计算方法引论课后答案doc
- 格式:pdf
- 大小:764.60 KB
- 文档页数:11
计算⽅法各习题及参考答案第⼆章数值分析2.1 已知多项式432()1p x x x x x =-+-+通过下列点:试构造⼀多项式()q x 通过下列点:答案:54313()()()3122q x p x r x x x x x =-=-++-+. 2.2 观测得到⼆次多项式2()p x 的值:表中2()p x 的某⼀个函数值有错误,试找出并校正它.答案:函数值表中2(1)p -错误,应有2(1)0p -=.2.3 利⽤差分的性质证明22212(1)(21)/6n n n n +++=++ .2.4 当⽤等距节点的分段⼆次插值多项式在区间[1,1]-近似函数xe 时,使⽤多少个节点能够保证误差不超过61102-?.答案:需要143个插值节点.2.5 设被插值函数4()[,]f x C a b ∈,()3()h H x 是()f x 关于等距节点01n a x x x b =<<<= 的分段三次艾尔⽶特插值多项式,步长b a h n-=.试估计()3||()()||h f x H x ∞-.答案:()443||()()||384h M f x H x h ∞-≤.第三章函数逼近3.1 求()sin ,[0,0.1]f x x x =∈在空间2{1,,}span x x Φ=上最佳平⽅逼近多项式,并给出平⽅误差.答案:()sin f x x =的⼆次最佳平⽅逼近多项式为-522sin ()0.832 440 710 1.000 999 10.024 985 1x p x x x ≈=-?+-,⼆次最佳平⽅逼近的平⽅误差为0.122-1220(sin )())0.989 310 710x p x dx δ=-=??.3.2 确定参数,a b c 和,使得积分2121(,,)[I a b c ax bx c -=++-?取最⼩值.答案:810, 0, 33a b c ππ=-== 3.3 求多项式432()251f x x x x =+++在[1,1]-上的3次最佳⼀致逼近多项式()p x .答案:()f x 的最佳⼀致逼近多项式为323()74p x x x =++. 3.4 ⽤幂级数缩合⽅法,求() (11)x f x e x =-≤≤上的3次近似多项式6,3()p x ,并估计6,3||()()||f x p x ∞-.答案:236,3()0.994 574 650.997 395 830.542 968 750.177 083 33p x x x x =+++, 6,3||()()||0.006 572 327 7f x p x ∞-≤3.5 求() (11)xf x e x =-≤≤上的关于权函数()x ρ=的三次最佳平⽅逼近多项式3()S x ,并估计误差32||()()||f x S x -和3||()()||f x S x ∞-.答案:233()0.994 5710.997 3080.542 9910.177 347S x x x x =+++,32||()()||0.006 894 83f x S x -=,3||()()||0.006 442 575f x S x ∞-≤.第四章数值积分与数值微分4.1 ⽤梯形公式、⾟浦⽣公式和柯特斯公式分别计算积分1(1,2,3,4)n x dx n =?,并与精确值⽐较.答案:计算结果如下表所⽰4.2 确定下列求积公式中的待定参数,使得求积公式的代数精度尽量⾼,并指明所确定的求积公式具有的代数精度.(1)101()()(0)()hh f x dx A f h A f A f h --≈-++?(2)11211()[(1)2()3()]3f x dx f f x f x -≈-++? (3)20()[(0)()][(0)()]2h h f x dx f f h h f f h α''≈++-?答案:(1)具有三次代数精确度(2)具有⼆次代数精确度(3)具有三次代数精确度.4.3 设10h x x =-,确定求积公式12300101()()[()()][()()][]x x x x f x dx h Af x Bf x h Cf x Df x R f ''-=++++?中的待定参数,,,A B C D ,使得该求积公式的代数精确度尽量⾼,并给出余项表达式.答案:3711,,,20203020A B C D ====-,(4)6()[]1440f R f h η=,其中01(,)x x η∈.4.4 设2()P x 是以0,,2h h 为插值点的()f x 的⼆次插值多项式,⽤2()P x 导出计算积分30()hI f x dx =?的数值积分公式h I ,并⽤台劳展开法证明:453(0)()8h I I h f O h '''-=+.答案:3203()[(0)3(2)]4h h I p x dx h f f h ==+?.4.5 给定积分10sin xI dx x =(1)运⽤复化梯形公式计算上述积分值,使其截断误差不超过31102-?.(2)取同样的求积节点,改⽤复化⾟浦⽣公式计算时,截断误差是多少?(3)要求的截断误差不超过610-,若⽤复化⾟浦⽣公式,应取多少个节点处的函数值?答案:(1)只需7.5n ≥,取9个节点,0.946I ≈(2)4(4)46111|[]||()|()0.271102880288045n b a R f h f η--=-≤=? (3)取7个节点处的函数值.4.6 ⽤变步长的复化梯形公式和变步长的复化⾟浦⽣公式计算积分10sin xI dx x =?.要求⽤事后误差估计法时,截断误不超过31102-?和61102-?.答案:使⽤复化梯形公式时,80.946I T ≈=满⾜精度要求;使⽤复化⾟浦⽣公式时,40.946 083I s ≈=满⾜精度要求.4.7(1)利⽤埃尔⽶特插值公式推导带有导数值的求积公式2()()[()()][()()][]212ba b a b a f x dx f a f b f b f a R f --''=+--+?,其中余项为 5(4)()[](), (,)4!30b a R f f a b ηη-=∈.(2)利⽤上述公式推导带修正项的复化梯形求积公式020()[()()]12Nx N N x h f x dx T f x f x ''≈--?,其中 0121[()2()2()2()()]2N N N hT f x f x f x f x f x -=+++++ ,⽽ 00, (0,1,2,,), i N x x ih i N Nh x x =+==- .4.8 ⽤龙贝格⽅法计算椭圆2214x y +=的周长,使结果具有五位有效数字.答案:49.6884l I =≈.4.9确定⾼斯型求积公式0011()()()x dx A f x A f x ≈+?的节点0x ,1x 及系数0A ,1A .答案:00.289 949x =,10.821 162x =,00.277 556A =,10.389 111A =.4.10 验证⾼斯型求积公式00110()()()x e f x dx A f x A f x +∞-≈+?的系数及节点分别为0001 2 2A A x x ===-=+第五章解线性⽅程组的直接法5.1 ⽤按列选主元的⾼斯-若当消去法求矩阵A 的逆矩阵,其中11121 0110A -?? ?= ? ?-??.答案: 1110331203321133A -?? ? ?=---5.2 ⽤矩阵的直接三⾓分解法解⽅程组1234102050101312431701037x x x x= ? ? ? ? ? ? ? ? ??答案: 42x =,32x =,21x =,11x =.5.3 ⽤平⽅根法(Cholesky 分解法)求解⽅程组12341161 4.25 2.750.51 2.75 3.5 1.25x x x -?????? ??? ?-=- ??? ? ??? ???????答案: 12x =,21x =,31x =-.5.4 ⽤追赶法求解三对⾓⽅程组123421113121112210x x x x ?????? ? ? ? ? ? ?= ? ? ? ? ? ? ? ? ?????答案:42x =,31x =-,21x =,10x =.第六章解线性代数⽅程组的迭代法6.1对⽅程1212123879897x x x x x x x -+=??-+=??--=?作简单调整,使得⽤⾼斯-赛得尔迭代法求解时对任意初始向量都收敛,并取初始向量(0)[0 0 0]T x =,⽤该⽅法求近似解(1)k x+,使(1)()3||||10k k x x +-∞-≤.答案:近似解为(4)[1.0000 1.0000 1.0000]Tx =.6.2讨论松弛因⼦ 1.25ω=时,⽤SOR ⽅法求解⽅程组121232343163420412x x x x x x x +=??+-=??-+=-? 的收敛性.若收敛,则取(0)[0 0 0]T x=迭代求解,使(1)()41||||102k k x x +-∞-<.答案:⽅程组的近似解为*1 1.50001x =,*2 3.33333x =,*3 2.16667x =-.6.3给定线性⽅程组Ax b =,其中111221112211122A ?? ? ?=,证明⽤雅可⽐迭代法解此⽅程组发散,⽽⾼斯-赛得尔迭代法收敛.6.4设有⽅程组112233302021212x b x b x b -?????? ??? ?= ??? ? ??? ?-??????,讨论⽤雅可⽐⽅法和⾼斯-赛得尔⽅法解此⽅程组的收敛性.如果收敛,⽐较哪种⽅法收敛较快.答案:雅可⽐⽅法收敛,⾼斯-赛得尔⽅法收敛,且较快.6.5设矩阵A ⾮奇异.求证:⽅程组Ax b =的解总能通过⾼斯-赛得尔⽅法得到.6.6设()ij n nA a ?=为对称正定矩阵,对⾓阵1122(,,,)nn D diag a a a = .求证:⾼斯-赛得尔⽅法求解⽅程组1122D AD x b --=时对任意初始向量都收敛.第七章⾮线性⽅程求根例7.4对⽅程230xx e -=确定迭代函数()x ?及区间[,]a b ,使对0[,]x a b ?∈,迭代过程1(), 0,1,2,k x x k ?+== 均收敛,并求解.要求51||10k k x x -+-<.答案:若取2()x x ?=,则在[1,0]-中满⾜收敛性条件,因此迭代法121, 0,1,2,k x k x k +== 在(1,0)-中有惟⼀解.取00.5x =-,*70.458960903x x ≈=-.取2()x x ?=,在[0,1上满⾜收敛性条件,迭代序列121, 0,1,2,k x k x k +== 在[0,1]中有惟⼀解.取00.5x =,*140.910001967x x ≈=- 在[3,4]上,将原⽅程改写为23xe x =,取对数得2ln(3)()x x x ?==.满⾜收敛性条件,则迭代序列21ln(3), 0,1,2,k k x x k +== 在[3,4]中有惟⼀解.取0 3.5x =, *16 3.733067511x x ≈=.例7.6对于迭代函数2()(3)x x c x ?=+-,试讨论:(1)当c 为何值时,1()k k x x ?+=产⽣的序列{}k x(2)c 取何值时收敛最快?(3)取1,2c =-()x ?51||10k k x x -+-<.答案:(1)(c ∈时迭代收敛.(2)c =时收敛最快.(3)分别取1, 2c =--,并取0 1.5x =,计算结果如下表7.7所⽰表7.7例7.13 设不动点迭代1()k x x ?+=的迭代函数()x ?具有⼆阶连续导数,*x 是()x ?的不动点,且*()1x ?'≠,证明Steffensen 迭代式21(), (), 0,1,2,()2k k k k k k k k k k k y x z x k y x x x z y x+===-?=-?-+?⼆阶收敛于*x .例7.15 设2()()()()()x x p x f x q x f x ?=--,试确定函数()p x 和()q x ,使求解()0f x =且以()x ?为迭代函数的迭代法⾄少三阶收敛.答案:1()()p x f x =',31()()2[()]f x q x f x ''=' 例7.19 设()f x 在[,]a b 上有⾼阶导数,*(,)x a b ∈是()0f x =的(2)m m ≥重根,且⽜顿法收敛,证明⽜顿迭代序列{}k x 有下列极限关系:111lim2k kk k k k x x m x x x -→∞-+-=-+.第⼋章矩阵特征值8.1 ⽤乘幂法求矩阵A 的按模最⼤的特征值与对应的特征向量,已知5500 5.51031A -?? ?=- ? ?-??,要求(1)()611||10k k λλ+--<,这⾥()1k λ表⽰1λ的第k 次近似值.答案:15λ≈,对应的特征向量为[5,0,0]T-;25λ≈-,对应的特征向量为[5,10,5]T --. 8.2 ⽤反幂法求矩阵110242012A -??=-- -的按模最⼩的特征值.知A 的按模较⼤的特征值的近似值为15λ=,⽤5p =的原点平移法计算1λ及其对应的特征向量.答案:(1) A 的按模最⼩的特征值为30.2384428λ≈(2) 1 5.1248854λ≈,对应的特征向量为(8)[0.242 4310, 1 ,0.320 011 7]T U =--.8.3 设⽅阵A 的特征值都是实数,且满⾜121, ||||n n λλλλλ>≥≥> ,为求1λ⽽作原点平移,试证:当平移量21()2n p λλ=+时,幂法收敛最快. 8.4 ⽤⼆分法求三对⾓对称⽅阵1221221221A ?? ? ?= ? ? ???的最⼩特征值,使它⾄少具有2位有效数字.答案:取5 2.234375λ≈-即有2位有效数字.8.5 ⽤平⾯旋转变换和反射变换将向量[2 3 0 5]T x =变为与1[1 0 0 0]Te =平⾏的向量.答案:203/2/00001010/0T ??- ?=--?0.324 442 8400.486 664 26200.811 107 1040.486 664 2620.812 176 04800.298 039 92200100.811 107 1040.298 039 92200.530 266 798H --??--= ? ?--8.6 若532644445A -??=- -,试把A 化为相似的上Hessenberg 阵,然后⽤QR ⽅法求A 的全部特征值.第九章微分⽅程初值问题的数值解法9.1 ⽤反复迭代(反复校正)的欧拉预估-校正法求解初值问题0, 0<0.2(0)1y y x y '+=≤??=?,要求取步长0.1h =,每步迭代误差不超过510-.答案: [4]11(0.1)0.904 762y y y ≈==,[4]22(0.2)0.818 594y y y ≈==9.2 ⽤⼆阶中点格式和⼆阶休恩格式求初值问题2, 0<0.4(0)1dy x y x dx y ?=+≤=?的数值解(取步长0.2h =,运算过程中保留五位⼩数).答案:⽤⼆阶中点格式,取初值01y =计算得0n =时,1211.000 00, 1.200 00, (0.2)=1.240 00K K y y ==≈ 1n =时,1221.737 60, 2.298 72, (0.4)=1.699 74K K y y ==≈⽤⼆阶休恩格式,取初值01y =计算得0n =时,1211.000 00, 1.266 67, (0.2)=1.240 00K K y y ==≈ 1n =时,1221.737 60, 2.499 18, (0.4)=1.701 76K K y y ==≈9.3 ⽤如下四步四阶阿达姆斯显格式1123(5559379)/24n n n n n n y y h f f f f +---=+-+-求初值问题, (0)1y x y y '=+=在[0,0.5]上的数值解.取步长0.1h =,⼩数点后保留8位.答案:4(0.4)0.583 640 216y y ≈=,5(0.5) 1.797 421 984y y ≈=. 9.4 为使⼆阶中点公式1(,(,))22n n n n n n h hy y hf x y f x y +=+++,求解初值问题 , (0)y y y aλλ'=-??=?为实常数绝对稳定,试求步长h 的⼤⼩应受到的限制条件.答案:2h λ≤.9.5 ⽤如下反复迭代的欧拉预估-校正格式(0)1(1)()111(,)[(,)(,)]2 0,1,2,; 0,1,2,nn n n k k n n n n n n y y hf x y h y y f x y f x y k n +++++?=+??=++??==,求解初值问题sin(), 01(0)1x y e xy x y '?=<≤?=?时,如何选择步长h ,使上述格式关于k 的迭代收敛.答案:2h e<时上述格式关于k 的迭代是收敛的.9.6 求系数,,,a b c d ,使求解初值问题0(,), ()y f x y y x a '==的如下隐式⼆步法221()n n n n n y ay h bf cf df +++=+++的误差阶尽可能⾼,并指出其阶数.答案:系数为142,,33a b d c ====,此时⽅法的局部截断误差阶最⾼,为五阶5()O h .9.7 试⽤欧拉预估-校正法求解初值问题, (0)=1, 0<0.2()/, (0)2dyxy z y dxx dz x y z z dx=-≤=+=,取步长0.1h =,⼩数点后⾄少保留六位.答案:由初值00(0)1, (0)2y y z z ====可计算得110.800 000z 2.050 000y =??=? , 11(0.1)0.801 500(0.1) 2.046 951y y z z ≈=??≈=? 220.604 820z 2.090 992y =??=? , 22 (0.2)0.604 659(0.2) 2.088 216y y z z ≈=??≈=?。
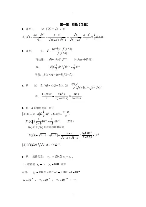
习题一1.什么叫数值方法?数值方法的基本思想及其优劣的评价标准如何?数值方法是利用计算机求解数学问题近似解的方法xmax x i , x ( x 1 , x 2 , x n ) T R n 及 A nR n n .2.试证明maxa ij , A ( a ij )1 in1 i n1j证明:( 1)令 x rmaxxi1 i nnp 1/ pnx ip1/ pnx r p 1/ p1/ pxlim(x i lim x r [( ]lim x r [limx r))() ]x r npi 1pi 1 x rpi 1 xrp即 xx rnp1/ pnp 1/ p又 lim(lim(x rx i)x r)pi 1pi 1即 xx rxx r⑵ 设 x(x 1,... x n )0 ,不妨设 A 0 ,nnnn令maxaijAxmaxaijx jmaxa ij xjmax x i maxaijx1 i nj 11 i nj 11 i nj 11 i n1 i nj 1即对任意非零 xR n,有Axx下面证明存在向量 x 00 ,使得Ax 0,x 0n( x 1,... x n )T 。
其中 x j设j a i 0 j ,取向量 x 0sign(a i 0 j )( j 1,2,..., n) 。
1nn显然x 01 且 Ax 0 任意分量为ai 0 jx jai 0 j,i 1i1nn故有Ax 0maxaijx jai 0 j即证。
ii 1j 13. 古代数学家祖冲之曾以355作为圆周率的近似值,问此近似值具有多少位有效数字?113解: x325 &0.314159292 101133xx355 0.266 10 6 0.5 101 7 该近似值具有 7 为有效数字。
4. 若 T(h)逼近其精确值T 的截断误差为R(T ) : T (h) T A i h2 ii 1T0 ( h) T (h) 其中,系数 A i与h无关。
《计算方法引论》-徐翠微主编2009 ~ 2010学年第一学期计算方法教案计0701-0703 4h第二章插值法知识点:拉格朗日插值法,牛顿插值法,余项,分段插值。
实际问题中,时常不能给出f(x)的解析表达式或f(x)解析表达式过于复杂而难于计算,能采集的只是一些f(x)的离散点值{xi,f(xi)}(i=0,1,2,…n)。
因之,考虑近似方法成为自然之选。
定义:设f(x)为定义在区间[a,b]上的函数,x0,x1,…,xn为[a,b]上的互异点,yi=f(xi)。
若存在一个简单函数,(x),满足(插值条件),(xi)=f(xi),i=0,1,…,n。
则称 ,(x)为f(x)插值函数,f(x)为被插函数,点x0,x1,…,xn为插值节点,点{xi,f(xi)},i=0,1,2,…n为插值点。
于是计算f(x)的问题就转换为计算 ,(x)。
构造插值函数需要解决:插值函数是否存在唯一;插值函数如何构造(L插值);插值函数与被插函数的误差估计和收敛性。
对插值函数 ,(x)类型有多种不同的选择,代数多项式常被选作插值函数。
P23(2.18)和(2.19)指出,存在唯一的满足插值条件的n次插值多项式p(x)。
但是需要计算范德蒙行列式,构造插值多n项式工作量过大,简单表达式不易得到,实际中不采用这类方法。
p(x)?f(x) n插值法是一种古老的数学方法,拉格朗日(Lagrange)、牛顿(Newton)等分别给出了不同的解决方法。
拉格朗日插值拉格朗日(Lagrange)插值的基本思想:把插值多项式p(x)的构造问题转化为n+1个插值基函数l(x)(i=0,1,…,n)的ni构造。
(1)线性插值?构造插值函数已知函数y=f(x)的两个插值点(x,y),(x,y),构造多项式y=p(x),使p(x)=y,p(x)=y。
001111001111 《计算方法引论》、徐翠薇,高等教育出版社 2008年4月第三版第二章Lagrange插值法2009 ~ 2010学年第一学期计算方法教案计0701-0703 4h由直线两点式可知,通过A,B的直线方程为, y y 1 0 , , , y y ,, x x p ( x ) + 0 0 1 , x x 1 0变形为 x-x0 x-x1 y 1, , p(x) y 10 x1-x0 x0-x1记 x-x0 x-x1 , l(x) , l(x) 10 x1-x0 x0-x1则p(x)=l(x)y+l(x)y10011插值完毕~注意性质:l(x)=l(x)=1,l(x)=l(x)=0,p(x)=y,p(x)=y。
第一章 引论〔习题〕2.证明 : 记 x x f =)( ,则)()(***x x x x x xx x f E r +-=-=)(21**x E x x x x x xr ≈-⋅+=.3.证明: 令: )()()(b a fl b a fl b a **-*=δ可估计: 1|)(|-≥*c b a fl β 〔c 为b a *阶码〕,故: 121||--≤c t c ββδt-=121β 于是:)1)()(δ+*=*b a b a fl .4.解 (1) )21()122x x x++.(2) )11(2x x x x x-++.(3) xx x x x x x cos 1sin )cos 1(sin cos 12+≈+=-.6.解 a 的相对误差:由于31021|)(|-⋅≤-=a x x E .x ax x E r -=)(, 221018110921)(--⋅=⨯≤x E r . 〔1Th 〕)(a f 对于)(x f 的误差和相对误差.|11||)(|a x f E ---==()25.021011321⨯⋅≤-+---ax x a =310-33104110|)(|--⨯=-≤a f E r .9.解 递推关系: 1101.100-+-=n n n y y y (1) 取初值 10=y , 01.01=y 计算 可得: 11001.10022-⨯=-y 10001.1-=410-=6310-=y , 8410-=y , 10510-=y , …(2)取初值 50101-+=y , 2110-=y ,记: n n n y y -=ε,序列 {}n ε ,满足递推关系,且 5010--=ε , 01=ε1101.100-+-=n n n εεε, 于是: 5210-=ε, 531001.100-⨯=ε,55241010)01.100(---⨯=ε,55351002.20010)01.100(--⨯-⨯=ε,可见随着 n ε 的主项5210)01.100(--⨯n 的增长,说明该递推关系式是不稳定的.第二章 多项式插值 (习 题)1.方法一. 由 Lagrange 插值公式)()()()()(332211003x l f x l f x l f x l f x L ⋅+⋅+⋅+⋅=)1)((31)2)()(1()1)(()(2123210---=-----=x x x x x x x l ,))(1(2)1)()(1()(21221211--=--+=x x x x x x l ,x x x x x x l )1()()1()1!()(2382121232--=-⋅⋅-+=,)()1(12)()1()(2121213-+=⋅⋅-+=x x x x x x x l . 可得: )21()(23-=x x x L方法二. 令:)()21()(3B Ax x x x L +-=由 23)1(3-=-L , 21)1(3=L , 定A ,B 〔称之为待定系数法〕2.证明(1) 由于 j i j i x l ,)(δ= 故: =)(x L n ∑=ni i k i x l x)( ,当 j x x = 时有: k j j n x x L =)( , n j ,,1,0 =)(x L n 也即为 k x 的插值多项式,由唯一性,有:∑==ni k i ki x x l x)( , n k ,,1,0 =证明(2):利用Newton 插值多项式)(],[)()(0100x x x x f x f x N n -+=)()(],,[100---++n n x x x x x x f)()()()()()(00101x l x x x x x x x x x f n n =----=差商表:f(x) 一阶 二阶 … n 阶差商0x 11x 0101x x -0 )()(11020x x x x --n x 00)()(1010n x x x x --代入)(*式有:)()()()()(1)(020*******n n n x x x x x x x x x x x x x x x N -----++--+=- .)(0x l 为n 次代数多项式,由插值多项式的唯一性:有 )()(0x N x l n ≡.4.解作)(x f 以b a a ,,ε+为节点的Lagrange 插值多项式,有:)()()(22x R x L x f +=, 其中:)()()()()()()()()()(2εεεεε+-+--+-----=a fb a b x a x a f b a b x a x x L)()()()()(b f a b a b a x a x εε------+, )()()(!3)()(2b x a x a x f x R ----'''=εζ , b a <<ζ令: 0→ε 有)()(6)()()(22b x a x f x R x R --'''=→ζ, 又:)()()()([)()(2a f a b ax a f a b a x x b x L εεεεε----+----= )]()()()()(a f a b a x a f a b a x -------+εεεε )()()()()(b f a b a b a x a x εε------+)()()2()(2a f ab a b x x b --+-→)()()()(a f a b a x x b '---+ )()()()(22x P b f a b a x =--+ 故当0→ε 时,成立公式: )()()(x R x P x f +=.5.解:因为34)(3'-=x x f ,2''12)(x x f =)(x f 为凹函数.又从数值表可见:当]5.0,1.0[∈x 时,)(x f 单调下降.有反函数)(1y fx -=)(y f的Newton 插值多项式:)17440.0)(10810.0)(40160.0)(70010.0(01225.0)10810.0)(40160.0)(70010.0(01531.0)40160.0)(70010.0(0096436.0)70010.0(33500.01.0)(4+---+------+--=y y y y y y y y y y y N.337.0)0(4*≈=N x7.解 1)(37++=x x x f .有:=]2,,2,2[71f !7)()7(ξf =1,!8)(]2,,2,2[)8(810ηf f = 0=.9.证明:(1) =⋅-⋅=⋅∆++i i i i i i g f g f g f 11)(i i i i i i i i g f g f g f g f ⋅-⋅+⋅-⋅++++1111i i i i f g g f ∆+∆=+1.(3) n xnn)1()1(-=∆!)()(nh x h x x hn++此题可利用数学归纳法:设 k n = 成立,证明 1+=k n 成立.又 1=n 时是成立的.10.证明: 记: 2]2/)1([)(+=n n n f ,33321)(n n g +++=有: 3)1()()1()(+=-+=∆n n f n f n f 故: ∑-=∆=10)()(n k k f n g ∑-=-+=1)]()1([n k k f k f2]2/)1([)0()(+=-=n n f n f .13.解 作重节点差商的Newton 插值公式)1(]1,1[)1()(+--+-=x f f x P 22)1(]1,0,1,1[)1(]0,1,1[+--++--+x x f x f )1()1(]1,1,0,1,1[2-+--+x x x f重节点差商表:i x i f 一阶 二阶 三阶 四阶10-=x 110-=x 1 201=x 1 0 -212=x 1 0 0 112=x 1 2 2 1 0得 22)1()1(2)1(21)(+++-++=x x x x x P 13+-=x x .17.证: 取 ,00=x 211=x , 12=x , 21=h00=f , 11=f , 12=f记: )(i i x s M ''= , 2,1,0=i有 h x x M h x x M x S 01101)(-+-=''x M x M 102)21(2+-= )21(2)1(2)(212-+-=''x M x M x S 又三弯矩方程为:(2],,[210-=x x x f )244210-=++M M M , )24(41201M M M ++-=.分段积分:⎰⎰+''=''∆121221)]([)]([dx x s dx x s ⎰''12221)]([dx x s ⎰+-+=210201)]21([4dx x M x M ⎰-+-121221)]21()1([4dx x M x M⎰⎰-+-+-+-=121121221201)]21()1([4)]1()21([4dx x M x M dx x M x M由于⎰=-1212241)21(dx x ,⎰=-1212241)1(dx x ,⎰=--121481)1()21(dx x x ,于是:⎰++++=''∆1022212110202]2[61))((M M M M M M M dx x S 又: )24(41201M M M ++-=记 =),(20M M I ⎰∆''12))((dx x S=)()24(41[6120202220M M M M M M +++-+ ])24(81220M M +++ 由00=∂∂M I , 02=∂∂M I. 得: ⎩⎨⎧=+-=-07072020M M M M 即当: 020==M M 时,),(20M M I 达最小故:⎰=⋅⋅≥''∆12212)24(8161))((dx x S ,由最小模原理: ⎰≥''1212)]([dx x f .20.解 利用三弯矩方法 )(i i x s M ''= , 2,1,0=i10=x , 22=x , 32=x⎪⎩⎪⎨⎧-=+=++=+542364622121010M M M M M M M解得: 70-=M , 201=M , 372-=M]2,1[∈x 72431729)(231-+-=x x x x s ]3,2[∈x 105229367219)(232+-+-=x x x x s .第三章 最佳逼近与其实现 (习 题)2.解(1) ⎰'⋅'=badx x g x f g f )()(),( 不是 ),(b a c '中的内积,事实上容易验证:),(),(f g g f = , ),(),(g f g f λλ=),(),(),(w g w f w g f +=+但是0),(=f f 当且仅当 0)(≡x f . 条件不满足,因为:⎰='⋅'=badx x f x f f f 0)()(),(推出0)(≡'x f ,0)(≠=const x f . 因而 ),(g f 不是 ),(b a C '中的内积.(2) ),(g f 是 =],[10b a C {}],[)(,0)(:)(b a C x f a f x f '∈'=空间的内积,这是因为:0),(=f f 推出 0)(='x f ,C x f =)(,又],[10b a C f ∈ ,故 0)(=x f .4.解:由于 0)(],,[2≠''∈x f b a c f ,则)(x f ''于],[b a 上保号,由定理5的推论2可知:)()(1x P x f -的交错点组恰有三个交错点,且 a x =1,b x =3,即: ⎪⎪⎩⎪⎪⎨⎧=-'='-=+-==+-==+-=0)()(,)()()(,)()()(,)()()(122210223103311011αρααρααρααx f x e x x f x e x x f x e x x f x e 故:ab a f b f x f --='=)()()(21α,2)()(2)()(220x a a b a f b f x f a f +⋅---+=α记 c x =2 ,即证得(1).(2) 若 x x f cos )(= ,]2,0[],[π=b a此时由 ab a f b fc f --=')()()( 得:π2sin =c , )2sin(πarc c =,πα21-=πππα2)4(2120-+=2)/2sin(2ππarc ⋅+)4(212-+=πππππ)2sin(arc +. 误差估计:)()(10b f b f E -+=-=ααρ)4(212-+=πππ1)2sin(-+ππarc5.解:选取 α ,使得:=)(αI ||max 211x x x α-≤≤ ,达到极小,即要求 x x *)(*αϕ= ,于]1,0[上一致逼近于2x ,如图 应选*α ,使得: x x x *)(2αϕ-=,于 ]1,0[ 上有两个轮流为正负偏差点,其中之一为1,另一个假设为 ζ 于是: )()1(ζϕα-=,0)(='ζϕ , 〔 ζ为)(x ϕ的极值点〕 得: αζζα+-=-2102=-αζ解得:ζα2= ,0122=-+ζζ,212,1±-=ζ取 12-=ζ , 222-=α. 又: α 是唯一的.6.证明:由最佳一致逼近的特征定理,)(*x P n 为)(x f 的最佳一致逼近多项式,则存在2+n 个点b x x x a n ≤<<<≤+110使得: )()()(*k n k k x P x f x e -==*)1(n k P f --σ.又由于 ],[)(b a C x f ∈ ,于 ),(1+i i x x 中有一个点 i η ,1+<<i i i x x η ,使得: 0)()()(*=-=i n i i P f e ηηη,n i ,,1,0 =即: )(*x P n 为)(x f 满足插值条件: )()(*i i n f P ηη= , n i ,,1,0 =的插值多项式.7.解:求C*,使得:C x f C I bx a R C -=≤≤∈)(max min *)(记 C x f x e -=)()(, 依最佳一致逼近的特征定理:应取)](min )(max [21*],[],[x f x f C b a b a +=*)()(C x f x e -=于 ],[b a 才有两个轮流正负的偏差点,〔即 )(x f 于],[b a 上的最大值点和最小值点〕1x ,2x)(max )(],[1x f x f b a = , )(min )(],[2x f x f b a =此时: *)(max )1()(],[C x f x e b a ii --=σ即 *C 为)(x f 的零次最佳逼近多项式.8.解: 436)(23+++=x x x x f2)(34)3(62031T T T T +++=014T T ++01232112112323T T T T +++= 因为 )(413x T 与零偏差最小,故:012221121123)(T T T x P ++=421132++=x x .为)(x f 的最佳一致逼近多项式.9. 证明:我们仅证明)(x f 是偶函数时,)(x P n 亦是偶函数.由于)(x P n 为)(x f的最佳一致逼近多项式,有:)()()(max ],[f E x P x f n n a a =--和: [,max ()()()]n n a af x P x E f ----=即: )()()(max ],[f E x P x f n n a a =---)(x P n -亦是)(x f 的最佳一致逼近多项式,由最佳一致逼近多项式的惟一性,有: )()(x P x P n n =-即: )(x P n 为偶函数.11.解: 设 x a a x P 10*1)(+= , 2210*2)(x b x b b x P ++=分别为)(x f 的一次、二次最佳平方逼近多项式。
1.1 设3.14, 3.1415, 3.1416分别作为π的近似值时所具有的有效数字位数解 近似值x =3.14=0.314×101,即m =1,它的绝对误差是 -0.001 592 6…,有31105.06592001.0-*⨯≤=- x x . 即n =3,故x =3.14有3位有效数字. x =3.14准确到小数点后第2位. 又近似值x =3.1416,它的绝对误差是0.0000074…,有 5-1*10⨯50≤00000740=-.. x x即m =1,n =5,x =3.1416有5位有效数字. 而近似值x =3.1415,它的绝对误差是0.0000926…,有 4-1*10⨯50≤00009260=-.. x x即m =1,n =4,x =3.1415有4位有效数字.这就是说某数有s 位数,若末位数字是四舍五入得到的,那么该数有s 位有效数字1.2 指出下列各数具有几位有效数字,及其绝对误差限和相对误差限:2.0004 -0.00200 9000 9000.00解 (1)∵ 2.0004=0.20004×101, m=1 绝对误差限:4105.0000049.020004.0-*⨯≤≤-=-x x xm -n =-4,m =1则n =5,故x =2.0004有5位有效数字1x =2,相对误差限000025.010221102151)1(1=⨯⨯=⨯⨯=---n r x ε (2)∵ -0.00200= -0.2×10-2, m =-2 5105.00000049.0)00200.0(-*⨯≤≤--=-x x xm -n =-5, m =-2则n =3,故x =-0.00200有3位有效数字1x =2,相对误差限3110221-⨯⨯=r ε=0.0025 (3) ∵ 9000=0.9000×104, m =4, 0105.049.09000⨯<≤-=-*x x xm -n =0, m =4则n =4,故x =9000有4位有效数字4110921-⨯⨯=r ε=0.000056 (4) ∵9000.00=0.900000×104, m =4,2105.00049.000.9000-*⨯<≤-=-x x xm -n =-2, m =4则n =6,故x =9000.00有6位有效数字 相对误差限为6110921-⨯⨯=rε=0.000 00056由(3)与(4)可以看到小数点之后的0,不是可有可无的,它是有实际意义的.10-的近似值是多少?1.3 ln2=0.69314718…,精确到310-=0.001,即绝对误差限是ε=0.0005,解精确到3故至少要保留小数点后三位才可以.ln2≈0.6931.1 设3.14, 3.1415, 3.1416分别作为π的近似值时所具有的有效数字位数解近似值x=3.14=0.314×101,即m=1,它的绝对误差是-0.001 592 6…,有.即n=3,故x=3.14有3位有效数字.x=3.14准确到小数点后第2位.又近似值x=3.1416,它的绝对误差是0.0000074…,有即m=1,n=5,x=3.1416有5位有效数字.而近似值x=3.1415,它的绝对误差是0.0000926…,有即m=1,n=4,x=3.1415有4位有效数字.这就是说某数有s位数,若末位数字是四舍五入得到的,那么该数有s位有效数字1.2指出下列各数具有几位有效数字,及其绝对误差限和相对误差限:2.0004 -0.00200 9000 9000.00 解(1)∵ 2.0004=0.20004×101, m=1绝对误差限:m-n=-4,m=1则n=5,故x=2.0004有5位有效数字=2,相对误差限(2)∵ -0.00200= -0.2×10-2, m=-2m-n=-5,m=-2则n=3,故x=-0.00200有3位有效数字=2,相对误差限 =0.0025(3)∵ 9000=0.9000×104, m=4,m-n=0,m=4则n=4,故x=9000有4位有效数字=0.000056(4) ∵9000.00=0.900000×104, m=4,m-n=-2,m=4则n=6,故x=9000.00有6位有效数字相对误差限为=0.000 00056由(3)与(4)可以看到小数点之后的0,不是可有可无的,它是有实际意义的.1.3 ln2=0.69314718…,精确到的近似值是多少?解精确到=0.001,即绝对误差限是e=0.0005,故至少要保留小数点后三位才可以.ln2»0.6932.1 用二分法求方程在[1, 2]的近似根,要求误差不超过至少要二分多少?解:给定误差限e=0.5×10-3,使用二分法时,误差限为只要取k满足即可,亦即只要取n=10.2.3 证明方程1 -x–sin x=0 在区间[0, 1]内有一个根,使用二分法求误差不超过0.5×10-4的根要二分多少次?证明令f(x)=1-x-sin x,∵f(0)=1>0,f(1)=-sin1<0∴f(x)=1-x-sin x=0在[0,1]有根.又f¢(x)=-1-c os x<0 (xÎ[0.1]),故f(x) 在[0,1]单调减少,所以f(x) 在区间[0,1]内有唯一实根.给定误差限e=0.5×10-4,使用二分法时,误差限为只要取k满足即可,亦即只要取n=14.。
第一章 误差1 问3.142,3.141,722分别作为π的近似值各具有几位有效数字?分析 利用有效数字的概念可直接得出。
解 π=3.141 592 65…记x 1=3.142,x 2=3.141,x 3=722.由π- x 1=3.141 59…-3.142=-0.000 40…知3411110||1022x π--⨯<-≤⨯ 因而x 1具有4位有效数字。
由π- x 2=3.141 59…-3.141=-0.000 59…知2231021||1021--⨯≤-<⨯x π因而x 2具有3位有效数字。
由π-722=3.141 59 …-3.142 85…=-0.001 26…知231021|722|1021--⨯≤-<⨯π因而x 3具有3位有效数字。
2 已知近似数x*有两位有效数字,试求其相对误差限。
分析 本题显然应利用有效数字与相对误差的关系。
解 利用有效数字与相对误差的关系。
这里n=2,a 1是1到9之间的数字。
%5101211021|*||*||)(|1211*=⨯⨯≤⨯≤-=+-+-n ra x x x x ε3 已知近似数的相对误差限为0.3%,问x*至少有几位有效数字?分析 本题利用有效数字与相对误差的关系。
解 a 1是1到9间的数字。
1112*10)1(2110)19(21102110003%3.0)(--⨯+≤⨯+⨯=⨯<=a x r ε 设x*具有n 位有效数字,令-n+1=-1,则n=2,从而x*至少具有2位有效数字。
4 计算sin1.2,问要取几位有效数字才能保证相对误差限不大于0.01%。
分析 本题应利用有效数字与相对误差的关系。
解 设取n 位有效数字,由sin1.2=0.93…,故a 1=9。
411*10%01.01021|*||*||)(-+-=≤⨯≤-=n ra x x x x ε解不等式411101021-+-≤⨯n a 知取n=4即可满足要求。
习 题 一3.已知函数y =4, 6.25,9x x x ===处的函数值,试通过一个二次插值函解:0120124, 6.25,9;2, 2.5,3y x x x y y y =======由题意 (1) 采用Lagrange插值多项式220()()j j j y L x l x y ==≈=∑27020112012010*********()|()()()()()()()()()()()()(7 6.25)(79)(74)(79)(74)(7 6.25)2 2.532.255 2.25 2.75 2.7552.6484848x y L x x x x x x x x x x x x x y y y x x x x x x x x x x x x ==≈------=++------------=⨯+⨯+⨯⨯-⨯⨯= 其误差为(3)25(3)25(3)2[4,9]2()(7)(74)(7 6.25)(79)3!3()83max |()|40.0117281|(7)|(4.5)(0.01172)0.008796f R f x x f x R ξ--=---==<∴<=又则(2)采用Newton插值多项式2()y N x =≈ 根据题意作差商表:224(7)2(74)()(74)(7 6.25) 2.64848489495N =+⨯-+-⨯-⨯-≈4. 设()()0,1,...,k f x x k n ==,试列出()f x 关于互异节点()0,1,...,i x i n =的Lagrange 插值多项式。
注意到:若1n +个节点()0,1,...,i x i n =互异,则对任意次数n ≤的多项式()f x ,它关于节点()0,1,...,i x i n =满足条件(),0,1,...,i i P x y i n ==的插值多项式()P x 就是它本身。
可见,当k n ≤时幂函数()(0,1,...,)kf x x k n ==关于1n +个节点()0,1,...,i x i n =的插值多项式就是它本身,故依Lagrange 公式有()00(),0,1,...,nn n k kk i j j j j j i j ii jx x x l x x x k n x x ===≠-=≡=-∑∑∏特别地,当0k =时,有()0001nn n ij j j i j ii jx x l x x x ===≠-=≡-∑∑∏而当1k =时有()000nnn ij j j j j i j ii jx x x l x x x x x ===≠⎛⎫- ⎪=≡ ⎪- ⎪⎝⎭∑∑∏ 5.依据下列函数表分别建立次数不超过3的Lagrange 插值多项式和Newton 插值多项式,并验证插值多项式的唯一性。
计算方法引论课后答案第一章误差1.什么是模型误差,什么是方法误差?例如,将地球近似看为一个标准球体,利用公式 $A=4\pi r$ 计算其表面积,这个近似看为球体的过程产生的误差即为模型误差。
在计算过程中,要用到 $\pi$,我们利用无穷乘积公式计算 $\pi$ 的值:pi=2\cdot\frac{2}{1}\cdot\frac{2}{3}\cdot\frac{4}{3}\cdot\f rac{4}{5}\cdot\frac{6}{5}\cdot\frac{6}{7}\cdot\frac{8}{7}\cdot\ frac{8}{9}\cdot\cdots我们取前9项的乘积作为 $\pi$ 的近似值,得$\pi\approx3.xxxxxxxx5$。
这个去掉 $\pi$ 的无穷乘积公式中第9项后的部分产生的误差就是方法误差,也称为截断误差。
2.按照四舍五入的原则,将下列各数舍成五位有效数字:816.956,76.000,.322,501.235,.182,130.015,236.23.解:816.96,76.000,.501.24,.130.02,236.23.3.下列各数是按照四舍五入原则得到的近似数,它们各有几位有效数字?81.897,0.008,136.320,050.180.解:五位,三位,六位,四位。
4.若 $1/4$ 用 0.25 表示,问有多少位有效数字?解:两位。
5.若 $a=1.1062$,$b=0.947$,是经过舍入后得到的近似值,问:$a+b$,$a\times b$ 各有几位有效数字?已知 $da<\frac{1}{2}\cdot10^{-4}$,$db<\frac{1}{2}\cdot10^{-3}$,又 $a+b=0.\times10$。
begin{aligned}d(a+b)&=da+db\leq da+db=\frac{1}{2}\cdot10^{-4}+\frac{1}{2}\cdot10^{-3}=0.55\times10^{-3}<\frac{1}{2}\cdot10^{-2}end{aligned}所以 $a+b$ 有三位有效数字;因为 $a\timesb=0.xxxxxxxx\times10$。
《计算方法》练习题一 参考答案练习题第1套参考答案 一.填空题 1.210- 2.))((!2)(b x a x f --''ξ 3.524.按模最大 5.]0,2[- 二.单选题1.C 2.A 3.C 4.B 5.C 三.计算题1.22122122121)2()42()3(),(--+-++-+=x x x x x x x x ϕ,由0,021=∂∂=∂∂x x ϕϕ得:⎩⎨⎧=+=+9629232121x x x x , 解得149,71821==x x 。
2.⎰≈++++≈21697.0]217868581[81x dx ,9611612)(2=⨯≤M x R 。
3.⎥⎥⎥⎦⎤⎢⎢⎢⎣⎡→⎥⎥⎥⎦⎤⎢⎢⎢⎣⎡→⎥⎥⎥⎦⎤⎢⎢⎢⎣⎡1142242644223214264426453426352回代得:Tx )1,1,1(-=4.因为A为严格对角占优阵,所以雅可比法收敛。
雅可比迭代公式为:⎪⎪⎪⎩⎪⎪⎪⎨⎧=+=++=+=+++Λ,1,0,)1(41)3(41)1(41)(2)1(3)(3)(1)1(2)(2)1(1m x x x x x x x m m m m m m m 。
取T x )1,1,1()0(=计算得: T x )5.0,25.1,5.0()1(=。
5.因为0875.0)5.0(,01)0(<-=>=f f ,所以]5.0,0[*∈x ,在]5.0,0[上,06)(,043)(2≥=''<-='x x f x x f 。
由0)()(0≥''x f x f ,选00=x ,由迭代公式:Λ,1,0,4314231=-+--=+n x x x x x n n n n n 计算得:25.01=x 。
四.证明题1.设))()(()()()(),)()(()(10110x t x t x k t L t f t g x x x x x k x R ----=--=,有x x x ,,10为三个零点。
第一章 误差1. 试举例,说明什么是模型误差,什么是方法误差.解: 例如,把地球近似看为一个标准球体,利用公式24A r π=计算其表面积,这个近似看为球体的过程产生的误差即为模型误差.在计算过程中,要用到π,我们利用无穷乘积公式计算π的值: 其中我们取前9项的乘积作为π的近似值,得这个去掉π的无穷乘积公式中第9项后的部分产生的误差就是方法误差,也成为截断误差.2. 按照四舍五入的原则,将下列各数舍成五位有效数字:816.956 7 6.000 015 17.322 50 1.235 651 93.182 13 0.015 236 23 解: 816.96 6.000 0 17.323 1.235 7 93.182 0.015 2363. 下列各数是按照四舍五入原则得到的近似数,它们各有几位有效数字? 81.897 0.008 13 6.320 05 0.180 0 解: 五位 三位 六位 四位4. 若1/4用0.25表示,问有多少位有效数字? 解: 两位5. 若 1.1062,0.947a b ==,是经过舍入后得到的近似值,问:,a b a b +⨯各有几位有效数字?解: 已知4311d 10,d 1022a b --<⨯<⨯, 又0.2053210a b +=⨯,()433211110100.551010222d a b da db da db ----+=+≤+=⨯+⨯=⨯<⨯,所以a b +有三位有效数字;因为0.1047571410a b ⨯=⨯,所以a b ⨯有三位有效数字.6. 设120.9863,0.0062y y ==,是经过舍入后作为12,x x 的近似值.求1211,y y 的计算值与真值的相对误差限及12y y ⋅与真值的相对误差限.解: 已知-4-41112221211d ,d ,d =10,d 1022x y x x y x x x =+=+⨯=⨯, ()44111111110d d 12dr dr 0.50100.9863x xx x x y --⨯⎛⎫==≈=≈⨯ ⎪⎝⎭;()42222222110d d 12dr dr 0.81100.0062x xx x x y --⨯⎛⎫==≈=≈⨯ ⎪⎝⎭;()()()4221212dr dr dr 0.50100.81100.8210x x x x ---⋅=+≈⨯+⨯≈⨯.7. 正方形的边长约为100cm,应该怎样测量,才能使其面积的误差不超过1cm 2. 解: 设正方形面积为S,边长为a,则S=a 2.所以要使:2d d 2d 1s a a a ==≤,则要求211d 0.5102200a a -≤==⨯.所以边长的误差不能超过20.510-⨯cm.8. 用观测恒星的方法求得某地维度为4502'''(读到秒),试问:计算sin ϕ将有多大误差?解: ()()1d sin cos d cos 45022ϕϕϕ*''⎛⎫'''== ⎪⎝⎭.9 . 真空中自由落体运动距离s 与时间的关系由公式212s gt =确定,g 是重力加速度.现在假设g 是准确的,而对t 的测量有0.1s ±的误差,证明t 增加时,距离的绝对误差增加而相对误差却减小. 证明: 因为:221d d d d d d d ;2.122s gt t gt t t s gt gt t s s t gt ⎛⎫=====⎪⎝⎭ d s 与t成正比,d s s与t 成反比,所以当d t 固定的时候, t增加时,距离的绝对误差增加而相对误差却减小.10. 设0x >,x 的相对误差为δ,求ln x 的绝对误差. 解: 已知d x x δ=,所以ln x 的绝对误差()d d ln x x xδ==. 11. 设x 的相对误差为%α,求nx 的相对误差.解: 1d d d %n n n nx nx x n xn x x xα-===. 12. 计算球的体积,为了使相对误差限为1%,问度量半径R 时允许的相对误差限如何? 解: 已知343V R π=,设()d dr R R a R ==,则要使得 ()()3d dr dln d ln 3d ln 3d ln 3dr 31%V V V R R R R a V ========,则11%3a =⋅. 第二章 插值法与数值微分1.设y =在100,121,144x =三处的值是很容易求得的,试以这三个点建立y =的二次插值多项式,并用,且给出误差估计.用其中的任意两点,构造线性插值函数,用得到的三个线性插值函数,,并分析其结果不同的原因.解: 已知012012100,121,144;10,11,12x x x y y y ======,建立二次Lagrange 插值函数可得:()211510.7228L ≈=.误差()()()()()()2012012,,,,3!f R x x x x x x x x x x ξξξ'''=---∈,所以利用前两个节点建立线性插值函数可得:()111510.7143L ≈=.利用后两个节点建立线性插值可得:()111510.7391L ≈=.利用前后两个节点建立线性插值可得:()111510.6818L ≈=.与,二次插值比线性插值效果好,利用前两个节点的线性插值比其他两个线性插值效果好.此说明,二次插值比线性插值效果好,内插比外插效果好.2. 利用(2.9)式证明 证明: 由(2.9)式当01x x x <<时,()()01max x x x f f x ξ≤≤''''≤,()()()01201101max 4x x x x x x x x x ≤≤--≤- 所以3. 若()0,1,...,j x n 为互异节点,且有 证明 证明: 由于且()0nk j j j x l x =∑和kx都为k 次多项式,而且在k+1个不同的节点处的函数值都相同0,1,...,k n =, 所以马上有()0,0,1,...,nk kj j j x l x xk n =≡=∑.4. 设给出sin x 在[],ππ-上的数值表,用二次插值进行计算,若希望截断误差小于510-,问函数表的步长最大能取多少?解: 记插值函数为p(x),则所以()()()()11cos max sin 3!i i i x x p x x x x x x ππξ-+-≤≤--=---()cos 1ξ-≤;令()()()()11i i i g x x x x x x x -+=---,设1i x x th -=+,得又()()()[]12,0,2t t t t t ϕ=--∈的最大值为10.3849ϕ⎛= ⎝⎭,所以有 所以0.0538h ≤.5. 用拉格朗日插值和牛顿插值找经过点()()()()3,1,0,2,3,2,6,10---的三次插值公式. 解: Lagrange 插值函数:牛顿插值: 首先计算差商也可以利用等距节点构造,首先计算差分 可得前插公式 和后插公式6. 确定一次数不高于4的多项式()x ϕ,使()()()()()00,00,111,21ϕϕϕϕϕ''=====. 解: 利用重节点计算差商则可构造Hermite 插值函数满足题设条件:7. 寻找过1n +个点01,,...,n x x x 的21n +次多项式()21n H x +,满足条件: 解: 和Lagrange 插值函数的构造类似,可将插值函数写成其中,基函数满足条件 (1)()()(),,,21n i n i h x h x P n ∈+;(2)()()()(),,,,,0;,0n i n i n ij ij n i j j ijj h x h x h x h x δδ''====则可由已知条件,可得()()()()2,,,12n i n i i i n i h x l x x x l x '⎡⎤=--⎣⎦;()()()2,,n i i n i h x x x l x '=-.所以可得8. 过0,1两点构造一个三次Hermite 插值多项式,满足条件: 解: 计算重节点的差商马上可得9. 过给定数组(1) 作一分段线性插值函数.(2) 取第二类边界条件,作三次样条插值多项式.(3) 用两种插值函数分别计算75.5,78.3x x ==的函数值. 解: (1)做分段线性插值函数可得:其中, ()[][]076 75,76;0 75,76.x x l x x ⎧-∈⎪=⎨∉⎪⎩()[][][]175 75,7677 76,77;0 75,77.x x l x x x x ⎧-∈⎪=-∈⎨⎪∉⎩ (2)把已知节点值带入M 关系式可得: 由边界条件可得050M M ==,所以上面方程组变为可求解方程组解得12340.0058,0.0067,0.0036,0.0071M M M M ====.所以可得在每个区间上的三次样条函数的表达式: (3)当75.5x =时,()()()50175.5 2.76875.5 2.83375.5 2.8005I l l =+=;()()()()()30.00580.005875.575.576 2.7687675.5 2.83375.575 2.79966s ⎛⎫=-+-+--= ⎪⎝⎭当78.3x =时,()()()53475.5 2.97978.3 3.06278.3 3.0039I ll =+=;10. 若给出sin ,cos ,tan x x x 的函数表:用表上的数据和任一插值公式求: (1) 用tan x 表格直接计算tan1.5695.(2) 用sin1.5695和cos1.5695来计算tan1.5695.并讨论这两个结果中误差变化的原因. 解: 利用Lagrange 插值直接用tan 表计算得tan1.5695819.0342874999274≈;利用Lagrange 插值计算sin 得sin1.56950.99999917500000≈;利用Lagrange 插值计算cos 得cos1.56950.00129630000000≈;最后利用sin/cos 计算tan 得tan1.5695771.4257309264500≈.出现小除数,误差被放大.11. 求三次样条函数()s x ,已知和边界条件解: 把表中数据带入M 关系式可得由边界条件还可得到两个方程: 联立两个方程组可解得:带入M 表达式便可得所求三次样条函数.12. 称n 阶方阵()ij A a =具有严格对角优势,若 (1) 试证明:具有严格对角优势的方阵必可逆. (2) 证明:方程组(2.62)解存在唯一.证明: (1)设矩阵A 按行严格对角占优,如果A 奇异,则存在非零向量x 使得Ax=0,写成分量形式为令指标0i 使得00i x x∞=≠,则因此0000010n i i i i j j j i x a a =≠⎛⎫⎪-≤ ⎪ ⎪⎝⎭∑ 即000010ni i i j j j i a a =≠-≤∑上式与矩阵按行严格对角占优矛盾,因此矩阵非奇异. (2)方程组(2.62)由于该方程组系数矩阵为严格对角占优的方阵,所以由克拉默法则可知方程组存在唯一解.。
练习题与答案练习题一练习题二练习题三练习题四练习题五练习题六练习题七练习题八练习题答案练习题一一、是非题1.x *–12.0326 作为 x 的近似值一定具有6 位有效数字,且其误差限1 10 4( )2。
2. 对两个不同数的近似数,误差越小,有效数位越多。
( )3.一个近似数的有效数位愈多,其相对误差限愈小。
( )x 24.1( )用2近似表示 cos x 产生舍入误差。
5. 3.14 和 3.142 作为 的近似值有效数字位数相同。
( )二、填空题y 123 4 9x 1231.为了使计算x 1x 1的乘除法次数尽量少,应将该表达式改写为 ;2. x * –0.003457是 x 舍入得到的近似值,它有位有效数字,误差限为,相对误差限为;3. 误差的来源是 ;4. 截断误差为;5.设计算法应遵循的原则是 。
三、选择题1. x * –0.026900作为 x 的近似值,它的有效数字位数为 ( ) 。
(A) 7;(B) 3;(C) 不能确定(D) 5.2.舍入误差是 ( )产生的误差。
(A) 只取有限位数(B) 模型准确值与用数值方法求得的准确值(C) 观察与测量(D) 数学模型准确值与实际值3.用 1+x 近似表示 e x 所产生的误差是 ()误差。
(A). 模型(B). 观测 (C). 截断 (D). 舍入1.用 * 22 表示自由落体运动距离与时间的关系式(g 为重力加速度 ),s t 是在4s =gt时间 t 内的实际距离,则 s t s * 是( )误差。
(A). 舍入(B). 观测 (C). 模型 (D). 截断5. 1.41300作为 2 的近似值,有 ( )位有效数字。
(A) 3 ;(B) 4; (C) 5; (D) 6。
四、计算题221. 3.142,3.141, 7 分别作为 的近似值,各有几位有效数字?2. 设计算球体积允许的相对误差限为1%,问测量球直径的相对误差限最大为多少?3. 利用等价变换使下列表达式的计算结果比较精确:11 x, | x | 1x 11 dt | x |1(1) 1 2x 1 x, (2) x1 t 2(3) ex1, | x | 1,(4)ln(x 2 1 x) x114.真空中自由落体运动距离 s 与时间 t 的关系式是 s= 2 gt 2,g 为重力加速度。
5.1 证明EQ CFG 是不可判定的。
解:只须证明ALL CFG ≤m EQ CFG 即可。
构造CFG G 1,使L(G 1)=∑*。
设计从ALL CFG 到EQ CFG 的归约函数如下: F=“对于输入<G >,其中G 是CFG :1)输出<G ,G 1>。
”若<G >∈ALL CFG ,则<G ,G 1>∈EQ CFG 。
若<G >∉ALL CFG ,则<G , G 1>∉EQ CFG 。
F 将ALL CFG 归约到EQ CFG 即ALL CFG ≤m EQ CFG∵ALL CFG 是不可判定的,∴EQ CFG 是不可判定的。
5.2证明EQ CFG 是补图灵可识别的。
证明:注意到A CFG ={<G,w>|G 是能派生串w 的CFG}是可判定的。
构造如下TM : F=“输入<G ,H>,其中G ,H 是CFG ,1) 对于字符串S 1, S 2,⋯,重复如下步骤。
2) 检测S i 是否可以由G 和H 派生。
3) 若G 和H 中有一个能派生w ,而另一个不能,则接受。
”F 识别EQ CFG 的补。
5.3 略。
5.4 如果A ≤m B 且B 是正则语言,这是否蕴涵着A 也是正则语言?为什么? 解:否。
例如:对非正则语言A={0n 1n |n ≥0}和正则语言B={0},可以构造一个可计算函数f 使得:f(w)=⎩⎨⎧≠=n n nn 10w 1,10w 0, 于是w ∈A ⇔f(w)∈B,故A ≤m B 。
5.5 证明A TM 不可映射规约到E TM 。
证明:反证法假设A TM ≤m E TM , 则有TM m TM E A ≤。
而A TM 的补不是图灵可识别的,从而可知E TM 的补也不是图灵可识别的。
下面构造一个识别E TM 的补的图灵机S :S=“输入<M>,M 是TM,1) 对i=1,2,…重复下一步。
2) 对S 1,S 2,…,S i 模拟M 运行i 步,若有接受,则接受。