2020届河北省衡水中学衡水金卷2017级高三先享题调研卷数学试卷含解析
- 格式:pdf
- 大小:4.82 MB
- 文档页数:10
一、选择题(本大题共12个小题,每小题5分,共60分.在每小题给出的四个选项中,只有一项是符合题目要求的.)1.已知集合{}2log 1P x x =<-,{}1Q x x =<,则P Q =( )A .10,2⎛⎫ ⎪⎝⎭B .1,12⎛⎫⎪⎝⎭ C .()0,1 D .11,2⎛⎫- ⎪⎝⎭【答案】A考点:集合的运算.2.已知i 为虚数单位,复数z满足()2311i z =-,则z 为( )A .12B.2 C.4D.16【答案】C 【解析】试题分析:由题意得,()321i 1z z -==⇒==+,故选C . 考点:复数的运算.3.如图,网格纸上小正方形的边长为1,粗线或虚线画出某几何体的三视图,该几何体的体积为( )A .8B .12C .18D .24【答案】B考点:几何体的三视图及几何体的体积.【方法点晴】本题主要考查了空间几何体的三视图的应用,着重考查了推理和运算能力及空间想象能力,属于中档试题,解答此类问题的关键是根据三视图的规则“长对正、宽相等、高平齐”的原则,还原出原几何体的形状,本题的解答中,根据给定的三视图,得出该几何体是一个三棱锥与三棱柱的组合体,即可求解该组合体的体积.学科4.已知命题p :方程2210x ax --=有两个实数根;命题q :函数()4f x x x=+的最小值为4.给 出下列命题:①p q ∧;②p q ∨;③p q ∧⌝;④p q ⌝∨⌝. 则其中真命题的个数为( ) A .1 B .2 C .3 D .4【答案】C 【解析】试题分析:由22(2)4(1)440a a ∆=--⨯-=+>,所以方程2210x ax --=有两个实数跟,所以命题p 是真命题;当0x <时,函数()4f x x x=+的取值为负值,所以命题q 为假命题,所以p q ∨,p q ∧⌝,p q ⌝∨⌝是真命题,故选C .考点:命题的真假判定.5.由曲线y =2y x =-及y 轴所围成的图形的面积为( )A .103 B .4C .163D .6【答案】C考点:定积分求解曲边形的面积. 6.函数()21cos 1e xf x x ⎛⎫=-⎪+⎝⎭的图象的大致形状是( )A .B .C .D .【答案】B 【解析】试题分析:由题意得,()211cos cos 1e 1e x x x e f x x x -⎛⎫=-=⋅ ⎪++⎝⎭,所以()1cos()1e x xe f x x ----=⋅-+ 1cos ()1ex x e x f x -=⋅=-+,所以函数()f x 为奇函数,图象关于原点对称,排除选项A ,C ;令1x =,则()12111cos1cos101e 1e e f -⎛⎫⎛⎫=-=< ⎪ ⎪++⎝⎭⎝⎭,故选B . 考点:函数的奇偶性及函数的图象.7.阅读右面的程序框图,运行相应的程序,输出的结果为( )A .1321B .2113C .813D .138【答案】D考点:程序框图的计算.8.定义在R 上的函数()f x 满足()()1f x f x '+>,()04f =,则不等式()e e 3x x f x >+(其中e 为自然对数的底数)的解集为( )A .()0,+∞B .()(),03,-∞+∞C .()(),00,-∞+∞D .()3,+∞【答案】A 【解析】试题分析:设()(),xxg x e f x e x R =-∈,则()()()()[()1]xxxx g x e f x e f x ee f x f x '''=+-=+-,因为()()1f x f x '+>,所以()()1f x f x '+-0>,所以()0g x '>,所以()y g x =是单调递增函数,因为()e e 3x x f x >+,所以()3g x >,又因为()()00003g e f e =-=,即()()0g x g >,所以0x >,故选A . 考点:利用导数研究函数的单调性. 9.若实数a ,b ,c ,d 满足()()2223ln 20b a a c d +-+-+=,则()()22a cb d -+-的最小值为( ) A 2 B .2C .22D .8【答案】D考点:利用导数研究曲线在某点的切线方程及其应用.10.已知()11,01,22,1,x x x f x x -⎧+≤<⎪=⎨⎪≥⎩存在210x x >≥,使得()()12f x f x =,则()12x f x 的取值范 围为( )A.11,42⎫⎪⎪⎣⎭B .1,12⎡⎫⎪⎢⎣⎭C.,14⎫⎪⎪⎣⎭ D.2132⎡⎫-⎪⎢⎪⎣⎭【答案】A 【解析】试题分析:作出函数()11,01,22,1,x x x f x x -⎧+≤<⎪=⎨⎪≥⎩的图象,如图所示,因为存在21,x x 当210x x >≥时,()()12f x f x =,所以1102x ≤<,因为12x +在1[0,)2上的最小值为11,22x -在1[,2)2上的最小值为2,所以1111222x x +≥⇒≥,所以11122x ≤<,因为()()11211(),2f f x x f x x =+=,所以()21211111()2x f x x f x x ==+,令21112y x =+112x ≤<),所以21112y x =+为开口向上,对称轴为14x =-上抛物线,所以21112y x =+在区间11,)22上递增,所以当12x =时,24y -=,当12x =时,12y =,即()12x f x的取值范围是11,42⎫⎪⎪⎣⎭,故选A .考点:对数函数的图象及二次函数的性质. 11.设函数()32133f x x x x =+-,若方程()()210f x t f x ++=有12个不同的根,则实数t 的 取值范围为( ) A .10,23⎛⎫-- ⎪⎝⎭B .(),2-∞-C .34,215⎛⎫-- ⎪⎝⎭D .()1,2-【答案】C选C .考点:根的存在性及根的个数判断.【方法点晴】本题主要考查了方程中根的存在性及其方程根的个数的判读,其中解答中涉及到函利用导数研究函数的单调性、利用导数研究函数的极值与最值,以及数与方程思想的应用、试题有一定的难度,属于中档试题,解答中利用换元法转化为一元二次函数,利用一元二次函数的性质是解答问题的关键,着重考查了学生转化与化归思想、推理与运算能力.12.设曲线()e x f x x =--(e 为自然对数的底数)上任意一点处的切线为1l ,总存在曲线()32cos g x ax x =+上某点处的切线2l ,使得12l l ⊥,则实数a 的取值范围为( )A .[]1,2-B .()3,+∞C .21,33⎡⎤-⎢⎥⎣⎦D .12,33⎡⎤-⎢⎥⎣⎦【答案】D考点:利用导数研究曲线在某点的切线方程.【方法点晴】本题主要考查了利用导数研究过曲线在某点的切线方程,其中解答中涉及到函数的求导数的公式、两条直线的位置关系的判定与应用,解答此类问题的关键在于把问题转化为集合之间的关系,列出不等式组求解,试题有一定的难度,属于中档试题,着重考查了学生分析问题和解答问题的能力,以及转化与化归思想的应用.第Ⅱ卷(非选择题共90分)二、填空题(本大题共4小题,每题5分,满分20分.)13.设1m >,变量x ,y 在约束条件,,1y x y mx x y ≥⎧⎪≤⎨⎪+≤⎩下,目标函数z x my =+的最大值为2,则m =_________.【答案】1m =+考点:简单的线性规划的应用.14.函数e xy mx =-在区间(]0,3上有两个零点,则m 的取值范围是_________.【答案】3e e,3⎛⎤⎥⎝⎦【解析】试题分析:由题意得e 0xy mx =-=,得x e m x =,设()()22(1)x x x x e e x e e x f x f x x x x ⋅--'=⇒==,可得()f x 在区间(1,3)上单调递增;在区间(0,1)上单调递减,所以当1x =时,函数()f x 取得极小值,同时也是最小值()1f e =,因为当0x →时,()f x →+∞,当3x =时,()333e f =,所以要使得函数e xy mx=-在区间(0,3]上有两个零点,所以实数m 的取值范围是3e e 3m <<.考点:利用导数研究函数的单调性及极值(最值).15.已知函数()3223f x x mx nx m =+++在1x =-时有极值0,则m n +=_________. 【答案】11考点:利用导数研究函数的极值.【方法点晴】本题主要考查了利函数在某点取得极值的性质,其中解答中涉及到了应用导数研究函数的单调性与极值、函数的极值的性质等知识点的考查,利用导数研究函数的极值时,若函数子啊取得极值0()0f x '=,反之结论不成立,即函数由0()0f x '=,函数在该点不一定是极值点(还得加上两侧的单调性的改变),防止错解,属于基础题.16.定义在R 上的函数()f x 满足:()()2f x f x x -+=,当0x <时,()f x x '<,则不等式()()112f x f x x +≥-+的解集为_________. 【答案】12x ≤考点:抽象的性质及其应用.【方法点晴】本题主要考查了抽象函数的性质及其应用,其中解答中涉及到利用到导数研究函数的单调性、函数单调性的应用、不等式的求解等知识点的考查,同时考查了构造函数研究函数性质的能力,其中根据题设,利用导数研究出函数的单调性是解答的关键,着重考查了转化与化归思想及学生的推理与运算能力.三、解答题(本大题共6小题,共70分.解答应写出文字说明、证明过程或演算步骤.)17.(本小题满分12分)在ABC ∆中,a ,b ,c 分别为角A ,B ,C 所对的边,且cos 2cos 3cos a b cA B C==. (1)求角A 的大小;(2)若ABC ∆的面积为3,求a 的值.【答案】(1)π4A =;(2)a = 【解析】试题分析:(1)根据正弦定理化简得sin sin sin cos 2cos 3cos A B CA B Cθ==,即可得到tan 2tan B A =, tan 3tan C A =,利用三角恒等变换,可知求解tan 1A =,即可求解角A 的大小;(2)利用正弦定理得出sin sin Bb a A=,代入三角形的面积公式,即可求解a 的值.(2)由tan 1A =可得tan 2B =,tan 3C =,则sin B =,sin C =.在ABC ∆中有sin sin a bA B=,则sin sin 2B b a a A ===,则2113sin 3225ABCa S ab C a ∆====. 得25a =,所以a =考点:正弦定理;三角形的面积公式. 18.(本小题满分12分) 函数21()ln 22f x x ax x =--. (1)当3a =时,求()f x 的单调区间;(2)若()1,a ∀∈-+∞,()1,e x ∃∈,有()0f x b -<,求实数b 的取值范围. 【答案】(1)增区间是10,3⎛⎫ ⎪⎝⎭,减区间是1,3⎛⎫+∞ ⎪⎝⎭;(2)3,2⎛⎫-+∞ ⎪⎝⎭. 【解析】(2)首先,对于任意()1,a ∈-+∞,21ln 22x ax x b --<恒成立,则2max1ln 22b x ax x ⎛⎫>-- ⎪⎝⎭因为函数()2211ln 22ln 22h a x ax x x a x x =--=--+在()1,-+∞上是减函数, 所以()()2112ln 2h a h x x x <-=-+,212ln 2b x x x ∴≥-+ 其次,()1,x e ∃∈,使不等式212ln 2b x x x ≥-+成立,于是2min12ln 2b x x x ⎛⎫≥-+ ⎪⎝⎭ 令()212ln 2g x x x x =-+,则()()21120x g x x x x-'=-+=≥,所以函数()g x 在()1,e 上是增函数,于是()()min 312g x g ==,故32b >-,即b 的取值范围是3,2⎛⎫-+∞ ⎪⎝⎭考点:利用导数研究函数的单调性及其最值. 19.(本小题满分12分)在ABC ∆中,角A ,B ,C 的对边分别为a ,b ,c,且4sin b A =.(1)求sin B 的值;(2)若a ,b ,c 成等差数列,且公差大于0,求cos cos A C -的值. 【答案】(1)sin 4B =;(2)cos cos 2A C -=.【解析】试题分析:(1)根据正弦定理得4sin sin B A A =,即可求解sin B 的值;(2)已知和正弦定理以及考点:正弦定理;三角函数的化简求值. 20.(本小题满分12分)已知函数()242ln f x ax bx a x =-+(,a b ∈R ). (1)若函数()y f x =存在极大值和极小值,求ba的取值范围; (2)设m ,n 分别为()f x 的极大值和极小值,若存在实数2e 1,2e b a ⎫+∈⎪⎭,使得1m n -=,求a的取值范围. 【答案】(1)1ba>;(2)22111e e 4e e 2a --<<----. 【解析】试题分析:(1)求出函数的导数()f x ',函数()y f x =存在极大值和极小值,故方程()0f x '=有两个不等的正实数根,列出不等式组,即可求解ba 的取值范围;(2)由2e 1,2eb a ⎛⎫+∈⎪⎭得0a >,且2e12eba⎫+∈⎪⎭.由(1)知()f x存在极大值和极小值,设()0f x'=的两根为1x,2x(120x x<<),则()f x在()10,x上递增,在()12,x x上递减,在()2,x+∞上递增,所以()1m f x=,()2n f x=,根据121x x=可把m n-表示为关于1,x a的表达式,再借助1x的范围即可求解a的取值范围.试题解析:(1)()2224224a ax bx af x ax bx x-+'=-+=,其中0x>……………2分由于函数()y f x=存在极大值和极小值,故方程()0f x'=有两个不等的正实数根,即22420ax bx a-+=有两个不等的正实数根记为1x,2x,显然0a≠…………4分所以()221212160,20,10.b abx xax x⎧∆=->⎪⎪+=>⎨⎪=>⎪⎩解得1ba>.…………………………………………6分令21t x=,则12lnm n a t a tt⎛⎫-=--+⎪⎝⎭,令()21112lne eh t t t tt⎛⎫⎛⎫=--+<<⎪ ⎪⎝⎭⎝⎭所以()()22211210t h t t t t -'=--+=-≤, 所以()h t 在211,e e ⎛⎫⎪⎝⎭上单调递减,所以()122e e 2e e 4h t ----<<-- 由()1m n ah t -==,知()1a h t =,所以22111e e 4e e 2a --<<----,………1分 考点:利用导数研究函数的单调性及其极值.【方法点晴】本题主要考查了利用导数研究函数的单调性、利用导数研究函数的极值与最值,综合考查了学生综合运用知识分析问题和解答问题的能力,试题综合性强、计算量大,能力要求高,属于难题,解答中根据121x x =可把m n -表示为关于1,x a 的表达式,借助1x 的范围是试题的难点,此类问题需平时注重总结和整理.21.(本小题满分12分)已知函数()ln f x x x =,()e xxg x =. (1)记()()()F x f x g x =-,判断()F x 在区间()1,2内的零点个数并说明理由;(2)记()F x 在()1,2内的零点为0x ,()()(){}min ,m x f x g x =,若()m x n =(n ∈R )在()1,+∞内 有两个不等实根1x ,2x (12x x <),判断12x x +与02x 的大小,并给出对应的证明. 【答案】(1)()F x 在区间()1,2有且仅有唯一实根;(2)1202x x x +>,证明见解析.显然当2x →+∞时,1202x x x +>,下面用分析法给出证明.要证:1202x x x +>即证20102x x x x >->,而()m x 在()0,x +∞上递减,故可证()()2012m x m x x <-,又由()()12m x m x =,即证()()1012m x m x x <-,即01011122ln x x x x x x e --<,…………9分记()0022ln x xx xh x x x e --=-,01x x <<,其中()00h x =.()0000022212211ln 1ln x x x x x xx x x x h x x x e e e ---+--'=++=++-, …………10分 记()t t t e ϕ=,()1t t t e ϕ-'=,当()0,1t ∈时,()0t ϕ'<;()1,t ∈+∞时,()0t ϕ'>故()max1t eϕ=,而()0t ϕ>故()10t eϕ<<,而020x x ->,从而002210x xx xee---<-<,因此()00000222122111ln 1ln 10x x x x x xx x x x h x x x e e e e---+--'=++=++->->,…………11分 即()h x 单增.从而01x x <<时,()()00h x h x <=即01011122ln x x x x x x e --<,故1202x x x +>得证…………12分考点:利用导数研究函数的单调性及其极值(最值).【方法点晴】本题主要考查了利用导数研究函数的单调性、利用导数研究函数的极值与最值,综合考查了学生综合运用知识分析问题和解答问题的能力,试题综合性强、计算量大,能力要求高,属于难题,解答中由(1)和题设条件,得出函数()00ln ,1,x x x x x m x x x x e<≤⎧⎪=⎨>⎪⎩,进而利用函数()m x 的性质求解是解答的关键,此类问题需要注重方法的总结和积累.请考生在第22、23、24三题中任选一题作答,如果多做,则按所做的第一题记分.解答时请写清题号.22.(本小题满分10分)选修4-1:几何证明选讲如图,AE 是圆O 的切线,A 是切点,AD OE ⊥于D ,割线EC 交圆O 于B ,C 两点.(1)证明:O ,D ,B ,C 四点共圆;(2)设50DBC ∠=︒,30ODC ∠=︒,求OEC ∠的大小. 【答案】(1)证明见解析;(2)20.()18018020OBC DBC DBC ODC =︒-∠-︒-∠=∠-∠=︒. …………10分考点:与圆有关的比例线段.23.(本小题满分10分)选修4-4:坐标系与参数方程 已知直线l 的参数方程为10,x t y t=-+⎧⎨=⎩(t 为参数),以坐标原点为极点,x 轴的正半轴为极轴建立极坐标系,圆C 的极坐标方程为24sin 20ρρθ-+=. (1)把圆C 的极坐标方程化为直角坐标方程;(2)将直线l 向右平移h 个单位,所得直线l '与圆C 相切,求h . 【答案】(1)22420x y y +-+=;(2)6h =或10h =.考点:极坐标方程与直角坐标方程的互化;参数方程的应用. 24.(本小题满分10分)选修4-5:不等式选讲已知函数()2f x x a a =-+,a ∈R ,()21g x x =-. (1)若当()5g x ≤时,恒有()6f x ≤,求a 的最大值;(2)若当x ∈R 时,恒有()()3f x g x +≥,求a 的取值范围. 【答案】(1)1;(2)[)2,+∞.考点:绝对值不等式.。
2020届衡水中学2017级高三上学期期中考试数学(理)试卷★祝考试顺利★一、选择题1.已知曲线()cos 3f x x x x =+在点()()0,0f 处的切线与直线410ax y ++=垂直,则实数a 的值为( )A. -4B. -1C. 1D. 4【答案】C【解析】【分析】先求出()f x 在点()()0,0f 处的切线斜率,然后利用两直线垂直的条件可求出a 的值.【详解】由题意,()cos sin 3f x x x x '=-+,()0cos034f '=+=,则曲线()f x 在点()()0,0f 处的切线斜率为4,由于切线与直线410ax y ++=垂直,则414a -⨯=-,解得1a =.故选C.2.已知各项不为0的等差数列{}n a 满足2578220a a a -+=,数列{}n b 是等比数列且77b a =,则212b b 等于( ) A. 49 B. 32 C. 94 D. 23【答案】C【解析】由题意可得:()()2225787777722222320a a a a d a a d a a -+=--++=-=,7730,2a a ≠∴=Q ,则:222127794b b b a ===. 本题选择C 选项.3.对于函数()f x ,若存在区间[,]A m n =使得{|(),}y y f x x A A =∈=则称函数()f x 为“同域函数”,区间A 为函数()f x 的一个“同城区间”.给出下列四个函数: ①()cos 2f x x π=;②2()1f x x =-;③2()|1|f x x =-;④2()log (1)f x x =-.存在“同域区间”的“同域函数”的序号是( )A. ①②③B. ①②C. ②③D. ①②④【答案】A【解析】①()cos 2f x x π= ,x∈[0,1]时,f (x )∈[0,1],所以①存在同域区间;②()21f x x =-,x∈[-1,0]时,f (x )∈[-1,0],所以②存在同域区间;③()21f x x =-,x∈[0,1]时,f (x )∈[0,1],所以③存在同域区间;④()()2log 1f x x =-,判断该函数是否有同域区间,即判断该函数和函数y=x 是否有两个交点;而根据这两个函数图象可以看出不存在交点,所以该函数不存在同域区间.故答案为①②③.4.设θ为两个非零向量,a b r r 的夹角,已知对任意实数t ,b ta +r r 的最小值为1,下列说法正确的是( )A. 若θ确定,则a r 唯一确定B. 若θ确定,则b r 唯一确定C. 若a r 确定,则θ唯一确定D. 若b r 确定,则θ唯一确定 【答案】B【解析】【分析】对式子b ta +r r 平方转化成关于t 的二次函数,再利用最小值为1,得到()221cos 1b θ-=r ,进而判断θ与b r 之间的关系. 【详解】222222222cos b ta b ta b t a a t a b t b θ+=+⋅+=+⋅⋅+r r r r r r r r r r . 因为min 1b ta +=r r ,所以()2222222244cos 1cos 14a b a b b a θθ⋅-⋅=-=r r r r r r .。
第Ⅰ卷(选择题 共60分)一、选择题:本大题共12个小题,每小题5分,共60分.在每小题给出的四个选项中,只有一项是符合题目要求的.1. 已知集合{}21log A x N x k =∈<<,集合A 中至少有3个元素,则( ) A .8k > B .8k ≥ C .16k > D .16k ≥ 【答案】C考点:1.集合的运算;2.对数函数的性质. 2. 若()1z i i +=,则z 等于( )A .1BCD .12【答案】C 【解析】试题分析:由()1z i i +=得()()()11111122i i i z i i i i -===+++-,所以2z ==,故选C. 考点:1.复数相关的概念;2.复数的运算.3. 在明朝程大位《算法统宗》中有这样的一首歌谣:“远看巍巍塔七层,红光点点倍加增,共灯三百八十一,请问尖头几盏灯?”这首古诗描述的这个宝塔其古称浮屠,本题说它一共有7层,每层悬挂的红灯数是上一层的2倍,共有381盏灯,问塔顶有几盏灯?( ) A .5 B .6 C .4 D .3 【答案】D 【解析】试题分析:由题意可知,每层悬挂的灯数从上到下依次构成比差数列,公比为2,设顶层的灯数为1a ,则77111(12)(2112738112a a a -==--)=,解之得13a =,故选D.考点:1.数学文化;2.等比数列的性质与求和.4. 已知双曲线()2222:10 0x y C a b a b-=>>,,则C 的渐近线方程为( ) A .14y x =± B .13y x =± C.12y x =± D .y x =±【答案】C考点:双曲线的标准议程与几何性质.5. 执行如图所示的程序框图,则输出的结果为( )A .4B .9 C.7 D .5 【答案】B 【解析】试题分析:模拟算法,开始:输入0,0,1T S n ===;2,9(11)18,123,T S n T S ==+==+=≥不成立; 328,9(31)36,325,T S n T S ===+==+=≥不成立; 5232,9(51)54,527,T S n T S ===+==+=≥不成立; 72128,9(71)63,729,T S n T S ===+==+=≥成立;输出9n =,结束得算法.故选B.考点:程序框图.6. 已知函数()()()cos 0f x A x ωϕω=+>的部分图象如图所示,下面结论错误的是( )A .函数()f x 的最小正周期为23πB .函数()f x 的图象可由()()cos g x A x ω=的图象向右平移12π个单位得到 C.函数()f x 的图象关于直线12x π=对称D .函数()f x 在区间 42ππ⎛⎫ ⎪⎝⎭,上单调递增 【答案】D考点:三角函数的图象和性质.7. 德国著名数学家狄利克雷在数学领域成就显著,以其名命名的函数() 1 0 x f x x ⎧=⎨⎩,为有理数,为无理数,称为狄利克雷函数,则关于函数()f x 有以下四个命题: ①()()1f f x =; ②函数()f x 是偶函数;③任意一个非零有理数T ,()()f x T f x +=对任意x R ∈恒成立;④存在三个点()()()()()()112233 A x f x B x f x C x f x ,,,,,,使得ABC △为等边三角形.其中真命题的个数是( )A .4B .3 C.2 D .1 【答案】A考点:1.函数的奇偶性;2.函数的周期性;3.分段函数的表示与求值. 8. 某几何体的三视图如图所示,则该几何体的体积为( )A .10B .20 C.40 D .60 【答案】B 【解析】试题分析:由三视图可知该几何体的直观图如下图所示,且三角形ABC 是以角A 为直角的直角三角形,4,3AB AC ==,从而5BC =,又5BD =,且BD ⊥平面ABC ,故四边形BCED 中边长为5的正方形,过A 作AH BC ⊥于H ,由易知AH ⊥平面BCED ,在直角三角形ABC 中可求得125AH =,从而ABCD 11125520335A BCED V V S AH -==⨯⨯=⨯⨯⨯=正方形,故选B.考点:1.三视图;2.多面体和体积.9. 已知A 、B 是椭圆()222210x y a b a b +=>>长轴的两个端点,M 、N 是椭圆上关于x 轴对称的两点,直线AM 、BN 的斜率分别为()1212 0k k k k≠,,则12k k +的最小值为( )A .1 BD【答案】A10. 在棱长为6的正方体1111ABCD A B C D -中,M 是BC 的中点,点P 是面11DCC D 所在的平面内的动点,且满足APD MPC ∠=∠,则三棱锥P BCD -的体积最大值是( )A .36B .C.24 D . 【答案】A考点:1.线面垂直的判定与性质;2.轨迹方程的求法;3.多面体的体积.11. 已知函数()()()3ln 1 01 1 0x x f x x x -<⎧⎪=⎨-+≥⎪⎩,,,若()f x ax ≥恒成立,则实数a 的取值范围是( ) A .20 3⎡⎤⎢⎥⎣⎦, B .30 4⎡⎤⎢⎥⎣⎦, C.[]0 1, D .30 2⎡⎤⎢⎥⎣⎦,【答案】B 【解析】试题分析:在同一坐标系内作出函数()()()3ln 1 01 1 0x x f x x x -<⎧⎪=⎨-+≥⎪⎩,,与函数y ax =和图象,通过图象可知,当直线y ax =绕着原点从x 轴旋转到与图中直线l 重合时,符合题意,当0x >时,2()3(1)f x x '=-,设直线l与函数()y f x =的切点为00(,)P x y ,则3200000(1)3(1)y x x x x --==,解之得032x =,所以直线l 的斜率2333(1)24k =⨯-=,所以a 的取值范围为30 4⎡⎤⎢⎥⎣⎦,,故选B.考点:1.函数与不等式;2.导数的几何意义.【名师点睛】本题考查函数与不等式、导数的几何意义,属中档题;导数的几何意义是每年高考的必考内容,利用导数解决不等式恒成立问题,首先要构造函数,利用导数研究函数的单调性,求出最值,进而得出相应的含参不等式,从而求出参数的范围;或参变分离,构造函数,直接把问题转化为函数的最值问题;或通过数列结合解题.12. 已知过抛物线()2:20G y px p =>焦点F 的直线l 与抛物线G 交于M 、N 两点(M 在x 轴上方),满足3MF FN =,163MN =,则以M 为圆心且与抛物线准线相切的圆的标准方程为( )A .2211633x y ⎛⎛⎫-+-= ⎪ ⎝⎭⎝⎭ B .2211633x y ⎛⎛⎫-+= ⎪ ⎝⎭⎝⎭C.()(22316x y -+-= D .()(22316x y -+=【答案】C考点:1.抛物线的标准方程与几何性质;2.直线与抛物线的位置关系;2.圆的标准方程.【名师点睛】本题考查抛物线的标准方程与几何性质、直线与抛物线的位置关系、圆的标准方程,属难题;在解抛物线有关问题时,凡涉及抛物线上的点到焦点的距离时,一般要运用定义转化为到准线的距离处理;抛物线的焦点弦一直是高考的热点,对于焦点弦的性质应牢固掌握.第Ⅱ卷(非选择题 共90分)二、填空题(每题5分,满分20分,将答案填在答题纸上)13. 若x 、y 满足约束条件10040x x y x y -≥⎧⎪-≤⎨⎪+-≤⎩,则1y x -的最大值为 .【答案】2考点:线性规划.14. 在ABC △中, 3 5AB AC ==,,若O 为ABC △外接圆的圆心(即满足OA OB OC ==),则AO BC ⋅的值为 . 【答案】8考点:数量积的几何运算.【名师点睛】本题考查数量积的几何运算,属中档题;平面向量的数量积有两种运算,一是依据长度与夹角,即数量积的几何意义运算,一是利用坐标运算,本题充分利用向量线性运算的几何意义与数量积的几何意义进行运算,运算量不大,考查子学生逻辑思维能力,体现了数形结合的数学思想. 15. 已知数列{}n a 的各项均为正数,11142 n n n n a a a a a ++=-=+,,若数列11n n a a -⎧⎫⎨⎬+⎩⎭的前n 项和为5,则n = .【答案】120 【解析】试题分析:数列11n n a a -⎧⎫⎨⎬+⎩⎭的前n 项和为321121211223111154444n n n a a a a a a a a a a a a a a +-----+++=++==+++,所以122n a +=, 又114 n n n na a a a ++-=+,所以221 4n n a a +-=,由此可得22211444,2244,120n a a n n n n +=+=+∴=+=,即应填120.考点:1.数列求和;2.累和法求数列通项.【名师点睛】本题考查数列求和,累和法求数列通项,属中档题;由数列的递推公式求通项公式时,若递推关系为a n +1=a n +f (n )或a n +1=f (n )·a n ,则可以分别通过累加、累乘法求得通项公式,另外,通过迭代法也可以求得上面两类数列的通项公式,数列求和的常用方法有倒序相加法,错位相减法,裂项相消法,分组求和法,并项求和法等,可根据通项特点进行选用.16. 过抛物线()220y px p =>的焦点F 的直线l 与抛物线在第一象限的交点为A ,与抛物线的准线的的交点为B ,点A 在抛物线的准线上的射影为C ,若 48AF FB BA BC =⋅=,,则抛物线的方程为 . 【答案】24y x =考点:1.抛物线的标准方程与几何性质;2.向量数量积的几何意义.三、解答题 (本大题共6小题,共70分.解答应写出文字说明、证明过程或演算步骤.)17. (本小题满分12分)在ABC △中,内角A 、B 、C 所对的边分别为 a b c ,,,已知 4 6 2b c C B ===,,. (1)求cos B 的值; (2)求ABC △的面积.【答案】(1)34;(2考点:1.正弦定理;2.三角恒等变换;3.三角形内角和与三角形面积公式.【名师点睛】本题考查正弦定理、三角恒等变换、三角形内角和与三角形面积公式,属中档题. 正、余弦定理是揭示三角形边角关系的重要定理,直接运用正弦定理解决一类已知三角形两边及一角对边求其它元素,或已知两边及一边对角求其它元素的问题,这时要讨论三角形解的个数问题;利用余弦定理可以快捷求第三边直接运用余弦定理解决一类已知三角形两边及夹角求第三边或者是已知三个边求角的问题;知道两边和其中一边的对角,利用余弦定理可以快捷求第三边. 18. (本小题满分12分)如图所示,在三棱柱111ABC A B C -中,11AA B B 为正方形,11BB C C 为菱形,1160BB C ∠=︒,平面11AA B B ⊥平面11BB C C .(1)求证:11B C AC ⊥;(2)设点E 、F 分别是1B C ,1AA 的中点,试判断直线EF 与平面ABC 的位置关系,并说明理由; (3)求二面角1B AC C --的余弦值.【答案】(1)见解析;(2) EF ∥平面ABC ;.(3)在平面11BB C C 内过点B 作1Bz BB ,考点:1.面面垂直的判定与性质;2.线面平行、垂直的判定与性质;3.空间向量的应用.【名师点睛】本题考查.面面垂直的判定与性质、线面平行、垂直的判定与性质及空间向量的应用,属中档题;解答空间几何体中的平行、垂直关系时,一般要根据已知条件把空间中的线线、线面、面面之间的平行、垂直关系进行转化,转化时要正确运用有关的定理,找出足够的条件进行推理;求二面角,则通过求两个半平面的法向量的夹角间接求解.此时建立恰当的空间直角坐标系以及正确求出各点的坐标是解题的关键所在.19. (本小题满分12分)如图,在平面直角坐标系xOy 中,已知()00 R x y ,是椭圆22:12412x y C +=上的一点,从原点O 向圆()()2200:8R x x y y -+-=作两条切线,分别交椭圆于P ,Q.(1)若R 点在第一象限,且直线OP ,OQ 互相垂直,求圆R 的方程; (2)若直线OP ,OQ 的斜率存在,并记为12 k k ,,求12k k 的值; (3)试问22OP OQ +是否为定值?若是,求出该值;若不是,说明理由. 【答案】(1)((228x y -+-=;(2)12-;(3)36. =,化简得20122088y k k x -⋅=-,因为点()00R x y ,在椭圆C 上,所以220012412x y +=,即22001122y x =-,所以201220141228x k k x -==--. (3)方法一(1)当直线OP 、OQ 不落在坐标轴上时,设()11 P x y ,,()22 Q x y ,, 由(2)知12210k k +=,所以121221y y x x =,故2222121214y y x x =,因为()11 P x y ,,()22 Q x y ,,在椭圆C 上,所以221112412x y +=,222212412x y +=, 即22111122y x =-,22221122y x =-,所以222212121111212224x x x x ⎛⎫⎛⎫--= ⎪⎪⎝⎭⎝⎭,整理得221224x x +=,所以222212121112121222y y x x ⎛⎫⎛⎫+=-+-= ⎪ ⎪⎝⎭⎝⎭,所以()()22222222221122121236OP OQ x y x y x x y y +=+++=+++=.考点:1.椭圆的标准方程与几何性质;2.圆的标准方程;3.直线与圆的位置关系. 20. (本小题满分12分)设椭圆()2222:10x y C a b a b +=>>的左、右焦点分别为1F 、2F ,上顶点为A ,过A 与2AF 垂直的直线交x 轴负半轴于Q 点,且12220F F F Q +=. (1)求椭圆C 的离心率;(2)若过A 、Q 、2F 三点的圆恰好与直线30x --=相切,求椭圆C 的方程;(3)过2F 的直线l 与(2)中椭圆交于不同的两点M 、N ,则1F MN △的内切圆的面积是否存在最大值?若存在,求出这个最大值及此时的直线方程;若不存在,请说明理由.【答案】(1)12;(2) 22143x y +=;(3)1F MN △的内切圆的面积的最大值为916π,此时直线l 的方程为1x =.考点:1.椭圆的标准方程与几何性质;2.直线与椭圆的位置关系;3.直线与圆的位置关系. 21. (本小题满分12分) 已知0t >,设函数()()3231312t f x x x tx +=-++.(1)存在()00 2x ∈,,使得()0f x 是()f x 在[]0 2,上的最大值,求t 的取值范围; (2)()2x f x xe m ≤-+对任意[0 )x ∈+∞,恒成立时,m 的最大值为1,求t 的取值范围.【答案】(1)5[ )3+∞,;(2) 1(0 ]3,.【解析】试题分析:(1)求函数()f x 的导数得()()()()2'331331f x x t x t x x t =-++=--,分别讨论01,1,12,2t t t t <<=<<≥时函数()f x 在区间[]0 2,的最大值点是否符合题意即可;(2)()32313122x t x x tx xe m +-++≤-+对任意[0 )x ∈+∞,恒成立, 即()()3223131313122x x t t m xe x x tx x e x x t ++⎛⎫≤-+-+=-+-+ ⎪⎝⎭对任意[0 )x ∈+∞,恒成立,令()()23132x t g x e x x t +=-+-,[0 )x ∈+∞,,根据题意,可以知道m 的最大值为1,则 ()()231302x t g x e x x t +=-+-≥恒成立,由于()0130g t =-≥,则103t <≤,当103t <≤时,()()31'22x t g x e x +=-+,则()''2x g x e =-,若()''20x g x e =-=,则()'g x 在()0 ln 2,上递减,在()ln 2 +∞,上递增,则()()()max 3'ln 2212ln 202g x g t ==++->,∴()g x 在[0 )+∞,上是递增的函数.∴()()0130g x g t ≥=-≥,满足条件,∴t 的取值范围是1(0 ]3,.考点:1.导数与函数的单调性、极值,最值;2.函数与不等式.请考生在22、23两题中任选一题作答,如果多做,则按所做的第一题记分.22. (本小题满分10分)选修4-4:坐标系与参数方程已知圆锥曲线2cos :x C y αα=⎧⎪⎨=⎪⎩(α为参数)和定点(0 A ,1F 、2F 是此圆锥曲线的左、右焦点,以原点O 为极点,以x 轴的正半轴为极轴建立极坐标系. (1)求直线2AF 的直角坐标方程;(2)经过点1F 且与直线2AF 垂直的直线l 交此圆锥曲线于M 、N 两点,求12MF NF -的值.【答案】0y +=;(2.考点:1.参数方程与普通方程的互化;2.直线参数方程的应用. 23. (本小题满分10分)选修4-5:不等式选讲设()34f x x x=-+-.(1)解不等式()2f x≤;(2)若存在实数x满足()1f x ax≤-,试求实数a的取值范围.【答案】(1)5922⎡⎤⎢⎥⎣⎦,;(2)()12[)2-∞-+∞,,考点:1.含绝对值不等式的解法;2.分段函数的表示与作图;3.函数与不等式.。
第Ⅰ卷(选择题 共60分)一、选择题:本大题共12个小题,每小题5分,共60分.在每小题给出的四个选项中,只有一项是符合题目要求的.1. 已知集合{}21log A x N x k =∈<<,集合A 中至少有3个元素,则( ) A .8k > B .8k ≥ C .16k > D .16k ≥ 【答案】C考点:1.集合的运算;2.对数函数的性质. 2. 若()1z i i +=,则z 等于( )A .1BCD .12【答案】C 【解析】试题分析:由()1z i i +=得()()()11111122i i i z i i i i -===+++-,所以2z ==,故选C. 考点:1.复数相关的概念;2.复数的运算.3. 在明朝程大位《算法统宗》中有这样的一首歌谣:“远看巍巍塔七层,红光点点倍加增,共灯三百八十一,请问尖头几盏灯?”这首古诗描述的这个宝塔其古称浮屠,本题说它一共有7层,每层悬挂的红灯数是上一层的2倍,共有381盏灯,问塔顶有几盏灯?( ) A .5 B .6 C .4 D .3 【答案】D 【解析】试题分析:由题意可知,每层悬挂的灯数从上到下依次构成比差数列,公比为2,设顶层的灯数为1a ,则77111(12)(2112738112a a a -==--)=,解之得13a =,故选D.考点:1.数学文化;2.等比数列的性质与求和.4. 已知双曲线()2222:10 0x y C a b a b-=>>,,则C 的渐近线方程为( ) A .14y x =± B .13y x =± C.12y x =± D .y x =±【答案】C考点:双曲线的标准议程与几何性质.5. 执行如图所示的程序框图,则输出的结果为( )A .4B .9 C.7 D .5 【答案】B 【解析】试题分析:模拟算法,开始:输入0,0,1T S n ===;2,9(11)18,123,T S n T S ==+==+=≥不成立; 328,9(31)36,325,T S n T S ===+==+=≥不成立; 5232,9(51)54,527,T S n T S ===+==+=≥不成立; 72128,9(71)63,729,T S n T S ===+==+=≥成立;输出9n =,结束得算法.故选B.考点:程序框图.6. 已知函数()()()cos 0f x A x ωϕω=+>的部分图象如图所示,下面结论错误的是( )A .函数()f x 的最小正周期为23πB .函数()f x 的图象可由()()cos g x A x ω=的图象向右平移12π个单位得到 C.函数()f x 的图象关于直线12x π=对称D .函数()f x 在区间 42ππ⎛⎫ ⎪⎝⎭,上单调递增【答案】D考点:三角函数的图象和性质.7. 德国著名数学家狄利克雷在数学领域成就显著,以其名命名的函数() 1 0 x f x x ⎧=⎨⎩,为有理数,为无理数,称为狄利克雷函数,则关于函数()f x 有以下四个命题: ①()()1f f x =; ②函数()f x 是偶函数;③任意一个非零有理数T ,()()f x T f x +=对任意x R ∈恒成立;④存在三个点()()()()()()112233 A x f x B x f x C x f x ,,,,,,使得ABC △为等边三角形. 其中真命题的个数是( )A .4B .3 C.2 D .1 【答案】A考点:1.函数的奇偶性;2.函数的周期性;3.分段函数的表示与求值. 8. 某几何体的三视图如图所示,则该几何体的体积为( )A .10B .20 C.40 D .60 【答案】B 【解析】试题分析:由三视图可知该几何体的直观图如下图所示,且三角形ABC 是以角A 为直角的直角三角形,4,3AB AC ==,从而5BC =,又5BD =,且BD ⊥平面ABC ,故四边形BCED 中边长为5的正方形,过A 作AH BC ⊥于H ,由易知AH ⊥平面BCED ,在直角三角形ABC 中可求得125AH =,从而ABCD 11125520335A BCED V V S AH -==⨯⨯=⨯⨯⨯=正方形,故选B.考点:1.三视图;2.多面体和体积.9. 已知A 、B 是椭圆()222210x y a b a b +=>>长轴的两个端点,M 、N 是椭圆上关于x 轴对称的两点,直线AM 、BN 的斜率分别为()1212 0k k k k≠,,则12k k +的最小值为( )A .1 BD【答案】A10. 在棱长为6的正方体1111ABCD A B C D -中,M 是BC 的中点,点P 是面11DCC D 所在的平面内的动点,且满足APD MPC ∠=∠,则三棱锥P BCD -的体积最大值是( )A .36B .24 D . 【答案】A考点:1.线面垂直的判定与性质;2.轨迹方程的求法;3.多面体的体积.11. 已知函数()()()3ln 1 01 1 0x x f x x x -<⎧⎪=⎨-+≥⎪⎩,,,若()f x ax ≥恒成立,则实数a 的取值范围是( ) A .20 3⎡⎤⎢⎥⎣⎦,B .30 4⎡⎤⎢⎥⎣⎦, C.[]0 1, D .30 2⎡⎤⎢⎥⎣⎦, 【答案】B 【解析】试题分析:在同一坐标系内作出函数()()()3ln 1 01 1 0x x f x x x -<⎧⎪=⎨-+≥⎪⎩,,与函数y ax =和图象,通过图象可知,当直线y ax =绕着原点从x 轴旋转到与图中直线l 重合时,符合题意,当0x >时,2()3(1)f x x '=-,设直线l与函数()y f x =的切点为00(,)P x y ,则3200000(1)3(1)y x x x x --==,解之得032x =,所以直线l 的斜率2333(1)24k =⨯-=,所以a 的取值范围为30 4⎡⎤⎢⎥⎣⎦,,故选B.考点:1.函数与不等式;2.导数的几何意义.【名师点睛】本题考查函数与不等式、导数的几何意义,属中档题;导数的几何意义是每年高考的必考内容,利用导数解决不等式恒成立问题,首先要构造函数,利用导数研究函数的单调性,求出最值,进而得出相应的含参不等式,从而求出参数的范围;或参变分离,构造函数,直接把问题转化为函数的最值问题;或通过数列结合解题.12. 已知过抛物线()2:20G y px p =>焦点F 的直线l 与抛物线G 交于M 、N 两点(M 在x 轴上方),满足3MF FN =,163MN =,则以M 为圆心且与抛物线准线相切的圆的标准方程为( )A .2211633x y ⎛⎛⎫-+= ⎪ ⎝⎭⎝⎭ B .2211633x y ⎛⎛⎫-+= ⎪ ⎝⎭⎝⎭C.()(22316x y -+-= D .()(22316x y -+=【答案】C考点:1.抛物线的标准方程与几何性质;2.直线与抛物线的位置关系;2.圆的标准方程.【名师点睛】本题考查抛物线的标准方程与几何性质、直线与抛物线的位置关系、圆的标准方程,属难题;在解抛物线有关问题时,凡涉及抛物线上的点到焦点的距离时,一般要运用定义转化为到准线的距离处理;抛物线的焦点弦一直是高考的热点,对于焦点弦的性质应牢固掌握.第Ⅱ卷(非选择题 共90分)二、填空题(每题5分,满分20分,将答案填在答题纸上)13. 若x 、y 满足约束条件10040x x y x y -≥⎧⎪-≤⎨⎪+-≤⎩,则1y x -的最大值为 .【答案】2考点:线性规划.14. 在ABC △中, 3 5AB AC ==,,若O 为ABC △外接圆的圆心(即满足OA OB OC ==),则AO BC ⋅的值为 . 【答案】8考点:数量积的几何运算.【名师点睛】本题考查数量积的几何运算,属中档题;平面向量的数量积有两种运算,一是依据长度与夹角,即数量积的几何意义运算,一是利用坐标运算,本题充分利用向量线性运算的几何意义与数量积的几何意义进行运算,运算量不大,考查子学生逻辑思维能力,体现了数形结合的数学思想. 15. 已知数列{}n a 的各项均为正数,11142 n n n n a a a a a ++=-=+,,若数列11n n a a -⎧⎫⎨⎬+⎩⎭的前n 项和为5,则n = .【答案】120 【解析】试题分析:数列11n n a a -⎧⎫⎨⎬+⎩⎭的前n 项和为321121211223111154444n n n a a a a a a a a a a a a a a +-----+++=++==+++,所以122n a +=, 又114 n n n na a a a ++-=+,所以221 4n n a a +-=,由此可得22211444,2244,120n a a n n n n +=+=+∴=+=,即应填120.考点:1.数列求和;2.累和法求数列通项.【名师点睛】本题考查数列求和,累和法求数列通项,属中档题;由数列的递推公式求通项公式时,若递推关系为a n +1=a n +f (n )或a n +1=f (n )·a n ,则可以分别通过累加、累乘法求得通项公式,另外,通过迭代法也可以求得上面两类数列的通项公式,数列求和的常用方法有倒序相加法,错位相减法,裂项相消法,分组求和法,并项求和法等,可根据通项特点进行选用.16. 过抛物线()220y px p =>的焦点F 的直线l 与抛物线在第一象限的交点为A ,与抛物线的准线的的交点为B ,点A 在抛物线的准线上的射影为C ,若 48AF FB BA BC =⋅=,,则抛物线的方程为 . 【答案】24y x =考点:1.抛物线的标准方程与几何性质;2.向量数量积的几何意义.三、解答题 (本大题共6小题,共70分.解答应写出文字说明、证明过程或演算步骤.)17. (本小题满分12分)在ABC △中,内角A 、B 、C 所对的边分别为 a b c ,,,已知 4 6 2b c C B ===,,. (1)求cos B 的值; (2)求ABC △的面积.【答案】(1)34;(2.考点:1.正弦定理;2.三角恒等变换;3.三角形内角和与三角形面积公式.【名师点睛】本题考查正弦定理、三角恒等变换、三角形内角和与三角形面积公式,属中档题. 正、余弦定理是揭示三角形边角关系的重要定理,直接运用正弦定理解决一类已知三角形两边及一角对边求其它元素,或已知两边及一边对角求其它元素的问题,这时要讨论三角形解的个数问题;利用余弦定理可以快捷求第三边直接运用余弦定理解决一类已知三角形两边及夹角求第三边或者是已知三个边求角的问题;知道两边和其中一边的对角,利用余弦定理可以快捷求第三边. 18. (本小题满分12分)如图所示,在三棱柱111ABC A B C -中,11AA B B 为正方形,11BB C C 为菱形,1160BB C ∠=︒,平面11AA B B ⊥平面11BB C C .(1)求证:11B C AC ⊥;(2)设点E 、F 分别是1B C ,1AA 的中点,试判断直线EF 与平面ABC 的位置关系,并说明理由; (3)求二面角1B AC C --的余弦值.【答案】(1)见解析;(2) EF ∥平面ABC ;.(3)在平面11BB C C 内过点B 作1Bz BB ,考点:1.面面垂直的判定与性质;2.线面平行、垂直的判定与性质;3.空间向量的应用.【名师点睛】本题考查.面面垂直的判定与性质、线面平行、垂直的判定与性质及空间向量的应用,属中档题;解答空间几何体中的平行、垂直关系时,一般要根据已知条件把空间中的线线、线面、面面之间的平行、垂直关系进行转化,转化时要正确运用有关的定理,找出足够的条件进行推理;求二面角,则通过求两个半平面的法向量的夹角间接求解.此时建立恰当的空间直角坐标系以及正确求出各点的坐标是解题的关键所在.19. (本小题满分12分)如图,在平面直角坐标系xOy 中,已知()00 R x y ,是椭圆22:12412x y C +=上的一点,从原点O 向圆()()2200:8R x x y y -+-=作两条切线,分别交椭圆于P ,Q .(1)若R 点在第一象限,且直线OP ,OQ 互相垂直,求圆R 的方程; (2)若直线OP ,OQ 的斜率存在,并记为12 k k ,,求12k k 的值; (3)试问22OP OQ +是否为定值?若是,求出该值;若不是,说明理由. 【答案】(1)((228x y -+-=;(2)12-;(3)36. =20122088y k k x -⋅=-,因为点()00R x y ,在椭圆C 上,所以220012412x y +=,即22001122y x =-,所以201220141228x k k x -==--. (3)方法一(1)当直线OP 、OQ 不落在坐标轴上时,设()11 P x y ,,()22 Q x y ,, 由(2)知12210k k +=,所以121221y y x x =,故2222121214y y x x =,因为()11 P x y ,,()22 Q x y ,,在椭圆C 上,所以221112412x y +=,222212412x y +=, 即22111122y x =-,22221122y x =-,所以222212121111212224x x x x ⎛⎫⎛⎫--= ⎪⎪⎝⎭⎝⎭,整理得221224x x +=,所以222212121112121222y y x x ⎛⎫⎛⎫+=-+-= ⎪ ⎪⎝⎭⎝⎭,所以()()22222222221122121236OP OQ x y x y x x y y +=+++=+++=.考点:1.椭圆的标准方程与几何性质;2.圆的标准方程;3.直线与圆的位置关系. 20. (本小题满分12分)设椭圆()2222:10x y C a b a b +=>>的左、右焦点分别为1F 、2F ,上顶点为A ,过A 与2AF 垂直的直线交x 轴负半轴于Q 点,且12220F F F Q +=. (1)求椭圆C 的离心率;(2)若过A 、Q 、2F 三点的圆恰好与直线30x --=相切,求椭圆C 的方程;(3)过2F 的直线l 与(2)中椭圆交于不同的两点M 、N ,则1F MN △的内切圆的面积是否存在最大值?若存在,求出这个最大值及此时的直线方程;若不存在,请说明理由.【答案】(1)12;(2) 22143x y +=;(3)1F MN △的内切圆的面积的最大值为916π,此时直线l 的方程为1x =.考点:1.椭圆的标准方程与几何性质;2.直线与椭圆的位置关系;3.直线与圆的位置关系. 21. (本小题满分12分) 已知0t >,设函数()()3231312t f x x x tx +=-++.(1)存在()00 2x ∈,,使得()0f x 是()f x 在[]0 2,上的最大值,求t 的取值范围; (2)()2x f x xe m ≤-+对任意[0 )x ∈+∞,恒成立时,m 的最大值为1,求t 的取值范围.【答案】(1)5[ )3+∞,;(2) 1(0 ]3,.【解析】试题分析:(1)求函数()f x 的导数得()()()()2'331331f x x t x t x x t =-++=--,分别讨论01,1,12,2t t t t <<=<<≥时函数()f x 在区间[]0 2,的最大值点是否符合题意即可;(2)()32313122x t x x tx xe m +-++≤-+对任意[0 )x ∈+∞,恒成立, 即()()3223131313122x x t t m xe x x tx x e x x t ++⎛⎫≤-+-+=-+-+ ⎪⎝⎭对任意[0 )x ∈+∞,恒成立,令()()23132x t g x e x x t +=-+-,[0 )x ∈+∞,,根据题意,可以知道m 的最大值为1,则 ()()231302x t g x e x x t +=-+-≥恒成立,由于()0130g t =-≥,则103t <≤,当103t <≤时,()()31'22x t g x e x +=-+,则()''2x g x e =-,若()''20x g x e =-=,则()'g x 在()0 ln 2,上递减,在()ln 2 +∞,上递增,则()()()max 3'ln 2212ln 202g x g t ==++->,∴()g x 在[0 )+∞,上是递增的函数.∴()()0130g x g t ≥=-≥,满足条件,∴t 的取值范围是1(0 ]3,.考点:1.导数与函数的单调性、极值,最值;2.函数与不等式.请考生在22、23两题中任选一题作答,如果多做,则按所做的第一题记分.22. (本小题满分10分)选修4-4:坐标系与参数方程已知圆锥曲线2cos :3sin x C y αα=⎧⎪⎨=⎪⎩(α为参数)和定点()0 3A ,,1F 、2F 是此圆锥曲线的左、右焦点,以原点O 为极点,以x 轴的正半轴为极轴建立极坐标系. (1)求直线2AF 的直角坐标方程;(2)经过点1F 且与直线2AF 垂直的直线l 交此圆锥曲线于M 、N 两点,求12MF NF -的值. 【答案】(1) 330x y +-=;(2)123.考点:1.参数方程与普通方程的互化;2.直线参数方程的应用. 23. (本小题满分10分)选修4-5:不等式选讲设()34f x x x=-+-.(1)解不等式()2f x≤;(2)若存在实数x满足()1f x ax≤-,试求实数a的取值范围.【答案】(1)5922⎡⎤⎢⎥⎣⎦,;(2)()12[)2-∞-+∞,,考点:1.含绝对值不等式的解法;2.分段函数的表示与作图;3.函数与不等式.。
第Ⅰ卷(共 60 分)一、选择题:本大题共12 个小题 ,每题 5 分,共 60 分.在每题给出的四个选项中,只有一项为哪一项切合题目要求的.1.已知会合A x N |1 x log 2 k ,会合 A 中起码有3个元素,则()A .k 8B.k 8C.k 16D.k 16【答案】 C【分析】试题剖析:因为会合 A 中起码有3个元素,所以log2k 4 ,所以 k 2416 ,应选C.考点: 1、会合的元素; 2、对数的性质.2.复数2i的共轭复数的虚部是()12iA .3B.3C.-1D.1 55【答案】 C【分析】考点:复数的观点及运算.3. 以下结论正确的选项是()A .若直线l平面,直线l平面,则/ /B.若直线l / /平面,直线l / /平面,则/ /C.若两直线l1、l2与平面所成的角相等,则l1/ /l2D.若直线l上两个不一样的点A、B到平面的距离相等,则l / /【答案】 A【分析】试题剖析: A 中,垂直于同向来线的两平面相互平行,所以直线直线l平面,直线 l平面,则/ /,正确;B中,若直线l / /平面,直线l / /平面,则两平面可能订交或平行,故 B 错; C 中,若两直线l1、l2与平面所成的角相等,则l1、 l 2可能订交、平行或异面,故C 错;D 中,若直线l上两个不一样的点A、B到平面的距离相等,则直线与平面可能订交或许平行,故 D 错,应选 A .考点:空间直线与平面间的地点关系.【思想点睛】解答此类试题的重点是对于空间几何中的一些观点、公义、定理和推论的理解必定要联合图形,理解其实质,正确掌握其内涵,特别是定理、公义中的限制条件,如公义 3 中“不共线的三点”,“不共线”是很重要的条件.4.等比数列a n的前n项和为S n,已知a2a52a3,且 a4与 2a7的等差中项为5,则S54()A .29B.31C.33 D .36【答案】 B考点:等比数列通项公式及求前n 项和公式.【一题多解】由 a2a5 2a3,得 a4 2 .又a42a75,所以 a71,所以 q1,所以242a1 (1 q5 )31,应选 B.a1 16 ,所以 S51 qx0 2第 2页 /共 23页A . 0,10B . ,2 U10,C . 2,103 33D . ,0U10 ,3【答案】 D 【分析】试题剖析:作出不等式组不等式的平面地区如下图,z 2xy 2 2 y 2表示xx的几何意义为地区内的点到点P(0, 2)的斜率 k 加上 2.因为 A(3, 2) 、C ( 1,0) ,所以kAP4,k CP 2 ,所以由图知 k4或 k2,所以 k 210或 k 2 0 ,即 z10 或3333z 0 ,应选 D .考点:简单的线性规划问题.6.若 a 0,b 0,lg a lg b lg a b ,则 a b 的最小值为()A .8B .6C .4D .2【答案】 C考点: 1、对数的运算; 2、基本不等式.7.阅读如下图的程序框图,则该算法的功能是()A .计算数列2n 1前5项的和B.计算数列2n 1 前5项的和[ 来源:ZXXK]C.计算数列2n 1 前6项的和D.计算数列2n 1前6项的和【答案】 D【分析】试题剖析:第一次循环,得 A 1, i 2 ;第二次循环: A 1+2 1, i 3 ;第三次循环:A 1+2 1+221,i 4 ;第四次循环: A 1+2+2 2 +23 , i 5 ;第五次循环: A 1+2+2 2 +23 +2 4 , i6 ;第六次循环: A 1+2+2 2 +23 +2 4 +25,i7 6 ,不知足循环条件,退出循环,输出A 1+2+2 2 +2 3 +2425,即计算数列2n 1前6项的和,应选D.考点:循环构造流程图.【易错点睛】应用循环构造应注意的三个问题分别为:(1)确立循环变量和初始值;(2)确立算法中频频履行的部分,即循环体;(3)确立循环的停止条件.同时挨次计算出每次的循环结果,直到不知足循环条件为止是解答此类问题的常用方法.8. ABC中,“角A, B,C成等差数列”是“sin C 3 cos A sin A cos B ”的()A .充足不用要条件B.必需不充足条件C.充要条件D.既不充足也不用要条件【答案】 A【分析】考点: 1、充足条件与必需条件;2、、两角和的正弦函数.9.已知a b ,二次三项式ax22x b 0 对于一确实数 x 恒成立,又 x0R ,使ax02 2 x0 b 0 成立,则a2b2的最小值为()a bA .1B.2C.2D.2 2【答案】 D【分析】试题剖析:因为二次三项式 ax22x b 0对于一确实数 x 恒成立,所以 a 0;44ab0又 x o R ,使 ax o22x o b0成立,所以 44ab0 ,故只有 4 4ab 0 ,即a 0, a b, ab 1 ,所以a2b2= a b2ab a b2 2 2,应选D.a b a b a b考点: 1、存在性命题; 2、基本不等式; 3、不等式恒成立问题.10.已知等差数列a n , b n的前n项和分别为S n,T n,若对于随意的自然数n ,都有S n 2n3,则a3a15a 3() T n4n 32 b 3b 9b 2b10A .19B .17C .7D .20413715 41【答案】 A考点: 1、等差数列的性质; 2、等差数列的前 n 项和公式.11.已知函数 g xax 2 1x e,e 为自然对数的底数与 h x2ln x 的图象上存在关e于 x 轴对称的点,则实数 a 的取值范围是()A .D .12121, e 22B . 1,e 2C . e 2 2, e 2e 2 2,【答案】 B 【分析】试题剖析:由条件知,方程 a x 22ln x ,即 a2ln xx 2 在 [ 1 , e] 上有解.设ef ( x) 2ln xx 2 ,则 f (x)2 2x2(1 x)(1 x) .因为 1x e ,所以 f ( x) 0 在 x1 有xxe独一的极值点. 因为 f (1) = 212,f (e) 2 e 2 ,f ( x)极大值 f (1)1,又 f (e)f (1) ,eee所以方程 a2ln x x 2在 [ 1,e] 上有解等价于 2e 2a1,所以 a 的取值范围为e1,e 2 2 ,应选 B .考点: 1、函数极值与导数的关系; 2、函数函数的图象与性质.uuuv uuuv uuuvx, y R ,且12.如图,在OMN中,A, B分别是OM , ON的中点,若OP xOA yOB点 P 落在四边形 ABNM 内(含界限),则y 1的取值范围是()x y2A.1,2B.1,3C.1,3D.1,2 33344443【答案】 C【分析】考点:向量的几何意义.第Ⅱ卷(共 90 分)二、填空题(每题 5 分,满分 20 分,将答案填在答题纸上)13.若实数【答案】【分析】a、b 0,1 ,且知足 1 a b1,则a、b的大小关系是_____________.4a b试题剖析:因为 a、b 0,1,且知足 1 a b 1,所以 1 a b1,又421 a b 1 a b ,所以 1 a b 1,即 a b .222考点:基本不等式.若 tan110 ,,,则 sin22cos cos2的值为 ___________.14.tan3 4 244【答案】 0【分析】试题剖析:由 tan110,得 (tan3)(3tan1)0 ,所以tan 3 或tan1.因tan33为,2,所以 tan 3 ,所以sin242cos4cos2=2sin 22cos 2+4222(1cos 2)=2sin 2 2 cos22=22sin cos2cos2sin 2 2 =2222sin2cos2sin2cos222 2 tan2 1 tan 2 2 = 2232 1 3220.2 tan21tan2 1 223213212考点: 1、两角和的正弦函数公式;2、同角三角函数间的基本关系;3、二倍角.15.一个几何体的三视图如下图,则此几何体的体积是_____________.【答案】 80【分析】考点:空间几何体的三视图及体积.【方法点睛】名求组合体的几何,第一应当知道它是哪些简单几何体组合而成,这就要求一定掌握简单几何体(柱、锥、台、球等)的三视图,只有在掌握简单几何体三视图的基础上才能确立组合体的“组合”,同时注意三视图的作图原则:“长对正,高平齐,宽相等” ,由此可确立几何体中各数据.16.已知函数f x lg x , x 0,若对于 x 的方程f2x bf x 1 0 有8个不一样x26x 4, x0根,则实数 b 的取值范围是______________.【答案】 2 b174【分析】考点: 1、分段函数; 2、函数的图象; 3、方程的根.【方法点睛】方程解的个数问题解法:研究程 g( x) 0的实根常将参数移到一边转变为值域问题.当研究程 g( x) 0的实根个数问题,即方程 g (x) 0的实数根个数问题时,也常要进行参变分别,获得 a f ( x) 的形式,而后借助数形联合(几何法)思想求解;也可将方程化为形如f (x) h( x) ,经常是一边的函数图像是确立的,另一边的图像是动的,找到切合题意的临界值,而后总结答案即可.三、解答题(本大题共 6 小题,共 70 分 .解答应写出文字说明、证明过程或演算步骤 .)[ 根源 :ZXXK]17.(本小题满分 12 分)已知f x2sin x ,会合 M x | f x2, x 0 ,把M中2的元素从小到大挨次排成一列,获得数列a n , n N *.(1)求数列a n的通项公式;(2)记b n12,设数列 b n的前n项和为T n,求证:T n 1 .an 14【答案】(1)a n2n 1 n N *;(2)看法析.【分析】试题剖析:(1)第一依据正弦函数性质解出M 中的元素,从而获得x2k 1,k Z ,由此可求得数列{a n}的通项公式;(2)第一联合(1)求得 b n的表达式,而后利用放缩法与裂项法即可使问题得证.考点: 1、递推数列; 2、数列的通项公式; 3、裂项法求数列的和.18.(本小题满分 12 分)已知向量m3 sin x,1 , n cosx,cos 2x,记 f x mgn .444(1)若f x 1,求cos x的值;3(2)在锐角ABC中,角A, B, C的对边分别是a,b, c,且知足2a c cosB b cosC ,求 f 2 A 的取值范围.【答案】(1)1;(2)3 1 , 3.222【分析】试题剖析:(1)第一利用向量的数目积公式求出函数f (x)的分析式,而后利用二倍角公式求值即可;(2)第一由正弦定理将边角的混淆等式化为角的等式,而后利用三角函数公式化简求出角 A 的范围,从而求出三角函数值的范围.试题分析:(1)f x uv v3sinxcosxcos2x3sinx1cosx1sinx1m n,g44422222262由 f x 1 ,得sin x61,所以 cos x12sin 2x61.............622322分(2)因为2a c cosB b cosC,由正弦定理得2sin A sin C cosB sin B cosC ,所以 2sin AcosB sin C cosB sin B cosC ,所以 2sin A cosB sin B C ,因为 A B C,所以 sin B C sin A ,且 sin A0 ,所以cos B 1,又0 B,所以 B,223则 A C2, A2C,又0C,则A,得A 2 ,33262363所以3sin A61 ,又因为f 2A sin A61 ,22故函数 f 2 A 的取值范围是31,3................12分22考点: 1、两角和的正弦函数; 2、倍角公式; 3、正弦定理; 4、正弦函数的图象与性质.【思路点睛】第一问解答时,要注意剖析结论中的角与条件中角的关系,合理选择变换策略达到求值的目的;第二问解答时,求得内角 B 的值是重点,联合三角形形状获得函数 f (2 A) 的定义域,问题就简单解答了,常有的错误是许多考生由于审题不够认真,遗漏 A,实在惋惜.219.(本小题满分12 分)如下图,在直三棱柱ABC A1B1C1中,平面 A1BC侧面A1B1BA ,且 AA1AB 2 .[根源:](1)求证:AB BC ;(2)若直线AC与平面A1BC所成角的正弦值为1,求锐二面角 A A1C B的大小.2【答案】(1)看法析;(2).3【分析】(2)解法一:连结CD,由( 1)可知AD平面A1BC,则CD是AC在平面A1BC内的射影,∴ACD 即为直线 AC 与平面A1BC所成的角,因为直线AC 与平面A1BC所成的角的正弦值为1,则ACD26,............................8 分在等腰直角 A1AB 中, AA1AB2,且点D是 A1B 中点,∴1A1B2且 ADC,ACD,226AD∴ AG2 2 ..................9分过点 A作AE A1C 于点E,连结DE,由( 1)知AD平面 A1BC ,则 AD A1C ,且AE I AD A ,∴AED 即为二面角A A1C B的一个平面角....................10分AA AC 2 2 2 2 6且直角A1AC 中,AE1g,AC 2 33又 AD2, ADE,∴ sin AED AD23,且二面角 A A1C B 为锐二面2AE 2623角,∴ AED,即二面角 A A1C B 的大小为3..................12 分3解法二(向量法):由( 1)知AB BC 且BB1底面 ABC ,所以以点 B 为原点,以BC、 BA、 BB1所在直线分别为x, y, z轴成立空间直角坐标系B xyz ,如下图,且设BC a ,则A 0,2,0 ,B 0,0,0 ,C a,0,0 , A10,2,2 ,uuuv uuuv uuuv uuuv.........................9 BC a,0,0 , BA10,2,2 , AC a, 2,0 , AA1 0,0,2分设平面 A1BC 的一个法向量n1x, y, z ,uuuv uuuv由 BC n1 , BA1 n1得:za 0,令 y1,得 x 0, z1,则n10,1, 1 ............10分2 y 2z 0考点:1、空间直线与直线的地点关系;2、线段垂直的性质定理; 3、二面角. [来源:]【技巧点睛】破解此类问题的重点在于娴熟掌握空间垂直关系的判断与性质,注意平面图形中的一些线线垂直关系的灵巧利用,这是证明空间垂直关系的基础.因为“线线垂直”、“线面垂直”、“面面垂直”之间能够相互转变,所以整个证明过程环绕着线面垂直这个中心而睁开,这是化解空间垂直关系难点的技巧所在.20.(本小题满分 12 分)已知函数f x 2 a x 1 2ln x a R .(1)若曲线g x f x x 上点 1,g 1处的切线过点0,2 ,求函数 g x 的单一减区间;(2)若函数y f x 在0,1上无零点,求 a 的最小值.2【答案】(1)0,2;(2)2 4ln 2.【分析】(2)因为 f x0 在区间 0,1上恒成立不行能,2故要使函数 fx 在 0,1上无零点,只需对随意的 x 0, 1, f x0 恒成立,22即对 x0,1,a 22ln x恒成立................................8 分2x 1令 I x2 2ln x , x0,1,x 122 x 1 2ln x2ln x2 2则 I xxx 2xx 2 .................10 分11考点: 1、函数的零点; 2、导数的几何意义; 3、利用导数研究函数的单一性.【方法点睛】利用导数解决不等式恒成立问题的“两种”常用方法( 1)分别参数法:将原不等式分别参数,转变为不含参数的函数的最值问题,利用导数求该函数的最值,依据要求得所求范围.一般地, f ( x) a 恒成立,只需 f (x)min a 即可;f ( x) a 恒成立,只需 f ( x)max a 即可;(2)函数思想法:将不等式转变为某含待求参数的函数的最值问题,利用导数求该函数的极值(最值),而后建立不等式求解.21.(本小题满分 12 分)已知p x, m , q x a,1 ,二次函数 f x pgq 1 ,对于x 的不等式 f x2m 1 x 1 m2的解集为, m U m 1,,此中m为非零常数,设 g x f x.x 1(1)求a的值;(2)若存在一条与y轴垂直的直线和函数x g x x ln x 的图象相切,且切点的横坐标 x0知足x0 1 x03,务实数m的取值范围;(3)当实数k取何值时,函数x g x k ln x 1 存在极值?并求出相应的极值点.【答案】(1)a 2 ;(2)m 1;()若m0 时, k R ,函数x 极小值点为x;232若 m 0 时,当k 2 m 时,函数x 极小值点为x2,极大值点为x1(此中x1 2 kk24m, x2 2 k k 24m )22【分析】 [根源 :学* 科* 网]试题剖析:(1)第一用向量的数目积公式代入到 f ( x) 的表达式中,而后依据所给出的不等式解集即可求得 a 的值;(2)若存在这样的直线,则说明函数( x) 的导数可为 0,从而对函数( x) 求导后解得切点横坐标x0与 m 的关系,依据不等式得到 x0的范围,从而求得实数m 的范围;(3)当函数x 存在极值时,其导数必为零点,所以先对函数求导,因为分析式中含实数k ,由此对导数进行分类议论,从而可求得极极值以及极值点.uv vx a,1uv v1,试题分析:(1)∵p x, m , q, f x pgq∴二次函数 f x x2ax m1,..........................1 分对于 x 的不等式f x2m1x 1m2的解集为,0 U m 1,,也就是不等式 x2a12m x m2m 0 的解集为,0 U m 1,,∴ m 和m 1是方程x2a12m x m2m 0 的两个根,由韦达定理得: m m1 a 12m,∴ a 2 .............................2分(3)x g xk ln x 1x1m k ln x 1 的定义域为 1,,x 1∴x1mk x 22 k x k m 1x 1 2x 1x 1 2方程 x 22 k xk m 1 0 (* )的鉴别式2 k 2 4 k m 1 k 24m .①若 m 0 时,2 kk 24m1,或0 ,方程( * )的两个实根为 x 122 kk 2 4m 1,x 22则 x 1, x 2 时,x 0 ; xx 2 ,时,x 0 ,∴函数x 在 1,x 2 上单一递减,在 x 2 ,上单一递加,此时函数x 存在极小值,极小值点为x 2 ,k 可取随意实数,........................9 分综上所述,若 m 0 时, k 可取随意实数,此时函数 x 有极小值且极小值点为x2;若 m 0 时,当k 2 m时,函数 x 有极大值和极小值,此时极小值点为x2,极大值点为 x1(此中x1 2 kk24m, x2 2 k k24m).......................12 分22考点: 1、不等式的解法; 2、方程的根; 3、导数的几何意义; 4、函数极值与导数的关系.请从下边所给的22 , 23 ,24 三题中任选一题做答,假如多做,则按所做的第一题计分 .22.(本小题满分 10 分)选修 4-1:几何证明选讲已知四边形 ABCD 为圆 O 的内接四边形,且 BC CD ,其对角线 AC 与 BD 订交于点M ,过点 B 作圆 O 的切线交 DC 的延伸线于点 P .( 1)求证: ABgMD AD gBM ;(2)若 CPgMD CBgBM ,求证: AB BC .【答案】(1)看法析;(2)看法析.【分析】考点: 1、圆周角定理; 2、相像三角形; 3、弦切角定理.23.本小题满分 10 分)选修 4-4:坐标系与参数方程x m 2t 已知直线 l 的参数方程为2 ( t 为参数),以坐标原点为极点, x 轴的正 2 y t2 半轴为极轴成立极坐标系,曲线 C 的极坐标方程为2 cos 23 2 sin 2 12 ,且曲线 C 的左焦点 F 在直线 l 上.( 1)若直线 l 与曲线 C 交于 A, B 两点,求 FA gFB 的值;(2)求曲线C的内接矩形的周长的最大值.【答案】(1)2;(2)16.【分析】考点:24.(本小题满分 10 分)选修 4-5:不等式选讲已知x0R 使不等式x 1 x 2 t 成立.(1)求知足条件的实数t 的会合 T ;(2)若m 1,n 1 ,对t T ,不等式log2mglog3n t 恒成立,求m n 的最小值.【答案】(1)T t |t 1;(2)6.【分析】试题剖析:(1)由条件可知对于x的不等式| x 1| | x 2 |t 有解即可,所以只需x 1 x 2 max t ,从而可求出实数t 的会合T;(2)依据条件知道应有log3 m log3 n t max,再联合(1)的结论以及基本不等式,从而可求出m n 的最小值.1, x1试题分析:(1)令f x x 1 x 22x 3,1 x 2 ,则 1 f x 1,1,x 2因为x0R 使不等式x 1 x 2 t 成立,有 t T t |t 1 ..............5分考点: 1、绝对值不等式的解法;2、基本不等式.。
2020届河北省衡水中学2017级高三第一次联合考试数学(文)试卷★祝考试顺利★一、选择题:本题共12小题,每小题5分,共60分.在每小题给出的四个选项中,只有一项是符合题目要求的.1.已知集合{}6A x N x =∈<,{}2,x B y y x A ==∈,则A B I 中元素的个数是( )A. 1B. 2C. 3D. 4 【答案】C【解析】【分析】用列举法依次表示出集合,A B ,再求出交集,再判断元素个数. 【详解】解:∵{}6A x N x =∈<,∴{}0,1,2,3,4,5A =, 又{}2,x B y y x A ==∈, ∴{}1,2,4,8,16,32B =,∴{}1,2,4A B =I ,有3个元素,故选:C .2.已知复数z 满足z (1+i )=1+3i ,其中i 是虚数单位,设z 是z 的共轭复数,则z 的虚部是( )A. iB. 1C. ﹣iD. ﹣1【答案】D【解析】【分析】先根据复数代数形式的除法运算求出z ,再根据共轭复数的定义写出z ,从而得出z 的虚部.【详解】解:∵()113z i i +=+, ∴131i z i +==+()()()()13111i i i i +-+-422i +=2i =+, ∴2z i =-,则z的虚部为1-,故选:D . 3.等差数列{a n }中,S n 为{a n }的前n 项和,若a 2,a 4是关于x 的一元二次方程x 2﹣4x +2=0的两个根,则S 5=( )A. 5B. 10C. 12D. 15 【答案】B【解析】【分析】 由韦达定理得244a a +=,再利用等差数列的性质即可得出结论.【详解】解:∵24,a a 是关于x 的一元二次方程2420x x -+=的两个根, ∴由韦达定理得244a a +=,由等差数列的性质得,1524324a a a a a +=+==, ∴544210S =++=, 故选:B . 4.若f (x )=e x +ae ﹣x 是定义在R 上的奇函数,则曲线y =f (x )在点(0,f (0))处的切线方程是( ) A. y =﹣xB. y =xC. y =﹣2xD. y =2x 【答案】D【解析】【分析】由函数()f x 是定义在R 上的奇函数得(0)0f =,求出函数()f x 的解析式,再求出'()f x ,从而可求出切线方程.。
2020届河北省衡水市枣强中学2017级高三下学期3月调研考试数学(理)试卷★祝考试顺利★(解析版)第Ⅰ卷一、选择题:1. 设复数34i z i =-,则在复平面内z 对应的点位于( ) A. 第一象限B. 第二象限C. 第三象限D. 第四象限 【答案】B【解析】根据复数的除法运算得到化简结果,再由复数的几何意义得到所在象限,即可求得答案. 【详解】(34)34(34)(34)i i i z i i i ⋅+==--⋅+ 3443252525i i -==-+ ∴z 在复平面内对应的点为第二象限.故选:B.2. 已知集合{}2650M x x x =-+≥,{}21N y y x ==+,则M N =( )A. [)5,+∞B. {}[)15,⋃+∞C. []1,5D. R 【答案】B【解析】 本题先求出{}15M x x x =≤≥或,再求出{}1N y y =≥,最后求M N ⋂. 【详解】解:∵{}2650M x x x =-+≥,∴ {}15M x x x =≤≥或, ∵{}21N y y x ==+,∴{}1N y y =≥, ∴ {}[)15,M N =+∞.故选:B.3. ()612x -的展开式第三项为( )A. 60B. 120-C. 260xD. 3120x - 【答案】C【解析】直接利用二项展开式的通项公式,求出6(12)x -的展开式第三项.【详解】6(12)x -的通项为61(2)r r r T C x +=- 6(12)x -的展开式第三项2236221(2)60T T C x x +=-==,故选:C .4. 函数1()cos 1x x e f x x e +=⋅-的部分图象大致为( ) A. B. C. D.【答案】A【解析】因为1()cos 1x x e f x x e +=⋅-,先判断函数的奇偶性,结合当0x +→时,函数值的为正,即可求得答案. 【详解】11()cos()cos ()11x x x x e e f x x x f x e e --++-=⋅-=-⋅=---, ∴()f x 为奇函数,排除C,当0x +→时,()0f x >,排除B,D,故只有A 符合题意。
河北省衡水中学2017届高三上学期第五次调研考试(12月)理数试题第Ⅰ卷(共60分)一、选择题:本大题共12个小题,每小题5分,共60分.在每小题给出的四个选项中,只有一项是符合题目要求的.1.已知全集U R =,集合{0,1,2,3,4,5}A =,{|2}B x x =≥,则图中阴影部分表示的集合为( )A .{0,1}B .{1}C .{1,2}D .{0,1,2}2.已知i 为虚数单位,图中复平面内的点A 表示复数z ,则表示复数1z i+的点是( )A .MB .NC .PD .Q3.如图所示,墙上挂有边长为a 的正方形木板,它的四个角的空白部分都是以正方形的顶点为圆心,半径为2a 的圆弧,某人向此板投镖.假设每次都能击中木板,且击中木板上每个点的可能性都一样,则他击中阴影部分的概率是( )A .14π-B .4πC .18π- D .与a 的取值有关4.某公司为确定明年投入某产品的广告支出,对近5年的广告支出m 与销售额t (单位:百万元)进行了初步统计,得到下列表格中的数据:[来源:]经测算,年广告支出m 与年销售额t 满足线性回归方程 6.517.5t m =+$,则p 的值为( )A .45B .50 C.55 D .605.已知焦点在y 轴上的双曲线C 的中点是原点O ,离心率等于22222152c a b a e a a a ++==== 52.以双曲线C 的一个焦点为圆心,1为半径的圆与双曲线C 的渐近线相切,则双曲线C 的方程为( )A .221164y x -= B .2214x y -= C. 2214y x -= D .2214x y -= 6.已知某几何体的三视图如图所示,则该几何体的体积为( )A.1133B.35 C. 1043D.10747.公元263年左右,我国数学家刘徽发现当圆内接多边形的边数无限增加时,多边形面积可无限逼近圆的面积,并创立了割圆术.利用割圆术刘徽得到了圆周率精确到小数点后面两位的近似值3.14,这就是著名的徽率.如图是利用刘徽的割圆术设计的程序框图,则输出的n为()(参考数据:3 1.732≈,sin150.2588≈°,sin7.50.1305≈°)[来源:Z|xx|]A.12 B.24 C. 36 D.48.如图,周长为1的圆的圆心C在y轴上,顶点(0,1)A,一动点M从A开始逆时针绕圆运动一周,记走过的弧长¼AM x=,直线AM与x轴交于点(,0)N t,则函数()t f x=的图象大致为()[来源:学+科+网Z+X+X+K]A.B. C. D.9.三棱锥A BCD-的外接球为球O,球O的直径是AD,且ABC∆,BCD∆都是边长为1的等边三角形,则三棱锥A BCD-的体积是()A .26B .212 C. 24 D .31210. 在ABC ∆中,角A ,B ,C 的对边分别为a ,b ,c ,且2cos 2c B a b =+.若ABC ∆的面积312S c =,则ab 的最小值为( ) A .12 B .13 C. 16D .3 11.已知直线y mx =与函数20.51,0,()12(),03x x x f x x ⎧+>⎪=⎨-≤⎪⎩的图象恰好有3个不同的公共点,则实数m 的取值范围是( )A .(3,4)B .(2,)+∞ C. (2,5) D .(3,22)12.已知直线y a =分别与函数1x y e +=和1y x =-交于,A B 两点,则,A B 之间的最短距离是( )A .3ln 22-B . 5ln 22- C. 3ln 22+ D .5ln 22+ 第Ⅱ卷(共90分)二、填空题(每题5分,满分20分,将答案填在答题纸上)13.若6()n x x x +的展开式中含有常数项,则n 的最小值等于________.[来源:]14.已知抛物线方程为22(0)y px p =>,焦点为F ,O 是坐标原点,A 是抛物线上的一点,FA u u u r 与x 轴正方向的夹角为60o ,若OAF ∆3p 的值为__________.15.在送医下乡活动中,某医院安排甲、乙、丙、丁、戊五名医生到三所乡医院工作,每所医院至少安排一名医生,且甲、乙两名医生不安排在同一医院工作,丙、丁两名医生也不安排在同一医院工作,则不同的分配方法总数为__________.16.若不等式组20,5100,80x y x y x y -+≥⎧⎪-+≤⎨⎪+-≤⎩,所表示的平面区域存在点00(,)x y ,使0020x ay ++≤成立,则实数a 的取值范围是___________.三、解答题 (本大题共6小题,共70分.解答应写出文字说明、证明过程或演算步骤.)17.(本小题满分12分)设数列{}n a 的前n 项和为n S ,*1111(,1)n n a a S n N λλ+==+∈≠-,,且12323a a a +、、为等差数列{}n b 的前三项.(1)求数列{}n a ,{}n b 的通项公式;(2)求数列{}n n a b 的前n 项和.18.(本小题满分12分) 某市积极倡导学生参与绿色环保活动,其中代号为“环保卫士-12369”的绿色环保活动小组对2015年1月~2015年12月(一年)内空气质量指数API 进行监测,下表是在这一年随机抽取的100天统计结果:(1)若该市某企业每天由空气污染造成的经济损失P (单位:元)与空气质量指数API (记为t )的关系为:0,0100,4400,100300,1500,300,t P t t t ≤≤⎧⎪=-<≤⎨⎪>⎩,在这一年内随机抽取一天,估计该天经济损失(200,600]P ∈元的概率;(2)若本次抽取的样本数据有30天是在供暖季节,其中有8天为重度污染,完成2×2列联表,并判断是否有95%的把握认为该市本年度空气重度污染与供暖有关?下面临界值表供参考:参考公式:22()()()()()n ad bc k a b c d a c b d -=++++,其中n a b c d =+++. 19. (本小题满分12分)已知在三棱柱111ABC A B C -中,侧面11ABB A 为正方形,延长AB 到D ,使得AB BD =,平面11AA C C ⊥平面11ABB A ,1112AC AA =,114C A A π∠=.(1)若,E F 分别为11C B ,AC 的中点,求证://EF 平面11ABB A ;[来源:学|科|网](2)求平面111A B C 与平面1CB D 所成的锐二面角的余弦值.20.(本小题满分12分) 已知椭圆2222:1(0)x y C a b a b+=>>,圆22(2)(2)2Q x y -+-=的圆心Q 在椭圆C 上,点(0,2)P 到椭圆C 的右焦点的距离为6.(1)求椭圆C 的方程;(2)过点P 作互相垂直的两条直线12,l l ,且1l 交椭圆C 于,A B 两点,直线2l 交圆Q 于,C D 两点,且M 为CD 的中点,求MAB ∆面积的取值范围.21.(本小题满分12分)已知函数221()()(1)(22)2x f x ax bx a b e x x x a R =++---++∈,,且曲线()y f x =与x 轴切于原点O .(1)求实数,a b 的值;(2)若2()()0f x x mx n +-≥•恒成立,求m n +的值.请考生在22、23中任选一题作答,如果多做,则按所做的第一题记分.22.(本小题满分10分)选修4-1:坐标系与参数方程已知曲线C 的极坐标方程是2ρ=,以极点为原点,极轴为x 轴的正半轴建立平面直角坐标系,直线l的参数方程为12x t y =+⎧⎪⎨=+⎪⎩(t 为参数). (1)写出直线l 的普通方程与曲线C 的直角坐标方程;(2)设曲线C 经过伸缩变换'1'2x x y y =⎧⎪⎨=⎪⎩得到曲线'C ,设(,)M x y 为曲线'C 上任一点,求222x y +的最小值,并求相应点M 的坐标.23.(本小题满分10分)选修4-5:不等式选讲 已知实数0a >,0b >,函数()||||f x x a x b =---的最大值为3.(1)求a b +的值;(2)设函数2()g x x ax b =---,若对于x a ∀≥均有()()g x f x <,求a 的取值范围.。
河北省衡水中学2017 届高三上学期第五次调研考试( 12 月)理数试题第Ⅰ卷(共 60 分)一、选择题:本大题共12 个小题 ,每题 5 分,共 60 分.在每题给出的四个选项中,只有一项是切合题目要求的 .1.已知全集U R ,会合A{0,1,2,3,4,5},B{ x | x2} ,则图中暗影部分表示的会合为()A.{0,1}B.{1}C.{1,2}D.{0,1, 2}2.已知i为虚数单位,图中复平面内的点A表示复数z,则表示复数z的点是1i()A.M B.N C.P D.Q3.如下图,墙上挂有边长为 a 的正方形木板,它的四个角的空白部分都是以正方形的极点为圆心,半径为a的圆弧,某人向此板投镖.假定每次都能击中木板,2且击中木板上每个点的可能性都同样,则他击中暗影部分的概率是()A.1B.C.1D.与a的取值相关4484.某公司为确立明年投入某产品的广告支出,对近 5 年的广告支出m与销售额t (单位:百万元)进行了初步统计,获得以下表格中的数据:[根源 :]经测算,年广告支出 m 与年销售额t知足线性回归方程$6.5m17.5 ,则p的值为t()A. 45B.50 C.55D.605.已知焦点在y 轴上的双曲线 C 的中点是原点 O ,离心率等于e c a2b2a2 155.以双曲线C的一个焦点为圆心, 1 为半径的圆与a a2a222双曲线 C 的渐近线相切,则双曲线 C 的方程为()A. y2x21B.y2x21 C. y2x21D. x2y21 1644446.已知某几何体的三视图如下图,则该几何体的体积为()A . 113B .35C. 104D . 1073347.公元 263 年左右,我国数学家刘徽发现当圆内接多边形的边数无穷增添时,多边形面积可无穷迫近圆的面积, 并创办了割圆术 .利用割圆术刘徽获得了圆周率精确到小数点后边两位的近似值 3.14,这就是有名的徽率 .如图是利用刘徽的割圆术设计的程序框图,则输出的 n 为( )(参照数据:3 1.732,,)sin15° 0.2588 sin7.5 ° 0.1305[根源 :Z|xx|]A . 12B .24C. 36D .48.如图,周长为 1 的圆的圆心 C 在 y 轴上,极点 A(0,1) ,一动点 M 从 A 开始逆时针绕圆运动一周,记走过的弧长 ?,直线 AM 与 x 轴交于点 ,则函数AM x N (t ,0) t f (x)的图象大概为()[ 根源 :学+科+网 Z+X+X+K]A .B .C. D .9.三棱锥 A BCD 的外接球为球 O ,球 O 的直径是 AD ,且 ABC , BCD 都是边长为1 的等边三角形,则三棱锥 A BCD 的体积是()A.2B.2C.2D.3 61241210. 在ABC中,角A,B,C的对边分别为a,b,c,且2c cosB 2a b .若 ABC 的面积 S3c ,则ab的最小值为()12A.1B.1C.1D.3 2360.5x21,x0,已知直线y mx 与函数f ( x)的图象恰巧有 3 个不一样的公共点,则11. 2 ( 1 )x , x03实数 m 的取值范围是()A.( 3,4)B.(2, ) C. (2,5)D.( 3,22)12.已知直线y a 分别与函数y e x 1和 y x 1交于 A, B 两点,则 A, B 之间的最短距离是()A. 3 ln 2B. 5 ln 2 C. 3 ln 2D. 5 ln 22222第Ⅱ卷(共90 分)二、填空题(每题 5 分,满分 20 分,将答案填在答题纸上)13.若( x61)n的睁开式中含有常数项,则n 的最小值等于________.[来x x源:]14.已知抛物线方程为y2 2 px( p 0) ,焦点为F,O是坐标原点, A 是抛物线上的uuur3 ,则p的值为一点, FA 与 x 轴正方向的夹角为 60o,若OAF的面积为__________.15.在送医下乡活动中,某医院安排甲、乙、丙、丁、戊五名医生到三所乡医院工作,每所医院起码安排一名医生,且甲、乙两名医生不安排在同一医院工作,丙、丁两名医生也不安排在同一医院工作,则不一样的分派方法总数为__________.x y 20,16.若不等式组x5y 100, ,所表示的平面地区存在点 ( x0 , y0 ) ,使 x0 ay0 20 成x y 80立,则实数 a 的取值范围是___________.三、解答题(本大题共 6 小题,共 70 分 .解答应写出文字说明、证明过程或演算步骤 .)17.(本小题满分 12 分)设数列 { a n } 的前 n 项和为 S n, a11, a n 1S n1(n N * ,1) ,且 a1、2a2、 a33 为等差数列 { b n} 的前三项.(1)求数列{ a n} ,{ b n}的通项公式;(2)求数列{ a n b n}的前n项和 .18.(本小题满分 12 分)某市踊跃倡议学生参加绿色环保活动,此中代号为“环捍卫士-12369”的绿色环保活动小组对 2015 年 1 月~ 2015 年 12 月(一年)内空气质量指数API进行监测,下表是在这一年随机抽取的 100 天统计结果:(1)若该市某公司每日由空气污染造成的经济损失P (单位:元)与空气质量0,0t100,指数 API (记为 t )的关系为:P 4t400,100 t300, ,在这一年内随机抽取一天,1500, t300,预计该天经济损失P (200,600] 元的概率;(2)若本次抽取的样本数占有 30 天是在供暖季节,此中有 8 天为重度污染,达成2×2 列联表,并判断能否有 95%的掌握以为该市今年度空气重度污染与供暖相关?下边对界值表供参照:参照公式: k 2n( ad bc)2,此中 n a b c d .(a b)(c d )(a c)(b d )19. (本小题满分12 分)已知在三棱柱 ABC A1 B1C1中,侧面 ABB1 A1为正方形,延伸AB到D,使得AB BD ,平面 AA1C1C 平面 ABB1 A1,AC112AA1,C1A1A.4(1)若E, F分别为C1B1,AC的中点,求证:EF / /平面ABB1A1;[根源 :学|科 |网](2)求平面 A 1B 1C 1 与平面 CB 1D 所成的锐二面角的余弦值 . 20.(本小题满分 12分)22已知椭圆 C :x2y 2 1(a b 0) ,圆 Q ( x 22 ) ( y2) 2 2的圆心 Q 在椭圆 C 上,点abP(0, 2) 到椭圆 C 的右焦点的距离为 6 .( 1)求椭圆 C 的方程;( 2)过点 P 作相互垂直的两条直线 l 1 , l 2 ,且 l 1 交椭圆 C 于 A, B 两点,直线 l 2 交圆 Q 于C, D 两点,且 M 为 CD 的中点,求MAB 面积的取值范围 .21.(本小题满分 12 分)已知函数 f (x) ( ax 2 bx a b)ex1( x 1)(x 2 2x 2), a R ,且曲线 y f (x) 与 x 轴切2于原点 O .( 1)务实数 a, b 的值;( 2)若 f ( x) ?( x 2 mx n) 0 恒成立,求 m n 的值 .请考生在 22、23 中任选一题作答,假如多做,则按所做的第一题记分.22.(本小题满分 10 分)选修 4-1:坐标系与参数方程已知曲线 C 的极坐标方程是2 ,以极点为原点,极轴为 x 轴的正半轴成立平面直角坐标系,直线x1tl 的参数方程为2( t 为参数).y3t(1)写出直线l的一般方程与曲线C的直角坐标方程;x 'x(2)设曲线C经过伸缩变换1获得曲线 C ' ,设M ( x, y)为曲线 C '上任一点,y '2y求 x23xy 2 y2的最小值,并求相应点M的坐标.23.(本小题满分 10 分)选修 4-5:不等式选讲已知实数 a 0, b 0 ,函数f (x)| x a | | x b | 的最大值为 3.(1)求a b 的值;(2)设函数g (x)x2ax b ,若关于x a 均有g( x) f ( x) ,求 a 的取值范围.。
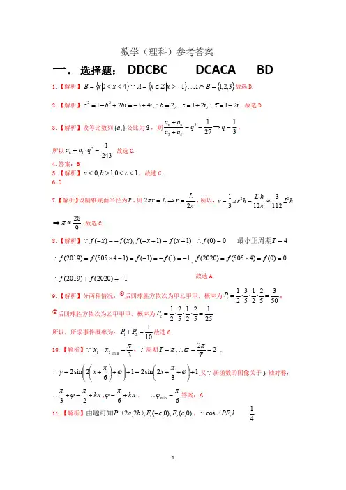
一、选择题(本大题共12个小题,每小题5分,共60分.在每小题给出的四个选项中,只有一项是符合题目要求的.)1.已知集合{}2log 1P x x =<-,{}1Q x x =<,则P Q = ( ) A .10,2⎛⎫ ⎪⎝⎭B .1,12⎛⎫⎪⎝⎭C .()0,1D .11,2⎛⎫- ⎪⎝⎭【答案】A考点:集合的运算.2.已知i 为虚数单位,复数z满足()2311i z =-,则z 为( )A .12B.2 C.4D.16【答案】C 【解析】试题分析:由题意得,()321i 41z z -==⇒==,故选C . 考点:复数的运算.3.如图,网格纸上小正方形的边长为1,粗线或虚线画出某几何体的三视图,该几何体的体积为( )A .8B .12C .18D .24【答案】B考点:几何体的三视图及几何体的体积.【方法点晴】本题主要考查了空间几何体的三视图的应用,着重考查了推理和运算能力及空间想象能力,属于中档试题,解答此类问题的关键是根据三视图的规则“长对正、宽相等、高平齐”的原则,还原出原几何体的形状,本题的解答中,根据给定的三视图,得出该几何体是一个三棱锥与三棱柱的组合体,即可求解该组合体的体积.学科4.已知命题p :方程2210x ax --=有两个实数根;命题q :函数()4f x x x=+的最小值为4.给 出下列命题:①p q ∧;②p q ∨;③p q ∧⌝;④p q ⌝∨⌝. 则其中真命题的个数为( ) A .1 B .2 C .3 D .4【答案】C 【解析】试题分析:由22(2)4(1)440a a ∆=--⨯-=+>,所以方程2210x ax --=有两个实数跟,所以命题p 是真命题;当0x <时,函数()4f x x x=+的取值为负值,所以命题q 为假命题,所以p q ∨,p q ∧⌝,p q ⌝∨⌝是真命题,故选C .考点:命题的真假判定.5.由曲线y =,直线2y x =-及y 轴所围成的图形的面积为( )A .103B .4C .163D .6 【答案】C考点:定积分求解曲边形的面积. 6.函数()21cos 1e xf x x ⎛⎫=-⎪+⎝⎭的图象的大致形状是( )A .B .C .D .【答案】B 【解析】试题分析:由题意得,()211cos cos 1e 1e x x xe f x x x -⎛⎫=-=⋅ ⎪++⎝⎭,所以()1cos()1e x x e f x x ----=⋅-+ 1cos ()1ex x e x f x -=⋅=-+,所以函数()f x 为奇函数,图象关于原点对称,排除选项A ,C ;令1x =,则()12111cos1cos101e 1e e f -⎛⎫⎛⎫=-=< ⎪ ⎪++⎝⎭⎝⎭,故选B . 考点:函数的奇偶性及函数的图象.7.阅读右面的程序框图,运行相应的程序,输出的结果为( )A .1321B .2113C .813D .138【答案】D考点:程序框图的计算.8.定义在R 上的函数()f x 满足()()1f x f x '+>,()04f =,则不等式()e e 3x x f x >+(其中e 为自然对数的底数)的解集为( )A .()0,+∞B .()(),03,-∞+∞C .()(),00,-∞+∞D .()3,+∞【答案】A 【解析】试题分析:设()(),xxg x e f x e x R =-∈,则()()()()[()1]xxxx g x e f x e f x ee f x f x '''=+-=+-,因为()()1f x f x '+>,所以()()1f x f x '+-0>,所以()0g x '>,所以()y g x =是单调递增函数,因为()e e 3x x f x >+,所以()3g x >,又因为()()00003g e f e =-=,即()()0g x g >,所以0x >,故选A . 考点:利用导数研究函数的单调性.9.若实数a ,b ,c ,d 满足()()2223ln 20b a a c d +-+-+=,则()()22a cb d -+-的最小值为( )AB .2 C.D .8【答案】D考点:利用导数研究曲线在某点的切线方程及其应用.10.已知()11,01,22,1,x x x f x x -⎧+≤<⎪=⎨⎪≥⎩存在210x x >≥,使得()()12f x f x =,则()12x f x 的取值范 围为( ) A.12⎫⎪⎪⎣⎭ B .1,12⎡⎫⎪⎢⎣⎭C.4⎫⎪⎪⎣⎭ D.12⎫⎪⎪⎣⎭ 【答案】A 【解析】试题分析:作出函数()11,01,22,1,x x x f x x -⎧+≤<⎪=⎨⎪≥⎩的图象,如图所示,因为存在21,x x 当210x x >≥时,()()12f x f x =,所以1102x ≤<,因为12x +在1[0,)2上的最小值为11,22x -在1[,2)2所以1111222x x +≥⇒≥,所以11122x ≤<,因为()()11211(),2f f x x f x x =+=,所以()21211111()2x f x x f x x ==+,令21112y x =+(11122x ≤<),所以21112y x =+为开口向上,对称轴为14x =-上抛物线,所以21112y x =+在区间1)2上递增,所以当x =y =,当12x =时,12y =,即()12x f x的取值范围是12⎫⎪⎪⎣⎭,故选A .考点:对数函数的图象及二次函数的性质. 11.设函数()32133f x x x x =+-,若方程()()210f x t f x ++=有12个不同的根,则实数t 的 取值范围为( ) A .10,23⎛⎫-- ⎪⎝⎭B .(),2-∞-C .34,215⎛⎫-- ⎪⎝⎭D .()1,2-【答案】C选C .考点:根的存在性及根的个数判断.【方法点晴】本题主要考查了方程中根的存在性及其方程根的个数的判读,其中解答中涉及到函利用导数研究函数的单调性、利用导数研究函数的极值与最值,以及数与方程思想的应用、试题有一定的难度,属于中档试题,解答中利用换元法转化为一元二次函数,利用一元二次函数的性质是解答问题的关键,着重考查了学生转化与化归思想、推理与运算能力.12.设曲线()e x f x x =--(e 为自然对数的底数)上任意一点处的切线为1l ,总存在曲线()32cos g x ax x =+上某点处的切线2l ,使得12l l ⊥,则实数a 的取值范围为( )A .[]1,2-B .()3,+∞C .21,33⎡⎤-⎢⎥⎣⎦D .12,33⎡⎤-⎢⎥⎣⎦【答案】D考点:利用导数研究曲线在某点的切线方程.【方法点晴】本题主要考查了利用导数研究过曲线在某点的切线方程,其中解答中涉及到函数的求导数的公式、两条直线的位置关系的判定与应用,解答此类问题的关键在于把问题转化为集合之间的关系,列出不等式组求解,试题有一定的难度,属于中档试题,着重考查了学生分析问题和解答问题的能力,以及转化与化归思想的应用.第Ⅱ卷(非选择题共90分)二、填空题(本大题共4小题,每题5分,满分20分.)13.设1m >,变量x ,y 在约束条件,,1y x y mx x y ≥⎧⎪≤⎨⎪+≤⎩下,目标函数z x my =+的最大值为2,则m =_________.【答案】1m =考点:简单的线性规划的应用.14.函数e x y mx =-在区间(]0,3上有两个零点,则m 的取值范围是_________.【答案】3e e,3⎛⎤⎥⎝⎦【解析】试题分析:由题意得e 0xy mx =-=,得x e m x =,设()()22(1)x x x x e e x e e x f x f x x x x ⋅--'=⇒==,可得()f x 在区间(1,3)上单调递增;在区间(0,1)上单调递减,所以当1x =时,函数()f x 取得极小值,同时也是最小值()1f e =,因为当0x →时,()f x →+∞,当3x =时,()333e f =,所以要使得函数e xy mx=-在区间(0,3]上有两个零点,所以实数m 的取值范围是3e e 3m <<.考点:利用导数研究函数的单调性及极值(最值).15.已知函数()3223f x x mx nx m =+++在1x =-时有极值0,则m n +=_________. 【答案】11考点:利用导数研究函数的极值.【方法点晴】本题主要考查了利函数在某点取得极值的性质,其中解答中涉及到了应用导数研究函数的单调性与极值、函数的极值的性质等知识点的考查,利用导数研究函数的极值时,若函数子啊取得极值0()0f x '=,反之结论不成立,即函数由0()0f x '=,函数在该点不一定是极值点(还得加上两侧的单调性的改变),防止错解,属于基础题.16.定义在R 上的函数()f x 满足:()()2f x f x x -+=,当0x <时,()f x x '<,则不等式()()112f x f x x +≥-+的解集为_________. 【答案】12x ≤考点:抽象的性质及其应用.【方法点晴】本题主要考查了抽象函数的性质及其应用,其中解答中涉及到利用到导数研究函数的单调性、函数单调性的应用、不等式的求解等知识点的考查,同时考查了构造函数研究函数性质的能力,其中根据题设,利用导数研究出函数的单调性是解答的关键,着重考查了转化与化归思想及学生的推理与运算能力.三、解答题(本大题共6小题,共70分.解答应写出文字说明、证明过程或演算步骤.)17.(本小题满分12分)在ABC ∆中,a ,b ,c 分别为角A ,B ,C 所对的边,且cos 2cos 3cos a b cA B C==. (1)求角A 的大小;(2)若ABC ∆的面积为3,求a 的值.【答案】(1)π4A =;(2)a = 【解析】试题分析:(1)根据正弦定理化简得sin sin sin cos 2cos 3cos A B CA B Cθ==,即可得到tan 2tan B A =, tan 3tan C A =,利用三角恒等变换,可知求解tan 1A =,即可求解角A 的大小;(2)利用正弦定理得出sin sin Bb a A=,代入三角形的面积公式,即可求解a 的值.(2)由tan 1A =可得tan 2B =,tan 3C =,则sin B =,sin C =.在ABC ∆中有sin sin a b A B =,则sin sin B b a A ===,则2113sin 32255ABCa S ab C a ∆==⨯==. 得25a =,所以a =考点:正弦定理;三角形的面积公式. 18.(本小题满分12分) 函数21()ln 22f x x ax x =--. (1)当3a =时,求()f x 的单调区间;(2)若()1,a ∀∈-+∞,()1,e x ∃∈,有()0f x b -<,求实数b 的取值范围.【答案】(1)增区间是10,3⎛⎫ ⎪⎝⎭,减区间是1,3⎛⎫+∞ ⎪⎝⎭;(2)3,2⎛⎫-+∞ ⎪⎝⎭.【解析】(2)首先,对于任意()1,a ∈-+∞,21ln 22x ax x b --<恒成立,则2max1ln 22b x ax x ⎛⎫>-- ⎪⎝⎭ 因为函数()2211ln 22ln 22h a x ax x x a x x =--=--+在()1,-+∞上是减函数, 所以()()2112ln 2h a h x x x <-=-+,212ln 2b x x x ∴≥-+其次,()1,x e ∃∈,使不等式212ln 2b x x x ≥-+成立,于是2min12ln 2b x x x ⎛⎫≥-+ ⎪⎝⎭ 令()212ln 2g x x x x =-+,则()()21120x g x x x x-'=-+=≥,所以函数()g x 在()1,e 上是增函数,于是()()min 312g x g ==,故32b >-,即b 的取值范围是3,2⎛⎫-+∞ ⎪⎝⎭考点:利用导数研究函数的单调性及其最值. 19.(本小题满分12分)在ABC ∆中,角A ,B ,C 的对边分别为a ,b ,c,且4sin b A =. (1)求sin B 的值;(2)若a ,b ,c 成等差数列,且公差大于0,求cos cos A C -的值. 【答案】(1)sin B =;(2)cos cos A C -=.【解析】试题分析:(1)根据正弦定理得4sin sin B A A =,即可求解sin B 的值;(2)已知和正弦定理以及考点:正弦定理;三角函数的化简求值. 20.(本小题满分12分)已知函数()242ln f x ax bx a x =-+(,a b ∈R ). (1)若函数()y f x =存在极大值和极小值,求ba的取值范围; (2)设m ,n 分别为()f x 的极大值和极小值,若存在实数2e 1,2e b a ⎫+∈⎪⎭,使得1m n -=,求a的取值范围. 【答案】(1)1b a>;(2)22111e e 4e e 2a --<<----.【解析】试题分析:(1)求出函数的导数()f x ',函数()y f x =存在极大值和极小值,故方程()0f x '=有两个不等的正实数根,列出不等式组,即可求解ba的取值范围;(2)由2e1,2eb a⎫+∈⎪⎭得0a>,且2e12eba⎛⎫+∈⎪⎭.由(1)知()f x存在极大值和极小值,设()0f x'=的两根为1x,2x(120x x<<),则()f x在()10,x上递增,在()12,x x上递减,在()2,x+∞上递增,所以()1m f x=,()2n f x=,根据121x x=可把m n-表示为关于1,x a的表达式,再借助1x的范围即可求解a的取值范围.试题解析:(1)()2224224a ax bx af x ax bx x-+'=-+=,其中0x>……………2分由于函数()y f x=存在极大值和极小值,故方程()0f x'=有两个不等的正实数根,即22420ax bx a-+=有两个不等的正实数根记为1x,2x,显然0a≠…………4分所以()221212160,20,10.b abx xax x⎧∆=->⎪⎪+=>⎨⎪=>⎪⎩解得1ba>.…………………………………………6分令21t x =,则12ln m n a t a t t ⎛⎫-=--+ ⎪⎝⎭,令()21112ln ee h t t t t t ⎛⎫⎛⎫=--+<< ⎪⎪⎝⎭⎝⎭ 所以()()22211210t h t tt t-'=--+=-≤,所以()h t 在211,e e ⎛⎫⎪⎝⎭上单调递减,所以()122e e 2e e 4h t ----<<-- 由()1m n ah t -==,知()1a h t =,所以22111e e 4e e 2a --<<----,………1分 考点:利用导数研究函数的单调性及其极值.【方法点晴】本题主要考查了利用导数研究函数的单调性、利用导数研究函数的极值与最值,综合考查了学生综合运用知识分析问题和解答问题的能力,试题综合性强、计算量大,能力要求高,属于难题,解答中根据121x x =可把m n -表示为关于1,x a 的表达式,借助1x 的范围是试题的难点,此类问题需平时注重总结和整理.21.(本小题满分12分)已知函数()ln f x x x =,()ex x g x =. (1)记()()()F x f x g x =-,判断()F x 在区间()1,2内的零点个数并说明理由;(2)记()F x 在()1,2内的零点为0x ,()()(){}min ,m x f x g x =,若()m x n =(n ∈R )在()1,+∞内 有两个不等实根1x ,2x (12x x <),判断12x x +与02x 的大小,并给出对应的证明. 【答案】(1)()F x 在区间()1,2有且仅有唯一实根;(2)1202x x x +>,证明见解析.显然当2x →+∞时,1202x x x +>,下面用分析法给出证明.要证:1202x x x +>即证20102x x x x >->,而()m x 在()0,x +∞上递减,故可证()()2012m x m x x <-,又由()()12m x m x =,即证()()1012m x m x x <-,即01011122ln x x x x x x e--<, …………9分记()0022ln x xx xh x x x e--=-,01x x <<,其中()00h x =. ()0000022212211ln 1ln x x x x x xx x x x h x x x e e e---+--'=++=++-, …………10分 记()t t t e ϕ=,()1t t t e ϕ-'=,当()0,1t ∈时,()0t ϕ'<;()1,t ∈+∞时,()0t ϕ'>故()max 1t eϕ=,而()0t ϕ>故()10t e ϕ<<,而020x x ->,从而002210x x x x e e ---<-<,因此()00000222122111ln 1ln 10x x x x x x x x x x h x x x e e e e---+--'=++=++->->,…………11分即()h x 单增.从而01x x <<时,()()00h x h x <=即01011122ln x x x xx x e --<,故1202x x x +>得证…………12分考点:利用导数研究函数的单调性及其极值(最值).【方法点晴】本题主要考查了利用导数研究函数的单调性、利用导数研究函数的极值与最值,综合考查了学生综合运用知识分析问题和解答问题的能力,试题综合性强、计算量大,能力要求高,属于难题,解答中由(1)和题设条件,得出函数()00ln ,1,xx x x x m x x x x e <≤⎧⎪=⎨>⎪⎩,进而利用函数()m x 的性质求解是解答的关键,此类问题需要注重方法的总结和积累.请考生在第22、23、24三题中任选一题作答,如果多做,则按所做的第一题记分.解答时请写清题号.22.(本小题满分10分)选修4-1:几何证明选讲如图,AE 是圆O 的切线,A 是切点,AD OE ⊥于D ,割线EC 交圆O 于B ,C 两点.(1)证明:O ,D ,B ,C 四点共圆;(2)设50DBC ∠=︒,30ODC ∠=︒,求OEC ∠的大小. 【答案】(1)证明见解析;(2)20.()18018020OBC DBC DBC ODC =︒-∠-︒-∠=∠-∠=︒. …………10分考点:与圆有关的比例线段.23.(本小题满分10分)选修4-4:坐标系与参数方程已知直线l 的参数方程为10,x t y t =-+⎧⎨=⎩(t 为参数),以坐标原点为极点,x 轴的正半轴为极轴建立极坐标系,圆C 的极坐标方程为24sin 20ρρθ-+=. (1)把圆C 的极坐标方程化为直角坐标方程;(2)将直线l 向右平移h 个单位,所得直线l '与圆C 相切,求h . 【答案】(1)22420x y y +-+=;(2)6h =或10h =.考点:极坐标方程与直角坐标方程的互化;参数方程的应用.24.(本小题满分10分)选修4-5:不等式选讲已知函数()2f x x a a =-+,a ∈R ,()21g x x =-.(1)若当()5g x ≤时,恒有()6f x ≤,求a 的最大值;(2)若当x ∈R 时,恒有()()3f x g x +≥,求a 的取值范围.【答案】(1)1;(2)[)2,+∞.考点:绝对值不等式.。