计算方法引论课后答案.
- 格式:doc
- 大小:482.00 KB
- 文档页数:11
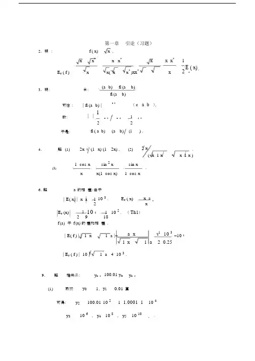
第一章引论(习题)2. 明 :f ( x)x ,xx * x x * xx x * 1E r ( f )xx( x x * )xx *x2E r( x) .3. 明:令:(a b)fl (a b)fl (a b)可估 : | fl (a b) |c 1( c a b ),故:| |1c t c 11 1 t22于是:fl ( a b) (a b) (1) .4.解 (1)2x 2 (1 x) (1 2x) .(2)2 x.( x 1 xx 1 x )1 cos xsin 2 xsin x .(3) xx(1 cos x)1 cos x6.解a 的相 差:由于| E( x) | x a1 10 3 . E r ( x)x a ,2xE r (x)1 102 1 10 2 . ( Th1)2 918f (a) 于 f (x) 的 差和相 差 .| E( f ) | | 1 x1 a |=a x 2110 3 =10 3x1 a2 0.251| E r ( f ) | 10 3 1 a 4 10 3 .9.解 推关系: y n 1 100.01 y ny n 1(1)取初y 01, y 10.01 算可得:y 2100.01 10 2 1 1.0001 1 10 4y 310 6 , y 4 10 8 , y 5 10 10, ⋯(2) 取初值 y 0 1 10 5 , y 1 10 2 ,记: ny ny n ,序列n,满足递推关系,且10 5 , 1 0 n 1100.01 nn 1 ,于是:210 5 ,3100.01 10 5 , 4 (100.01) 210 5 10 5 ,5(100.01)3 10 5 200.02 10 5 ,可见随着n 的主项(100.01)n 2 10 5 的增长,说明该递推关系式是不稳定的 .第二章 多项式插值 ( 习 题)1.方法一 . 由 Lagrange 插值公式L 3 ( x) f 0 l 0 ( x) f 1 l 1 (x) f 2 l 2 ( x) f 3 l 3 ( x)l 0 (x)x(x 21 )( x 1) 1 1 1) ,( 1)(23)( 2)x( x2 )( x3(x 1)( x21)( x 1)2(x 21)( x21) ,l 1 (x)12l 2 (x)(x !1) x( x 1)8 21) x , l 3 ( x 1)x( x21)13 1 13 ( x( x)1( x 1)x( x 2 ) .2 2( 2 )2 1 2可得:L 3 ( x)x 2 ( x 1 2)方法二 . 令: L 3 (x) x( x 1 2) (AxB)由 L 3 (1)31, L 3 (1), 定 A , B (称之为待定系数法)222.证明 (1) 由于l i ( x j )i , j 故: L n ( x)nx i k l i (x)x k j , j 0,1,i 0 ,当 x x j 时 有: L n ( x j ), nL n ( x) 也即为 x k 的插值多项式,由唯一性,有:nx i k l i (x)x k ,k0,1, , ni 0明 (2) :利用 Newton 插 多 式N n ( x) f (x 0 ) f [ x 0 , x 1 ] ( x x 0 )f [ x 0 , , x n ] ( x x 0 )(x x n 1 )f ( x)( x x 1 ) (x x n ) (x)(x 0 x 1 ) (x 0l 0x n )差商表:f(x)一二⋯n差商x 01x 11x 0 x 11( x 0x 2 ) ( x 0x 1 )x n1(x 0x 1 ) ( x 0 x n )代入 ( ) 式有: N n ( x)x x 0 (x x 0 ) ( x x n 1 )1( x 0 x 1 ) (x 0 x 2 ) ( x 0.x 0 x 1x n )l 0 ( x)n 次代数多 式,由插 多 式的唯一性:有l 0 ( x) N n (x) .4.解作 f ( x) 以 a, a , b 点的Lagrange 插 多 式,有:f ( x) L 2 ( x) R 2 (x) ,其中:L 2 ( x) ( x a) ( x b) f ( a) ( x a) (x b) f (a )( ) ( a b)( a b) ( x a) (x a )f (b) ,(b a) (b a)R 2 ( x)f ( )( x a) ( x a) ( x b) , ab3!f ( ) (x令:0 有 R 2 ( x)R( x)a) 2 ( x b) ,x a6a又: L 2 ( x)(b x) [f (a)x (a)(b (b fa)a )xa( x a)(b a f ( a)(bf (a)])a)( x a) ( x a )f (b)(b a) (b a)(b x) ( x b 2a) f (a)(b x) ( x a) f ( a)(b a) 2(b a)( x a)2f (b)P( x)(b a) 2故当0 时,成立公式: f (x)P(x)R( x) .5.解:因为 f ' ( x)4x33, f '' (x)12x 2f ( x) 为凹函数.又从数值表可见:当 x [0.1,0.5] 时, f (x) 单调下降.有反函数 x f 1 ( y)x 于0.3及0.4之间有一个根y i0.700100.401600.10810-0.17440-0.43750f 1 ( y i )0.10.20.30.40.5作差商表:y i f1 ( y i )一阶差商二阶差商三阶差商四阶差商0.700100.10.401600.2- 0.335000.108100.3- 0.340710.0096436-0.174400.4- 0.353980.02304- 0.01531- 0.437500.5- 0.380080.04784- 0.029230.01225 f1( y)的 Newton 插值多项式:N 4 ( y) 0.10.33500( y 0.70010)0.0096436 ( y0.70010)( y 0.40160)0.01531( y0.70010)( y0.40160 )( y 0.10810)0.01225( y0.70010)( y0.40160)( y0.10810)( y0.17440)x*N 4 (0)0.337.7.解 f (x) x7x 31.有:f [ 20 , 21 ,, 27 ]f ( 7) ()=1, f [ 20 , 21 , , 28 ] f (8) ( )0 .7!8!9.证明: (1)( f i g i ) f i1gi 1fi g ifi 1gi 1figi 1figi 1figif ig i gi 1f i.(3)n( 1x )( 1)n n! h nh)( x nh)x( x此题可利用数学归纳法:设 n k成立,证明n k 1 成立.又 n1时是成立的 . 10.证明:记: f (n)[n(n1) / 2]2, g(n)1323n3有: f (n)f ( n 1)f ( n) ( n 1)3n 1n 1故:g( n)f (k) [ f ( k 1)f (k)]k 0k 0f (n)f (0) [ n(n 1) / 2] 2 .13.解 作重节点差商的 Newton 插值公式P(x)f ( 1) f [ 1, 1] ( x 1) f [ 1, 1, 0] ( x1) 2f [ 1, 1, 0, 1] x(x 1) 2f [ 1, 1, 0, 1, 1] x( x 1) 2 ( x 1)重节点差商表:x if i一阶二阶三阶四阶x 0 1 1x 0 11 2x 1 0 1 0 -2x 2 1 1 0 0 1x 21 1221得 P( x) 12( x1) 2(x 1) 2 x(x 1) 2 x 3x 1 .17.证: 取 x 00,x 11 , x2 1 , h 122f 0 0 , f 1 1 ,f 21记:M is ( x i ), i0, 1, 2有x 1 x x x 01S 1 ( x) M 0hM 1h2M 0 (2x) 2M 1 xS 2 ( x) 2M 1 (1 x) 2M 2 ( x1 )2又三弯矩方程为: (f [ x 0 , x 1 , x 2 ]2 )M 0 4M 1M 224, M 11(24 M 0 M 2 ) .41 [ s ( x)] 2dx121[ s 2 ( x)] 2dx2分段积分:[ s 1 (x)] dx121 21 x)] 2dx1[ M 1 (1 x) M 2 (x1)] 2dx4M 0 (0 [ M 1 x 4 1 22211x)] 2 dx 11 )]2 dx 4 1 [ M 1 ( x2) M 0 (1 4 1 [ M 1 (1 x)M 2 (x2221 ( x 1 ) 2dx1 1(1 x) 2dx 1由于2 ,, 224 1 22411( x 1 ) (1 x)dx12,于是: 2 48112dx1[ M 02M 0 M 12M 12M 1 M 2 M 22 ](S (x))6又: M 11(24 M 0M 2 )4记I (M 0 , M 2 )1 (S (x)) 2dx= 1[ M 02M 221(24 M 0M 2 ) ( M 0 M 2 )641( 24M 0M 2 ) 2 ]8由I0 ,I0 .7M 0 M 2 0M 0 M 2 得:M 0 7M 2即当:M 0M 2 0 时,I ( M 0 , M 2 ) 达最小1( x)) 2dx 1 1 (24) 212 ,由最小模原理:故:( S6 81(x)] 2dx 12[ f .20.解利用三弯矩方法M i s ( x i ) , i 0, 1, 2x 0 1 , x 22 , x 232M 0 MM 0 4MM 1 2M161 M2 362 54解得:M 0 7 , M 1 20 , M 2 37x [1, 2]s 1 (x) 9 x 3 17x 2 43 x 72 2 x [ 2, 3]s 2 ( x)19 x 3 67x 2293 x105.22第三章 最佳逼近及其实现 ( 习 题)2.解 (1)( f , g )b (x) g ( x) dxc (a, b) 中的内积,f不是a事实上容易验证:( f , g ) (g,f ) , (f ,g )( f , g )( fg, w)( f , w)( g, w)但是( f , f ) 0 当且仅当f (x)0.条件不满足,因为:b( f , f )f ( x) f ( x)dx 0a推出 f ( x) 0 , f ( x) const 0. 因而 ( f , g ) 不是 C (a, b) 中的内积 . (2)( f , g) 是 C 01 [ a, b]f (x) : f (a)0, f (x) C [a, b]空间的内积,这是因为:( f , f ) 0 推出 f (x) 0 , f ( x) C ,又fC 01 [a, b] ,故 f (x) 0 .4.解:由于f c 2 [a, b], f ( x)0 ,则 f ( x) 于 [a, b] 上保号,由定理 5 的推论 2 可知: f (x) P 1 (x) 的交错点组恰有三个交错点,且 x 1a ,x 3b ,即:e( x 1 ) f (x 1 ) ( e( x 3 ) f (x 3 ) ( e( x 2 ) f (x 2 ) ( e ( x 2 ) f (x 2 )0 1x 1 ),1 x 3 ),1 f (x2 )f (b) f (a)1x 2 )故 :b ,0 ,a1f (a) f (x 2 )f (b) f (a) ax 2 记x 2 c ,即证得 (1).b a22(2) 若 f (x) cos x , [ a, b] [ 0,2]此时由f (b) f (a)f (c)得:b asin c2 , c arc sin( 2) , 12( 212 arc sin( 2 / )1 4) 22(22误差估计: E ( f )b f (b) 1(125.解:选取,使得:2 2arc sin( 2)4 ).arc sin(2)4)1I ( )max | x 2x | ,达到极小,1 x 1即要求 * (x)* x ,于 [ 0, 1] 上一致逼近于 x 2 ,如图应选* ,使得:( x)x 2* x ,于 [ 0, 1] 上有两个轮流为正负偏差点,其中之一为1,另一个假设为 于是: (1) () ,( )0 , (为 (x) 的极值点)得:122解得: 2,22 10 ,1, 212取2 1 ,2 2 2 . 又:是唯一的 .6.证明:由最佳一致逼近的特征定理, P n * ( x) 为 f ( x) 的最佳一致逼近多项式,则存在 n2 个点ax 0x 1x n 1 b使得: e( x k ) f (x k ) P n * ( x k ) = ( 1) kfP n * .又由于 f ( x)C[ a, b] ,于 ( x i , x i 1 ) 中有一个点i, x iix i 1 ,使得:e( i ) f ( i) P n * ( i )0 , i0, 1, , n即: P n *( x) 为 f (x) 满足插值条件:P n * ( i )f ( i ) , i 0, 1, , n的插值多项式 .7.解:求 C* ,使得:I (C*) min max f ( x) CC R a x b记e( x) f ( x) C , 依最佳一致逼近的特征定理:应取C*1[ max f (x) min f (x)]2[ a ,b][ a ,b]e(x) f (x) C *于 [a, b] 才有两个轮流正负的偏差点,(即f ( x) 于 [a, b] 上的最大值点和最小值点)x 1 , x 2f ( x 1 ) max f ( x) , f (x 2 )min f (x)[ a, b][ a, b]此时:e( x i ) ( 1) i max f (x)C *[ a, b]即 C * 为 f ( x) 的零次最佳逼近多项式 .8.解:f (x) 6 x 3 3x 2 x 46(3T 1T 3)43(T 0 T 2 ) 2T 1 4T 03311 112T32T22 T 12 T 0因为1T 3 (x) 与零偏差最小,故:4311 1111P 2 (x)3x2 x 42 T 22 T12 T2.为 f (x) 的最佳一致逼近多项式.9.证明:我们仅证明f (x) 是偶函数时, P n ( x) 亦是偶函数 .由于 P n ( x) 为 f ( x)的最佳一致逼近多项式,有:max f ( x) P n ( x)E n ( f )[ a,a ]和:max f ( x ) P n ( x ) E n ( f )[ a ,a ]即:max f ( x)P n ( x)E n ( f )[ a ,a ]P n ( x) 亦是 f ( x) 的最佳一致逼近多项式,由最佳一致逼近多项式的惟一性,有: P n ( x)P n ( x)即: P n ( x) 为偶函数 .11.解: 设P * ( x) a0 a x , P * ( x) bb x b x 21121 2分别为 f ( x) 的一次、二次最佳平方逼近多项式。
计算方法引论:数值分析 误差插值法与数值微分 数据拟合法快速傅氏变换数值积分第四章快速傅氏变换•三角函数插值•三角插值函数的确定−DFT •FFT算法三角函数插值•已知f (x )在x l =2πl /N ,l =0,1,…,N -1上的值f l =f (x l ) ,l =0,1,…,N -1求满足即l =0,1,…,N -1(1)∑=-==Nj kxk c x 0i 1i ,e )(ϕ∑-===10/i 2e)(N k Nkl k l ll c f f x πϕ三角插值函数的确定−DFT•(1)的解k =0,1,…,N -1(2)(2)和(1)形式相似,分别称有限离散傅氏变换及其逆变换.∑-=-=1/i 2e1N l Nkl l k f Nc π正交性•记则•用e -2jlπi/N 乘(1)两边,对l 求和,交换求和次序,应用上边得到的正交性,就得到(2)式.1,,1,0,e e 1/i )1(2i/210-=⎥⎥⎥⎥⎥⎦⎤⎢⎢⎢⎢⎢⎣⎡=⎥⎥⎥⎥⎦⎤⎢⎢⎢⎢⎣⎡=-N j f f f f N N j N j πj Nπϕ⎩⎨⎧≠====∑∑-=-=--kj kj N N l N l Nl k j Nkl N jl k j ,0,eee),(1010/i )2(i/2/i 2πππϕϕ向量表示•用向量记号(1)即∑∑-=-===11N j jj N k k k c c f ϕϕ∑-=-==1/i 2e1),(1)2(N l Nkl l k k k f Nf N c ,πϕϕ利用正交性乃得作内积与DFT 计算•记k =0,1,…,N -1(3)它代表(1)或(2).(3) 大体上要(复数)N 2个乘法和N 2个加法.但是注意到ω=e ±2πi /N 是N 次单位根,它的幂只有N 个值不同,即1,ω,ω2,…,ωN -1.因此,可用交换律、结合律化简,得到一个只需要N log 2N 个乘法和N log 2N 个加法的算法,FFT .∑∑-=-===101/i 2eN k N k lk l Nkl l k a a c ωπFFT:递推关系N =2m时FFT 可按奇偶项分成两个N /2的FFT 之和.∑∑∑∑-=-=+-=-=+++=+=12/012/02122212/012/0)12(12)2(2)()(N l N l lkl klkl N l N l kl l kl l k aa aa c ωωωωωk =0,1,…,N -1由ωN /2= -1可以对k =N /2,N /2+1,…,N -1采用下式计算12/,,2,1,)()(12/012/021222/2-=-=∑∑-=-=++N k aac N l N l lkl klk lk N ωωω•分而治之FFT:递归算法procedure fft(a,c,n,ω)if n=1c(0)=a(0)elsefor k=0,1,…,n/2-1 {数据奇偶拆分两组}u(k)=a(2k)s(k)=a(2k+1)endfft(u,v,n/2,ω2) {递归FFT调用}fft(s,t,n/2,ω2)for k=0,1,…,n/2-1c(k)=v(k)+ωk t(k) {合成结果数据}c(k+n/2)=v(k)-ωk t(k)endend二进制整数•以N =23=8为例,k,l ≤8•二进制表示k=k 222+k 121+k 020=(k 2k 1k 0)2l=l 222+l 121+l 020=(l 2l 1l 0)2不妨略去括号外下标2.•利用ωN =1可得•(3)可因此表示如次)()0()00(0120112k k k l k k l k l klωωωω=FFT:Cooley-Tukey (N =8))()0()00(1010101280012012001102012]))(([)(k k k l k k l k l l l l l lk l k l l l a a c k k k c ωωωω∑∑∑∑=======∑∑∑=======1)(0102210310)0(010101021)00(012001010120120001221011202)()()()()()()()(l k k k l l k k l l k l l k k Ak k k A l l kA l k k A l l l Al l k A l l l a l l l A ωωω(续)•可见所得A3要按二进制数按位反转的次序重排方得ck•归纳起来,整个过程分四步:由输入数据A0算A1,由A1算A2,由A2算A3,最后按位反转重排得到输出结果ck•还可利用ω0=1,ω4=-1再行简化.•下面整理的公式可供N=2m时编程参考.A 0 、A 1、A 2、A 3•A 1(0l 1l 0)=A 0(0l 1l 0)+A 0(1l 1l 0)A 1(1l 1l 0)=A 0(0l 1l 0)-A 0(1l 1l 0),l 0,l 1=0,1•A 2(k 00l 0)=A 1(k 00l 0)+A 1(k 01l 0)A 2(k 01l 0)=A 1(k 00l 0)-A 1(k 01l 0),k 0,l 0=0,1•A 3(k 0k 10)=A 2(k 0k 10)+A 2(k 0k 11)A 3(k 0k 11)=A 2(k 0k 10)-A 2(k 0k 11),k 0,k 1=0,1)00(0k ω)00(0k ω)0(01k k ω)0(01k k ω计算量与存储量•A1,A2,A3每个数组需复数乘法N/2次,加法N次,共乘法N/2log2N次,加法N log2N次.合计实数乘法2N log2N次,加法3N log2N次.•A1,A2,A3每个数组的分量皆可成对计算,只需几个辅助单元和一个数组A.注意,第二项中ω的幂正好是所算左端量二进下标从红字起往前读三位(前零计入)所表示的数.•N次单位根、二进制数按位反转另行安排.01•A(000)=A0(000)+A0(100)a0=a0+a4 1A1(100)=A0(000)-A0(100)a4=a0-a4 A1(001)=A0(001)+A0(101)a1=a1+a5 A1(101)=A0(001)-A0(101)a5=a1-a5 A1(010)=A0(010)+A0(110)a2=a2+a6 A1(110)=A0(010)-A0(110)a6=a2+a6 A1(011)=A0(011)+A0(111)a3=a3+a7 A1(111)=A0(011)-A0(111)a7=a3-a712•A(000)=A1(000)+A1(010)a0=a0+a22A2(010)=A1(000)-A1(010)a2=a0-a2A2(001)=A1(001)+A1(011)a1=a1+a3A2(011)=A1(001)-A1(011)a3=a1-a3A2(100)=A1(100)+A1(110)ω2a4=a4+a6ω2 A2(110)=A1(100)-A1(110)ω2a6=a4-a6ω2 A2(101)=A1(101)+A1(111)ω2a5=a5+a7ω2 A2(111)=A1(101)-A1(111)ω2a7=a5-a7ω223•A(000)=A2(000)+A2(001)a0=a0+a13A3(001)=A2(000)-A2(001)a1=a0-a1A3(010)=A2(010)+A2(011)ω2a2=a2+a3ω2 A3(011)=A2(010)-A2(011)ω2a3=a2-a3ω2 A3(100)=A2(100)+A2(101)ωa4=a4+a5ωA3(101)=A2(100)-A2(101)ωa5=a4-a5ωA3(110)=A2(110)+A2(111)ω3a6=a6+a7ω3 A3(111)=A2(110)-A2(111)ω3a7=a6-a7ω3按位反转重排•A(000)→c(000)a0→c0 3A3(001)→c(100)a1→c4 A3(010)→c(010)a2→c2 A3(011)→c(110)a3→c6 A3(100)→c(001)a4→c1 A3(101)→c(101)a5→c5 A3(110)→c(011)a6→c3 A3(111)→c(111)a7→c7FFT算法(先按位反转重排) a0→a0a0=a0+a1a0=a0+a2a0=a0+a4a4→a1a1=a0-a1a1=a1+a3ω2a1=a1+a5ωa2→a2a2=a2+a3a2=a0-a2a2=a2+a6ω2a6→a3a3=a2-a3a3=a1-a3ω2a3=a3+a7ω3a1→a4a4=a4+a5a4=a4+a6a4=a0-a4a5→a5a5=a4-a5a5=a5+a7ω2a5=a1-a5ωa3→a6a6=a6+a7a6=a4-a6a6=a2-a6ω2a7→a7a7=a6-a7a7=a5-a7ω2a7=a3-a7ω3FFT算法(续)•所得算法有其特点更易编程先按位反转重排,结果是自然顺序ω的幂递增规律明显每列成对分量间隔r按2的幂递增1,2,…,2m-1. r对分量成一组.共2m-j 组程序如右将原数据按逆序重排,仍记为a k.r = 1for j=1, 2, , mN p=2rθ = –2π/N p= –π/r,w p=exp(iθ)w = 1 初始化for s=0, 1, , r–1 逐对算for k=s,s+N p, , N–1 逐组算l = k + rd = w*a la k= a k +da l= a k –dendw=w*w pendr = N pend。
计算方法引论课后答案第一章误差1.什么是模型误差,什么是方法误差?例如,将地球近似看为一个标准球体,利用公式 $A=4\pi r$ 计算其表面积,这个近似看为球体的过程产生的误差即为模型误差。
在计算过程中,要用到 $\pi$,我们利用无穷乘积公式计算 $\pi$ 的值:pi=2\cdot\frac{2}{1}\cdot\frac{2}{3}\cdot\frac{4}{3}\cdot\f rac{4}{5}\cdot\frac{6}{5}\cdot\frac{6}{7}\cdot\frac{8}{7}\cdot\ frac{8}{9}\cdot\cdots我们取前9项的乘积作为 $\pi$ 的近似值,得$\pi\approx3.xxxxxxxx5$。
这个去掉 $\pi$ 的无穷乘积公式中第9项后的部分产生的误差就是方法误差,也称为截断误差。
2.按照四舍五入的原则,将下列各数舍成五位有效数字:816.956,76.000,.322,501.235,.182,130.015,236.23.解:816.96,76.000,.501.24,.130.02,236.23.3.下列各数是按照四舍五入原则得到的近似数,它们各有几位有效数字?81.897,0.008,136.320,050.180.解:五位,三位,六位,四位。
4.若 $1/4$ 用 0.25 表示,问有多少位有效数字?解:两位。
5.若 $a=1.1062$,$b=0.947$,是经过舍入后得到的近似值,问:$a+b$,$a\times b$ 各有几位有效数字?已知 $da<\frac{1}{2}\cdot10^{-4}$,$db<\frac{1}{2}\cdot10^{-3}$,又 $a+b=0.\times10$。
begin{aligned}d(a+b)&=da+db\leq da+db=\frac{1}{2}\cdot10^{-4}+\frac{1}{2}\cdot10^{-3}=0.55\times10^{-3}<\frac{1}{2}\cdot10^{-2}end{aligned}所以 $a+b$ 有三位有效数字;因为 $a\timesb=0.xxxxxxxx\times10$。
第一章 误差1. 试举例,说明什么是模型误差,什么是方法误差.解: 例如,把地球近似看为一个标准球体,利用公式24A r π=计算其表面积,这个近似看为球体的过程产生的误差即为模型误差.在计算过程中,要用到π,我们利用无穷乘积公式计算π的值: 其中我们取前9项的乘积作为π的近似值,得这个去掉π的无穷乘积公式中第9项后的部分产生的误差就是方法误差,也成为截断误差.2. 按照四舍五入的原则,将下列各数舍成五位有效数字:816.956 7 6.000 015 17.322 50 1.235 651 93.182 13 0.015 236 23 解: 816.96 6.000 0 17.323 1.235 7 93.182 0.015 2363. 下列各数是按照四舍五入原则得到的近似数,它们各有几位有效数字? 81.897 0.008 13 6.320 05 0.180 0 解: 五位 三位 六位 四位4. 若1/4用0.25表示,问有多少位有效数字? 解: 两位5. 若 1.1062,0.947a b ==,是经过舍入后得到的近似值,问:,a b a b +⨯各有几位有效数字?解: 已知4311d 10,d 1022a b --<⨯<⨯, 又0.2053210a b +=⨯,()433211110100.551010222d a b da db da db ----+=+≤+=⨯+⨯=⨯<⨯,所以a b +有三位有效数字;因为0.1047571410a b ⨯=⨯,所以a b ⨯有三位有效数字.6. 设120.9863,0.0062y y ==,是经过舍入后作为12,x x 的近似值.求1211,y y 的计算值与真值的相对误差限及12y y ⋅与真值的相对误差限.解: 已知-4-41112221211d ,d ,d =10,d 1022x y x x y x x x =+=+⨯=⨯, ()44111111110d d 12dr dr 0.50100.9863x xx x x y --⨯⎛⎫==≈=≈⨯ ⎪⎝⎭;()42222222110d d 12dr dr 0.81100.0062x xx x x y --⨯⎛⎫==≈=≈⨯ ⎪⎝⎭;()()()4221212dr dr dr 0.50100.81100.8210x x x x ---⋅=+≈⨯+⨯≈⨯.7. 正方形的边长约为100cm,应该怎样测量,才能使其面积的误差不超过1cm 2. 解: 设正方形面积为S,边长为a,则S=a 2.所以要使:2d d 2d 1s a a a ==≤,则要求211d 0.5102200a a -≤==⨯.所以边长的误差不能超过20.510-⨯cm.8. 用观测恒星的方法求得某地维度为4502'''(读到秒),试问:计算sin ϕ将有多大误差?解: ()()1d sin cos d cos 45022ϕϕϕ*''⎛⎫'''== ⎪⎝⎭.9 . 真空中自由落体运动距离s 与时间的关系由公式212s gt =确定,g 是重力加速度.现在假设g 是准确的,而对t 的测量有0.1s ±的误差,证明t 增加时,距离的绝对误差增加而相对误差却减小. 证明: 因为:221d d d d d d d ;2.122s gt t gt t t s gt gt t s s t gt ⎛⎫=====⎪⎝⎭ d s 与t成正比,d s s与t 成反比,所以当d t 固定的时候, t增加时,距离的绝对误差增加而相对误差却减小.10. 设0x >,x 的相对误差为δ,求ln x 的绝对误差. 解: 已知d x x δ=,所以ln x 的绝对误差()d d ln x x xδ==. 11. 设x 的相对误差为%α,求nx 的相对误差.解: 1d d d %n n n nx nx x n xn x x xα-===. 12. 计算球的体积,为了使相对误差限为1%,问度量半径R 时允许的相对误差限如何? 解: 已知343V R π=,设()d dr R R a R ==,则要使得 ()()3d dr dln d ln 3d ln 3d ln 3dr 31%V V V R R R R a V ========,则11%3a =⋅. 第二章 插值法与数值微分1.设y =在100,121,144x =三处的值是很容易求得的,试以这三个点建立y =的二次插值多项式,并用,且给出误差估计.用其中的任意两点,构造线性插值函数,用得到的三个线性插值函数,,并分析其结果不同的原因.解: 已知012012100,121,144;10,11,12x x x y y y ======,建立二次Lagrange 插值函数可得:()211510.7228L ≈=.误差()()()()()()2012012,,,,3!f R x x x x x x x x x x ξξξ'''=---∈,所以利用前两个节点建立线性插值函数可得:()111510.7143L ≈=.利用后两个节点建立线性插值可得:()111510.7391L ≈=.利用前后两个节点建立线性插值可得:()111510.6818L ≈=.与,二次插值比线性插值效果好,利用前两个节点的线性插值比其他两个线性插值效果好.此说明,二次插值比线性插值效果好,内插比外插效果好.2. 利用(2.9)式证明 证明: 由(2.9)式当01x x x <<时,()()01max x x x f f x ξ≤≤''''≤,()()()01201101max 4x x x x x x x x x ≤≤--≤- 所以3. 若()0,1,...,j x n 为互异节点,且有 证明 证明: 由于且()0nk j j j x l x =∑和kx都为k 次多项式,而且在k+1个不同的节点处的函数值都相同0,1,...,k n =, 所以马上有()0,0,1,...,nk kj j j x l x xk n =≡=∑.4. 设给出sin x 在[],ππ-上的数值表,用二次插值进行计算,若希望截断误差小于510-,问函数表的步长最大能取多少?解: 记插值函数为p(x),则所以()()()()11cos max sin 3!i i i x x p x x x x x x ππξ-+-≤≤--=---()cos 1ξ-≤;令()()()()11i i i g x x x x x x x -+=---,设1i x x th -=+,得又()()()[]12,0,2t t t t t ϕ=--∈的最大值为10.3849ϕ⎛= ⎝⎭,所以有 所以0.0538h ≤.5. 用拉格朗日插值和牛顿插值找经过点()()()()3,1,0,2,3,2,6,10---的三次插值公式. 解: Lagrange 插值函数:牛顿插值: 首先计算差商也可以利用等距节点构造,首先计算差分 可得前插公式 和后插公式6. 确定一次数不高于4的多项式()x ϕ,使()()()()()00,00,111,21ϕϕϕϕϕ''=====. 解: 利用重节点计算差商则可构造Hermite 插值函数满足题设条件:7. 寻找过1n +个点01,,...,n x x x 的21n +次多项式()21n H x +,满足条件: 解: 和Lagrange 插值函数的构造类似,可将插值函数写成其中,基函数满足条件 (1)()()(),,,21n i n i h x h x P n ∈+;(2)()()()(),,,,,0;,0n i n i n ij ij n i j j ijj h x h x h x h x δδ''====则可由已知条件,可得()()()()2,,,12n i n i i i n i h x l x x x l x '⎡⎤=--⎣⎦;()()()2,,n i i n i h x x x l x '=-.所以可得8. 过0,1两点构造一个三次Hermite 插值多项式,满足条件: 解: 计算重节点的差商马上可得9. 过给定数组(1) 作一分段线性插值函数.(2) 取第二类边界条件,作三次样条插值多项式.(3) 用两种插值函数分别计算75.5,78.3x x ==的函数值. 解: (1)做分段线性插值函数可得:其中, ()[][]076 75,76;0 75,76.x x l x x ⎧-∈⎪=⎨∉⎪⎩()[][][]175 75,7677 76,77;0 75,77.x x l x x x x ⎧-∈⎪=-∈⎨⎪∉⎩ (2)把已知节点值带入M 关系式可得: 由边界条件可得050M M ==,所以上面方程组变为可求解方程组解得12340.0058,0.0067,0.0036,0.0071M M M M ====.所以可得在每个区间上的三次样条函数的表达式: (3)当75.5x =时,()()()50175.5 2.76875.5 2.83375.5 2.8005I l l =+=;()()()()()30.00580.005875.575.576 2.7687675.5 2.83375.575 2.79966s ⎛⎫=-+-+--= ⎪⎝⎭当78.3x =时,()()()53475.5 2.97978.3 3.06278.3 3.0039I ll =+=;10. 若给出sin ,cos ,tan x x x 的函数表:用表上的数据和任一插值公式求: (1) 用tan x 表格直接计算tan1.5695.(2) 用sin1.5695和cos1.5695来计算tan1.5695.并讨论这两个结果中误差变化的原因. 解: 利用Lagrange 插值直接用tan 表计算得tan1.5695819.0342874999274≈;利用Lagrange 插值计算sin 得sin1.56950.99999917500000≈;利用Lagrange 插值计算cos 得cos1.56950.00129630000000≈;最后利用sin/cos 计算tan 得tan1.5695771.4257309264500≈.出现小除数,误差被放大.11. 求三次样条函数()s x ,已知和边界条件解: 把表中数据带入M 关系式可得由边界条件还可得到两个方程: 联立两个方程组可解得:带入M 表达式便可得所求三次样条函数.12. 称n 阶方阵()ij A a =具有严格对角优势,若 (1) 试证明:具有严格对角优势的方阵必可逆. (2) 证明:方程组(2.62)解存在唯一.证明: (1)设矩阵A 按行严格对角占优,如果A 奇异,则存在非零向量x 使得Ax=0,写成分量形式为令指标0i 使得00i x x∞=≠,则因此0000010n i i i i j j j i x a a =≠⎛⎫⎪-≤ ⎪ ⎪⎝⎭∑ 即000010ni i i j j j i a a =≠-≤∑上式与矩阵按行严格对角占优矛盾,因此矩阵非奇异. (2)方程组(2.62)由于该方程组系数矩阵为严格对角占优的方阵,所以由克拉默法则可知方程组存在唯一解.。
引论试题(11页)4 试证:对任给初值x 0,0)a >的牛顿迭代公式112(),0,1,2,......k ak k x x x k +=+= 恒成立下列关系式:2112(1)(,0,1,2,....(2)1,2,......kk k x k x x k x k +-=-=≥=证明:(1)(2211222k k k k k k k kx a x ax x x x x +-⎫⎛-+-=+==⎪ ⎝⎭(2) 取初值00>x ,显然有0>k x ,对任意0≥k ,a a x a x x a x x k k k k k ≥+⎪⎪⎭⎫ ⎝⎛-=⎪⎪⎭⎫ ⎝⎛+=+2121216 证明:若k x 有n 位有效数字,则n k x -⨯≤-110218, 而()kk k k k x x x x x 288821821-=-⎪⎪⎭⎫⎝⎛+=-+ nnk k x x 2122110215.22104185.28--+⨯=⨯⨯<-∴>≥ 1k x +∴必有2n 位有效数字。
8 解:此题的相对误差限通常有两种解法. ①根据本章中所给出的定理:(设x 的近似数*x 可表示为m n a a a x 10......021*⨯±=,如果*x 具有l 位有效数字,则其相对误差限为()11**1021--⨯≤-l a x x x ,其中1a 为*x 中第一个非零数) 则7.21=x ,有两位有效数字,相对误差限为025.010221111=⨯⨯≤--x x e 71.22=x ,有两位有效数字,相对误差限为025.010221122=⨯⨯≤--x x e 3 2.718x =,有两位有效数字,其相对误差限为:00025.010221333=⨯⨯≤--x e x ②第二种方法直接根据相对误差限的定义式求解 对于7.21=x ,0183.01<-e x∴其相对误差限为00678.07.20183.011≈<-x e x 同理对于71.22=x ,有003063.071.20083.022≈<-x e x 对于718.23=x ,有00012.0718.20003.033≈<-x e x备注:(1)两种方法均可得出相对误差限,但第一种是对于所有具有n 位有效数字的近似数都成立的正确结论,故他对误差限的估计偏大,但计算略简单些;而第二种方法给出较好的误差限估计,但计算稍复杂。
9.1 证明TIME(2n)=TIME(2n+1).证明:2n=O(2n+1)TIME(2n)TIME(2n+1).2n+1=O(2n)TIME(2n+1)TIME(2n).所以TIME(2n)=TIME(2n+1).9.2证明TIME(2n)TIME(22n)。
注:这里“”是严格包含。
证明:令f(n)=22n,则f(n)/logf(n)=22n/2n, 由时间层次定理有TIME(o(22n/2n))TIME(22n).又由于2n=o(22n/2n),TIME(2n)TIME(o(22n/2n)),所以TIME(2n)TIME(22n).9.3 证明NTIME(n)PSPACE.证明:NTIME(n)NSPACE(n)SPACE(n2)SPACE(n3)PSPACE.9.6 证明若A P,则P A=P。
证明:首先P P A。
这是因为不带谕示即可。
下面证明P A P。
任取A P,则存在多项式图灵机T判定A。
设B P A,则存在带语言A的谕示的多项式时间图灵机M A判定B。
如下构造不带谕示的图灵机D:D=“对于输入串w:1)在w上运行M A。
2)每当M A要在谕示带上写下某个字符串x,则在x上运行T,若T接受,则代替谕示回答x属于A,否则代替谕示回答x不属于A。
3)若M A接受,则接受;否则,拒绝。
”设M A的运行时间是n a,T的运行时间是n b。
谕示带上写下的字符串的长度不会超过n a,询问谕示带的次数也不会超过n a。
D的运行时间是n a (n a)b=n a+ab,所以A P。
9.7 给出带指数的正则表达式,产生如下在字母表{0,1}上的语言:a.所有长为500的字符串. (01)500。
b.所有长度不超过500的字符串.(01)500.c.所有不少于500的字符串. (01)500(01)*.d.所有长度不等于500的字符串. (01)499(01)501(01)*.e.所有恰好包含500个1的字符串. 0*(10*)500.f.所有包含至少500个1的字符串. (01)*(1(01)*)500.g.包含至多500个1的字符串. 0*((1)0*)500.h.所有长度不少于500并且在第500个位置上是0的字符串. (01)4990(01)*.i.所有包含两个0并且其间至少相隔500个符号的字符串。
计算方法答案方法是一种系统化的思考和行动方式,用来解决问题、达成目标或完成任务。
在各个领域和行业,方法的应用都发挥着重要的作用。
本文将探讨方法的定义、分类以及如何有效地运用方法来解决问题。
首先,方法可以被定义为一种明确的步骤或程序,用来完成特定的任务或达到特定的目标。
它通常是经过反复验证和实践的,并且具有可重复性和可预测性。
方法可以是科学的、经验的、逻辑的或启发式的,具体取决于问题的性质和解决的需求。
方法可以被分为多个类别,根据其应用领域和特点来进行分类。
以下是一些常见的方法分类:1. 科学方法:科学方法是自然科学领域中最常用的一种方法。
它包括观察、实验、假设的提出和验证等步骤,以获取可靠的实证证据。
2. 问题解决方法:这类方法是用来解决现实生活中的问题的。
它们可以是启发式的,如决策树、贝叶斯网络等;也可以是经验的,如五步法和PDCA循环等。
3. 创新方法:创新方法是用来推动创新和创造的方法,以产生新的想法和解决方案。
常见的创新方法包括头脑风暴、设计思维和敏捷方法等。
4. 绩效改进方法:这类方法是用来改进组织或个人绩效的。
它们可以是管理方法,如六西格玛和OKR等;也可以是个人效率工具,如番茄工作法和日程管理等。
在使用方法解决问题时,有一些重要的注意事项需要被考虑。
首先,要确保选择适用于问题的方法,并根据实际情况进行调整和优化。
其次,要确保方法的正确实施,包括每个步骤的严格执行和结果的准确评估。
最后,要学会从每个问题的解决中吸取经验教训,并不断改进和完善方法。
通过有效地运用方法,我们可以更加高效地解决问题,实现目标,并取得更好的成果。
无论是在个人生活中还是在工作环境中,掌握和运用合适的方法都是非常重要的。
希望本文的介绍能够帮助读者理解方法的概念和分类,并提供一些实用的思考和行动指南。
8.1 证明对于任意函数f:N N,其中f(n)n,不论用单带TM模型还是用两带只读输入TM模型,所定义的空间复杂性类SPACE(f(n))总是相同的。
证明:为区别,记单带TM模型在f(n)空间内能判定的语言类为SPACE1(f(n)), 而记双带只读输入TM模型在f(n)空间内能判定的语言类为SPACE2(f(n))。
该题要证明的是SPACE1(f(n))=SPACE2(f(n))。
首先SPACE1(f(n))SPACE2(f(n))。
这是因为设A SPACE1(f(n)),且设M设在f(n)空间内判定A的单带TM,如下构造双带TM只读输入TM N。
N=“对于输入串w:1)将w复制到工作带上。
2)在工作带上模拟M,直到停机。
3)若M接受,则接受;否则,拒绝。
”N在f(n)空间内运行,L(N)=L(M)=A,所以A SPACE2(f(n))。
首先SPACE2(f(n))SPACE1(f(n))。
设A SPACE2(f(n)),且N 为在f(n)空间内判定A的双带只读输入TM。
按照用单带TM模拟多带TM的常规方式构造M:M=“对于输入串w:1)初始化工作带为#w1’w2…w n#’.其中以’标记N的两个读写头。
2)模拟N运行直到停机。
每一步模拟,要两次扫描带子。
第一次扫描确定读写头下符号,第二次扫描根据N的转移函数完成改写和移动读写头的工作。
3)若N接受,则接受;否则,拒绝。
”L(M)=L(N)=A。
由于f(n)n,M的运行空间是f(n)+n+2=O(f(n))。
8.3 考虑广义地理学游戏,其中起始节点就是又无源箭头指入的节点。
选手I有必胜策略吗?选手II呢?给出理由。
1 2 34 5 6I II I II I Winner2 3 6 I4 5 6 II由表上来看选手II有必胜策略I2II4(不能选3)I5II6(不能选2)I。
8.4 证明PSPACE在并、补和星号运算下封闭。
证明:(1) 并:对任意L1, L2PSPACE,设有n a空间图灵机M1和n b空间图灵机M2判定它们,且c=max{a,b}。
计算⽅法引论课后答案.第⼀章误差1. 试举例,说明什么是模型误差,什么是⽅法误差.解: 例如,把地球近似看为⼀个标准球体,利⽤公式24A r π=计算其表⾯积,这个近似看为球体的过程产⽣的误差即为模型误差.在计算过程中,要⽤到π,我们利⽤⽆穷乘积公式计算π的值:12222...q q π=?其中112,3,...n q q n +?=??==?? 我们取前9项的乘积作为π的近似值,得3.141587725...π≈这个去掉π的⽆穷乘积公式中第9项后的部分产⽣的误差就是⽅法误差,也成为截断误差.2. 按照四舍五⼊的原则,将下列各数舍成五位有效数字:816.956 7 6.000 015 17.322 50 1.235 651 93.182 13 0.015 236 23 解: 816.96 6.000 0 17.323 1.235 7 93.182 0.015 236 3. 下列各数是按照四舍五⼊原则得到的近似数,它们各有⼏位有效数字? 81.897 0.008 13 6.320 05 0.180 0 解: 五位三位六位四位4. 若1/4⽤0.25表⽰,问有多少位有效数字? 解: 两位5. 若 1.1062,0.947a b ==,是经过舍⼊后得到的近似值,问:,a b a b +?各有⼏位有效数字?解: 已知4311d 10,d 1022a b --()433211110100.551010222d a b da db da db ----+=+≤+=?+?=?所以a b +有三位有效数字;因为0.1047571410a b ?=?,()43321110.94710 1.1062100.600451010222所以a b ?有三位有效数字.6. 设120.9863,0.0062y y ==,是经过舍⼊后作为12,x x 的近似值.求1211,y y 的计算值与真值的相对误差限及12y y ?与真值的相对误差限. 解: 已知-4-41112221211d ,d ,d =10,d 1022x y x x y x x x =+=+?=?, ()44111111110d d 12dr dr 0.50100.9863x xx x x y --==≈=≈? ???;()42222222110d d 12dr dr 0.81100.0062x xx x x y --==≈=≈? ???;()()()4221212dr dr dr 0.50100.81100.8210x x x x ---?=+≈?+?≈?.7. 正⽅形的边长约为100cm,应该怎样测量,才能使其⾯积的误差不超过1cm 2.解: 设正⽅形⾯积为S,边长为a,则S=a 2.所以要使:2d d 2d 1s a a a ==≤,则要求211d 0.5102200a a -≤==?.所以边长的误差不能超过20.510-?cm.8. ⽤观测恒星的⽅法求得某地维度为4502'''o(读到秒),试问:计算sin ?将有多⼤误差?解: ()()1d sin cos d cos 45022*''?'''==o.9 . 真空中⾃由落体运动距离s 与时间的关系由公式212s gt =确定,g 是重⼒加速度.现在假设g 是准确的,⽽对t 的测量有0.1s ±的误差,证明t 增加时,距离的绝对误差增加⽽相对误差却减⼩.证明: 因为:221d d d d d d d ;2.122s gt t gt t t s gt gt t s s t gt ??d s 与t 成正⽐,d s s与t 成反⽐,所以当d t 固定的时候, t 增加时,距离的绝对误差增加⽽相对误差却减⼩.10. 设0x >,x 的相对误差为δ,求ln x 的绝对误差. 解: 已知d x x δ=,所以ln x 的绝对误差()d d ln x x x δ==.11. 设x 的相对误差为%α,求nx 的相对误差.解: 1d d d %n n n n x nx x n xn x x xα-===.12. 计算球的体积,为了使相对误差限为1%,问度量半径R 时允许的相对误差限如何? 解: 已知34 3V R π=,设()d dr R R a R ==,则要使得 ()()3d dr dln d ln 3d ln 3d ln 3dr 31%V V V R R R R a V ========,则11%3a =?.第⼆章插值法与数值微分1.设y =在100,121,144x =三处的值是很容易求得的,试以这三个点建⽴y =的⼆次插值多项式,,且给出误差估计.⽤其中的任意两点,构造线性插值函数,⽤得到的三个线性插值函数,,并分析其结果不同的原因.解: 已知012012100,121,144;10,11,12x x x y y y ======,建⽴⼆次Lagrange 插值函数可得:()()()()21211441001441011100121100144121100121144121100 12144121144100x x x x L x x x ----= +------+--()211510.7228L ≈=.误差()()()()()()2012012,,,,3!f R x x x x x x x x x x ξξξ'''=---∈,所以20.00065550.001631R <<利⽤前两个节点建⽴线性插值函数可得:()()()()()11211001011100121121100x x L x --=+--()111510.7143L ≈=.利⽤后两个节点建⽴线性插值可得:()()()()()11441211112121144144121x x L x --=+--()111510.7391L ≈=.利⽤前后两个节点建⽴线性插值可得:()()()()()21441001012100144144100x x L x --=+()111510.6818L ≈=.,⼆次插值⽐线性插值效果好,利⽤前两个节点的线性插值⽐其他两个线性插值效果好.此说明,⼆次插值⽐线性插值效果好,插⽐外插效果好.2. 利⽤(2.9)式证明()()()0121001max ,8x x x x x R x f x x x x ≤≤-''≤≤≤证明: 由(2.9)式()()()()0101,2!f R x x x x x x x ξξ''=--<<当01x x x <<时,()()01max x x x f f x ξ≤≤''''≤,()()()01201101max 4x x x x x x x x x ≤≤--≤- 所以()()()0121001max ,8x x x x x R x f x x x x ≤≤-''≤≤≤3. 若()0,1,...,j x n 为互异节点,且有()()()()()()()()()011011............j j n j jj j j j j n x x x x x x x x l x xx x x x x x x -+-+----=证明()0,0,1,...,nk kj j j x l x xk n =≡=∑证明: 由于() 1 ;0 .j i ij i j l x i j δ=?==?≠? 且()0nk j j j x l x =∑和kx都为k 次多项式,⽽且在k+1个不同的节点处的函数值都相同0,1,...,k n =, 所以马上有()0,0,1,...,nk kj j j x l x xk n =≡=∑.4. 设给出sin x 在[],ππ-上的数值表,⽤⼆次插值进⾏计算,若希望截断误差⼩于5 10-,问函数表的步长最⼤能取多少? 解: 记插值函数为p(x),则()()()()()11sin sin 3!i i i x p x x x x x x x ξ-+'''-=--- 所以()()()()11cos max sin 3!i i i x x p x x x x x x ππξ-+-≤≤--=---()()()[]3112,0,2i g x th h t t t t -+=--∈⼜()()()[]12,0,2t t t t t ?=--∈的最⼤值为10.3849??= ?,所以有 350.3849max sin 106x x p h ππ--≤≤-≤< 所以 0.0538h ≤.5. ⽤拉格朗⽇插值和⽜顿插值找经过点()()()()3,1,0,2,3,2,6,10---的三次插值公式. 解: Lagrange 插值函数:()()()()()()()()()()()()()()()()()()()()()()()()()()()()()()()()()()12302330101020310121301301223202123303132 31033101622731033 .2781/5x x x x x x x x x x x x L x y y x x x x x x x x x x x x x x x x x x x x x x x x y y x x x x x x x x x x x x x x x x x x x x x x x x ------= +------------++--------+--=++-+-++⽜顿插值: ⾸先计算差商3 10 2 13 2 1.333 0.38896 104 0.8889 0.1420-----()()()()()3130.38893 1.142033.N x x x x x x x =-++-+++-也可以利⽤等距节点构造,⾸先计算差分。
Computing Essentials 2008练习答案Chapter 1: Information Technology, The Internet, and YouCrossword Puzzle Answers:AcrossNum. Clue Answer1 The most essential part of an information system. People7 Coordinates computer resources. Operating System10 Modifies signals for processing. Modem12 Data that has been processed by the computer. Information13 Unprocessed facts. Data14 Notebook computer that accepts handwritten input.. Tablet PCDownNum. Clue Answer2 Uses computers to become more productive.End User3 Rules or guidelines to follow when using software, hardware, and data. Procedures4 Created by word processors.Document Files5 Specialized programs that allow input and output devices to communicate. Device Drivers6 Created by database management programs.Database Files8 The physical equipment of a microcomputer.Hardware9 The world’s largest computer network.Internet13 Provides step-by-step instructions to the computer.SoftwareMultiple Choice AnswersB B A B D D ACD DMatching AnswersE F I H A C G B D JChapter 2: The Internet, The Web, and Electronic CommerceCrossword Puzzle Answers:AcrossNum. Clue Answer2 Provide users a connection to the Internet. ISP3 Unwelcome e-mail. Spam5 Explore the Web. Surf7 Internet uploading and downloading service. FTP8 Steals credit card information. Carder9 A file, such as a document or worksheet, that is attached to an e-mail message.Attachment10 Involves the sale of a product to another business. B2B13 Connection to Web resources. L ink15 Process of transferring information from a remote computer to the computer one is using.DownloadDownNum. Clue Answer1 The sites that a search engine returns after running a keyword search. Hits4 Special program written in Java. Applet5 Locates information online. Search Engine6 Location of Web resource. URL11 Program that provides access to Web Browser12 Used to block certain sites. Filter14 Provides high-speed connection using existing telephone lines. DSLNum Multiple Choice AnswersD A C C A A A A D BMatching Answersi d g e f c h j a bChapter 3: Basic Application SoftwareCrossword Puzzle Answers:AcrossNum. Clue Answer4 Rectangular area that contains messages. Window5 System to organize and retrieve data. DBMS8 Collection of individual applications. Software Suite10 Rearrange records using a field. Sort11 Formed by intersection of row and column. Cell14 Collection of related data. Database16 Flyer, report, newsletter, Web page. Document17 These make up a presentation. Slides18 Question or request for data in a database. QueryDownNum. Clue Answer1 List of commands. Menu2 Rectangular grid of rows and columns used in programs like Excel. Worksheet3 Has records and fields. Table6 Controls format and placement of slides. Master Slide7 Requests user input. Dialog Box9 Moves insertion point to next line. Word Wrap12 Series of cells. Range13 A vertical block of cells one cell wide. Column15 Contain buttons and menus. ToolbarsNum Multiple Choice AnswersD D B D D A B B C DMatching Answersj a c h b d i e g fChapter 5: System SoftwareCrossword Puzzle Answers:AcrossNum. Clue Answer5 Program that makes copies of files in case of damage or loss. Backup6 Boot that occurs when the computer is already on. Warm boot8 Combination of several utility programs in one package. Utility Suite9 Allows communication between devices and the operating system. Driver11 Concentric rings on a disk. Tracks12 Used to control and coordinate networked computers. NOSDownNum. Clue Answer1 Location to store related files. F older2 Computer that coordinates all communication between other computers.Network server3 Uses graphical elements to communicate with the operating system. GUI4 Broken-up file stored in different sectors. Fragmented5 Starting or restarting a computer. Booting7 Operating system with over 80 percent of the market. Windows10 Graphic objects on the desktop used to represent programs and other files. IconsNum Multiple Choice AnswersC D C A A A C B B A CMatching Answersj d f b g h a e i cChapter 7: Input and OutputCrossword Puzzle Answers:AcrossNum. Clue Answer6 Used to grade multiple choice exams. OMR9 Specialized digital camera that broadcasts images over the Internet. WebCam10 Records images digitally on a disk. Digital camera13 Most popular input device used for computer games. Joystick14 Delivers much clearer picture than regular TV. HDTV16 Resolution is expressed as a matrix of these dots. Pixel17 Keyboard that rolls up for storage and transport. FlexibleDownNum. Clue Answer1 The distance between each pixel. Dot pitch2 Most commonly used way to input data. Keyboard3 Button rotated to scroll through information displayed on the monitor.Wheel Button4 Most widely used type of mouse. Mechanical5 Type of terminal that does no processing. Dumb7 Number of times a screen is redrawn each second. Refresh rate8 Measure of resolution. dpi11 Keys that turn features on and off. Toggle12 Translates processed information into hard copy. Printer15 Bar code system used in supermarkets. UPCNum Multiple Choice AnswersA B A B D A D C D BMatching Answersi e f j a b g d c hChapter 9: Communications and NetworksCrossword Puzzle Answers:AcrossNum. Clue Answer5 Interprets and routs incoming radio frequencies. Base station7 Continuous electronic waves. Analog9 Configuration of a network. topology10 Network interface card. NIC11 Transfer speed or transfer rate. bps12 Short range wireless communication standard. bluetooth14 Measurement of the width of the communication channel. bandwidthDownNum. Clue Answer1 Node that requests and uses resources available from other nodes. client2 Each device in the network handles its own communications. Bus network3 Device that allows links between LANs. Network gateway4 Process that converts digital to analog. modulation6 Pieces of a message sent over the Internet. packets8 Global positioning system. GPS13 Any device that is connected to a network. node15 Uses existing telephone lines to provide high-speed connections. DSL16 Central node for other nodes. hubNum Multiple Choice AnswersC B AD C D B B D DMatching Answersg b a i h e c j d fChapter 11: Information SystemsCrossword Puzzle Answers:AcrossNum. Clue Answer3 Level of management concerned with strategic planning. Top5 Identifies, investigates, and develops new products and services. Research9 Report produced upon request. Demand10 Someone who makes decisions in a DSS. User11 Model that helps middle-level managers in long-range planning. Tactical12 Information worker involved in the creation of information. Knowledge worker 14 Concerned with calculating employee paychecks. Payroll16 Specialized information system that knowledge workers use. KWS17 Keeps track of summaries of all foregoing transactions. General ledgerDownNum. Clue Answer1 The buying of materials and services. Purchasing2 Plans, prices, promotes, sells, and distributes goods and services. M arketing4 Form that shows supply and order information. Purchase order6 Report that calls attention to unusual events. Exception7 Help top-level managers oversee operations and develop plans. ESS8 Information worker that distributes information. Data worker13 Use data from TPS to support middle managers. MIS15 Level of management concerned with decision making. MiddleNum Multiple Choice AnswersB B A D D AC C CC BMatching Answersh j f d g b a c i eChapter 13: Systems Analysis and DesignCrossword Puzzle Answers:AcrossNum. Clue Answer3 Systems implementation Conversion8 Collection of activities and elements organized to accomplish a goal. System9 Build a model that can be modified before the system is installed. Prototyping10 Automated design tool. CASE12 Approach where new system is tried in only one part of an organization. Pilot14 Shows levels of management and formal lines of authority. Organization chart15 List of questions. ChecklistDownNum. Clue Answer1 1st step in the design phase. Feasibility2 St udy an organization’s systems.Systems analysis4 System’s performance is compared to the original specifications.System audit5 Approach where new system is implemented slowly over time. Phased6 Conversion done by abandoning old system and starting the new. Direct approach7 Diagram that shows the information flow within an organization. Data flow11 Shows the relationship between input and output documents. Grid chart12 Old and new systems are operated side by side. Parallel13 The most commonly overlooked activity in the implementation phase. TrainingNum Multiple Choice AnswersA D A C D D A D A CMatching Answersg h f d c a b i j eChapter 15: Your Future and Information TechnologyCrossword Puzzle Answers:AcrossNum. Clue Answer4 Inputs customer information and other data. Data entry worker6 Repairs and installs computer components and systems. Computer Technician8 Acting in anticipation of future problems, needs, or changes. Proactive9 Develops and maintains Web sites. W ebmaster10 Plans and designs information systems. System analyst11 Prepares instruction manuals and technical reports. Technical writer12 Designs, tests, and researches encryption procedures. CryptographerDownNum. Clue Answer1 Person that is unfamiliar with computers. Na?ve2 Creates, tests, and troubleshoots computer programs. Programmer3 Person that feels learning about computers is an imposition.F rustrated4 Creates and formats publication-ready material. Desktop publisher5 Instructs users on the latest software and hardware. Computer trainer7 Person that feels the idea of using a microcomputer is overrated. CynicNum Multiple Choice AnswersD B A D C D C A D BMatching Answersd j h ae i b g c f【本文档内容可以自由复制内容或自由编辑修改内容期待你的好评和关注,我们将会做得更好】最新范本,供参考!。
第二章答案1.计算下列函数()f x 关于[]0,1C 的12,,f f f ∞:注:()max ,a x bff x ∞≤≤=()1baff x dx =⎰,()()1222baffx dx=⎰()()()()()()()()()()()3101112231,41nm xf x x f x x f x x x m n f x x e -=-=-=-=+与为正整数解:(1)()()31-=x x f()()()11max max 3=-==∞x x f x f11311()(1)7ff x dx x dx ==-=⎰⎰ ()()111122262()(1)ff x dxx dx==-=⎰⎰(2)()12f x x =-()()11max max 22f x f x x ∞==-=111211021122212201111()()()22241[()]()26b a f x dx x dx x dx ff x dx x dx =-=-+-=⎛⎫⎛⎫==-=⎪ ⎪⎝⎭⎝⎭⎰⎰⎰⎰⎰(3)()()1,nmf x xx m n =-与为正整数()max (1)m nm nm n m n f x x m n +=-=∞+()110!!(1)1!m n m n fx x dx m n =-=++⎰()()()1112222202!2!(1)()221!m nm nf x xm n⎡⎤=-=⎢⎥⎣⎦++⎰(4)()()101xf x x e-=+10110max(1)2xf x e e--=+=∞1102681318410(1)9864101xf x e dxe-=+=-⎰()[]2121102]1[dxexf x⎰-+=28232095067136711831996857623833e-=2.令()()[]21,0,1n nT x T x x*=-∈,试证(){}nT x*是在[]0,1上带权()xρ=的正交多项式,并求()()()()0123,,,T x T x T x T x****。
第二章数值分析4^92.1 已知多项式通过下列点:1 3答案:q(x) = p(x) -r(x) X5X4X3-3X 1 .2 22.2观测得到二次多项式2的值:表中p2(x)的某一个函数值有错误,试找出并校正它.答案:函数值表中p2(-1)错误,应有p2(-1) = 0 .2.3利用差分的性质证明12■ 22■川,n2=n(n ■ 1)(2n ■ 1)/6.2.4当用等距节点的分段二次插值多项式在区间[-1,1]近似函数e x时,使用多少个节点能够保证误差不超过丄10-6.2答案:需要143个插值节点.2.5 设被插值函数f (x) • C4[a,b] , H3h)(x)是f (x)关于等距节点b — aa ^Xo :::捲:::川:::x n=b的分段三次艾尔米特插值多项式,步长h .试估计n ||f(x)-H3h)(x)||::.答案:||住)-出5)仪川:乞令人4.384第三章函数逼近3.1求f(x)二sinx,x,[0,0.1]在空间门=span{1,x, x2}上最佳平方逼近多项式,并给出平方误差.答案:f (x) =sin X的二次最佳平方逼近多项式为sin x p2(x) = -0.832 440 7 105 1.000 999 1x - 0.024 985 1x2,二次最佳平方逼近的平方误差为20.12 12■ = 0 (sinx) - P 2(x))2dx =0.989 310 7 10•3.2确定参数a,b 和c ,使得积分1 ---------------------------2 1 I (a,b,c)[ax 2 bx c -1 -x 2]dx 取最小值.J 1 — x 2810答案:a, b = 0, c =3 二3 二3.3 求多项式f (x) =2x 4 x 3 5x 2 1在[-1,1]上的3次最佳一致逼近多项式p(x)-答案:f (x)的最佳一致逼近多项式为p(x) = X ’ 7x2 3.43.4用幕级数缩合方法,求 f(x)=e x (―1兰XW1)上的3次近似多项式 p 6,3(x),并估计 || f(X )-P 6,3(X )II ::.答案:p5,3(x) =0.994 574 65 + 0.997 395 83x+0.542 968 75x 2 十 0.177 083 33x 3, || f (x) - p 6,3 (x) |^<0.006 572 327 71 一3.5 求f (x) -e x ( -1乞x 乞1)上的关于权函数「(X )-的三次最佳平方逼近小-x 2多项式 Q(x),并估计误差 || f(x)-$(x)||2 和 || f(x)-S 3(x) ||::.答案:§3(x) =0.994 571 0.997 308x 0.542 991x 20.177 347x 3,|| f (x) -S 3(x) ||2 = 0.006 894 83, || f (x) - §3(x)||严 0.006 442 575.第四章数值积分与数值微分14.1用梯形公式、辛浦生公式和柯特斯公式分别计算积分 X n dx (n -1,2,3,4),并与精确值比较.答案:计算结果如下表所示I 2 0. 5 0. 333 333 0. 250 000 0. 208 333 I 30. 5 0. 333 333 0. 250 000 0. 200 000 精确值0. 50. 333 3330. 250 0000. 200 0004.2 确定下列求积公式中的待定参数,使得求积公式的代数精度尽量高,并指明所确定的求积公式具有的代数精度.h(])仁 f (x)dx 止 A_i f (-h) + A f (0) + A f (h)11 (2)J(x)dx: 3【f(-1) 2f(X i ) 3f(X 2)]hh2⑴ of(x)dxVf(O) f(h)「h[f g f(h)]答案:(1)具有三次代数精确度 (2)具有二次代数精确度 (3)具有三次代数精确度. 4.3 设h = % - X 0,确定求积公式r (x - x o ) f (x)dx = h 1 2[ Af (x o ) + Bf (x i )] + h 3[C 「(x o ) + Df^)] + R[ f ]xo中的待定参数 A, B,C, D ,使得该求积公式的代数精确度尽量高,并给出余项表达式.37 1 if 4)(叮)6答案:A = —, B— ,C —, D — , R[f]=— _) h ,其中 (x o ,xi).202030 20 14404.4设P 2(x)是以0,h,2h 为插值点的f(x)的二次插值多项式,用F 2(x)导出计算积分3h3 4 5If (x)dx 的数值积分公式I h ,并用台劳展开法证明:I - l h h f (0) O(h ).力83h3答案:I h P 2(x)dx h[ f(0) 3f (2h)].0 4(3)取7个节点处的函数值.1sin x4.6用变步长的复化梯形公式和变步长的复化辛浦生公式计算积分Idx .要x1o 1«求用事后误差估计法时,截断误不超过10和 10 .1(1) 运用复化梯形公式计算上述积分值,使其截断误差不超过丄10」. 2(2) 取同样的求积节点,改用复化辛浦生公式计算时,截断误差是多少?(3) 要求的截断误差不超过10“ ,若用复化辛浦生公式,应取多少个节点处的函数值? 答案:(1)只需n — 7.5,取9个节点,I : 0.9464.5 给定积分I 二1sin xdx|R n [f]耳一孟宀皿盂日中0.271估2 2答案:使用复化梯形公式时,I T^ 0.946满足精度要求;使用复化辛浦生公式时,I s4 =0.946 083满足精度要求.4.7 ( 1 )利用埃尔米特插值公式推导带有导数值的求积公式1 323 1 3>5.2用矩阵的直接三角分解法解方程组 广1 0 2 0、「5、0 10 1 X 2312 4 3X 3仃10 1 0 3丿 g<7;答案: &=2 , x 3 = 2 , x 2 = 1, X| = 1 .ba f(x)dx 二 其中余项为b —a(b 「a)2[f(a)f(b)] — ' 丿[f (b)-f (a)] R[f], 2 12R[f]=U 54!30 f ( 4()),(a,b).其中(2)利用上述公式推导带修正项的复化梯形求积公式h 2 f(x)dx :T^—[ f (X N ) - f (x 。
计算方法习题答案计算方法习题答案计算方法是一门重要的学科,它在我们的日常生活中扮演着重要的角色。
无论是在工作中还是在学习中,我们都需要运用计算方法来解决各种问题。
然而,有时我们可能会遇到一些困难,无法找到正确的答案。
在这篇文章中,我将为你提供一些计算方法习题的答案,并解释一些基本的计算方法概念。
第一题:计算两个数的和答案:要计算两个数的和,只需将这两个数相加即可。
例如,如果给定的两个数是3和5,那么它们的和就是3+5=8。
第二题:计算一个数的平方答案:要计算一个数的平方,只需将这个数乘以自己。
例如,如果给定的数是4,那么它的平方就是4*4=16。
第三题:计算一个数的百分比答案:要计算一个数的百分比,需要将这个数乘以百分比的表示形式,并将结果除以100。
例如,如果要计算50的10%,则计算方法是50*(10/100)=5。
第四题:计算一个数的平均值答案:要计算一组数的平均值,需要将这些数相加,然后将结果除以数的个数。
例如,如果给定的一组数是3、4和5,那么它们的平均值就是(3+4+5)/3=4。
第五题:计算一个数的阶乘答案:要计算一个数的阶乘,需要将这个数与比它小1的数相乘,并继续乘以比前一次乘积小1的数,直到乘到1为止。
例如,如果要计算5的阶乘,则计算方法是5*4*3*2*1=120。
以上是一些常见的计算方法习题的答案。
通过这些例子,我们可以看到计算方法在解决实际问题中的应用。
无论是在日常生活还是在工作中,掌握计算方法是非常重要的。
除了以上习题的答案,还有一些更复杂的计算方法可以应用于更高级的问题。
例如,线性规划是一种常用的优化方法,可以用于解决最大化或最小化目标函数的问题。
数值积分是一种用于计算曲线下面积的方法,可以应用于物理学、经济学等领域。
这些方法需要更深入的学习和理解,但它们在解决实际问题中起到了重要的作用。
总结起来,计算方法是一门重要的学科,它在我们的日常生活中扮演着重要的角色。
通过掌握基本的计算方法概念和解题技巧,我们可以更好地解决各种问题。
第一章 误差1. 试举例,说明什么是模型误差,什么是方法误差.解: 例如,把地球近似看为一个标准球体,利用公式24A r π=计算其表面积,这个近似看为球体的过程产生的误差即为模型误差.在计算过程中,要用到π,我们利用无穷乘积公式计算π的值:12222...q q π=⋅⋅⋅ 其中112,3,...n q q n +⎧=⎪⎨==⎪⎩ 我们取前9项的乘积作为π的近似值,得3.141587725...π≈这个去掉π的无穷乘积公式中第9项后的部分产生的误差就是方法误差,也成为截断误差.2. 按照四舍五入的原则,将下列各数舍成五位有效数字:816.956 7 6.000 015 17.322 50 1.235 651 93.182 13 0.015 236 23 解: 816.96 6.000 0 17.323 1.235 7 93.182 0.015 2363. 下列各数是按照四舍五入原则得到的近似数,它们各有几位有效数字? 81.897 0.008 13 6.320 05 0.180 0 解: 五位 三位 六位 四位4. 若1/4用0.25表示,问有多少位有效数字? 解: 两位5. 若 1.1062,0.947a b ==,是经过舍入后得到的近似值,问:,a b a b +⨯各有几位有效数字?解: 已知4311d 10,d 1022a b --<⨯<⨯, 又0.2053210a b +=⨯,()433211110100.551010222d a b da db da db ----+=+≤+=⨯+⨯=⨯<⨯,所以a b +有三位有效数字;因为0.1047571410a b ⨯=⨯,()43321110.94710 1.1062100.600451010222d a b b da a db ----⨯=+=⋅⨯+⋅⨯=⨯<⨯所以a b ⨯有三位有效数字.6. 设120.9863,0.0062y y ==,是经过舍入后作为12,x x 的近似值.求1211,y y 的计算值与真值的相对误差限及12y y ⋅与真值的相对误差限. 解: 已知-4-41112221211d ,d ,d =10,d 1022x y x x y x x x =+=+⨯=⨯, ()44111111110d d 12dr dr 0.50100.9863x xx x x y --⨯⎛⎫==≈=≈⨯ ⎪⎝⎭;()42222222110d d 12dr dr 0.81100.0062x xx x x y --⨯⎛⎫==≈=≈⨯ ⎪⎝⎭;()()()4221212dr dr dr 0.50100.81100.8210x x x x ---⋅=+≈⨯+⨯≈⨯.7. 正方形的边长约为100cm,应该怎样测量,才能使其面积的误差不超过1cm 2.解: 设正方形面积为S,边长为a,则S=a 2.所以要使:2d d 2d 1s a a a ==≤,则要求211d 0.5102200a a -≤==⨯.所以边长的误差不能超过20.510-⨯cm.8. 用观测恒星的方法求得某地维度为4502'''(读到秒),试问:计算sin ϕ将有多大误差?解: ()()1d sin cos d cos 45022ϕϕϕ*''⎛⎫'''== ⎪⎝⎭.9 . 真空中自由落体运动距离s 与时间的关系由公式212s gt =确定,g 是重力加速度.现在假设g 是准确的,而对t 的测量有0.1s ±的误差,证明t 增加时,距离的绝对误差增加而相对误差却减小.证明: 因为:221d d d d d d d ;2.122s gt t gt t t s gt gt t s s t gt ⎛⎫=====⎪⎝⎭ d s 与t 成正比,d s s与t 成反比,所以当d t 固定的时候, t 增加时,距离的绝对误差增加而相对误差却减小.10. 设0x >,x 的相对误差为δ,求ln x 的绝对误差. 解: 已知d x x δ=,所以ln x 的绝对误差()d d ln x x xδ==.11. 设x 的相对误差为%α,求nx 的相对误差.解: 1d d d %n n n n x nx x n xn x x xα-===.12. 计算球的体积,为了使相对误差限为1%,问度量半径R 时允许的相对误差限如何? 解: 已知343V R π=,设()d dr R R a R ==,则要使得 ()()3d dr dln d ln 3d ln 3d ln 3dr 31%V V V R R R R a V ========,则11%3a =⋅.第二章 插值法与数值微分1.设y =在100,121,144x =三处的值是很容易求得的,试以这三个点建立y =的二次插值多项式,,且给出误差估计.用其中的任意两点,构造线性插值函数,用得到的三个线性插值函数,,并分析其结果不同的原因.解: 已知012012100,121,144;10,11,12x x x y y y ======,建立二次Lagrange 插值函数可得:()()()()()()()()()()()()()21211441001441011100121100144121100121144121100 12144121144100x x x x L x x x ----=+------+--()211510.7228L ≈=.误差()()()()()()2012012,,,,3!f R x x x x x x x x x x ξξξ'''=---∈,所以20.00065550.001631R <<利用前两个节点建立线性插值函数可得:()()()()()11211001011100121121100x x L x --=+--()111510.7143L ≈=.利用后两个节点建立线性插值可得:()()()()()11441211112121144144121x x L x --=+--()111510.7391L ≈=.利用前后两个节点建立线性插值可得:()()()()()21441001012100144144100x x L x --=+--()111510.6818L ≈=.,二次插值比线性插值效果好,利用前两个节点的线性插值比其他两个线性插值效果好.此说明,二次插值比线性插值效果好,插比外插效果好.2. 利用(2.9)式证明()()()0121001max ,8x x x x x R x f x x x x ≤≤-''≤≤≤证明: 由(2.9)式()()()()0101,2!f R x x x x x x x ξξ''=--<<当01x x x <<时,()()01max x x x f f x ξ≤≤''''≤,()()()01201101max 4x x x x x x x x x ≤≤--≤- 所以()()()0121001max ,8x x x x x R x f x x x x ≤≤-''≤≤≤3. 若()0,1,...,j x n 为互异节点,且有()()()()()()()()()011011............j j n j jj j j j j n x x x x x x x x l x xx x x x x x x -+-+----=----证明()0,0,1,...,nk kj j j x l x xk n =≡=∑证明: 由于() 1 ;0 .j i ij i j l x i j δ=⎧==⎨≠⎩ 且()0nk j j j x l x =∑和kx都为k 次多项式,而且在k+1个不同的节点处的函数值都相同0,1,...,k n =, 所以马上有()0,0,1,...,nk kj j j x l x xk n =≡=∑.4. 设给出sin x 在[],ππ-上的数值表,用二次插值进行计算,若希望截断误差小于510-,问函数表的步长最大能取多少? 解: 记插值函数为p(x),则()()()()()11sin sin 3!i i i x p x x x x x x x ξ-+'''-=--- 所以()()()()11cos max sin 3!i i i x x p x x x x x x ππξ-+-≤≤--=---()cos 1ξ-≤;令()()()()11i i i g x x x x x x x -+=---,设1i x x th -=+,得()()()[]3112,0,2i g x th h t t t t -+=--∈又()()()[]12,0,2t t t t t ϕ=--∈的最大值为10.3849ϕ⎛= ⎝⎭,所以有 350.3849max sin 106x x p h ππ--≤≤-≤< 所以 0.0538h ≤.5. 用拉格朗日插值和牛顿插值找经过点()()()()3,1,0,2,3,2,6,10---的三次插值公式. 解: Lagrange 插值函数:()()()()()()()()()()()()()()()()()()()()()()()()()()()()()()()()()()12302330101020310121301301223202123303132 31033101622731033 .2781/5x x x x x x x x x x x x L x y y x x x x x x x x x x x x x x x x x x x x x x x x y y x x x x x x x x x x x x x x x x x x x x x x x x ------=+------------++--------+--=++-+-++牛顿插值: 首先计算差商3 10 2 13 2 1.333 0.38896 104 0.8889 0.1420-----()()()()()3130.38893 1.142033.N x x x x x x x =-++-+++-也可以利用等距节点构造,首先计算差分3 10 2 33 24 76 10 12 16 23-----可得前插公式()()()()3072313112;26N x th t t t t t t -+=-++-+-- 和后插公式()()()()3316231012112.26N x th t t t t t t +=++-+--6. 确定一次数不高于4的多项式()x ϕ,使()()()()()00,00,111,21ϕϕϕϕϕ''=====. 解: 利用重节点计算差商0 00 0 01 1 1 11 1 1 0 12 1 0 1 1/2 1/4---则可构造Hermite 插值函数满足题设条件:()()()()()()()()()()()44320001001001100114139.424H x x x x x x x x x x x x x x =+-+------+----=-+7. 寻找过1n +个点01,,...,n x x x 的21n +次多项式()21n H x +,满足条件:()()()()()()()()()()()()21002111212100211121,,...,,,,..,.n n n n n n n n n n H x f x H x f x H x f x H x f x H x f x H x f x ++++++===''''''===解: 和Lagrange 插值函数的构造类似,可将插值函数写成()()()(),21,0nn i n n i i i i H x h x y h x y +='=+∑其中,基函数满足条件 (1)()()(),,,21n i n i h x h x P n ∈+;(2)()()()(),,,,,0;,0n i n i n ijijni j j ij j h x h x h x h x δδ''==== 则可由已知条件,可得()()()()2,,,12n i n i i i n i h x l x x x l x '⎡⎤=--⎣⎦;()()()2,,n i i n i h x x x l x '=-.所以可得()()()()()()()2221,,,012nn n i i i n i i i n i i i H x l x x x l x y x x l x y +=''⎡⎤=--+-⎣⎦∑8. 过0,1两点构造一个三次Hermite 插值多项式,满足条件:()()()()1101,0,12,122f f f f ''====解: 计算重节点的差商0 10 1 1/21 2 1 1/21 2 1/2 -1/2 1-马上可得()()()()()()()33211100010012231122H x x x x x x x x x x =+-+------=-+++9. 过给定数组(2) 取第二类边界条件,作三次样条插值多项式.(3) 用两种插值函数分别计算75.5,78.3x x ==的函数值. 解: (1)做分段线性插值函数可得:()()()()()()()50123452.768 2.833 2.903 2.979 3.062 3.153I x l x l x l x l x l x l x =+++++ 其中, ()[][]076 75,76;0 75,76.x x l x x ⎧-∈⎪=⎨∉⎪⎩()[][][]175 75,7677 76,77;0 75,77.x x l x x x x ⎧-∈⎪=-∈⎨⎪∉⎩ ()[][][]276 76,7778 77,78;0 76,78.x x l x x x x ⎧-∈⎪=-∈⎨⎪∉⎩()[][][]377 77,7879 78,79;0 77,79.x x l x x x x ⎧-∈⎪=-∈⎨⎪∉⎩()[][][]478 78,7980 79,80;0 78,80.x x l x x x x ⎧-∈⎪=-∈⎨⎪∉⎩()[][]580 79,80;0 79,80.x x l x x ⎧-∈⎪=⎨∉⎪⎩(2)把已知节点值带入M 关系式可得:121232343451120.0152211 20.0182211 20.014221120.01622M M M M M M M M M M M M ⎧++=⎪⎪⎪++=⎪⎨⎪++=⎪⎪⎪++=⎩ 由边界条件可得050M M ==,所以上面方程组变为可求解方程组1212323434120.01521120.0182211 20.01422120.0162M M M M M M M M M M ⎧+=⎪⎪⎪++=⎪⎨⎪++=⎪⎪⎪+=⎩ 解得12340.0058,0.0067,0.0036,0.0071M M M M ====.所以可得在每个区间上的三次样条函数的表达式:()()()()()33111116666j jj j j j j j j j M M M M s x x x x x y x x y x x -----⎛⎫⎛⎫=-+-+--+-- ⎪ ⎪⎝⎭⎝⎭(3)当75.5x =时,()()()50175.5 2.76875.5 2.83375.5 2.8005I l l =+=;()()()()()30.00580.005875.575.576 2.7687675.5 2.83375.575 2.79966s ⎛⎫=-+-+--= ⎪⎝⎭当78.3x=时, ()()()53475.5 2.97978.3 3.06278.3 3.0039I l l =+=;()()()()()330.00360.007178.37978.378.378660.00360.0071 2.9797978.3 3.06278.378 3.0034.66s =-+-⎛⎫⎛⎫+--+--= ⎪ ⎪⎝⎭⎝⎭10. 若给出sin ,cos ,tan x x x 的函数表:用表上的数据和任一插值公式求:(1) 用tan x 表格直接计算tan1.5695.(2) 用sin1.5695和cos1.5695来计算tan1.5695.并讨论这两个结果中误差变化的原因. 解: 利用Lagrange 插值直接用tan 表计算得tan1.5695819.0342874999274≈;利用Lagrange 插值计算sin 得sin1.56950.99999917500000≈;利用Lagrange 插值计算cos 得cos1.56950.00129630000000≈;最后利用sin/cos 计算tan 得tan1.5695771.4257309264500≈.出现小除数,误差被放大.11. 求三次样条函数()s x ,已知和边界条件()()0.25 1.0000,0.530.6868s s ''==解: 把表中数据带入M 关系式可得12123234592 4.3143141432 2 3.26435534 2 2.428677M M M M M M M M M ⎧++=-⎪⎪⎪++=-⎨⎪⎪++=-⎪⎩由边界条件还可得到两个方程:01342 5.52002 2.1150M M M M +=-⎧⎨+=-⎩ 联立两个方程组可解得:012342.0284, 1.4632, 1.0319,0.8062,0.6544M M M M M =-=-=-=-=-带入M 表达式便可得所求三次样条函数.12. 称n 阶方阵()ij A a =具有严格对角优势,若 1,1,2,...,nij ij j j i a a i n =≠>=∑(1) 试证明:具有严格对角优势的方阵必可逆.(2) 证明:方程组(2.62)解存在唯一.证明: (1)设矩阵A 按行严格对角占优,如果A 奇异,则存在非零向量x 使得Ax=0,写成分量形式为10,1,2,...,n ijj j a x i n ===∑令指标0i 使得00i x x ∞=≠,则0000000000001111n n n ni i i i j j i j j i j i i j j j j j j i j i j i j i a x a x a x xa x a ∞====≠≠≠≠=-≤≤=∑∑∑∑因此 0000010n i i i i j j j i x a a =≠⎛⎫ ⎪-≤ ⎪ ⎪⎝⎭∑ 即 000010n i i i j j j i a a =≠-≤∑上式与矩阵按行严格对角占优矛盾,因此矩阵非奇异.(2)方程组(2.62)()()()()0010101121212232121111 212 12 ............ 12 12n n n n n n n n M M M M M M M M M M M M M αβααβααβααβα------+=-++=-++=-++=-+n nβ⎧⎪⎪⎪⎪⎨⎪⎪⎪⎪=⎩ 由于该方程组系数矩阵为严格对角占优的方阵,所以由克拉默法则可知方程组存在唯一解.。