数学分析习题及答案
- 格式:pdf
- 大小:4.53 MB
- 文档页数:11
数学分析课后习题答案【篇一:数学分析试卷及答案6套】>一. (8分)用数列极限的??n定义证明?1.n二. (8分)设有复合函数f[g(x)], 满足: (1) limg(x)?b;x?a(2) ?x?u(a),有g(x)?u(b) (3) limf(u)?au?b00用???定义证明, limf[g(x)]?a.x?a三. (10分)证明数列{xn}:xn?cos1cos2cosn????收敛. 1?22?3n?(n?1)1在[a,1](0?a?1)一致连续,在(0,1]不一致连续. x四. (12分)证明函数f(x)?五. (12分)叙述闭区间套定理并以此证明闭区间上连续函数必有界.六. (10分)证明任一齐次多项式至少存在一个实数零点. 七. (12分)确定a,b使limax?b)?0.x???32八. (14分)求函数f(x)?2x?9x?12x在[?15,]的最大值与最小值. 42九. (14分)设函数f(x)在[a,b]二阶可导, f?(a)?f?(b)?0.证明存在??(a,b),使f??(?)?4f(b)?f(a). 2(b?a)数学分析-1样题(二)一. (10分)设数列{an}满足: a1?, an?1?(n?n), 其中a是一给定的正常数, 证明{an}收敛,并求其极限.二. (10分)设limf(x)?b?0, 用???定义证明limx?x0x?x011?. f(x)b三. (10分)设an?0,且liman?l?1, 证明liman?0.n??n??an?1四. (10分)证明函数f(x)在开区间(a,b)一致连续?f(x)在(a,b)连续,且 x?a?limf(x),limf(x)存在有限. ?x?b五. (12分)叙述确界定理并以此证明闭区间连续函数的零点定理.六. (12分)证明:若函数在连续,且f(a)?0,而函数[f(x)]2在a可导,则函数f(x)在a可导. 七. (12分)求函数f(x)?x???x???1在的最大值,其中0???1.八. (12分)设f在上是凸函数,且在(a,b)可微,则对任意x1,x2?(a,b), x1?x2,都有f?(x1)?f?(x2).?g(x),??????x?0?九. (12分)设f(x)??x 且g(0)?g?(0)?0, g??(0)?3, 求f?(0).??0???????,??????x?0数学分析-2样题(一)一.(各5分,共20分)求下列不定积分与定积分: 1. 3.?xarctanx?dx2.?edx4.?x?ln0??xsinx1?cosx二.(10分)设f(x)是上的非负连续函数, 三. (10分)证明?baf(x)dx?0.证明f(x)?0 (x?[a,b]).?2?sinx?0. x四. (15分)证明函数级数?(1?x)xn?0?n在不一致收敛, 在[0,?](其中)一致收敛.五. (10分)将函数f(x)?????x,????????x?0展成傅立叶级数.???x,??????0?x???22xy??????x?y?0?六. (10分)设f(x,y)???22???????????0,???????????????????x?y?0证明: (1) fx?(0,0), fy?(0,0)存在;(2) fx?(x,y),fy?(x,y)在(0,0)不连续; (3) f(x,y)在(0,0)可微.七. (10分)用钢板制造容积为v的无盖长方形水箱,怎样选择水箱的长、宽、高才最省钢板? 八. (15分)设0???1, 证明11. ????n?1n(n?1)数学分析-2样题(二)?一. (各5分,共20分)求下列不定积分与定积分:1.???(a?0)2.?x?xx?x100?8717121514dx3.?arcsinx??dx4.?二. (各5分,共10分)求下列数列与函数极限: 1. limn?22n??k?1n?kn2. limxx?01?ex?xetdt2三.(10分)设函数在[a,b]连续,对任意[a,b]上的连续函数g(x), g(a)?g(b)?0,有?baf(x)g(x)dx?0.证明f(x)?0 (x?[a,b]).四. (15分)定义[0,1]上的函数列1?22nx,?????????????????????x??2n?11?fn(x)??2n??2n2x?????????????x?2nn?1? ????????????????????????????x?1?n?证明{fn(x)}在[0,1]不一致收敛. 五. (10分)求幂级数?(n?1)xn?0?n的和函数.六. (10分)用???定义证明(x,y)?(2,1)lim(4x2?3y)?19.七. (12分)求函数u?(2ax?x2)(2by?y2)??(ab?0)的极值. 八. (13分)设正项级数数学分析-3样题(一)一 (10分) 证明方程f(x?zy?1, y?zx?1)?0所确定的隐函数z?z(x, y)满足方程?an?1?n收敛,且an?an?1???(n?n?).证明limnan?0.n??x?z?z?y?z?xy. ?x?y二 (10分) 设n个正数x1, x2, ?, xn之和是a,求函数u?三 (14分) 设无穷积分.???af(x) dx收敛,函数f(x)在[a, ??)单调,证明1x四 (10分) 求函数f(y)?五 (14分) 计算?1ln(x2?y2) dx的导数(y?0).sinbx?sinaxdx (p?0, b?a).0x六 (10分) 求半径为a的球面的面积s.i????e?px七 (10分) 求六个平面a1b1c1 ?a1x?b1y?c1z??h1 ,??a2x?b2y?c2z??h2 , ?=a2b2c2?0 , ?ax?by?cz??h ,a3b3c3333?3所围的平行六面体v的体积i,其中ai, bi, ci, hi都是常数,且hi?0 (i?1, 2, 3). 八 (12分) 求xdy?ydx??cx2?y2,其中c是光滑的不通过原点的正向闭曲线.九 (10分) 求ds2222?,其中是球面被平面z?h (0?h?a)所截的顶部. x?y?z?a??z?数学分析-3样题(二)一 (10分) 求曲面x?u?v, y?u2?v2, z?u3?v3在点(0, 2)对应曲面上的点的切平面与法线方程.二 (10分) 求在两个曲面x2?xy?y2?z2?1与x2?y2?1交线上到原点最近的点. 三(14分) 设函数f(x)在[1, ??)单调减少,且limf(x)?0,证明无穷积分x??????1f(x) dx与级数?f(n)同时收敛或同时发散.n?1??100四 (12分) 证明?e?ax?e?bxbdx?ln(0?a?b). xa五 (12分) 设函数f(x)在[a, a]连续,证明? x?[a, a],有1xlim ?[f(t?h)?f(t)] dt?f(x)?f(a).ah?0h六 (10分) 求椭圆区域r: (a1x?b1y?c1)2?(a2x?b2y?c2)2?1(a1b2?a2b1?0)的面积a.七 (10分) 设f(t)????vf(x2?y2?z2) dx dy dz,其中v: x2?y2?z2? t2 (t?0),f是连续函数,求f(t).八 (10分) 应用曲线积分求(2x?siny)dx?(xcosy)dy的原函数. 九(12分) 计算外侧.??xyz dx dy,其中s是球面xs2?y2?z2?1在x?0, y?0部分并取球面【篇二:数学分析三试卷及答案】lass=txt>一. 计算题(共8题,每题9分,共72分)。
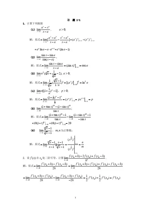
数学分析十讲习题册、课后习题答案习 题1-11.计算下列极限(1)lim xax aa xx a→--, 0;a > 解:原式lim[]x a a ax a a a x a x a x a→--=---=()|()|xa x ax aa x ==''-=1ln aa a a a a --⋅=(ln 1)aa a - (2)sin sin lim sin()x ax ax a →--; 解:原式sin sin lim x ax a x a→-=-(sin )'cos x ax a===(3)2lim 2), 0;n n a →∞>解:原式2n =20[()']x x a ==2ln a = (4)1lim [(1)1]p n n n→∞+-,0;p >解:原式111(1)1lim ()|p p p x n n nx =→∞+-'===11p x px p -==(5)10100(1tan )(1sin )lim ;sin x x x x→+--解:原式101000(1tan )1(1sin )1lim lim tan sin x x x x x x→→+---=--=99010(1)|10(1)|20t t t t ==+++=(6)1x →,,m n 为正整数;解:原式1111n x x x →-=-1111()'()'mx nx x x ===n m=2.设()f x 在x 处二阶可导,计算0002()2()()limh f x h f x f x h h →+-+-.解:原式000()()lim2h f x h f x h h →''+--=00000()()()()lim 2h f x h f x f x f x h h→''''+-+--=000000()()()()limlim 22h h f x h f x f x h f x h h →→''''+---=+-00011()()()22f x f x f x ''''''=+=3.设0a >,()0f a >,()f a '存在,计算1ln ln ()lim[]()x a x a f x f a -→.解:1ln ln ()lim[]()x a x a f x f a -→ln ()ln ()ln ln lim f x f a x ax a e --→= ln ()ln ()limln ln x a f x f a x a e→--=ln ()ln ()lim ln ln x a f x f a x ax ax ae→----='()()f a a f ae=习 题1-21.求下列极限 (1)lim x →+∞;解:原式1lim [(1)(1)]02x x x ξξ→+∞=+--= ,其中ξ在1x -与1x +之间(2)4cos(sin )cos lim sin x x xx→-; 解:原式=4sin (sin )lim x x x x ξ→--=3sin sin lim()()()x x x x x ξξξ→--⋅=16,其中ξ在x 与sin x 之间(3) lim x →+∞解:原式116611lim [(1)(1)]x x x x →+∞=+--56111lim (1)[(1)(1)]6x x x x ξ-→+∞=⋅+⋅+--5611lim (1)33x ξ-→+∞=+= ,其中ξ在11x -与11x+之间(4)211lim (arctan arctan );1n n n n →+∞-+解:原式22111lim ()11n nn n ξ→+∞=-++1=,其中其中ξ在11n +与1n之间2.设()f x 在a 处可导,()0f a >,计算11()lim ()nn n n f a f a →∞⎡⎤+⎢⎥-⎣⎦. 解:原式1111(ln ()ln ())lim (ln ()ln ())lim n n f a f a n f a f a n nn nn e e→∞+--+--→∞==11ln ()ln ()ln ()ln ()[lim lim ]11n n f a f a f a f a n n n ne→∞→∞+---+-=()()2()()()()f a f a f a f a f a f a ee'''+==习 题1-31.求下列极限(1)0(1)1lim (1)1x x x λμ→+-+-,0;μ≠解:原式0lim x x x λλμμ→== (2)0x →;解:02ln cos cos 2cos lim12x x x nxI x→-⋅⋅⋅=20ln cos ln cos 2ln cos 2lim x x x nx x →++⋅⋅⋅+=-20cos 1cos 21cos 12limx x x nx x →-+-+⋅⋅⋅+-=-22220(2)()lim x x x nx x →++⋅⋅⋅+=21ni i ==∑(3)011lim )1xx x e →--(;解:原式01lim (1)x x x e x x e →--=-201lim x x e x x →--=01lim 2x x e x →-=01lim 22x x x →==(4)112lim [(1)]xxx x x x →+∞+-;解:原式11ln(1)ln 2lim ()x x xxx x ee+→+∞=-21lim (ln(1)ln )x x x x x →+∞=+-1lim ln(1)x x x→+∞=+1lim 1x xx→+∞==2. 求下列极限(1)2221cos ln cos lim sin x x x x x e e x -→----;解:原式222201122lim 12x x xx x→+==-(2)0ln()2sin limsin(2tan 2)sin(tan 2)tan x x x e xx x x→++--; 解:原式0ln(11)2sin lim sin(2tan 2)sin(tan 2)tan x x x e x x x x →++-+=--012sin lim sin(2tan 2)sin(tan 2)tan x x x e xx x x→+-+=--02lim442x x x xx x x→++==--习 题1-41.求下列极限(1)21lim (1sin )n n n n→∞-; 解:原式2331111lim [1(())]3!n n n o n n n →∞=--+11lim((1))3!6n o →∞=+= (2)求33601lim sin x x e x x→--;解:原式3636336600()112lim lim 2x x x x x o x x e x x x →→++---===(3)21lim[ln(1)]x x xx→∞-+;解:原式222111lim[(())]2x x x o x xx →∞=--+12=(4)21lim (1)x xx e x-→+∞+;解:原式211[ln(1)]2lim x x xx ee+--→∞==此题已换3.设()f x 在0x =处可导,(0)0f ≠,(0)0f '≠.若()(2)(0)af h bf h f +-在0h →时是比h 高阶的无穷小,试确定,a b 的值. 解:因为 ()(0)(0)()f h f f h o h '=++,(2)(0)2(0)()f h f f h o h '=++所以00()(2)2(0)(1)(0)(2)(0)()0lim limh h af h bf h f a b f a b f o h h h→→'+-+-+++==从而10a b +-=20a b += 解得:2,1a b ==-3.设()f x 在0x 处二阶可导,用泰勒公式求02()2()()limh f x h f x f x h h→+-+- 解:原式22220000100022''()''()()'()()2()()'()()2!2!limh f x f x f x f x h h o h f x f x f x h h o h h →+++-+-++=22201220''()()()limh f x h o h o h h →++=0''()f x =4. 设()f x 在0x =处可导,且2sin ()lim() 2.x x f x x x →+=求(0),(0)f f '和01()lim x f x x →+.解 因为220sin ()sin ()2lim()limx x x f x x xf x x x x →→+=+=[]22()(0)(0)()limx x o x x f f x o x x →'++++=2220(1(0))(0)()lim x f x f x o x x →'+++=所以 1(0)0,(0)2f f '+==,即(0)1,(0)2f f '=-= 所以01()limx f x x →+01(0)(0)()lim x f f x o x x →'+++=02()lim 2x x o x x→+==习 题1-51. 计算下列极限 (1)1n n++; ;解:原式n =2n ==(2)2212lim (1)n n n a a na a na +→∞+++⋅⋅⋅+>解:原式21lim (1)n n n n na na n a ++→∞=--2lim (1)n n na n a →∞=--21a a=-2. 设lim n n a a→∞=,求 (1) 1222lim n n a a na n →∞+++;解:原式22lim (1)n n na n n →∞=--lim 212n n na an →∞==-(2) 12lim111n nna a a →∞+++,0,1,2,,.i a i n ≠=解:由于1211111lim lim n n n na a a n a a →∞→∞+++==,所以12lim 111n nnaa a a →∞=+++3.设2lim()0n n n xx -→∞-=,求lim nn x n →∞和1lim nn n xx n-→∞-. 解:因为2lim()0nn n xx -→∞-=,所以222lim()0nn n xx -→∞-=且2121lim()0n n n xx +-→∞-=从而有stolz 定理2222lim lim022nnn n n x xx n -→∞→∞-==, 且212121lim lim 0212n n n n n x xx n ++-→∞→∞-==+所以lim 0nn x n→∞=,111lim lim lim 01n n n n n n n x x x x n n n n n --→∞→∞→∞--=-=-4.设110x q <<,其中01q <≤,并且1(1)n n n x x qx +=-,证明:1lim nn nxq→∞=.证明:因110x q<<,所以 211211(1)111(1)()24qx qx x x qx q q q+-=-≤=<,所以210x q<<,用数学归纳法易证,10nxq<<。
习 题 场论初步1.设 a 3i 20 j 15k ,对以下数目场 f ( x, y, z) ,分别计算 grad f 和 div ( fa) :1(1) (2) (3)f (x, y, z) ( x 2 y 2 z 2 ) 2 ; f (x, y, z) x 2 y 2 z 2 ; f (x, y, z) ln( x 2 y 2 z 2 ) 。
解(1) grad f3( x 2y 2 z 2 ) 2 ( xi yjzk ) ,3div ( fa)(x 2 y 2 z 2 ) 2 (3x 20 y 15z) 。
(2) grad f 2( xi yj zk ) ,div ( fa) 2(3x 20 y 15z) 。
(3) grad f 2( x 2 y 2 z 2 ) 1 (xi yj zk ) ,div ( fa) 2(x 2 y 2 z 2 ) 1 (3x 20 y 15 z) 。
2.求向量场 a x 2 i y 2 j z 2 k 穿过球面 x 2 y 2 z 2 1 在第一卦限部分 的通量,此中球面在这一部分的定向为上侧。
解 设 : x 2 y 2 z 2 1 ( x 0, y 0, z 0) ,方向取上侧,则所求通量为x 2 dydz y 2 dzdx z 2 dxdy ,因为z 2dxdy(1 x2y 2 )dxdy2d13dr ,r48xy同理可得x 2 dydzy 2dzdx,8因此x 2 dydzy 2 dzdx z 2 dxdy 3。
83.设 r xi yj zk , r | r | ,求:(1)知足 div [ f (r )r ] 0 的函数 f (r ) ; (2)知足 div[grad f (r )] 0 的函数 f (r ) 。
解(1)经计算获得( f ( r ) x)f (r ) f (r ) x2,xr( f (r ) y)f (r )f ( r )y 2 ,yr( f (r ) z)f (r ) f ( r ) z2,zr 因此。
1、平面点集{}22(,)|01E x y x y =<+<的内部为 ,边界为 . 解 {}{}222222int (,)|01,(,)|01E x y x y E x y x y x y =<+<∂=+=+=或2、平面点集11,,E n m n m ⎧⎫⎛⎫=⎨⎬ ⎪⎝⎭⎩⎭为整数的聚点集为 .解 {}11,00,(0,0)n m n m ⎧⎫⎧⎫⎛⎫⎛⎫⎨⎬⎨⎬ ⎪ ⎪⎝⎭⎝⎭⎩⎭⎩⎭ 为整数为整数3、设(,)ln 1f x y x y=--,则函数(,)f x y 的定义域为 .解(){}222,014x y xy y x <+<≤且4、设2222),(y x y x y x f +-=则00limlim (,)x y f x y →→= ,),(lim lim 00y x f x y →→= .解 222200000limlim (,)limlim lim11x y x y x x y f x y x y →→→→→-===+()222200000limlim (,)limlim lim 11y x y x x x y f x y x y →→→→→-==-=-+ 5、函数1(,)sin sin f x y x y =的间断点集为 .解(){},,,x y x k y l k l ππ==∈Z 或二、选择题1、函数f x y x y (,)=-+-1122的定义域是( D )A 、闭区域B 、开区域C 、开集D 、闭集 解 f x y x y (,)=-+-1122的定义域是(){},1,1E x y x y =≤≥E 是闭集但不具有连通性,故不是闭区域.2、函数y x z -=的定义域是( C )A 、有界开集B 、有界闭集C 、无界闭集D 、无界开集 解 y x z -=的定义域是(){}2,0E x y y x =≤≤E 是无界闭集.3、以下说法中正确的是( A ) A 、开区域必为开集 B 、闭区域必为有界闭集 C 、开集必为开区域 D 、闭集必为闭区域4、下列命题中正确的是( A )A 、如果二重极限,累次极限均存在,则它们相等;B 、如果累次极限存在,则二重极限必存在;C 、如果二重极限不存在,则累次极限也不存在;D 、如果二重极限存在,则累次极限一定存在.A 、有界点列2}{R P n ⊂必存在收敛的子列;B 、二元函数),(y x f 在D 上关于x ,y 均连续,则),(y x f 在D 上连续;C 、函数),(y x f 在有界区域D 上连续,则),(y x f 在D 上有界;D 、函数),(y x f 定义在点集2R D ⊂上,D P ∈0,且0P 是D 的孤立点,则f 在0P 处连续.三、用ε-δ定义证明22200lim 0.x y x yx y →→=+ 证明 由于当(,)(0,0)x y ≠时2222||0||22x y x y x x x y xy -≤=≤+ 故0,,(,):0|0|,0|0|,x y x y εδεδδ∀>∃=∀<-<<-<有2220||x yx x y ε-≤<+故22200lim 0.x y x yx y →→=+ 四、求下列极限1、222200lim x y x y x y →→+解 当(,)(0,0)x y ¹时2222222220x y y xx x y x y ?祝++,而200lim 0x y x →→=所以222200lim 0x y x y xy →→=+. 2、2200x y →→解因为())2222221111x y x y +==++-所以)22000lim12x x y y ==.1、设xy e z =,则z x ∂=∂ ,z y∂=∂ . 解,xy xy z zye xe x y∂∂==∂∂ 2、设000000(,)0,(,)4,(,)5x y f x y f x y f x y ''===,则000(,)limx f x x y x ∆→+∆=∆ ,000(,)lim y f x y y y∆→+∆=∆ .解 0000000000(,)(,)(,)limlim (,)4x x x f x x y f x x y f x y f x y x x∆→∆→+∆+∆-'===∆∆ 0000000000(,)(,)(,)limlim (,)5y y y f x y y f x y y f x y f x y y y∆→∆→+∆+∆-'===∆∆ 3、设ln 1x z y ⎛⎫=+ ⎪⎝⎭,则(1,1)dz = .解 21111,()11z z x x x x x y x y y y y x y y y ⎛⎫∂∂=⋅==⋅-=- ⎪∂+∂+⎝⎭++ (1,1)(1,1)11,22z z x y ∂∂∴==-∂∂ (1,1)111()222dz dx dy dx dy ∴=-=- 4、设2sin()z x y =,则dz = .解 2222cos(),cos()z zxy x y x x y x y ∂∂==∂∂ ()22222c o s ()c o s ()c o s ()2d z x y x y d x x x y d y x x y y d x x d y∴=+=+ 5、求曲面arctany z x =在点⎪⎭⎫⎝⎛4,1,1π处的切平面方程为 ,法线方程 .解 2222,x yy xz z x y x y ⅱ=-=++ 11(1,1),(1,1)22x y z z ⅱ\=-=故曲面arctan y z x =在点⎪⎭⎫⎝⎛4,1,1π处的切平面方程为11(1)(1)422z x y π-=--+-,即202x y z π-+-=法线方程为11411122z x y π---==--,即202204x y x z π+-=⎧⎪⎨--+=⎪⎩1、设),(y x f 在点(,)a b 处偏导数存在,则lim(,)(,)x f a x b f a x b x→+--0=( C )A 、(,)x f a b 'B 、(2,)x f a b 'C 、2(,)x f a b 'D 、1(,)2x f a b '解 [][]xb a f b x a f b a f b x a f x b x a f b x a f x x ),(),(),(),(lim ),(),(lim00----+=--+→→ [][]000(,)(,)(,)(,)lim (,)(,)(,)(,)lim lim (,)(,)2(,)x x x x x x f a x b f a b f a x b f a b xf a x b f a b f a x b f a b x x f a b f a b f a b →→→+----=+---=+-''=+'=2、设),(y x f 在点00(,)x y 处存在关于x 的偏导数,则00(,)(,)x y f x y x ∂=∂( A )A 、x y x f y x x f x ∆-∆+→∆),(),(lim00000 B 、xy x f y y x x f x ∆-∆+∆+→∆),(),(lim 00000C 、x y x x f x ∆∆+→∆),(lim 000D 、xy x x f y y x x f x ∆∆+-∆+∆+→∆),(),(lim 00000解 0000000(,)(,)(,)(,)limx x y f x x y f x y f x y x x∆→+∆-∂=∂∆ 3、函数f x y xy x y x y x y (,)=++≠+=⎧⎨⎪⎩⎪222222000在点(0,0)处有( D )A 、连续且偏导数存在B 、连续但偏导数不存在C 、不连续且偏导数不存在D 、不连续但偏导数存在 解 当(,)x y 沿y x =趋于(0,0)时22200001lim (,)lim (,)lim 2x x x y x f x y f x x x x →→→→===+ 当(,)x y 沿0y =趋于(0,0)时00lim (,)lim (,0)lim 00x x x y f x y f x →→→→===故00lim (,)x y f x y →→不存在,于是函数),(y x f 在点(0,0)处不连续.000(,0)(0,0)00(0,)(0,0)0l i ml i m 0,l i m l i m 0x x y x f x f f y f x x y y∆→∆→∆→∆→∆--∆--====∆∆∆∆ (,)f x y ∴在原点存在偏导数且(0,0)0,(0,0)0x y f f ''==4、在点00(,)x y 处的某邻域内偏导数存在且连续是),(y x f 在该点可微的( B ) A 、必要条件 B 、充分条件 C 、充要条件 D 、无关条件 解 P175定理25、下面命题正确的是( C )A 、若),(y x f 在00(,)x y 连续,则),(y x f 在00(,)x y 的两个偏导数存在;0000C 、若),(y x f 在00(,)x y 可微,则),(y x f 在00(,)x y 的两个偏导数存在; D 、若),(y x f 在00(,)x y 处的两个偏导数存在,则),(y x f 在00(,)x y 处可微.解 P172定理1 三、求解下列各题 1、求曲面xy z =上一点,使得曲面在该点的切平面平行于平面093=+++z y x ,并写出这切平面方程和法线方程.解 设所求的点为000(,,)x y z .由于,x y z y z x ''== 故000000(,),(,)x y z x y y z x y x ''==于是曲面xy z =在点000(,,)x y z 的切平面方程为00000()()()0y x x x yy z z -+---= 由已知切平面与平面093=+++z y x 平行,故001131y x -== 于是000003,1,3x y z x y =-=-==,故所求的点为(3,1,3)--.曲面在点(3,1,3)--的切平面方程为(3)3(1)(3)0x y z -+-+--=,即330x y z +++= 法线方程为313131x y z ++-==---,即1333y x z ++==- 2、讨论函数2222222,0(,)0,0x yx y f x y x y x y ⎧+≠⎪=+⎨⎪+=⎩在附近的连续性、偏导数的存在性及可微性.解 2221(,)(0,0)02x y x y x x y ≠≤≤+ 当时,且001lim 02x y x →→=. 2220000lim (,)lim 0(0,0)x x y y x yf x y f x y →→→→∴===+(,)f x y ∴在点(0,0)的连续.0000(,0)(0,0)00(0,)(0,0)00lim lim 0,lim lim 0x x y y f x f f y f x x y y ∆→∆→∆→∆→∆--∆--====∆∆∆∆(,)f x y ∴在点(0,0)存在偏导数且(0,0)(0,0)0x y f f ''==.[]()22223222(,)(0,0)(0,0)(0,0)x y x yf x y f f x f y z dzx yxyρ∆∆⎡⎤''∆∆--∆+∆∆-∆∆===∆+∆当(,)x y ∆∆沿y x ∆=∆趋于(0,0)时()23300222limlimlim x x y z dzx yxyρρ→∆→∆→∆→∆-∆∆===∆+∆ 当(,)x y ∆∆沿0y ∆=趋于(0,0)时()3300222limlimlim0x x y z dzx yx xyρρ→∆→∆→∆→∆-∆∆===∆∆+∆故极限()230222limx y x yxy∆→∆→∆∆∆+∆不存在,从而极限0limz dzρρ→∆-不存在,即(,)f x y 在点(0,0)不可微.1、2ln ,,32,u z x y x y u v v ===-求,.z zu v∂∂∂∂解 22ln 3z z x z y x y x u x u y u v y∂∂∂∂∂=⋅+⋅=+∂∂∂∂∂ 222l n 2z z x z y u x y x v x v y v vy∂∂∂∂∂=⋅+⋅=--∂∂∂∂∂ 2、,,x y u f y z ⎛⎫= ⎪⎝⎭求,,.u u ux y z ∂∂∂∂∂∂解 令,x y s t y z ==,则函数,,x y u f y z ⎛⎫= ⎪⎝⎭由函数(,),,x yu f s t s t y z ===复合而成,记12,u u f f s t∂∂==∂∂,则11222211,,.u u s u u s u t x u u t y f f f f x s x y y s y t y y z z t z z ∂∂∂∂∂∂∂∂∂∂∂=⋅==⋅+⋅=-+=⋅=-∂∂∂∂∂∂∂∂∂∂∂ 二、求下列函数在给定点沿给定方向的方向导数1、求22(,,)f x y z x xy z =-+在点0(1,0,1)P 沿(2,1,2)l =- 的方向导数. 解 由于l 的方向余弦为212cos ,cos ,cos 333αβγ====-==()0000()22,()1,()22x y P z P P f P x y f P xf P z'''=-==-=-==所以()000212()cos ()cos ()cos 123333x y z f f P f P f P l αβγ∂⎛⎫++⋅+-⋅-+⋅= ⎪∂⎝⎭==2 2、求u xyz =在点(5,1,2)A 处沿到点(9,4,14)B 的方向AB上的方向导数.解 由于(4,3,12)AB =,故它的方向余弦为4312cos ,cos ,cos 131313αβγ====()2,()10,()5x y Az A A f A yz f A zxf A xy '''======所以000431298()cos ()cos ()cos 10513131313x y z f f P f P f P l αβγ∂++⋅+⋅+⋅=∂==21、如果 ,则有0000(,)(,)xyyx f x y f x y ''''=. 解 如果函数(,)f x y 在点00(,)P x y 的某邻域G 内存在二个混合偏导数(,)xy f x y ''与(,)yx f x y '',并且它们在点00(,)P x y 连续,则0000(,)(,)xyyx f x y f x y ''''=. 2、设24z x y =,则2zx y ∂=∂∂ .解 2432,8z z xy xy x x y∂∂==∂∂∂ 3、二元函数xy y x y x f ++=),(在点)2,1(的泰勒公式为 .解 222221,1,0,1,0,0(2)n m n m f f f f f fy x n m x y x x y y x y+∂∂∂∂∂∂=+=+====+>∂∂∂∂∂∂∂∂22()(1,2)3,(1,2)2,(1,2)0,(1,2)1,(1,2)0,(1,2)0(2)m nm n x y xy x y x yf f f f f f n m +''''''''∴======+> (,)f x y x y x y ∴=++在点)2,1(的泰勒公式为 (,)f x y x y x y =++ 1(1,2)(1,2)(1)(1,2)(2)1!x y f f x f y ''⎡⎤=+-+-⎣⎦ 22221(1,2)(1)2(1,2)(1)(2)(1,2)(2)2!xy x y f x f x y f y ⎡⎤''''''+-+--+-⎣⎦ 53(1)2(2)(1)(x y x y =+-+-+-- 4、函数22(,)4()f x y x y x y =---在稳定点 处取得极大值,且极大值是 .解 令(,)420(,)420xy f x y x f x y y ⎧'=-=⎪⎨'=--=⎪⎩得稳定点(2,2)-.由于22(,)2,(,)0,(,)2xy xyf x y f x y f x y ''''''=-==-222(2,2)20,(2,2)0,(2,2)2,40xy x y A f B f C f B AC ''''''=-=-<=-==-=-∆=-=-<故函数22(,)4()f x y x y x y =---在稳定点(2,2)-取得极大值,且极大值是(2,2)8f -=.5、设),(),(00y x y x f z 在=存在偏导数,且在),(00y x 处取得极值,则必有 .解 0000(,)0(,)0x y f x y f x y '=⎧⎨'=⎩二、选择题1、二元函数3322339z x y x y x =+++-在点M 处取得极小值,则点M 的坐标是( A ) A 、(1,0) B 、(1,2) C 、(-3,0) D 、(-3,2) 解 令22(,)3690(,)360xy f x y x x f x y y y ⎧'=+-=⎪⎨'=+=⎪⎩得稳定点(1,0),(3,0),(1,2),(3,2)----.由于22(,)66,(,)0,(,)66xy xyf x y x f x y f x y y ''''''=+==+在点(1,0),2120,0,6,720A B C B AC =>==∆=-=-<在点(3,0)-,212,0,6,720A B C B AC =-==∆=-=> 在点(1,2)-,212,0,6,720A B C B AC ===-∆=-=>在点(3,2)--,2120,0,6,720A B C B AC =-<==-∆=-=-<故函数339z x y x y x =+++-在点(1,2)-,(3,0)-不取得极值,在点(1,0)取得极小值, 在点(3,2)--取得极大值.2、二元函数2222),(22+-+-=x y xy x y x f 的极小值点是( C ) A 、(-1,-1) B 、(0,0) C 、(1,1) D 、(2,2) 解 令(,)4220(,)220xy f x y x y f x y y x ⎧'=--=⎪⎨'=-=⎪⎩得稳定点(1,1).由于22(,)4,(,)2,(,)2xy xyf x y f x y f x y ''''''==-=240,2,2,40A B C B A C =>=-=∆=-=-< 故函数2222),(22+-+-=x y xy x y x f 在点(1,1)取得极小值. 3、关于二元函数下列论断①(,)f x y 在),(00y x 取得极值,则),(00y x 是(,)f x y 的稳定点;②),(00y x 是(,)f x y 的稳定点,则(,)f x y 在),(00y x 取得极值; ③(,)f x y 在),(00y x 不存在偏导数,则(,)f x y 在),(00y x 不会取得极值; ④)0,0(以xy z =为极小值点. 其中正确的个数是( A )A 、0B 、1C 、2 D、3解 ①错误:偏导数不存在的点也可能是极值点,例如z =在点(0,0)取得极小值,但点(0,0)不是稳定点.②错误:稳定点不一定是极值点,例如在第1题中,点(1,2)-是稳定点,但却不是极值点.③错误:偏导数不存在的点也可能是极值点,例如z =在点(0,0)的偏导数不存在,但点(0,0)是该函数的极小点.④错误: 令0xy z y z x ⎧'==⎪⎨'==⎪⎩得稳定点(0,0).由于22(,)0,(,)1,(,)0xy x y z x y z x y z x y ''''''=== 20,1,0,10A B C B A C ===∆=-=> 故函数z xy =在点(0,0)不取得极值.4、如果点()00,x y 为(,)f x y 的极值点且()()0000,,,x y f x y f x y ''存在,则它是(,)f x y 的( B ) A 、最大值点 B 、稳定点 C 、连续点 D 、最小值点 解 P200定理35、下列命题中,正确的是( D )A 、设点00(,)P x y 为函数(,)f x y 的稳定点,则它一定是(,)f x y 极值点;B 、设点00(,)P x y 为函数(,)f x y 的极值点,则它一定是(,)f x y 稳定点;C 、设点00(,)P x y 为函数(,)f x y 的稳定点且0∆=,则它不是(,)f x y 极值点;D 、设点00(,)P x y 为函数(,)f x y 的稳定点且0∆>,则它不是(,)f x y 极值点. 解 P201定理4 三、求解下列各题1、求函数333(0)z axy x y a =-->的极值.解 令22330330xy z ay x z ax y ¢ï=-=ïí¢ï=-=ïî 得稳定点(0,0)和(,)a a .226,3,6xy x yz x z a z y ⅱ =-==- 对于点(0,0),220,3,0,90A B a C B AC a ===D =-=>故点(0,0)不是极值点.对于点(,)a a ,2260,3,6,270A a B a C a B AC a =-<==-D =-=-< 故点(,)a a 是极大点,极大值为3(,)z a a a =.2、在xy 平面上求一点,使它到三直线0,0x y ==及2160x y +-=的距离平方和最小. 解 设(,)x y 为平面上任一点,则它到三直线0,0x y ==及2160x y +-=的距离平方和为()222216(,)5x y S x y x y +-=++于是问题转化为求函数()222216(,)5x y S x y x y +-=++在2R 上的最小值.令()()22162054216205xy x y S x x y S y ì+-ïï¢=+=ïïïíï+-ï¢ï=+=ïïî得(,)S x y 在2R 上的唯一稳定点816,55⎛⎫⎪⎝⎭.2212418,,555xy x y S S S ⅱⅱⅱ===2124180,,,80555A B C B A C =>==D =-=-< 故点816,55⎛⎫⎪⎝⎭是极小点.根据问题实际意义,函数(,)S x y 在2R 上一定存在最小值,而(,)S x y 在2R 上只有唯一一个极小点,故(,)S x y 在点816,55⎛⎫ ⎪⎝⎭取得最小值.即平面点816,55⎛⎫⎪⎝⎭到三直线0,0x y ==,2160x y +-=的距离平方和最小.1、设方程0sin 2=-+xy e y x 确定隐函数()y f x =,则dxdy= . 解法一 令2(,)sin x F x y y e xy =+-,则2(,),(,)cos 2x x y F x y e y F x y y xy ''=-=-于是22(,)(,)cos 2cos 2x x x x dy F x y e y y e dx F x y y xy y xy'--=-=-='-- 解法二 方程两边对x 求导得2c o s 20x d y d y y e y x y d x d x ⎛⎫⋅+-+⋅= ⎪⎝⎭ 2cos 2xdy y e dx y xy-=- 2、设方程0z e xyz -=确定隐函数(,)z f x y =,则z x ∂=∂ ,zy∂=∂ . 解法一 令(,,)z F x y z e xyz =-,则 (,,),(,,),(,,)z x y zF x y z y z F x y z x z F x y z ex y'''=-=-=- 于是(,,)(,,)(,,)(,,)x z z y zz z F x y z yzx F x y z e xyF x y z z xz y F x y z e xy'∂=-='∂-'∂=-='∂-解法二 方程两边分别对,x y 求偏导得00z z z z e y z x x x z z e x z y yy ∂∂⎧⎛⎫⋅-+⋅= ⎪⎪∂∂⎝⎭⎪⎨⎛⎫∂∂⎪⋅-+⋅= ⎪⎪∂∂⎝⎭⎩于是,z z z yz z xzx e xy y e xy∂∂==∂-∂-.3、设sin cos ,sin sin ,cos x r y r z r φθφθφ===,则(,,)(,,)x y z r θφ∂∂= .解2(,,)sin (,,)x y z r r φθφ∂=∂4、若函数组(,),(,)u u x y v v x y ==与(,),(,)x x s t y y s t ==均有连续的偏导数,且(,)(,)14,(,)(,)2u v x y x y s t ∂∂==∂∂,则(,)(,)u v s t ∂=∂ .解(,)(,)(,)142(,)(,)(,)2u v u v x y s t x y s t ∂∂∂=⋅=⨯=∂∂∂ 5、若函数组(,),(,)u u x y v v x y ==有连续的偏导数且(,)2(,)u v x y ∂=∂,则(,)(,)x y u v ∂=∂ .解(,)(,)2(,)x y u v u v ==∂∂∂ 二、选择题1、下列命题正确的是( D )A 、任何方程都可以确定一个隐函数;B 、任何方程所确定的隐函数是唯一的;C 、任何方程所确定的隐函数一定是初等函数;D 、如果一个方程在某点满足隐函数存在定理的条件,则它确定的隐函数是唯一的. 2、方程0sin 2=++xy y x 在原点(0,0)的某邻域内必可确定的隐函数形式为( A )A 、)(x f y =B 、)(y g x =C 、两种形式均可D 、无法确定 3、隐函数存在定理中的条件是隐函数存在的( A )A 、充分条件B 、必要条件C 、充要条件D 、无关条件4、方程组22201x y z x y z ++=⎧⎨++=⎩所确定的隐函数组()()x f z y g z =⎧⎨=⎩的导数为 ( B ) A 、,dx y z dy z xdz y x dz x y --=--= B 、,dx y z dy z x dz x y dz x y --==-- C 、,dx y z dy x z dz x y dz x y--==-- D 、,dx y z dy x z dz y x dz x y--==-- 解 方程两边分别对z 求导得102220dx dydz dzdx dy x y z dz dz ⎧++=⎪⎪⎨⎪⋅+⋅+=⎪⎩解方程得,dx y z dy z x dz x y dz x y--==--. 三、证明方程ln 1(0,1,1)xz xy z y e ++=在点的某领域内能确定隐函数(,),x x y z =并求,x x y z∂∂∂∂. 解 令(,,)ln 1,xz F x y z xy z y e =++-则(1) (,,),F x y z (,,),xz x F x y z y ze '=+(,,),y zF x y z x y'=+(,,)ln xz z F x y z y xe '=+都在(0,1,1)的某邻域内连续;(2) (0,1,1)0F =; (3) (0,1,1)20x F '=≠.故方程可确定隐函数(,)x f y z =.2(,,)(,,)y xz xzx z x F x y z x xy z yy y ze y yze F x y z +'∂+=-=-=-∂++' (,,)ln (,,)xzz xzx x F x y z y xe z y ze F x y z '∂+=-=-∂+'四、设方程组⎩⎨⎧=--=--0022xu v y yv u x 确定隐函数组(,),(,)u u x y v v x y ==,求,u vx x ∂∂∂∂. 解 方程组关于x 求偏导得12020u v u y x xv u v u x x x ì抖ïï--=ïï抖íï抖ï---=ïï抖ïî解此方程组得24u v uy x uv xy ?=?,224v u xx xy uv?=?1、二元函数(,)f x y xy =在条件1x y +=下的存在 (极小值/极大值),其极大(小)值为 .解 由2(1)f xy x x x x ==-=-,令120f x '=-=得稳定点12x =;又由于20f ''=-<,故函数在12x =取得极大值111,224f ⎛⎫= ⎪⎝⎭.2、平面曲线09)(233=-+xy y x 在点(2,1)处的切线方程为 ,法线方程为 . 解 令33(,)2()9F x y x y xy =+-,则22(,)69,(,)69x y F x y x y F x y y x ''=-=-22(,)69(,)69x y d y F x y x yd x F x y y x'-=-=-'- (2,1)54dy k dx ==- 故所求的切线方程为51(2)4y x -=--,即54140x y +-=. 法线方程为41(2)5y x -=-,即4530x y --=.3、空间曲线23,,x t y t z t ===在点1t =处的切线方程为 ,法平面方程为 .解 由于21,2,3x y t z t '''===,则(1)1,(1)2,(1)3x y z '''===,故所求的切线方程为111123x y z ---== 法平面方程为(1)2(1)3(1)x y z -+-+-=,即2360x y z ++-=. 4、空间曲面236222x y z ++=在点()1,1,1P 处的切平面方程为 , 法线方程为 .解 由于222(,,)236F x y z x y z =++-,则(,,)4,(,,)6,(,,)2x y z F x y z x F x y z y F x y z z '''=== (1,1,1)4,(1,1,1)6,(1,1,1)2x y z F F F '''===故所求的切平面方程为4(1)6(1)2(1)x yz -+-+-=,即2360x y z ++-= 法线方程为111462x y z ---==,即11123x y z --==-. 5、曲面2132222=++z y x 在点 的切平面与平面460x y z ++=平行. 解 设所求的点为000(,,)x y z ,由于222(,,)2321F x y z x y z =++-,则(,,)2,(,,)4,(,,)6x y z F x y z x F x y z y F x y z z '''===000000000000(,,)2,(,,)4,(,,)6x y z F x y z x F x y z y F x y z z '''===0002220002461462321x y z x y z ⎧==⎪⎨⎪++=⎩ 解方程得000122x y z =⎧⎪=⎨⎪=⎩或000122x y z =-⎧⎪=-⎨⎪=-⎩,故所求的点为(1,2,2),(1,2,2)---.二、选择题1、在曲线23,,x t y t z t ==-=的所有切线中与平面24x y z ++=平行的切线( B ) A 、只有一条 B 、只有二条 C 、至少有三条 D 、不存在 解 设曲线在0t t =处的切线与平面24x y z ++=平行,由于21,2,3x y t z t '''==-= 则200000()1,()2,()3x t y t t z t t '''==-= 由已知可得2001430t t -+=于是013t =或01t =,故曲线上有两点的切线与平面24x y z ++=平行的点.2、曲线22260x y z x y z ⎧++=⎨++=⎩在点(1,2,1)M -处的切线平行于( C )A 、xoy 平面B 、yoz 平面C 、zox 平面D 、平面0x y z ++= 解 令22212(,,)6,(,,)F x y z x y z F x y z x y z =++-=++,则11122211122211122222(,)2(),11(,)22(,)2()11(,)22(,)2()11(,)F F x y x y F F x y F F x y x yF F y z y z F F y z F F y z yzF F z x F F z xz x F F z x z x∂∂∂∂∂===-∂∂∂∂∂∂∂∂∂∂===-∂∂∂∂∂∂∂∂∂∂===-∂∂∂∂∂ 121212(,)(,)(,)6,6,0(,)(,)(,)M M MF F F F F F x y y z z x ∂∂∂==-=∂∂∂故曲线在点(1,2,1)M -处的切线为121606x y z -+-==-,即202x z y +-=⎧⎨=-⎩ 该直线平行于xoz 平面.1、求表面积一定而体积最大的长方体.解 设长方体的长、宽、高分别为,,x y z ,表面积为()20,a a >则问题转换为求函数(),,,f x y z xyz =在条件()22xy yz xz a ++=下的最大值.设()2,,,[2()]L x y z xyz xy yz xz a λλ=+++-,令()()()()220202020x y zL yz y z L xz x z L xy x y L xy yz xz a λλλλ'=++=⎧⎪'=++=⎪⎨'=++=⎪⎪'=++-=⎩ 解得x y z ===根据问题实际意义,体积最大的长方体一定存在,且稳定点只有一个,故表面积一定的长方体中正方体的体积最大.2、求曲线2222222393x y z z x yìï++=ïíï=+ïî在点(1,1,2)-的切线与法平面方程. 解 设222222(,,)239,(,,)3F x y z x y z G x y z z x y =++-=--,在点(1,1,2)-处有4,6,4x y z F F F ⅱ ==-=,6,2,4x y zG G G ⅱ =-== (,)(,)(,)32,40,28(,)(,)(,)F G F G F G y z z x x y 抖 =-=-=-抖所以切线的法向量为(8,10,7),切线方程为1128107x y z -+-== 法平面方程为8(1)10(1)7(2)0x y z -+++-=或8107120x y z ++-=.1、=++⎰+∞0284x x dx.解 ()222000(2)1212lim lim arctan lim arctan 4822224822AA A A A dx d x x A x x x ππ+∞→+∞→+∞→+∞+++⎛⎫===-= ⎪++⎝⎭++⎰⎰ 2、20x xe dx +∞-=⎰= .解()()2222200111limlim lim 1222AA x x x A A A A xedx xedx e d x e +∞----→+∞→+∞→+∞==--=--=⎰⎰⎰3、无穷积分dxx p 1+∞⎰在 时收敛,在 时发散. 解 无穷积分dxxp 1+∞⎰在1p >时收敛,在1p ≤时发散(课本p263例3). 4、无穷积分1(,0)1mnxdx m n x ∞≥+⎰在 时收敛,在 时发散. 解 由于lim lim 111m n n mn nx x x x x x x -→+∞→+∞⋅==++,故无穷积分⎰∞≥+0)0,(1n m dx x x n m在1n m ->时收敛,在1n m -≤时发散.5、无穷积分1sin p xdx x +∞⎰在 时绝对收敛,在 时条件收敛. 解 无穷积分1sin pxdx x +∞⎰在1p >时绝对收敛,在1p ≤时条件收敛. 二、选择题1、f x dx ()-∞+∞⎰收敛是f x dx a()+∞⎰与f x dx a()-∞⎰都收敛的( B )A 、无关条件B 、充要条件C 、充分条件D 、必要条件解 如果f x dx ()-∞+∞⎰收敛,则f x dx a()+∞⎰与f x dx a()-∞⎰都收敛,反之也成立. 2、设()0f x >且⎰+∞)(dx x f 收敛,则e f x dx x -+∞⎰()0( C )A 、可能收敛B 、可能发散C 、一定收敛D 、一定发散解 当0x ≥时,()()xe f x f x -≤,而⎰+∞0)(dx x f 收敛,由比较判别法知e f x dx x -+∞⎰()0收敛.3、设)(x f 在[,)a +∞连续且c a <,则下列结论中错误的是( D )A 、如果 )(dx x f a ⎰+∞收敛,则 )(dx x f c ⎰+∞必收敛.B 、如果 )(dx x f a⎰+∞发散,则 )(dx x f c⎰+∞必发散.C 、 )(dx x f a ⎰+∞与 )(dx x f c⎰+∞同时收敛或同时发散.D 、 )(dx x f a⎰+∞收敛, )(dx x f c⎰+∞不一定收敛.解 ,A a ∀>由于)(x f 在[,)a +∞连续,故()x e f x -在[,],[,]a A a c 上连续从而在[,],[,]a A a c 上可积.又由于()()()Ac Ax x x aace f x dx e f x dx e f x dx ---=+⎰⎰⎰故l i m ()()l i m (x x xaac A A e f x dx e f x dx e f x dx ---→+∞→+∞=+⎰⎰⎰ 即 )(dx x f a⎰+∞与 )(dx x f c⎰+∞同时收敛或同时发散.4、设在[,)a +∞上恒有()()0f x g x ≥>,则( A ) A 、⎰+∞adx x f )(收敛,⎰+∞a dx x g )(也收敛B 、()af x dx +∞⎰发散,()ag x dx +∞⎰也发散C 、⎰+∞adx x f )(和⎰+∞adx x g )(同敛散D 、无法判断解 由于0()()g x f x <≤,由比较判别法知当⎰+∞adx x f )(收敛时,⎰+∞adx x g )(也收敛(P270定理7).5、⎰∞+adx x f )(收敛是⎰∞+adx x f )(收敛的( B )A 、充分必要条件B 、充分条件C 、必要条件D 、既不是充分也不是必要条件解 由于无穷积分性质知,果⎰∞+adx x f )(收敛,则⎰∞+adx x f )(也收敛(P267推论2).但逆命题不成立.例如无穷积分sin a xdx x +∞⎰收敛,但无穷积分sin a x dx x+∞⎰发散(P275,例11).三、讨论下列无穷限积分的敛散性(1)+∞⎰(2) 0+∞⎰ (3) 31arctan 1x x dx x+∞+⎰ (4) 11x xdx e +∞-⎰ 解 (1) 由于434lim 1,1,13x x d λ→+∞==>=故无穷积分+∞⎰收敛.(2) 由于121lim 1,,1,12x x d λ→+∞==<= 故无穷积分+∞⎰.(3) 由于23arctan lim ,21,122x x x x d x ππλ→+∞⋅==>=+ 故无穷积分31arctan 1x xdx x +∞+⎰收敛. (4) 由于2lim 0,21,01x x xx d e λ→+∞⋅==>=- 故无穷积分11x x dx e +∞-⎰收敛,从而无穷积分11x xdx e +∞-⎰也收敛. 四、讨论下列广义积分的绝对收敛性和条件收敛性201dx x +0100x + 解 (1) 由于()22sgn sin 111x x x≤++,而2011dx x +∞+⎰收敛,故()20sgn sin 1x dx x +∞+⎰绝对收敛.(2) 令(),()cos 100f x g x x x ==+,由于()f x '= 故当100x >时,()0f x '<.于是()f x 在[100,)+∞上单调递减且lim ()lim0x x f x →+∞→+∞==又由于0()()cos sin A A F A g x dx xdx A ===⎰⎰,()1F A ≤,故由狄里克雷判别法知无穷积分⎰收敛.另一方面)21cos 2121002(100)2100100x x x xx x x ⎡⎤+=≥==+⎢⎥++++⎣⎦可证0⎰发散,而0⎰收敛,故0dx ⎰发散,原积分条件收敛. 五、证明题若无穷积分()af x dx +∞⎰绝对收敛,函数()x ϕ在[,)a +∞上有界,则无穷积分()()af x x dx ϕ+∞⎰收敛.证明 由于函数()x ϕ在[,)a +∞上有界,故0,[,)M x a ∃>∀∈+∞有 ()f x M ≤ 从而()()()f x x M f x ϕ≤ 由于无穷积分()af x dx +∞⎰绝对收敛,故()af x dx +∞⎰收敛.由比较判别法知,无穷积分()()af x x dx ϕ+∞⎰收敛.1、1=⎰.解 由于1lim x →=∞,故1x =为瑕点,由瑕积分定义知()11120000001lim lim 1lim 2x εεεεεε---→+→+→==--=-⎰⎰⎰0lim 11ε→+⎤=-=⎦2、10ln xdx =⎰= .解 由于0lim ln x x →+=-∞,故0x =为瑕点,由瑕积分定义知1111110000ln lim ln lim ln ln lim ln xdx xdx x x xd x x x dx εεεεεεεε→+→+→+⎡⎤⎡⎤==-=-⎢⎥⎢⎥⎣⎦⎣⎦⎰⎰⎰⎰ []0l i m l n (1)1εεεε→+=---=- 3、 是积分0sin xdx xπ⎰的瑕点. 解 0lim1,lim sin sin x x x x x xπ→+→-==∞ x π∴=是积分0sin xdx xπ⎰的瑕点. 4、瑕积分10(0)q dxq x >⎰在 时收敛,在 时发散.解 瑕积分dxx q 01⎰在01q <<时收敛,在1q ≥时发散(P280例3).5、瑕积分201cos (0)m xdx m xπ->⎰在 时收敛,在 时发散. 解 0x = 是积分201cos (0)mxdx m x π->⎰的瑕点且 22001cos 1cos 1lim lim 2m m x x x x x x x -→+→+--⋅== ∴瑕积分201cos (0)mxdx m x π->⎰在03m <<时收敛,在3m ≥时发散.二、选择题1、瑕积分⎰-112xdx( D ) A 、收敛且其值为-2 B 、收敛且其值为2C 、收敛且其值为0D 、发散解 11122211001111lim lim 21dx dx dx x x x x x εεεεεεε----→+→+-⎡⎤⎡⎤⎛⎫=+=--=-=∞⎢⎥ ⎪⎢⎥⎣⎦⎝⎭⎢⎥⎣⎦⎰⎰⎰ 2、下列积分中不是瑕积分的是( B )A 、⎰e xx dx 1lnB 、⎰--12xdxC 、⎰-11x edx D 、⎰2cos πxdx解 ⎰e x x 1ln ,⎰-101x e ,⎰20cos x是瑕积分. 3、下列瑕积分中,发散的是(C )A 、0⎰B 、11211--⎰x dxC 、2211ln dx x x⎰D 、1⎰解 对于积分10sin dxx⎰,0x =为瑕点,由于 0lim 1sin xx →= 故瑕积分10sin dx x⎰收敛.对于积分11211--⎰xdx ,1x =±为瑕点且12111211lim(1)lim lim (1)limx x x x x x →-→→-+→--==+==故瑕积分010,-⎰⎰均收敛,故原积分收敛;对于积分2211ln dx x x⎰,1x =为瑕点且22222111111(1)2(1)2lim(1)lim lim lim lim 12ln 2ln ln ln 2ln ln 1x x x x x x x x x x x x x x x x x x x→+→-→-→-→----⋅=====+++故该积分发散;对于积分10⎰,0x =为瑕点且 121lim(0)1x x →--= 故该积分收敛.4、若瑕积分⎰badx x f )(收敛(a 为瑕点),则下列结论中成立的是( B )A 、()baf x dx ⎰收敛B 、⎰badx x f )(收敛C 、⎰badx x f )(2收敛D 、⎰badx x f )(2发散解 若瑕积分⎰badx x f )(收敛,则()b af x dx ⎰不一定收敛,例如1011sin dx x x⎰收敛,但111sin dx x x⎰发散(P287例10). 若瑕积分⎰b adx x f )(收敛,则⎰badx x f )(2可能收敛也可能发散,例如取()f x =,则瑕积分⎰b a dx x f )(收敛,⎰b a dxx f )(2发散;取()f x =,则瑕积分⎰b a dxx f )(收敛,⎰a dx x f )(2也收敛.5、当 ( A )时,广义积分10(0)1px dx p x <+⎰收敛. A 、 10p -<< B 、1-≤p C 、0<pD 、1-<p解 当0p <时,⎰+101dx x x p为瑕积分,0x =为瑕点且 001lim lim 111p px x x x x x -→+→+⋅==++ 故当1p -<时,即当10p -<<时,广义积分⎰+101dx x xp 收敛. 三、讨论下列假积分的敛散性(1) 302sin x dx x π⎰ (2) 1⎰ (3) 10ln 1x dx x -⎰ (4)130arctan 1xdx x -⎰解 (1)0x =为瑕点且123002sin sin lim (0)lim 1x x x xx xx →+→+-⋅==故该积分收敛.(2)0,1x =为瑕点,10.5100=+⎰⎰⎰,由于1200111lim (0)lim 0ln lim(1lim 1x x x x x x x →+→+→-→-==-==-于是积分0.50⎰收敛,而1⎰发散,故原积分发散.(3)由于01ln ln lim,lim 111x x x xx x→+→-=∞=---,故0x =为瑕点.又由于 1200ln lim(0)lim 01x x x x x →+→+-⋅==- 故积分10ln 1xdx x-⎰收敛. (4)1x =为瑕点.由于3211arctan arctan lim(1)lim 1112x x x x x x x x π→-→--⋅==-++ 故积分130arctan 1xdx x -⎰发散.1、⎰→100sin lim dy x xyx = . 解 11100000sin sin 1lim lim 2x x xy xy dy dy ydy x x →→===⎰⎰⎰ 2、=-⎰dx x xx a b 10ln .)0(>>a b 解 11100011lnln 11b a b b b y y a a a x x b dx dx x dy dy x dx dy x y a -+====++⎰⎰⎰⎰⎰⎰ 3、Γ函数与B 函数的关系为 .解 ()()(,)()p q B p q p q ΓΓ=Γ+4、12⎛⎫Γ ⎪⎝⎭= ,()1n Γ+=.解 12⎛⎫Γ= ⎪⎝⎭()1!n n Γ+=5、13,44B ⎛⎫= ⎪⎝⎭.解 由于()131313134444,134414444B ⎛⎫⎛⎫⎛⎫⎛⎫ΓΓΓΓ ⎪ ⎪ ⎪ ⎪⎛⎫⎛⎫⎛⎫⎝⎭⎝⎭⎝⎭⎝⎭===ΓΓ ⎪ ⎪ ⎪Γ⎛⎫⎝⎭⎝⎭⎝⎭Γ+ ⎪⎝⎭,又由余元公式有1344sin 4ππ⎛⎫⎛⎫ΓΓ== ⎪⎪⎝⎭⎝⎭故13,44B ⎛⎫= ⎪⎝⎭.二、选择题1、21ln()d xy dy dx ⎰=( )A 、0B 、x1C 、xD 、不存在解 []22221111111ln()ln()d d xy dy xy dy dy dy dx dx x x x ====⎰⎰⎰⎰ 2、⎰+∞-→022lim dy e y x x =( B )A 、2B 、41C 、21 D 、 4解 2[1,3],x yyx ee --∀∈≤,而无穷积分0y e dy +∞-⎰收敛,故含参变量无穷积分20x y edy +∞-⎰在{}(,)13,0R x y x y =≤≤≤<+∞上一致收敛.又由二元初等函数的连续性知2x y e -在R 上连续,故2240221lim lim 4x yx yy x x edy edy e dy +∞+∞+∞---→→===⎰⎰⎰3、2x edx +∞-=⎰( )A 、πB 、πC 、2πD 、2π 解 2x e dx +∞-=⎰(课本P316例13)4、22x x e dx +∞--∞=⎰( C )A 、πB 、πC 、2πD 、2π 解 由于被积分函数为偶函数,故222202x x x e dx x e dx +∞+∞---∞=⎰⎰,对积分220x x e dx +∞-⎰,令x=则2112220000111311222242x tt tx e dx te dt t e dt t e dt +∞+∞+∞+∞----⎛⎫⎛⎫=⋅===Γ=Γ= ⎪ ⎪⎝⎭⎝⎭⎰⎰⎰⎰22x x e d x+∞--∞=⎰5、1122(1)n x dx --⎰=( C )A 、12n +⎛⎫Γ ⎪⎝⎭B 、11,22n B +⎛⎫⎪⎝⎭C 、111,222n B +⎛⎫ ⎪⎝⎭D 、112,22n B +⎛⎫⎪⎝⎭解令x =则1111111222220001111(1)(1)(1),2222n n n n x dx t t t dt B ----+⎛⎫-=-=-⋅= ⎪⎝⎭⎰⎰⎰三、证明下列含参量无穷积分在所指定的区间上一致收敛.(1) 0sin ,(0)tx e xdx a t a +∞-≤<+∞>⎰ (2) 230cos ,110t tx dx t x t +∞≤≤+⎰ 证明 (1) 由于s i n ,t x a x e x e a t --≤≤<+∞ 而无穷积分0ax e dx +∞-⎰收敛,故含参变量积分0sin tx e xdx +∞-⎰在[,)a +∞上一致收敛.(2) 由于232c o s 10,1101t t x t x t x ≤≤≤++ 而无穷积分2011dx x +∞+⎰收敛,故含参变量积分230cos t tx dx x t +∞+⎰在[1,10]上一致收敛. 四、用Γ函数和B 函数求下列积分.(1)⎰ (2)642sin cos x xdx π⎰解 (1)()()111220331113322422(1),22338x x dx B π⎛⎫⎛⎫⎛⎫⎛⎫ΓΓΓΓ ⎪ ⎪ ⎪ ⎪⎛⎫⎝⎭⎝⎭⎝⎭⎝⎭=-==== ⎪ΓΓ⎝⎭⎰⎰(2) ()64207553113111753222222222sin cos ,22265!512x xdx B ππ⎛⎫⎛⎫⎛⎫⎛⎫ΓΓ⋅⋅⋅Γ⋅⋅⋅Γ ⎪ ⎪ ⎪ ⎪⎛⎫⎝⎭⎝⎭⎝⎭⎝⎭====⎪Γ⎝⎭⎰1、2sin y xdy dx x ππππ-=⎰⎰.解 2000sin sin sin cos 2x y x x dy dx dx dy xdx x x xπππππππππ+-===-=⎰⎰⎰⎰⎰. 2、Ddxdy =⎰⎰ , 其中D 为椭圆19422=+y x 所围区域. 解Ddxdy ⎰⎰表示区域D 的面积,故6Ddxdy π=⎰⎰.3、()22Df x y dxdy '+=⎰⎰ , 其中D 为圆222x y R +=所围区域.解 作极坐标变换,则()()()()22222220012RR Df x y dxdy d f r rdr d f r d r ππθθ'''+==⎰⎰⎰⎰⎰⎰ ()()()()2221020f R f d f R f πθπ⎡⎤=-⎣⎦⎡⎤=-⎣⎦⎰4、将二重积分化为累次积分:221x y fdxdy +≤⎰⎰=.解 作极坐标变换,则()22211x y fdxdy d f r rdr πθ+≤=⎰⎰⎰⎰5、改变累次积分的顺序: ⎰⎰⎰⎰+2242220),(),(y x y dx y x f dy dx y x f dy = .解2422202122(,)(,)(,)y x y y xdy f x y dx dy f x y dx dx f x y dy +=⎰⎰⎰⎰⎰⎰二、选择题1、函数(,)f x y 在有界闭域D 上连续是二重积分(,)Df x y dxdy ⎰⎰存在的( B )A 、充要条件B 、充分条件C 、必要条件D 、无关条件解 连续一定可积,但可积不一定连续.2、设(,)f x y 是有界闭域222:a y x D ≤+上的连续函数,则201lim (,)a Df x y dxdy a π→⎰⎰=( B )A 、不存在B 、(0,0)fC 、(1,1)fD 、(1,0)f解 由积分中值定理知,(,)D ξη∃∈,使2(,)(,)(,)D Df x y d x d y f S a f ξηπξη=⋅=⎰⎰故 22200011lim(,)lim(,)lim (,)(0,0)a a a Df x y dxdy a f f f a a πξηξηππ→→→=⋅==⎰⎰.3、若(,)f x y 在区域{}41),(22≤+≤=y x y x D 上恒等于1,则二重积分f x y dxdy D(,)⎰⎰=( D ) A 、0B 、πC 、2πD 、3π解22(,)213DDDf x y dxdy dxdy Sπππ===⋅-⋅=⎰⎰⎰⎰.。
习 题 12.5 偏导数在几何中的应用1. 求下列曲线在指定点处的切线与法平面方程:(1)⎪⎩⎪⎨⎧+==.1,2x x z x y 在⎪⎭⎫⎝⎛21,1,1点; (2)⎪⎪⎩⎪⎪⎨⎧=-=-=.2sin 4,cos 1,sin tz t y t t x 在2π=t 的点;(3)⎩⎨⎧=++=++.6,0222z y x z y x 在)1,2,1(-点;(4)⎩⎨⎧=+=+.,222222R z x R y x 在⎪⎭⎫⎝⎛2,2,2R R R 点。
解 (1)曲线的切向量函数为21(1,2,)(1)x x +,在⎪⎭⎫⎝⎛21,1,1点的切向量为1(1,2,)4。
于是曲线在⎪⎭⎫⎝⎛21,1,1点的切线方程为)12(41)1(2-=-=-z y x ,法平面方程为252168=++z y x 。
(2)曲线的切向量函数为(1cos ,sin ,2cos )2tt t -,在2π=t 对应点的切向量为。
于是曲线在2π=t 对应点的切线方程为222112-=-=+-z y x π, 法平面方程为(1)(1)2x y z π-++-+-=402x y π++--=。
(3)曲线的切向量函数为2(,,)y z z x x y ---,在)1,2,1(-点的切向量为(6,0,6)-。
于是曲线在)1,2,1(-点的切线方程为⎩⎨⎧-==+22y z x , 法平面方程为z x =。
(4)曲线的切向量函数为4(,,)yz xz xy --,在⎪⎭⎫⎝⎛2,2,2R R R 点的切向量为22(1,1,1)R --。
于是曲线在⎪⎭⎫⎝⎛2,2,2R R R点的切线方程为222R z R y R x +-=+-=-,法平面方程为022=+--R z y x 。
2.在曲线32,,t z t y t x ===上求一点,使曲线在这一点的切线与平面102=++z y x 平行。
解 曲线的切向量为2(1,2,3)t t ,平面的法向量为(1,2,1),由题设,22(1,2,3)(1,2,1)1430t t t t ⋅=++=,由此解出1t =-或13-,于是)1,1,1(-- 和 )271,91,31(--为满足题目要求的点。
数学分析课本(华师大三版)习题及答案第四章数学分析课本(华师大三版)-习题及答案第四章第四章函数的连续性一、填空题1x0xsinx1.设f(x)??kx?0,若函数f(x)在定义域内连续,则xsin11x0xk;2.函数f(x)??x?0?x?1的间断点是;x?0?sinx3.函数f(x)?x的已连续区间就是;4.函数f(x)?1的已连续区间就是;x2?2x?3x2?95.函数f(x)?的间断点是;x(x?3)6.函数f(x)?x?2的间断点就是;(x?1)(x?4)1的连续区间是;(x?1)(x?2)7.函数f(x)??ex?e?x?x?0在x?0点已连续,则k?;8.设f(x)??x?x?0?k?1?x?0?x?1?0?x?1的间断点是;9.函数f(x)x?1??x?31?x?3?10.函数f(x)??x?0?ax?ba?b?0.则f(x)处处连续的充要条件是2x?0?(a?b)x?xb?;12?x11.函数f(x)??ex?0,则limf(x)?,若f(x)无间断点,则a?;x?0?x?0?a?1?x2?x??1,当12.如果f(x)??1?xa?时,函数f(x)已连续x1a二、选择填空1.设f(x)和?(x)在,内有定义,f(x)为连续函数,且f(x)?0,?(x)存有间断点,则()a.??f(x)?必有间断点。
b.??(x)?2必有间断点c.f??(x)?必存有间断点d.(x)f(x)必有间断点2.设函数f(x)?xa?ebx,在,??内连续,且xlimf(x)?0,则常数a,b满足(a.a?0,b?0b.a?0,b?0c.a?0,b?0d.a?0,b?013.设f(x)?1?ex1,当x?0;f(x)??1,当x?0,则1?exa有可去间断点。
b。
有跳跃间断点。
c有无穷间断点d连续4.函数f(x)?nlim1?x??1?x2na不存有间断点。
b存有间断点x??1c存有间断点x?0d存有间断点x?15.设f(x)1x?0??xsin1x?0?0x?0;g(x)??,则在点x?0处有间断点的函数是?x?1x?0amax{f(x),g(x)}bmin{f(x),g(x)}cf(x)?g(x)df(x)?g(x)6.下述命题正确的是a设f(x)与g(x)均在x0处不已连续,则f(x)g(x)在x0处必不已连续。
福师大数学分析习题答案福建师范大学数学分析习题答案数学分析是一门重要的数学基础课程,对于理工科学生来说尤为重要。
福建师范大学作为一所知名的师范院校,其数学分析课程一直备受学生关注。
本文将为大家提供福建师范大学数学分析习题的答案,帮助同学们更好地掌握这门课程。
一、极限与连续1. 计算以下极限:a) $\lim_{x\to 2}\frac{x^2-4}{x-2}$解:将分式进行因式分解,得到 $\lim_{x\to 2}\frac{(x-2)(x+2)}{x-2}$。
消去公因式后,得到 $\lim_{x\to 2}(x+2)=4$。
b) $\lim_{x\to 0}\frac{\sin x}{x}$解:利用极限的性质,可得 $\lim_{x\to 0}\frac{\sin x}{x}=1$。
2. 判断以下函数在指定点是否连续:a) $f(x)=\frac{x^2-4}{x-2}$,点$x=2$解:由题意可知,当$x\neq 2$时,函数$f(x)$可以通过因式分解得到$f(x)=x+2$。
而当$x=2$时,$f(2)=4$。
由此可知,函数$f(x)$在$x=2$处连续。
b) $g(x)=\begin{cases} \sin x, & \text{当}x\neq 0 \\ 0, & \text{当}x=0\end{cases}$,点$x=0$解:根据函数$g(x)$的定义可知,当$x\neq 0$时,$g(x)=\sin x$。
而当$x=0$时,$g(0)=0$。
由此可知,函数$g(x)$在$x=0$处连续。
二、导数与微分1. 求以下函数的导数:a) $f(x)=x^3-2x^2+3x-4$解:根据导数的定义,可得到$f'(x)=3x^2-4x+3$。
b) $g(x)=\sqrt{x^2+1}$解:利用链式法则,可得到$g'(x)=\frac{x}{\sqrt{x^2+1}}$。
统计专业和数学专业数学分析(3)练习题一 填空题1. 函数 xy xyz +=arcsin 的定义域是 . 2. 函数y x z -=的定义域是 .3. 设 )ln(),(22y x x y x f --=,其中 0>>y x ,则),(=-+y x y x f .4. 设 yx xy y x y x f tan ),(22-+=,则 =),(ty tx f .5. 设2R E ⊂为 点集,则E 在2R 中至少有一个聚点.6. 32),,(yz xy z y x f +=,则 =-)1,1,2(gradf 。
7. xyz z xy u -+=32在点)2,1,1(0P 处沿方向→l (其中方向角分别为00060,45,60)的方向导数为=→)(0P u l.8. ,y x z =其中,0>x ,0≠x 则=dz 。
9. 函数),(y x f 在),(00y x 处可微,则 =-∆df f 。
10. 若函数 ),(y x f 在区域D 上存在偏导数,且,0==y x f f ,则),(y x f 在区域上为 函数。
11. 由方程1(,)sin 02F x y y x y =--=确定的隐函数)(x f y =的导数'()f x = . 12. 设243340x y x y +-=, 则dy dx= . 13. 平面上点P 的直角坐标),(y x 与极坐标),(θr 之间的坐标变换公式为 .其雅可比行列式(,)(,)x y r θ∂=∂ .14. 直角坐标),,(z y x 与球坐标),,(θϕr 之间的变换公式为 . 其雅可比行列式(,,)(,,)x y z r ϕθ∂=∂ .15. 设平面曲线由方程0),(=y x F 给出, 它在点),(000y x P 的某邻域内满足隐函数定理的条件,则该曲线在点0P 处存在切线和法线,其方程分别为切线: , 法线: .16. 设空间曲线由参数方程βα≤≤===t t z z t y y t x x L ),(),(),(:给出, 它在点0000000(,,)((),(),())P x y z x t y t z t =处的切线和法平面方程为 切线: ,法平面: . 17. 设空间曲线L 由方程组(,,)0,(,,)0F x y zG x y z =⎧⎨=⎩ 给出, 若它在点0000(,,)P x y z 的某邻域内满足隐函数定理的条件,则该曲线在点0P 处存在切线和法平面,其方程分别为切线: , 法平面: .18. 设曲面由方程0),,(F =z y x 给出,它在点),,(0000z y x P 的某邻域内满足隐函数定理条件,则该曲面在0P 处有切平面与法线,它们的方程分别是切平面: , 法线: . 19. 条件极值问题的一般形式是在条件组)(,,2,1,0),,,(21n m m k x x x n k <== ϕ的限制下,求目标函数 ),,,(21n x x x f y = 的极值.其拉格朗日函数是 , 其中m λλλ,,,21 为拉格朗日乘数.20. 若(,)f x y 在矩形区域R 上连续, 则对任何[]0,x a b ∈, 都有0lim (,)dcx x f x y dy →=⎰.21. (可微性)若函数),(y x f 与其偏导数),(y x f x∂∂都在矩形区域[][]d c b a R ,,⨯=上连续,则⎰=dcdy y x f x I ),()(在[]b a ,上可微,且(,)dcd f x y dy dx =⎰ .22. (可微性) 设),(),,(y x f y x f x 在[][]q p b a R ,,⨯=上连续,()()x d x c ,为定义在[]b a ,上其值含于[]q p ,内的可微函数,则函数⎰=)()(),()(x d x c dy y x f x F 在[]b a ,上可微,且'()F x = .23. (两个累次积分的关系)若),(y x f 在矩形区域[][]d c b a R ,,⨯=上连续,则(,)bdacdx f x y dy =⎰⎰ .24. 含参量反常积分(,)cf x y dy +∞⎰在[]b a ,上一致收敛的充要条件是:对任一趋于∞+的递增数列{}n A (其中c A =1),函数项级数 在[]b a ,上一致收敛. 25. 设有函数)(y g ,使得.,),(),(+∞<≤≤≤≤y c b x a y g y x f 若⎰+∞cdy y g )(收敛,则⎰+∞cdy y x f ),(在[]b a ,上 .26. (连续性)设),(y x f 在[][)+∞⨯,,c b a 上连续,若含参量反常积分⎰+∞=cdyy x f x I ),()(在[]b a ,上 ,则)(x I 在[]b a ,上 .27. (可微性)设),(y x f 与),(y x f x 在区域[][)+∞⨯,,c b a 上连续。
习 题 1-11.计算下列极限(1)lim x ax a a x x a→--, 0;a >解:原式lim[]x a a ax a a a x a x a x a→--=---=()|()|x a x a x a a x ==''- =1ln aa a a a a --⋅=(ln 1)a a a -(2)sin sin limsin()x a x ax a →--;解:原式sin sin lim x a x ax a→-=-(sin )'cos x a x a ===(3)2lim 2), 0;n n a →∞->解:原式2n =20[()']x x a ==2ln a = (4)1lim [(1)1]pn n n→∞+-,0;p >解:原式111(1)1lim ()|p p p x n n nx =→∞+-'===11p x px p -== (5)10100(1tan )(1sin )lim;sin x x x x→+-- 解:原式101000(1tan )1(1sin )1lim lim tan sin x x x x x x→→+---=--=990010(1)|10(1)|20t t t t ==+++=(6)1x →,,m n 为正整数;解:原式11lim1x x →=- 1111()'()'mx nx x x ===n m=2.设()f x 在0x 处二阶可导,计算00020()2()()lim h f x h f x f x h h→+-+-. 解:原式000()()lim 2h f x h f x h h →''+--=00000()()()()lim 2h f x h f x f x f x h h→''''+-+--=000000()()()()lim lim 22h h f x h f x f x h f x h h →→''''+---=+-00011()()()22f x f x f x ''''''=+=3.设0a >,()0f a >,()f a '存在,计算1ln ln ()lim[]()x a x a f x f a -→.解:1ln ln ()lim[]x a x a f x -→ln ()ln ()ln ln lim f x f a x ax a e --→=ln ()ln ()limln ln x a f x f a x a e→--=ln ()ln ()lim ln ln x af x f a x a x a x a e →----='()()f a a f a e=习 题 1-21.求下列极限 (1)lim x →+∞;解:原式lim 1)(1)]0x x x →+∞=+--= ,其中ξ在1x -与1x +之间(2)40cos(sin )cos lim sin x x xx→-;解:原式=40sin (sin )limx x x x ξ→--=30sin sin lim()()()x x x x x ξξξ→--⋅=16,其中ξ在x 与sin x 之间(3)lim x →+∞解:原式116611lim [(1)(1)]x x x x →+∞=+--56111lim (1)[(1)(1)]6x x x xξ-→+∞=⋅+⋅+--5611lim (1)33x ξ-→+∞=+= ,其中ξ在11x -与11x +之间 (4) 211lim (arctan arctan);1n n n n →+∞-+ 解:原式22111lim ()11n n n n ξ→+∞=-++ 1=,其中其中ξ在11n +与1n 之间 2.设()f x 在a 处可导,()0f a >,计算11()lim ()nn n n f a f a →∞⎡⎤+⎢⎥-⎣⎦.解:原式1111(ln ()ln ())lim (ln ()ln ())lim n n f a f a n f a f a n nn nn e e→∞+--+--→∞==11ln ()ln ()ln ()ln ()[lim lim ]11n n f a f a f a f a n n n ne→∞→∞+---+-=()()2()()()()f a f a f a f a f a f a ee'''+==习 题 1-31.求下列极限(1)0(1)1lim (1)1x x x λμ→+-+-,0;μ≠解:原式0limx x x λλμμ→==(2)0x →;解:02ln cos cos 2cos lim12x x x nxI x →-⋅⋅⋅=20ln cos ln cos 2ln cos 2lim x x x nx x→++⋅⋅⋅+=- 20cos 1cos 21cos 12lim x x x nx x →-+-+⋅⋅⋅+-=-22220(2)()lim x x x nx x →++⋅⋅⋅+=21ni i ==∑ (3)011lim)1xx x e →--(; 解:原式01lim (1)x x x e xx e →--=-201lim x x e x x →--=01lim 2x x e x→-=01lim 22x x x →== (4)112lim [(1)]xxx x x x →+∞+-;解:原式11ln(1)ln 2lim ()x x xxx x ee+→+∞=-21lim (ln(1)ln )x x x x x →+∞=+- 1lim ln(1)x x x→+∞=+1lim 1x xx→+∞== 2. 求下列极限 (1)2221cos ln cos limsin x x x x xe e x-→----;解:原式222201122lim12x x x x x →+==- (2)0ln()2sin lim sin(2tan 2)sin(tan 2)tan x x x e xx x x→++--;解:原式0ln(11)2sin lim sin(2tan 2)sin(tan 2)tan x x x e x x x x →++-+=--012sin limsin(2tan 2)sin(tan 2)tan x x x e xx x x→+-+=-- 02lim442x x x xx x x→++==--习 题 1-41.求下列极限(1)21lim (1sin )n n n n→∞-;解:原式2331111lim [1(())]3!n n n o n n n →∞=--+11lim((1))3!6n o →∞=+=(2)求33601lim sin x x e x x→--;解:原式3636336600()112lim lim 2x x x xx o x x e x x x →→++---=== (3)21lim[ln(1)]x x x x→∞-+;解:原式222111lim[(())]2x x x o x x x →∞=--+12=(4)21lim (1)x xx e x-→+∞+;解:原式211[ln(1)]2lim x x xx ee +--→∞==此题已换3.设()f x 在0x =处可导,(0)0f ≠,(0)0f '≠.若()(2)(0)af h bf h f +-在0h →时是比h 高阶的无穷小,试确定,a b 的值.解:因为 ()(0)(0)()f h f f h o h '=++,(2)(0)2(0)()f h f f h o h '=++ 所以00()(2)2(0)(1)(0)(2)(0)()0limlim h h af h bf h f a b f a b f o h h h→→'+-+-+++==从而 10a b +-= 20a b += 解得:2,1a b ==- 3.设()f x 在0x 处二阶可导,用泰勒公式求0002()2()()limh f x h f x f x h h →+-+-解:原式222200001000220''()''()()'()()2()()'()()2!2!limh f x f x f x f x h h o h f x f x f x h h o h h→+++-+-++=22201220''()()()lim h f x h o h o h h→++=0''()f x = 4. 设()f x 在0x =处可导,且20sin ()lim() 2.x x f x x x →+=求(0),(0)f f '和01()lim x f x x→+. 解 因为 2200sin ()sin ()2lim()lim x x x f x x xf x x x x→→+=+= []22()(0)(0)()limx x o x x f f x o x x→'++++=2220(1(0))(0)()lim x f x f x o x x →'+++=所以 1(0)0,(0)2f f '+==,即(0)1,(0)2f f '=-= 所以 01()l i mx f x x→+01(0)(0)()l i m x f f x o x x →'+++=02()l i m 2x x o x x →+==习 题 1-51. 计算下列极限(1) limn →∞解:原式limn →∞=2n ==(2)2212lim (1)nn n a a na a na+→∞+++⋅⋅⋅+> 解:原式21lim (1)nn n n na na n a ++→∞=--2lim (1)n n na n a →∞=--21a a=-2. 设lim n n a a →∞=,求 (1) 1222lim nn a a na n →∞+++ ;解:原式22lim (1)n n na n n →∞=--lim 212n n na a n →∞==- (2) 12lim 111n nna a a →∞+++ ,0,1,2,,.i a i n ≠=解:由于1211111lim lim n n n na a a n a a →∞→∞+++== , 所以12lim 111n nna a a a →∞=+++3.设2lim()0n n n x x -→∞-=,求lim n n x n →∞和1lim n n n x x n-→∞-.解:因为2lim()0n n n x x -→∞-=,所以222lim()0n n n x x -→∞-=且2121lim()0n n n x x +-→∞-=从而有stolz 定理2222limlim 022n n n n n x x xn -→∞→∞-==,且212121lim lim 0212n n n n n x x x n ++-→∞→∞-==+ 所以lim 0n n x n →∞=,111lim lim lim 01nn n n n n n x x x x n n n n n --→∞→∞→∞--=-=-4.设110x q <<,其中01q <≤,并且1(1)n n n x x qx +=-, 证明:1lim n n nx q→∞=.证明:因110x q<<,所以211211(1)111(1)()24qx qx x x qx q q q+-=-≤=<,所以210x q <<,用数学归纳法易证,10n x q <<。
习 题 14.5 场论初步1.设k j i a 15203-+=,对下列数量场f x y z (,,),分别计算f grad 和)(div a f :(1)f x y z x y z (,,)()=++-22212; (2)f x y z x y z (,,)=++222; (3)f x y z x y z (,,)ln()=++222。
解(1))()(grad 23222k j i z y x z y x f ++++-=-,)15203()()(div 23222z y x z y x f -+++-=-a 。
(2) )(2grad k j i z y x f ++=,)15203(2)(div z y x f -+=a 。
(3))()(2grad 1222k j i z y x z y x f ++++=-, )15203()(2)(div 1222z y x z y x f -+++=-a 。
2.求向量场k j i a 222z y x ++=穿过球面x y z 2221++=在第一卦限部分的通量,其中球面在这一部分的定向为上侧。
解 设)0,0,0(1:222≥≥≥=++∑z y x z y x ,方向取上侧,则所求通量为⎰⎰∑++dxdy z dzdx y dydz x 222, 由于84)1(1320222πθππ=-=--=⎰⎰⎰⎰⎰⎰∑∑dr r d dxdy y x dxdy z xy,同理可得822π==⎰⎰⎰⎰∑∑dzdx y dydz x ,所以 π83222=++⎰⎰∑dxdy z dzdx y dydz x 。
3.设k j i r z y x ++=,||r =r ,求:(1)满足0])([div =r r f 的函数f r (); (2)满足0)](div[grad =r f 的函数f r ()。
解(1)经计算得到r x r f r f x x r f 2)()())(('+=∂∂,,)()())((2ry r f r f y y r f '+=∂∂ rz r f r f z z r f 2)()())(('+=∂∂, 所以)()(3])([div r f r r f r f '+=r 。
第一章 实数集与函数习题§1实数1、 设a 为有理数,x 为无理数。
证明:(1)a+ x 是无理数;(2)当a ≠0时,ax 是无理数。
2、 试在数轴上表示出下列不等式的解:(1)x (2x -1)>0;(2)|x-1|<|x-3|;(3)1-x -12-x ≥23-x 。
3、 设a 、b ∈R 。
证明:若对任何正数ε有|a-b|<ε,则a = b 。
4、 设x ≠0,证明|x+x1|≥2,并说明其中等号何时成立。
5、 证明:对任何x ∈R 有(1)|x-1|+|x-2|≥1;(2)|x-1|+|x-2|+|x-3|≥2。
6、 设a 、b 、c ∈+R (+R 表示全体正实数的集合)。
证明 |22b a +-22c a +|≤|b-c|。
你能说明此不等式的几何意义吗7、 设x>0,b>0,a ≠b 。
证明x b x a ++介于1与ba 之间。
8、 设p 为正整数。
证明:若p 不是完全平方数,则p 是无理数。
9、 设a 、b 为给定实数。
试用不等式符号(不用绝对值符号)表示下列不等式的解:(1)|x-a|<|x-b|;(2)|x-a|< x-b ;(3)|2x -a|<b 。
§2数集、确界原理1、 用区间表示下列不等式的解:(1)|1-x|-x ≥0;(2)| x+x1|≤6; (3)(x-a )(x-b )(x-c )>0(a ,b ,c 为常数,且a<b<c );(4)sinx ≥22。
2、 设S 为非空数集。
试对下列概念给出定义:(1)S 无上界;(2)S 无界。
3、 试证明由(3)式所确定的数集S 有上界而无下界。
4、 求下列数集的上、下确界,并依定义加以验证:(1)S={x|2x <2};(2)S={x|x=n !,n ∈+N };(3)S={x|x 为(0,1)内的无理数};(4)S={x|x=1-n21,n ∈+N }。
第十章 定积分的应用一、填空题1. 求曲线8,2222=+=y x x y 所围成图形面积A (上半平面部分),则A = 2. 曲线x x e y e y -==,及1=x 所围面积A = 3. 曲线θθcos 1,cos 3+==r r 所围面积A = 4. 曲线)0(>=λλθae r 从0=θ到αθ=一段弧长S = 5. 曲线 ⎩⎨⎧-=+=)cos (sin )sin (cos t t t a y t t t a x 从0=t 到π=t 一段弧长S =6. 均匀摆线)0(cos 1sin π≤≤⎩⎨⎧-=-=t ty tt x ,弧长4=S ,则其重心坐标是7. 曲线0,0),0(==≤=y x x e y x 所围图形绕Ox 轴旋转所得旋转体的体积为 ;而绕Oy 轴旋转所得旋转体的体积为 8. 抛物线)(a x x y -=与直线x y =所围图形的面积为9. 在抛物线24x y =上有一点P ,已知该点的法线与抛物线所围成的弓形面积为最小,则P 点的坐标是10.设有一内壁形状为抛物面22y x z +=的容器,原来盛有)(83cm π的水,后来又入注)(643cm π的水,设此时水面比原来提高了hcm ,则h = 11.由曲线,2,1=+=x xx y 及2=y 所围图形的面积S = 曲线x x x y 223++-=与x 轴所围成的图形的面积A = 二、选择填空题1. 曲线)0(ln ,ln b a a y x y <<==与y 轴所围成图形的面积为A ,则A =( ) (A )⎰ba xdx ln ln ln (B )⎰ba e ex dx e(C )⎰baydy e ln ln (D )⎰ba e exdx ln2.曲线x y xy ==,1,2=x 所围成的图形面积为A ,则A =( )(A )dx x x )1(21-⎰(B )dx xx )1(21-⎰(C )⎰⎰-+-2121)2()12(dy y dy y(D )⎰⎰-+-2121)2()12(dx x dx x3.曲线x e y =下方与该曲线过原点的切线左方及y 轴右方所围成的图形面积A =( ) (A )dx ex e x )(10-⎰ (B )dy y y y e)ln (ln 1-⎰(C )dx xe e exx )(1⎰- (D )dy y y y )ln (ln 1-⎰4.曲线)0(cos 2>=a a r θ所围图形面积A =( )(A )()θθπd a 220cos 221⎰ (B )θθππd a ⎰-2cos 221 (C )()θθπd a 220cos 221⎰(D )()θθπd a 220cos 2212⎰ 5.曲线πθπθθ=-==,,ae r 所围图形面积A =( )(A )⎰πθθ02221d e a (B )⎰πθθ20222d e a (C )⎰-ππθθd ea 22 (D )⎰-ππθθd e a 2226.曲线θθ2cos ,sin 22==r r 所围图形面积A =( )(A )()()⎰⎰+-222121212cos 2sin 2θθθθd d(B )()()⎰⎰+462602cos sin 2πππθθθθd d(C )()()⎰⎰+46262cos 21sin 221πππθθθθd d(D )()()⎰⎰+462602cos sin 22πππθθθθd d7.曲线()21ln xy -=上210≤≤x 一段弧长S =( )(A )dx x ⎰⎪⎭⎫⎝⎛-+212111 (B )⎰-+2102211dx x x (C )dx x x ⎰⎪⎭⎫ ⎝⎛--+2102121 (D )dx x ⎰-+21022])1[ln(1 8.摆线)0()cos 1()sin (>⎩⎨⎧-=-=a t a y t t a x 一拱与x 轴所围图形绕x 轴旋转,所得旋转体的体积=V ( )(A )()⎰-ππ2022cos 1dt t a (B )())]sin ([cos 12202t t a d t a a--⎰ππ(C )()⎰--ππ2022)]sin ([cos 1t t a d t a (D )()⎰-adt t a ππ2022cos 19.星形线⎪⎩⎪⎨⎧==ta y ta x 33sin cos 的全长S =( )(A )⎰-⋅202)sin (cos 3sec 4πdt t t a t(B )⎰-⋅022)sin (cos 3sec 4πdt t t a t(C )⎰-⋅π02)sin (cos 3sec 2dt t t a t(D )⎰-⋅02)sin (cos 3sec 2πdt t t a t10.心形线)cos 1(4θ+=r 与直线2,0πθθ==围成图形绕极轴旋转的旋转体体积=V ( )(A )⎰+202)cos 1(16πθθπd(B )⎰+2022sin )cos 1(16πθθθπd(C )⎰++2022]cos )cos 1(4[sin )cos 1(16πθθθθπd(D )⎰++0222]cos )cos 1(4[sin )cos 1(16πθθθθπd11.两个半径为a 的直交圆柱体所围的体积为V =( )(A )⎰-adx x a 022)(4(B )⎰-adx x a 022)(8(C )⎰-adx x a 022)(16 (D )⎰-adx x a 022)(212.矩形闸门宽a 米,高h 米,垂直放在水中,上沿与水面齐,则闸门压力p =( ) (A )⎰hahdh 0 (B )⎰aahdh 0(C )⎰hahdh 021(D )⎰h ahdh 0213.横截面为S ,深为h 的水池装满水,把水全部抽到高为H 的水塔上,所作功=W ( )(A )⎰-+hdy y h H S 0)( (B )⎰-+Hdy y h H S 0)((C )⎰-hdy y H S 0)( (D )⎰+-+Hh dy y h H S 0)(14.半径为a 的半球形容器,每秒灌水b ,水深)0(a h h <<,则水面上升速度是( )(A )⎰h dy y dh d 02π (B )⎰--h dy a y a dh d 022])([π (C )⎰hdy y dh db2π (D )⎰-hdy y ay dh d b2)2(15.设)(),(x g x f 在区间[]b a ,上连续,且m x g x f <<)()((m 为常数),则曲线b x a x x f y x g y ====,),(),(所围平面图形绕直线m y =旋转而成的旋转体体积为( ) (A )⎰-+-badx x g x f x g x f m )]()()][()(2[π(B )⎰---badx x g x f x g x f m )]()()][()(2[π(C )⎰-+-badx x g x f x g x f m )]()()][()([π(D )⎰---badx x g x f x g x f m )]()()][()([π三、计算题1.求抛物线2x y =与2x 2y -=所围图形的面积。
数学分析—极限练习题及详细答案一、选择题1.若0()lim1sin x x xφ→=,则当x 0→时,函数(x)φ与( )是等价无穷小。
A.sin ||xB.ln(1)x -C.1 1.【答案】D 。
2.设f(x)在x=0处存在3阶导数,且0()lim 1tan sin x f x x x→=-则'''f (0)=( )A.5B.3C.1D.02.【答案】 B.解析由洛必达法则可得30002()'()''()limlimlim1tan sin 2cos sin sin cos cos x x x f x f x f x x x x x xx x -→→→==-+-42200''()''()lim lim 16cos sin 2cos cos 21x x f x f x x x x x --→→===-++++可得'''f (0)3= 3.当x 0→时,与1x 133-+为同阶无穷小的是( ) A.3xB.34x C.32xD.x3.【答案】A.解析.1223331233200311(1)1133lim lim (1)3313x x x x x x x ---→→→-+⋅==+=选A 。
4.函数2sin f ()lim 1(2)nn xx x π→∞=+的间断点有( )个A.4B.3C.2D.14.【答案】C.解析.当0.5x >时,分母→∞时()0f x =,故20.5sin 12lim1(2(0.5))2n x π→--=-+⨯-, 20.5sin12lim 1(20.5)2n x π→=+⨯,故,有两个跳跃间断点,选C 。
5.已知()bx xf x a e=-在(-∞,+∞)内连续,且lim ()0x f x →∞=,则常数a ,b 应满足的充要条件是( )A.a>0,b>0B.a ≤0,b>0C.a ≤0,b<0D.a>0,b<05.【答案】B 。
《数学分析(上)》课程习题集一、单选题1. 设)(x f 在D 内有界,并且0)(>x f ,则( )(A )0)(inf >x f (B ){}0)(inf ≥x f (C ){}0)(inf =x f(D )A 、B 、C 都不对2. 函数][)(x x f =在97.3-的值为( )(A )3 (B )4 (C )3-(D )4-3. 函数1sin )1()(--=x x xx x f ,则0=x 是)(x f 的( )(A )连续点 (B )可去间断点(C )跃度非0的第一类间断点 (D )第二类间断点4. 函数⎪⎩⎪⎨⎧=≠=0,00,1sin )(2x x xx x f 在0=x 处的导数为( ) (A )1-(B )0 (C )1 (D )不存在5. 当x ∆充分小,0)('≠x f 时,函数的改变量y ∆与微分y d 的关系是( )(A )y y d =∆(B )y y d <∆(C )y y d >∆(D )y y d ≈∆6. 与x y 2=相同的函数有( )(A )x y 210lg = (B )x y 2lg 10= (C ))sin(arcsin 2x y =(D )xy 211=(E )2)2(x y =7. 设数列}{n x 单调有界,则其极限( )(A )是上确界(B )是下确界(C )可能是上确界也可能是下确界 (D )不是上、下确界8. 当0→x 时,下列变量为等价无穷小量的是( )(A ))1ln(x +与x ; (B )x cos 1-与2x ; (C )x+11与x -1 ; (D )11-+x 与x9. 下面哪个极限值为0( )(A )x x x 1sin lim ∞→ (B )x x x sin lim ∞→ (C )x x x 1sinlim0→ (D )x x x sin lim 0→ 10. 函数)(x f 连续( )(A )必可导(B )是)(x f 可导的充分条件(C )是)(x f 可导的必要条件 (D )是)(x f 可导的充要条件11. 函数)1ln(2x x y ++=是( )(A )偶函数 (B )奇函数 (C )非奇非偶函数 (D )奇、偶函数12. 给数列}{n x ,若在),(εε+-a a 内有无穷多个数列的点,(其中ε为一取定的正数),则( )(A )数列}{n x 必有极限,但不一定等于a (B )数列}{n x 极限存在且一定等于a (C )数列}{n x 的极限不一定存在 (D )数列}{n x 的极限一定不存在13. 设⎩⎨⎧≥+<=0,0,)(x x a x e x f x ,要使)(x f 在0=x 处连续,则a =( )(A )2 (B )1 (C )0 (D )1-14. 设)(x f 是连续函数,)(x F 是)(x f 的原函数,则下列结论正确的是( )(A )当)(x f 是奇函数时,)(x F 必是偶函数 (B )当)(x f 是偶函数时,)(x F 必是奇函数 (C )当)(x f 是周期函数时,)(x F 必是周期函数 (D )当)(x f 是单调增函数时,)(x F 必是单调增函数15. 设⎰-=xdt t x f cos 102sin )(,65)(65x x x g +=,则当0→x 时)(x f 是)(x g 的( )(A )低阶无穷小(B )高阶无穷小(C )等价无穷小 (D )同阶但非等价无穷小16. 设点a 是)(x f 的连续点,是)(x g 的第一类间断点,则点a 是函数)()(x g x f +的( )(A )连续点 (B )可能是连续点,亦可能是间断点(C )第一类间断点 (D )可能是第一类间断点,亦可能是第二类间断点17. 下列函数相同的是( )(A )xxx f =)(与1)(=x g (B )x x f lg 2)(=与2lg )(x x g =(C )x x f 2)(π=与)arccos (arcsin )(x x x x g +=(D )x x f =)(与2)(x x g = (E )11)(24+-=x x x f 与1)(2-=x x g18. 设⎰-=xa dt t f ax x x F )()(2,其中)(x f 为连续函数,则=→)(lim x F a x ( ) (A )2a (B ))(2a f a(C )0 (D )不存在19. 若)(x f 的导函数是x sin ,则)(x f 有一个原函数为( )(A ) 1+x sin(B )1-x sin (C )1+x cos(D )1-x cos20. 设数列0)(lim =∞→n n n n n y x y x 满足与,则下列断言正确的是( )(A )若n x 发散,则n y 必发散 (B )若n x 无界,则n y 必有界; (C )若n x 有界,则n y 必为无穷小 (D )若nx 1为无穷小,则n y 必为无穷小 21. 设[x]表示不超过x 的最大整数,则][x x y -=是( )(A )无界函数 (B )周期为1的周期函数 (C )单调函数(D )偶函数22. 当0→x 时,下列4个无穷小量中比其它3个更高阶的无穷小量是( )(A ))1ln(x + (B )1-xe (C )x x sin tan -(D )x cos 1-23. 设及)(lim 0x f x x →)(lim 0x g x x →均存在,则)()(limx g x f x x →( ) (A )存在 (B )存在但非零 (C )不存在 (D )不一定存在24. 若))(()(+∞<<-∞=-x x f x f ,在)0,(-∞内,0)(>'x f 且0)(<''x f 。