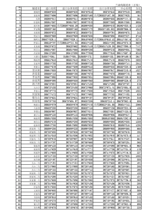
重庆省长、特长隧道一览表
- 格式:xls
- 大小:38.50 KB
- 文档页数:4
注意事项1. 本报告每页都应盖有“检测(检查)专用章”或骑缝章,否则视为无效。
2. 复制报告未重新加盖“检测(检查)专用章”或检测(检查)单位公章无效。
3. 报告无检测(检查)、审核、批准人签字无效。
4. 报告涂改无效,部分提供和部分复制检测(检查)报告无效。
5. 对检测(检查)报告若有异议,应于本报告发出之日起十五天内向本中心提出,逾期不予受理。
6. 对于送样检测(检查),仅对来样的检测(检查)数据负责,不对来样所代表的批量产品的质量负责。
本中心通信地址:北京市海淀区西土城路8号邮政编码:100088电话:(010) 62079574传真:(010) 62079582Email:gljczhx@渝湘高速公路彭黔段(k1791-k1847)桥梁隧道竣工验收项目隧道施工质量评价报告项目负责人张小江副研究员项目参加人员郑晓华研究员曾丁副研究员李怀雷工程师熊海涛助理工程师刘志东工程师王润建高级工程师秦伟航高级工程师习羽工程师报告执笔张小江副研究员报告审核王迪荣研究员报告批准李万恒研究员国家道路及桥梁质量监督检验中心(交通部公路工程检测中心)(交通运输部公路科学研究所公路工程检测中心)2013年12月23日目录1工程概况 (1)2检查目的及依据 (12)2.1检查目的 (12)2.2检查依据 (12)3检查范畴、内容及要点 (13)4外观检查方法及采记要点 (14)4.1外观检查方法 (14)4.2数据采记要点 (14)4.3仪器设备 (16)5鱼泉隧道左洞外观检查结果 (17)6王家堡隧道右洞外观检查结果 (22)7贺家堡隧道左洞外观检查结果 (27)8贺家堡隧道右洞外观检查结果 (31)9大龙洞隧道左洞外观检查结果 (36)10大龙洞隧道右洞外观检查结果 (41)11廖家坝隧道左洞外观检查结果 (46)12楼坪隧道左洞外观检查结果 (50)13桐子林隧道左洞外观检查结果 (54)14王家坪隧道左洞外观检查结果 (57)15窑坪隧道左洞外观检查结果 (60)16沙坝隧道左洞外观检查结果 (63)17沙坝隧道右洞外观检查结果 (67)18天灯隧道右洞外观检查结果 (71)19洞塘隧道右洞外观检查结果 (75)20斑竹林隧道左洞外观检查结果 (80)21斑竹林隧道右洞外观检查结果 (85)22高家庄隧道右洞外观检查结果 (90)23濯水隧道右洞外观检查结果 (94)24葡萄山隧道左洞外观检查结果 (98)25葡萄山隧道右洞外观检查结果 (102)26结论与建议 (107)26.1结论 (107)26.2建议 (108)27附件 (109)27.1鱼泉隧道 (109)27.2王家堡隧道 (123)27.3贺家堡隧道 (143)27.4大龙洞隧道 (182)27.5廖家坝隧道 (265)27.6楼坪隧道 (282)27.7桐子林隧道 (298)27.8王家坪隧道 (314)27.9窑坪隧道 (324)27.10沙坝隧道 (331)27.11天灯隧道 (410)27.12洞塘隧道 (427)27.13斑竹林隧道 (457)27.14高家庄隧道 (570)27.15濯水隧道 (585)27.16葡萄山隧道 (620)1工程概况渝湘高速公路起于重庆市巴南区界石镇,经南川、彭水、黔江、酉阳、秀山等区县,最后到达湖南长沙,全长848公里,总投资477亿元,其中重庆段413.6公里,总投资超过300亿元。