x n =+-+++⎛⎫-=⎪+-++++⎝⎭从而()()()()()()()()()()()()()()11111211212231111111211n Sx x x x x xx x x n xn x n x n x x x n x n ⎛-+-=+++++++⎝⎫++-⎪+-++++⎭⎛⎫-= ⎪++++⎝⎭因此()1lim 21n n S x x →∞=+,故级数的和为()121x x + (2)因为n U =-从而(11n S n =-+-+-++-+=-=+-所以lim 1nn S →∞=1(3)因为21115551115511511145n nn n S =+++⎡⎤⎛⎫-⎢⎥ ⎪⎝⎭⎣⎦=-⎡⎤⎛⎫=-⎢⎥ ⎪⎝⎭⎣⎦从而1lim 4n n S →∞=,即级数的和为14.3.判定下列级数的敛散性:(1)1n ∞=-∑;(2) ()()11111661111165451n n+++++⋅⋅⋅-+;(3)()23133222213333nn n--+-++-;(4)1155n +++++;解:(1) (11n S n =++++=从而lim n n S →∞=+∞,故级数发散.(2) 1111111115661111165451111551n S n n n ⎛⎫=-+-+-++- ⎪-+⎝⎭⎛⎫=- ⎪+⎝⎭从而1lim 5n n S →∞=,故原级数收敛,其和为15. (3)此级数为23q =-的等比级数,且|q |<1,故级数收敛. (4)∵n U =lim 10n n U →∞=≠,故级数发散.4.利用柯西审敛原理判别下列级数的敛散性:(1) ()111n n n +∞=-∑;(2) 1cos 2nn nx∞=∑;(3)1111313233n n n n ∞=⎛⎫+- ⎪+++⎝⎭∑. 解:(1)当P 为偶数时,()()()()122341111112311111231111112112311n n n pn n n n p U U U n n n n pn n n n pn p n p n n pn n n +++++++++++----=++++++++-+--=++++⎛⎫⎛⎫-=----- ⎪ ⎪+-+-++++⎝⎭⎝⎭<+当P 为奇数时,()()()()1223411111123111112311111112311n n n pn n n n p U U U n n n n pn n n n pn p n p n n n n +++++++++++----=++++++++-+-+=++++⎛⎫⎛⎫-=---- ⎪ ⎪+-++++⎝⎭⎝⎭<+因而,对于任何自然数P ,都有12111n n n p U U U n n ++++++<<+,∀ε>0,取11N ε⎡⎤=+⎢⎥⎣⎦,则当n >N 时,对任何自然数P 恒有12n n n p U U U ε++++++<成立,由柯西审敛原理知,级数()111n n n +∞=-∑收敛.(2)对于任意自然数P ,都有()()()1212121cos cos cos 12222111222111221121112212n n n pn n n p n n n p n p n p n U U U x n p x xn n ++++++++++++++++=+++≤+++⎛⎫- ⎪⎝⎭=-⎛⎫=- ⎪⎝⎭<于是, ∀ε>0(0<ε<1),∃N =21log ε⎡⎤⎢⎥⎣⎦,当n >N 时,对任意的自然数P 都有12n n n p U U U ε++++++<成立,由柯西审敛原理知,该级数收敛.(3)取P =n ,则()()()()()121111113113123133213223231131132161112n n n pU U U n n n n n n n n n n ++++++⎛⎫=+-+++- ⎪++++++⋅+⋅+⋅+⎝⎭≥++++⋅+≥+>从而取0112ε=,则对任意的n ∈N ,都存在P =n 所得120n n n p U U U ε++++++>,由柯西审敛原理知,原级数发散.5.用比较审敛法判别下列级数的敛散性.(1)()()111465735n n ++++⋅⋅++;(2)22212131112131n n +++++++++++(3)1πsin 3nn ∞=∑;(4)1n ∞=;(5)()1101nn a a ∞=>+∑;(6)()1121nn ∞=-∑.解:(1)∵()()21135n U nn n =<++而211n n∞=∑收敛,由比较审敛法知1nn U∞=∑收敛.(2)∵221111n n n U n n n n++=≥=++而11n n ∞=∑发散,由比较审敛法知,原级数发散.(3)∵ππsinsin 33lim lim ππ1π33n nn n n n →∞→∞=⋅=而1π3nn ∞=∑收敛,故1πsin 3n n ∞=∑也收敛. (4)∵321n U n=<=而3121n n∞=∑收敛,故1n ∞=收敛.(5)当a >1时,111n n n U a a =<+,而11n n a ∞=∑收敛,故111n n a ∞=+∑也收敛.当a =1时,11lim lim 022n n n U →∞→∞==≠,级数发散.当0<a <1时,1lim lim 101n nn n U a →∞→∞==≠+,级数发散.综上所述,当a >1时,原级数收敛,当0<a ≤1时,原级数发散.(6)由021lim ln 2x x x →-=知121limln 211nx n →∞-=<而11n n ∞=∑发散,由比较审敛法知()1121n n ∞=-∑发散.6.用比值判别法判别下列级数的敛散性:(1)213nn n ∞=∑; (2)1!31nn n ∞=+∑;(3)232333331222322nn n +++++⋅⋅⋅⋅;(1) 12!n nn n n ∞=⋅∑解:(1)23n nn U =,()2112311lim lim 133n n n n n n U n U n ++→∞→∞+=⋅=<,由比值审敛法知,级数收敛.(2)()()111!311lim lim 31!31lim 131n n n n n nn n n U n U n n ++→∞→∞+→∞++=⋅++=⋅++=+∞所以原级数发散.(3)()()11132lim lim 2313lim 21312n n n n nn n nn U n U n n n +++→∞→∞→∞⋅=⋅⋅+=+=>所以原级数发散.(4)()()1112!1lim lim 2!1lim 21122lim 1e 11n n n n nn n nnn n n U n n U n n n n n +++→∞→∞→∞→∞⋅+=⋅⋅+⎛⎫= ⎪+⎝⎭==<⎛⎫+ ⎪⎝⎭故原级数收敛.7.用根值判别法判别下列级数的敛散性:(1) 1531nn n n ∞=⎛⎫ ⎪+⎝⎭∑; (2)()[]11ln 1nn n ∞=+∑;(3)21131n n n n -∞=⎛⎫ ⎪-⎝⎭∑;(4)1nn n b a ∞=⎛⎫ ⎪⎝⎭∑,其中a n →a (n →∞),a n ,b ,a 均为正数.解:(1)55lim1313n n n n →∞==>+,故原级数发散.(2)()1lim01ln 1n n n →∞==<+,故原级数收敛.(3)121lim lim 1931nn n n n -→∞⎛⎫==< ⎪-⎝⎭,故原级数收敛.(4) lim n n n b b a a →∞==,当b <a 时,b a <1,原级数收敛;当b >a 时,ba >1,原级数发散;当b =a 时,ba=1,无法判定其敛散性.8.判定下列级数是否收敛?若收敛,是绝对收敛还是条件收敛?(1)1-+; (2)()()1111ln 1n n n ∞-=-+∑;(3) 234111*********5353⋅-⋅+⋅-⋅+;(4)()21121!n n n n ∞-=-∑;(5)()()1111n n R n αα∞-=∈-∑;(6) ()11111123nn nn ∞=⎛⎫-++++ ⎪⎝⎭∑.解:(1)()11n n U -=-1nn U ∞=∑>0n =,由莱布尼茨判别法级数收敛,又11121nn n Un∞∞===∑∑是P <1的P 级数,所以1nn U∞=∑发散,故原级数条件收敛.(2)()()111ln 1n n U n -=-+,()()1111ln 1n n n ∞---+∑为交错级数,且()()11ln ln 12n n >++,()1limln 1n n →∞=+,由莱布尼茨判别法知原级数收敛,但由于()11ln 11n U n n =≥++所以,1nn U∞=∑发散,所以原级数条件收敛.(3)()11153n n n U -=-⋅民,显然1111115353n nn n n n U ∞∞∞=====⋅∑∑∑,而113nn ∞=∑是收敛的等比级数,故1nn U∞=∑收敛,所以原级数绝对收敛.(4)因为2112lim lim 1n n n n n U U n ++→∞→∞==+∞+.故可得1n nU U +>,得lim 0n n U →∞≠,∴lim 0n n U →∞≠,原级数发散.(5)当α>1时,由级数11n n α∞=∑收敛得原级数绝对收敛.当0<α≤1时,交错级数()1111n n n α∞-=-∑满足条件:()111n n αα>+;1lim0n n α→∞=,由莱布尼茨判别法知级数收敛,但这时()111111n n n nn αα∞∞-===-∑∑发散,所以原级数条件收敛.当α≤0时,lim 0n n U →∞≠,所以原级数发散.(6)由于11111123n n n ⎛⎫⋅>++++ ⎪⎝⎭而11n n ∞=∑发散,由此较审敛法知级数()11111123nn nn ∞=⎛⎫-⋅++++ ⎪⎝⎭∑发散.记1111123n U n n ⎛⎫=⋅++++ ⎪⎝⎭,则()()()()()()1222111111123111111112311111111231110n n U U n n n n n n n n n n n n n n +⎛⎫⎛⎫-=-++++- ⎪⎪+⎝⎭⎝⎭+⎛⎫=-++++ ⎪⎝⎭++⎛⎫⎛⎫-=++++ ⎪ ⎪⎝⎭+++⎝⎭>即1n n U U +>又01111lim lim 12311d n n n n U n n x n x →∞→∞⎛⎫=++++ ⎪⎝⎭=⎰由0111lim d lim 01t t t t x t x →+∞→+∞==⎰知lim 0n n U →∞=,由莱布尼茨判别法,原级数()11111123nn nn ∞=⎛⎫-⋅++++ ⎪⎝⎭∑收敛,而且是条件收敛.9.判别下列函数项级数在所示区间上的一致收敛性.(1)()1!1nn x n ∞=-∑,x ∈[-3,3];(2)21nn x n ∞=∑,x ∈[0,1];(3) 1sin 3nn nx∞=∑,x ∈(-∞,+∞);(4) 1!nxn e n -∞=∑,|x |<5;(5)1n ∞=,x ∈(-∞,+∞)解:(1)∵()()3!!11nnx n n ≤--,x ∈[-3,3],而由比值审敛法可知()13!1nn n ∞=-∑收敛,所以原级数在 [-3,3]上一致收敛.(2)∵221nx nn ≤,x ∈[0,1],而211n n∞=∑收敛,所以原级数在[0,1]上一致收敛.(3)∵1sin 33n n nx ≤,x ∈(-∞,+∞),而113nn ∞=∑是收敛的等比级数,所以原级数在(-∞,+∞)上一致收敛.(4)因为5!!nnx ee n n -≤,x ∈(-5,5),由比值审敛法可知51!n n e n ∞=∑收敛,故原级数在(-5,5)上一致收敛.(5)531n≤,x ∈(-∞,+∞),而5131n n∞=∑是收敛的P -级数,所以原级数在(-∞,+∞)上一致收敛.10.若在区间Ⅰ上,对任何自然数n .都有|U n (x )|≤V n (x ),则当()1nn Vx ∞=∑在Ⅰ上一致收敛时,级数()1nn Ux ∞=∑在这区间Ⅰ上也一致收敛.证:由()1nn Vx ∞=∑在Ⅰ上一致收敛知, ∀ε>0,∃N (ε)>0,使得当n >N 时,∀x ∈Ⅰ有 |V n +1(x )+V n +2(x )+…+V n +p (x )|<ε,于是,∀ε>0,∃N (ε)>0,使得当n >N 时,∀x ∈Ⅰ有|U n +1(x )+U n +2(x )+…+U n +p (x )|≤V n +1(x )+V n +2(x )+…+V n +p (x ) ≤|V n +1(x )+V n +2(x )+…+V n +p (x )|<ε,因此,级数()1nn Ux ∞=∑在区间Ⅰ上处处收敛,由x 的任意性和与x 的无关性,可知()1nn Ux ∞=∑在Ⅰ上一致收敛.11.求下列幂级数的收敛半径及收敛域:(1)x +2x 2+3x 3+…+nx n+…;(2)1!nn x n n ∞=⎛⎫ ⎪⎝⎭∑;(3)21121n n x n -∞=-∑; (4)()2112n n x n n ∞=-⋅∑;解:(1)因为11limlim 1n n n n a n a n ρ+→∞→∞+===,所以收敛半径11R ρ==收敛区间为(-1,1),而当x =±1时,级数变为()11nn n∞=-∑,由lim(1)0nx nn →-≠知级数1(1)nn n∞=-∑发散,所以级数的收敛域为(-1,1).(2)因为()()1111!11lim lim lim lim e 1!11nn n n n n n n n na n n n a n n n n ρ-+-+→∞→∞→∞→∞⎡⎤+⎛⎫⎛⎫==⋅===+ ⎪⎢⎥ ⎪+⎝⎭+⎝⎭⎣⎦所以收敛半径1eR ρ==,收敛区间为(-e,e).当x =e 时,级数变为1e n nn n n ∞=∑;应用洛必达法则求得()10e e1lim 2x x x x →-+=-,故有111lim 12n n n a n a +→∞⎛⎫-=-<⎪⎝⎭由拉阿伯判别法知,级数发散;易知x =-e 时,级数也发散,故收敛域为(-e,e).(3)级数缺少偶次幂项.根据比值审敛法求收敛半径.211212221lim lim 2121lim 21n n n n n nn U x n U n x n x n x ++-→∞→∞→∞-=⋅+-=⋅+= 所以当x 2<1即|x |<1时,级数收敛,x 2>1即|x |>1时,级数发散,故收敛半径R =1.当x =1时,级数变为1121n n ∞=-∑,当x =-1时,级数变为1121n n ∞=--∑,由1121lim 012n n n →∞-=>知,1121n n ∞=-∑发散,从而1121n n ∞=--∑也发散,故原级数的收敛域为(-1,1).(4)令t =x -1,则级数变为212nn t n n ∞=⋅∑,因为()()2122lim lim 1211n n n n a n n a n n ρ+→∞→∞⋅===⋅++所以收敛半径为R =1.收敛区间为 -1<x -1<1 即0<x <2.当t =1时,级数3112n n ∞=∑收敛,当t =-1时,级数()31112nn n ∞=-⋅∑为交错级数,由莱布尼茨判别法知其收敛.所以,原级数收敛域为 0≤x ≤2,即[0,2]12.利用幂级数的性质,求下列级数的和函数:(1)21n n nx∞+=∑;(2) 22021n n x n +∞=+∑; 解:(1)由()321lim n n n x n x nx ++→∞+=知,当|x |=<1时,原级数收敛,而当|x |=1时,21n n nx∞+=∑的通项不趋于0,从而发散,故级数的收敛域为(-1,1).记()23111n n n n S nxxnxx ∞∞+-====∑∑易知11n n nx∞-=∑的收敛域为(-1,1),记()111n n S nx x ∞-==∑则()1011xn n x S x x x ∞===-∑⎰于是()()12111x S x x x '⎛⎫== ⎪-⎝⎭-,所以()()()3211x S x x x =<-(2)由2422221lim 23n n n x n x n x ++→∞+=⋅+知,原级数当|x |<1时收敛,而当|x |=1时,原级数发散,故原级数的收敛域为(-1,1),记()2221002121n n n n x x S x x n n ++∞∞====++∑∑,易知级数2121n n x n +∞=+∑收敛域为(-1,1),记()211021n n x S x n +∞==+∑,则()212011n n S x x x ∞='==-∑,故()1011d ln 21xx S x x x +'=-⎰即()()1111ln 021xS S x x +-=-,()100S =,所以()()()11ln 121x xS xS x x x x +==<-13.将下列函数展开成x 的幂级数,并求展开式成立的区间:(1)f (x )=ln(2+x ); (2)f (x )=cos 2x ;(3)f (x )=(1+x )ln(1+x );(4)()2f x =;(5)()23xf x x =+; (6)()()1e e 2x xf x -=-;(7)f (x )=e xcos x ;(8)()()212f x x =-.解:(1)()()ln ln 2ln 2ln 11222x x f x x ⎛⎫⎛⎫===++++ ⎪ ⎪⎝⎭⎝⎭由于()()0ln 111nnn x x n ∞==+-+∑,(-1<x ≤1) 故()()110ln 11221n nn n x x n +∞+=⎛⎫=+- ⎪⎝⎭+∑,(-2≤x ≤2) 因此()()()110ln ln 22121n nn n x x n +∞+==++-+∑,(-2≤x ≤2)(2)()21cos 2cos 2x f x x +==由()()20cos 1!2nnn x x n ∞==-∑,(-∞<x <+∞) 得()()()()()220042cos 211!!22n n n nn n n x x x n n ∞∞==⋅==--∑∑所以()()22011()cos cos 222114122!2n nn n f x x x x n ∞===+⋅=+-∑,(-∞<x <+∞)(3)f (x )=(1+x )ln(1+x )由()()()1ln 111n nn x x n +∞==+-+∑,(-1≤x ≤1)所以()()()()()()()()()()()()()11200111111111111111111111111111n nn n n nn n n n n nn n n n n n n n n n x f x x n x x n n x x x n n n n x xn n x xn n +∞=++∞∞==++∞∞+==+∞+=-∞+==+-+=+--++=++--+++--=+⋅+-=++∑∑∑∑∑∑∑ (-1≤x ≤1)(4)()22f x x ==()()()21!!2111!!2n nn n x n ∞=-=+-∑(-1≤x ≤1)故()()()()221!!2111!!2nn n n x f x x n ∞=⎛⎫-+=- ⎪⎝⎭∑()()()()2211!!211!!2n n n n x xn ∞+=-=+-∑ (-1≤x ≤1)(5)()()()(220211131313313nn n n nn n x f x x x x x x ∞=+∞+==⋅+⎛⎫=⋅- ⎪⎝⎭=-<∑∑(6)由0e !nxn x n ∞==∑,x ∈(-∞,+∞) 得()01e!n n xn x n ∞-=⋅-=∑,x ∈(-∞,+∞)所以()()()()()()0002101e e 2112!!1112!,!21x x n n n n n n n n n n f x x x n n x n x x n -∞∞==∞=+∞==-⎛⎫-=- ⎪⎝⎭=⋅⎡⎤--⎣⎦=∈-∞+∞+∑∑∑∑(7)因为e cos x x 为()()1e cos sin x x i e x i x +=+的实部,而()()[]()10002011!1!ππcos sin !44ππ2cos sin !44n xi n nn n nn n n n n ex i n x i n x i n x n n i n ∞+=∞=∞=∞==+=+⎤⎫=+⎪⎥⎭⎦⎛⎫=⋅+ ⎪⎝⎭∑∑∑∑取上式的实部.得20π2cos4cos !nx nn n e x x n ∞==⋅∑(-∞<x <+∞)(8)由于()1211n n nx x ∞-==-∑ |x |<1而()211412f x x =⋅⎛⎫- ⎪⎝⎭,所以()111001422n n n n n n x x f n x --∞∞+==⋅⎛⎫=⋅= ⎪⎝⎭∑∑(|x |<2)14.将()2132f x x x =++展开成(x +4)的幂级数. 解:21113212x x x x =-++++ 而()()()011113411431314413334713nn nn n x x x x x x x ∞=∞+==+-++=-⋅+-+⎛+⎫⎛⎫=-< ⎪⎪⎝⎭⎝⎭+=--<<∑∑又()()()0101122411421214412224622nn nn n x x x x x x x ∞=∞+==+-++=-+-+⎛+⎫⎛⎫=-< ⎪⎪⎝⎭⎝⎭+=--<<-∑∑ 所以()()()()()2110011013244321146223n nn n n n n n n n f x x x x x x x ∞∞++==∞++==++++=-+⎛⎫=-+-<<- ⎪⎝⎭∑∑∑15.将函数()f x =(x -1)的幂级数.解:因为()()()()()211111111!2!!m nm m m m m m n x x x x x n ---+=++++++-<<所以()()[]()()()3221133333331121222222211111!2!!nf x x n x x x n ==+-⎛⎫⎛⎫⎛⎫⎛⎫----+ ⎪ ⎪⎪ ⎪⎝⎭⎝⎭⎝⎭⎝⎭=+++++---(-1<x -1<1)即()()()()()()()()()()()()()2323133131313251111111222!23!2!3152111022!nnn nn n f x x x x x n n x x n ∞=⋅⋅⋅⋅⋅⋅--+--=+++++----⋅⋅⋅⋅⋅⋅--=+-<<⋅∑16.利用函数的幂级数展开式,求下列各数的近似值:(1)ln3(误差不超过0.0001); (2)cos20(误差不超过0.0001)解:(1)35211ln 213521n x x x x x xn -+⎛⎫=+++++ ⎪--⎝⎭,x ∈(-1,1) 令131x x +=-,可得()11,12x =∈-,故()35211111112ln3ln 212325222112n n -+⎡⎤+++++==⎢⎥⋅⋅⋅-⎣⎦-又()()()()()()()()()()2123212121232521242122112222123222212112222123252111222212112211413221n n n n n n n n n n n r n n n n n n n n n n +++++++++-⎡⎤++=⎢⎥⋅⋅++⎣⎦⎡⎤⋅⋅++=+++⎢⎥⋅⋅+++⎣⎦⎛⎫<+++ ⎪⎝⎭+=⋅+-=+故5810.000123112r <≈⨯⨯61010.000033132r <≈⨯⨯. 因而取n =6则35111111ln 32 1.098623252112⎛⎫=≈++++⎪⋅⋅⋅⎝⎭(2)()()2420ππππ909090cos 2cos 11902!4!!2nn n ⎛⎫⎛⎫⎛⎫⎪ ⎪ ⎪⎝⎭⎝⎭⎝⎭==-+-++-∵24π906102!-⎛⎫ ⎪⎝⎭≈⨯;48π90104!-⎛⎫⎪⎝⎭≈故2π90cos2110.00060.99942!⎛⎫⎪⎝⎭≈-≈-≈17.利用被积函数的幂级数展开式,求定积分0.5arctan d xx x ⎰(误差不超过0.001)的近似值.解:由于()3521arctan 13521n n x x x x x n +=-+-++-+,(-1≤x ≤1)故()2420.50.5000.5357357arctan d d 113521925491111111292252492nx x x x x xx n x x x x ⎡⎤=-+-++-⎢⎥+⎣⎦⎛⎫=-+-+ ⎪⎝⎭=-⋅+⋅-⋅+⎰⎰而3110.013992⋅≈,5110.0013252⋅≈,7110.0002492⋅≈.因此0.5350arctan 11111d 0.487292252x x x ≈-⋅+⋅≈⎰18.判别下列级数的敛散性:(1)111n nnn nn n +∞=⎛⎫+ ⎪⎝⎭∑; (2)21cos 32n n nx n ∞=⎛⎫ ⎪⎝⎭∑;(3)()1ln 213nn n n ∞=+⎛⎫+ ⎪⎝⎭∑.解:(1)∵122111n nnnn n nn n n n n n n +⎛⎫>= ⎪+⎝⎭⎛⎫⎛⎫++ ⎪ ⎪⎝⎭⎝⎭而()22211221lim lim 10111nnn n n n n n n --++→∞→∞⎡⎤⎛⎫-⎛⎫==≠+⎢⎥ ⎪ ⎪+⎝⎭+⎝⎭⎣⎦故级数2211nn nn∞=⎛⎫ ⎪+⎝⎭∑发散,由比较审敛法知原级数发散.(2)∵2cos 3022n nnx n n ⎛⎫ ⎪⎝⎭<≤由比值审敛法知级数12nn n ∞=∑收敛,由比较审敛法知,原级数21cos 32nn nx n ∞=⎛⎫ ⎪⎝⎭∑收敛.(3)∵()()ln ln 220313nn n n n ++<<⎛⎫+ ⎪⎝⎭由()()()()11ln 33lim lim 3ln 21ln 3lim3ln 2113nn n n n nn U n U n n n ++→∞→∞→∞+=⋅++=+=<知级数()1ln 23nn n ∞=+∑收敛,由比较审敛法知,原级数()1ln 213nn n n ∞=+⎛⎫+ ⎪⎝⎭∑收敛.19.若2lim n n n U →∞存在,证明:级数1nn U∞=∑收敛.证:∵2lim nn n U →∞存在,∴∃M >0,使|n 2U n |≤M ,即n 2|U n |≤M ,|U n |≤2M n而21n Mn ∞=∑收敛,故1n n U ∞=∑绝对收敛.20.证明,若21nn U ∞=∑收敛,则1nn U n∞=∑绝对收敛.证:∵222211111222n n n nU U n U U n n n+=⋅≤=+⋅而由21nn U ∞=∑收敛,211n n ∞=∑收敛,知22111122n n U n ∞=⎛⎫+⋅ ⎪⎝⎭∑收敛,故1n n U n ∞=∑收敛,因而1nn U n∞=∑绝对收敛.21.若级数1nn a∞=∑与1nn b∞=∑都绝对收敛,则函数项级数()1cos sin nn n anx b nx ∞=+∑在R 上一致收敛.证:U n (x )=a n cos nx +b n sin nx ,∀x ∈R 有()cos sin cos sin n n n n n n nU a nx b nx a nx b nx a b x =+≤+≤+由于1nn a∞=∑与1nn b∞=∑都绝对收敛,故级数()1nnn ab ∞=+∑收敛.由魏尔斯特拉斯判别法知,函数项级数()1cos sin nn n anx b nx ∞=+∑在R 上一致收敛.22.计算下列级数的收敛半径及收敛域:(1) 111nn n x n ∞=⎛⎫+ ⎪+⎝⎭∑;(2)()1πsin12n n n x ∞=+∑;(3) ()2112nn n x n ∞=-⋅∑解:(1)111lim1lim 211lim lim lim 22e e n n nn nn nnn n n a a n n n n ρ+→∞+→∞→∞→∞→∞-=⎛⎫+=⋅ ⎪+⎝⎭++⎛⎫=⋅⋅ ⎪++⎝⎭=⋅=∴13R ρ==,又当x =时,级数变为()111311333n nnn n n n n n ∞∞==⎛⎫⎛⎛++=±± ⎪ ++⎝⎭⎝⎭⎝⎭∑∑,因为3lim 033nn n n →∞⎛⎫+=≠ ⎪+⎝⎭所以当3x =±,级数发散,故原级数的收敛半径3R =,收敛域(-3,3).(2)111ππsin122limlim lim ππ2sin 22n n n n n n nnn a a ρ+++→∞→∞→∞====故12R ρ==,又∵πsinπ2limsin 2lim ππ0π22n n n n n n →∞→∞⋅==≠. 所以当(x +1)=±2时,级数()1πsin 12n n n x ∞=+∑发散,从而原级数的收敛域为-2<x +1<2,即-3<x <1,即(-3,1)(3)()212121lim lim 221n n n n n n a n a n ρ++→∞→∞⋅===⋅+ ∴2R =,收敛区间-2<x -1<2,即-1<x <3.当x =-1时,级数变为()2111nn n ∞=-∑,其绝对收敛,当x =3时,级数变为211n n ∞=∑,收敛.因此原级数的收敛域为[-1,3].23.将函数()0arctan d xtF t x t =⎰展开成x 的幂级数.解:由于()210arctan 121n nn t t n +∞==-+∑ 所以()()()()()20002212000arctan d d 121d 112121n xx n n n n xnnn n t t F t tx t n t x t n n ∞=+∞∞====-+==--++∑⎰⎰∑∑⎰(|x |≤1)24.判别下列级数在指定区间上的一致收敛性:(1)()113n nn x ∞=-+∑,x ∈[-3,+∞);(2)1nn nx ∞=∑,x ∈(2,+∞);(3)()()222211n nx x n n ∞=⎡⎤+++⎣⎦∑,x ∈(-∞,+∞);解:(1)考虑n ≥2时,当x ≥-3时,有()1111133333nn n n nx x --=<<+-+ 而1113n n ∞-=∑收敛,由魏尔斯特拉斯判别法知,级数()113n n n x ∞=-+∑在[-3,+∞)上一致收敛.(2)当x >2时,有2n nn nx =<由1112lim 122n n n n n +→∞+=<知级数12n n n ∞=∑收敛,由魏尔斯特拉斯判别法知,级数1n n n x ∞=∑在(2,+∞)上一致收敛.(3)∀x ∈R 有()()()22224322111n n n x n n n x n n n ≤<=⎡⎤+⋅+++⎣⎦而311n n ∞=∑收敛,由魏尔斯特拉斯判别法知,级数()()222211n n x x n n ∞=⎡⎤+++⎣⎦∑在(-∞,+∞)上一致收敛.25.求下列级数的和函数:(1)()211121n n n x n ∞-=--∑; (2)21021n n x n +∞=+∑; (3)()11!1n n nxn ∞-=-∑; (4)()11nn x n n ∞=+∑.解:(1)可求得原级数的收敛半径R =1,且当|x |=1时,级数()111121n n n ∞-=--∑是收敛的交错级数,故收敛域为[-1,1]记()()()()22111111112121n n n n n n x x S x xS x x n n -∞∞--=====----∑∑则S 1(0)=0,()()122121111n n n S x x x ∞--='==-+∑所以()()11201d arctan 01xS S x xx x -==+⎰即S 1(x )=arctan x ,所以S (x )=x arctan x ,x ∈[-1,1].(2)可求得原级数的收敛半径R =1,且当|x |=1时,原级数发散.记()21021n n x S x n +∞==+∑则()22011n n S x x x ∞='==-∑ ()200111d d ln 121x x x S x x x x x +'==--⎰⎰,即()()11ln 021x S S x x +-=-,S (0)=0所以()11ln21xS x x +=-,(|x |<1)(3)由()11!lim lim 0!1n n n n n a n nan +→∞→∞+==-知收敛域为(-∞,+∞).记()()11!1n n n S x x n ∞-==-∑则()()()111d e !!11nn xxn n x x S x x x x n n -∞∞=====--∑∑⎰,所以()()()e 1e x x S x x x '==+,(-∞<x <+∞)(4)由()()()112lim 111n n n n n →∞++=+知收敛半径R =1,当x =1时,级数变为()111n n n ∞=+∑,由()2111n n n <+知级数收敛,当x =-1时,级数变为()()111n n n n ∞=-+∑是收敛的交错级数,故收敛域为[-1,1].记()()11nn x S x n n ∞==+∑则S (0)=0,()()111n n x xS x n n +∞==+∑, ()[]1111n n x xS x x ∞-=''==-∑ (x ≠1) 所以()[]()0d ln 1xxS x x x ''=--⎰即()[]()ln 1xS x x '=--()[]()()()00d ln 1d 1ln 1xxxS x x x x x x x '=--=--+⎰⎰即()()()1ln 1xSx x x x =--+当x ≠0时,()()111ln 1S x x x ⎛⎫=+-- ⎪⎝⎭,又当x =1时,可求得S (1)=1 (∵()1lim lim 111n n S x n →∞→∞⎛⎫=-= ⎪+⎝⎭)综上所述()()[)()0,01,1111ln 1,1,00,1x S x x x x x =⎧⎪==⎪⎨⎛⎫⎪+--∈- ⎪⎪⎝⎭⎩26.设f (x )是周期为2π的周期函数,它在(-π,π]上的表达式为()32π0,0π.x f x x x -<≤⎧=⎨<≤⎩试问f (x )的傅里叶级数在x =-π处收敛于何值?解:所给函数满足狄利克雷定理的条件,x =-π是它的间断点,在x =-π处,f (x )的傅里叶级数收敛于()()[]()33ππ11π22π222f f -+-+-=+=+27.写出函数()21π00πx f x x x --≤≤⎧=⎨<≤⎩的傅里叶级数的和函数.解:f (x )满足狄利克雷定理的条件,根据狄利克雷定理,在连续点处级数收敛于f (x ),在间断点x =0,x =±π处,分别收敛于()()00122f f -++=-,()()2πππ122f f -++-=,()()2πππ122f f -+-+--=,综上所述和函数.()221π00π102π1π2x x x S x x x --<<⎧⎪<<⎪⎪=-=⎨⎪⎪-=±⎪⎩28.写出下列以2π为周期的周期函数的傅里叶级数,其中f (x )在[-π,π)上的表达式为:(1)()π0π,4ππ0;4x f x x ⎧≤<⎪⎪=⎨⎪--≤<⎪⎩(2)()()2πx π=-≤≤f x x ;(3)()ππ,π,22ππ,,22ππ,π;22⎧--≤<-⎪⎪⎪=-≤<⎨⎪⎪≤<⎪⎩x f x x x x (4)()()cosππ2=-≤≤x f x x .解:(1)函数f (x )满足狄利克雷定理的条件,x =n π,n ∈z 是其间断点,在间断占处f (x )的傅里叶级数收敛于()()ππ0044022f f +-⎛⎫+- ⎪+⎝⎭==,在x ≠n π,有 ()π0π-ππ011π1πcos d cos d cos d 0ππ4π4n a f x nx x nx x nx x -⎛⎫==-+= ⎪⎝⎭⎰⎰⎰ ()π0π-ππ011π1πsin d sin d sin d ππ4π40,2,4,6,,1,1,3,5,.n b f x nx x nx x nx xn n n-⎛⎫==-+ ⎪⎝⎭=⎧⎪=⎨=⎪⎩⎰⎰⎰于是f (x )的傅里叶级数展开式为()()11sin 2121n f x n x n ∞==--∑(x ≠n π)(2)函数f (x )在(-∞,+∞)上连续,故其傅里叶级数在(-∞,+∞)上收敛于f (x ),注意到f (x )为偶函数,从而f (x )cos nx 为偶函数,f (x )sin nx 为奇函数,于是()π-π1sin d 0πn b f x nx x ==⎰,2π20-π12πd π3a x x ==⎰, ()()ππ22-π0124cos d cos d 1ππnn a f x nx x x nx x n===-⋅⎰⎰ (n =1,2,…)所以,f (x )的傅里叶级数展开式为:()()221π41cos 3nn f x nxn ∞==+-⋅∑ (-∞<x <∞)(3)函数在x =(2n +1)π (n ∈z )处间断,在间断点处,级数收敛于0,当x ≠(2n +1)π时,由f (x )为奇函数,有a n =0,(n =0,1,2,…)()()()πππ2π002222πsin d sin d sin d ππ212π1sin 1,2,π2n nb f x nx x x nx x nx x n n n n ⎡⎤==+⎢⎥⎣⎦=--+=⎰⎰⎰所以()()12112π1sin sin π2n n n f x nxn n ∞+=⎡⎤=-⋅+⎢⎥⎣⎦∑ (x ≠(2n +1)π,n ∈z ) (4)因为()cos2xf x =作为以2π为周期的函数时,处处连续,故其傅里叶级数收敛于f (x ),注意到f (x )为偶函数,有b n =0(n =1,2,…),()()π0π12π2π2111cos cos d π2211sin sin 12211π224110,1,2,π41n n x n x x n x n x n n n n +⎡⎤⎛⎫⎛⎫=++- ⎪ ⎪⎢⎥⎝⎭⎝⎭⎣⎦⎡⎤⎛⎫⎛⎫+- ⎪ ⎪⎢⎥⎝⎭⎝⎭⎢⎥=+⎢⎥+-⎢⎥⎣⎦⎛⎫=-= ⎪-⎝⎭⎰所以f (x )的傅里叶级数展开式为:()()12124cos 1ππ41n n nxf x n ∞+==+--∑ x ∈[-π,π]29.将下列函数f (x )展开为傅里叶级数:(1)()()πππ42xf x x =--<<(2)()()sin 02πf x xx =≤≤解:(1)()ππ0-ππ11ππcos d d ππ422x a f x nx x x -⎛⎫==-=⎪⎝⎭⎰⎰ []()ππππ-π-πππ1π11cos d cos d x cos d π4242π1sin 001,2,4n x a nx x nx x nx x nx n n --⎛⎫=-=- ⎪⎝⎭=-==⎰⎰⎰ ()ππππ-π-π1π11sin d sin d xsin d π4242π11n n x b nx x nx x nx x n -⎛⎫=-=- ⎪⎝⎭=-⋅⎰⎰⎰故()()1πsin 14n n nxf x n ∞==+-∑ (-π<x <π) (2)所给函数拓广为周期函数时处处连续, 因此其傅里叶级数在[0,2π]上收敛于f (x ),注意到f (x )为偶函数,有b n =0,()ππ0πππ011cos0d sin d ππ24sin d ππa f x x x x x x x --====⎰⎰⎰()()()()()π022ππ1sin 1sin 1d π211π10,1,3,5,4,2,4,6,π1nn x n x x n n n n =+--⎡⎤⎣⎦-⎡⎤=+-⎣⎦-=⎧⎪-=⎨=⎪-⎩⎰所以()()2124cos2ππ41n nx f x n ∞=-=+-∑(0≤x ≤2π)30.设f (x )=x +1(0≤x ≤π),试分别将f (x )展开为正弦级数和余弦级数. 解:将f (x )作奇延拓,则有a n =0 (n =0,1,2,…)()()()()ππ0022sin d 1sin d ππ111π2πn nb f x nx x x nx x n ==+--+=⋅⎰⎰从而()()()1111π2sin πnn f x nx n ∞=--+=∑(0<x <π)若将f (x )作偶延拓,则有b n =0 (n =1,2,…)()()ππ00222cos d 1cos d ππ0,2,4,64,1,3,5,πn a f x nx x x nx x n n n ==+=⎧⎪=-⎨=⎪⎩⎰⎰ ()()ππ0π012d 1d π2ππa f x x x x -==+=+⎰⎰从而()()()21cos 21π242π21n n xf x n ∞=-+=--∑(0≤x ≤π)31.将f (x )=2+|x | (-1≤x ≤1)展开成以2为周期的傅里叶级数,并由此求级数211n n∞=∑的和.解:f (x )在(-∞,+∞)内连续,其傅里叶级数处处收敛,由f (x )是偶函数,故b n =0,(n =1,2,…)()()1101d 22d 5a f x x x x -==+=⎰⎰()()()1112cos d 22cos d 0,2,4,64,1,3,5,πn a f x nx x x nx xn n n -==+=⎧⎪-=⎨=⎪⎩⎰⎰所以()()()221cos 21π542π21n n xf x n ∞=-=--∑,x ∈[-1,1]取x =0得,()2211π821n n ∞==-∑,故()()22222111111111π48212n n n n n n n n ∞∞∞∞=====+=+-∑∑∑∑所以211π6n n ∞==∑ 32.将函数f (x )=x -1(0≤x ≤2)展开成周期为4的余弦级数.解:将f (x )作偶延拓,作周期延拓后函数在(-∞,+∞)上连续,则有b n =0 (n =1,2,3,…)()()220201d 1d 02a f x x x x -==-=⎰⎰ ()()()222022221ππcos d 1cos d 2224[11]π0,2,4,6,8,1,3,5,πn nn x n xa f x x x xn n n n -==-=--=⎧⎪=⎨-=⎪⎩⎰⎰故()()()22121π81cosπ221n n x f x n ∞=-=-⋅-∑(0≤x ≤2)33.设()()011,0,2cos π1222,1,2n n x x a f x s x a n xx x ∞=⎧≤≤⎪⎪==+⎨⎪-<<⎪⎩∑,-∞<x <+∞,其中()102cos πd n a f x n x x=⎰,求52s ⎛⎫- ⎪⎝⎭.解:先对f (x )作偶延拓到[-1,1],再以2为周期延拓到(-∞,+∞)将f (x )展开成余弦级数而得到 s (x ),延拓后f (x )在52x =-处间断,所以515511122222221131224s f f ff +-+-⎡⎤⎡⎤⎛⎫⎛⎫⎛⎫⎛⎫⎛⎫-=-+-=-+-⎢⎥⎢⎥⎪ ⎪ ⎪ ⎪ ⎪⎝⎭⎢⎥⎢⎥⎝⎭⎝⎭⎝⎭⎝⎭⎣⎦⎣⎦⎛⎫=+= ⎪⎝⎭34.设函数f (x )=x 2(0≤x <1),而()1sin πn n s x b n x∞==∑,-∞<x <+∞,其中()12sin πd n b f x n x x=⎰(n =1,2,3,…),求12s ⎛⎫- ⎪⎝⎭.解:先对f (x )作奇延拓到,[-1,1],再以2为周期延拓到(-∞,+∞),并将f (x )展开成正弦级数得到s (x ),延拓后f (x )在12x =-处连续,故.211112224s f ⎛⎫⎛⎫⎛⎫-=--=--=- ⎪ ⎪ ⎪⎝⎭⎝⎭⎝⎭. 35.将下列各周期函数展开成为傅里叶级数,它们在一个周期内的表达式分别为:(1)f (x )=1-x 21122x ⎛⎫-≤< ⎪⎝⎭; (2)()21,30,1,0 3.x x f x x +-≤<⎧=⎨≤<⎩ 解:(1) f (x )在(-∞,+∞)上连续,故其傅里叶级数在每一点都收敛于f (x ),由于f (x )为偶函数,有b n =0 (n =1,2,3,…)()()112221002112d 41d 6a f x x x x -==-=⎰⎰,()()()()112221021222cos2n πd 41cos2n πd 11,2,πn n a f x x x x x xn n -+==--==⎰⎰所以()()12211111cos 2π12πn n f x n xn +∞=-=+∑ (-∞<x <+∞)(2) ()()303033011d 21d d 133a f x x x x x --⎡⎤==++=-⎢⎥⎣⎦⎰⎰⎰,()()()()330330221πcos d 331π1π21cos d cos d 3333611,1,2,3,πn nn x a f x xn x n x x x xn n --==++⎡⎤=--=⎣⎦⎰⎰⎰ ()()()()33033011πsin d 331π1π21sin d sin d 333361,1,2,πn n n x b f x xn x n x x x xn n --+==++=-=⎰⎰⎰而函数f (x )在x =3(2k +1),k =0,±1,±2,…处间断,故()()()122116π6π11cos 1sin 2π3π3n n n n x n x f x n n ∞+=⎧⎫⎡⎤=-+--+-⎨⎬⎣⎦⎩⎭∑(x ≠3(2k +1),k =0,±1,±2,…)36.把宽为τ,高为h ,周期为T 的矩形波(如图所示)展开成傅里叶级数的复数形式.解:根据图形写出函数关系式()0,22,220,22T t u t h t T t ττττ⎧-≤<-⎪⎪⎪=-≤<⎨⎪⎪≤≤⎪⎩()()22022111d d d 2Tl T l h c u t t u t t h t l T T Tτττ---====⎰⎰⎰()()π2π222π2π22222π2211e d ed 212πe d e d 2ππsin e 2ππn T n i t li t lTT n l n n i t i t T T n i t T c u t t u t tlTh T n h t i t T T n i T h h n n i n T τττττττ----------==-⎛⎫⎛⎫==⋅- ⎪ ⎪⎝⎭⎝⎭⎛⎫⎡⎤=-= ⎪⎣⎦⎝⎭⎰⎰⎰⎰故该矩形波的傅里叶级数的复数形式为()2π1πsin eπn i t Tn n h h n u t T n Tττ∞-=-∞≠=+∑(-∞<t <+∞,且3,22t ττ≠±±,…)37.设f (x )是周期为2的周期函数,它在[-1,1]上的表达式为f (x )=e -x,试将f (x )展成傅里叶级数的复数形式.解:函数f (x )在x ≠2k +1,k =0,±1,±2处连续.()()()[]()()()π1π111π11211e d e e d 221e 21πe e 1121π1πsinh111πn i x l x in x ln l x n i n n c f x x xl n i n in in ------+--===-+-=⋅⋅-+-=⋅⋅-+⎰⎰故f (x )的傅里叶级数的复数形式为()()()()π21π1sinh1e 1πn in xn in f x n ∞=-∞⋅--=+∑ (x ≠2k +1,k =0,±1,±2,…)38.求矩形脉冲函数(),00,A t T f t ≤≤⎧=⎨⎩其他的傅氏变换。
《高等数学》习题参考资料第一篇 一元函数微积分第一章 极限与连续§1 函 数习 题1.确定下列初等函数的定义域:(1) 21)(2−−+=x x x x f ;(2)4)(2−=x x f ;(3) 21arcsin )(−=x x f ;(4)2)5lg()(x x x f −=;(5) 4lg )5lg()(2−−=x x x f ;(6)x x x f cos sin )(−=。
1. 【答案】(1) )},2()2,1()1,(|{:+∞∪−∪−−∞∈=x x D (2) )},2[]2,(|{:+∞∪−−∞∈=x x D (3) ]}3,1[|{:;−∈=x x D (4) )}5,0()0,(|{:∪−∞∈=x x D (5) ]}4,1[|{:∈=x x D (6)+ +∈=+∞−∞=U k k k x x D ππ452,412|:.2. 作出下列函数的图象:(1)|sin |sin )(x x x f −=;(2)|1|2)(−−=x x f ;(3)+−−=,1,1,21)(x x x x f .12,21,1||−<<−<<≤x x x 2 【答案】 (1)2(2)2 (3)3.判断下列函数的奇偶性:(1)x x x f ++−=11)(;(2)xxx f x x +−+−=11lg110110)(;(3)x x a a x f x x sin )(++=−;(4))1lg()(2x x x f ++=。
3. 【答案】 (1) 偶函数; (2) 偶函数; (3) 偶函数; (4) 奇函数 .4.证明:两个奇函数的乘积是偶函数;一个奇函数与一个偶函数的乘积是奇函数。
4. 【答案】 设)(x f ,)(x h 是奇函数, )(x g 是偶函数,)()()(x h x f x f =,)()()(x g x f x G =, 于是)()()(x h x f x F −−=−))())(((x h x f −−=)()()(x F x h x f ==, 因此)(x F 是偶函数.)()()(x g x f x G −−=−)()(x g x f −=)(x G −=, 因此)(x G 是奇函数.5.设函数f 满足:D (f )关于原点对称,且()xc x bf x af =+1)(,其中a ,b ,c 都是常数,||||b a ≠,试证明f 是奇函数。
高等数学课后习题及参考答案(第四章)习题4-11. 求下列不定积分:(1)⎰dx x 21;解 C x C x dx x dx x +-=++-==+--⎰⎰112111222.(2)⎰dx x x ; 解 C x x C x dx x dx x x +=++==+⎰⎰212323521231. (3)⎰dx x1;解C x C x dx xdx x+=++-==+--⎰⎰21211112121. (4)⎰dx x x 32; 解 C x x C x dx x dx x x+=++==+⎰⎰3313737321031371. (5)⎰dx xx 21;解C x x C x dx xdx xx +⋅-=++-==+--⎰⎰12312511125252. (6)dx x m n ⎰; 解C x m n m C x mn dx x dx x mn m m nm nmn++=++==++⎰⎰111.(7)⎰dx x 35;解 C x dx x dx x +==⎰⎰4334555.(8)⎰+-dx x x )23(2;解 C x x x dx dx x dx x dx x x ++-=+-=+-⎰⎰⎰⎰2233123)23(2322.(9)⎰ghdh 2(g 是常数);解C ghC h gdh hgghdh +=+⋅==⎰⎰-22212122121. (10)⎰-dx x 2)2(;解 C x x x dx dx x dx x dx x x dx x ++-=+-=+-=-⎰⎰⎰⎰⎰423144)44()2(23222.(11)⎰+dx x 22)1(;解 C x x x dx dx x dx x dx x x dx x +++=++=++=+⎰⎰⎰⎰⎰3524242232512)12()1(.(12)dx x x ⎰-+)1)(1(3;解 ⎰⎰⎰⎰⎰⎰-+-=-+-=-+dx dx x dx x dx x dx x x x dx x x 23212323)1()1)(1(C x x x x +-+-=25233523231.(13)⎰-dx xx 2)1(;解C x x x dx x x xdx xx x dx xx ++-=+-=+-=-⎰⎰⎰-2523212321212252342)2(21)1(. (14)⎰+++dx x x x 1133224; 解C x x dx x x dx x x x ++=++=+++⎰⎰arctan )113(1133322224.(15)⎰+dx x x 221;解⎰⎰⎰+-=+-=+-+=+C x x dx xdx xx dx x x arctan )111(111122222.(16)⎰+dx xe x )32(;解 C x e dx xdx e dx x e x x x ++=+=+⎰⎰⎰||ln 32132)32(.(17)⎰--+dx xx )1213(22;解 ⎰⎰⎰+-=--+=--+C x x dx xdx x dx xx arcsin 2arctan 3112113)1213(2222.(18)dx xe e x x⎰--)1(;解 C x edx xe dx xe e xxx x+-=-=-⎰⎰--21212)()1(.(19)⎰dx e x x 3;解 C e C e e dx e dx e xx x xxx++=+==⎰⎰13ln 3)3ln()3()3(3.(20)⎰⋅-⋅dx xxx 32532; 解 C x C x dx dx x xx xxx+--=+-=-=⋅-⋅⎰⎰)32(3ln 2ln 5232ln )32(52])32(52[32532. (21)⎰-dx x x x )tan (sec sec ;解 ⎰⎰+-=-=-C x x dx x x x dx x x x sec tan )tan sec (sec )tan (sec sec 2.(22)⎰dx x2cos 2;解 C x x dx x dx x dx x ++=+=+=⎰⎰⎰)sin (21)cos 1(212cos 12cos 2.(23)⎰+dx x 2cos 11;解 ⎰⎰+==+C x dx xdx x tan 21cos 212cos 112.(24)⎰-dx xx xsin cos 2cos ;解 ⎰⎰⎰+-=+=--=-C x x dx x x dx xx xx dx x x x cos sin )sin (cos sin cos sin cos sin cos 2cos 22.(25)⎰dx x x x22sin cos 2cos ;解 ⎰⎰⎰+--=-=-=C x x dx xx dx x x x x dx x x x tan cot )cos 1sin 1(sin cos sin cos sin cos 2cos 22222222.(26)⎰-dx x x x)11(2;解 ⎰⎪⎭⎫ ⎝⎛-dx x x x 211⎰++=-=--C x x dx x x 41474543474)(.2. 一曲线通过点(e 2, 3), 且在任一点处的切线的斜率等于该点横坐标的倒数, 求该曲线的方程.解 设该曲线的方程为y =f (x ), 则由题意得xx f y 1)(='=',所以 C x dx xy +==⎰||ln 1.又因为曲线通过点(e 2, 3), 所以有=3-2=1 3=f (e 2)=ln|e 2|C =2C ,C =3-2=1. 于是所求曲线的方程为 y =ln|x | 1.3. 一物体由静止开始运动, 经t 秒后的速度是3t 2(m/s ), 问 (1)在3秒后物体离开出发点的距离是多少? (2)物体走完360m 需要多少时间?解 设位移函数为s =s (t ), 则s '=v =3 t 2, C t dt t s +==⎰323. 因为当t =0时, s =0, 所以C =0. 因此位移函数为s =t 3. (1)在3秒后物体离开出发点的距离是s =s (3)=33=27.(2)由t 3=360, 得物体走完360m 所需的时间11.73603≈=t s. 4. 证明函数x e 221, e x sh x 和e x ch x 都是x x e xsh ch -的原函数.证明 x x xx x x x x x e ee e e e e e x x e 222sh ch ==--+=----. 因为x x e e 22)21(=', 所以x e 221是x x e xsh ch -的原函数.因为(e x sh x )'=e x sh x e x ch x =e x (sh x ch x )x xx x x x e e e e e e 2)22(=++-=--, 所以e x sh x 是xx e xsh ch -的原函数.因为(e x ch x )'=e x ch x e x sh x =e x (ch x sh x )x xx x x x e e e e e e 2)22(=-++=--, 所以e xch x 是xx e x sh ch -的原函数.习题4-21. 在下列各式等号右端的空白处填入适当的系数, 使等式成立(例如: )74(41+=x d dx :(1) dx = d (ax );解dx = a 1d (ax ).(2) dx = d (7x -3);解dx = 71d (7x -3).(3) xdx = d (x 2); 解xdx = 21 d (x 2).(4) x d x = d (5x 2);解x d x = 101d (5x 2).(5))1( 2x d xdx -=;解 )1( 212x d xdx --=.(6)x 3dx = d (3x 4-2);解x 3dx = 121d (3x 4-2).(7)e 2x dx = d (e 2x ); 解e 2x dx = 21 d (e 2x ).(8))1( 22x x ed dxe --+=;解 )1( 2 22x xe d dx e --+-=.(9))23(cos 23sin x d xdx =;解 )23(cos 32 23sin x d xdx -=.(10)|)|ln 5( x d xdx=; 解 |)|ln 5( 51x d x dx =. (11)|)|ln 53( x d xdx-=; 解|)|ln 53( 51x d x dx --=. (12))3(arctan 912x d x dx=+; 解 )3(arctan 31912x d x dx =+. (13))arctan 1( 12x d xdx -=-;解)arctan 1( )1( 12x d xdx --=-.(14))1( 122x d x xdx -=-.解)1( )1( 122x d x xdx --=-.2. 求下列不定积分(其中a , b , ω, ϕ均为常数): (1)⎰dt e t 5; 解 C e x d e dt e xx t +==⎰⎰55551551. (2)⎰-dx x 3)23(; 解 C x x d x dx x +--=---=-⎰⎰433)23(81)23()23(21)23(. (3)⎰-dx x 211; 解C x x d x dx x +--=---=-⎰⎰|21|ln 21)21(21121211.(4)⎰-332xdx ;解C x C x x d x xdx+--=+-⋅-=---=-⎰⎰-3232313)32(21)32(2331)32()32(3132. (5)⎰-dx e ax bx)(sin ;解C be ax ab x d e b ax d ax a dx e ax b xb xbx+--=-=-⎰⎰⎰cos 1)()(sin 1)(sin .(6)⎰dt tt sin ;解⎰⎰+-==C t t d t dt tt cos 2sin 2sin .(7)⎰⋅xdx x 210sec tan ;解 ⎰⋅xdx x 210sec tan C x x xd +==⎰1110tan 111tan tan . (8)⎰xx x dxln ln ln ;解C x x d x x d x x x x x dx +===⎰⎰⎰|ln ln |ln ln ln ln ln 1ln ln ln ln 1ln ln ln .(9)⎰+⋅+dx xx x 2211tan ;解 ⎰+⋅+dx x x x 2211tan 2222211cos 1sin 11tan x d x x x d x +++=++=⎰⎰C x x d x ++-=++-=⎰|1cos |ln 1cos 1cos 1222.(10)⎰xx dxcos sin ;解 C x x d xdx x x x x dx +===⎰⎰⎰|tan |ln tan tan 1tan sec cos sin 2. (11)⎰-+dx e e xx 1;解 ⎰-+dx e e xx 1C e de edx e e x x xx x +=+=+=⎰⎰arctan 11122.(12)⎰-dx xe x 2; 解 .21)(212222C e x d e dx xe x x x +-=--=---⎰⎰ (13)⎰⋅dx x x )cos(2;解 C x x d x dx x x +==⋅⎰⎰)sin(21)()cos(21)cos(2222. (14)⎰-dx xx 232;解C x C x x d x dx x x+--=+--=---=-⎰⎰-2212221223231)32(31)32()32(6132.(15)⎰-dx xx 4313; 解⎰⎰+--=---=-C x x d x dx x x |1|ln 43)1(11431344443.(16)⎰++dt t t ))sin((cos 2ϕωϕω; 解 C t t d t dt t t ++-=++-=++⎰⎰)(cos 31)cos()(cos 1)sin()(cos 322ϕωωϕωϕωωϕωϕω. (17)⎰dx x x3cos sin ; 解 C x C x x xd dx xx +=+=-=--⎰⎰2233sec 21cos 21cos cos cos sin . (18)⎰-+dx x x xx 3cos sin cos sin ; 解 )sin cos (cos sin 1cos sin cos sin 33x x d x x dx x x x x +--=-+⎰⎰ C x x x x d x x +-=--=⎰-3231)cos (sin 23)cos (sin )cos (sin .(19)⎰--dx xx 2491;解dx xx dx xdx xx ⎰⎰⎰---=--22249491491)49(49181)32()32(1121222x d x x d x --+-=⎰⎰C x x +-+=2494132arcsin 21.(20)⎰+dx xx 239; 解 C x x x d xx d x x dx x x ++-=+-=+=+⎰⎰⎰)]9ln(9[21)()991(21)(9219222222223. (21)⎰-dx x 1212;解⎰⎰⎰+--=+-=-dx x x dx x x dx x )121121(21)12)(12(11212 ⎰⎰++---=)12(121221)12(121221x d x x d x C x x C x x ++-=++--=|1212|ln 221|12|ln 221|12|ln 221.(22)⎰-+dx x x )2)(1(1;解C x x C x x dx x x dx x x ++-=++--=+--=-+⎰⎰|12|ln 31|1|ln |2|(ln 31)1121(31)2)(1(1.(23)⎰xdx 3cos ;解 C x x x d x x d x xdx +-=-==⎰⎰⎰3223sin 31sin sin )sin 1(sin cos cos .(24)⎰+dt t )(cos 2ϕω; 解 C t t dt t dt t +++=++=+⎰⎰)(2sin 4121)](2cos 1[21)(cos 2ϕωωϕωϕω. (25)⎰xdx x 3cos 2sin ; 解 ⎰xdx x 3cos 2sin C x x dx x x ++-=-=⎰cos 215cos 101)sin 5(sin 21. (26)⎰dx xx 2cos cos ;解 C x x dx x x dx x x ++=+=⎰⎰21sin 23sin 31)21cos 23(cos 212cos cos .(27)⎰xdx x 7sin 5sin ; 解 C x x dx x x xdx x ++-=--=⎰⎰2sin 4112sin 241)2cos 12(cos 217sin 5sin . (28)⎰xdx x sec tan 3;解 x d x xdx x x xdx x sec tan tan sec tan sec tan 223⎰⎰⎰=⋅=C x x x d x +-=-=⎰sec sec 31sec )1(sec 32.(29)⎰-dx xx2arccos 2110;解C x d x d dx xx xxx+-=-=-=-⎰⎰⎰10ln 210)arccos 2(1021arccos 10110arccos 2arccos 2arccos 22arccos 2.(30)⎰+dx x x x )1(arctan ;解C x x d x x d x xdx x x x +==+=+⎰⎰⎰2)(arctan arctan arctan 2)1(arctan 2)1(arctan .(31)⎰-221)(arcsin xx dx;解C xx d x x x dx+-==-⎰⎰arcsin 1arcsin )(arcsin 11)(arcsin 222.(32)⎰+dx x x x 2)ln (ln 1; 解C xx x x d x x dx x x x+-==+⎰⎰ln 1)ln ()ln (1)ln (ln 122. (33)⎰dx xx xsin cos tan ln ;解⎰⎰⎰=⋅=x d x x xdx x x dx x x x tan tan tan ln sec tan tan ln sin cos tan ln 2C x x d x +==⎰2)tan (ln 21tan ln tan ln .(34)⎰-dx x a x 222(a >0);解⎰⎰⎰⎰-===-dt t a dt t a tdt a t a t a t a x dx xa x 22cos 1sin cos cos sin sin 22222222令, C x a xa x a C t a t a +--=+-=222222arcsin 22sin 421. (35)⎰-12x x dx ;解C x C t dt tdt t t t tx x x dx +=+==⋅⋅=-⎰⎰⎰1arccos tan sec tan sec 1sec 12令.或C x x d x dx xx x x dx +=--=-=-⎰⎰⎰1arccos 111111112222.(36)⎰+32)1(x dx ;解C t tdt t d t tx x dx +==+=+⎰⎰⎰sin cos tan )1(tan 1tan )1(3232令C x x ++=12.(37)⎰-dx xx 92; 解⎰⎰⎰=-=-tdt t d tt t x dx x x 222tan 3)sec 3(sec 39sec 9sec 39令 C x x C t t dt t+--=+-=-=⎰3arccos 393tan 3)1cos 1(322.(38)⎰+xdx 21;解C x x C t t dt t tdt t t x xdx ++-=++-=+-=+=+⎰⎰⎰)21ln(2)1ln()111(11221令.(39)⎰-+211x dx ;解⎰⎰⎰⎰-=+-=+=-+dt tdt t tdt t tx x dx)2sec211()cos 111(cos cos 11sin 1122令 C xxx C t t t C t t +-+-=++-=+-=211arcsin cos 1sin 2tan . (40)⎰-+21x x dx .解⎰⎰⎰+-++=⋅+=-+dt tt tt t t tdt t t tx x x dx cos sin sin cos sin cos 21cos cos sin 1sin 12令C t t t t t d t t dt +++=+++=⎰⎰|cos sin |ln 2121)cos (sin cos sin 12121 C x x x ++-+=|1|ln 21arcsin 212.习题4-3求下列不定积分: 1. ⎰xdx x sin ; 解C x x x xdx x x x xd xdx x ++-=+-=-=⎰⎰⎰sin cos cos cos cos sin .2. ⎰xdx ln ;解 C x x x dx x x x xd x x xdx +-=-=-=⎰⎰⎰ln ln ln ln ln . 3. ⎰xdx arcsin ;解 ⎰⎰-=x xd x x xdx arcsin arcsin arcsin ⎰--=dx xx x x 21arcsinC x x x +-+=21arcsin . 4. ⎰-dx xe x ;解 ⎰⎰⎰----+-=-=dx e xe xde dx xe x x x x C x e C e xe x x x ++-=+--=---)1(. 5. ⎰xdx x ln 2; 解 ⎰⎰⎰-==x d x x x xdx xdx x ln 31ln 31ln 31ln 3332 C x x x dx x x x +-=-=⎰332391ln 3131ln 31.6. ⎰-xdx e x cos ; 解 因为⎰⎰⎰⎰------+=-==xdx e x e xde x e x d e xdx e x x x x x x sin sin sin sin sin cos ⎰⎰-----+-=-=x x x x x xde x e x e x d e x e cos cos sin cos sin⎰-----=xdx e x e x e x x x cos cos sin ,所以 C x x e C x e x e xdx e x x x x +-=+-=----⎰)cos (sin 21)cos sin (21cos .7. ⎰-dx xe x 2sin 2;解 因为⎰⎰⎰-----==x x x x de xx e x d e dx x e 22222cos 22cos 22cos 22sin⎰⎰----+=+=2sin 82cos 22cos 42cos 22222xd e x e dx x e x e x x x x⎰----+=x x x de xx e x e 2222sin 82sin 82cos 2⎰---++=dx xe x e x e x x x 2sin 162sin 82cos 2222,所以 C xx e dx x e x x ++-=--⎰)2sin 42(cos 1722sin 22.8. ⎰dx xx 2cos ;解 C xx x dx x x x x xd dx x x ++=-==⎰⎰⎰2cos 42sin 22sin 22sin 22sin 22cos .9. ⎰xdx x arctan 2; 解 ⎰⎰⎰+⋅-==dx x x x x xdx xdx x 233321131arctan 31arctan 31arctan ⎰⎰+--=+-=2232223)111(61arctan 31161arctan 31dx xx x dx x x x x C x x x x +++-=)1ln(6161arctan 31223.10. ⎰xdx x 2tan解 ⎰⎰⎰⎰⎰+-=-=-=x xd x xdx xdx x dx x x xdx x tan 21sec )1(sec tan 2222C x x x x xdx x x x +++-=-+-=⎰|cos |ln tan 21tan tan 2122.11. ⎰xdx x cos 2;解 ⎰⎰⎰⎰+=⋅-==x xd x x xdx x x x x d x xdx x cos 2sin 2sin sin sin cos 2222C x x x x x xdx x x x x +-+=-+=⎰sin 2cos 2sin cos 2cos 2sin 22. 12. ⎰-dt te t 2;解 ⎰⎰⎰----+-=-=dt e te tde dt te t t tt 2222212121 C t e C e te t t t ++-=+--=---)21(214121222.13. ⎰xdx 2ln ;解 ⎰⎰⎰-=⋅⋅-=xdx x x dx xx x x x xdx ln 2ln 1ln 2ln ln 222C x x x x x dx x x x x x x ++-=⋅+-=⎰2ln 2ln 12ln 2ln 22.14. ⎰xdx x x cos sin ; 解 ⎰⎰⎰⎰+-=-==xdx x x x xd xdx x xdx x x 2cos 412cos 412cos 412sin 21cos sin C x x x ++-=2sin 812cos 41.15. ⎰dx xx 2cos 22; 解 ⎰⎰⎰⎰-+=+=+=xdx x x x x x d x x dx x x dx x x sin sin 2161sin 2161)cos 1(212cos 2323222⎰⎰-++=++=xdx x x x x x x xd x x x cos cos sin 2161cos sin 21612323C x x x x x x +-++=sin cos sin 216123.16. ⎰-dx x x )1ln(; 解 ⎰⎰⎰-⋅--=-=-dx x x x x dx x dx x x 1121)1ln(21)1ln(21)1ln(222 ⎰-⋅++--=dx x x x x )111(21)1ln(212C x x x x x +-----=)1ln(212141)1ln(2122.17. ⎰-xdx x 2sin )1(2;解 ⎰⎰⎰⋅+--=--=-xdx x x x x d x xdx x 22cos 212cos )1(212cos )1(212sin )1(222 ⎰+--=x xd x x 2sin 212cos )1(212⎰-+--=xdx x x x x 2sin 212sin 212cos )1(212C x x x x x +++--=2cos 412sin 212cos )1(212.18. ⎰dx x x 23ln ;解⎰⎰⎰⎰+-=+-=-=xdx xx x x d x x x x xd dx x x22333323ln 13ln 1ln 1ln 11ln ln⎰⎰+--=--=x d xx x x x x xd x x 22323ln 13ln 3ln 11ln 3ln 1⎰⎰---=+--=x xd x x x x dx x x x x x x 1ln 6ln 3ln 1ln 16ln 3ln 123223⎰+---=dx xx x x x x x 22316ln 6ln 3ln 1C x x x x x x x +----=6ln 6ln 3ln 123.19. ⎰dx e x3;解 ⎰⎰⎰==t t xde t dt e t t x dx e223333令⎰⎰-=-=t t t t tde e t dt te e t 636322 ⎰+-=dt e te e t t t t 6632 C e te e t t t t ++-=6632 C x x ex ++-=)22(33323.20. ⎰xdx ln cos ; 解 因为⎰⎰⋅⋅+=dx xx x x x xdx 1ln sin ln cos ln cosdx xx x x x x x xdx x x 1ln cos ln sin ln cos ln sin ln cos ⋅⋅-+=+=⎰⎰⎰-+=xdx x x x x ln cos ln sin ln cos , 所以 C x x xxdx ++=⎰)ln sin ln (cos 2ln cos .21. ⎰dx x 2)(arcsin ;解 ⎰⎰-⋅⋅-=dx xx x x x dx x 22211arcsin 2)(arcsin )(arcsin⎰-+=221arcsin 2)(arcsin x xd x x ⎰--+=dx x x x x 2arcsin 12)(arcsin 22 C x x x x x +--+=2arcsin 12)(arcsin 22. 22. ⎰xdx e x 2sin . 解 ⎰⎰⎰-=-=xdx e e dx x e xdx e xx x x 2cos 2121)2cos 1(21sin 2, 而 dx x e x e xde xdx e x x x x ⎰⎰⎰+==2sin 22cos 2cos 2cos⎰⎰-+=+=xdx e x e x e de x x e x x x x x 2cos 42sin 22cos 2sin 22cos ,C x x e xdx e x x ++=⎰)2sin 22(cos 512cos ,所以 C x x e e xdx e x x x ++-=⎰)2sin 22(cos 10121sin 2.习题4-4求下列不定积分:1. dx x x ⎰+33;解 dx x x x x dx x x dx x x ⎰⎰⎰+-+-+=+-+=+327)93)(3(327273233 ⎰⎰+-+-=dx x dx x x 3127)93(2 C x x x x ++-+-=|3|ln 279233123.2. ⎰-++dx x x x 103322;解 C x x x x d x x dx x x x +-+=-+-+=-++⎰⎰|103|ln )103(1031103322222.3. ⎰--+dx xx x x 3458; 解 ⎰⎰⎰--++++=--+dx xx x x dx x x dx x x x x 3223458)1(8 ⎰⎰⎰--+-+++=dx x dx x dx x x x x 13148213123C x x x x x x +--+-+++=|1|ln 3|1|ln 4||ln 8213123.4. ⎰+dx x 133;解 ⎰⎰⎰+-⋅++--⋅-+=+-+-++=+dx x x x x x x dx x x x x dx x )11231122111()1211(132223⎰⎰-+-++-+--+=)21()23()21(123)1(1121|1|ln 2222x d x x x d x x xC x x x x +-++-+=312arctan31|1|ln2. 5. ⎰+++)3)(2)(1(x x x xdx;解dx x x x x x x xdx )331124(21)3)(2)(1(+-+-+=+++⎰⎰C x x x ++-+-+=|)1|ln |3|ln 3|2|(ln 21.6. ⎰-++dx x x x )1()1(122;解 ⎰⎰+--⋅++⋅=-++dx x x x dx x x x ])1(111211121[)1()1(1222 C x x x +++-+-=11|1|ln 21|1|ln 21C x x +++-=11|1|ln 212.7. dx x x )1(12+⎰; 解 C xx dx x x x dx x x ++-=+-=+⎰⎰)1ln(21||ln )11()1(1222.8. ⎰++))(1(22x x x dx;解⎰⎰+⋅-++⋅-=++dx x x x x x x x dx )112111211())(1(222⎰++-+-=dx x x x x 1121|1|ln 21||ln 2⎰⎰+-+-+-=dx x dx x x x x 11211241|1|ln 21||ln 22C x x x x +-+-+-=arctan 21)1ln(41|1|ln 21||ln 2.9. ⎰+++)1)(1(22x x x dx; 解dx x xx x x x x x dx )111()1)(1(2222⎰⎰+-+++=+++)1ln(21112111221222+-++++++=⎰⎰x dx x x x x x ⎰++++-++=dx x x x x x 1121)1ln(21|1|ln 21222C x x x x ++++-++=312arctan 33)1ln(21|1|ln 2122. 10. ⎰+dx x 114;解dx x x x x dx x ⎰⎰+-++=+)12)(12(111224⎰⎰+-+-++++=dx x x x dx x x x 12214212214222⎰⎰+----++++=dx x x x dx x x x 1222)22(21421222)22(214222 )1212(41]12)12(12)12([82222222⎰⎰⎰⎰+-+++++-+--++++=x x dxx x dx x x x x d x x x x d C x x x x x x +-++++-++=)12arctan(42)12arctan(42|1212|ln 8222. 11. ⎰++--dx x x x 222)1(2; 解 ⎰⎰⎰++-++-=++--dx x x dx x x x dx x x x 11)1(1)1(2222222 ⎰⎰⎰++-++-+++=dx x x dx x x dx x x x 11)1(123)1(122122222 ⎰⎰++-++-++⋅-=dx x x dx x x x x 11)1(12311212222, 因为)312arctan(32)312()312(11321122+=+++=++⎰⎰x x d x dx x x , 而⎰⎰++=++dx x dx x x 22222])23()21[(1)1(1由递推公式 ⎰⎰--+-++-=+])()32()([)1(21)(122122222n n n a x dxn a x x n a a x dx ,得⎰⎰++=++dx x dx x x 22222])23()21[(1)1(1312arctan 323211231)1121()23(212222+⋅++++⋅=++++++=⎰x x x x x x dx x x x , 所以 ⎰++--dx x x x 222)1(2C x x x x x x x ++-+-+++-++⋅-=312arctan 32312arctan 3211221112122C x x x x ++-+++-=312arctan34112.12. ⎰+x dx2sin 3;解⎰⎰⎰+=-=+x d x dx x x dx tan 3tan 41cos 41sin 3222C x x d x +=+=⎰3tan 2arctan321tan )23(tan 14122.13.⎰+dx x cos 31;解 ⎰⎰⎰+=+=+)2sec 1(2cos )2(2cos 121cos 31222x x x d x dx dx x ⎰+=+=C x x x d 22tanarctan 212tan 22tan 2. 或⎰⎰+⋅++=+du u u u xu dx x221212312tancos 31令 C xC u du u +=+=+=⎰22tan arctan212arctan21)2(122. 14.⎰+dx x sin 21;解 ⎰⎰⎰+=+=+)2cot 2(csc 2sin )2(2cos 2sin 22sin 2122x x x x d x x dx dx x⎰⎰+++-=++-=222)23()212(cot )212(cot 12cot 2cot )2(cot x x d x x x dC x ++-=312cot 2arctan 32. 或⎰⎰+⋅++=+du u u u xu dx x221212212tansin 21令 ⎰⎰++=++=du u du u u 222)23()21(111C xC u ++=++=312tan 2arctan 32312arctan 32. 15.⎰++x x dxcos sin 1;解 ⎰⎰⎰+=+=+=++C x x xd x x dx x x dx |2tan |ln 2tan1)2(tan )2tan 1(2cos 21cos sin 12. 或⎰⎰+⋅+-+++=++du u u u u ux u xx dx2222121112112tancos sin 1令C xC u du u ++=++=+=⎰|12tan |ln |1|ln 11. 16.⎰+-5cos sin 2x x dx; 解⎰⎰⎰++=+⋅++--+=+-du u u du u u u u ux u x x dx2231125111412tan5cos sin 222222令C xC u du u ++=++=++=⎰512tan 3arctan 51513arctan 51)35()31(13122. 或⎰⎰+⋅++--+=+-du uu uu u x u x x dx2222125111412tan5cos sin 2令⎰⎰++=++=du u du u u 222)35()31(1312231C xC u ++=++=512tan 3arctan 51513arctan 51. 17.⎰++dx x 3111;解⎰⎰⎰++-=⋅+=+=++du uu du uu ux dx x )111(33111111233令 C x x x C u u u +++++-+=+++-=)11ln(313)1(23|1|ln 332333322.18.⎰++dx x x 11)(3;解C x x x dx x x dx x x ++-=+-=++⎰⎰232233221]1)[(11)(.19.⎰++-+dx x x 1111;解⎰⎰⎰++-=⋅+-=+++-+du u u udu u u u x dx x x )122(221111111令 C u u u +++-=|)1|ln 2221(22C x x x +++++-+=)11ln(414)1(. 20.⎰+4xx dx ;解⎰⎰⋅+=+du uu u u x xx dx 324441令C u u u du uu +++-=++-=⎰|1|ln 442)111(42 C x x x +++-=)1ln(4244.21.⎰+-xdxx x 11;解 令u x x=+-11, 则2211u u x +-=, du u u dx 22)1(4+-=,⎰⎰⎰++-=+-⋅-+⋅=+-du uu du u u u u u x dx x x )1111(2)1(41111222222 C u u u +++-=arctan 2|11|ln C xxxx x x ++-+++-+--=11arctan2|1111|ln . 22.⎰-+342)1()1(x x dx .解 令u x x =-+311, 则1133-+=u u x , 232)1(6--=u udx , 代入得C x x C u du x x dx +-+-=+-=-=-+⎰⎰334211232323)1()1(.总习题四求下列不定积分(其中a , b 为常数):1. ⎰--x x e e dx;解 C e e de e dx e e e e dxx x xx x xxx ++-=---=-⎰⎰⎰-|11|ln 2111122.2. dx x x ⎰-3)1(; 解C x x dx x dx x dx x x+-⋅+-=----=-⎰⎰⎰2323)1(12111)1(1)1(1)1(. 3. ⎰-dx xa x 662(a >0);解 C ax a x a x d x a dx x a x +-+=-=-⎰⎰||ln 61)()()(1313333332323662.4. ⎰++dx x x xsin cos 1;解 C x x x x d x x dx x x x ++=++=++⎰⎰|sin |ln )sin (sin 1sin cos 1.5. ⎰dx xxln ln ; 解 C x x x dx x x x x x x xd dx x x +-⋅=⋅⋅-⋅==⎰⎰⎰ln ln ln ln 1ln 1ln ln ln ln ln ln ln ln ln .6.⎰+dx x xx 4sin 1cos sin ; 解 C x x d x x d xx dx x x x +=+=+=+⎰⎰⎰222244sin arctan 21)(sin )(sin 1121sin sin 1sin sin 1cos sin . 7. ⎰xdx 4tan ; 解 xxd x x d xx xdx tan sin tan tan cos sin tan 22244⎰⎰⎰==⎰⎰++-=+=x d x x x d x x tan )1tan 11(tan tan 1tan tan 2224c x x x c x x x ++-=++-=tan tan 31tan arctan tan tan 3133.8. ⎰xdx x x 3sin 2sin sin ; 解 ⎰⎰--=xdx x x xdx x x 3sin )cos 3(cos 213sin 2sin sin ⎰⎰+-=xdx x xdx x 3sin cos 213sin 3cos 21 ⎰⎰++=dx x x x xd )2sin 4(sin 41)3(cos 3cos 61 C x x x +--=2cos 814cos 1613cos 1212. 9.⎰+)4(6x x dx;解 C x x dx x x x x x dx++-=+-=+⎰⎰)4ln(241||ln 41)41(41)4(6656.10.)0(>-+⎰a dx xa xa ; 解⎰⎰⎰⎰-+-=-+=-+dx xa xdx x a a du x a x a dx x a x a 2222221C x a a xa +--=22arcsin .11.⎰+)1(x x dx ;解C x x C x x x d x x x dx +++=+++=+=+⎰⎰)1ln(2))(1ln(2)(112)1(22.12. ⎰xdx x 2cos ; 解 ⎰⎰⎰+=+=x xd x dx x x x xdx x 2sin 4141)2cos (21cos 22 C x x x x xdx x x x +++=-+=⎰2cos 812sin 41412sin 412sin 414122.13. ⎰bxdx e ax cos ; 解 因为dx bx e a b bx e a bxde a bxdx e ax axax ax ⎰⎰⎰+==sin cos 1cos 1cos dx bx e ab bx e a b bx e a de bx a b bx e a ax ax ax axax ⎰⎰-+=+=cos sin cos 1sin cos 12222,所以 C bx e ab bx e a b a a bxdx e axax ax+++=⎰)sin cos 1(cos 2222C bx b bx a e ba ax +++=)sin cos (122.14.⎰+xedx 1;解⎰⎰⎰⎰+--=-=-=++du u u du u u d u u e edx xx)1111(112)1ln(11122令.c e e c u u x x +++-+=++-=1111ln |11|ln .15.⎰-122x xdx ;解C t tdt tdt t t t tx x x dx+==⋅⋅=-⎰⎰⎰sin cos tan sec tan sec 1sec 1222令C xx +-=12.16.⎰-2/522)(x a dx;解⎰⎰⋅=-tdt a t a ta x x a dx cos )cos (1sin )(52/522令⎰⎰+==t d t adt ta tan )1(tan1cos 112444C t at a++=tan 1tan 31434C xa x ax a x a+-+-⋅=224322341)(31.17.⎰+241xxdx;解tdt t t tx x xdx 2424secsec tan 1tan 1⋅⋅=+⎰⎰令⎰⎰==t d t tdt t tsin sin cos sin cos 4243 C t tt d t t ++-=-=⎰sin 1sin 31sin )sin 1sin 1(324 C xx x x ++++-=233213)1(.18.⎰dx x x sin ;解⎰⎰⎰=⋅=tdt t tdt t t t x dx x x sin 22sin sin 2令⎰⎰⋅+-=-=tdt t t t t d t 2cos 2cos 2cos 222⎰⎰-+-=+-=tdt t t t t t td t t sin 4sin 4cos 2sin 4cos 222 C t t t t t +++-=cos 4sin 4cos 22C x x x x x +++-=cos 4sin 4cos 2. 19. ⎰+dx x )1ln(2;解 ⎰⎰+⋅-+=+dx xx x x x dx x 22212)1ln()1ln(⎰+--+=dx x x x )111(2)1ln(22C x x x x ++-+=arctan 22)1ln(2. 20.⎰dx x x32cos sin ;解 x d x xx x d x x dx x xtan )1tan tan (tan tan cos sin cos sin 2232⎰⎰⎰+-== C x x ++-=)1ln(tan 21tan 2122.21. ⎰dx x arctan ;解 x d xx x x dx x ⎰⎰+⋅-=11arctan arctan x d xx x ⎰+⋅--=)111(arctan C x x x x ++-=arctan arctan C x x x +-+=arctan )1(. 22.dx xx⎰+sin cos 1;解C x x x d x dx x x xdx x x +-===+⎰⎰⎰|2cot 2csc |ln 222csc 22cos2sin 22cos2sin cos 1. 23.⎰+dx x x 283)1(;解 C x x x dx x dx x x +++⋅=+=+⎰⎰]arctan 1[2141)1(141)1(484428283. 提示: 已知递推公式⎰⎰--+-++-=+])()32()([)1(21)(122122222n n n a x dxn a x x n a a x dx . 24. ⎰++dx x x x 234811; 解 ⎰⎰⎰++=++=++dt t t t t x dx x x x dx x x x 234123412322444884811令 ⎰⎰+++-=+++-=dt t t dt t t t )11241(41)23231(412 C t t t ++++-=|1|ln 41|2|ln 41C x x x ++++=21ln 414444.25.⎰-416x dx;解⎰⎰⎰++-=+-=-dx x x dx x x x dx)4141(81)4)(4(11622224C xx x ++-+=)2arctan 21|22|ln 41(81C x x x ++-+=2arctan 161|22|ln 321. 26.dx x x⎰+sin 1sin ;解 ⎰⎰⎰-=--=+dx xxx dx x x x dx x x 222cos sin sin sin 1)sin 1(sin sin 1sinC x x x dx x x x++-=+-=⎰tan sec )cos 11cos sin (22.27. dx xxx ⎰++cos 1sin ;解⎰⎰⎰⎰+=+=++dx x xdx x x dx x x x dx x x x 2cossin 212cos 212cos 2sin cos 1sin 222 ⎰⎰+=dx xx xd 2tan 2tanC xx dx x dx x x x +=+-=⎰⎰2tan 2tan 2tan 2tan .28. ⎰-dx x x x x e x23sin cos sin cos ;解 ⎰⎰⎰⋅⋅-⋅⋅=-xdx x e xdx e x dx xx x x ex x xsec tan cos cos sin cos sin sin 23sin⎰⎰-=x d e x d xe x x sec sin sin sin ⎰⎰+⋅-=x x x xde e x xde sin sin sin sec sec⎰⎰⋅⋅+⋅--=xdx e x e x dx e xe x x x x cos sec sec sin sin sin sin C e x xe x x +⋅-=sin sin sec .29.⎰+dx x x x x)(33;解dt t t dt t t t t t t x dx x x x x)111(66)()(52362633+-=⋅+=+⎰⎰⎰令C x x C t t ++=++=66)1(ln 1ln6. 30.⎰+2)1(x e dx;解⎰⎰⎰---=-⋅=++dt t t t dt t tt e e dxx x )1111(1111)1(222令 C tt t ++--=1ln )1ln(C ee x xx ++++-=11)1ln(.31. ⎰+-+dx e e e e x x xx 1243;解)()(1111222243x xx x x x xx x x x x e ed e e dx e e e e dx e e e e ------+=+-+=+-+⎰⎰⎰C e e x x +-=-)arctan( C x +=)sh 2arctan(. 32.⎰+dx e xe xx 2)1(;解⎰⎰⎰+-=++=+11)1()1()1(22x x x x xe xd e d e x dx e xe⎰⎰+++-=+++-=x x x x x x de e e e x dx e e x )1(11111⎰+-++-=x xxxde e ee x )111(1 C e e e xx x x ++-++-=)1ln(ln 1C e e xe x x x++-+=)1ln(1.33. ⎰++dx x x )1(ln 22;解 dx x x x x x x dx x x ])1([ln )1(ln )1(ln 222222'++⋅-++=++⎰⎰ ⎰+⋅++-++=dx xx x x x x x 22221)1ln(2)1(ln⎰+++-++=22221)1ln(2)1(ln x d x x x x x⎰'++⋅+++++-++=dx x x x x x x x x x ])1[ln(12)1ln(12)1(ln 222222 ⎰++++-++=dx x x x x x x 2)1ln(12)1(ln 2222 C x x x x x x x +++++-++=2)1ln(12)1(ln 2222.34.⎰+dx x x2/32)1(ln ;解 因为⎰⎰⎰++=+==⋅=+C xx C t tdt tdt t t x dx x 2232/321sin cos sec sec 1tan )1(1令,所以⎰⎰⎰⋅+-+=+=+dx x x xx x x x x xd dx x x111ln )1(ln )1(ln 2222/32 C x x x x x +++-+=)1ln(1ln 22.35. ⎰-xdx x arcsin 12;解⎰⎰⎰+=⋅=-dt t t t tdt t t x xdx x )2cos (21cos sin arcsin 122令⎰⎰-+=+=tdt t t t t t t 2sin 412sin 41412sin 414122C t t t t +++=2cos 812sin 41412122241arcsin 121)(arcsin 41C x x x x x +--+=.36.⎰-dx xx x 231arccos ;解⎰⎰⎰--=-⋅=-2222231arccos 1arccos 1arccos x xd x dx x x x x dx x x x⎰'⋅-+--=dx x x x x x x )arccos (1arccos 12222 ⎰-⋅-⋅-+--=dx xx x x x x x x )11arccos 2(1arccos 122222⎰⎰-⋅-+--=dx x xdx x x x x x 2222arccos 12arccos 1⎰-----=32322)1(arccos 3231arccos 1x xd x x x x⎰-------=dx x x x x x x x )1(32arccos )1(3231arccos 1232322。
习题9.11.二元函数()y x f ,在有界闭区域D 可积的充分与必要条件是什么?它的几何意义和物理意义是什么?【答】几何意义表曲顶柱体的体积的代数和;物理意义表平面薄片的质量. 2.设()(){}11|,22≤+-=y x y x D ,则二重积分⎰⎰=Ddxdy π.【解】根据二重积分的性质,⎰⎰Ddxdy 等于积分区域D 的面积.而此处积分区域D 是半径为1的圆域,因此其面积为π. 3.求⎰⎰Ddxdy 4,其中(){}1|,≤+=y x y x D .【解】⎰⎰Ddxdy 4()()824442=⨯===⎰⎰D S dxdy D.4.如果闭区域D 被分成区域1D 、2D 且()5,1⎰⎰=D dxdy y x f ,()1,2⎰⎰=D dxdy y x f ,求()⎰⎰Ddxdy y x f ,.【解】根据二重积分的性质()⎰⎰Ddxdy y x f ,()⎰⎰+=1,D dxdy y x f ()615,2=+=⎰⎰D dxdy y x f .5.设()⎰⎰+=13221D d y x I σ, (){}22,11|,1≤≤-≤≤-=y x y x D ;()⎰⎰+=23222D d y x I σ,其中(){}20,10|,2≤≤≤≤=y x y x D .试利用二重积分的几何意义说明1I 与2I 之 间的关系.【解】因为积分区域2D 关于x 轴及y 轴均对称,且被积函数()()322,y x y x f +=为偶函数,故根据二重积分的对称性知214I I =. 6.估计下列积分的值. (1)⎰⎰+=Dy xd e I σ22,其中(){}41|,22≤+≤=y x y x D ;【解】积分区域D 的面积πσ3=.显然被积函数()32,y x e y x f +=在积分区域D 内有最小值e e m ==1及最大值4e M =,因此由估值定理知 433e I e ππ≤≤.(2)⎰⎰=Dyd x I σ22sin sin ,其中(){}ππ≤≤≤≤=y x y x D 0,0|,.【解】积分区域D 的面积2πσ=.显然被积函数()x x y x f 22sin sin ,=在积分区域D 内有最小值()00,0==f m 及最大值12,2=⎪⎭⎫⎝⎛=ππf M ,因此由估值定理知20π≤≤I .7.设函数()y x f ,在点()b a ,的某个邻域内连续,D 表示以点()b a ,为圆心且完全含在上述邻域内的圆域(半径为R ).求极限 ()⎰⎰→DR d y x f R σπ,1lim20.【解】积分区域D 的面积2R πσ=.由积分中值定理知 ()⎰⎰Dd y x f σ,()()ηξπσηξ,.,2f R f ==.显然当0→R 时,()()b a ,,→ηξ,所以 ()⎰⎰→DR d y x f R σπ,1lim20()()b a f f R ,,lim 0==→ηξ.8.设区域(){}1|,22≤+=y x y x D ,()y x f ,为区域D 上的连续函数,且 ()()dxdy y x f y x y x f D⎰⎰---=,11,22π. ① 求()y x f ,.【解】记 ()dxdy y x f a D⎰⎰=,. ②则①成为()πay x y x f ---=221,. ③由③得()⎰⎰⎰⎰⎰⎰---=DDDdxdy adxdy y x dxdy y x f π221,. ④其中,根据几何意义及性质可知32134211322ππ=⎪⎭⎫ ⎝⎛⨯=--⎰⎰dxdy y x D.π=⎰⎰Ddxdy .所以由④式得到 3.32ππππ=⇒-=a a a . 将3π=a 代入③即得到()311,22---=y x y x f .习题9.21.在化二重积分时,选择坐标系的原则是什么?【解】选择坐标系的原则主要是根据积分区域的形状,具体地讲,积分区域的边界曲线是用直角坐标方程表示方便还是用极坐标方程表示简洁.当然,被积函数的特征也要考虑,如形如()22y xf+的积分就首选极坐标系来计算.2.先画出积分区域,再计算二重积分.(1)()⎰⎰+Dd y x σ22,其中D 是矩形区域:1,1≤≤y x ;【解】记(){}10,10|,1≤≤≤≤=y x y x D .由对称性知()⎰⎰+Dd y xσ22()⎰⎰+=1224D d y x σ()dy y x dx ⎰⎰+=101224⎰⎥⎦⎤⎢⎣⎡⎪⎭⎫ ⎝⎛+=101032|314dx y y x 3831314314101032|=⎪⎭⎫ ⎝⎛+=⎪⎭⎫ ⎝⎛+=⎰x x dx x .(2)()⎰⎰++Dd y y x x σ3233,其中D 是矩形区域:10,10≤≤≤≤y x ;【解】()⎰⎰+Dd y xσ22()dy y y x x dx ⎰⎰++=10103233⎰⎥⎦⎤⎢⎣⎡⎪⎭⎫ ⎝⎛++=10104223|4123dx y y x y x1412141412310103423|=⎪⎭⎫ ⎝⎛++=⎪⎭⎫ ⎝⎛++=⎰x x x dx x x .(3)()⎰⎰+Dd y x σ23,其中D 是由两坐标轴及直线2=+y x 所围成的区域;【解】()⎰⎰+Dd y x σ23()dy y x dx x⎰⎰-+=202023()⎰⎥⎦⎤⎢⎣⎡+=-20202|3dx y xy x()()[]()3204324222232020232022|=⎪⎭⎫ ⎝⎛++-=++-=-+-=⎰⎰x x x dx x x dx x x x .(4)()⎰⎰+Dd y x x σcos ,其中D 是顶点分别为()0,0,()0,π,()ππ,的三角形区域;【解】()⎰⎰+Dd y x x σcos ()dy y x x dx x ⎰⎰+=π00cos ()⎰⎥⎦⎤⎢⎣⎡+=π00|sin dx y x x x()⎰⎰⎰-=-=πππ0sin 2sin sin 2sin xdx x xdx x dx x x x()()⎰⎰+-=ππ00cos 2cos 21x xd x xd 【分部】()⎥⎦⎤⎢⎣⎡-+⎥⎦⎤⎢⎣⎡--=⎰⎰ππππ0000cos cos 22cos 212cos 21||xdx x x x xd x xπππππππ2321sin 2sin 2121||00-=--=⎥⎦⎤⎢⎣⎡--+⎥⎦⎤⎢⎣⎡--=x x .(5)⎰⎰Dxy dxdy ye ,其中D 是由曲线2,2,1===y x xy 所围成的区域; 【解】⎰⎰Dxydxdy ye dy ye dx x xy⎰⎰=22121()x d e yd x x xy ⎰⎰⎥⎦⎤⎢⎣⎡=221211x d dy e ye x x xy x xy ⎰⎰⎪⎪⎭⎫ ⎝⎛-=2212121|1x d e x x e e x x xy x⎰⎪⎪⎭⎫ ⎝⎛--=221212|1121 x d e x e x x x ⎰⎪⎭⎫ ⎝⎛-=22122212x d e x x⎰=221212x d e xx ⎰-221221其中=⎰x d e x x 221221⎪⎭⎫ ⎝⎛-⎰x d e x 12212【分部】()⎥⎦⎤⎢⎣⎡--=⎰2212221211|x x e d x e x ++-=e e 2214x d e xx ⎰221212.所以⎰⎰Dxydxdy ye -=⎰x d e x x 221212e e dx e x e e x22112221422214-=⎥⎦⎤⎢⎣⎡++-⎰. (6)()⎰⎰+Ddxdy y x sin ,其中D 是矩形区域:ππ20,0≤≤≤≤y x .【解】以直线π=+y x 及π2=+y x 将区域D 分成三个子区域:321D D D D ⋃⋃=.其中,⎩⎨⎧≤≤-≤≤,0,0:1ππx x y D , ⎩⎨⎧≤≤-≤≤-,0,2:2πππx x y x D ,⎩⎨⎧≤≤≤≤-,0,22:3πππx y x D ()dy y x dx I x⎰⎰-+=ππ0sin ()dy y x dx x x ⎰⎰--+-+πππ02sin ()dy y x dx x⎰⎰-++πππ022sin其中()dy y x dx x⎰⎰-+ππ0sin ()dx y x x ⎰⎥⎦⎤⎢⎣⎡+-=-ππ00|cos ()()πππ=+=+=⎰|0sin cos 1x x dx x ;()dy y x dx xx⎰⎰--+-πππ02sin ()dx y x xx ⎰⎥⎦⎤⎢⎣⎡+=--πππ02|cosππ220==⎰dx ;()dy y x dx x ⎰⎰-+πππ022sin ()dx y x x ⎰⎥⎦⎤⎢⎣⎡+-=-πππ022|cos ()()πππ=-=-=⎰|0sin cos 1x x dx x .所以 .42ππππ=++=I3.化二重积分()⎰⎰Dd y x f σ,为二次积分,且二次积分的两个变量的积分次序不同,其中积分区域D 为:(1)由直线x y =及抛物线x y 42=所围成的区域;【解】联立⎩⎨⎧==,4,2x y x y 解得⎩⎨⎧==,0,0y x 或⎩⎨⎧==.4,4y x 所以直线x y =及抛物线x y 42=的交点为()0,0及()4,4.(i )若视区域D 为-X 型区域,则⎩⎨⎧≤≤≤≤.40,2:x x y x D()⎰⎰Dd y x f σ,()⎰⎰=402,xxdy y x f dx .(ii )若视区域D 为-Y 型区域,则⎪⎩⎪⎨⎧≤≤≤≤.40,41:2y y x y D()⎰⎰Dd y x f σ,()⎰⎰=40412,y y dx y x f dy .(2)半圆形区域222r y x ≤+,0≥y .(i )若视区域D 为-X 型区域,则⎪⎩⎪⎨⎧≤≤--≤≤.,0:22r x r x r y D()⎰⎰Dd y x f σ,()⎰⎰--=rrx r dy y x f dx 320,.(ii )若视区域D 为-Y 型区域,则⎪⎩⎪⎨⎧≤≤-≤≤--.0,:3222r y y r x y r D()⎰⎰Dd y x f σ,()⎰⎰---=ry r y r dx y x f dy 03222,.4.交换下列积分次序 (1)()⎰⎰--21222,x x xdy y x f dx ;【解】D 是由圆周曲线()1122=+-y x ,2=+y x 【两曲线交于点()1,1】所围成的区域.故()⎰⎰--21222,x x xdy y x f dx ().,11122⎰⎰-+-=y ydy y x f dy(2)()⎰⎰e xdy y x f dx 1ln 0,;【解】积分区域D 由曲线x y ln =,及x 轴和直线e x =所围成. 若改变积分次序,即将区域D 视为-Y 型区域,则⎩⎨⎧≤≤≤≤,10:1y ex e D y ,所以()⎰⎰e xdy y x f dx 1ln 0,().,10⎰⎰=eey dx y x f dy(3)()⎰⎰102,x xdy y x f dx ;【解】积分区域D 由抛物线x y 42=及两直线x y =和直线1=x 所围成.若改变积分次序,即将区域D 视为-Y 型区域,则需要将D 分块: 21D D D ⋃=.其中⎪⎩⎪⎨⎧≤≤≤≤,1041:21y yx y D ,⎪⎩⎪⎨⎧≤≤≤≤,21141:22y x y D .所以 ()⎰⎰102,xxdy y x f dx()⎰⎰=10412,y y dx y x f dy ()⎰⎰+211412,y dx y x f dy .(4)()⎰⎰--0121,ydx y x f dy ()⎰⎰++1021,ydx y x f dy .【解】积分区域21D D D ⋃=.其中⎩⎨⎧≤≤-≤≤-,0121:1y x y D ,⎩⎨⎧≤≤≤≤+,1021:2y x y D 因此积分区域D 是由三直线1,1=-=+y x y x 及2=x 所围成的三角形区域.若改变积分次序,即将区域D 视为-X 型区域,则⎩⎨⎧≤≤-≤≤-21,11:x x y x D所以 ()⎰⎰--0121,y dx y x f dy ()⎰⎰++1021,ydx y x f dy ()⎰⎰--=2111,x x dy y x f dx .5.计算⎰⎰-10122xy dy e dx x .【解】积分区域D 是由直线x y =、1=y 及y 轴所围成的三角形区域. 改变积分次序得⎰⎰-10122x y dy e dx x ⎰⎰-=10022y y dx x dy e ⎰⎪⎭⎫ ⎝⎛=-1003|312dy x e y y⎰-=103231dy e y y ()⎰--=102261y ed y 【分部】 ()⎥⎦⎤⎢⎣⎡-+-=⎰--10210222|61y d e e y y y ⎥⎦⎤⎢⎣⎡+-=--|101261y e e 6131+-=e .6.求由平面0,0==y x 及1=+y x 所围成的柱体被平面0=z 及抛物面z y x -=+622截得的立体的体积.【解】根据二重积分的几何意义知()⎰⎰--=Ddxdy y x V 226.其中积分区域D 是xoy 面内由直线1=+y x 及x 轴、y 轴所围成的平面区域.V ()dy y x dx x⎰⎰---=1010226⎰⎥⎦⎤⎢⎣⎡⎪⎭⎫ ⎝⎛--=-101032|316dx y y x y x()()()⎰⎰⎪⎭⎫ ⎝⎛+--=⎥⎦⎤⎢⎣⎡-----=101023323175234131116dx x x x dx x x x x .617317253231|10234=⎪⎭⎫ ⎝⎛+--=x x x x . 7.利用极坐标计算下列各题. (1)⎰⎰+Dy xd e σ22,其中D 是圆形区域:422≤+y x ; 【解】⎰⎰+Dy xd e σ22⎰⎰+=1224D y xd e σ【极坐标】()121244202020|22-=⎪⎭⎫⎝⎛==⎰⎰e e rdr e d r r ππθπ.(2)()⎰⎰++Dd y x σ221ln ,其中D 是圆周122=+y x 及坐标轴在第一象限内所围成的区域;【解】()⎰⎰++Dd y x σ221ln 【极坐标】()=+=⎰⎰rdr r d 20121ln πθ【令t r =2】()dt t ⎰+=11ln 4π【分部】()⎥⎦⎤⎢⎣⎡+-+=⎰dt t t t t 101011ln 4|π()⎥⎦⎤⎢⎣⎡+-+-=⎰dt t t 101112ln 4π []()12ln 241ln 42ln 4|10-=+--=πππt t .(3)σd x yD⎰⎰arctan ,其中D 是由圆周122=+y x ,422=+y x 及直线xy y ==,0在第一象限内所围成的区域;【解】rdr r r d dxdy x y I D.cos sin arctan arctan 4021⎰⎰⎰⎰==πθθθ==⎰⎰rdr d .421πθθ .64321.21.22124024021||πθθθππ=⎥⎦⎤⎢⎣⎡⎥⎦⎤⎢⎣⎡=⎰⎰r dr r d(4)⎰⎰Dxdxdy ,(){}x y x y x D 22|,22≤+≤=;【解】⎰⎰Dxdxdy ⎰⎰=12D xdxdy 【极坐标】⎥⎦⎤⎢⎣⎡+=⎰⎰⎰⎰24cos 204020.cos .cos 2ππθπθθθθrdr r d rdr r d⎥⎦⎤⎢⎣⎡⎪⎭⎫ ⎝⎛+=⎰⎰⎰24cos 20340202|31cos .cos 2ππθπθθθθd r dr r d ⎥⎥⎦⎤⎢⎢⎣⎡+⎪⎭⎫ ⎝⎛⎪⎪⎭⎫ ⎝⎛=⎰24420340cos 3831sin 2||πππθθθd r θθππd ⎰+=244cos 3163424132331634ππ=⎥⎦⎤⎢⎣⎡-+=.【其中θθππd ⎰244cos θθππd 22422cos 1⎰⎪⎭⎫ ⎝⎛+=()θθθππd ⎰++=2422cos 2cos 2141⎰=2441ππθd ()⎰+2422cos 41ππθθd +⎰+2424cos 141ππθθd 413234sin 3214812sin 41441||2424-=⎥⎦⎤⎢⎣⎡+⨯++⨯=πθπθπππππ】. 【注意:此题书中答案有误】.(5)⎰⎰-Ddxdy y x ,(){}0,0,1|,22≥≥≤+=y x y x y x D ;【解】以直线x y =将积分区域D 分块:21D D D ⋃=其中1D 由圆周()0,0122≥≥=+y x y x 及x 轴和直线x y =所围成; 其中2D 由圆周()0,0122≥≥=+y x y x 及y 轴和直线x y =所围成.⎰⎰-Ddxdy y x ()+-=⎰⎰1D dxdy y x ()⎰⎰-2D dxdy x y 【极坐标】()rdr r r d ⎰⎰-=14sin cos θθθπ()rdr r r d ⎰⎰-+124cos sin θθθππ()dr r d ⎰⎰-=1240sin cos πθθθ()dr r d ⎰⎰-+1224cos sin ππθθθ()⎪⎭⎫ ⎝⎛⎥⎦⎤⎢⎣⎡+=||1034031.cos sin r πθθ()⎪⎭⎫ ⎝⎛⎥⎦⎤⎢⎣⎡+-+||1032431.sin cos r ππθθ ()()12311231-+-=()1232-=. (6)()⎰⎰+Ddxdy y x y 23,(){}0,4|,22≥≤+=y y x y x D .【解】()⎰⎰+Ddxdy y x y 23⎰⎰=Dydxdy ⎰⎰+Ddxdy y x 230+=⎰⎰Dydxdy【极坐标】rdr r d ⎰⎰=20.sin θθπdr r d ⎰⎰=220sin πθθ31631cos ||2030=⎥⎦⎤⎢⎣⎡⎥⎦⎤⎢⎣⎡-=r πθ. 8.把()⎰⎰+=Ddxdy y xfI 22化为单重积分,其中(){}1|,22≤+=y x y x D .【解】()⎰⎰+=Ddxdy y xfI 22【极坐标】()⎰⎰=1204rdr r f d πθ()⎪⎭⎫ ⎝⎛⎪⎪⎭⎫ ⎝⎛=⎰⎰1020.4rdr r f d πθ()⎰=102rdr r f π.9.把下列积分化为极坐标形式,并计算其积分值. (1)()⎰⎰-+ay a dx y xdy 002222;【解】()⎰⎰-+ay a dx y xdy 02222【极坐标】404228412|a r rdr r d aaππθπ=⎪⎭⎫ ⎝⎛==⎰⎰. (2)()⎰⎰-+ax ax dy y xdx 2020222;【解】()⎰⎰-+ax ax dy y xdx 2020222【极坐标】==⎰⎰rdr r d a 20cos 202πθθ⎰⎪⎭⎫ ⎝⎛20cos 204|41πθθd r a . 44244432.!!4!!34cos 4a a d a ππθθπ=⎪⎭⎫ ⎝⎛==⎰.(3)⎰⎰+axdy y x dx 022;【解】⎰⎰+axdy y x dx 022【极坐标】==⎰⎰rdr r d a 40sec 0.πθθ⎰⎪⎭⎫ ⎝⎛40sec 03|31πθθd r a ⎰=4033sec 31πθθd a []|403tan sec ln tan .sec 61πθθθθ++=a()[]21ln 2613++=a【其中,()⎰⎰==θθθθtan sec sec 3d d I 【分部】()⎰-=θθθθsec tan tan .sec d⎰-=θθθθθd 2tan sec tan .sec ()⎰--=θθθθθd 1sec sec tan .sec 2 I d d -++=+-=⎰⎰θθθθθθθθθθtan sec ln tan .sec sec sec tan .sec 3所以,[]C I +++=θθθθtan sec ln tan .sec 21.】 (4)⎰⎰+1222xxdx y x dx .【解】⎰⎰+10222xxdx y x dx 【极坐标】==⎰⎰rdr r d a 40sec tan 0.πθθθ⎰⎪⎭⎫ ⎝⎛40tan sec 03|31πθθθd r a ⎰=40333tan sec 31πθθθd a ()()⎰-=40223sec 1sec sec 31πθθθd a()12452sec 31sec 5131|40353+=⎥⎦⎤⎢⎣⎡-=πθθa .10.设()x f 为连续函数,且()()⎰⎰+=Ddxdy y x f t F 22,其中(){}222|,t y x y x D ≤+=,求极限()tt F t '→0lim.【解】()()⎰⎰+=Ddxdy y x f t F 22【极坐标】()rdr r f d t⎰⎰=πθ202()r dr r f t⎰=022π.故 ()()22t tf t F π='. ① 所以()t t F t '→0lim【代入 ①】()()022lim 0f t t tf t ππ==→. 【注意:怀疑此题本身有问题,故对题目本身作了合理修正】11*.设()x f 在[]1,0上连续,并设()A dx x f =⎰10,求()()⎰⎰101xdy y f x f dx .【解】 记⎩⎨⎧≤≤≤≤,10,1:1x y x D ⎩⎨⎧≤≤≤≤,10,0:2x x y D ,21D D D ⋃=.则 ()()()()dxdy y f x f dy y f x f dx I D x⎰⎰⎰⎰==1111. ①()()()()dxdy y f x f dy y f x f dx I D x⎰⎰⎰⎰==2102. ②又交换积分次序后()()==⎰⎰111x dy y f x f dx I ()()⎰⎰10y dx y f x f dy ()()⎰⎰=10xdy y f x f dx ,即21I I =.所以有 ()()()dxdy y f x f I I I D⎰⎰=+=2121211 ()()210102121A dy y f dx x f ==⎰⎰. 12*.设()x ϕ为[]1,0上的正值连续函数,证明:()()()()()b a dxdy x y x b y a D+=++⎰⎰21ϕϕϕϕ,其中b a ,为常数,(){}10,10|,≤≤≤≤=y x y x D . 【证明】因为积分区域D 关于直线x y =对称,则 ()()()=+=⎰⎰Ddxdy y x x I ϕϕϕ()()()⎰⎰+Ddxdy y x y ϕϕϕ. ① 故有()()()()212121==⎥⎦⎤⎢⎣⎡++=⎰⎰⎰⎰DD dxdy dxdy y x y x I ϕϕϕϕ. ② 所以有()()()()=++⎰⎰D dxdy x y x b y a ϕϕϕϕ()()()b dxdy y x y a D++⎰⎰ϕϕϕ()()()⎰⎰+Ddxdy y x x ϕϕϕ ).(21b a bI aI +=+= 13*.设闭区间[]b a ,上()x f 连续且恒大于零,试利用二重积分证明不等式()()()21a b dx x f dx x f baba-≥⎰⎰. 【证法一】考虑到定积分与变量的记号无关.故有: ()()⎰⎰=b a bay f dy x f dx. ① 以及()().dy y f dx x f baba⎰⎰= ②所以有()()()()..⎰⎰⎰⎰=⎥⎦⎤⎢⎣⎡⎥⎦⎤⎢⎣⎡D b a b a dxdy y f x f x f dx dx x f ③其中,⎩⎨⎧≤≤≤≤.,:b y a b x a D 同时()()()()..⎰⎰⎰⎰=⎥⎦⎤⎢⎣⎡⎥⎦⎤⎢⎣⎡D b a b a dxdy x f y f x f dx dx x f ④ ③+④,得()()()()()()()()()().2.2⎰⎰⎰⎰⎰⎰≥⎥⎦⎤⎢⎣⎡+=⎥⎦⎤⎢⎣⎡⎥⎦⎤⎢⎣⎡D Db a b a dxdy y f x f x f y f dxdy y f x f x f y f x f dx dx x f ()222.Ddxdy b a ==-⎰⎰即: ()()()2..b b a a dx f x dx b a f x ⎡⎤⎡⎤≥-⎢⎥⎢⎥⎣⎦⎣⎦⎰⎰ 【证法二】:因为()0≥x f ,所以有20b a dx ⎡⎤⎢≥⎢⎣⎰,即 ()()()220.bbaadxf x dx b a f x λλ⎡⎤+-+≥⎢⎥⎣⎦⎰⎰① ①式左边是λ的非负二次三项式,因此必有判别式()()()20b b a a dx b a f x dx f x ⎡⎤⎡⎤∆=--≤⎢⎥⎢⎥⎣⎦⎣⎦⎰⎰. ② 故由②得到()()()2..b b a a dx f x dx b a f x ⎡⎤⎡⎤≥-⎢⎥⎢⎥⎣⎦⎣⎦⎰⎰14*.设()x f 在闭区间[]b a ,上连续.试利用二重积分证明不等式()()()dx x fa b dx x f ba ba ⎰⎰-≤⎥⎦⎤⎢⎣⎡22.【证明】由于()2⎥⎦⎤⎢⎣⎡⎰dx x f b a ()()⎥⎦⎤⎢⎣⎡⎥⎦⎤⎢⎣⎡=⎰⎰dx x f dx x f b a b a ()()⎥⎦⎤⎢⎣⎡⎥⎦⎤⎢⎣⎡=⎰⎰dy y f dx x f ba b a . ① 令 ⎩⎨⎧≤≤≤≤.,:b y a b x a D 则 由①得到()()()dxdy y f x f dx x f Dba ⎰⎰⎰=⎥⎦⎤⎢⎣⎡2. ②又 ()()()()222y fx fy f x f +≤.③故()()()dxdy y fx f dx x f Db a ][21222+≤⎥⎦⎤⎢⎣⎡⎰⎰⎰()()⎥⎦⎤⎢⎣⎡+=⎰⎰⎰⎰b a b a b a b a dy y f dx dx x f dy 2221 ()()dx x f a b b a ⎰-=221()()dy y f a b b a ⎰-+221【定积分与变量记号无关()()dx x fa b ba⎰-=2.15*.设区域(){}0,1|,22≥≤+=x y x y x D ,求二重积分⎰⎰+++Ddxdy y x xy2211.【解】⎰⎰+++Ddxdy y x xy 2211⎰⎰++=D dxdy y x 2211⎰⎰+++D dxdy yx xy221 0112122+++=⎰⎰D dxdy y x 【极坐标】rdr r d ⎰⎰+=2102112πθ ()().2ln 21ln 21112|1022102πππ=+=++=⎰rr d r习题9.31.利用定积分、二重积分和三重积分计算空间立体体积时,被积函数和积分区域各有什么不同? 【解】略.2.将三重积分()dxdydz z y x f I ⎰⎰⎰Ω=,,化为三次积分,其中空间区域分别为:(1)由曲面22y x z +=,0=x ,0=y ,1=z 所围成且在第一卦限内的区域;【解】⎪⎪⎩⎪⎪⎨⎧≤≤-≤≤≤≤+Ω.10,10,1:222x x y z y x Ω向xoy 面上投影区域为⎪⎩⎪⎨⎧≤≤-≤≤.10,10:2x x y D xy ,所以()dz z y x f dy dx I y x x ⎰⎰⎰+-=1101222,,.(2)由双曲抛物面xy z =及平面01=-+y x ,1=z 所围成的区域;【解】⎪⎩⎪⎨⎧≤≤-≤≤≤≤Ω.10,10,0:x x y xy z Ω向xoy 面上投影区域为⎩⎨⎧≤≤-≤≤.10,10:x x y D xy ,所以()dz z y x f dy dx I xyx⎰⎰⎰-=01010,,.(3)由曲面222y x z +=及22x z -=所围成的区域. 【解】联立⎪⎩⎪⎨⎧-=+=,2,2222x z y x z 消去z ,得 Ω向xoy 面上的投影区域为 1:22≤+y x D xy . 故⎪⎪⎩⎪⎪⎨⎧≤≤--≤≤---≤≤+Ω.11,11,22:22222x x y x x z y x所以()dz z y x f dy dx I x y x x x ⎰⎰⎰-+----=22222221111,,.3.利用直角坐标系计算下列三重积分.(1)dV z xy ⎰⎰⎰Ω32,其中Ω是由平面x y =,1=x ,0=z 及曲面xy z =所围区域.【解】Ω在xoy 坐标面上的投影区域为三角形区域.10,0:⎩⎨⎧≤≤≤≤x x y D 故dz z dy y xdx dV z xy xyx⎰⎰⎰⎰⎰⎰=Ω03021032⎰⎰⎥⎦⎤⎢⎣⎡=xxy dy z y xdx 004210|41⎰⎰=x dy y dx x 0610541⎰⎥⎦⎤⎢⎣⎡=10075|7141dx y x x 3641131281281|10131012=⨯==⎰x dx x . (2)()⎰⎰⎰Ω+++31z y x dV,其中Ω是由平面0=x ,0=y ,0=z 及1=++z y x 所围成的四面体;【解】Ω在xoy 坐标面上的投影区域为三角形区域.10,10:⎩⎨⎧≤≤-≤≤x x y D 故()dxdydz z y x ⎰⎰⎰Ω+++311=()dz z y x dy dx x y x ⎰⎰⎰---+++101010311()()z y x d z y x dy dx xyx ++++++=⎰⎰⎰---1111010103()⎰⎰---⎥⎦⎤⎢⎣⎡+++-=1010102|11.21xy x dy z y x dx ()⎰⎰-⎥⎦⎤⎢⎣⎡-++=10102411121xdy y x dx ⎰-⎪⎪⎭⎫ ⎝⎛-++-=1010|411121dx y y x x⎰⎪⎭⎫⎝⎛+++-=101144321dx x x ().1652ln 21811ln 4321|102-=⎪⎭⎫ ⎝⎛+++-=x x x (3)()dxdydz z x y ⎰⎰⎰Ω+cos ,其中Ω是由抛物柱面x y =以及平面0=y ,0=z ,2π=+z x 所围成区域.【解】Ω在xoy 坐标面上的投影区域为.20,0:⎪⎩⎪⎨⎧≤≤≤≤πx x y D 故()dxdydz z x y ⎰⎰⎰Ω+cos =()dz z x ydy dx xx⎰⎰⎰-+2020cos ππ()⎰⎰⎥⎦⎤⎢⎣⎡+=-200|2sin ππxxdy z x y dx ()⎰⎰-=200sin 1πx ydy x dx ()⎰⎥⎦⎤⎢⎣⎡-=2002|21sin 1πdx y x x ()⎰-=20sin 121πdx x x⎰=2021πxdx 21161sin 21220-=-⎰ππxdx x .【其中2202201614121|πππ==⎰x xdx ;()⎰⎰=-2020cos 21sin 21ππx xd xdx x 【分部】⎥⎦⎤⎢⎣⎡-=⎰2020cos cos 21|ππxdx x x 21sin 21|20-=-=πx .】4.利用柱面坐标计算三重积分.(1)()d V y x ⎰⎰⎰Ω+22,其中Ω是由曲面z y x 222=+及平面2=z 所围成的区域;【解】本题宜采用“切片法”计算()()dxdy y x dz dz dxdy y xzD ⎰⎰⎰⎰⎰⎰+=+Ω22222.3163242.||20320202422020πππθπ====⎰⎰⎰⎰z dz r rdr r d dz z z如采用柱面坐标系:()dz dxdy y x⎰⎰⎰Ω+22.3166.2142222.2|206420223222202πππθπ=⎥⎦⎤⎢⎣⎡-=⎪⎪⎭⎫⎝⎛-==⎰⎰⎰⎰r r dr r r dz r rdr d r (2)()d V y x ⎰⎰⎰Ω+22,其中Ω是由曲面()222254y x z +=及平面5=z 所围成的区域;【解】(柱面坐标法)Ω在xoy 坐标面上的投影区域为.4:22≤+y x D()V d y x⎰⎰⎰Ω+22dr z r dz r rdr d r r ⎰⎰⎰⎰⎪⎪⎭⎫⎝⎛==20205253525220|.2πθπ dr r r ⎪⎭⎫ ⎝⎛-=⎰255223πππ82452|2054=⎥⎦⎤⎢⎣⎡-=r r .(3)dV xyz ⎰⎰⎰Ω,其中Ω是由球面1222=++z y x 及三个坐标面所围且在第一卦限内的区域.【解】(球面坐标法)Ω在xoy 坐标面上的投影区域为V xyzd ⎰⎰⎰Ω⎰⎰⎰=2015320cos sin cos sin ππρρϕϕϕθθθd d d48161.sin 41.sin 21|||106204202=⎥⎦⎤⎢⎣⎡⎥⎦⎤⎢⎣⎡⎥⎦⎤⎢⎣⎡=ρϕθππ.5.利用球面坐标计算三重积分.(1)()d V z y x ⎰⎰⎰Ω++222,其中()(){}222223,|,,y x z z z y x z y x +≥≤++=Ω;【解】(球面坐标法)()d V z y x⎰⎰⎰Ω++222⎰⎰⎰=60cos 02220.sin πϕπρρρϕϕθd d dϕρϕππϕd ⎰⎥⎦⎤⎢⎣⎡=6cos 05|51sin 2ϕϕϕππd ⎰=605sin cos 52()ϕϕππcos cos 52605d ⎰-=πϕππ96037cos 6152|606=⎥⎦⎤⎢⎣⎡-=.(2)dxdydz z ⎰⎰⎰Ω2,其中Ω是由抛物面22y x z +=之上,球面2222=++z y x 之内的部分围成;【解】(柱面坐标法)联立⎩⎨⎧+==++22222,2y x z z y x 消z ,得Ω在xoy 坐标面上投影区域.1:22≤+y x D 所以dz dxdy z⎰⎰⎰Ω2⎰⎰⎰-=1222022r rdz z rdr d πθ⎰⎥⎦⎤⎢⎣⎡=-123|22312r r z r π()⎰⎥⎦⎤⎢⎣⎡--=10632232dr r r r π()⎰-=1032232dr r r π()πππππ121228151121232107--=-=-⎰dr r ()1323260-=π.【其中()⎰-1032232dr r r π【令t r sin 2=】⎰=404cos .sin 328ππtdt t ()()πππππ228151cos 51328cos cos 328|405404-=⎥⎦⎤⎢⎣⎡-=-=⎰t t td ; .121813232|108107πππ-=⎥⎦⎤⎢⎣⎡-=-⎰r dr r 】(3)dxdydz x ⎰⎰⎰Ω,其中()(){}0,0,0|,,2222≥≥>≤++=Ωy x a a z y x z y x .【解】(球面坐标法)⎰⎰⎰Ωxdxdydz ⎰⎰⎰=ππρρθϕρϕϕθ00220.cos sin sin ad d d ⎰⎰⎰=ππρρρϕϕθθ0222.sin cos ad d d404020841.2sin 4121.sin |||a a πρϕϕθππ=⎥⎦⎤⎢⎣⎡⎥⎦⎤⎢⎣⎡⎪⎭⎫ ⎝⎛-⎥⎦⎤⎢⎣⎡=.6.采用三种坐标计算三重积分dxdydz z ⎰⎰⎰Ω2,其中()2222|,,{R z y x z y x ≤++=Ω()}2,0222Rz z y x R ≤++>.【解法一】(柱面坐标法)联立⎩⎨⎧=++=++,2,222222Rz z y x R z y x 消z ,得Ω在xoy 坐标面上的投影区域为 .43:222R y x D ≤+dz dxdy z ⎰⎰⎰Ω2 dr z r dz z rdr d R R r R r R R r R r R R ⎰⎰⎰⎰⎪⎪⎭⎫ ⎝⎛==------232303220|222222223.2πθπ()()⎰⎥⎦⎤⎢⎣⎡----=R dr rR R r R r 23032232232π(令t R r sin =)()[]⎰--=30333cos .cos cos sin 32ππtdt R t R R t R t R[]⎰-+-=30235cos sin cos 3cos 31cos 232ππtdt t t t t R⎰=3045sin cos 34ππtdt t R ⎰-305sin cos 32ππtdt t R⎰+3025sin cos 2ππtdt t R⎰-3035sin cos 2ππtdt t R|30555cos 34ππt R -=|30252cos 32ππt R +|30353cos 2ππt R -|30454cos 2ππt R + ⎪⎭⎫ ⎝⎛--=32311545R π⎪⎭⎫ ⎝⎛-+4335R π⎪⎭⎫ ⎝⎛--87325R π⎪⎭⎫ ⎝⎛-+161525R π .480595R π=【解法二】(球面坐标法)球面坐标计算:这时首先要把积分区域Ω分成两个子区域: .21Ω⋃Ω=Ω 其中⎪⎩⎪⎨⎧≤≤≤≤≤≤Ω,0,30,20:1R ρπϕπθ ⎪⎩⎪⎨⎧≤≤≤≤≤≤Ω,cos 20,232,20:2ϕρπϕππθR则dz dxdy z ⎰⎰⎰Ω2=dz dxdy z ⎰⎰⎰Ω12dz dxdy z ⎰⎰⎰Ω+22ρρϕρϕϕθππd d d R⎰⎰⎰=2030222.cos sinρρϕρϕϕθπππϕd d d R ⎰⎰⎰+2023cos 20222.cos sin⎪⎭⎫ ⎝⎛⎪⎪⎭⎫ ⎝⎛=⎰⎰R d d 04302cos .sin 2ρρϕϕϕππ ⎪⎪⎭⎫ ⎝⎛+⎰⎰ϕππρρϕϕϕπcos 204232cos .sin 2R d d ⎪⎭⎫ ⎝⎛⎪⎪⎭⎫ ⎝⎛-=||0530351cos 312R ρϕππ⎪⎪⎭⎫ ⎝⎛+⎰2375cos .sin 32512ππϕϕϕπd R 551.247.2R π=⎪⎪⎭⎫ ⎝⎛-+|2385cos 81564ππϕπR 5607R π=⎪⎭⎫ ⎝⎛+81.25615645R π5607R π=5160R π+.480595R π= 【解法三】(直角坐标系之“切片法”)将Ω分块为21Ω⋃Ω=Ω.其中()()⎪⎩⎪⎨⎧∈≤≤Ω11,,20z D y x R z :,()22212:z Rz y x D z -≤+; ()()⎪⎩⎪⎨⎧∈≤≤Ω22,,2z D y x R z R:,()22222:z R y x D z -≤+. ()()()()[]dz z Rz z dz D S z dxdy dz z dz dxdy zR z D R R z220212022022211-===⎰⎰⎰⎰⎰⎰⎰⎰Ωπ5205440151412|R z z R Rππ=⎥⎦⎤⎢⎣⎡-=;()()()()[]dz z R z dz D S z dxdy dz z dz dxdy z RR z D RR R R z222222222222-===⎰⎰⎰⎰⎰⎰⎰⎰Ωπ 52532480475131|R z z R R R ππ=⎥⎦⎤⎢⎣⎡-=. 所以dz dxdy z ⎰⎰⎰Ω2=dz dxdy z ⎰⎰⎰Ω12dz dxdy z ⎰⎰⎰Ω+225554805948047401R R R πππ=+=. 7.若柱面122=+y x 与平面0=z ,1=z 所围成的柱体内任一点()z y x ,,处的密度22y x z --=μ,试计算该柱体的质量.【解】()()⎪⎩⎪⎨⎧Ω∈-+Ω∈--=--=.,,,,,22212222y x z y x y x y x z y x z μ 其中()⎩⎨⎧∈≤≤+ΩD y x z y x ,,1221:;()⎩⎨⎧∈+≤≤ΩD y x y x z ,,0222:;1:22≤+y x D . 所以 =M ()dz dxdy y xz ⎰⎰⎰Ω--122()πππ316161222=+=-++⎰⎰⎰Ωdz dxdy z y x .【其中()dz dxdy y xz ⎰⎰⎰Ω--122【柱面坐标】()dr z r z r dz r z rdr d r r ⎰⎰⎰⎰⎪⎪⎭⎫ ⎝⎛-=-=10101221220|222.2πθπ()πππ6161222|10642153=⎪⎪⎭⎫ ⎝⎛+-=+-=⎰r r r dr r r r ;()dz dxdy z y x⎰⎰⎰Ω-+222【柱面坐标】()dr z z r r dz z r rdr d r r ⎰⎰⎰⎰⎪⎭⎫ ⎝⎛-=-=110022220|2221.2πθππππ6161|10615=⎪⎭⎫ ⎝⎛==⎰r dr r .】8.分别用定积分、二重积分和三重积分求由22y x z +=和22y x z +=所围成的立体Ω的体积.【解】联立⎪⎩⎪⎨⎧+=+=,,2222y x z y x z 消z ,得Ω在xoy 坐标面上的投影区域为 .1:22≤+y x D(一)定积分过z 轴上任意一点z 作Ω的截面,则该截面的面积为 ()()()[]1,0,222∈-=-=z z z z z z A πππ所以Ω的体积为()()πππ613121|103210210=⎪⎭⎫ ⎝⎛-=-==⎰⎰z z dz z z dz z A V .(二)二重积分 ()[]d xdy y x y xV D⎰⎰+-+=2222【极坐标】()ππθπ61432|10432012=⎪⎪⎭⎫ ⎝⎛-=-=⎰⎰r r rdr r r d . (三)三重积分⎰⎰⎰Ω=dV V 【球面坐标】ρρϕϕθπϕϕππd d d ⎰⎰⎰=20sin cos 02242sin()ϕϕπϕϕϕπϕρϕπππππππϕϕcot cot 32sin cos 3231sin 2243245324sin cos 03|2d d d ⎰⎰⎰-==⎥⎦⎤⎢⎣⎡=πϕπππ61cot 4132|244=⎥⎦⎤⎢⎣⎡-=. 9.设()x f 在0=x 处可导,且()00=f ,求极限()d xdydz z y x f t t ⎰⎰⎰Ω→++22241lim,其中(){}2222|,,t z y x z y x ≤++=Ω.【解】()d xdydz z y x f tt ⎰⎰⎰Ω→++222401lim ()⎰⎰⎰=ππρρρϕϕθ00220.sin ad f d d()ρρρϕππd f a 200.cos 2|⎰⎥⎦⎤⎢⎣⎡-=()ρρρπd f a 20.4⎰=. ①所以()d xdydz z y x ft t ⎰⎰⎰Ω→++22241lim【由①】()4204lim t f tt ⎰→=ρρπ【洛必达法则】()32044lim t t t f t π→=()t t f t 0lim →=π()()00lim 0--=→t f t f t π()0f '=π. 习题9.41.求由曲线()xy y x C =+222:所围平面图形D 的面积.【解】化曲线C 为极坐标表示:θθsin cos 2=r ,⎥⎦⎤⎢⎣⎡⋃⎥⎦⎤⎢⎣⎡∈πππθ23,2,0.由对称性知()⎰⎰=12D d D S σ【极坐标】θθπθθπθθd r dr r d ⎰⎰⎰⎥⎦⎤⎢⎣⎡==20cos sin 0220cos sin 0|2122()21sin 21sin sin cos sin |2022020====⎰⎰πππθθθθθθθd d d .2.求由曲面222y x z +=及2226y x z --=所围成的立体Ω的体积. 【解】联立⎪⎩⎪⎨⎧--=+=,26,22222y x z y x z 消去z ,得 Ω向xoy 面上的投影区域为 2:22≤+y x D xy .所以Ω的体积为 ()()[]d xdy y x y xV xyD ⎰⎰+---=2222226()d xdy y xxyD ⎰⎰--=22336()ππθπ6433236|2422022=⎥⎦⎤⎢⎣⎡-=-=⎰⎰r rrdr r d . 3.求由曲面()xyz a z y x S 332223:=++所围立体的体积.【解】做球坐标变换:⎪⎩⎪⎨⎧===,cos ,sin sin ,cos sin ϕρθϕρθϕρz y x 则S 在球坐标下的方程为θθϕϕρsin cos cos sin 3233a =ρρϕϕθθθϕϕππd d d dV V a ⎰⎰⎰⎰⎰⎰Ω==3231cos sin cos sin 3022020sin 44⎰⎰⎥⎦⎤⎢⎣⎡=2020cos sin cos sin 303|32331sin 4ππθθϕϕϕρϕθd d a ⎰⎰=22033cos sin cos sin 4ππϕϕϕθθθd d a.21sin 41sin 21432042023||a a =⎥⎦⎤⎢⎣⎡⎥⎦⎤⎢⎣⎡=ππϕθ4.证明:曲面2214:y x z S ++= ① 任一点处的切平面与曲面22:2y x z S +=所围立体图形Ω的体积为定值.【证明】任取曲面1S 上一点()0000,,z y x M .令 ()z y x z y x F -++=224,,.则1S 在点()0000,,z y x M 处的切平面的法向量为 ()()(){}{}1,2,2,,00000-='''=y x M F M F M F z y x .1S 在点()0000,,z y x M 处的切平面π的法平面为()()()02200000=---+-z z y y y x x x .即 ()0222:02020000=-+---+z y x z z y y x x π. ②又由于()10000,,S z y x M ∈,故402020-=-+z y x . ③ 将③式代入②式得0822:000=+--+z z y y x x π. ④ 联立⎩⎨⎧+==+--+,,082222000y x z z z y y x x 消去z ,得 ()()8020202020+-+=-+-z y x y y x x 【由③】4=,故Ω向xoy 面上的投影区域为()()4:2020≤-+-y y x x D xy . ⑤所以,Ω的体积为 ()()[]d xdy y x z y yx x V xyD ⎰⎰+-+-+=2200822()()()[]d xdy y y x x z y xxyD ⎰⎰----+-+=202002028【由③】()()[]d xdy y y x x xyD ⎰⎰----=2024令⎩⎨⎧+=+=.sin ,cos 00θθr y y r x x 则()()r r r y r y xrxr y x J =-=∂∂∂∂∂∂∂∂=∂∂=θθθθθθθcos sin sin cos ,,所以()dr d r r V r D θθ⎰⎰-=24()ππθπ841224|20422022=⎥⎦⎤⎢⎣⎡-=-=⎰⎰r r rdr r d .从而:2S 与π所围立体图形Ω的体积为定值π8.5.形状如22y x z +=,100≤≤z (单位:米)的“碗”,计划在其上刻上刻度使其成为一个容器.求对应于容积为1立方米的液体在该容器内的高度是多少? 【解】设对应于容积为1立方米的液体在该容器内的高度是h (米). 由题意知()()σπd y xh h D⎰⎰+-⨯=222.1. ①其中222:h y x D ≤+.()⎰⎰⎰⎰=+πθσ200222.h Drdr r d d y x20421412|h r h ππ=⎥⎦⎤⎢⎣⎡=. ②将②式代入①式得2221.1h h ππ-=,即 2211h π=,解之得π2=h (米).6.求均匀密度的半椭圆平面薄片()01:2222≥≤+y by a x D 的质心.【解】设D 的质心坐标为()y x ,.由质心坐标公式得⎰⎰⎰⎰=DDxd d x σσ1; ①⎰⎰⎰⎰=DDyd d y σσ1②【其中令⎩⎨⎧==,sin ,cos θθbr y ar x 则()()abrbr b ar a y ry xrxr y x J =-=∂∂∂∂∂∂∂∂=∂∂=θθθθθθθcos sin sin cos ,,由对称性知0=⎰⎰σd x D;()⎰⎰⎰⎰⎰⎰==πθθθθσθ0102.sin sin rdr r d ab drd J br d y r D D⎰⎥⎦⎤⎢⎣⎡=πθθ01032|31sin d r ab2020232cos 31sin 31|ab ab d ab =-==⎰ππθθθ;又 ()ab D S d Dπσ2121==⎰⎰. 故⎰⎰⎰⎰==DDxd d x 01σσ;ππσσ34213212bab ab yd d y DD===⎰⎰⎰⎰. 所以,平面薄片()01:2222≥≤+y b y a x D 的质心为⎪⎭⎫⎝⎛π34,0b .7.社平面薄片所占的区域D 由抛物线2x y =及直线x y =所围成,它在点()y x ,处的面密度()y x y x 2,=ρ,求此薄片的质心.【解】设D 的质心坐标为()y x ,.由质心坐标公式得()()⎰⎰⎰⎰=DDd y x x d y x x σρσρ,,1σσ⎰⎰⎰⎰=DDyd x yd x 321; ① ()()⎰⎰⎰⎰=D D d y x y d y x y σρσρ,,1⎰⎰⎰⎰=DDd y x yd xσσ2221②ydy x dx yd x xx D⎰⎰⎰⎰=10222σ⎰⎪⎭⎫ ⎝⎛=1022|221dx y x x x ()⎰-=106421dx x x 351715121|1075=⎪⎭⎫ ⎝⎛-=x x ; ③ydy x dx yd x x x D⎰⎰⎰⎰=10332σ⎰⎪⎭⎫ ⎝⎛=1023|221dx y x x x ()⎰-=107521dx x x 481816121|1086=⎪⎭⎫ ⎝⎛-=x x ; ④ dy y x dx d y x xx D2102222⎰⎰⎰⎰=σ⎰⎪⎭⎫⎝⎛=1032|231dx y x x x ()⎰-=108531dx x x 541916131|1096=⎪⎭⎫ ⎝⎛-=x x . ⑤故 4835351481==x ;5435351541==y .所以此薄片的质心为⎪⎭⎫⎝⎛5435,4835.8.平面薄片D 由ax y x ≥+22,222a y x ≤+确定,其上任一点处的面密度与离原点的距离成正比,求此薄片的质心.【解】由题意知,面密度()22,y x k y x +=ρ)0(>k .。
高等数学第六版上册课后习题答案及解析第一章习题1—11. 设A=(-, —5)(5, +),B=[-10, 3), 写出A B,A B, A\B及A\(A\B)的表达式。
解A B=(-, 3)(5, +),A B=[-10,—5),A\B=(—, -10)(5, +),A\(A\B)=[-10, -5).2. 设A、B是任意两个集合,证明对偶律: (A B)C=A C B C。
证明因为x(A B)C x A B x A或x B x A C或x B C x A C B C,所以(A B)C=A C B C。
3. 设映射f : X Y, A X, B X。
证明(1)f(A B)=f(A)f(B);(2)f(A B)f(A)f(B).证明因为y f(A B)x A B, 使f(x)=y(因为x A或x B) y f(A)或y f(B)y f(A)f(B),所以f(A B)=f(A)f(B).(2)因为y f(A B)x A B, 使f(x)=y(因为x A且x B) y f(A)且y f(B)yf (A )f (B ),所以 f (A B )f (A )f (B )。
4。
设映射f : XY , 若存在一个映射g : Y X , 使X I f g = , Y I g f = , 其中I X 、I Y 分别是X 、Y 上的恒等映射, 即对于每一个xX , 有I X x =x ; 对于每一个y Y , 有I Y y =y 。
证明:f 是双射, 且g 是f 的逆映射: g =f —1.证明 因为对于任意的yY , 有x =g (y )X , 且f (x )=f [g (y )]=I y y =y , 即Y 中任意元素都是X 中某元素的像, 所以f 为X 到Y 的满射. 又因为对于任意的x 1x 2, 必有f (x 1)f (x 2), 否则若f (x 1)=f (x 2)g [ f (x 1)]=g [f (x 2)]x 1=x 2。
高等数学课后习题及解答1. 设u=a-b+2c,v=-a+3b-c.试用a,b,c 表示2u-3v.解2u-3v=2(a-b+2c)-3(-a+3b-c)=5a-11b+7c.2. 如果平面上一个四边形的对角线互相平分,试用向量证明它是平行四边形.证如图8-1 ,设四边形ABCD中AC 与BD 交于M ,已知AM = MC ,DM故MB .AB AM MB MC DM DC .即AB // DC 且|AB |=| DC | ,因此四边形ABCD是平行四边形.3. 把△ABC的BC边五等分,设分点依次为D1,D2,D3,D4,再把各分点与点 A 连接.试以AB=c, BC=a 表向量证如图8-2 ,根据题意知1 D1A,1D2A, D3A, D A.41D3 D4BD11a,5a, D1D2 a,5 51D2D3a,5故D1 A=- (AB BD1)=- a- c5D 2 A =- ( ABD A =- ( AB BD 2BD )=-)=-2a- c5 3a- c3=- ( AB 3BD 4)=- 5 4a- c. 54. 已知两点 M 1(0,1,2)和 M 2(1,-1,0) .试用坐标表示式表示向量 M 1M 2 及-2 M 1M 2 .解M 1M 2 =(1-0, -1-1, 0-2)=( 1, -2, -2) .-2 M 1M 2 =-2( 1,-2,-2) =(-2, 4,4).5. 求平行于向量 a =(6, 7, -6)的单位向量 .a解 向量 a 的单位向量 为,故平行向量 a 的单位向量为aa 1=( 6,7, -6)=6 ,7 , 6,a1111 11 11其 中 a 6272( 6)211.6. 在空间直角坐标系中,指出下列各点在哪个卦限?A (1,-2,3),B ( 2, 3,-4),C (2,-3,-4),D (-2,-3, 1).解 A 点在第四卦限, B 点在第五卦限, C 点在第八卦限, D 点在第三卦限 .7. 在坐标面上和在坐标轴上的点的坐标各有什么特征?指出下列各点的位置:A ( 3, 4, 0),B ( 0, 4,3),C ( 3,0,0),D ( 0,D A4-1,0).解在坐标面上的点的坐标,其特征是表示坐标的三个有序数中至少有一个为零,比如xOy 面上的点的坐标为(x0,y0,0),xOz 面上的点的坐标为(x0,0,z0),y Oz 面上的点的坐标为(0,y0,z0).在坐标轴上的点的坐标,其特征是表示坐标的三个有序数中至少有两个为零,比如x 轴上的点的坐标为(x0,0,0),y 轴上的点的坐标为(0,y0,0),z 轴上的点的坐标为(0,0,z0).A 点在xOy 面上,B 点在yOz 面上,C 点在x 轴上,D 点在y 轴上.8.求点(a,b,c)关于(1)各坐标面;(2)各坐标轴;(3)坐标原点的对称点的坐标.解(1)点(a,b,c)关于xOy 面的对称点(a,b,-c),为关于yOz面的对称点为(-a,b,c),关于zOx面的对称点为(a,-b,c).(2)点(a,b,c)关于x 轴的对称点为(a,-b,-c),关于y 轴的对称点为(-a,b,-c),关于z 轴的对称点为(-a,-b,c).(3)点(a,b,c)关于坐标原点的对称点是(-a,-b,-c). 9.自点P(0 x0,y0,z0)分别作各坐标面和各坐标轴的垂线,写出各垂足的坐标.解设空间直角坐标系如图8-3,根据题意,P0F 为点P0 关于xOz 面的垂线,垂足 F 坐标为(x0,0,z0);P0D 为点P0关于xOy 面的垂线,垂足 D 坐标为( x0,y0,0);P0E 为点P0 关于yOz 面的垂线,垂足E坐标为(0,y0,z o ) .P0A 为点P0 关于x 轴的垂线,垂足 A 坐标为( x o,0,0);P0B 为点P0关于y 轴的垂线,垂足B 坐标为(0, y0 ,0) ;P0C为点P0关于z 轴的垂线,垂足 C 坐标为(0,0, z0 ) .10.过点P(0 x0,y0,z0)分别作平行于z 轴的直线和平行于xOy 面的平面,问在它们上面的点的坐标各有什么特点?解如图8-4,过P0 且平行于z 轴的直线l 上的点的坐标,其特点是,它们的横坐标均相同,纵坐标也均相同.而过点P0 且平行于xOy 面的平面上的点的坐标,其特点是,它们的竖坐标均相同.11. 一边长为a 的正方体放置在xOy 面上,其底面的中心在坐标原点,底面的顶点在x 轴和y 轴上,求它各顶点的坐标.2解如图8-5,已知AB=a,故OA=OB= a ,于是各顶点的坐2标分别为A(2a,0,0) ,B((0,22 2a,0)),C(- a,0,0),D2 2(0,-2a ,0),E(22a ,0,a ),F(0,22a ,a ),G(-22 a,20,a ),H(0,-2a ,a ). 212. 求点M(4,-3,5)到各坐标轴的距离.解点M 到x 轴的距离为d1=( 3) 25234 ,点M 到y 轴的距离为d2= 42 5241 ,点M 到z 轴的距离为d3= 42( 3) 225 5.13.在yOz 面上,求与三点A(3,1,2),B(4,-2,-2),C(0,5,1)等距离的点.解所求点在yOz 面上,不妨设为P(0,y,z),点P 与三点A,B,C等距离,PA32 ( y1)2(z 2)2 ,PB 42( y 2)2(z 2)2 ,PC ( y 5)2( z 1)2 .由 PAPBPC 知,32( y 1)2( z 2)242( y 2) 2( z 2)2( y 5) 2 ( z 1) 2 ,即解上述方程组,得 y=1, z =-2.故所求点坐标为( 0,1, -2).14.试证明以三点 A (4, 1, 9), B (10,-1,6),C ( 2, 4,3)为顶点的三角形是等腰直角三角形 .证 由AB(104)2( 1 1)2(6 9)27,AC(2BC(2 4)2 10)2(4 1) 2 (4 1)2(3 9)27,(3 6)298 7 2知 AB2AC 及 BC2AB AC 2.故△ ABC 为等腰直角三角形.15. 设已知两点为 M 1(4, 2 ,1),M 2(3,0,2),计算向量的模、方向余弦和方向角 .M 1M 2解 向量M 1M 2=(3-4, 0-2 , 2-1) =(-1,- 2 , -1),其模M 1M 2( -1)2( - 2)2124 2 .其方向余弦分9 ( y 1) 2 ( z 2) 2 16 ( y 2) 2 ( z 2)2, 9 ( y 1) 2( z 2) 2( y 5) 2( z 1)2.别为 cos =- 1 , c os =-22 1,cos = .22方向角分别为2 ,3 , .3 4316. 设向量的方向余弦分别满足( 1)cos =0;(2)cos =1;( 3)cos =cos=0,问这些向量与坐标轴或坐标面的关系如何?解 (1)由 cos =0 得知 ,故向量与 x 轴垂直,平行于2yOz 面.(2) 由 cos =1 得知=0,故向量与 y 轴同向,垂直于 xOz 面.(3) 由 cos =cos =0 知,故向量垂直于 x 轴和 y 轴,2即与 z 轴平行,垂直于 xOy 面.17. 设向量 r 的模是 4,它与 u 轴的夹角为,求 r 在 u 轴上的投影 .31解 已知|r |=4 ,则 Prj u r=| r |cos=4?cos 3=4× 2=2.18. 一向量的终点在点 B (2,-1,7),它在 x 轴、y 轴和 z 轴上的投影依次为 4, -4 和 7,求这向量的起点 A 的坐标.解 设 A 点坐标为( x ,y , z ),则AB =( 2-x ,-1-y ,7-z ),由题意知2-x=4,-1-y=-4,7-z=7,故 x=-2,y=3,z=0,因此 A 点坐标为( -2, -3, 0).19. 设 m =3i +4j +8k ,n =2i -4j -7k 和 p =5i +j -4k . 求向量 a =4m +3n -p 在 x 轴上的投影及在y 轴上的分向量.解a=4m+3n-p=4(3i+5j+8k)+3(2i-4j-7k)-(5i+j-4k)=13i+7j+15k,a 在x 轴上的投影为13,在y 轴上的分向量为7j.21. 设a3i j 2k,b i 2 j k ,求(1) a 余弦.b 及a b ;(2)( - 2a )3b 及a 2b ;(3) a ,b 的夹角的解 ( 1) ab (3,- 1,- 2)(1,2,- 1)3ij k1 ( - 1)2 ( - 2)( - 1) 3,a b 31 122 =(5,1,7) . 1(2) (2a) 3b 6(a b) 6 3 18a 2b 2(a b) 2(5,1,7) a b (10,2,14)3(3 cos(a,b)a b3 32( 31)2( 2)21222( 1)214 62 212. 设 a, b ,c 为单位向量,满足a b c 0,求a b b c c a.解 已知 ab c 1, a b c 0,故( ab c )( a b c ) 0 .2 2即 abc2a b 2b c 2c a0.因此a b b c c a1 22 ( a b 22 3 c ) - 23.已知 M 1( 1,-1,2),M 2( 3,3,1)M 3( 3,1,3).求与同时垂直的单位向量 .M 1M 2 , M 2 M 3解M 1M 2 =( 3-1,3-(-1),1-2) =(2,4, -1)M 2 M 3=(3-3,1-3,3-1)=(0,-2,2)由于M 1M 2取为M2M3与M 1M 2, M 2M 3 同时垂直,故所求向量可a (M 1M 2M 2M 3),M 1M 2M 2M 3由M 1M 2iM 2M 3= 2j k4 1 =(6,-4,-4),2 2M1M 2知a M 2 M 3 61(6, 4, 4)( 4)2 ((3,4)22,682).2 172 17 17 17 174.设质量为100kg 的物体从点M1(3,1,8)沿直线移动到点M2(1,4,2),计算重力所作的功(坐标系长度单位为m,重力方向为z 轴负方向).解M 1M 2 =(1-3,4-1,2-8)=(-2,3,-6)F=(0,0,-100×9.8)=(0,0,-980)W=F?M 1M 2 =(0,0,-980)?(-2,3 ,-6 )=588(0 J).5.在杠杆上支点O的一侧与点O的距离为x1 的点P1 处,有一与OP1成角1的力F1 作用着;在O的另一侧与点O的距离为x2 的点P2 处,有一与OP2成角 2 的力F2 作用着(图8-6 ),问 1 ,2 ,x1,x2,F1 , F2符合怎样的条件才能使杠杆保持平衡?解如图8-6 ,已知有固定转轴的物体的平衡条件是力矩的代数和为零,又由对力矩正负符号的规定可得杠杆保持平衡的条件为2F1即F1x1sin 1x1sin 1F2 x2F2 x2sinsin20 ,2.6.求向量a(4,- 3,4)在向量b (2,2,1)上的投影.a b ( 4, 3,4) (2,2,1) 6 解Pr j b ab 2 .22 22 12 37.设a(3,5, 2),b (2,1,4) ,问与有怎样的关系,能使a b与z 轴垂直?解 a b = (3,5 ,-2 )+ (2,1,4 )=(3 2 ,5 , 2 4 ).要 a b与z 轴垂直,即要( a b )(0,0,1 ),即( a b)?(0,0,1 )=0,亦即(3 2 ,5 , 2 4 )?(0,0,1 )=0,故( 2 4 )=0,因此 2 时能使 a b与z 轴垂直. 8.试用向量证明直径所对的圆周角是直角.证如图8-7 ,设AB是圆O的直径,C点在圆周上,要证∠ACB= ,2 只要证明AC BC 0 即可. 由AC BC =( AO OC) ( BO OC)= AOBO AO OC 2OC BO OC2=AO AO OC AO OC 2OC0 .故 ACBC , ∠ACB 为直角.9.已知向量 a 2i 3 j k, b ij 3k 和c i 2 j ,计算:(1) (ab)c (a c)b (2)(a b) (b c)(3)(ab) c解 (1)(a b)c (a c)b 8(1, 2,0) 8(1, 1,3) (0, 8, 24)8i 24k .(2) ab =(2,-3,1 )+(1,-1,3 )=(3,-4,4 ),b c =( 1, -1,3 ) +( 1, -2,0 ) =( 2, -3,3 ),ij k(a b) (b c) 34 4 (0, 1, 1) j k .23 3ab (2, 3,1) (1, 1,3) 8,a c (2, 3,1) (1, 2,0) 8,(3)(a b) c 211312132.10. 已知OA i 3k,OB j 3k ,求△OAB的面积.解由向量积的几何意义知S△OAB=12OA OB ,OA OB ( 3) 2( 3)2 1 19 S △OAB 19 211. 已知a( a x , a y , a z ), b(b x ,b y , b z ), c(c x , c y ,c z ) ,试利用行列式的性质证明:(a b) c (b c) a (c a) b证因为(a b) c a xb xc xa yb yc ya zb z , (bc zc) ab xc xa xb yc ya yb zc za z(c a) b c xa xb xc ya yb yc za z ,b zi j kOA OB 1 0 3 ( 3, 3,1) ,0 1 3而由行列式的性质知aabb2 2 a x a y a z b x b y b z c x c yc zb x b yc xc ya x a yb zc x c z = a x a z b xc yc z a y a z , 故b yb z(a b) c (b c) a (c a) b .12. 试用向量证明不等式:2 2 2 2 123123a 1b 1 a 2b2a 3b 3 ,其中 a 1, a 2 ,a 3 , b 1, b 2 ,b 3 为任意实数 . 并指出等号成立的条件.证 设向量 a ( a 1 , a 2 , a 3 ), b ( b 1, b 2 ,b 3 ). 由ab a b cos(a,b) a b ,从而a 1b 1 a 2b 2 a 3b 3 22a 1a 2a 1 222 a 3b 1b 2a 2 a 32b 3 ,当 a 1, a 2 , a 3与 b 1, b 2 ,b 3 成比例,即b 1b 2时,上述等式成立.b 3ab1. 求过点( 3,0,-1)且与平面 3x 7 y 程.解所求平面与已知平面3x 7 y 5z 125z 12 0 平行的平面方0 平行.因此所求平面的法向量可取为 n=(3,-7,5),设所求平面为3x 7 y 5z D 0.将点( 3,0, -1)代入上式得 D=-4.故所求平面方程为3x 7 y 5z 4 0 .2. 求过点 M 0( 2,9, -6)且与连接坐标原点及点 M 0 的线段 OM 0 垂直的平面方程 .解OM 0(2,9, 6).所求平面与 OM 0 垂直,可取 n= OM 0 ,设所求平面方程为2x 9 y6z D 0.将点 M 0( 2,9, -6)代入上式得 D=-121.故所求平面方程为2x 9 y 6z 121 0.3. 求过( 1,1, -1),(-2, -2, 2)和( 1,-1,2)三点的平面方程 .x 1y 1 z 10 ,得 x 3 y 2z 0 ,即为所求平面方程 .注 设 M ( x ,y,z )为平面上任意一点, M i( x i , y i , z i )(i1,2,3) 为平面上已知点 .由M 1M(M 1M 2 M 1M 3) 0, 即解 由2 1 2 1 2 11 11 12 1x x 1 x 2 x 1 x 3 x 1 y y 1 y 2 y 1 y 3 y 1 z z 1z 2 z 1 0, z 3 z 1它就表示过已知三点 M i ( i =1,2,3)的平面方程 . 4. 指出下列各平面的特殊位置,并画出各平面: (1)x=0; (2) 3y-1=0; (3)2x-3y-6=0; (4) x -3y=0;(5)y+z=1; ( 6)x-2z=0;(7)6x+5y-z=0.解 ( 1)—( 7)的平面分别如图 8— 8(a )—( g ) . (1)x=0 表示 yOz 坐标面.(2)3y-1=0 表示过点( 0, 1,0)且与 y 轴垂直的平面 .3(3)2x-3y-6=0 表示与 z 轴平行的平面 . (4)x-3y=0 表示过 z 轴的平面 .(5)y+z=1表示平行于 x 轴的平面 . (6)x-2z=0 表示过 y 轴的平面 . (7)6x+5y-z=0表示过原点的平面 .5. 求平面2x 2y z 5 0与各坐标面的夹角的余弦.解平面的法向量为n=(2,-2,1),设平面与三个坐标面xOy,yOz,zOx的夹角分别为1, 2 , 3 .则根据平面的方向余弦知cos cos n k (2, 2,1) (0,0,1) 1 ,n k 22( 2)212 1 3cos 2cos n i ( 2,n i2,1)3(1,0,0) 2,1 3cos 3cos n j ( 2,n j2,1)3( 0,1,0) 2.1 36. 一平面过点(1,0,-1)且平行于向量a试求这个平面方程.(2,1,1) 和b (1, 1,0) ,解所求平面平行于向量 a 和b,可取平面的法向量i j kn a b 2 1 1 (1,1, 3) .1 1 01故所求平面为1 ( x 1) 1 ( y 0) 3( z 1) 0,即x y 3z 4 0 .7. 求三平面x 3y交点.z 1,2x y z 0, x 2 y 2z 3的解联立三平面方程x 3y 2x y x 2y z 1,z 0,2z 3.解此方程组得x 1, y 1, z 3.故所求交点为(1,-1,3). 8. 分别按下列条件求平面方程:(1)平行于xOz面且经过点(2,-5,3);(2)通过z 轴和点(-3,1,-2);(3)平行于x 轴且经过两点(4,0,-2)和(5,1,7).解(1 )所求平面平行于xOz 面,故设所求平面方程为By D 0.将点(2,-5,3)代入,得5B D 0,即D 5B.因此所求平面方程为By 5B 0,即y 5 0.(2)所求平面过z 轴,故设所求平面为Ax By 0 .将点(-3,1,-2)代入,得3A B 0,即B 3A.因此所求平面方程为Ax 3Ay 0 ,即x 3y 0.(3)所求平面平行于x 轴,故设所求平面方程为By Cz D 0. 将点(4,0,-2)及(5,1,7)分别代入方程得2C D 0 及C D, B2B 7CD 0.9D .2因此,所求平面方程为9 Dy 2 Dz D 0 ,2即9 y z 2 0.9. 求点(1,2,1)到平面x 2 y 2z 10 0 的距离.解利用点的距离公式M 0 ( x0 , y o , z o ) 到平面Ax By Cz D 0dAx0By0Cz0 DA2 B 2 C 21 2 2 2 1 10 3 1.12 22 22 3x 3 y1. 求过点(4,-1,3)且平行于直线2 1 z 1的直线方程. 5解所求直线与已知直线平行,故所求直线的方向向量s (2,1,5),直线方程即为x 4 y 1 z 3.2 1 52. 求过两点M 1(3, 2,1) 和M 2 ( 1,0,2) 的直线方程.解取所求直线的方向向量s M 1M 2( 1 3,0 ( 2),2 1) ( 4,2,1) ,因此所求直线方程为x 3 y 2 z 1.4 2 13. 用对称式方程及参数方程表示直线x y 2 x y z 1, z 4.解根据题意可知已知直线的方向向量i j ks 1 1 1 ( 2,1,3).2 1 1取x=0,代入直线方程得y z 1,y z 4.3 5解得y3, z25.这2样就得到直线经过的一点(0, ,2 ).因此直线的对称式方程为2参数方程为3 5 x 0 y 2 z 22 1 3x 2t ,y3t ,2z 53t.2注由于所取的直线上的点可以不同,因此所得到的直线对称式方程或参数方程得表达式也可以是不同的.4. 求过点(2,0,-3)且与直线x 2 y 3x 5 y 4z 7 0, 2z 1 0垂直的平面方程.解根据题意,所求平面的法向量可取已知直线的方向向量,即i j n s 1 23 5 k4 ( 16,14,11), 2故所求平面方程为16( x16x 2)14y 14( y 0)11z 6511(z 3)0.0.即5 x 5. 求直线3x 3y 3z 92 y z 10, 2 x 2 y与直线0 3x 8 yz 23 0,z 18 0的夹角的余弦..解 两已知直线的方向向量分别为i s 15 3j k3 3 (3,4, 2 11), s 2 i j k 2 2 1 3 81(10,5,10),因此,两直线的夹角的余弦cos(cos s 1 , s 2 )s 1 s 2 s 1 s 23 1045 1 100.32x 2 y 42( 1) 2 102( z 7, 3x 5)21026 y 3z 8, 6. 证明直线2x y 与直线z 7平2x y z 0行.证 已知直线的方向向量分别是i j s 11 22 1ki 1 (3,1,5), s 2 3 12j k 6 3 ( 119, 3,15),由 s 23s 1知两直线互相平行 .7. 求过点(0,2,4)且与两平面 x 方程.2 z 1和 y 3z 2平行的直线解 所求直线与已知的两个平面平行, 因此所求直线的方向向量可取i j ks n1n2 1 0 2 ( 2,3,1),0 1 3故所求直线方程为x 0 2 y 2 z 4.3 1注本题也可以这样解:由于所求直线与已知的两个平面平行,则可视所求直线是分别与已知平面平行的两平面的交线,不妨设所求直线为x 2z a,y 3z b.将点(0,2,4)代入上式,得 a 8, b10.故所求直线为x 2z 8,y 3z8. 求过点(3,1,-2)且通过直线解利用平面束方程,过直线的平面方程. 的平面束方程为x 4 y 3 5 2 (y 3z) 0, 2将点(3,1,-2)代入上式得11 .因此所求平面方程为20x 4 y 3 5 2 11(y 3z) 0, 20 210.x 4 y 3 z5x 4 y231z5 2 1即9. 求直线8x 9yx y 3z22z 59 0.0,与平面x y z 1 0的夹角. x y z 0i解已知直线的方向向量s 11 j k1 3 ( 2,4,1 12), 平面的法向量n(1, 1, 1).设直线与平面的夹角为, 则sin cos(n, s) s n 2 1 4 ( 1) ( 2) ( 1)0,即0.s n 2242 ( 2)2 12( 1)2 ( 1)2 10. 试确定下列各组中的直线和平面间的关系;x 3 y 4 (1)2 7x y z z和4x 2 y32z 3 ;(2)3和3x 2y2 77z 8;(3)x 23 y 2 z13和x4y z 3.解设直线的方向向量为s,平面的法向量为n ,直线与平面的夹角为, 且sin cos(n, s) s n. s n(1)s ( 2, 7,3), n(4, 2, 2),sin(( 2) 22) 4 ( 7)( 7)2 32( 2)423 ( 2)( 2)2 (0,2)2则0.故直线平行于平面或在平面上,现将直线上的点A(-3,-4,0)代入平面方程,方程不成立.故点A 不在平面上,因此直线不在平面上,直线与平面平行.(2)s(3, 2,7), n(3, 2,7), 由于s n 或sin332 (3 ( 2)2)2 72( 2)327 71,( 2)2 72知,故直线与平面垂直.2(3)s(3,1, 4), n (1,1,1), 由于s n 0或sin 3 1 1 1 ( 4) 1 0,32 12 ( 4)212 12 12知0, 将直线上的点A(2,-2,3)代入平面方程,方程成立,即点A 在平面上.故直线在平面上.11.求过点(1,2,1)而与两直线x 2 y x yz 1 0,和z 1 02 x yx yz 0,z 0平行的平面的方程.解两直线的方向向量为i s1 11 j k2 1 (1,1 1i2, 3), s2 21j k1 1 (0, 1,1 11),i 取n s1s2 1 j k2 3 (1,1, 1),0 1 1则过点(1,2,1),以n 为法向量的平面方程为1 ( x 即1) 1 ( y 2)x y z 0.1 ( z 1) 0,12.求点(-1,2,0)在平面x 2y z 1 0上的投影.解作过已知点且与已知平面垂直的直线.该直线与平面的交点即为所求.根据题意,过点(-1,2,0)与平面x 2y z 1 0垂直的直线为x 1 y 2 1 2 z 0,1将它化为参数方程x 1t , y 22t, z t ,代入平面方程得1 t 2(2 2t )( t ) 1 0,2整理得t .从而所求点(-1,2,0)在平面x 2y3z 1 0 上的投影为(5,2,2).3 3 3x y z 1 0,13.求点P(3,-1,2)到直线2x y z 4 0的距离.i 解直线的方向向量s 12 j k1 1 (0, 3,1 13).在直线上取点(1,-2,0),这样,直线的方程可表示成参数方程形式x 1, y 2 3t ,z3t. (1)又,过点P(3,-1,2),以s (0, 3, 3) 为法向量的平面方程为3( y 1) 3( z 2) 0,即y z 1 0. (2)1将式(1)代入式(2)得t ,于是直线与平面的交点为(1,2 1,3),2 2故所求距离为d (3 1)2( 1 1)22(23)223 2.214. 设M0 是直线L 外一点,M 是直线L 上任意一点,且直线的方向向量为s,试证:点M0到直线L 的距离M 0M sd .s证如图8-9,点M0 到直线L 的距离为 d.由向量积的几何意义知M 0M s 表示以M 0M ,s为邻边的平行四边形的面积.而M 0Ms s表示以s 为边长的该平面四边形的高,即为点M 0 到直线L的距离.于是M 0M sd .s15. 求直线2 x 4 y z3x y 2z0,在平面4x9 0y z 1上的投影直线的方程.解作过已知直线的平面束,在该平面束中找出与已知平面垂直的平面,该平面与已知平面的交线即为所求.设过直线2x 4 y z3x y 2z0,的平面束方程为9 02x 4y z (3x y 2z 9) 0,经整理得(2由(2 313 3 )x ( 4) 4 ( 4) y (1 2 ) z 9 0.) ( 1) (1 2 ) 1 0,得.代入平面束方程,得1117x 因此所求投影直线的方程为17x 31y31y37z37z117 0.117 0,4x y z 1.16. 画出下列各平面所围成的立体的图形.(1)x 0, y 0, z 0, x 2, y 1,3x 4 y 2z 12 0;(2)x0, z 0, x 1, y 2, z y .4解(1)如图8-10(a);(2)如图8-10(b).221.一球面过原点及 A ( 4,0, 0), B ( 1,3, 0)和 C (0,0, -4)三点,求球面的方程及球心的坐标和半径 .解 设所求球面的方程为( x a) 2 ( y b) 2 ( z c) 2R ,将已知点的坐标代入上式,得a2b2 c2R 2 ,(1)(a 4)2( a 1) 2b2c2(b 3) 2R 2 , c 2R 2 ,(2)(3)(3)a2b2( 4 c) 2R ,(4)联立( 1)( 2)得a2, 联立( 1)(4)得 c 2, 将a 2代入(2)( 3)并联立得 b=1,故 R=3.因此所求球面方程为( x 2)2 ( y 1) 2 ( z 2) 29,其中球心坐标为(2,1, 2), 半径为 3.2. 建立以点( 1,3, -2)为球心,且通过坐标原点的球面方程 .解 设以点( 1,3, -2)为球心, R 为半径的球面方程为( x 球面经过原点,故R2从而所求球面方程为1) 2(0 ( x ( y 3) 2 ( z 2) 2 R 2,3. 方 程x2y2z22 x 4 y 2 z 0表示什么曲面?解 将已知方程整理成( x 1)2 ( y 2)2 ( z 1) 2 ( 6) 2,1)2 ( 0 3) 2 (0 2) 214, 1) 2 ( y 3) 2 ( z 2) 2 14.所以此方程表示以(1,-2,-1)为球心,以 6 为半径的球面. 4. 求与坐标原点O 及点(2,3,4)的距离之比为1:2 的点的全体所组成的曲面的方程,它表示怎样的曲面?解设动点坐标为(x, y, z),根据题意有1,2( x 2)2 ( y 32 4 1)2( z4)232(229)2 .3它表示以(, 1,3)为球心,以29为半径的球面.3 325. 将xOz坐标面上的抛物线转曲面的方程.z 5x绕x 轴旋转一周,求所生成的旋解以y2 z2 代替抛物线方程z25x中的z,得( y2z2 ) 2 5x,即y2z25x.注xOz 面上的曲线F ( x, z) 0 绕x 轴旋转一周所生成的旋转曲面方程为F ( x, y2 z2 ) 0.6. 将xOz坐标面上的圆转曲面的方程.x2 z2 9 绕z 轴旋转一周,求所生成的旋解以x2 y2 代替圆方程x2 z2 9 中的x ,得( 即x2 x2y2 )2z29, y2 z2 9.( x 0)2( y 0)2( z 0)2化简整理得( x 2)2( y 3)2( z 4)2x z 7. 将 xOy 坐标面上的双曲线4x29 y236分别绕 x 轴及 y 轴旋转一周,求所生成的旋转曲面的方程 .解 以y2z2代替双曲线方程4x 29 y 236中的 y ,得该双曲线绕 x 轴旋转一周而生成的旋转曲面方程为4 x 2即4 x2229(9( y2y2z 2 z 2 )2)236.236, 以x z 代替双曲线方程 4x9 y36 中的 x ,得该双曲线绕 y 轴旋转一周而生成的旋转曲面方程为4(即4( x2x2z 2 ) z 2 )29 y29 y 236. 36,8. 画出下列各方程所表示的曲面:(1) ( x a ) 2 y 2 ( a ) 2;(2)x 2y 21;(3) 2 2 21; 2(4)y2 z 0;49( 5) z2 x 2 .9 4解 (1)如图 8-11(a ); (2)如图 8-11( b ); ( 3)如图 8-11(c );(4)如图 8-11(d ); ( 5)如图 8-11( e ).22229. 指出下列方程在平面解析几何中和在空间解析几何中分别表示什么图形: (1) x2;( 2) yx 1;(3) x2y24;( 4) x y1.解 ( 1) x2 在平面解析几何中表示平行于y 轴的一条直线,在空间解析几何中表示与 yOz 面平行的平面 .(2) yx 1在平面解析几何中表示斜率为1, y 轴截距也为 1 的一条直线,在空间解析几何中表示平行于 z 轴的平面 .(3) x2y24在平面解析几何中表示圆心在原点,半径为2 的圆,在空间解析几何中表示母线平行于 z 轴,准线为的圆柱面.x 2 y 2 4, z 0(4) xy1在平面解析几何中表示以 x 轴为实轴, y 轴为虚轴的双曲线,在空间解析几何中表示母线平行于z 轴,准线为y 12y z 2x2y2z 01,的双曲柱面 .10. 说明下列旋转曲面是怎样形成的:(1)x4221; 99( 2) 2x2z21;4(3) x2y2z 2 1; ( 4) ( z a) 2x 2 y 2.x 2y 2z 2x 2y2解( 1)1表示 xOy 面上的椭圆 1绕 x499 49x 2z2轴旋转一周而生成的旋转曲面,或表示 xOz 面的椭圆绕 49x 轴旋转一周而生成的旋转曲面 .(2) x2yz241表示 xOy 面上的双曲线 2y2x4y 21绕 y 轴 旋转一周而生成的旋转曲面, 或表示 yOz 面的双曲线绕 y 轴旋转一周而生成的旋转曲面 .z214(3) xy2z21表示 xOy 面上的双曲线 x2y 21绕 x 轴旋转一周而生成的旋转曲面,或表示 xOz 面的双曲线x 轴旋转一周而生成的旋转曲面 .x2z21绕(4) ( za) 2x 2y 表示 xOz 面上的直线 z x a 或zx a 绕 z 轴旋转一周而生成的旋转曲面,或表示 yOz 面的直线zy a 或 zy a 绕 z 轴旋转一周而生成的旋转曲面.11. 画出下列方程所表示的曲面:222(1) 4x2y2z24;(2) x 2y 2 4 z 24;z x2y2(3).34 9解 (1)如图 8-12(a ); (2)如图 8-12( b ); ( 3)如图 8-12(c );12. 画出下列各曲面所围立体的图形:(1) z卦限内); 0, z 3, x y 0, x 3y 0, x2y21(在第一(2)x 限内) .0, y 0, z 0, x 2 y 2R 2, y 2 z 2R (在第一卦解 ( 1)如图 8-13 所示;( 2)如图 8-14 所示.2 1. 画出下列曲线在第一卦限内的图形;(1)x 1, y 2;z(2)x 4 x 2 y 0;y 2,x 2 ( 3)x2y 2a 2, z2a 2.解 ( 1)如图 8-15( a );( 2)如图 8-15( b );( 3)如图 8-15( c ) .2. 指出下列方程组在平面解析几何中与在空间解析几何中分别表示什么图形:y5x 1,x2y21,(1)y 2 x 3;y 5x 1, ( 2)4 9 y 3.解 ( 1)y 2 x 3在平面解析几何中表示两直线的交点 .在空间解析几何中表示两平面的交线,即空间直线.x2(2) 4y 1,9在平面解析几何中表示椭圆x2y2与 y 34 9其切线y 3 的交点,即切点.在空间解析几何中表示椭圆柱面x2y21与其切平面 y 3的交线,即空间直线.4 913. 分别求母线平行于x 轴及y 轴而且通过曲线的柱面方程. 2x2x2y2 z2z2 y216,2x2解在x2y2 z2z2 y216,中消去x,得3 y2z216,即为母线平行于x 轴且通过已知曲线的柱面方程.2x2在x2y 2 z2z2 y216,中消去y,得3x2 2 z216,即为母线平行于y 轴且通过已知曲线多的柱面方程.4. 求球面x2y2 z2 9 与平面x z1的交线在xOy 面上的投影的方程.解在x2 y2 z2x z 1 9,中消去z,得x2 y2 (1 x) 29, 即2 x2x y28,它表示母线平行于z 轴的柱面,故交线在xOy 面上的投影的方程. 2x22x y2z 08,表示已知5. 将下列曲线的一般方程化为参数方程:x2 y2 (1)y x; z2 9,(2)( xz1) 20.y2( z 1)24,2解(1)将y x代入x2y2 z2 9, 得2x2z29,3取x cos t, 则z23sint,从而可得该曲线的参数方程x 3cost , 2y 3cost, (02t 2 )z 3sin t(2)将z=0 代入( x1) 2y2( z 1) 24,得( x 1)2y23,取x 1 3 c ost, 则y 3 s in t, 从而可得该曲线的参数方程x 1 3cost,y 3 sint,z 0(0 t 2 )6. 求螺旋线方程. x acosy asinz b,, 在三个坐标面上的投影曲线的直角坐标解由x acos , y asin 得x2 y2a2, 故该螺旋线在xOy 面上的投影曲线的直角坐标方程为x2 y2z 0a2,由y asin , z b 得y asin z,故该螺旋线在yOz面上b的投影曲线的直角坐标方程为y a sinz,b x 0由x acos , z b 得x a cos z,故故该螺旋线在yOz 面b上的投影曲线的直角坐标方程为x acosz,b y 0.7. 求上半球0 z a2 x2 y2与圆柱体x2y2ax(a >0 )的公共部分在xOy 面和xOz面上的投影.解如图8-16.所求立体在xOy 面上的投影即为x2y2ax ,而由z a2 x2x2 y2 axy2 ,得z a2 ax. 故所求立体在xOz 面上的投影为由x 轴,z 轴及曲线z a2ax 所围成的区域.8. 求旋转抛物面z x2y2( 0 z 4) 在三坐标面上的投影22 2解联立面上的投影为z x2z 4x2 y2y,得x24,y2 4.故旋转抛物面在xOy如图8-17.z 0.联立z xx 0 y2,得z y2 , 故旋转抛物面在yOz 面上的投影为z y 及z4所围成的区域.z x2同理,联立y 0 y2 ,得z x2, 故旋转抛物面在xOz面上的投影为z x 及z4所围成的区域.2。