数学分析17.4多元函数微分学之泰勒公式与极值问题
- 格式:doc
- 大小:929.00 KB
- 文档页数:23
多元函数泰勒公式引言泰勒公式是微积分中的重要概念之一,它用于将一个函数在某一点的局部性质展开为一系列无穷次的项。
在单变量函数中,我们已经熟悉了泰勒公式的推导和应用,而多元函数的泰勒公式则是将这一概念推广到多个自变量的情况。
多元函数的一阶泰勒展开考虑一个函数f(x1,x2,...,x n),其中x1,x2,...,x n是函数的自变量。
我们希望将这个函数在点(a1,a2,...,a n)的附近展开。
根据泰勒公式,多元函数的一阶泰勒展开可以表示为:$$ f(x_1, x_2, ..., x_n) = f(a_1, a_2, ..., a_n) + \\sum_{i=1}^{n} \\frac{{\\partialf}}{{\\partial x_i}}(a_1, a_2, ..., a_n) \\cdot (x_i - a_i) $$这个公式和单变量函数的一阶泰勒展开非常相似,不同之处在于我们需要求偏导数,而不是普通的导数。
多元函数的高阶泰勒展开类似于单变量函数的高阶泰勒展开,对于多元函数,我们也可以将其在某一点的局部性质展开为高阶项。
多元函数的二阶泰勒展开可以表示为:$$ f(x_1, x_2, ..., x_n) = f(a_1, a_2, ..., a_n) + \\sum_{i=1}^{n} \\frac{{\\partialf}}{{\\partial x_i}}(a_1, a_2, ..., a_n) \\cdot (x_i - a_i) +\\frac{1}{2}\\sum_{i=1}^{n}\\sum_{j=1}^{n} \\frac{{\\partial^2 f}}{{\\partial x_i \\partial x_j}}(a_1, a_2, ..., a_n) \\cdot (x_i - a_i) \\cdot (x_j - a_j) $$同样地,我们可以通过求偏导数来计算高阶项的系数。
数学分析泰勒公式泰勒公式是数学分析中的重要定理之一,它描述了一个函数在特定点附近的局部行为。
泰勒公式的内容非常丰富,有多个版本,包括泰勒级数展开、拉格朗日余项等等。
本文将主要介绍泰勒公式的一般形式及其应用。
泰勒公式的一般形式如下:设函数f(x)在区间[a,b]上具有n+1阶连续导数,在(a,b)内存在一点c,那么对于(a,b)内的任意x,都存在一个介于x和c之间的点ξ,使得f(x)=f(c)+f'(c)(x-c)/1!+f''(c)(x-c)²/2!+...+f⁽ⁿ⁾(c)(x-c)ⁿ/n!+R⁽ⁿ⁺¹⁾(x)其中f'(c)表示f(x)在点c处的一阶导数,f''(c)表示f(x)在点c处的二阶导数,依此类推,f⁽ⁿ⁾(c)表示f(x)在点c处的n阶导数。
R⁽ⁿ⁺¹⁾(x)是泰勒公式的余项,用于估计f(x)与泰勒级数展开之间的误差。
其具体形式为:R⁽ⁿ⁺¹⁾(x)=(x-c)ⁿ⁺¹/(n+1)!*f⁽ⁿ⁺¹⁾(ξ)其中ξ位于x和c之间。
泰勒公式的一般形式给出了一个函数在特定点附近的局部近似表示。
当x靠近c的时候,余项R⁽ⁿ⁺¹⁾(x)往往趋近于0,这意味着f(x)可以很好地由前面几项和来近似表示。
特别地,当n较大时,泰勒公式给出了一个无穷级数展开,称为泰勒级数展开。
泰勒级数展开形式如下:f(x)=f(c)+f'(c)(x-c)/1!+f''(c)(x-c)²/2!+...+f⁽ⁿ⁾(c)(x-c)ⁿ/n!+...通常将f(x)在c处展开的泰勒级数称为f(x)的泰勒级数展开式,并记作:f(x)=Σf⁽ⁿ⁾(c)(x-c)ⁿ/n!泰勒级数展开具有很好的性质,例如,它可以用于计算函数在特定点的值、求函数在特定点附近的最值、近似求解方程等等。
例如,对于常见的指数函数、三角函数、对数函数等,它们可以通过泰勒级数展开来进行计算和近似。
泰勒公式泰勒(Tayloy)公式是微积分中的一个重要公式,也是进行数学理论研究与计算的重要的工具,但大多数的高等数学教材中,对泰勒公式应用的介绍都较少,导致学生难以掌握泰勒公式及其应用技巧。
由于低次多项式不能精确地表示函数并进行近似计算,在遇到一些精度要求较高,需要进行误差估计的情况时,就需要用高次多项式来近似表示函数并给出相应的误差公式。
泰勒公式是数学分析中一个重要的偏方程,因此在数学中有很高的地位。
泰勒公式教学方法泰勒公式是高等数学微分学教学中的重点和难点,其教学方法一直吸引着广大数学教师研究。
但是泰勒中值定理和泰勒公式比较抽象深奥,真的会让大部分同学感到困惑不解。
虽然他们已经充分预习,认真听讲,但还是会感到一头雾水,满腹疑问。
困难、无知、不理解是学生学习泰勒公式后的主要感受。
作为一个传道授业解惑的老师,我一直希望改变这种现象,希望泰勒公式给学生留下最深的印象是好的、有用的、实用的。
所以这门课的教学需要老师投入更多的精力去设计自己的教学方法和教学思路。
例:设函数f(x)在x=x0处存在二阶导数,试证:等式右端是一个二次多项式加一个高阶无穷小项。
我们回顾一下它的证明。
通过上节课的知识,我们只需要用一次洛必达法则和导数的定义就证明了这个结论。
但是,我们并不是第一次用多项式来表示一般的函数了,在第二章学习微分的时候,我们知道,如果函数f(x)在x=x0处可微,则f(x)=f(x0)+f忆(x0)(x-x0)+o(x-x0)。
这说明如果函数f(x)在x0处有一阶导数,则f(x)等于一个一次的多项式加x-x0的高阶无穷小;如果函数f(x)在x0处有二阶导数,则f(x)等于一个二次的多项式加(x-x0)2的高阶无穷小;如果函数f(x)在x0处有三阶导数呢,大家猜想,我们会得到什么结论?到了这里,学生会自然而然地想到:如果函数f(x)在x0处有三阶导数,那么f(x)就等于一个三次的多项式加(x-x0)3的高阶无穷小。
多元函数泰勒公式多元函数的泰勒公式是用来描述多元函数在特定点附近的近似表达式的一种方法。
它是将函数表示为一个多项式的形式,通过多次求导来逼近函数的真实值。
多元函数的泰勒公式的推导与一元函数的泰勒公式类似,只是需要考虑多个变量的情况。
设多元函数$f(x_1,x_2,...,x_n)$在点$(a_1,a_2,...,a_n)$附近有连续的$n$阶偏导数,则函数$f(x_1,x_2,...,x_n)$在$(a_1,a_2,...,a_n)$附近可以表示为以下形式的泰勒级数:$$f(x_1, x_2, ..., x_n) = f(a_1, a_2, ..., a_n) +\sum_{i=1}^{n} (x_i - a_i)\frac{\partial f}{\partial x_i}\bigg,_{(x_1=a_1, x_2=a_2, ..., x_n=a_n)}$$$$+ \frac{1}{2!}\sum_{i,j=1}^{n}(x_i-a_i)(x_j-a_j)\frac{\partial^2 f}{\partial x_i \partial x_j}\bigg,_{(x_1=a_1, x_2=a_2, ..., x_n=a_n)} + ...$$$$+ \frac{1}{n!}\sum_{i_1,i_2,...,i_n=1}^{n}(x_1-a_1)^{i_1}(x_2-a_2)^{i_2}...(x_n-a_n)^{i_n}\frac{\partial^nf}{\partial x_{i_1} \partial x_{i_2} ... \partial x_{i_n}}\bigg,_{(x_1=a_1, x_2=a_2, ..., x_n=a_n)}$$其中$\frac{\partial f}{\partial x_i}\bigg,_{(x_1=a_1,x_2=a_2, ..., x_n=a_n)}$是函数$f$对于变量$x_i$在点$(a_1,a_2, ..., a_n)$处的偏导数。
第十七章 多元函数微分学一、证明题1. 证明函数⎪⎩⎪⎨⎧=+≠++=0y x 0,0y x ,y x y x y)f(x,2222222 在点(0,0)连续且偏导数存在,但在此点不可微.2. 证明函数⎪⎩⎪⎨⎧=+≠+++=0y x 0,0y x ,y x 1)sin y (x y)f(x,22222222在点(0,0)连续且偏导数存在,但偏导数在点(0,0)不连续,而f 在原点(0,0)可微.3. 证明: 若二元函数f 在点p(x 0,y 0)的某邻域U(p)内的偏导函数f x 与f y 有界,则f 在U(p)内连续.4. 试证在原点(0,0)的充分小邻域内有x y1y x arctg ++≈x+y. 5. 试证:(1) 乘积的相对误差限近似于各因子相对误差限之和;(2) 商的相对误差限近似于分子和分母相对误差限之和.6.设Z=()22y x f y -,其中f 为可微函数,验证 x 1xZ ∂∂+y 1y Z ∂∂=2y Z . 7.设Z=sin y+f(sin x-sin y),其中f 为可微函数,证明:x Z ∂∂ sec x + y Z ∂∂secy=1. 8.设f(x,y)可微,证明:在坐标旋转变换x=u cos θ-v sin θ, y=u sin θ+v cos θ之下.()2x f +()2y f 是一个形式不变量,即若 g(u,v)=f(u cos θ-v sin θ,u sin θ+v cos θ).则必有()2x f +()2y f =()2u g +()2vg .(其中旋转角θ是常数) 9.设f(u)是可微函数,F(x,t)=f(x+2t)+f(3x-2t),试求:F x (0,0)与F g (0,0)10..若函数u=F(x,y,z)满足恒等式F(tx,ty,tZ)=t k (x,y,z)(t>0)则称F(x,y,x)为K 次齐次函数.试证下述关于齐次函数的欧拉定理:可微函数F(x,y,z)为K 次齐次函数的充要条件是:()z ,y ,x x F x +()z ,y ,x yF y +()z ,y ,x ZF x =KF(x,y,z).并证明:Z=xy y x xy 222-+为二次齐次函数.11..设f(x,y,z)具有性质f ()Z t ,y t ,tx m k =f t n (x,y,z)(t>0) 证明:(1) f(x,y,z)=⎪⎭⎫ ⎝⎛m k n x Z ,x y ,1f x ; (2) ()z ,y ,x x f x +()z ,y ,x kyf y +()z ,y ,x m zf z =nf(x,y,z).12.设由行列式表示的函数D(t)=()()()()()()()()()t a t a t a t a t a t a t a t a t a nn n21n 2n 22211n 1211⋅⋅⋅⋅⋅⋅⋅⋅⋅⋅⋅⋅⋅⋅⋅⋅⋅⋅⋅⋅⋅⋅⋅⋅⋅⋅⋅⋅⋅⋅其中()t a ij (i,j=1,2,…,n)的导数都存在,证明()dt t dD =∑=n 1k ()()()()()()()()()t a t a t a t a t a t a t a t a t a nn n21n k n k 21k 1n 1211⋅⋅⋅⋅⋅⋅⋅⋅⋅⋅⋅⋅⋅⋅⋅⋅⋅⋅⋅⋅⋅⋅⋅⋅'⋅⋅⋅''⋅⋅⋅⋅⋅⋅⋅⋅⋅⋅⋅⋅⋅⋅⋅⋅⋅⋅⋅⋅⋅⋅⋅⋅ 13.证明:(1) grad(u+c)=grad u(c 为常数);(2) graqd(αu+βv)=αgrad u+βgrad v(α,β为常数);(3) grsdu v=u grad v+v grsd u;(4) grad f(u)=f '(u)grad u.14.设f(x,y)可微,L 1与L 2是R 2上的一组线性无关向量,试证明;若()0,≡y x f i λ(i=1,2)则f(x,y)≡常数.15.通过对F(x,y)=sin x cos y 施用中值定理,证明对某∈θ (0,1),有43=6cos 3cos 3πθπθπ6sin 3sin 6πθπθπ-. 16.证明:函数 u=()t a 4b x 22e t a 21--π(a,b 为常数)满足热传导方程:tu ∂∂=222x u a ∂∂ 17.证明:函数u=()()22b y a x ln -+-(a,b 为常数)满足拉普拉斯方程:22x u ∂∂+22yu ∂∂=0. 18.证明:若函数u=f(x,y)满足拉普拉斯方程: 22x u ∂∂+22yu ∂∂=0.则函数V=f(22y x x +,22y x y +)也满足此方程. 19.设函数u=()()y x φ+ϕ,证明:⋅∂∂x u y x u 2∂∂∂=⋅∂∂y u 22x u ∂∂. 20.设f x ,f y 和f yx 在点(x 0,y 0) 的某领域内存在,f yx 在点(x 0,y 0)连续,证明f xy (x 0,y 0)也存在,且f xy (x 0,y 0)= f yx (x 0,y 0),21.设f x ,f y 在点(x 0,y 0)的某邻域内存在且在点(x 0,y 0)可微,则有f xy (x 0,y 0)= f yx (x 0,y 0)二、计算题1.求下列函数的偏导数:(1) Z=x 2y; (2) Z=ycosx; (3) Z=22y x 1+;(4) Z=ln(x+y 2); (5) Z=e xy ; (6) Z=arctgx y ; (7) Z=xye sin(xy); (8) u=zx y Z x y -+; (9) u=(xy)z ; (10) u=z y x.2. 设f(x,y)=x+(y-1)arcsinyx ; 求f x (x,1). 3. 设 ⎪⎩⎪⎨⎧=+≠++=0y x 0,0y x ,y x 1ysin y)f(x,222222考察函数f 在原点(0,0)的偏导数.4. 证明函数Z=22y x +在点(0,0)连续但偏导数不存在.5. 考察函数⎪⎩⎪⎨⎧=+≠++=0y x 0,0y x ,y x 1xysin y)f(x,222222在点(0,0)处的可微性.6. 求下列函数在给定点的全微分;(1) Z=x 4+y 4-4x 2y 2在点(0,0),(1,1); (2) Z=22y x x+在点(1,0),(0,1).7. 求下列函数的全微分;(1) Z=ysin(x+y);(2) u=xe yx +e -z +y8. 求曲面Z=arctg x y 在点⎪⎭⎫ ⎝⎛4,1,1π处的切平面方程和法线方程. 9. 求曲面3x 2+y 2-Z 2=27在点(3,1,1)处的切平面方程与法线方程.10. 在曲面Z=xy 上求一点,使这点的切平面平行于平面x+3y+Z+9=0,并写出这切平面方程和法线方程.11. 计算近似值:(1) 1.002×2.0032×3.0043;(2) sin29°×tg46°.12. 设园台上下底的半径分别为R=30cm, r=20cm 高h=40cm. 若R,r,h 分别增加3mm,4mm,2mm.求此园台体积变化的近似值.13. 设二元函数f 在区域D=[a,b]×[c,d]上连续(1) 若在intD 内有f x ≡0,试问f 在D 上有何特性?(2) 若在intD 内有f x =f y ≡0,f 又怎样?(3) 在(1)的讨论中,关于f 在D 上的连续性假设可否省略?长方形区域可否改为任意区域?14. 求曲面Z=4y x 22+与平面y=4的交线在x=2处的切线与OZ 轴的交角. 15. 测得一物体的体积v=4.45cm 3,其绝对误差限为0.01cm 3,又测得重量W=30.80g,其绝对误差限为0.018,求由公式d=vw 算出的比重d 的相对误差限和绝对误差限. 16.求下列复合函数的偏导数或导数: (1) 设Z=arc tg(xy),y=e x ,求xdZ α; (2) 设Z=xy y x 2222e xy y x ++,求x Z ∂∂,y Z ∂∂; (3) 设Z=x 2+xy+y 2,x=t 2,y=t,求dtZ ∂; (4) 设Z=x 2lny,x=v u ,y=3u-2v,求u Z ∂∂,v Z ∂∂; (5) 设u=f(x+y,xy),求x u ∂∂,yu ∂∂; (6) 设u=f ⎪⎪⎭⎫ ⎝⎛Z y ,y x ,求x u ∂∂,y u ∂∂,Z u ∂∂. 17.求函数u=xy 2+z 3-xyz 在点(1,1,2)处沿方向L(其方向角分别为60,°45°,60°)的方向导数.18.求函数u=xyz 在点A(5,1,2)处沿到点B(9,4,14)的方向AB 上的方向导数.19.求函数u=x 2+2y 2+3z 2+xy-4x+2y-4z 在点A(0,0,0)及点B(5,-3,3z )处的梯度以及它们的模. 20.设函数u=ln ⎪⎭⎫ ⎝⎛r 1,其中r=()()()222c z 0y a x -+-+- 求u 的梯度;并指出在空间哪些点上成立等式gradu =1.21设函数u=222222by a x c z --,求它在点(a,b,c)的梯度. 22.设r=222z y r ++,试求:(1)grad r; (2)grad r1. 23.设u=x 3+y 3+z 3-3xyz,试问在怎样的点集上grad u 分加满足:(1)垂直于Z 轴,(2)平行于Z 轴(3)恒为零向量.24.设f(x,y)可微,L 是R 2上的一个确定向量,倘若处处有f L (x,y)≡0,试问此函数f 有何特征?25.求下列函数的高阶偏导数:(1) Z=x 4+y 4-4x 2y 2,所有二阶偏导数;(2) Z=e x (cos y+x sin y),所有二阶偏导数; (3) Z=xln(xy),y x z 23∂∂∂,23yx z ∂∂∂; (4) u=xyze x+y+z ,r q p z q p zy x u ∂∂∂∂++; (5) Z=f(xy 2,x 2y),所有二阶偏导数;(6) u=f(x 2+y 2+x 2),所有二阶偏导数; (7)Z=f(x+y,xy,yx ),z x , z xx , Z xy . 26.求下列函数在指定点处的泰勒公式:(1) f(x,y)=sin(x 2+y 2)在点(0,0)(到二阶为止); (2) f(x,y)=yx 在点(1,1)(到三阶为止); (3) f(x,y)=ln(1+x+y)在点(0,0);(4) f(x,y)=2x 2―xy ―y 2―6x ―36+5在点(1,-2).27.求下列函数的极值点:(1) Z=3axy ―x 3―y 3 (a>0);(2) Z=x 2+5y 2―6x+10y+6;(3) Z=e 2x (x+y 2+2y).28.求下列函数在指定范围内的最大值与最小值.(1) Z=22y x -,(){2x y ,x +}4y 2≤; (2) Z=22y x y x +-,(){}1y x y ,x ≤+; (3) Z=sinx+sing -sin(x+y),()(){}π≤+≥2y x ,0x y ,x y ,x29.在已知周长为2P 的一切三角形中,求出面积为最大的三角形.30.在xy 平面上求一点,使它到三直线x=0,y=0,及x+2y -16=0的距离平方和最小.31.已知平面上n 个点的坐标分别是 ()111y ,x A ,()222y ,x A ,…()n n n y ,x A .试求一点,使它与这n 个点距离的平方和最小.32.设 u=222z y x z y x1 1 1求(1)u x +u y +u z ; (2)xu x +yu x +zu z ; (3)u xx +u yy +u zz .33.设f(x,y,z)=Ax 2+By 2+Cz 2+Dxy+Eyz+Fzx,试按h,k,L 的下正整数幂展开f(x+h,y+k,z+L).三、三、考研复习题1. 设f(x,y,z)=x 2y+y 2z+z 2x,证明f x +f y +f z =(x+y+z)2.2. 求函数⎪⎩⎪⎨⎧=+≠++-=0y x 0,0y x ,y x y x y)f(x,22222233在原点的偏导数f x (0,0)与f y (0,0),并考察f(x,y)在(0,0)的可微性.3. 设 1nn1n 21n 12n 2221n21 x x x x x x x x x 11 1u ---=证明: (1)∑==∂∂n 1k k0;x u (2) ∑=-=∂∂n 1k k k u 21)n(n x u x . 4. 设函数f(x,y)具有连续的n 阶偏导数:试证函数g(t)=f (a+ht,b+kt)的n 阶导数 kt)b ht,f(a y k xh dt g(t)d n n n ++⎪⎪⎭⎫ ⎝⎛∂∂+∂∂=. 5. 设 22x 求xk z h y g y f x e z d z c y b x a z)y,(x,∂∂+++++++++=ϕϕ. 6. 设 (z)h (z)h (z)h (y)g (y)g (y)g (x)f (x)f (x)f z)y,Φ(x,321321321=求z y x Φ3∂∂∂∂. 7. 设函数u=f(x,y)在R 2上有u xy =0,试求u 关于x,y 的函数式.8. 设f 在点p 0(x 0,y 0)可微,且在p 0给定了n 个向量L i (i=1,2,…n).相邻两个向量之间的夹角为n2π,证明 ∑==n 1i 0Li 0)(p f.9. 设f(x,y)为n 次齐次函数,证明 1)f m (n 1)n(n f y y x x m +--=⎪⎪⎭⎫ ⎝⎛∂∂+∂∂ . 10. 对于函数f(x,y)=sin xy ,试证 m y y x x ⎪⎪⎭⎫ ⎝⎛∂∂+∂∂f=0.。
泰勒公式极限泰勒公式极限数学中,泰勒公式是一种重要的公式,在微积分和数学分析中被广泛地应用。
其本质是利用函数在某个点的各阶导数与函数在该点的极限值之间的关系,来近似表示函数在该点附近的值。
而泰勒公式的极限是一个有趣的话题。
泰勒公式的类型泰勒公式分为多项式型和幂级数型两种类型。
多项式型泰勒公式是指用n 阶多项式近似表示函数的值,具体表示为:f(x) = f(a) + f'(a)(x-a) + f''(a)(x-a)²/2! + … + f⁽ⁿ⁾(a)(x-a)ⁿ/n!。
当 n 取值较大时,该近似表示的精度越高。
而一阶泰勒公式时,相当于是对函数做一次线性近似。
幂级数型泰勒公式是指利用某个点的无限阶导数来表示函数的无限项幂级数。
在数学分析中,幂级数是一种连续的函数。
具体的幂级数公式为:f(x) = Σf⁽ⁿ⁾(a)(x-a)ⁿ/n!。
泰勒公式的极限极限是微积分的一个关键概念,泰勒公式的极限即为函数在某个点处的极限值。
当在某个点a 处用多项式或幂级数来近似表示函数f(x) 时,通过取极限可以得到函数在该点a 的精确值。
对于多项式型泰勒公式,当 n 取无穷大时,其极限即为 f(a)。
而对于幂级数型泰勒公式,在无限项求和的情况下,如果幂级数在某个范围内收敛,那么极限即为函数在该点的值。
泰勒公式的应用泰勒公式是微积分和数学分析的重要工具,并且在理论和实际应用中都有广泛的用途,如:1. 极值问题:通过泰勒公式,可以求得函数在某个点的各阶导数,进而计算函数在该点处的极值。
2. 近似计算:利用泰勒公式,可以将函数在某个点处的值近似为一阶或多阶导数的线性组合。
3. 系数计算:幂级数型泰勒公式将函数展开成无限项幂级数,提供了一种求函数系数的重要方法。
4. 函数逼近:泰勒公式可以在不需要求解函数在某个点的极限值的情况下,通过对各项导数的计算,逼近函数在该点的值。
总结泰勒公式是微积分和数学分析的重要工具,其极限是近似表示函数在某个点的精确值。
多元函数泰勒公式的应用多元函数的泰勒公式是数学中很重要的工具,它可以用来近似地表示多元函数在其中一点附近的取值。
它在数学分析、物理学、经济学等许多领域都有广泛的应用。
泰勒公式是以英国数学家布鲁马·泰勒的名字命名的。
它是一个关于函数在其中一点附近的Taylor级数展开式的表达式。
假设函数f(x, y)在点(x0, y0)处具有各阶连续偏导数,则在该点附近可以将f(x, y)展开为以下形式:f(x, y) = f(x0, y0) + (x - x0)∂f/∂x + (y - y0)∂f/∂y + 1/2![(x - x0)∂/∂x + (y - y0)∂/∂y]^2f(x, y) + ⋯ + 1/n![(x - x0)∂/∂x + (y - y0)∂/∂y]^nf(x, y) + ⋯其中,∂f/∂x和∂f/∂y分别是f(x,y)对x和y的偏导数,[⋅]^2表示算子的平方,[⋅]^n表示算子的n次方。
该级数展开式的前n个项表示了原函数在点(x0,y0)附近的一个近似值。
泰勒公式的应用非常广泛,以下是其中的一些例子。
1.函数近似:泰勒公式可以将函数在其中一点附近展开为无穷级数形式,通过截取有限项可以得到函数的近似表达式。
这在数值计算中非常有用,例如计算根号下的数、计算三角函数的值等。
2.极值和拐点的判定:通过泰勒公式展开函数,并对其求导,可以判断函数在其中一点的局部极值和拐点。
当一阶导数为零时,可以判断函数是否有极值;当二阶导数为零时,可以判断函数是否有拐点。
3.近似计算:通过泰勒公式展开函数,并截取有限项,可以近似地计算函数的值。
特别是对于复杂的非线性函数,可以通过低阶泰勒公式来进行近似计算,从而简化计算过程。
4.函数图像的绘制:通过泰勒公式展开函数,可以得到函数在其中一点附近的线性近似,从而可以通过绘制直线的方式来近似绘制函数图像。
这在数字图像处理中经常使用。
5.误差估计:通过泰勒公式展开函数,并计算截取的有限项的误差,可以估计函数的近似误差。
泰勒公式及其应用本文从网络收集而来,上传到平台为了帮到更多的人,如果您需要使用本文档,请点击下载按钮下载本文档(有偿下载),另外祝您生活愉快,工作顺利,万事如意!引言在我们解决一些数学问题中,泰勒公式是一个极为有用的公式。
当解决某些比较复杂的函数时,泰勒公式可以把这些复杂的函数近似的表示为一种简单的多项式函数,这会使我们减少了许多不必要的麻烦,起到事半功倍的作用。
泰勒公式是我们解决一些代数和数值计算发挥了决定性的作用。
本文通过对其定义及其展开式、常见的展开式和余项进行介绍,总结泰勒公式在解决许多数学问题中常见的应用,即求函数的极限、在等式与不等式方面、在近似计算上、在证明中值公式中、判断级数及积分收敛中、求函数高阶导、判断函数的极值点中、在界的估计方面、求行列式的值方面的应用[2-16],并通过例题对其应用进行解释说明。
第一章泰勒公式泰勒公式的背景及意义英国著名的数学家布鲁克•泰勒,是十八世纪早期英国牛顿学派的杰出代表人物之一,1685年出生于米德尔赛克斯的埃德蒙,泰勒公式得名于他。
泰勒一生中有许多著作,其中主要的著作是《正和得增量方法》,书中描述了他在1712年7月给他的老师梅钦(数学家,天文学家)信中首先提出的著作定理——泰勒公式[1]。
在数学分析中,对于我们解决某些问题,比如我们常常会碰到一些比较复杂的函数,为了解决此类问题,可以利用泰勒公式将复杂的问题变成简单的作用,将这些复杂的函数转化为常见的、简单的多项式,这样我们就能够更简便的解决出问题。
可以看出这对某些函数值的计算和函数形态的研究都具有极为重要的意义。
泰勒公式的意义是:一个多项式,它是函数关于的n次多项式,用它与函数作差后所得的是比高阶的无穷小,并给出其误差,这样就为研究和计算一些比较复杂的函数和估计误差提供了有效的方法。
泰勒公式是由关于的n次多项式以及余项组成的,下面来探讨一下:当时,有是的曲线在点处的切线(方程),称为曲线在点的一次密切[2]。
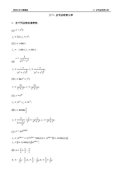
§17.1 多元函数微分学1.求下列函数的偏导数: (1)22,;x y z xy z x == (2)cos z y x =sin ,cos ;x y z y x z x =-=(3)33222222,;()()x y x y z z x y x y --==++(4)22ln()z x y =+222222,;x y x yz z x y x y==++ (5),;xy xy x y z ye z xe == (6)arctanxz y= 2222221.,;1()x y y y xz z y x x y x y x--===+++ (7)sin()2sin()sin()sin()cos()[1cos()],[1cos()];xy xy xy x xy y z ye xy e xy ye xu xy z xy xy xe=+=+=+(8) y x x u x y z=+- 222111,,;x y zy z x u u u x z x y y z =--=-=+(9)11(),(),()ln();z z z x y z u zy xy u zx xy u xy xy --=== (10) zyu x =11,ln ,ln ln ;zzzz yz y y z x y z u y x u zy x x u x y x y --===2.设(,)(f x y x y =+-(,1)x f x 解法1:(,1)1f x =+则(,1)1f x =解法2:(,1)0,(,1)1x f x x x f x =+?=3.设2222221sin ,0,(,)0,0y x y x y f x y x y ìïï+ ï+=íïïï+=ïî,考察函数f 在原点(0,0)的偏导数。
解: 因为 00(0,0)(0,0)00limlim 0,x x x x xf f D 瓺 +D --==D D 20(0,0)(0,0)1limlim()y y y yyf f D 瓺 +D -=D D 不存在. 所以,(,)f x y 在原点关于x 的偏导数为0,关于y 的偏导数不存在。
第十七章 多元函数微分学一、证明题1. 证明函数⎪⎩⎪⎨⎧=+≠++=0y x 0,0y x ,y x y x y)f(x,2222222 在点(0,0)连续且偏导数存在,但在此点不可微.2. 证明函数⎪⎩⎪⎨⎧=+≠+++=0y x 0,0y x ,y x 1)sin y (x y)f(x,22222222在点(0,0)连续且偏导数存在,但偏导数在点(0,0)不连续,而f 在原点(0,0)可微.3. 证明: 若二元函数f 在点p(x 0,y 0)的某邻域U(p)内的偏导函数f x 与f y 有界,则f 在U(p)内连续.4. 试证在原点(0,0)的充分小邻域内有x y1y x arctg ++≈x+y. 5. 试证:(1) 乘积的相对误差限近似于各因子相对误差限之和;(2) 商的相对误差限近似于分子和分母相对误差限之和.6.设Z=()22y x f y -,其中f 为可微函数,验证 x 1xZ ∂∂+y 1y Z ∂∂=2y Z . 7.设Z=sin y+f(sin x-sin y),其中f 为可微函数,证明:x Z ∂∂ sec x + y Z ∂∂secy=1. 8.设f(x,y)可微,证明:在坐标旋转变换x=u cos θ-v sin θ, y=u sin θ+v cos θ之下.()2x f +()2y f 是一个形式不变量,即若 g(u,v)=f(u cos θ-v sin θ,u sin θ+v cos θ).则必有()2x f +()2y f =()2u g +()2vg .(其中旋转角θ是常数) 9.设f(u)是可微函数,F(x,t)=f(x+2t)+f(3x-2t),试求:F x (0,0)与F g (0,0)10..若函数u=F(x,y,z)满足恒等式F(tx,ty,tZ)=t k (x,y,z)(t>0)则称F(x,y,x)为K 次齐次函数.试证下述关于齐次函数的欧拉定理:可微函数F(x,y,z)为K 次齐次函数的充要条件是:()z ,y ,x x F x +()z ,y ,x yF y +()z ,y ,x ZF x =KF(x,y,z).并证明:Z=xy y x xy 222-+为二次齐次函数.11..设f(x,y,z)具有性质f ()Z t ,y t ,tx m k =f t n (x,y,z)(t>0) 证明:(1) f(x,y,z)=⎪⎭⎫ ⎝⎛m k n x Z ,x y ,1f x ; (2) ()z ,y ,x x f x +()z ,y ,x kyf y +()z ,y ,x m zf z =nf(x,y,z).12.设由行列式表示的函数D(t)=()()()()()()()()()t a t a t a t a t a t a t a t a t a nn n21n 2n 22211n 1211⋅⋅⋅⋅⋅⋅⋅⋅⋅⋅⋅⋅⋅⋅⋅⋅⋅⋅⋅⋅⋅⋅⋅⋅⋅⋅⋅⋅⋅⋅其中()t a ij (i,j=1,2,…,n)的导数都存在,证明()dt t dD =∑=n 1k ()()()()()()()()()t a t a t a t a t a t a t a t a t a nn n21n k n k 21k 1n 1211⋅⋅⋅⋅⋅⋅⋅⋅⋅⋅⋅⋅⋅⋅⋅⋅⋅⋅⋅⋅⋅⋅⋅⋅'⋅⋅⋅''⋅⋅⋅⋅⋅⋅⋅⋅⋅⋅⋅⋅⋅⋅⋅⋅⋅⋅⋅⋅⋅⋅⋅⋅ 13.证明:(1) grad(u+c)=grad u(c 为常数);(2) graqd(αu+βv)=αgrad u+βgrad v(α,β为常数);(3) grsdu v=u grad v+v grsd u;(4) grad f(u)=f '(u)grad u.14.设f(x,y)可微,L 1与L 2是R 2上的一组线性无关向量,试证明;若()0,≡y x f i λ(i=1,2)则f(x,y)≡常数.15.通过对F(x,y)=sin x cos y 施用中值定理,证明对某∈θ (0,1),有43=6cos 3cos 3πθπθπ6sin 3sin 6πθπθπ-. 16.证明:函数 u=()t a 4b x 22e t a 21--π(a,b 为常数)满足热传导方程:tu ∂∂=222x u a ∂∂ 17.证明:函数u=()()22b y a x ln -+-(a,b 为常数)满足拉普拉斯方程:22x u ∂∂+22yu ∂∂=0. 18.证明:若函数u=f(x,y)满足拉普拉斯方程: 22x u ∂∂+22yu ∂∂=0.则函数V=f(22y x x +,22y x y +)也满足此方程. 19.设函数u=()()y x φ+ϕ,证明:⋅∂∂x u y x u 2∂∂∂=⋅∂∂y u 22x u ∂∂. 20.设f x ,f y 和f yx 在点(x 0,y 0) 的某领域内存在,f yx 在点(x 0,y 0)连续,证明f xy (x 0,y 0)也存在,且f xy (x 0,y 0)= f yx (x 0,y 0),21.设f x ,f y 在点(x 0,y 0)的某邻域内存在且在点(x 0,y 0)可微,则有f xy (x 0,y 0)= f yx (x 0,y 0)二、计算题1.求下列函数的偏导数:(1) Z=x 2y; (2) Z=ycosx; (3) Z=22y x 1+;(4) Z=ln(x+y 2); (5) Z=e xy ; (6) Z=arctgx y ; (7) Z=xye sin(xy); (8) u=zx y Z x y -+; (9) u=(xy)z ; (10) u=z y x.2. 设f(x,y)=x+(y-1)arcsinyx ; 求f x (x,1). 3. 设 ⎪⎩⎪⎨⎧=+≠++=0y x 0,0y x ,y x 1ysin y)f(x,222222考察函数f 在原点(0,0)的偏导数.4. 证明函数Z=22y x +在点(0,0)连续但偏导数不存在.5. 考察函数⎪⎩⎪⎨⎧=+≠++=0y x 0,0y x ,y x 1xysin y)f(x,222222在点(0,0)处的可微性.6. 求下列函数在给定点的全微分;(1) Z=x 4+y 4-4x 2y 2在点(0,0),(1,1); (2) Z=22y x x+在点(1,0),(0,1).7. 求下列函数的全微分;(1) Z=ysin(x+y);(2) u=xe yx +e -z +y8. 求曲面Z=arctg x y 在点⎪⎭⎫ ⎝⎛4,1,1π处的切平面方程和法线方程. 9. 求曲面3x 2+y 2-Z 2=27在点(3,1,1)处的切平面方程与法线方程.10. 在曲面Z=xy 上求一点,使这点的切平面平行于平面x+3y+Z+9=0,并写出这切平面方程和法线方程.11. 计算近似值:(1) 1.002×2.0032×3.0043;(2) sin29°×tg46°.12. 设园台上下底的半径分别为R=30cm, r=20cm 高h=40cm. 若R,r,h 分别增加3mm,4mm,2mm.求此园台体积变化的近似值.13. 设二元函数f 在区域D=[a,b]×[c,d]上连续(1) 若在intD 内有f x ≡0,试问f 在D 上有何特性?(2) 若在intD 内有f x =f y ≡0,f 又怎样?(3) 在(1)的讨论中,关于f 在D 上的连续性假设可否省略?长方形区域可否改为任意区域?14. 求曲面Z=4y x 22+与平面y=4的交线在x=2处的切线与OZ 轴的交角. 15. 测得一物体的体积v=4.45cm 3,其绝对误差限为0.01cm 3,又测得重量W=30.80g,其绝对误差限为0.018,求由公式d=vw 算出的比重d 的相对误差限和绝对误差限. 16.求下列复合函数的偏导数或导数: (1) 设Z=arc tg(xy),y=e x ,求xdZ α; (2) 设Z=xy y x 2222e xy y x ++,求x Z ∂∂,y Z ∂∂; (3) 设Z=x 2+xy+y 2,x=t 2,y=t,求dtZ ∂; (4) 设Z=x 2lny,x=v u ,y=3u-2v,求u Z ∂∂,v Z ∂∂; (5) 设u=f(x+y,xy),求x u ∂∂,yu ∂∂; (6) 设u=f ⎪⎪⎭⎫ ⎝⎛Z y ,y x ,求x u ∂∂,y u ∂∂,Z u ∂∂. 17.求函数u=xy 2+z 3-xyz 在点(1,1,2)处沿方向L(其方向角分别为60,°45°,60°)的方向导数.18.求函数u=xyz 在点A(5,1,2)处沿到点B(9,4,14)的方向AB 上的方向导数.19.求函数u=x 2+2y 2+3z 2+xy-4x+2y-4z 在点A(0,0,0)及点B(5,-3,3z )处的梯度以及它们的模. 20.设函数u=ln ⎪⎭⎫ ⎝⎛r 1,其中r=()()()222c z 0y a x -+-+- 求u 的梯度;并指出在空间哪些点上成立等式gradu =1.21设函数u=222222by a x c z --,求它在点(a,b,c)的梯度. 22.设r=222z y r ++,试求:(1)grad r; (2)grad r1. 23.设u=x 3+y 3+z 3-3xyz,试问在怎样的点集上grad u 分加满足:(1)垂直于Z 轴,(2)平行于Z 轴(3)恒为零向量.24.设f(x,y)可微,L 是R 2上的一个确定向量,倘若处处有f L (x,y)≡0,试问此函数f 有何特征?25.求下列函数的高阶偏导数:(1) Z=x 4+y 4-4x 2y 2,所有二阶偏导数;(2) Z=e x (cos y+x sin y),所有二阶偏导数; (3) Z=xln(xy),y x z 23∂∂∂,23yx z ∂∂∂; (4) u=xyze x+y+z ,r q p z q p zy x u ∂∂∂∂++; (5) Z=f(xy 2,x 2y),所有二阶偏导数;(6) u=f(x 2+y 2+x 2),所有二阶偏导数; (7)Z=f(x+y,xy,yx ),z x , z xx , Z xy . 26.求下列函数在指定点处的泰勒公式:(1) f(x,y)=sin(x 2+y 2)在点(0,0)(到二阶为止); (2) f(x,y)=yx 在点(1,1)(到三阶为止); (3) f(x,y)=ln(1+x+y)在点(0,0);(4) f(x,y)=2x 2―xy ―y 2―6x ―36+5在点(1,-2).27.求下列函数的极值点:(1) Z=3axy ―x 3―y 3 (a>0);(2) Z=x 2+5y 2―6x+10y+6;(3) Z=e 2x (x+y 2+2y).28.求下列函数在指定范围内的最大值与最小值.(1) Z=22y x -,(){2x y ,x +}4y 2≤; (2) Z=22y x y x +-,(){}1y x y ,x ≤+; (3) Z=sinx+sing -sin(x+y),()(){}π≤+≥2y x ,0x y ,x y ,x29.在已知周长为2P 的一切三角形中,求出面积为最大的三角形.30.在xy 平面上求一点,使它到三直线x=0,y=0,及x+2y -16=0的距离平方和最小.31.已知平面上n 个点的坐标分别是 ()111y ,x A ,()222y ,x A ,…()n n n y ,x A .试求一点,使它与这n 个点距离的平方和最小.32.设 u=222z y x z y x1 1 1求(1)u x +u y +u z ; (2)xu x +yu x +zu z ; (3)u xx +u yy +u zz .33.设f(x,y,z)=Ax 2+By 2+Cz 2+Dxy+Eyz+Fzx,试按h,k,L 的下正整数幂展开f(x+h,y+k,z+L).三、三、考研复习题1. 设f(x,y,z)=x 2y+y 2z+z 2x,证明f x +f y +f z =(x+y+z)2.2. 求函数⎪⎩⎪⎨⎧=+≠++-=0y x 0,0y x ,y x y x y)f(x,22222233在原点的偏导数f x (0,0)与f y (0,0),并考察f(x,y)在(0,0)的可微性.3. 设 1nn1n 21n 12n 2221n21 x x x x x x x x x 11 1u ---=证明: (1)∑==∂∂n 1k k0;x u (2) ∑=-=∂∂n 1k k k u 21)n(n x u x . 4. 设函数f(x,y)具有连续的n 阶偏导数:试证函数g(t)=f (a+ht,b+kt)的n 阶导数 kt)b ht,f(a y k xh dt g(t)d n n n ++⎪⎪⎭⎫ ⎝⎛∂∂+∂∂=. 5. 设 22x 求xk z h y g y f x e z d z c y b x a z)y,(x,∂∂+++++++++=ϕϕ. 6. 设 (z)h (z)h (z)h (y)g (y)g (y)g (x)f (x)f (x)f z)y,Φ(x,321321321=求z y x Φ3∂∂∂∂. 7. 设函数u=f(x,y)在R 2上有u xy =0,试求u 关于x,y 的函数式.8. 设f 在点p 0(x 0,y 0)可微,且在p 0给定了n 个向量L i (i=1,2,…n).相邻两个向量之间的夹角为n2π,证明 ∑==n 1i 0Li 0)(p f.9. 设f(x,y)为n 次齐次函数,证明 1)f m (n 1)n(n f y y x x m +--=⎪⎪⎭⎫ ⎝⎛∂∂+∂∂ . 10. 对于函数f(x,y)=sin xy ,试证 m y y x x ⎪⎪⎭⎫ ⎝⎛∂∂+∂∂f=0.。
第十七章多元函数微分学教学目的:1.理解多元函数微分学的概念,特别应掌握偏导数、全微分、连续及偏导存在、偏导连续等之间的关系;2.掌握多元函数特别是二元函数可微性及其应用。
教学重点难点:本章的重点是全微分的概念、偏导数的计算以及应用;难点是复合函数偏导数的计算及二元函数的泰勒公式。
教学时数:18学时§1 可微性一.可微性与全微分:1.可微性:由一元函数引入. 亦可写为, 时.2.全微分:例1 考查函数在点处的可微性 . P107例1二.偏导数:1.偏导数的定义、记法:2.偏导数的几何意义: P109 图案17—1.3.求偏导数:例2 , 3 , 4 . P109—110例2 , 3 , 4 .例5. 求偏导数.例6. 求偏导数.例7. 求偏导数, 并求.例8. 求和.解=,=.例9证明函数在点连续, 并求和.证. 在点连续 .,不存在 .三.可微条件:1.必要条件:Th 1 设为函数定义域的内点.在点可微, 和存在, 且. ( 证) 由于, 微分记为.定理1给出了计算可微函数全微分的方法.两个偏导数存在是可微的必要条件, 但不充分.例10考查函数在原点的可微性 . [1]P110 例5 .2.充分条件:Th 2 若函数的偏导数在的某邻域内存在, 且和在点处连续 . 则函数在点可微 . ( 证) P111 Th 3 若在点处连续, 点存在,则函数在点可微 .证.即在点可微 .要求至少有一个偏导数连续并不是可微的必要条件 .例11验证函数在点可微, 但和在点处不连续 . (简证,留为作业)证因此, 即,在点可微, . 但时, 有,沿方向不存在, 沿方向极限不存在; 又时,,因此, 不存在, 在点处不连续. 由关于和对称,也在点处不连续 .四.中值定理:Th 4 设函数在点的某邻域内存在偏导数 . 若属于该邻域, 则存在和, , 使得. ( 证) 例12设在区域D内. 证明在D内.五.连续、偏导数存在及可微之间的关系:六.可微性的几何意义与应用:1.可微性的几何意义:切平面的定义. P113.Th 5 曲面在点存在不平行于轴的切平面的充要条件是函数在点可微 . ( 证略)2. 切平面的求法: 设函数在点可微,则曲面在点处的切平面方程为(其中),法线方向数为,法线方程为.例13试求抛物面在点处的切平面方程和法线方程 . P115例63. 作近似计算和误差估计: 与一元函数对照, 原理 .例14 求的近似值. P115例7例15 应用公式计算某三角形面积 . 现测得,. 若测量的误差为的误差为. 求用此公式计算该三角形面积时的绝对误差限与相对误差限. P116.§2 复合函数微分法简介二元复合函数: .以下列三种情况介绍复合线路图;, ;.一.链导法则: 以“外二内二”型复合函数为例.Th 设函数在点D可微, 函数在点可微, 则复合函数在点可微, 且,. ( 证) P118称这一公式为链导公式 . 该公式的形式可在复合线路图中用所谓“分线加,沿线乘”或“并联加,串联乘”)来概括 .对所谓“外三内二”、“外二内三”、“外一内二”等复合情况,用“并联加,串联乘”的原则可写出相应的链导公式.链导公式中内函数的可微性可减弱为存在偏导数 . 但对外函数的可微性假设不能减弱.对外元, 内元, 有,.外元内一元的复合函数为一元函数 . 特称该复合函数的导数为全导数.例1. 求和. P120例1例2, . 求和.例3, 求和.例4设函数可微 ..求、和.例5用链导公式计算下列一元函数的导数:ⅰ> ; ⅱ> . P121例4例6设函数可微. 在极坐标变换下, 证明. P120例2 例7设函数可微, . 求证.二.复合函数的全微分: 全微分和全微分形式不变性 .例8. 利用全微分形式不变性求, 并由此导出和.P122 例5§3 方向导数和梯度一.方向导数:1.方向导数的定义:定义设三元函数在点的某邻域内有定义 .为从点出发的射线 . 为上且含于内的任一点, 以表示与两点间的距离 . 若极限存在, 则称此极限为函数在点沿方向的方向导数, 记为或、.对二元函数在点, 可仿此定义方向导数 .易见, 、和是三元函数在点分别沿轴正向、轴正向和轴正向的方向导数 .例1=. 求在点处沿方向的方向导数,其中ⅰ>为方向; ⅱ>为从点到点的方向.解ⅰ>为方向的射线为. 即. ,.因此,ⅱ>从点到点的方向的方向数为方向的射线为., ;.因此,2. 方向导数的计算:Th 若函数在点可微, 则在点处沿任一方向的方向导数都存在, 且++,其中、和为的方向余弦. ( 证) P125 对二元函数, +, 其中和是的方向角.註由++==, , , , , 可见, 为向量, , 在方向上的投影.例2 ( 上述例1 )解ⅰ>的方向余弦为=, =, =.=1 , =, =.因此, =++=.ⅱ>的方向余弦为=, =, =. 因此, =.可微是方向导数存在的充分条件, 但不必要 .例3 P126 .二. 梯度( 陡度):1. 梯度的定义: , , .|= .易见, 对可微函数, 方向导数是梯度在该方向上的投影.2. 梯度的几何意义: 对可微函数, 梯度方向是函数变化最快的方向 . 这是因为|.其中是与夹角. 可见时取最大值, 在的反方向取最小值 .3. 梯度的运算:ⅰ> .ⅱ>(+) = +.ⅲ> () = +.ⅳ> .ⅴ> () = .证ⅳ> , ..§4 Taylor公式和极值问题一、高阶偏导数:1.高阶偏导数的定义、记法:例9 求二阶偏导数和. P128例1 例10 . 求二阶偏导数. P128例2 2.关于混合偏导数: P129—131.3.求含有抽象函数的二元函数的高阶偏导数: 公式, P131-132例11 . 求和. P132例34. 验证或化简偏微分方程:例12 . 证明+ . ( Laplace方程) 例13 将方程变为极坐标形式.解., , , ., ;因此, .方程化简为.例14试确定和, 利用线性变换将方程化为.解, .=+++==+2+.=+++==++.=++.因此,+ (+ . 令, 或或……, 此时方程化简为.二.中值定理和泰肋公式:凸区域 .Th 1 设二元函数在凸区域D 上连续, 在D的所有内点处可微 . 则对D内任意两点 D , 存在, 使.证令.系若函数在区域D上存在偏导数, 且, 则是D上的常值函数.二. Taylor公式:Th 2 (Taylor公式) 若函数在点的某邻域内有直到阶连续偏导数, 则对内任一点,存在相应的, 使证P134例1 求函数在点的Taylor公式( 到二阶为止) . 并用它计算P135—136例4 .三. 极值问题:1. 极值的定义: 注意只在内点定义极值.例2 P136例52.极值的必要条件:与一元函数比较 .Th 3 设为函数的极值点 . 则当和存在时, 有=. ( 证)函数的驻点、不可导点,函数的可疑点 .3. 极值的充分条件:代数准备: 给出二元( 实)二次型. 其矩阵为.ⅰ> 是正定的,顺序主子式全,是半正定的,顺序主子式全;ⅱ> 是负定的,, 其中为阶顺序主子式.是半负定的, .ⅲ> < 0时, 是不定的.充分条件的讨论: 设函数在点某邻域有二阶连续偏导数 . 由Taylor公式, 有++ .令, , , 则当为驻点时, 有.其中.可见式的符号由二次型完全决定.称该二次型的矩阵为函数的Hesse矩阵. 于是由上述代数准备, 有ⅰ> , 为( 严格) 极小值点;ⅱ> , 为( 严格) 极大值点;ⅲ> 时, 不是极值点;ⅳ> 时, 可能是极值点, 也可能不是极值点 .综上, 有以下定理 .Th 4 设函数在点的某邻域内有连续的二阶偏导数, 是驻点 . 则ⅰ> 时, 为极小值点;ⅱ> 时, 为极大值点;ⅲ> 时, 不是极值点;ⅳ> 时, 可能是极值点, 也可能不是极值点 .例3—7 P138—140 例6—10 .四.函数的最值:例8 求函数在域D = 上的最值 .解令解得驻点为. .在边界上, , 驻点为, ;在边界上, , 没有驻点;在边界上, , 驻点为, .又.于是,..[]。
§4 泰勒公式与极值问题教学目的 掌握二元函数的高阶偏导数与泰勒公式的定义,掌握二元函数的极值的必要条件与充分条件.教学要求(1)掌握二元函数的高阶偏导数与泰勒公式的定义,能够根据二元函数的极值的必要条件与充分条件寻找二元函数的极值与最大(小)值.(2)掌握混合偏导数与求导次序无关的定理的证明以及二元函数的极值的必要条件充分条件定理的证明.教学建议(1) 布置适量的求二元函数的高阶偏导数和求二元函数的极值与最值的习题.(2) 讨论混合偏导和与求导次序无关的多种定理证明的习题有一定的难度,只对较好学生布置有关习题.教学程序一、中值定理:定理 设二元函数f 在凸区域D 2R ⊂上连续 , 在D 的所有内点处可微 . 则对D 内任意两点int ) , ( , ),(∈++k b h a Q b a P D , 存在) 10 ( <<θθ, 使 k k b h a f h k b h a f b a f k b h a f x ) , () , (),() , (θθθθ+++++=-++.证: 令()( , ) , t f a th b tk Φ=++然后利用一元函数的中值定理.推论 若函数f 在区域D 上存在偏导数 , 且x f ≡y f ≡0, 则f 是D 上的常值函数.二、 Taylor 公式:定理 (Taylor 公式) 若函数f 在点),(000y x P 的某邻域)(0P 内有直到1+n 阶连续偏导数 , 则对)(0P 内任一点) , (00k y h x ++,存在相应的) 1 , 0(∈θ, 使∑=+++⎪⎪⎭⎫ ⎝⎛∂∂+∂∂++⎪⎪⎭⎫ ⎝⎛∂∂+∂∂=++n i n i k y h x f y k x h n y x f y k x h i k y h x f 00010000). , ()!1(1),(!1 ) , (θθ证 略例1 求函数y x y x f =),(在点) 4 , 1 (的Taylor 公式 ( 到二阶为止 ) . 并用它计算 .) 08.1 (96.3三、 极值问题:(一)、极值的定义: 注意只在内点定义极值.(二)、极值的必要条件:与一元函数比较 .定理 设0P 为函数)(P f 的极值点 . 则当)(0P f x 和存在时 , 有)(0P f x =)(0P f y 0=. ( 证 )函数的驻点、不可导点 , 函数的可疑点 .(三)、极值的充分条件:代数准备: 给出二元( 实 )二次型 222),(cy bxy ax y x g ++=. 其矩阵为⎪⎪⎭⎫ ⎝⎛c b b a .1 ),(y x g 是正定的,⇔ 顺序主子式全0 >,),(y x g 是半正定的,⇔ 顺序主子式全 0 ≥;2 ),(y x g 是负定的,⇔ 0||) 1(1>-k ij k a , 其中k ij a 1||为k 阶顺序主子式. ),(y x g 是半负定的, ⇔ 0||) 1(1≥-k ij k a .3 ⎪⎪⎭⎫ ⎝⎛c b b a < 0时, ),(y x g 是不定的.充分条件的讨论 设函数),(y x f 在点),(000y x P 某邻域有二阶连续偏导数 . 由Taylor 公式 , 有)()(!21)(),() , (20200000ρ +⎪⎪⎭⎫ ⎝⎛∂∂+∂∂+⎪⎪⎭⎫ ⎝⎛∂∂+∂∂=-++P f y k x h P f y k x h y x f k y h x f=)(0P f x h +)(0P f y k + [])()()(2)(!21220020ρ +++k P f hk P f h P f yy xy xx . 令 )(0P f A xx = , )(0P f B xy =, )(0P f C yy =, 则当0P 为驻点时, 有[])(221),() , (2220000ρ +++=-++Ck Bhk Ah y x f k y h x f . 其中22k h +=ρ. 可见式),() , (0000y x f k y h x f -++的符号由二次型222Ck Bhk Ah ++完全决定.称该二次型的矩阵为函数),(y x f 的Hesse 矩阵. 于是由上述代数准备, 有1 0 , 02>->B AC A , 0 P ⇒为 ( 严格 ) 极小值点 ;2 0 , 02>-<B AC A , 0 P ⇒为 ( 严格 ) 极大值点 ;3 0 2<-B AC 时, 0P 不是极值点;4 0 2=-B AC 时, 0P 可能是极值点 , 也可能不是极值点 .综上 , 有以下定理 :定理 设函数)(P f 在点0P 的某邻域内有连续的二阶偏导数 , 0P 是驻点 . 则1 ()0)( , 0)(020>->P f f f P f xy yy xx xx 时 , 0P 为极小值点;2 ()0)( , 0)(020>-<P f f f P f xy yy xx xx 时 , 0P 为极大值点;3 ()0)( 02<-P f f f xy yy xx 时 , 0P 不是极值点;4 ()0)( 02=-P f f f xy yy xx 时 , 0P 可能是极值点 , 也可能不是极值点 .四、 函数的最值:例8 求函数),(y x f y x y xy x 4102422+--+=在域D = } 4 , 0 , 0 |),( {≤+≥≥y x y x y x 上的最值 .解 令 ⎩⎨⎧=+-==-+=.04 44),(,01042),(y x y x f y x y x f y x 解得驻点为) 2 , 1 (. 1) 2 , 1 (-=f .在边界) 40 ( 0≤≤=y x 上 , y y y f 42),0(2+-=, 驻点为1=y ,2)1,0(=f ;在边界) 40 ( 0≤≤=x y 上 , x x x f 10)0,(2-=, 没有驻点; 在边界) 40 ( 4≤≤-=x x y 上 , 16185)4 , (2-+-=-x x x x f , 驻点为8.1=x , 2.0)8.14 , 8.1(=-f .又24)0,4( , 16)4,0( , 0)0,0(-=-==f f f .于是 , ==)}0,4( , )4,0( , )0,0( , )2.2 , 8.1( , )1,0( , )2,1(max{),(max f f f f f f y x f D2.0} 24 , 16 , 0 , 2.0 , 2 , 1 max{=---=. ),(min y x f D24} 24 , 16 , 0 , 2.0 , 2 , 1 min{-=---=. 作业 教材P140-141:1-11。
第十七章 多元函数微分学4泰勒公式与极值问题一、高价偏导数概念1:二元函数z=f(x,y)的二阶偏导数有如下四种情形: (1)⎪⎭⎫ ⎝⎛∂∂∂∂x z x =22x z ∂∂=f xx (x,y); (2)⎪⎭⎫ ⎝⎛∂∂∂∂x z y =yx z 2∂∂∂=f xy (x,y); (3)⎪⎪⎭⎫ ⎝⎛∂∂∂∂y z x =x y z 2∂∂∂=f yx (x,y); (4)⎪⎪⎭⎫ ⎝⎛∂∂∂∂y z y =22y z ∂∂=f yy (x,y). 二元函数z=f(x,y)的三阶偏导数有共有八种情形,如:⎪⎪⎭⎫ ⎝⎛∂∂∂∂22x z x =33x z ∂∂=3x f (x,y);⎪⎪⎭⎫ ⎝⎛∂∂∂∂22x z y =y x z 23∂∂∂=y x 2f (x,y);……例1:求函数z=e x+2y 的所有二阶偏导数和23xy z ∂∂∂. 解:∵z x =e x+2y ; z y =2e x+2y ;∴z xx =ex+2y ; z xy =2e x+2y ; z yx =2e x+2y ; z yy =4e x+2y ;23x y z ∂∂∂=⎪⎪⎭⎫ ⎝⎛∂∂∂∂∂x y z x 2=2e x+2y .例2:求函数z=arctan xy 的所有二阶偏导数.解:∵z x =22x y 1xy -⎪⎭⎫ ⎝⎛+=-22y x y +; z y =2x y 1x1⎪⎭⎫ ⎝⎛+=22y x x +; ∴z xx =222)y (x 2x y +; z xy =-222222)y (x y 2y x +-+=22222)y (x x y +-; z yx =222222)y (x x 2y x +-+=22222)y (x x y +-; z yy =-222)y (x 2x y +.注:既有关于x又有关于y的高阶偏导数,称为混合偏导数.定理17.7:若f xy(x,y)和f yx(x,y)都在点(x0,y0)连续,则f xy(x0,y0)=f yx(x0,y0). 证:令F(△x,△y)=f(x0+△x,y0+△y)-f(x0+△x,y0)-f(x0,y0+△y)+f(x0,y0),φ(x)=f(x,y0+△y)-f(x,y0),则F(△x,△y)=φ(x0+△x)-φ(x0).∵f存在关于x的偏导数,∴φ可导,应用一元函数的中值定理,有φ(x0+△x)-φ(x0)=φ’(x0+θ1△x)△x=[f x(x0+θ1△x,y0+△y)-f x(x0+θ1△x,y0)]△x, (0<θ1<1).又由f x存在关于y的偏导数,∴对以y为自变量的函数f x(x0+θ1△x,y) 应用一元函数的中值定理,又有φ(x0+△x)-φ(x0)=f xy(x0+θ1△x,y0+θ2△y)△x△y, (0<θ1,θ2<1).∴F(△x,△y)=f xy(x0+θ1△x,y0+θ2△y)△x△y, (0<θ1,θ2<1).若令ψ(y)=f(x0+△x,y)-f(x0,y),则有F(△x,△y)=ψ(y0+△y)-φ(y0).同理可得F(△x,△y)=f yx(x0+θ3△x,y0+θ4△y)△x△y, (0<θ3,θ4<1).当△x,△y不为零时,就有f xy(x0+θ1△x,y0+θ2△y)=f yx(x0+θ3△x,y0+θ4△y), (0<θ1,θ2,θ3,θ4<1).又f xy(x,y)和f yx(x,y)都在点(x0,y0)连续,∴当△x→0,△y→0时,上式两边极限存在且相等,∴f xy(x0,y0)=f yx(x0,y0).注:n元函数m阶混合偏导数在某点都连续时,则与顺序无关.概念2:设z 是通过中间变量x,y 而成为s,t 的函数,即z=f(x,y), 其中x=φ(s,t), y=ψ(x,t). 若函数f,φ,ψ都具有连续的二阶偏导数,则作为复合函数z 对s,t 同样存在二阶连续偏导数,即由一阶偏导数: s z ∂∂=s x x z ∂∂∂∂+s y y z ∂∂∂∂,t z ∂∂=t x x z ∂∂∂∂+ty y z ∂∂∂∂,可得二阶偏导数: 22s z ∂∂=s x x z s ∂∂⎪⎭⎫ ⎝⎛∂∂∂∂+⎪⎭⎫ ⎝⎛∂∂∂∂⋅∂∂s x s x z +s y y z s ∂∂⎪⎪⎭⎫ ⎝⎛∂∂∂∂+⎪⎭⎫ ⎝⎛∂∂∂∂⋅∂∂s y s y z =s x x z 22∂∂ ⎝⎛∂∂+s x s y y x z 2∂∂⎪⎭⎫∂∂∂∂∂+22s x x z ∂∂⋅∂∂+s y y z 22∂∂ ⎝⎛∂∂+s y s x x y z 2∂∂⎪⎭⎫∂∂∂∂∂+22s y y z ∂∂⋅∂∂ =222s x x z ⎪⎭⎫ ⎝⎛∂∂∂∂+2s x s y y x z 2∂∂∂∂∂∂∂+222s y y z ⎪⎭⎫ ⎝⎛∂∂∂∂+22s x x z ∂∂⋅∂∂+22s y y z ∂∂⋅∂∂. 同理可得: 22t z ∂∂=222t x x z ⎪⎭⎫ ⎝⎛∂∂∂∂+2t x t y y x z 2∂∂∂∂∂∂∂+222t y y z ⎪⎭⎫ ⎝⎛∂∂∂∂+22t x x z ∂∂⋅∂∂+22t y y z ∂∂⋅∂∂. t s z 2∂∂∂=t x s x x z 22∂∂∂∂∂∂+t y s x y x z 2∂∂ ⎝⎛∂∂∂∂∂+⎪⎭⎫∂∂∂∂s y t x +t y s y y z 22∂∂∂∂∂∂+t s x x z 2∂∂∂⋅∂∂+t s y y z 2∂∂∂⋅∂∂=s t z 2∂∂∂.例3:设z=f(x,y x ), 求22x z ∂∂,yx z 2∂∂∂. 解:记z=f(u,v), u=x, v=yx ,由复合函数求导公式有:x z ∂∂=x u u f ∂∂∂∂+x v v f ∂∂∂∂=u f ∂∂+vf y 1∂∂, ∴22xz ∂∂= ⎝⎛∂∂∂∂u f x +⎪⎭⎫∂∂v f y 1=x u u f 22∂∂∂∂+x v v u f 2∂∂∂∂∂+ ⎝⎛∂∂∂∂∂x u u v f y 12+⎪⎭⎫∂∂∂∂x v v f 22 =22uf ∂∂+v u f y 22∂∂∂+222v f y 1∂∂. y x z 2∂∂∂= ⎝⎛∂∂∂∂u f y +⎪⎭⎫∂∂v f y 1=y u u f 22∂∂∂∂+y v v u f 2∂∂∂∂∂-v f y 12∂∂+ ⎝⎛∂∂∂∂∂y u u v f y 12+⎪⎪⎭⎫∂∂∂∂y v v f 22=-v u f y x 22∂∂∂-v f y 12∂∂-223vf y x ∂∂.二、中值定理和泰勒公式概念3:若区域D 上任意两点的连线都含于D ,则称D 为凸区域,即 若D 为凸区域,则对任意两点P 1(x 1,x 2), P 2(x 2,y 2)∈D 和一切λ(0≤λ≤1), 恒有P(x 1+λ(x 2-x 1),y 1+λ(y 2-y 1))∈D.定理17.8:(中值定理)设二元函数f 在凸开域D ⊂R 2上连续,在D 的所有内点都可微,则对任意两点P(a,b),Q(a+h,b+k)∈D ,存在θ(0<θ<1), 使得f(a+h,b+k)-f(a,b)=f x (a+θh,b+θk)h+f y (a+θh,b+θk)k.证:令φ(t)=f(a+th,b+tk),它是定义在[0,1]上的一元函数;∵φ(t)在[0,1]上连续,在(0,1)上可微;∴根据一元函数中值定理, 存在θ(0<θ<1), 使得φ(1)-φ(0)=φ’(θ). 由复合函数的求导法则知, φ’(θ)=f x (a+θh,b+θk)h+f y (a+θh,b+θk)k. 又由D 为凸区域知,(a+θh,b+θk)∈D, ∴f(a+h,b+k)-f(a,b)=f x (a+θh,b+θk)h+f y (a+θh,b+θk)k.注:对闭凸域D ,任意两点P 1(x 1,x 2), P 2(x 2,y 2)∈D 和一切λ(0<λ<1),都有 P(x 1+λ(x 2-x 1),y 1+λ(y 2-y 1))∈intD ,则对D 上连续,intD 内可微的函数f , 只要P ,Q ∈intD ,也存在θ∈(0,1)使中值定理成立. 如,若D 为圆域{(x,y)|(x-ξ)2+(y-ζ)2≤r 2}, f 在D 上连续,在intD 内可微,则中值定理成立;若D 为矩形区域[a,b]×[c,d],则不能保证对D 上任意两点P ,Q 都有中值定理成立.推论:若函数f 在区域D 上存在偏导数,且f x ≡f y ≡0,则f 在区域D 上为常量函数.证:设P 和P ’是区域D 上任意两点,由于D 为区域,可用一条完全在D 内的折线连接PP ’. 设x 1为折线上第一个折点, 直线段Px 1上每一点P 0(x 0,y 0), 存在邻域U(P 0)⊂D, 由中值定理知, 在U(P 0)内任一点M(x m ,y m )有f(M)-f(P 0)=f x (θ1)(x m -x 0)+f y (θ1)(y m -y 0), ∵f x ≡f y ≡0,∴f(M)-f(P 0)=0, 即f(M)=f(P 0),∴在U(P 0)内f 是常数函数. 由Px 1上每一点都有这样的邻域U(P 0),使得f(x,y)=常数.由有限覆盖定理知,存在有限个邻域U(P 1),…,U(P N )覆盖Px 1, ∴f(P)=f(x 1), 以x 1,…,x n 表示折线上的所有折点,同理有f(P)=f(x 1)=…=f(x n )=f(P ’). 又由P ,P ’在区域D 内的任意性,知在D 内,f(x,y)=常数.例4:对f(x,y)=1xy 2x 12+-应用微分中值定理,证明存在θ(0<θ<1),使得1-2=2(1-3θ)(1-2θ+3θ2)-3/2.解:f 定义在E={(x,y)|x 2-2xy+1>0}上,凸区域D={(x,y)|x 2+y 2≤1}⊂E. 又f x =-()321xy 2x y-x +-; f y =()321xy 2x x+-,且f,f x ,f y 都在D 上连续,取(1,0),(0,1)∈D ,根据微分中值定理,存在θ(0<θ<1), 使得 f(1,0)-f(0,1)=f x (θ,1-θ)-f y (θ,1-θ), 即21-1=-[]321θ)-θ(12θθ)-(1-θ+--[]321θ)-θ(12θθ+-=(1-3θ)(1-2θ+3θ2)-3/2,∴1-2=2(1-3θ)(1-2θ+3θ2)-3/2.定理17.9:(泰勒定理)若函数f 在点P 0(x 0,y 0)的某邻域U(P 0)上有直到n+1阶的连续偏导数,则对U(P 0)内任一点(x 0+h,y 0+k), 存在相应的 θ∈(0,1),使得有二元函数f 在点P 0的n 阶泰勒公式:f(x 0+h,y 0+k)=f(x 0,y 0) + ⎝⎛∂∂x h +⎪⎪⎭⎫∂∂y k f(x 0,y 0)+ ⎝⎛∂∂x h !21+2y k ⎪⎪⎭⎫∂∂f(x 0,y 0)+… + ⎝⎛∂∂x h !n 1+n y k ⎪⎪⎭⎫∂∂f(x 0,y 0)+ ⎝⎛∂∂+x h !1)(n 1+1n y k +⎪⎪⎭⎫∂∂f(x 0+θh,y 0+θk).证:令φ(t)=f(x 0+th,y 0+tk),其定义域为[0,1],且满足一元函数泰勒条件; ∴φ(1)=φ(0)+φ’(0)+!21φ”(0)+…+!n 1φ(n)(0)+!)1(n 1+φ(n+1)(θ), (0<θ<1). 应用复合函数求导法则,可求得φ(t)的各阶导数:φ(m)(t)= ⎝⎛∂∂xh +m y k ⎪⎪⎭⎫∂∂f(x 0+th,y 0+tk), (m=1,2,…,n+1). 当t=0时,则有 φ(m)(0)= ⎝⎛∂∂x h +m y k ⎪⎪⎭⎫∂∂f(x 0,y 0), (m=1,2,…,n) 及φ(n+1)(θ)= ⎝⎛∂∂x h +1n y k +⎪⎪⎭⎫∂∂f(x 0+θh,y 0+θk),将φ(m)(0), φ(n+1)(θ)代入φ(1),得f(x 0+h,y 0+k)=f(x 0,y 0)+ ⎝⎛∂∂x h +⎪⎪⎭⎫∂∂y k f(x 0,y 0)+ ⎝⎛∂∂x h !21+2y k ⎪⎪⎭⎫∂∂f(x 0,y 0)+… + ⎝⎛∂∂x h !n 1+n y k ⎪⎪⎭⎫∂∂f(x 0,y 0)+ ⎝⎛∂∂+x h !1)(n 1+1n y k +⎪⎪⎭⎫∂∂f(x 0+θh,y 0+θk), (0<θ<1).注:1、中值公式为泰勒公式在n=0时的特列情形;2、若只要求余项R n =o (ρn ) (ρ=22k h +),则仅需f 在U(P 0)内存在直到n 阶连续偏导数,便有f(x 0+h,y 0+k)=f(x 0,y 0)+∑= ⎝⎛∂∂n 1p x h !p 1+py k ⎪⎪⎭⎫∂∂f(x 0,y 0)+o (ρn ).例5:求f(x,y)=x y 在点(1,4)的泰勒公式(到二阶),并用它计算(1.08)3.96. 解:∵f(1,4)=1; f x (1,4)=yx y-1|(1,4)=4; f y (1,4)=x y lnx|(1,4)=0;f xx (1,4)=y(y-1)x y-2|(1,4)=12; f yy (1,4)= x y (lnx) 2|(1,4)=0;f xy (1,4)=f yx (1,4)=x y-1+yx y-1lnx|(1,4)=1.∴x y =1+4(x-1)+6(x-1)2+(x-1)(y-4)+ o (ρ2). 当x=1.08, y=3.96时,有 (1.08)3.96≈1+4×0.08+6×0.082-0.08×0.04=1.3552.三、极值问题定义:设函数f 在点P 0(x 0,y 0)的某邻域U(P 0)内有定义,若对于任何点P(x,y)∈U(P 0),有f(P)≤f(P 0)或f(P)≥f(P 0),则称f 在点P 0取得极大(或极小)值,统称为极值. 极大值点、极小值点统称极值点.注:1、极值点只限于定义域的内点;2、若f 在点(x 0,y 0)取得极值,则当固定y=y 0时,一元函数f(x,y 0)必定在x=x 0取相同的极值;同理,一元函数f(x 0,y)在y=y 0也取相同的极值.例6:设f(x,y)=2x 2+y 2, g(x,y)=22y -x -1,h(x,y)=xy ,讨论原点(0,0)是不是它们的极值点.解:∵f(x,y)=2x 2+y 2≥f(0,0)=0,∴原点(0,0)是f 的极小值点; 又对任何(x,y)∈{(x,y)|x 2+y 2≤1},有 g(x,y)=22y -x -1≤g(0,0)=1,∴原点(0,0)是g 的极大值点;但在原点的任意邻域内,对I,III 象限的任意点有h(x,y)>h(0,0)=0; 对II, IV 象限中的任意点有h(x,y)<h(0,0)=0; ∴(0,0)不是h 的极值点.定理17.10:(极值必要条件)若函数在点P 0(x 0,y 0)存在偏导数,且在P 0取得极值,则有f x (x 0,y 0)=0, f y (x 0,y 0)=0. 反之,若函数在点P 0满足上式,则称点P 0为f 的稳定点.注:1、极值点一定是稳定点,但稳定点不一定是极值点. 如例6中的函数h ,原点为其稳定点,但不是其极值点.2、函数在偏导数不存在的点也有可能取得极值,如f(x,y)=22y x +在原点没有偏导数,但f(0,0)=0是f 的极小值.概念4:假定f 具有二阶连续偏导数,并记H f (P 0)=⎪⎪⎭⎫ ⎝⎛)(P f )(P f )(P f )(P f 0y y 0y x 0xy 0xx =0P y y y x xy xx f f f f ⎪⎪⎭⎫ ⎝⎛,称之为P 0的黑赛矩阵.定理17.11:(极值充分条件)设二元函数f 在点P 0(x 0,y 0)的某邻域U(P 0)上具有二阶连续偏导数,且P 0是f 的稳定点,则当H f (P 0)是正定矩阵时,f 在点P 0取得极小值;当H f (P 0)是负定矩阵时,f 在点P 0取得极大值;当H f (P 0)是不定矩阵时,f 在点P 0不取极值.证:由f 在点P 0的二阶泰勒公式,及f x (P 0)= f y (P 0)=0,得f(x,y)-f(x 0,y 0)=21(△x,△y)H f (P 0)(△x,△y)T +o (△x 2+△y 2).当H f (P 0)正定时,对任何(△x,△y)≠(0,0),恒有二次型Q(△x,△y)=(△x,△y)H f (P 0)(△x,△y)T >0,∴存在一个与△x,△y 无关的正数q, 使得Q(△x,△y)≥2q(△x 2+△y 2). 从而对充分小的U(P 0), 只要(x,y)∈U(P 0), 就有f(x,y)-f(x 0,y 0)≥q(△x 2+△y 2)+o (△x 2+△y 2)=(△x 2+△y 2)(q+o (1))≥0, 即f 在点P 0取得极小值;同理, 当H f (P 0)负定时,f 在点P 0取得极大值; 当H f (P 0)不定时,若f 取极值,不妨设取极大值,则沿任何过P 0的直线x=x 0+t △x, y=y 0+t △y, f(x,y)=f(x 0+t △x,y 0+t △y)=φ(t) 在t=0亦取得极大值. 由一元函数取极大值的充分条件知 φ”(0)≤0. 而φ’(t)=f x △x+f y △y, φ”(t)=f xx △x 2+2f xy △x △y+f yy △y 2,又φ”(0)=(△x,△y)H f (P 0)(△x,△y)T , 即H f (P 0)必须为负半定,矛盾! 同理,若f 取极小值,则H f (P 0)必须为正半定,亦矛盾!∴当H f (P 0)是不定矩阵时,f 在点P 0不取极值.注:根据正半定或负半定对称阵所属主子行列式的符号规则,定理17.11又可写成为:若函数f 如定理所设,P 0是f 的稳定点,则有:(1)当f xx (P 0)>0, (f xx f yy -f xy 2)(P 0)>0时,f 在点P 0 取得极小值;(2)当f xx (P 0)<0, (f xx f yy -f xy 2)(P 0)>0时,f 在点P 0取得极大值;(3)当(f xx f yy -f xy 2)(P 0)<0时,f 在点P 0不能取得极值;(4)当(f xx f yy -f xy 2)(P 0)=0时,不能肯定f 在点P 0是否取得极值.例7:设f(x,y)=x2+5y2-6x+10y+6的极值.解:当f x=2x-6=0, f y=10y+10=0时, x=3, y=-1,即点(3,-1)是f的稳定点. ∵f xx=2>0, f yy=10, f xy=0, 即有(f xx f yy-f xy2)(3,-1)=20>0,∴f在点(3,-1)取得极小值f(3,-1)=9+5-18-10+6=-8.又f在R2上处处存在偏导数,∴(3,-1)是f唯一的极值点.例8:讨论f(x,y)=x2+xy是否存在极值.解:当f x=2x+y=0, f y=x=0时, x=0, y=0,即点(0,0)是f的稳定点.∵f xx=2, f yy=0, f xy=1, 即有(f xx f yy-f xy2)(0,0)=-1<0,∴(0,0)不是f的极值点. 又f在R2上处处存可微,∴f不存在极值.例9:设f(x,y)=(y-x2)(y-2x2),试用定理17.11能否判定f在原点是否取得极值?如果不能,请试用其它方法判定?解:∵f x(0,0)=8x3-6xy|(0,0)=0, f y(0,0)=2y-3x2|(0,0)=0, ∴原点是f的稳定点. 又f xx=24x2-6y, f yy=2, f xy=-6x, 即有(f xx f yy-f xy2)(0,0)=0,∴由定理17.11无法判定f在原点是否取得极值.但当x2<y<2x2时,有f(x,y)<f(0,0),而当y>2x2或y<x2时,f(x,y)>f(0,0),∴f不可能在原点取得极值.例10:证明:圆的所有外切三角形中,以正三角形的面积为最小. 证:记圆的半径为1,任一外切三角形切点间弧长分别为α,β,γ,其中γ=2π-(α+β),则外切三角形的面积可以表示为:S=tan 2α+tan 2β+tan 2γ= tan 2α+tan 2β-tan2β+α, 0<α,β<π.当S α=21(sec 22α-sec 22β+α)=0, S β=21(sec 22β-sec 22β+α)=0时,α=β=32π,即S 有稳定点(32π,32π). ∵S αα(32π,32π)=43>0, S ββ(32π,32π)=23,S αβ(32π,32π)=43, 即有(S ααS ββ-S αβ2)(32π,32π)=36>0,∴S 在(32π,32π)取得极小值. 又S 在定义域内处处存在偏导数,∴(32π,32π)是S 唯一的极小值点,∴当α=β=32π, γ=2π-(α+β)=32π,即外切三角形为正三角形时,面积最小.例11:(最小二乘法问题)设通过观测或实验得到一列点(x i ,y i ),i=1,2,…,n.它们大体上在一条直线上,即大体上可用直线方程来反映变量x 与y 之间的对应关系. 现要确定一直线使得与这n 个点的偏差平方和最小(最小二乘方).解:设所求直线方程为y=ax+b ,则这n 个点的偏差平方和可表示为: f(a,b)=∑=+n 1i 2i i )y -b (ax .当f a =2∑=+n 1i i i i )y -b (ax x =0, f b =2∑=+n1i i i )y -b (ax =0时,整理得⎪⎪⎩⎪⎪⎨⎧=+=+∑∑∑∑∑=====n1i i n 1i i n1i i i n 1i i n 1i 2i y bn x a y x x b x a , 解方程组,得f(a,b)的稳定点: a 0=∑∑∑∑∑=====⎪⎭⎫ ⎝⎛-⎪⎭⎫ ⎝⎛⎪⎭⎫ ⎝⎛-n 1i 2n 1i i 2i n 1i i n 1i i n1i i i x x n y x y x n , b 0=2n1i i n 1i 2i n 1i i n 1i i i n 1i i n 1i 2i x x n x y x y x ⎪⎭⎫⎝⎛-⎪⎭⎫ ⎝⎛⎪⎭⎫ ⎝⎛-⎪⎭⎫ ⎝⎛⎪⎭⎫ ⎝⎛∑∑∑∑∑∑======. 又A=f aa =2∑=n 1i 2ix >0, B=f ab =2∑=n1i i x , C=f bb =2n, D=AC-B 2=4n ∑=n1i 2ix -4(∑=n1i i x )2>0,从而f(a,b)在点(a 0,b 0)取得极小值,根据实际可知该极小值就是最小值.习题1、求下列函数的高阶偏导数.(1)z=x 4+y 4-4x 2y 2, 二阶偏导数;(2)z=e x (cosy+xsiny), 二阶偏导数;(3)z=xln(xy), y x z 23∂∂∂,23y x z ∂∂∂;(4)u=xyze x+y+z , r q p r q p zy x z ∂∂∂∂++; (5)z=f(xy 2,x 2y), 二阶偏导数;(6)u=f(x 2+y 2+z 2), 二阶偏导数; (7)z=f(x+y,xy,yx), z x ,z xx ,z xy .解:(1)z x =4x 3-8xy 2, z y =4y 3-8x 2y, z xx =12x 2-8y 2, z yy =12y 2-8x 2, z xy =z yx =-16xy. (2)z x =e x (cosy+xsiny)+e x siny=e x (cosy+siny+xsiny), z y =e x (xcosy-siny), z xx =e x (cosy+siny+xsiny)+e x siny=e x (cosy+2siny+xsiny), z yy =-e x (xsiny+cosy), z xy =z yx =e x (cosy-siny+xcosy).(3)∵x z ∂∂=ln(xy)+1, 22x z ∂∂=x 1, y x z 2∂∂∂=y 1, ∴y x z 23∂∂∂=0; 23yx z∂∂∂=-2y 1. (4)方法一:∵x u ∂∂=(yz+xyz)e x+y+z, ∴p p xu ∂∂=(pyz+xyz)e x+y+z ;∵y x u p 1p ∂∂+=(pz+pyz+xz+xyz)e x+y+z, ∴q p q p y x u ∂∂+=(qpz+pyz+qxz+xyz)e x+y+z ,∵zy x uq p q p ∂∂+=(qp+qpz+py+pyz+qx+qxz+xy+xyz)e x+y+z , ∴r q p r q p zy x z∂∂∂∂++=(rqp+qpz+rpy+pyz+rqx+qxz+rxy+xyz)e x+y+z . 方法二:u=xyze x+y+z =xe x ·ye y ·ze z . 由归纳法知: (xe x )(p)=(x+p)e x , (ye y )(q)=(y+q)e y , (ze z )(r)=(z+r)e x ,∴r q p r q p zy x z∂∂∂∂++=(xe x )(p)(ye y )(q)(ze z )(r)=(x+p)(y+q)(z+r)e x+y+z . (5)∵z x =y 2f 1+2xyf 2, z y =2xyf 1+x 2f 2,∴z xx =y 4f 11+4xy 3f 12+4x 2y 2f 22+2yf 2, z yy =2xf 1+4x 2y 2f 11+4x 3yf 21+x 4f 22, z xy =z yx =2yf 1+y 2(2xyf 11+x 2f 12)+2xf 2+2xy(x 2f 22+2xyf 21) =2yf 1+2xf 2+2xy(x 2f 22+y 2f 11)+5x 2y 2f 21.(6)设w=x 2+y 2+z 2, 则u=f(w). ∵u x =2xf ’(w), u y =2yf ’(w), u z =2zf ’(w), ∴u xx =2f ’(w)+4x 2f ”(w), u yy =2f ’(w)+4y 2f ”(w), u zz =2f ’(w)+4z 2f ”(w), u xy =u yx =4xyf ”(w); u yz =u zy =4yzf ”(w); u zz =u zx =4xzf ”(w). (7)z x =f 1+yf 2+y1f 3,z xx =f 11+yf 12+y 1f 13+y(f 21+yf 22+y 1f 23)+y 1(f 31+yf 32+y1f 33) =f 11+f 23+f 32+y(f 12+f 21)+y 2f 22+y 1(f 13+f 31)+2y 1f 33 = f 11+2yf 12+y2f 13+y 2f 22+2f 23+2y1f 33. z xy =f 11+xf 12-2y x f 13+f 2+y(f 21+xf 22-2y x f 23)-2y 1f 3+y 1(f 31+xf 32-2y x f 33) =f 11+(x+y)f 12+ ⎝⎛y 1-⎪⎪⎭⎫2y x f 13+xyf 22 -3y x f 33+f 2-2y 1f 3.2、设u=f(x,y), x=rcos θ, y=rsin θ, 证明:22ru ∂∂+r u r 1∂∂+222θu r 1∂∂=22x u ∂∂+22y u∂∂.证:∵r u ∂∂=r x x u ∂∂∂∂+r y y u ∂∂∂∂=cos θxu ∂∂+sin θy u∂∂,θu ∂∂=θx x u ∂∂∂∂+θy y u ∂∂∂∂=rcos θy u ∂∂-rsin θxu ∂∂;∴22r u ∂∂=cos 2θ22x u ∂∂+2sin θcos θy x u 2∂∂∂+sin 2θ22yu ∂∂, 22θu ∂∂=r 2cos 2θyu 22∂∂-rsin θy u ∂∂+r 2sin 2θ22x u ∂∂-rcos θx u ∂∂-2r 2sin θcos θy x u 2∂∂∂; 又r u r 1∂∂=r 1cos θx u ∂∂+r1sin θy u∂∂,222θu r 1∂∂= cos 2θy u 22∂∂-r1sin θy u ∂∂+sin 2θx u ∂∂-r 1cos θx u ∂∂-2sin θcos θy x u 2∂∂∂; ∴22r u ∂∂+r u r 1∂∂+222θu r 1∂∂=22x u ∂∂+22yu∂∂.3、设u=f(r), r2=x 12+x 22+…+x n 2,证明:212x u ∂∂+222x u ∂∂+…+2n 2x u ∂∂=22dru d +dr dur 1-n .证:记∵k x u ∂∂=k x r dr du ∂∂=dr du r x k , ∴2k 2x u ∂∂=dr du rx r 132k⎪⎪⎭⎫ ⎝⎛-+r d u d r x 2222k , k=1,2,…,n ∴∑=∂∂n1k 2k2x u =212x u ∂∂+222x u ∂∂+…+2n 2x u ∂∂=22dr u d +dr du r 1r n ⎪⎭⎫ ⎝⎛-=22dr u d +dr dur 1-n .4、设v=r 1g ⎪⎭⎫ ⎝⎛-c r t , c 为常数,r=222z y x ++. 证明:v xx +v yy +v zz =2c1v tt .证:∵v x =-r x r 12g+r 1⎪⎭⎫⎝⎛-cr x g ’=-3r x g-2cr x g ’, v y =-3r y g-2cr y g ’, v z =-3r z g-2crz g ’; ∴v xx =522r r -3x g+42cr x g ’+422cr r -2x g ’+322r c x g ” =522r r -3x g+422cr r -3x g ’+322r c x g ”, v yy =522r r -3y g+422cr r -3y g ’+322r c y g ”, v zz =522rr -3z g+422cr r -3z g ’+322r c z g ”,∵522r r -3x +522r r -3y +522r r -3z =0, 422cr r -3x +422cr r -3y +422cr r -3z =0, 322r c x +322r c y +322r c z =r c 12, ∴v xx +v yy +v zz =rc 12g ”; 又v t =r 1g ’, v tt =r 1g ”, ∴v xx +v yy +v zz =2c 1v tt .5、证明定理17.8的推论. 证:证明过程见17.8推论.6、通过对F(x,y)=sinxcosy 施用中值定理,证明对某θ∈(0,1),有43=3πcos 3πθcos 6πθ-6πsin 3πθsin 6πθ. 证:F x =cosxcosy, F y =-sinxsiny. 对点(3π,6π)和(0,0)运用中值定理知,存在某θ∈(0,1),有F(3π,6π)-F(0,0)=3πF x (3πθ,6πθ)+6πF y (3πθ,6πθ),即sin 3πcos 6π-sin0cos0=3πcos 3πθcos 6πθ-6πsin 3πθsin 6πθ, 又sin 3πcos 6π-sin0cos0=43,∴43=3πcos 3πθcos 6πθ-6πsin 3πθsin 6πθ.7、求下列函数在指定点处的泰勒公式:(1)f(x,y)=sin(x 2+y 2)在点(0,0) (至二阶);(2)f(x,y)=yx在点(1,1) (至三阶); (3)f(x,y)=ln(1+x+y)在点(0,0);(4)f(x,y)=2x 2-xy-y 2-6x-3y+5在点(1,-2). 解:(1)∵f(0,0)=sin0=0, f x (0,0)=2xcos(x 2+y 2)|(0,0)=0, f y (0,0)=0, f xx (0,0)=[2cos(x 2+y 2)-4x 2sin(x 2+y 2)]|(0,0)=2, f yy (0,0)=2, f xy (0,0)=f yx (0,0)=-4xysin(x 2+y 2)|(0,0)=0, f xxx (θx,θy)=[-12xsin(x 2+y 2)-8x 3cos(x 2+y 2)]|(θx,θy)=-4θxsin(θ2x 2+θ2y 2)-8θ3x 3cos(θ2x 2+θ2y 2), f xxy (θx,θy)=[-4ysin(x 2+y 2)-8x 2ycos(x 2+y 2)]|(θx,θy) =-4θysin(θ2x 2+θ2y 2)-8θ3x 2ycos(θ2x 2+θ2y 2), f yyx (θx,θy)=-4θxsin(θ2x 2+θ2y 2)-8θ3xy 2cos(θ2x 2+θ2y 2), f yyy (θx,θy)=-12θysin(θ2x 2+θ2y 2)-8θ3y 3cos(θ2x 2+θ2y 2), ∴sin(x 2+y 2)=x 2+y 2+R 2(x,y),其中R 2(x,y)=61[x 3f xxx (θx,θy)+3x 2yf xxy (θx,θy)+3xy 2f yyx (θx,θy) +y 3f yyy (θx,θy)] =-32[3θ(x 2+y 2)2sin(θ2x 2+θ2y 2) +2θ3(x 2+y 2)3cos(θ2x 2+θ2y 2)]. (2)∵f(1,1)=1, f x (1,1)=y1|(1,1)=1, f y (1,1)=-2y x|(1,1)=-1, f xx =0, f yy (1,1)=3y 2x |(1,1)=2, f xy (1,1)=f yx (1,1)=-2y1|(1,1)=-1, f xxx =f xxy =0, f yyx (1,1)=3y 2|(1,1)=2, f yyy (1,1)=-4y 6x|(1,1)=-6, f xxxx =f xxxy =f xxxy =f xxyy =0, f yyyx (1+θx,1+θy)=-4θy)(16+, f yyyy (1+θx,1+θy)=5θy)(1θx )24(1++. ∴yx=1+(x-1)-(y-1)-(x-1)(y-1)+(y-1)2+(x-1)(y-1)2-(y-1)3+R 3(x,y),其中 R 3(x,y)=241[4(x-1)(y-1)3f yyyx (1+θx,1+θy)+(y-1)4f yyyy (1+θx,1+θy)] =-431)]-θ(y [11)-1)(y -(x ++51)]-θ(y [11)-θ(x 1++(y-1)4. (3)∵k k x f ∂∂=k 1-k y)x (11)!-(k (-1)++=k k yf ∂∂, ∴k k x f(0,0)∂∂=kk y f(0,0)∂∂=(-1)k-1(k-1)!; ∵p -n p n y x f ∂∂∂=n1-n y)x (11)!-(n (-1)++, ∴p -n p n yx f(0,0)∂∂∂=(-1)n-1(n-1)!;∴ ⎝⎛∂∂x x p!1+py y ⎪⎪⎭⎫∂∂f(0,0)=∑=p 0i p iC p!1(-1)p-1(p-1)!x i y p-i =p (-1)1-p (x+y)p. ⎝⎛∂∂+x x 1)!(n 1+py y ⎪⎪⎭⎫∂∂f(θx,θy)=1n n 1-n 0p p 1n θy)θx (1n!)1(C 1)!(n 1+=+++-+∑x p y n-p =1n n θy)θx 1)(1(n )1(++++- (x+y)n+1. ∴ln(1+x+y)=p y)(x )1(p n1p 1-p +-∑=+(-1)n1n 1n θy)θx 1)(1(n )y x (++++++, (0<θ<1). (4)∵f(1,-2)=5, f x (1,-2)=(4x-y-6)|(1,-2)=0, f y (1,-2)=(-x-2y-3)|(1,-2)=0, f xx =4, f yy =-2, f xy =f yx =-1, ∴f 的三阶偏导数都为0, ∴2x 2-xy-y 2-6x-3y+5=5+2(x-1)2-(x-1)(y+2)-(y+2)2.8、求下列函数的极值点:(1)z=3axy-x 3-y 3 (a>0);(2)z=x 2-xy+y 2-2x+y ;(3)z=e 2x (x+y 2+2y). 解:(1)当z x =3ay-3x 2=0, z y =3ax-3y 2=0时,x=y=0或x=y=a, ∴函数z 有稳定点(0,0)和(a,a).又z xx (a,a)=-6a<0, z yy (a,a)=-6a, z xx (0,0)=0, z yy (0,0)=0, z xy =z yx =3a, 即有 (z xx z yy -z xy 2)(a,a)=27a 2>0; (z xx z yy -z xy 2)(a,a)=-9a 2<0, ∴(a,a)是极大值点, (0,0)不是极值点.(2)当z x =2x-y-2=0, z y =-x+2y +1=0时,x=1, y=0,∴函数z 有稳定点(1,0). 又z xx =2>0, z yy =2, z xy =z yx =-1, 即有z xx z yy -z xy 2=3>0;∴(1,0)是极小值点. (3)当z x =e 2x (2x+2y 2+4y+1)=0, z y =e 2x (2y+2)=0时,x=21, y=-1,∴函数z 有稳定点(21,-1). 又z xx =e 2x (4x+4y 2+8y+4), z xx (21,-1)=2e>0; z yy =2e 2x , z yy (21,-1)=2e; z xy =z yx =e 2x (4y+4), z xy (21,-1)=z yx (21,-1)=0, 即有(z xx z yy -z xy 2)(21,-1)=4e 2>0; ∴(21,-1)是极小值点.9、求下列函数在指定范围内的最大值与最小值:(1)z=x 2-y 2, {(x,y)|x 2+y 2≤4};(2)z=x 2-xy+y 2, {(x,y)||x|+|y|≤1}; (3)z=sinx+siny-sin(x+y), {(x,y)|x ≥0,y ≥0,x+y ≤2π}.解:(1)当z x =2x=0, z y =-2y=0时,x=0, y=0,∴函数z 有稳定点(0,0). 又z xx =2>0, z yy =-2, z xy =z yx =0, 即有z xx z yy -z xy 2=-4<0;∴(0,0)不是极值点. 当x 2+y 2=4时,y 2=4-x 2,∴z=2x 2-4. 由z ’=4x=0,得稳定点x=0, y=±2, z(0,2)=z(0,-2)=-4. 又x 2=4-y 2,∴z=4-2y 2.由z ’=-4y=0,得稳定点y=0, x=±2, z(2,0)=z(-2,0)=4. ∴在(2,0),(-2,0)取最大值4, 在(2,0),(-2,0)取最小值-4. (2)当z x =2x-y=0, z y =2y-x=0时,x=0, y=0,∴函数z 有稳定点(0,0). 又z xx =2>0, z yy =2, z xy =z yx =-1, 即有z xx z yy -z xy 2=3>0;∴z(0,0)=0是极小值. 当x+y=1, 即y=1-x 时, z=x 2-x(1-x)+(1-x)2=3x 2-3x+1, 由z ’=6x-3=0, 得稳定点x=21, y=21, z(21,21)=41;当x-y=1, 即y=x-1时, z=x 2-x(x-1)+(x-1)2=x 2-x+1, 由z ’=2x-1=0, 得 稳定点x=21,y=-21, z(21,-21)=43;当-x-y=1, 即y=-x-1时, z=x 2-x(-x-1)+(-x-1)2=3x 2+3x+1, 由z ’=6x+3=0, 得 稳定点x=-21,y=-21, z(-21,-21)=43; 又z(1,0)=z(0,1)=z(-1,0)=z(0,-1)=1, ∴函数在(1,0),(0,1),(-1,0),(0,-1)取最大值1, 在(0,0)取最小值0. (3)当z x =cosx-cos(x+y)=0, z y =cosy-cos(x+y)=0时,cosx=cosy, ∴函数的稳定点在x=y 或x+y=2π上.当x=y 时cosx-cos2x=-2cos 2x+cosx+1=0, ∴cosx=cosy=-21或1,∴x=y=32π或x=y=0, z(32π,32π)=233, z(0,0)=0. 又在边界{(x,y)|x=0, 0≤y ≤2π}∪{(x,y)|y=0, 0≤x ≤2π}∪{(x,y)|x+y=2π}上, z=0, ∴函数在(32π,32π)取最大值233, 在边界上取最小值0.10、在已知周长为2p 的一切三角形中,求出面积为最大的三角形. 解:设三边分别为x,y,y. 则面积S=z)-y)(p -x)(p -p(p , x+y+z=2p. ∴S=p)-y y)(x -x)(p -p(p , (x,y)∈D={(x,y)|0≤x ≤p, 0≤y ≤p, x+y ≥p }. 根据S 偏导数的特点,可知S 与f=(p-x)(p-y)(x+y-p)有相同的稳定点. 又当f x =(p-y)(2p-2x-y)=0, f y =(p-x)(2p-2y-x)=0时, x=y=32p , z=2p-x-y=32p, 且S 在D 的边界上有S ≡0, ∴S 在(32p ,32p)处取得最大值,即 边长为32p 的等边三角形面积最大为S(32p ,32p)=9p 3.11、在xy 平面上求一点,使它到三直线x=0, y=0及x+2y-16=0的距离平方和最小.解:所求点(x,y)到三直线的距离平方和为:s=x 2+y 2+516)-2y +(x 2.当s x =2x+516)-2y +2(x =0, s y =2y+516)-2y +4(x =0时,x=58, y=516. ∴(58,516)是s 的稳定点. 又s 在R 2内处处存在连续的偏导数, ∴(58,516)是s 唯一的稳定点,也是s 的最小值点.12、已知平面上n 个点的坐标分别为A 1(x 1,x 1), A 2(x 2,y 2), …,A n (x n ,y n ),试求一点,使它与这n 个点距离的平方和最小.解: 设点(x,y)为所求,它与各点距离平方和为:S=∑=+n1i 2i 2i ])y -(y )x -[(x .当S x =2nx-2∑=n 1i i x =0, S y =2ny-2∑=n1i i y =0时,x=∑=n 1i i x n 1, y=∑=n1i i y n 1.又S 在R 2内处处存在连续的偏导数,∴(∑=n 1i i x n 1,∑=n1i i y n 1)是S 唯一的稳定点,也是S 的最小值点.13、证明:函数u=ta 4b)-(x 22eπta 21-(a,b 为常数)满足热传导方程:t u ∂∂=a 222xu∂∂.证:t u∂∂=-ta 4b)-(x 322e πta 41-+ta 4b)-(x 22222e t a 4b)-(x πta 21-. x u ∂∂=-ta 4b)-(x 222e ta 4b)-2(x πt a 21-, 22x u∂∂=-ta 4b)-(x 3322e πta 41+ta 4b)-(x 24222e t a 4b)-(x πt 2a 1-,∴a 222x u∂∂=-ta 4b)-(x 322e πta 41-+ta 4b)-(x 22222e t a 4b)-(x πta 21-=tu∂∂.14、证明:函数u=ln 22b)-(y a)-(x +(a,b 为常数)满足拉普拉斯方程:22x u ∂∂+22yu∂∂=0. 证:∵x u∂∂=2222b)-(y a)-(x b)-(y a)-(x a -x +⋅+=22b)-(y a)-(x a -x +, ∴22x u ∂∂=222222]b)-(y a)-[(x a)-(x 2b)-(y a)-(x +-+=22222]b)-(y a)-[(x a)-(x b)-(y +-; 同理可得22y u∂∂=22222]b)-(y a)-[(x b)-(y a)-(x +-; ∴22x u ∂∂+22yu ∂∂=0.15、证明:若函数u=f(x,y)满足拉普拉斯方程:22x u ∂∂+22yu∂∂=0;则函数v=f(22y x x +,22y x y+)也满足此方程. 证:记s=22y x x +, t=22y x y +, 则x s ∂∂=22222)y x (x y +-=-y t ∂∂,y s∂∂=-222)y x (x y 2+=xt ∂∂.x v ∂∂=x s s f ∂∂∂∂+x t t f ∂∂∂∂,22x v ∂∂=222x s s f⎪⎭⎫⎝⎛∂∂∂∂+2x t x s t s f 2∂∂∂∂∂∂∂+222x t t f ⎪⎭⎫ ⎝⎛∂∂∂∂+22x s s f ∂∂∂∂+22x tt f ∂∂∂∂; 同理22y v ∂∂=222y s s f ⎪⎪⎭⎫⎝⎛∂∂∂∂+2y t y s t s f 2∂∂∂∂∂∂∂+222y t t f ⎪⎪⎭⎫ ⎝⎛∂∂∂∂+22y s s f ∂∂∂∂+22y tt f ∂∂∂∂; ∵22x s ∂∂=-x y t 2∂∂∂,22y s ∂∂=y x t 2∂∂∂, ∴22x s ∂∂+22y s ∂∂=0, 同理22x t ∂∂+22yt∂∂=0. 又2x s ⎪⎭⎫ ⎝⎛∂∂=2y t ⎪⎪⎭⎫ ⎝⎛∂∂, 2x t ⎪⎭⎫ ⎝⎛∂∂=2y s ⎪⎪⎭⎫⎝⎛∂∂, x t x s ∂∂∂∂=-y t y s ∂∂∂∂,22s f ∂∂+22t f ∂∂=0, 代入上述各式子,可得22x v ∂∂+22yv∂∂=0.16、设函数u=φ(x+ψ(y)),证明y x u x u 2∂∂∂∂∂=22x uy u ∂∂∂∂.证:令s=x+ψ(y), 则∵x u ∂∂=ds d φ,y x u 2∂∂∂=dy d ψds φd 22, ∴y x u x u 2∂∂∂∂∂=dy d ψds φd ds d φ2;又y u ∂∂=dy d ψds d φ, 22x u ∂∂=22dsφd , ∴22x u y u ∂∂∂∂=dy d ψds φd ds d φ22=y x u x u 2∂∂∂∂∂.17、设f x ,f y 和f yx 在点(x 0,y 0)在某邻域内存在,f yx 在点(x 0,y 0)连续,证明:f xy 也存在,且f xy (x 0,y 0)=f yx (x 0,y 0). 证:由已知条件及中值定理得:F(△x,△y)=f(x 0+△x,y 0+△y)-f(x 0+△x,y 0)-f(x 0,y 0+△y)+f(x 0,y 0) =f yx (x 0+θ1△x,y 0+θ2△y)△x △y, 0<θ1,θ2<1,即有 f yx (x 0+θ1△x,y 0+θ2△y) =y1x )y ,f(x -)y x,f(x x y)y ,f(x -y)y x,f(x 00000000∆⎥⎦⎤⎢⎣⎡∆∆+-∆∆+∆+∆+. 又f yx 在点(x 0,y 0)连续,故对上式两边取△x →0得 f yx (x 0,y 0+θ2△y)=y)y ,f(x -)y x ,f(x 0000∆∆+,再让△y →0,由f yx 在点(x 0,y 0)连续及f xy 的定义知,f xy (x 0,y 0)=f yx (x 0,y 0).18、证明:若f x ,f y 在点(x 0,y 0)在某邻域内存在且在点(x 0,y 0)可微,则有f xy (x 0,y 0)=f yx (x 0,y 0).证:由已知条件及中值定理得:F(△x,△y)=f(x 0+△x,y 0+△y)-f(x 0+△x,y 0)-f(x 0,y 0+△y)+f(x 0,y 0) =[f x (x 0+θ1△x,y 0+△y)-f x (x 0+θ1△x,y 0)]△x, 0<θ1<1. 由f x 在点(x 0,y 0)可微知F(△x,△y)=f x (x 0+θ1△x,y 0+△y)-f x (x 0,y 0)]△x-f x (x 0+θ1△x,y 0)-f x (x 0,y 0)]△x =[f xx (x 0,y 0)θ1△x+f xy (x 0,y 0)△y+o (ρ)-f xx (x 0,y 0)θ1△x-o (ρ)]△x= f xy (x 0,y 0)△x △y+o (ρ)△x. ∴yx y)x ,f(lim (0,0)y )x,(∆⋅∆∆∆→∆∆=f xy (x 0,y 0). 同理, 由f y 在点(x 0,y 0)可微得yx y)x ,f(lim (0,0)y )x,(∆⋅∆∆∆→∆∆=f yx (x 0,y 0). ∴f xy (x 0,y 0)=f yx (x 0,y 0).19、设u=222z y x z y x111, 求(1)u x +u y +u z ;(2)xu x +yu y +zu z ;(3)u xx +u yy +u zz . 解:u x =22z y 2x z y1110=2xz+y 2-2xy-z 2=(y-z)(-2x+y+z), 同理 u y =(x-z)(-2y+x+z), u z =(x-y)(-2z+x+y),∴(1)u x +u y +u z =0; (2)xu x +yu y +zu z =3(z-y)(x-y)(x-z). 又∵u xx =2(z-y), u yy =2(x-z), u zz =2(y-x),∴(3)u xx +u yy +u zz =0.20、设f(x,y,z)=Ax 2+By 2+Cz 2+Dxy+Eyz+Fzx, 试按h,k,l 的正数幂展开f(x+h,y+k,z+l).解:∵f x =2Ax+Dy+Fz, f y =2By+Dx+Ez, f z =2Cz+Ey+Fx; f xx =2A, f yy =2B, f zz =2C; f xy =f yx =D, f xz =f zx =F, f yz =f zy =E.∴f(x+h,y+k,z+l)=f(x,y,z)+(2Ax+Dy+Fz)h+(2By+Dx+Ez)k+(2By+Dx+Ez)l +Ah 2+Bk 2+Cl 2+Dhk+Ekl+Fhl= f(x,y,z)+(2Ax+Dy+Fz)h+(2By+Dx+Ez)k+(2By+Dx+Ez)l+f(h,k,l).。