量子力学与统计物理习题解答(理论物理导论)北理工 李卫 修订版
- 格式:doc
- 大小:603.00 KB
- 文档页数:15
量子力学习题及解答第一章 量子理论基础1.1 由黑体辐射公式导出维恩位移定律:能量密度极大值所对应的波长m λ与温度T 成反比,即m λ T=b (常量);并近似计算b 的数值,准确到二位有效数字。
解 根据普朗克的黑体辐射公式dv e chv d kThv v v 11833-⋅=πρ, (1)以及 c v =λ, (2)λρρd dv v v -=, (3)有,118)()(5-⋅=⋅=⎪⎭⎫ ⎝⎛-=-=kThc v v ehc cd c d d dv λλλπλλρλλλρλρρ这里的λρ的物理意义是黑体内波长介于λ与λ+d λ之间的辐射能量密度。
本题关注的是λ取何值时,λρ取得极大值,因此,就得要求λρ 对λ的一阶导数为零,由此可求得相应的λ的值,记作m λ。
但要注意的是,还需要验证λρ对λ的二阶导数在m λ处的取值是否小于零,如果小于零,那么前面求得的m λ就是要求的,具体如下:01151186'=⎪⎪⎪⎭⎫⎝⎛-⋅+--⋅=-kT hc kThce kT hc ehcλλλλλπρ⇒ 0115=-⋅+--kThc ekThcλλ⇒ kThcekThc λλ=--)1(5 如果令x=kThcλ ,则上述方程为 x e x =--)1(5这是一个超越方程。
首先,易知此方程有解:x=0,但经过验证,此解是平庸的;另外的一个解可以通过逐步近似法或者数值计算法获得:x=4.97,经过验证,此解正是所要求的,这样则有xkhc T m =λ 把x 以及三个物理常量代入到上式便知K m T m ⋅⨯=-3109.2λ这便是维恩位移定律。
据此,我们知识物体温度升高的话,辐射的能量分布的峰值向较短波长方面移动,这样便会根据热物体(如遥远星体)的发光颜色来判定温度的高低。
1.2 在0K 附近,钠的价电子能量约为3eV ,求其德布罗意波长。
解 根据德布罗意波粒二象性的关系,可知E=hv ,λh P =如果所考虑的粒子是非相对论性的电子(2c E e μ<<动),那么ep E μ22= 如果我们考察的是相对性的光子,那么E=pc注意到本题所考虑的钠的价电子的动能仅为3eV ,远远小于电子的质量与光速平方的乘积,即eV 61051.0⨯,因此利用非相对论性的电子的能量——动量关系式,这样,便有ph=λnmm m E c hc E h e e 71.01071.031051.021024.1229662=⨯=⨯⨯⨯⨯===--μμ在这里,利用了m eV hc ⋅⨯=-61024.1以及eV c e 621051.0⨯=μ最后,对Ec hc e 22μλ=作一点讨论,从上式可以看出,当粒子的质量越大时,这个粒子的波长就越短,因而这个粒子的波动性较弱,而粒子性较强;同样的,当粒子的动能越大时,这个粒子的波长就越短,因而这个粒子的波动性较弱,而粒子性较强,由于宏观世界的物体质量普遍很大,因而波动性极弱,显现出来的都是粒子性,这种波粒二象性,从某种子意义来说,只有在微观世界才能显现。
第六章 中心力场6.1) 利用6.1.3节中式(17)、(18),证明下列关系式相对动量 ()21121p m p m M r p-==∙μ (1) 总动量 21p p R M P+==∙ (2)总轨迹角动量p r P R p r p r L L L⨯+⨯=⨯+⨯=+=221121 (3)总动能 μ222222222121M P m p m p T +=+= (4)反之,有 ,11r m R r μ+= r m R r22μ-= (5)m p +=21μ,m p -=12μ(6)以上各式中,()212121 ,m m m m m m M +=+=μ证: 212211m m r m r m R ++=, (17) 21r r -=, (18)相对动量 ()21122121211p m p m M r r m m m m r p-=⎪⎪⎭⎫ ⎝⎛-+==∙∙∙μ (1’) 总动量 ()2121221121p p m m r m r m m m R M P+=+++==∙∙∙(2’)总轨迹角动量 221121p r p r L L L⨯+⨯=+=)5(2211p m up m u ⨯⎪⎪⎭⎫⎝⎛-+⨯⎪⎪⎭⎫ ⎝⎛+= ()()2112211p m p m Mp p -⨯++⨯= )2)(1(p r P R ⨯+⨯=由(17)、(18)可解出21,r r,即(5)式;由(1’)(2’)可解出(6)。
总动能()22112262221212222m p P m m p P m m p m p T ⎪⎪⎭⎫⎝⎛-+⎪⎪⎭⎫ ⎝⎛+=+=μμ2122222122112222122222m m u m P m m u m m u m P m m u ⋅-++⋅++=()()⎪⎪⎭⎫⎝⎛+++++=2122221222211112122m m p P m m m P m m mμ2222M P += (4’) [从(17),(18)式可解出(5)式;从(1),(2)式可解出(6)式].6.2) 同上题,求坐标表象中、和的算术表示式r i p ∇-= R i P ∇-= ,p r P R L⨯+⨯=解: ()()211221121r r m m Mi p m p m M ∇-∇-=-=(1) 其中 1111z y x r ∂∂+∂∂+∂∂=∇, 而xX M m x x x X x X x ∂∂+∂∂=∂∂∂∂+∂∂∂∂=∂∂1111, 同理,y Y M m y ∂∂+∂∂=∂∂11zZ M m z ∂∂+∂∂=∂∂11; (利用上题(17)(18)式。
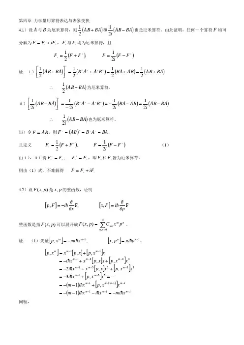
第四章 力学量用算符表达与表象变换 4.1)设A 与B 为厄米算符,则()BA AB +21和()BA AB i-21也是厄米算符。
由此证明,任何一个算符F 均可分解为-++=iF F F ,+F 与-F 均为厄米算符,且()()+++-=+=F F iF F F F 21 ,21 证:ⅰ)()()()()BA AB AB BA B A A B BA AB +=+=+=⎥⎦⎤⎢⎣⎡++++++21212121()BA AB +∴21为厄米算符。
ⅱ)()()()()BA AB i AB BA i B A A B i BA AB i -=--=--=⎥⎦⎤⎢⎣⎡-+++++21212121()BA AB i-∴21也为厄米算符。
ⅲ)令AB F =,则()BA A B AB F ===++++,且定义 ()()+++-=+=F F iF F F F 21 ,21 (1) 由ⅰ),ⅱ)得-+-+++==F F F F ,,即+F 和-F 皆为厄米算符。
则由(1)式,不难解得 -++=iF F F4.2)设),(p x F 是p x ,的整函数,证明[][]F , F,,pi F x x i F p ∂∂=∂∂-=整函数是指),(p x F 可以展开成∑∞==,),(n m nm mnp x Cp x F 。
证: (1)先证[][]11, ,,--=-=n n m mp ni p x xmi xp 。
[][][][][][][][]()()[]()111111331332312221111,1,3,,2,,,,,------------------=---=+--==+-=++-=++-=+=m m m m m m m m m m m m m m m m m mx mi x i x i m x x p x i m xxp xi x x p x x p x x i x x p x x p x x i xx p x p x x p同理,[][][][][][]1221222111,2,,,,,--------==+=++=+=n n n n n n n n np ni ppx pi p p x p p x p p i pp x p x p p x现在,[][]()∑∑∑∞=-∞=∞=-==⎥⎦⎤⎢⎣⎡=0,10,0,,,,n m nm mnn m n m mn n m n m mn p x mi C p x p C p x C p F p而 ()∑∞=--=∂∂-0,1n m n m mn p x mi C x Fi。
可编辑修改精选全文完整版填空题答案1.量子力学的最早创始人是 普朗克 ,他的主要贡献是于 1900 年提出了 能量量子化 假设,解决了黑体辐射 的问题。
2.按照德布罗意公式λνεh p h ==,,质量为21,μμ的两粒子,若德布罗意波长同为λ,则它们的动量比p 1:p 2= 1:1 ;能量比E 1:E 2=12:μμ;若粒子速度为v=0.9c ,按相对论公式计算,其德布罗意波长'λ=24202//p c c μλ+。
3.用分辨率为1微米的显微镜观察自由电子的德布罗意波长,若电子的能量E=kT 23(k 为玻尔兹曼常数),要能看到它的德布罗意波长,则电子所处的最高温度T max =K h k 221031-≈⎪⎭⎫ ⎝⎛λμ。
4.阱宽为a 的一维无限深势阱,阱宽扩大1倍,粒子质量缩小1倍,则能级间距将扩大(缩小) 缩小1倍;若坐标系原点取在阱中心,而阱宽仍为a ,质量仍为μ,则第n 个能级的能量E n =3,2,12/2222=n a n μπ,相应的波函数=)(x n ψ()a x ax n a n <<=0sin 2πψ和()a x x n≥≤=,00ψ。
5.处于态311ψ的氢原子,在此态中测量能量、角动量的大小,角动量的z 分量的值分别为E=eV eV 51.136.132-=;L= 2;L z = ,轨道磁矩M z =B M 。
6.两个全同粒子组成的体系,单粒子量子态为)(q k ϕ,当它们是玻色子时波函数为),(21q q s ψ=()()()()[]玻色体系1221221121q q q q k k k k ϕϕϕϕ+;为费米子时),(21q q A ψ()()()()]费米体系12212211q q q q k k k k ϕϕϕϕ-7.非简并定态微扰理论中求能量和波函数近似值的公式是E n =()()+-'+'+∑≠020m nn m mn mnnE EH H E ,)(x n ψ = ()()() +-'+∑≠00020m m nnm mnn E EH ψψ,其中微扰矩阵元'mn H =()()⎰'τψψd H n m 00ˆ;而'nn H 表示的物理意义是 在未受微扰体系中,H '的平均值 。
相对论、量子理论练习题解一.选择题1.D .2.D .3.A .4.B .5.A 6.B 7.A 8.A 二.填空题1. 光速不变,真空中的速度是一个常量,与参考系和光源的运动无关。
狭义相对性,物理规律在所有惯性系中具有相同的形式。
2. 同时,不同时。
3. 与物体相对静止的参考系中所测量的物体,本征长度最长,绝对。
4. 同一地点,本征时间最短。
5. 等效,弱,引力场同参考系相当的加速度等效;广义相对性原理;物理学规律对任何以加速度抵消掉该处引力场的惯性系都具有相同的形式。
6. 引力红移;雷达回波延迟 ; 水星近日点的进动,或光线在引力场中偏折。
7. 1.33X10-23 .8. 德布罗意波是概率波,波函数不表示实在物理量在空间的波动,其振幅无实在物理意义。
9. 自发辐射,受激辐射,受激辐射。
10. 受激辐射,粒子数反转分布,谐振腔。
11. 相位 ,(频率, 传播方向, 偏振态。
12. 能量,能量,动量。
三.小计算题 1.cv c v c v x t cv x c v t t 6.0541451145450's 4'11)''(22222222=∴⎪⎭⎫ ⎝⎛=-=-====∆=∆-=∆+∆=∆γγγγγcv l l c v l l c v l l 8.0531531.222202=∴⎪⎭⎫ ⎝⎛=⎪⎪⎭⎫ ⎝⎛=⎪⎭⎫ ⎝⎛==⎪⎭⎫ ⎝⎛-=-光年光年c v c v v c v c v c v c v c v c v t c t v c v x x tcx t S 171616171616)1(1611641'1'164''.322222222222=∴=-=⎪⎭⎫⎝⎛-=⎪⎭⎫⎝⎛-=⎪⎭⎫⎝⎛-∆=∆⎪⎭⎫⎝⎛-∆=∆∆==∆=∆光年原长年(原时)系32m 075.03.05.05.0m3.06.05.01=⨯⨯==⨯=⎪⎭⎫⎝⎛-=V c v l l 沿运动方向长度收缩5. MeV49.1eV 1049.11051.01000.2eV 1051.0J 102.81099.811091011.966620261415163120=⨯=⨯-⨯=-=⨯=⨯≈⨯=⨯⨯⨯=---c m mc E c m K6.c v c v c v c v c v c v c v c m c m mc E K 359413211123111211115.04111122222220202=∴=⎪⎭⎫⎝⎛-=⎪⎭⎫⎝⎛-⎪⎭⎫ ⎝⎛-=-⎪⎭⎫ ⎝⎛-=⎪⎪⎪⎪⎪⎭⎫⎝⎛-⎪⎭⎫ ⎝⎛-=⎪⎪⎪⎪⎪⎭⎫⎝⎛-⎪⎭⎫ ⎝⎛-=-=7.120201020102010202002201010011222)(221)4()3()4()()2()3()()1(ννννννννννννννννννννννν-=-=--=-=--=-+==-+=eU h h eU h eU h h eU h8.120201020102010202002201010011222)(221)4()3()4()()2()3()()1(ννννννννννννννννννννννν-=-=--=-=--=-+==-+=eU h h eU h eU h h eU h9.13)(44431212323212121020222022======v v nn v v n r r n r e r m e v r e r v m n n nn n n πεεππε10.aaa a a a aa 2122122145cos 16523cos12265=⋅-=⋅-==⎪⎭⎫ ⎝⎛=⎪⎭⎫ ⎝⎛ψππψ概率密度四、大计算题1. (1)对不同金属斜率相同。
1、简述波函数的统计解释;2、对“轨道”和“电子云”的概念,量子力学的解释是什么?3、力学量Gˆ在自身表象中的矩阵表示有何特点? 4、简述能量的测不准关系;5、电子在位置和自旋z S ˆ表象下,波函数⎪⎪⎭⎫⎝⎛=ψ),,(),,(21z y x z y x ψψ如何归一化?解释各项的几率意义。
6、何为束缚态?7、当体系处于归一化波函数ψ(,) r t 所描述的状态时,简述在ψ(,)r t 状态中测量力学量F 的可能值及其几率的方法。
8、设粒子在位置表象中处于态),(t r ψ,采用Dirac 符号时,若将ψ(,) r t 改写为ψ(,)r t 有何不妥?采用Dirac 符号时,位置表象中的波函数应如何表示? 9、简述定态微扰理论。
10、Stern —Gerlach 实验证实了什么? 11、一个物理体系存在束缚态的条件是什么? 12、两个对易的力学量是否一定同时确定?为什么? 13、测不准关系是否与表象有关?14、在简并定态微扰论中,如 ()H0的某一能级)0(n E ,对应f 个正交归一本征函数i φ(i =1,2,…,f ),为什么一般地i φ不能直接作为()H HH'+=ˆˆˆ0的零级近似波函数? 15、在自旋态χ12()s z 中, S x 和 S y的测不准关系( )( )∆∆S S x y 22•是多少? 16、在定态问题中,不同能量所对应的态的迭加是否为定态Schrodinger 方程的解?同一能量对应的各简并态的迭加是否仍为定态Schrodinger 方程的解?17、两个不对易的算符所表示的力学量是否一定不能同时确定?举例说明。
18说明厄米矩阵的对角元素是实的,关于对角线对称的元素互相共轭。
19何谓选择定则。
20、能否由Schrodinger 方程直接导出自旋?21、叙述量子力学的态迭加原理。
22、厄米算符是如何定义的?23、据[aˆ,+a ˆ]=1,a a Nˆˆˆ+=,n n n N =ˆ,证明:1ˆ-=n n n a 。
量子力学习题集及答案09光信息量子力研究题集一、填空题1.__________2.设电子能量为4电子伏,其德布罗意波长为6.125A。
XXX的量子化条件为∫pdq=nh,应用这量子化条件求得一维谐振子的能级En=(nωℏ)。
3.XXX假说的正确性,在1927年为XXX和革末所做的电子衍射实验所证实,德布罗意关系为E=ωℏ和p=ℏk。
4.ψ(r)=(三维空间自由粒子的归一化波函数为e^(ip·r/ℏ)),其中p为动量算符的归一化本征态。
5.∫ψ*(r)ψ(r)dτ=(δ(p'-p)),其中δ为狄拉克函数。
6.t=0时体系的状态为ψ(x,0)=ψ_n(x)+2ψ_2(x),其中ψ_n(x)为一维线性谐振子的定态波函数,则ψ(x,t)=(ψ(x)e^(-iωt/2)+2ψ_2(x)e^(-5iωt/2))。
7.按照量子力学理论,微观粒子的几率密度w=(|Ψ|^2),几率流密度j=(iℏ/2μ)(Ψ*∇Ψ-Ψ∇Ψ*)。
其中Ψ(r)描写粒子的状态,Ψ(r)是粒子的几率密度,在Ψ(r)中F(x)的平均值为F=(∫Ψ*F(x)Ψdx)/(∫Ψ*Ψdx)。
8.波函数Ψ和cΨ是描写同一状态,Ψe^(iδ)中的e^(iδ)称为相因子,e^(iδ)不影响波函数Ψ的归一化,因为e^(iδ)=1.9.定态是指能量具有确定值的状态,束缚态是指无穷远处波函数为零的状态。
10.E1=E2时,Ψ(x,t)=Ψ_1(x)exp(-iE1t)+Ψ_2(x)exp(-iE2t)是定态的条件。
11.这时几率密度和几率流密度都与时间无关。
12.粒子在能量小于势垒高度时仍能贯穿势垒的现象称为隧道效应。
13.无穷远处波函数为零的状态称为束缚态,其能量一般为分立谱。
14.ψ(x,t)=(ψ(x)e^(-iωt/2)+ψ_3(x)e^(-7iωt/2))。
2.15.在一维无限深势阱中,粒子处于位置区间x a,第一激发态的能量为1/13(22222/2ma2),第一激发态的波函数为sin(n x/a)(n=2)/a。
量子力学思考题1、以下说法是否正确:(1)量子力学适用于微观体系,而经典力学适用于宏观体系;(2)量子力学适用于 不能忽略的体系,而经典力学适用于 可以忽略的体系。
解答:(1)量子力学是比经典力学更为普遍的理论体系,它可以包容整个经典力学体系。
(2)对于宏观体系或 可以忽略的体系,并非量子力学不能适用,而是量子力学实际上已经过渡到经典力学,二者相吻合了。
2、微观粒子的状态用波函数完全描述,这里“完全”的含义是什么?解答:按着波函数的统计解释,波函数统计性的描述了体系的量子态。
如已知单粒子(不考虑自旋)波函数)(rψ,则不仅可以确定粒子的位置概率分布,而且如粒子的动量、能量等其他力学量的概率分布也均可通过)(rψ而完全确定。
由于量子理论和经典理论不同,它一般只能预言测量的统计结果,而只要已知体系的波函数,便可由它获得该体系的一切可能物理信息。
从这个意义上说,有关体系的全部信息显然已包含在波函数中,所以说微观粒子的状态用波函数完全描述,并把波函数称为态函数。
3、以微观粒子的双缝干涉实验为例,说明态的叠加原理。
解答:设1ψ和2ψ是分别打开左边和右边狭缝时的波函数,当两个缝同时打开时,实验说明到达屏上粒子的波函数由1ψ和2ψ的线性叠加2211ψψψc c +=来表示,可见态的叠加不是概率相加,而是波函数的叠加,屏上粒子位置的概率分布由222112ψψψc c +=确定,2ψ中出现有1ψ和2ψ的干涉项]Re[2*21*21ψψc c ,1c 和2c 的模对相对相位对概率分布具有重要作用。
4、量子态的叠加原理常被表述为:“如果1ψ和2ψ是体系的可能态,则它们的线性叠加2211ψψψc c +=也是体系的一个可能态”。
(1)是否可能出现)()()()(),(2211x t c x t c t x ψψψ+=;(2)对其中的1c 与2c 是任意与r无关的复数,但可能是时间t 的函数。
这种理解正确吗? 解答:(1)可能,这时)(1t c 与)(2t c 按薛定谔方程的要求随时间变化。
量子力学中的量子力学力学量守恒练习题及解答量子力学中的量子力学力学量守恒练习题及解答量子力学作为现代物理学的重要分支,探讨了微观粒子的行为和性质。
其中,量子力学力学量守恒是研究的重要内容之一。
本文将为您提供一些量子力学中力学量守恒方面的练习题和相应的解答,帮助您加深对该领域的理解。
练习题一:考虑一个质量为m的自由粒子,其波函数表示为ψ(x,t)。
在不考虑外力作用的情况下,该自由粒子的波函数满足薛定谔方程iħ∂ψ(x,t)/∂t = -ħ²/(2m)∂²ψ(x,t)/∂x²。
请证明在这种情况下,动量算符p = -iħ∂/∂x是守恒量。
解答一:为了证明动量算符p是守恒量,我们需要证明其对时间的导数为零,即d⟨p⟩/dt = 0。
根据动量算符的定义,p = -iħ∂/∂x。
因此,我们需要计算其对时间的导数,即d⟨p⟩/dt。
首先,计算出算符 p 在波函数ψ(x,t) 上的期望值⟨p⟩,即⟨p⟩= ∫ψ*(x,t)·p·ψ(x,t) dx将动量算符 p 的定义代入上式,得到⟨p⟩ = -iħ∫ψ*(x,t)·(∂/∂x)·ψ(x,t) dx接下来,对上式右侧的积分进行分部积分。
令f(x) = ψ*(x,t),g'(x) = (∂/∂x)·ψ(x,t)。
根据分部积分的公式,我们有∫f(x)·g'(x) dx = [f(x)·g(x)] - ∫f'(x)·g(x) dx将 f(x) 和 g'(x) 代入上式,得到∫ψ*(x,t)·(∂/∂x)·ψ(x,t) dx = [ψ*(x,t)·∂ψ(x,t)/∂x] -∫(∂/∂x)·[ψ*(x,t)·∂ψ(x,t)/∂x] dx将以上结果代入到⟨p⟩的表达式中,得到⟨p⟩ = -iħ·[ψ*(x,t)·∂ψ(x,t)/∂x] + iħ∫(∂/∂x)·[ψ*(x,t)·∂ψ(x,t)/∂x] dx我们可以观察到,上式右侧的两项是一个净的积分。
理工类可用量子力学与统计物理习题解答 第一章1. 一维运动粒子处于⎩⎨⎧≤>=-)0(0)0()(x x Axe x xλψ的状态,式中>0,求(1)归一化因子A ; (2)粒子的几率密度;(3)粒子出现在何处的几率最大? 解:(1)⎰⎰∞-∞∞-*=0222)()(dx e x A dx x x x λψψ令 x λξ2=,则323232023202224!28)3(88λλλξξλξλA AA d e A dx ex Ax=⨯=Γ==-∞∞-⎰⎰由归一化的定义1)()(=⎰∞∞-*dx x x ψψ得 2/32λ=A(2)粒子的几率密度xe x x x x P λλψψ2234)()()(-*==(3)在极值点,由一阶导数0)(=dxx dP 可得方程0)1(2=--xex x λλ 而方程的根0=x ;∞=x ;λ/1=x 即为极值点。
几率密度在极值点的值0)0(=P ;0)(lim =∞→x P x ;24)/1(-=e P λλ由于P(x)在区间(0,1/)的一阶导数大于零,是升函数;在区间(1/,)的一阶导数小于零,是减函数,故几率密度的最大值为24-e λ,出现在λ/1=x 处。
2. 一维线性谐振子处于状态t i x Aet x ωαψ212122),(--=(1)求归一化因子A ;(2)求谐振子坐标小x 的平均值; (3)求谐振子势能的平均值。
解:(1)⎰⎰∞∞--∞∞-*=dx e A dx x222αψψ⎰∞-=02222dx e A xα⎰∞-=0222ξαξd e Aαπ2A =由归一化的定义1=⎰∞∞-*dx ψψ得 πα=A (2) ⎰⎰∞∞-∞∞--==dx xeA dx x xP x x222)(α因被积函数是奇函数,在对称区间上积分应为0,故 0=x(3)⎰∞∞-=dx x P x U U )()(⎰∞∞--=dx e kx x 22221απα ⎰∞-=0222dx e x k x απα ⎰∞-=222ξξπαξd e k⎥⎦⎤⎢⎣⎡+-=⎰∞-∞-0022221ξξπαξξd e e k⎰∞-=02221ξπαξd e k 2212ππαk=24αk =将2μω=k 、μωα=2代入,可得02141E U ==ω 是总能量的一半,由能量守恒定律U T E +=0可知动能平均值U E U E T ==-=0021和势能平均值相等,也是总能量的一半。
2 《量子力学与统计力学》各章习题习题一1.1、一颗质量为20克的子弹以仰角30º初速率500米/秒从60米的高度处射出。
求在重力作用下该子弹着地前的轨道以及射出50秒后对射出点的位矢、速度、动量、角动量、动能和机械能。
(不考虑空气阻力,重力加速度取10米/秒2,地面为零重力势能面)。
1.2、在极坐标平面中任取两点P 1和P 2,但它们和极点三者不共线。
试分别画出在P 1和P 2处的极坐标单位矢。
1.3、在球坐标系中任取一点P ,试画出P 点的球坐标单位矢。
1.4、对于做斜上抛运动的子弹,以抛出点为坐标系原点建立直角坐标系。
试分别选取两组不同的广义坐标,并用之表示子弹在任一时刻的直角坐标。
1.5、氢原子由一个质子和一个电子组成。
试说明一个孤立氢原子体系是基本形式的Lagrange方程适用的体系。
1.6、证明: Lagrange 方程的基本形式(1.59)式可写为如下的Nielsen 形式:αααQ q T q T =∂∂-∂∂2 ,s ,,2,1 =α 1.7、设一个s 自由度的体系的广义坐标为αq ),,2,1(s =α。
试证明存在一个任意可微函数),,,,(21t q q q F s ,由它与该体系的Lagrange 函数构成的如下函数dtt q q q dF s ),,,,(L L 21 +=' 满足Langrange 方程(1.67)式。
1.8、设一个s 自由度的体系的广义坐标为αq ),,2,1(s =α,满足Langrange 方程(1.67)式的Lagrange 函数为),,,,,,,,(L 2121t q q q q q q s s 。
设存在另一组广义坐标αξ,),,2,1(s =α,且有变换方程),,,,(21t q q s ξξξαα =,s ,,2,1 =α此变换叫做点变换。
证明: 若通过上述点变换将),,,,,,,,(L 2121t q q q q q q s s 变换为),,,,,,,,(L L 2121t s s ξξξξξξ =,则有 s dt d , ,2 ,1 ,0L )L ( ==∂∂-∂∂αξξαα 这就是说,Lagrange 方程的形式与所选用的广义坐标无关。
第一章 习题1.一质点按t x sin ω=的规律作简谐振动。
试证明,如果测量质点位置的采样时间均匀分布,测得质点的位置在x 到dx x +的几率为211)(xdxdx x -=πρ解:只考虑一个周期即可。
将t 看作在0~2π/ω内均匀分布的随机变量,则()πωρ2=t ωπ20≤≤t X 的分布函数为(){}{}()()()()()⎥⎦⎤⎢⎣⎡+=⎥⎦⎤⎢⎣⎡++=+==≤=≤=----+⎰⎰⎰--ωπρωπρρρρωωπωωπx x x x t dtt dt t dt t x t P x X P x F xax D D 1112sin sin 0sin 2 sin sin sin 1121于是()()2'111xx F x -==πρ2.已知几率分布()xydxdy dxdy y x ∝,ρ其中y x ,的变化X 围是b y a x ≤≤≤≤0 ,0。
(1)求几率密度函数()y x ,ρ(2)求y 为任意值,x 在x 到dx x +的几率。
解:(1) 由归一化条件100=⎰⎰a bxydxdy A → 224ba A =t则()⎪⎩⎪⎨⎧≤≤≤≤=其它00,04,22by a x xy b a y x ρ(2) ()()⎰⎰===+∞∞-bX axydy b a x dy y x x 022224,ρρa x ≤≤0 于是()dx a xdx x X 22=ρ3.已知几率分布dx e dx x x )(ααρ-=, +∞<≤x 0其中0>α,x 的变化X 围是0至∞。
试求x 的平均值x ,方均根值2x ,平均平方偏差2)(x x -和相对涨落22)()(x x x -。
解: (1)()()αααααρα101 1100=⎥⎥⎦⎤⎢⎢⎣⎡-∞+-=-=====⎰⎰⎰⎰⎰∞+--+∞-+∞+∞--+∞dt e te tde dt te dx ex dx x X E X tt t tx(2)()220222ααρα===-+∞+∞⎰⎰dx e x dx x x X x则α22=x(3) ()()()()222222112ααα=-=-=-=X E X E X X X D(4) ()()111222==ααX X D4.一光子的能量ε与动量p 有如关系cp =ε,c 为光速。
理论物理第十四章作业1. 经典统计与量子统计的主要区别是什么?它们的差别在哪里? 答:经典统计是采用经典力学的观点来描述微观粒子运动的;而量子统计则以粒子的行为遵守量子力学的规律为其建立理论的基础。
差别:(1)在经典力学中,能量是连续的;在量子理论中,能量是量子化的。
(2)在经典力学中,粒子的位置和动量可以确定到任何精度程度;但在量子力学中,粒子的运动状态在分子相空间只能确定到一个大小为3h 的相格范围内。
(3)经典力学认为,粒子有轨道,全同粒子可分辨;量子力学中,无轨道概念,全同粒子不可分辨。
(4)经典力学粒子无自旋;量子力学中还要考虑粒子自旋的情况。
2. 为总结和比较三种统计法,请填表。
(1)把三种统计法中用到的基本前提,在表1相应的格中画“√”号;(2)在表2中写出三种统计法的热力学概率和分布函数。
5. 详细讨论F-D 分布函数f (E )的性质。
答:论F-D 分布函数的性质:以0)(F E 代表0K 时的费米能级,则(1)在T=0K ,当0F i )(E -E >0时,因kT E 0F i )(E -=∞,exp (kT E 0F i )(E -)=∞,所以有0g ii =N。
即凡是能量大于0)(F E 的量子态都是空的。
(2)在T=0K ,当0F i )(E -E <0时,因kT E 0F i )(E -=∞-,exp (kTE 0F i )(E -)=0,所以有1g ii=N 。
即凡是能量小于0)(F E 的量子态均为粒子所占据。
(3)在T>0K 时,可以看出: 当F E E =i 时,因为KT E F i E -=0,exp (kT E F i E -)=1,所以有21g i i =N 。
表明粒子占据FE 所对应的量子态的几率为1/2. 当F E E <i 时,因为exp (kT E F i E -)<1,所以21g i i >N ,当kT E E F >>-i 时,exp (kT E F i E -)0→,所以1g ii→N 。