复旦版数学分析答案全解ex6-1
- 格式:pdf
- 大小:89.26 KB
- 文档页数:4
复变函数与积分变换(修订版)主编:马柏林(复旦大学出版社)——课后习题答案习题一1. 用复数的代数形式a +ib 表示下列复数π/43513;;(2)(43);711i i e i i i i i-++++++.①解i 4πππe cos isin 44-⎛⎫⎛⎫⎛⎫=-+- ⎪ ⎪ ⎪⎪⎝⎭⎝⎭⎝⎭②解: ()()()()35i 17i 35i 1613i 7i 11+7i 17i 2525+-+==-++-③解: ()()2i 43i 834i 6i 510i ++=-++=+ ④解: ()31i 1335=i i i 1i 222-+-+=-+2.求下列各复数的实部和虚部(z =x +iy )(z a a z a -∈+); 33311;;;.22n z i ⎛⎛-+-- ⎝⎭⎝⎭①: ∵设z =x +iy则()()()()()()()22i i i i i i x a y x a y x y a x a y z a z a x y a x a y x a y -++-⎡⎤⎡⎤+--+-⎣⎦⎣⎦===+++++++ ∴()22222Re z a x a y z a x a y ---⎛⎫= ⎪+⎝⎭++,()222Im z a xyz a x a y-⎛⎫=⎪+⎝⎭++. ②解: 设z =x +iy ∵()()()()()()()()323222222223223i i i 2i i 22i33iz x y x y x y x y xy x y x x y xy y x y x y x xy x y y =+=++=-++⎡⎤=--+-+⎣⎦=-+- ∴()332Re 3z x xy =-,()323Im 3z x y y =-.③解:∵(()(){}33232111313188-+⎡⎤⎡⎤==--⋅-⋅+⋅-⎢⎥⎢⎥⎣⎦⎣⎦⎝⎭()180i 18=+=∴Re 1=⎝⎭, Im 0=⎝⎭. ④解:∵()()(()2332313131i 8⎡⎤--⋅-⋅+⋅-⎢⎥⎣⎦=⎝⎭()180i 18=+=∴Re 1=⎝⎭, Im 0=⎝⎭. ⑤解: ∵()()1,2i 211i,kn kn k k n k ⎧-=⎪=∈⎨=+-⋅⎪⎩. ∴当2n k =时,()()Re i 1kn=-,()Im i 0n=;当21n k =+时,()Re i 0n =,()()Im i 1kn =-.3.求下列复数的模和共轭复数12;3;(2)(32);.2ii i i +-+-++①解:2i -+==2i 2i -+=--②解:33-=33-=-③解:()()2i 32i 2i 32i ++=++=()()()()()()2i 32i 2i 32i 2i 32i 47i ++=+⋅+=-⋅-=-④解:1i 1i 22++==()1i 11i222i ++-⎛⎫== ⎪⎝⎭4、证明:当且仅当z z =时,z 才是实数.证明:若z z =,设i z x y =+,则有 i i x y x y +=-,从而有()2i 0y =,即y =0 ∴z =x 为实数.若z =x ,x ∈ ,则z x x ==. ∴z z =.命题成立.5、设z ,w ∈ ,证明: z w z w ++≤证明∵()()()()2z w z w z w z w z w +=+⋅+=++()()22222Re z z z w w z w wz zw z w w z wz w =⋅+⋅+⋅+⋅=++⋅+=++⋅()2222222z w z wz w z w z w ++⋅=++⋅=+≤∴z w z w ++≤.6、设z ,w ∈ ,证明下列不等式. ()2222Re z w z z w w +=+⋅+ ()2222Re z w z z w w -=-⋅+()22222z w z w z w++-=+并给出最后一个等式的几何解释.证明:()2222Re z w z z w w +=+⋅+在上面第五题的证明已经证明了.下面证()2222Re z w z z w w -=-⋅+.∵()()()()222z w z w z w z w z w z z w w z w-=-⋅-=--=-⋅-⋅+()222Re z z w w =-⋅+.从而得证.∴()22222z w z w z w ++-=+几何意义:平行四边形两对角线平方的和等于各边的平方的和.3352π2π;;1;8π(1);.cos sin 7199i i i i +⎛⎫--+ ⎪+⎝⎭ ①解:()()()()35i 17i 35i 7i 117i 17i +-+=++-3816i 198i e 5025i θ⋅--==其中8πarctan 19θ=-.②解:e i i θ⋅=其中π2θ=.π2e i i =③解:ππi i 1e e -==④解:()28π116ππ3θ-+==-.∴()2πi 38π116πe--+=⋅⑤解:32π2πcos isin 99⎛⎫+ ⎪⎝⎭ 解:∵32π2πcosisin 199⎛⎫+= ⎪⎝⎭.∴322πi π.3i 932π2πcos isin 1e e 99⋅⎛⎫+=⋅= ⎪⎝⎭8.计算:(1)i 的三次根;(2)-1的三次根;(3)的平方根.⑴i 的三次根. 解:()13ππ2π2πππ22cos sin cosisin 0,1,22233++⎛⎫+=+= ⎪⎝⎭k k i k∴1ππ1cosisin i 662=+=+z .2551cos πisin πi 662=+=+z3991cos πisin πi 662=+=-z ⑵-1的三次根 解:()()132π+π2ππcos πisin πcosisin 0,1,233k k k ++=+=∴1ππ1cos isin 332=+=z 2cos πisin π1=+=-z3551cos πisin π332=+=-z的平方根. 解:πi 4e ⎫⎪⎪⎝⎭∴)()1π12i 44ππ2π2π44e6cos isin 0,122k k k ⎛⎫++ ⎪=⋅+= ⎪⎝⎭∴π11i 8441ππ6cos isin 6e 88⎛⎫=⋅+=⋅ ⎪⎝⎭z911πi 8442996cos πisin π6e 88⎛⎫=⋅+=⋅ ⎪⎝⎭z . 9.设2πe,2inz n =≥. 证明:110n z z -+++=证明:∵2πi e nz ⋅= ∴1n z =,即10n z -=.∴()()1110n z z z --+++=又∵n ≥2. ∴z ≠1 从而211+0n z z z -+++=11.设Γ是圆周{:},0,e .i z r r a c r z c α=>=+-令:Im 0z a L z b β⎧-⎫⎛⎫==⎨⎬⎪⎝⎭⎩⎭, 其中e i b β=.求出L β在a 切于圆周Γ的关于β的充分必要条件. 解:如图所示.因为L β={z : Im z a b -⎛⎫⎪⎝⎭=0}表示通过点a 且相切,则CA ⊥L β.过C 作直线平行L β,则有∠BCD =β,∠ACB =90° 故α-β=90°所以L β在α处切于圆周T 的关于β的充要条件是α-β=90°.12.指出下列各式中点z 所确定的平面图形,并作出草图.(1)arg π;(2);1(3)1|2;(4)Re Im ;(5)Im 1 2.z z z z i z z z z ==-<+<>><且解:(1)、argz =π.表示负实轴.(2)、|z -1|=|z |.表示直线z =12.(3)、1<|z +i|<2解:表示以-i 为圆心,以1和2为半径的周圆所组成的圆环域。
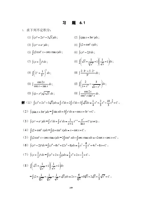
习 题 6.1⒈ 求下列不定积分:⑴ ()x x x dx3225+-⎰; ⑵ (sin e )x dx x +⎰3; ⑶ ()x a dxax +⎰;⑷ ⎰+dxx )cot 2(2;⑸ ⎰-dxx x x )tan sec csc 2(2;⑹ ()x dx 232-⎰;⑺ ()x x dx+⎰12;⑻ ⎰⎪⎪⎭⎫ ⎝⎛+⎪⎪⎭⎫⎝⎛++dx xxx 111132;⑼ ⎰⎪⎭⎫ ⎝⎛+dxx x2312; ⑽ 23523⋅-⋅⎰x xxdx;⑾ cos cos sin 2x x xdx-⎰; ⑿ ⎰⎪⎪⎭⎫⎝⎛--+dx x x221312;⒀ ()12-⎰x x x dx;⒁ cos cos sin 222x x xdx⎰.解(1)332324321210(225433xx dx xdx x dx x x x C+-=+-=+-+⎰⎰⎰⎰。
(2)(sin e )x dx x +⎰3=sin 3cos 3x x xdx e dx x e C +=-++⎰⎰。
(3)()x a dxax +⎰=11(1)1ln xaxa axdx adx xC a a a++=++≠+⎰⎰。
(4)⎰+dxx )cot 2(2=2(1csc )cot x dx x x C +=-+⎰。
(5)⎰-dxx x x )tan sec csc 2(2=22csc sec tan 2cot sec xdx x xdx x x C -=--+⎰⎰。
(6)()x dx 232-⎰=64275316(6128)4875x x x dx x x x x C-+-=-+-+⎰。
(7)()x x dx+⎰12=232111(2)23xdx x x Cxx++=+-+⎰。
(8)⎰⎪⎪⎭⎫⎝⎛+⎪⎪⎭⎫⎝⎛++dx xxx 111132=(22dx x C+++=-+⎰。
(9)⎰⎪⎭⎫ ⎝⎛+dxx x2312=⎰⎪⎭⎫⎝⎛+⋅+dxx x x91)32(24122114()ln 4ln 2ln 33ln 99xx xC =+-+-。
复旦大学数学分析答案【篇一:复旦大学2009年数学分析考研真题】s=txt>一.填空题xln(1?x)=_____x?01?cosxy(1?x)(2)微分方程y=的通解是____,这是变量可分离方程x(1)lim(3)设?是锥面(0?z?1)的下侧,则???xdyd?z2ydz?d3x(?1z)d?xdy____(4)点(2,1,0)到平面3x+4y+5z=0的距离d=____ (5)设a=? ?21??,2阶矩阵b满足ba=b+2e,则b=____??12?(6)设随机变量x与y相互独立,且均服从区间?0,3?上的均匀分布,则p{max(x,y)?1}?____ 一、选择题(1)设函数y?f(x)具有二阶导数,且f(x)?0,f(x)?0,?x为自变量x在x,处的增量,?y与dy分别为f(x)在点x处对应的增量与微分,若?x?0,则()(a)0?dx??y (b)0??y?dy (c)?y?dy?0 (d)dy??y?0 (2)设f(x,y)为连续函数,则(a)(c)??d??f(rcos?,rsin?)rdr等于()1nxf(x,y)dy(b)0f(x,y)dy f(x,y)dx0yf(x,y)dx(d)0(3)若级数?an?1??收敛,则级数()(a)?an?1?n收敛(b)?(?1)a收敛nnn?1??(c)?anan?1收敛(d)?n?1an?an?1收敛 2n?1(4)设f(x,y)和?(x,y)均为可微函数,且?y(x,y)?0,已知(x0,y0)是f(x,y)在约束条件?(x,y)?0下的一个极值点,下列选项正确的是()(a)若fx(x0,y0)?0,则fy(x0,y0)?0(b)若fx(x0,y0)?0,则fy(x0,y0)?0 (c)若fx(x0,y0)?0,则fy(x0,y0)?0 (d)若fx(x0,y0)?0,则fy(x0,y0)?0(5)设?1,?2,?,?s都是n维向量,a是m?n矩阵,则()成立(A)若?1,?2,?,?s线性相关,则a?1,a?2,?a?s线性相关(B)若?1,?2,?,?s线性相关,则a?1,a?2,?a?s线性无关(C)若?1,?2,?,?s线性无关,则a?1,a?2,?a?s线性相关(D)若?1,?2,?,?s线性无关,则a?1,a?2,?a?s线性无关(6)设A是3阶矩阵,将a的第2列加到第1列上得b,将b的第一列的?1倍加到?110???第2列上得c,记p??010?,则()?001???(a)c?pap(b)c?pap (c)c?pap(d)c?pap(7)设a,b为随机事件,p(b)?0,p?a|b??1,则必有()(a)p?a?b??p(a)(b)p?a?b??p(b) (c)p(a?b)?p(a)(d)p(a?b)?p(b)2(8)设随机变量x服从正态分布n(?1,?1),y服从正态分布n(?2,?2),且2tt?1?1p{x??1?1}?py??2?1},则()(a)?1??2 (b)?1??2 (c)?1??2 (D)?1??2三、简答题(1)设区域d?{(x,y)|x2?y2?1,x?0},计算二重积分i?1?xy22??1?x?yd(2)设数列{xn}满足0?x1??,xn?1?sinxn(n=1,2?),求:(i)证明limxn存在,并求之x??1(ii)?xn?1?xn2计算lim?? x???xn?(3)设函数f(u)在(0,?)内具有二阶导数,且z?f满足等式?2?0 2?x?y(i)f(u)?0 验证f(u)?u(ii)若f(1)?0,f(1)?1,求函数f(u)的表达式(4)设在上半平面d?{(x,y)|y?0}内,函数f(x,y)是有连续偏导数,且对任意2的t?0都有f(tx,ty)?tf(x,y)证明:对l内的任意分段光滑的有向简单闭曲线L,都有?lyf(x,y)dx?xf(x,y)dy?0(5)已知非齐次线性方程组?x1?x2?x3?x4??1??4x1?3x2?5x3?x4??1有3个线性无关的解?ax?x?3x?bx?134?12(I)证明方程组系数矩阵A的秩 r(a)?2 (ii)求 a , b 的值及方程组的通解(6)设3阶实对称矩阵a的各行元素之和均为3,向量?1?(?1,2,?1)t,?2?(0,?1,1)t实线性方程组ax?0的两个解,(i)求a的特征值与特征向量(ii)求:正交矩阵Q与对角矩阵A,使得qaq?at?1?2,?1?x?0??1(7)随机变量x的概率密度为fx(x)??,0?x?2令y?x2,f(x,y)为二维随机变?4?0,其他??量(x,y)的分布函数(I)求Y的概率密度fy(y) (ii)f???1???,0?x?1?(8)设总体x的概率密度f(x,0)??1??,1?x?2其中?实未知参数(0???1),?0,其他?x1,x2,?,xn为来自总体x的简单随即样本,记n为样本值x1,x2,?,xn中小于1的个数,求?的最大似然估计【篇二:复旦《数学分析》答案第四章1、2节】题 4.1 微分和导数⒈半径为1cm的铁球表面要镀一层厚度为0.01cm的铜,试用求微?43?r3,每只球镀铜所需要铜的质量为2m???v?4??r?r?1.12g。
数学分析教材习题全解(复旦版)数学分析教材习题全解习题 12. 1 偏导数与全微分1( 求下列函数的偏导数:5426222(1); (2); z,x,6xy,yz,xln(x,y)x2z,xy,(3); (4); z,sin(xy),cos(xy)y2,,xx,,tan(5); (6)z,; z,e(cosy,xsiny),,y,,xyyz,sin,cos(7); (8); z,(1,xy)yxx,yz,ln(x,lny)z,arctan(9); (10); 1,xyy222x(x,y,z)z(11); (12); u,eu,xz1y(13); (14); u,xu,222x,y,znnu,axy,a,a(15),为常数; (16)为常数。
uax,a,ijijijji,iiii,j,1i,1,z,z54432解 (1) ,,6y,12xy。
,5x,24xy,y,x32,z2x,z2xy22(2) ,。
,,2xln(x,y),2222,y,xx,yx,y,z1,zx,y,,x,(3) ,。
2,y,xyy,z,z,,(4) , ,xcos(xy),sin(2xy)。
,y,,cos(xy),sin(2xy),y,x,z,zxx,e(xcosy,siny)(5) ,。
,e(cosy,xsiny,siny),y,x222,,,,,zxx,zxx222,,,,,sec,,sec(6) ,。
2,,,,,xyy,yyy,,,,,z1xyyxyzxxy,1xy,,coscos,coscossinsin,sinsin(7) ,,。
22yyx,,xyyxyxxyxyx1,,,zxy,z2y,1y(8) , (1)ln(1)。
,y(1,xy),,xy,xy,,,1,x,y,xy,,,z1,z1,,(9) ,。
,yy(x,lny),xx,lny,z1,z1zxy,,arctanarctan(10) 注意,,, ,。
数学分析复旦答案【篇一:复旦《数学分析》答案第四章1、2节】题 4.1 微分和导数⒈半径为1cm的铁球表面要镀一层厚度为0.01cm的铜,试用求微分的方法算出每只球需要用铜多少克?(铜的密度为8.9g/cm3。
)解球体积v?43?r3,每只球镀铜所需要铜的质量为2m???v?4??r?r?1.12g。
?0⒉用定义证明,函数y点之外都是可微的。
证当x?0时,?y?微。
当x?0时,?y???3x2在它的整个定义域中,除了x这一?x2是?x的低阶无穷小,所以y?x2在x?0不可?x?x?o(?x),所以y?x2在x?0是可微的。
习题 4.2 导数的意义和性质1.设f?(x0)存在,求下列各式的值:⑴⑵⑶lim?x?0f(x0??x)?f(x0) ?x;limx?x0f(x)?f(x0)x?x0;。
f(x0?(??x))?f(x0) (??x)??f(x0)。
limh?0f(x0?h)?f(x0?h) h解 (1)lim⑵⑶f(x0??x)?f(x0) ?xf(x)?f(x0)x?x0?x?0??lim?x?0x?x0lim?limf(x0?(x?x0))?f(x0) x?x0x?x0?0?f(x0)。
limf(x0?h)?f(x0?h) hf(x0?h)?f(x0)hh?0f(x0?h)?f(x0)hh?0?limh?0?lim?2f(x0)。
2.⑴用定义求抛物线y?2x2?3x?1的导函数;⑵求该抛物线上过点(?1,?2)处的切线方程;⑶求该抛物线上过点(?2,1)处的法线方程;⑷问该抛物线上是否有(a,b),过该点的切线与抛物线顶点与焦点的连线平行?解 (1)因为?y?x?2(x??x)?3(x??x)?1?(2x?3x?1)?xf(x)?lim?y?x?4x?3。
22?4x?3?2?x,所以?x?0(2)由于(3)由于f(?1)??1,切线方程为y??1?[x?(?1)]?(?2)??x?3。
f(?2)??5,法线方程为y??1?5[x?(?2)]?1?x?75。
第二章 数列极限习 题 2.1 实数系的连续性1. (1) 证明6不是有理数;(2) 3+2是不是有理数?证(1)反证法。
若6是有理数,则可写成既约分数nm=6。
由,可知是偶数,设,于是有,从而得到是偶数,这与226n m =m k m 2=2223k n =n nm是既约分数矛盾。
(2)3+2不是有理数。
若3+2是有理数,则可写成既约分数32+n m=,于是222623nm =++,252622−=n m ,即6是有理数,与(1)的结论矛盾。
2. 求下列数集的最大数、最小数,或证明它们不存在: ; A x x =≥{|}0 ⎭⎬⎫⎩⎨⎧<<=320|sin πx x B ; ⎭⎬⎫⎩⎨⎧<∈=+m n n m m n C 并且N ,。
解 ;因为,有0min =A A x ∈∀A x ∈+1,x x >+1,所以不存在。
A max 12sin max ==πB ;因为B x ∈∀,⎦⎤⎜⎝⎛∈∃2,0πα,使得αsin =x ,于是有B ∈2sinα,x <2sinα,所以B min 不存在。
C max 与都不存在,因为C min C m n ∈∀,有C m n ∈+1,C m n ∈++11, 111++<<+m n m n m n ,所以与都不存在。
C max C min 3. A B ,是两个有界集,证明: (1) 是有界集;A B ∪(2) 也是有界集。
S x y x A y B =+∈∈{|,}证 (1)设A x ∈∀,有1M x ≤,B x ∈∀,有2M x ≤,则B A x ∪∈∀,有{}21,max M M x ≤。
(2)设,有A x ∈∀1M x ≤,B x ∈∀,有2M x ≤,则S x ∈∀,有21M M x +≤。
4. 设数集S 有上界,则数集T x x S =−∈{|}有下界,且sup S =T inf −。
证 设数集S 的上确界为,则对任意S sup ∈x T x x S =−∈{|},有,即;同时对任意S x sup ≤−S x sup −≥0>ε,存在S y ∈,使得ε−>S y sup ,于是,且T y ∈−ε+−<−S y sup 。
习题六1. 求映射1w z=下,下列曲线的像. (1) 22x y ax += (0a ≠,为实数) 解:222211i=+i i x y w u v z x y x y x y ===-+++ 221x x u x y ax a===+, 所以1w z =将22x y ax +=映成直线1u a=. (2) .y kx =(k 为实数) 解: 22221i x y w z x y x y ==-++ 故1w z=将y kx =映成直线v ku =-. 2. 下列区域在指定的映射下映成什么?(1)Im()0,(1i)z w z >=+;解: (1i)(i )()i(+)w x y x y x y =+⋅+=-+所以Im()Re()w w >.故(1i)w z =+⋅将Im()0,z >映成Im()Re()w w >.(2) Re(z )>0. 0<Im(z )<1, i w z=. 解:设z =x +i y , x >0, 0<y <1.Re(w )>0. Im(w )>0. 若w =u +i v , 则因为0<y <1,则22221101,()22u u v u v <<-+>+ 故i w z=将Re(z )>0, 0<Im(z )<1.映为 Re(w )>0,Im(w )>0, 1212w > (以(12,0)为圆心、12为半径的圆) 3. 求w =z 2在z =i 处的伸缩率和旋转角,问w =z 2将经过点z =i 且平行于实轴正向的曲线的切线方向映成w 平面上哪一个方向?并作图.解:因为w '=2z ,所以w '(i)=2i , |w '|=2, 旋转角arg w '=π2. 于是, 经过点i 且平行实轴正向的向量映成w 平面上过点-1,且方向垂直向上的向量.如图所示.→4. 一个解析函数,所构成的映射在什么条件下具有伸缩率和旋转角的不变性?映射w =z 2在z 平面上每一点都具有这个性质吗?答:一个解析函数所构成的映射在导数不为零的条件下具有伸缩率和旋转不变性映射w =z 2在z =0处导数为零,所以在z =0处不具备这个性质.5. 求将区域0<x <1变为本身的整体线性质变换w z αβ=⋅+的一般形式.6. 试求所有使点1±不动的分式线性变换. 解:设所求分式线性变换为az bw cz d +=+(ad -bc ≠0)由11-→-.得 因为(1)a z c dw cz d ++-=+, 即(1)(1)1a z c z w cz d ++++=+,由11→代入上式,得22a ca d c d +=⇒=+. 因此11(1)(1)dcd cd c w z z cz d z +++=+=+⋅++ 令dq c =,得其中a 为复数.反之也成立,故所求分式线性映射为1111w z a w z ++=⋅--, a 为复数.7. 若分式线性映射,az bw cz d +=+将圆周|z |=1映射成直线则其余数应满足什么条件? 解:若az bw cz d +=+将圆周|z |=1映成直线,则dz c =-映成w =∞. 而dz c =-落在单位圆周|z |=1,所以1dc -=,|c |=|d |.故系数应满足ad -bc ≠0,且|c |=|d |.8. 试确定映射,11z w z -=+作用下,下列集合的像.(1) Re()0z =; (2) |z |=2; (3) Im(z )>0.解:(1) Re(z )=0是虚轴,即z =i y 代入得. 写成参数方程为2211y u y -+=+, 221y v y =+, y -∞<<+∞.消去y 得,像曲线方程为单位圆,即u 2+v 2=1.(2) |z |=2.是一圆围,令i 2e ,02πz θθ=≤≤.代入得i i 2e 12e 1w θθ-=+化为参数方程.消去θ得,像曲线方程为一阿波罗斯圆.即(3) 当Im(z )>0时,即11Im()011w w z w w ++=-⇒<--, 令w =u +i v 得221(1)i 2Im()Im()01(1)i (1)w u v v w u v u v +++-==<--+-+. 即v >0,故Im(z )>0的像为Im(w )>0.9. 求出一个将右半平面Re(z )>0映射成单位圆|w |<1的分式线性变换.解:设映射将右半平面z 0映射成w =0,则z 0关于轴对称点0z 的像为w =∞, 所以所求分式线性变换形式为00z z w k z z -=⋅-其中k 为常数. 又因为00z z w k z z -=⋅-,而虚轴上的点z 对应|w |=1,不妨设z =0,则 故000e (Re()0)i z z w z z z θ-=⋅>-.10. 映射e 1i z w zϕαα-=⋅-⋅将||1z <映射成||1w <,实数ϕ的几何意义显什么? 解:因为 从而2i i 2221||1()e e (1||)1||w ϕϕαααα-'=⋅=⋅-- 所以i 2arg ()arge arg (1||)w ϕααϕ'=-⋅-=故ϕ表示i e 1z w zθαα-=⋅-在单位圆内α处的旋转角arg ()w α'. 11. 求将上半平面Im(z )>0,映射成|w |<1单位圆的分式线性变换w =f (z ),并满足条件(1) f (i)=0, arg (i)f '=0; (2) f (1)=1, f. 解:将上半平面Im(z )>0, 映为单位圆|w |<1的一般分式线性映射为w =k z z αα-⋅-(Im(α)>0). (1) 由f (i)=0得α=i ,又由arg (i)0f '=,即i 22i ()e (i)f z z θ'=⋅+, πi()21(i)e 02f θ-'==,得π2θ=,所以 i i iz w z -=⋅+. (2) 由f (1)=1,得k =11αα--;由f,得kα联立解得w =12. 求将|z |<1映射成|w |<1的分式线性变换w =f (z),并满足条件:(1) f (12)=0, f (-1)=1.(2) f (12)=0, 12πarg ()2f '=, (3) f (a )=a , arg ()f a ϕ'=.解:将单位圆|z |<1映成单位圆|w |<1的分式线性映射,为 i e 1z w zθαα-=-⋅ , |α|<1. (1) 由f (12)=0,知12α=.又由f (-1)=1,知 1i i i 2121e e (1)1e 1π1θθθθ--⋅=-=⇒=-⇒=+. 故12221112z z z w z --=-⋅=--. (2) 由f (12)=0,知12α=,又i 254e (2)z w z θ-'=⋅- i 11224π()e arg ()32f f θθ''=⇒==, 于是 π21i 2221e ()i 12z z z w z --==⋅--. (3) 先求=()z ξϕ,使z =a 0ξ→=,arg ()a ϕθ'=,且|z |<1映成|ξ|<1.则可知 i =()=e 1z a z a zθξϕ-⋅-⋅ 再求w =g (ξ),使ξ=0→w =a , arg (0)0g '=,且|ξ|<1映成|w |<1.先求其反函数=()w ξψ,它使|w|<1映为|ξ|<1,w =a 映为ξ=0,且arg ()arg(1/(0))0w g ψ''==,则 =()=1w a w a wξψ--⋅. 因此,所求w 由等式给出.i =e 11w a z a a w a zθ--⋅-⋅-⋅. 13. 求将顶点在0,1,i 的三角形式的内部映射为顶点依次为0,2,1+i 的三角形的内部的分式线性映射. 解:直接用交比不变性公式即可求得02w w --∶1i 01i 2+-+-=02z z --∶i 0i 1-- 2w w -.1i 21i +-+=1z z -.i 1i-4z (i 1)(1i)w z -=--+. 14. 求出将圆环域2<|z |<5映射为圆环域4<|w |<10且使f (5)=-4的分式线性映射.解:因为z=5,-5,-2,2映为w=-4,4,10,-10,由交比不变性,有2525-+∶2525---+=104104-+--∶104104+- 故w =f (z )应为55z z -+∶2525---+=44w w +-∶104105+- 即 44w w +-=55z z --+20w z⇒=-. 讨论求得映射是否合乎要求,由于w =f (z )将|z |=2映为|w |=10,且将z =5映为w =-4.所以|z |>2映为|w |<10.又w =f (z )将|z |=5映为|w |=4,将z =2映为w =-10,所以将|z |<5映为|w |>4,由此确认,此函数合乎要求.15.映射2w z =将z 平面上的曲线221124x y ⎛⎫-+= ⎪⎝⎭映射到w 平面上的什么曲线? 解:略.16. 映射w =e z 将下列区域映为什么图形.(1) 直线网Re(z )=C 1,Im(z )=C 2;(2) 带形区域Im(),02πz αβαβ<<≤<≤;(3) 半带形区域 Re()0,0Im(),02πz z αα><<≤≤.解:(1) 令z =x +i y , Re(z )=C 1,z =C 1+i y 1i =e e C y w ⇒⋅, Im(z )=C 2,则z =x +i C 22i =e e C x w ⇒⋅故=e z w 将直线Re(z )映成圆周1e C ρ=;直线Im(z )=C 2映为射线2C ϕ=.(2) 令z =x +i y ,y αβ<<,则i i =e e e e ,z x y x y w y αβ+==⋅<<故=e z w 将带形区域Im()z αβ<<映为arg()w αβ<<的张角为βα-的角形区域.(3) 令z =x +i y ,x >0,0<y < α, 02πα≤≤.则故=e zw 将半带形区域Re(z )>0,0<Im(z )<α, 02πα≤≤映为 |w |>1, 0arg w α<<(02πα≤≤).17. 求将单位圆的外部|z |>1保形映射为全平面除去线段-1<Re(w )<1,Im(w )=0的映射. 解:先用映射11w z=将|z |>1映为|w 1|<1,再用分式线性映射. 1211i 1w w w +=-⋅-将|w 1|<1映为上半平面Im(w 2)>0, 然后用幂函数232w w =映为有割痕为正实轴的全平面,最后用分式线性映射3311w w w -=+将区域映为有割痕[-1,1]的全平面. 故221121132222132111111i 1111111()11211i 1111z z z z w w w w w z w w z w w ⎛⎫⎛⎫++--⋅- ⎪ ⎪----⎝⎭⎝⎭=====+++⎛⎫⎛⎫++-⋅++ ⎪ ⎪--⎝⎭⎝⎭. 18. 求出将割去负实轴Re()0z -∞<≤,Im(z )=0的带形区域ππI m ()22z -<<映射为半带形区域πIm()πw -<<,Re(w )>0的映射.解:用1e z w =将区域映为有割痕(0,1)的右半平面Re(w 1)>0;再用1211ln 1w w w +=-将半平面映为有割痕(-∞,-1]的单位圆外域;又用3w =将区域映为去上半单位圆内部的上半平面;再用43ln w w =将区域映为半带形0<Im(w 4)<π,Re(w 4)>0;最后用42i πw w =-映为所求区域,故e 1ln e 1z z w +=-. 19. 求将Im(z )<1去掉单位圆|z |<1保形映射为上半平面Im(w )>0的映射.解:略.20. 映射cos w z =将半带形区域0<Re(z )<π,Im(z )>0保形映射为∞平面上的什么区域.解:因为 1cos ()2iz iz w z e e -==+ 可以分解为 w 1=i z ,12e ww =,32211()2w w w =+ 由于cos w z =在所给区域单叶解析,所以(1) w 1=i z 将半带域旋转π2,映为0<Im(w 1)<π,Re(w 1)<0. (2) 12e w w =将区域映为单位圆的上半圆内部|w 2|<1,Im(w 2)>0.(3) 2211()2w w w =+将区域映为下半平面Im(w )<0.。