特长、特殊结构形式公路隧道一览表
- 格式:pdf
- 大小:116.83 KB
- 文档页数:5
公路隧道设计规范公路隧道设计规范(JTGD70-2004)1.总则公路隧道是连接两个地区的重要交通工具,因此必须经过谨慎的设计和施工。
本规范旨在规范公路隧道的设计、施工和监管,确保公路隧道的安全和可靠性。
2.主要术语与符号本规范中使用的主要术语和符号应在设计和施工过程中得到充分理解和应用。
其中包括隧道长度、洞口高度、洞门宽度、围岩等级等。
3.隧道调查及围岩分级在设计隧道之前,需要对隧道所在地区进行全面的调查,包括地质、水文、气象等方面。
同时,需要对围岩进行分级,以便进行合理的隧道设计。
4.总体设计隧道的总体设计包括隧道长度、洞口高度、洞门宽度、隧道路面、隧道照明等方面。
在设计过程中,需要充分考虑交通流量、车速、车型等因素。
5.建筑材料隧道的建筑材料应符合国家标准和行业规范。
在选择材料时,需要充分考虑其耐火性、耐久性、防水性等因素。
6.荷载隧道设计中需要考虑各种荷载,包括车辆荷载、地震荷载等。
在计算荷载时,需要充分考虑隧道的结构和材料的承受能力。
7.洞口及洞门洞口和洞门是隧道的重要组成部分,需要充分考虑其宽度、高度、开启方式等因素。
同时,需要考虑洞口和洞门的防水和防火措施。
8.衬砌结构设计隧道的衬砌结构设计应符合国家标准和行业规范。
在设计过程中,需要充分考虑隧道的围岩、荷载等因素。
9.结构计算隧道的结构计算需要充分考虑各种因素,包括荷载、围岩、材料等。
在计算过程中,需要遵循国家标准和行业规范。
10.防水与排水隧道的防水和排水是隧道设计中的重要环节。
在设计过程中,需要充分考虑隧道的地质条件、水文条件等因素,以确保隧道的安全和可靠性。
本规范是针对公路隧道设计和施工的强制性标准。
在公路隧道的设计、施工、验收和运营等各个阶段,必须遵守本规范的规定。
11小净距及连拱隧道本章节主要介绍小净距隧道和连拱隧道的设计要求。
其中,小净距隧道是指净距小于7米的隧道,连拱隧道是指由多个拱形隧道相连而成的隧道。
本章节详细阐述了小净距隧道和连拱隧道的净高、净宽、弯曲半径、拱顶高度等设计参数的要求,并提出了相应的施工和验收标准。
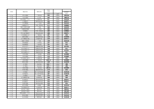
隧道类型序号隧道名称双洞平均长度(m)所在省竣工年车道x洞数备 注1秦岭终南山隧道18020陕西20072x2左右洞共用3座斜、竖井分段纵向式2雪山隧道(坪林)12900台湾20052x2+服务隧道左右洞各3座竖井分段纵向式3大坪里隧道12288甘肃建设中2x2全隧道设置4座竖井分段纵向式中国特长、特殊结构形式公路隧道一览表中国公路学会隧道工程分会08-5-30统计)4包家山隧道11185陕西建设中2x2右洞3井送排式通风,左洞单竖井送排式通风5宝塔山隧道10391山西设计中2x2竖斜井送排式纵向通风6泥巴山(大相岭)隧道9985四川建设中2x2三区段四斜井送排式通风7麻崖子隧道9000甘肃设计中2x2斜、竖井吹吸式分段纵向射流通风方式8龙潭隧道8657湖北建设中2x2左右洞各2座斜(竖)井送排式纵向通风9雪山梁隧道8530四川 拟建2x1平导送排式通风10金寨山隧道8100重庆建设中2x2双斜井送排式纵向11米溪梁隧道7923陕西建设中2x2右洞单井送排式通风,左洞单井送排式通风12括苍山隧道7899浙江20082x2左右洞各1座斜竖井送排式纵向通风、顶隔板排烟13方斗山隧道7581重庆20082x2左右洞各1座斜井送排式纵向通风14苍岭隧道7571浙江20072x2左右洞各1座斜竖井送排式纵向通风、顶隔板排烟15中条山隧道7428山西设计中2x2(通风方案待定)16摩天岭隧道7317重庆建设中2×2左右洞各1座斜井送排式纵向通风17白云隧道7128重庆建设中2x2左右洞各1座斜井送排式纵向通风18雪峰山隧道6951湖南20072x2左洞2座斜(竖)井、右洞单斜井送排式纵向式19雀儿山隧道6830四川 拟建2x220雷公山隧道6800重庆建设中2x2送排式分段纵向通风21乌池坝隧道6701湖北20082x2左右洞分别设置1座斜(竖)井送排式纵向式22羊角隧道6669重庆建设中2x2全隧道共2座斜井送排式分段纵向通风23吕家梁隧道6664重庆建设中2x2上坡单斜井送排式分段纵向通风、下坡全射流24明月山隧道6556重庆/四川20082×2竖井分段纵向式通风25葡萄隧道6297重庆建设中2x2上坡单斜井送排式分段纵向通风、下坡全射流26双峰隧道6184浙江建设中2x2左右洞各1座斜井送排式分段纵向通风27秦岭Ⅱ号隧道6134陕西20072x2上行单斜井送排式纵向通风、下行射流纵向通风28秦岭Ⅰ号隧道6123陕西20072x2上行单斜井送排式纵向通风、下行射流纵向通风29大巴山隧道6119四川建设中2x2竖井分段纵向式通风30中兴隧道6075重庆建设中2x2近期全射流、远期竖井分段送排式纵向通风31铁峰山2号隧道6027重庆20072x2近期全射流+远期竖井送排式纵向式通风32巴朗山隧道5700四川拟建2x1射流纵向通风?33将军石隧道5585四川拟建2x2全纵向射流通风34云中山隧道 5570山西建设中2x2单竖井纵向分段射流35美菰林隧道5568.75福建20032x2左右洞各1座斜井集中排风纵向通风36拉脊山隧道5530青海在建2x1单洞双通,全射流纵向通风37九岭山隧道5440江西建设中2x238棋盘关隧道5341陕西建设中2x2左洞单斜井送排式纵向通风、右洞射流纵向通风39鹘岭隧道5273陕西建设中2x2左洞单斜井送排式纵向通风、右洞射流纵向通风40云彩岭隧道5270.5山西设计中2x241铜锣山隧道5197四川建设中2x2竖井分段纵向式通风42雁门关隧道5182.5山西20032x2左洞2座斜(竖)井、右洞单井送排式纵向通风43夹活岩隧道5167.5湖北建设中2x2左洞全射流、右洞单竖井分段纵向式44分界梁隧道5070.5重庆建设中2x2全射流纵向通风45彩虹岭隧道5068广东20072x2全射流纵向通风46大风口隧道4994重庆建设中2x2全射流纵向通风47凤凰山隧道4975陕西建设中2x2全射流纵向通风48明垭子隧道4967陕西建设中2x2全射流纵向通风49明垭子隧道4962.5陕西建设中2x250财神梁隧道4943重庆建设中2x2全射流纵向通风51八卦山隧道 4931.5台湾20022×2 纵向式(1座竖井)52贵新隧道4916福建建设中2x2射流纵向通风53庙梁隧道4913重庆建设中2x2右洞竖井送排式通风,左洞全射流纵向通风54武隆隧道4884.12重庆建设中2x2全射流纵向通风55谭家寨隧道4866.2615重庆20072x2全射流纵向通风56南山隧道4850.5重庆20072x2全射流纵向通风57毛毡岭隧道4800广东建设中3x2全射流纵向通风58肇兴隧道4780贵州建设中2x2全射流纵向通风59共和隧道4762重庆建设中2x2全射流纵向通风60火烧庵隧道4741重庆/湖北建设中2×2全射流纵向通风61凤凰梁隧道4739.5重庆建设中2x2全射流纵向通风62月湖泉隧道4732.775山西建设中2x2全射流纵向通风63秦岭Ⅲ号隧道4713陕西20072x2全射流纵向通风64华蓥山隧道4695四川20002x2全射流纵向通风65长城岭隧道4672河北建设中3x2射流纵向通风66骡坪隧道4584.68重庆建设中2x2全射流纵向通风67石牙山隧道4583广东建设中2x2下坡射流纵向通风、上坡单竖井送排式纵向通风68山阳隧道4583福建建设中2x2射流纵向通风69三洋隧道4582.5福建建设中2x2射流纵向通风70石牙山隧道4581.18广东建设中2x2射流纵向通风、竖井送排式纵向通风71上古隧道4570重庆建设中2x2射流纵向通风72古福生庄隧道4546内蒙古建设中2x2全射流纵向通风73塔岭隧道4520.5安徽-江西20082x274阳明山隧道4480湖南建设中2x2射流纵向通风75鹧鸪山隧道4448四川20042x1平导分段纵向通风76麻岭隧道4440.5福建设计中2x277鸳鸯会隧道4430.5山西设计中2x278排同坳隧道4380贵州设计中2x2射流纵向通风79排同坳隧道4380贵州建设中2x2射流纵向通风80大路梁子隧道4361四川建设中1x281狮子凹山隧道4343山西设计中2x282鼓山隧道4333.5河北建设中3x2全射流纵向通风83排降隧道4320贵州设计中2x2射流纵向通风84排降隧道4320贵州建设中2x2射流纵向通风85五峰山一隧道4320江西设计中2x2全射流纵向通风86马鞍山隧道4317.5河北建设中2x2全射流纵向通风87西华岭隧道4312浙江20072×288福建雪峰山I号隧道4309福建建设中2x2全射流纵向通风89施家梁隧道4285.25重庆建设中2x2全射流纵向通风90通渝隧道4279重庆20042x1射流纵向通风+逃生平导91郭家山隧道4258陕西建设中2x292郭家山隧道4250陕西已通车2x2射流纵向通风93下桃园隧道4216.5陕西建设中2x2全射流纵向通风94金钟岭隧道4200.5福建设计中2x295二郎山隧道4176四川20002x1平导分段纵向通风96李家河隧道4155陕西建设中2x2全射流纵向通风97大溪-湖雾岭隧道4116浙江19992x2竖井送排式分段纵向射流通风方式98八盘山隧道4115山西建设中2x2全射流纵向通风99董家山隧道4111四川建设中2x2射流纵向通风100紫坪铺(董家山)隧道4096四川建设中2x2平导分段纵向通风101凉风垭隧道4085贵州20052x2全射流纵向通风102凉风垭隧道4085贵州20052x2全射流纵向通风103叙岭关隧道4055四川建设中2x2全射流纵向通风104七道梁隧道4037.095甘肃20032x2105北碚隧道4035.2745重庆20022x2全射流纵向通风106长塘子隧道4020重庆建设中2x1全射流纵向通风107祝源隧道4005福建建设中2x2全射流纵向通风108香炉山隧道3993.5湖北建设中2x2全射流纵向通风109石金山隧道3970云南拟建2x2射流纵向通风110花石山1#隧道3960甘肃建设中2x2全射流纵向通风111牛郎河隧道3925山西19992x2全射流纵向通风112南坑隧道3910.5福建设计中2x2113大老山隧道3900香港19912x2全射流纵向通风114大学城(梨树湾)隧道3880重庆建设中2x2全射流纵向通风115黑石岭隧道3870河北建设中3x2射流纵向通风钻爆法开挖隧道116长凼子隧道3856重庆建设中2x1全射流纵向通风117白鹤隧道3820浙江20082x2全射流纵向通风118云台山隧道3800江苏19922x1全射流纵向通风119大欖隧道3800香港19983x2全射流纵向通风120彭山隧道3800台湾20022x2全射流纵向通风121槽箐头隧道3790贵州20072x2全射流纵向通风122阳山隧道3770浙江20042x2全射流纵向通风123谭坝四号隧道3768.5陕西建设中2x2全射流纵向通风124岩门界隧道3745湖南建设中2x2全射流纵向通风125塔岭隧道3742安徽建设中2×2全射流纵向通风126大棕坡隧道3737.5陕西建设中2x2全射流纵向通风127厦门梧村山隧道3712.105福建20082x2国内最长城市隧道、全射流纵向通风128分水关隧道3690.5福建设计中2x2129玉峰山隧道3686.5重庆建设中3x2全射流纵向通风130木冲隧道3682.5广西20052x2全射流纵向通风131野山关隧道3677.5湖北建设中2x2全射流纵向通风132龙溪隧道3674.5四川建设中2x2射流纵向通风133二陡岩隧道3650四川建设中2x2射流纵向通风134二斗岩隧道3641.5四川拟建2×2全射流纵向通风135良心隧道3627.5陕西20072x2全射流纵向通风136朱家垭隧道3625.5陕西20072x2全射流纵向通风137青杠哨隧道 3623贵州20042x2全射流纵向通风138青杠哨隧道 3623贵州20042x2全射流纵向通风139老山隧道 3610浙江在建3×2全射流纵向通风140毛坝隧道3600陕西建设中2x2全射流纵向通风141猫狸岭隧道3600浙江20002x2全射流纵向通风142木鱼槽隧道3599湖北20002x2分段纵向式143正阳隧道3586.5重庆在建2x2全射流纵向通风144大木桩隧道3586.5重庆建设中2x2全射流纵向通风145华福隧道3585.5重庆20052x2全射流纵向通风146云雾山隧道3582.5重庆20072×2全射流纵向通风147燕子关隧道3556甘肃在建2x2全射流纵向通风148老岭隧道 3529吉林在建2×2 纵向式149八字岭分隧道 3525湖北在建2x2全射流纵向通风150张家冲隧道3502.5湖北建设中2x2全射流纵向通风151拍盘隧道3463.225山西建设中2x2全射流纵向通风152深港西部通道隧道3463.015广东20073x2单箱三孔下沉式矩型隧道,全射流纵向通风153拉纳山隧道3451四川2007射流纵向通风154狮子寨隧道3450.5四川建设中2x2全射流纵向通风155明珠隧道3450云南20052x2全射流纵向通风156石龙隧道3440重庆建设中2x2全射流纵向通风157小石村隧道3425甘肃设计中2x2射流纵向通风158大水井隧道3412.655湖北建设中2x2全射流纵向通风159罗盘基隧道3407.5福建20032x2全射流纵向通风160潭峪沟隧道3400北京19973x1全射流纵向通风161平阳隧道3384.76重庆建设中2x2全射流纵向通风162马金岭隧道3380.5安徽20072x2163鸾家岩隧道3380四川建设中2x1射流纵向通风164赤岭隧道3372.5福建20022x2全射流纵向通风165杨家山隧道3350四川拟建2x2全射流纵向通风166扁担垭隧道3337.5湖北建设中2x2全射流纵向通风167红岩湾隧道3315四川建设中2X2全射流纵向通风168大风垭口隧道3299云南20032x2射流纵向通风169新岭阁隧道3288福建建设中2x2射流纵向通风170鹰嘴岩隧道3278.5重庆建设中2x2射流纵向通风171孙家岩隧道3255重庆建设中2x2射流纵向通风172长滩隧道3245.5重庆建设中2x2全射流纵向通风173赵家岩隧道3245四川拟建2x2全射流纵向通风174岭头二号隧道3241福建建设中2x2全射流纵向通风175乔果山隧道3240贵州设计中2x2射流纵向通风176乔果山隧道3240贵州设计中2x2射流纵向通风177黄草岭隧道3236.12重庆建设中2x2全射流纵向通风178九顿坡隧道3205云南19992x2射流纵向通风179九顶山隧道3201.5云南20002x2全射流纵向通风180五龙山隧道3194.5贵州20072x2全射流纵向通风181五龙山隧道3194.5贵州20072x2全射流纵向通风182飞鸾岭隧道3167.5福建19982x2全射流纵向通风183麻地箐隧道3158云南拟建2x2射流纵向通风184中梁山隧道3131.5重庆19962x2左洞竖井单吸式通风、右洞射流纵向通风185鹅公髻隧道3127广东建设中2x2全射流纵向通风186井沟岭隧道3120河北建设中2x2全射流纵向通风187大箐隧道3109.5云南20022x2全射流纵向通风188沙包梁隧道3104.5重庆建设中2x2全射流纵向通风189白马隧道3100重庆建设中2x2全射流纵向通风190葫芦丘隧道3084福建建设中2x2全射流纵向通风191大骨山隧道3062.5福建建设中2x2全射流纵向通风192寨了隧道3060贵州建设中2x2全射流纵向通风193汉源隧道3046.5四川建设中2x2全射流纵向通风194胭脂畈隧道3045安徽建设中2x2射流纵向通风195清潭隧道 3021广东 19992x2全射流纵向通风196石头岭隧道3011安徽20052x2全射流纵向通风197花场隧道3005四川拟建2×2全射流纵向通风198金鸡山隧道3000福建20032x2全射流纵向通风199藤蔑山隧道3000云南20082x2射流纵向通风200大阁山隧道496贵州20024x1第一座单洞四车道城市公路隧道201金州隧道520辽宁20034x1第一座单洞四车道高速公路隧道202雅宝隧道260广东20064x2第一座双洞八车道隧道203白鹤嘴隧道1240重庆20074x2双洞八车道204大坪隧道1435重庆20074(3)x2进口端为双向6车道,出口端为双向8车道205龙头山隧道1020广东20084x2双洞八车道206金鸡山隧道200福建建设中4x2第一座双洞八车道连拱隧道207罗汉山隧道300福建建设中4x2第一座双洞八车道连拱隧道208魁岐隧道1596.1福建建设中4x2最宽处27. 42 m的地下立交、匝道4处209江溉路双联拱隧道780重庆20082x2国内最长双连拱隧道210万石山隧道2828福建20082x2国内第一座较完善的地下立交工程、匝道6处\单洞开挖最宽处25.89m211黔灵山隧道1600贵州建设中3×2三车道小净距隧道,隧道净距4~7m212相思岭隧道687福建建设中4x1单洞四车道213石牌山隧道425福建建设中4x1单洞四车道214蝴蝶山隧道1030福建建设中4x1单洞四车道215弄尾隧道367福建建设中4x1单洞四车道216前鸥隧道746福建建设中4x1单洞四车道217大帽山隧道600福建建设中4x2第一座双洞八车道小净距拓宽隧道218老店子1号隧道1166云南20082×2螺旋隧道1厦门翔安海底隧道5960福建建设中3x2+服务隧道左右洞各1座竖井送排式纵向通风2胶洲湾海底隧道7800青岛建设中3×21浏阳河隧道1400湖南建设中22渭河河底隧道1696陕西20033×21南京过江隧道3825江苏建设中3x2半横向式通风2武汉长江隧道3295湖北建设中2×2盾构部分长25503上中路隧道2800上海建设中2×2双层双向四车道\盾构部分长1250m4复兴东路隧道2785上海20042×3国内第一条双向双层六车道河底隧道海底隧道5打浦路隧道2761上海19702×2全横向及射流纵向通风6南京市玄武湖隧道2660.24南京20033+37南京长江隧道3930南京20096×28大连路隧道2565.88上海20032×2双向四车道9延安东路隧道(南线)2261上海19962×110延安东路隧道(北线)2207上海19882×1半横向通风1外环越江隧道2882上海20033+2+37节、双向八车道、世界第二、亚洲第一2珠江隧道1238广东19943+35节、公铁路合一、射流纵向式3宁波常洪隧道1053.2浙江20032×1双向四车道4宁波甬江隧道1019浙江19952×1水下段420米,是采用5节85米×11.9米沉管水底对接沉管隧道盾构隧道。
浅谈特长公路隧道路面的类型选择姚高恒摘要:随着经济、社会的发展和人民生活水平的不断提高,公路使用的安全、舒适、美观方面的要求必将成为未来发展的方向,公路隧道技术也将不断创新发展来满足各方要求。
可以预见,在未来较长一段时间内,出于安全方面的考虑,特长隧道路面类型仍以砼路面为主,但隧道砼路面施工工艺需进一步改进,以提高通车后的路面使用性能。
当然,随着沥青路面施工技术、阻燃技术的进步,彩色路面、降噪声路面、薄层复合式路面等新式沥青路面迅速发展和成熟,隧道中采用沥青路面具有更好的舒适度,新式沥青路面也将成为未来特长隧道路面的一个重要的选择类型。
关键词:公路隧道;路面;类型1.我国公路路面现状公路路面的技术状况、行车性能直接关系到隧道交通安全。
由于特长公路隧道洞内空间狭窄,通风困难,视线差,加之特长公路隧道一旦洞内发生交通事故,救援及路面修补难度远高于隧道外路面。
因此,对特长隧道内的路面要求不仅有良好的平整度、抗滑性、低噪音,而且要有长期的稳定性和耐久性,并且要便于维护。
这是对隧道路面功能的要求,也是我们努力的方向。
国内外目前对特长隧道采用水泥混凝土路面还是采用沥青混凝土路面存在两种不同的观点。
事实上,这两种路面在隧道中使用仍然各有优缺点,有不同的适应条件和使用范围。
2.不同材料隧道路面在施工期间的工作环境分析公路隧道铺设沥青路面时,在路面施工期间,由于隧道通风设施往往还没有来得及安装,致使整条隧道通风性能较差,即使在隧道口安装鼓风机,但由于隧道洞口尺寸过大,污染空气的排放效果往往比较差。
没有好的通风条件,热拌沥青混凝土施工时产生的浓烟很难迅速排除,这不仅会严重影响施工人员的身体健康,还会直接影响隧道路面的施工质量。
而且,由于浓烟在隧道内积聚,造成隧道内局部含氧量过低,对施工机械也会产生不良影响。
因此,从施工角度考虑,长大公路隧道应避免铺设沥青混凝土路面,而应以水泥混凝土路面为主要结构型式。
采用水泥混凝土路面时,隧道内没有热沥青混合料挥发的有毒气体。
太原西山特长隧道设计方案选择摘要:本文以太原至古交高速公路西山隧道的设计过程为依据,重点论述了在设计过程中对设计方案的选择。
通过对隧道线形的选择、管养通道方案的选择、隧道衬砌结构方案选择和隧道洞门方案选择,运用“系统最优”与“全寿命成本”的新理念。
从而得到特长隧道设计的合理方案。
关键词:特长隧道设计路线方案选择1工程概况太原至古交高速公路西山隧道是山西省高速公路规划网“3纵11横11环”中的第四横太原袁家庄至临县克虎寨项目的组成部分。
该工程目前是我国排名第二的特长公路隧道。
隧道起点位于太原市万柏林区袁家庄,终点位于万柏林区周家山,为太原至古交高速公路项目中的控制性工程。
隧道从太原端(K1+010)以0.4%的纵坡上行,至K11+940设变坡点以0.715%的纵坡下行,于周家山处(K14+580)出洞,最大埋深为450m。
左右洞长度分别为13654m和13570m,为上下行分离的双洞四车道隧道,设计速度为80Km/h。
2设计方案选择2.1 隧道线形选择太原西山隧道在设计过程中提出了高坡、人字坡、中坡方案,初步推荐采用中坡方案,在经过地质勘察后结合地质条件,将中坡隧道方案标高降低,并以此作为推荐方案。
平面线形选择:初步设计中的比较方案A1线因隧道出口有偏压,且位于两隧道间的周家山大桥桥高约80m,故将此线位北偏280m,增设了一条B线比较线与对应A1线进行比选。
B线较好地利用了地形,前后隧道进出口位置得到改善,解决了偏压问题,也减小了周家山大桥的规模。
但B线与对应段A1线相比,增加两处与引黄管线的交叉,并且是公路隧道上跨引黄隧洞(高差约50米)。
纵面线形选择:在对隧道地质情况做了全面的物探、钻探勘察后,发现A1线隧道围岩地质情况很差,约有3/4段落穿过泥灰岩地层。
泥灰岩遇水膨胀,物理性质极差,大段落隧道通过施工难度太大,经过多方论证,提出了降低隧道高程,进一步寻求良好隧道围岩条件的勘察方案。
对路线纵坡进行了下调,并确定此方案为推荐方案。