(完整版)大一高数复习资料(免费)
- 格式:doc
- 大小:1.21 MB
- 文档页数:9
大一高数知识点总结全一、导数与微分1. 函数极限和连续性1.1 函数极限的定义和性质1.2 无穷大与无穷小1.3 函数的连续性与间断点2. 导数与微分2.1 导数的定义与性质2.2 常见函数的导数2.3 高阶导数与隐函数求导二、微分中值定理与高阶导数应用1. 中值定理1.1 罗尔定理1.2 拉格朗日中值定理1.3 柯西中值定理2. 泰勒公式与函数的局部性质2.1 泰勒公式及余项2.2 函数的单调性与极值2.3 函数的凹凸性与拐点3. 高阶导数的应用3.1 曲率与曲线的切线与法线3.2 凸函数与凹函数的判定三、定积分与不定积分1. 定积分的意义与性质1.1 定积分的定义1.2 定积分的性质与运算法则1.3 可积条件与Newton-Leibniz公式2. 不定积分2.1 不定积分的定义与基本公式2.2 基本不定积分的计算方法2.3 图形与面积的应用四、微分方程1. 常微分方程基本概念1.1 微分方程的定义与基本概念1.2 一阶线性微分方程1.3 可分离变量的微分方程2. 常系数线性微分方程2.1 齐次线性微分方程2.2 非齐次线性微分方程2.3 变量变换与常系数线性微分方程3. 高阶线性微分方程3.1 n阶齐次与非齐次线性微分方程3.2 常系数线性齐次微分方程的特征方程 3.3 可降阶的线性非齐次微分方程五、多元函数微分学1. 二元函数的极限与连续性1.1 二元函数的极限定义1.2 二元函数的连续性1.3 多元函数的极限与连续性2. 偏导数与全微分2.1 偏导数的定义与计算方法2.2 高阶偏导数与混合偏导数2.3 全微分与微分近似3. 隐函数与参数方程求导3.1 隐函数与参数方程的基本概念3.2 隐函数求导与相关性质3.3 参数方程求导与相关性质以上是大一高数的知识点总结,通过学习这些内容,能够掌握基本的导数与微分、定积分与不定积分、微分方程以及多元函数微分学的知识。
希望这份总结对你的学习有所帮助。
大一上学期高数知识点大全1. 代数的基本概念1.1. 实数和复数1.2. 整式与分式1.3. 幂与根1.4. 指数与对数2. 函数与极限2.1. 函数的基本概念2.2. 一次函数与二次函数2.3. 指数函数与对数函数2.4. 极限的定义与性质3. 导数与微分3.1. 导数的定义与性质3.2. 常见函数的导数3.3. 高阶导数3.4. 微分的定义与应用4. 积分与不定积分4.1. 不定积分的定义与性质 4.2. 基本积分公式4.3. 定积分的定义与性质4.4. 牛顿-莱布尼茨公式5. 一元函数的应用5.1. 函数的增减性与最值问题 5.2. 函数与导数的几何意义 5.3. 曲线的图像与拐点5.4. 泰勒展开与近似计算6. 二元函数与多元函数6.1. 二元函数的性质与图像 6.2. 多元函数的极值与最值6.3. 偏导数与全微分6.4. 隐函数与参数方程7. 重积分与曲线积分7.1. 二重积分的定义与计算 7.2. 三重积分的定义与计算 7.3. 曲线积分的定义与计算 7.4. 曲面积分的定义与计算8. 空间解析几何8.1. 点、直线和平面的方程 8.2. 空间曲线与曲面8.3. 空间向量与坐标系8.4. 空间几何运算和投影9. 常微分方程9.1. 基本概念与一阶微分方程9.2. 可降阶的一阶微分方程9.3. 二阶线性常微分方程9.4. 高阶常微分方程的初值问题以上是大一上学期高等数学的主要知识点,通过深入学习这些内容,可以为后续学习及应用数学打下坚实的基础。
希望对你的学习有所帮助!。
大一高数知识点总结电子档一、函数与极限1. 函数的定义与性质函数的定义、定义域与值域、奇偶性、周期性等2. 一元函数的极限极限的定义、极限存在性的判定、无穷大与无穷小、极限的四则运算等3. 函数的连续性连续性的定义、连续函数的性质、间断点与间断类型等4. 导数与微分导数的定义、导数的几何意义、常用求导法则、高阶导数、微分的定义与应用等二、微分学1. 函数的导数与求导法则基本初等函数的导数、复合函数的导数、隐函数的导数、参数方程的导数等2. 微分中值定理极值与最值、罗尔定理、拉格朗日中值定理、柯西中值定理等3. 泰勒公式及应用泰勒定理的各种形式、泰勒级数展开、泰勒公式的应用等4. 不定积分与定积分不定积分的定义、常用不定积分法、定积分的定义、定积分的性质等三、多元函数与偏导数1. 多元函数的极限与连续性多元函数的极限定义、极限存在性的判定、连续性定义、偏导数定义与计算等2. 偏导数与全微分偏导数的定义、偏导数的计算、全微分的定义与计算、高阶偏导数等3. 隐函数与参数方程的偏导数隐函数的偏导数计算、参数方程的偏导数计算、偏导数的应用等四、重积分与曲线积分1. 二重积分二重积分的定义、重积分的性质、二重积分的换元法与应用等2. 曲线积分曲线积分的定义、曲线积分的计算、曲线积分的应用等3. 三重积分三重积分的定义、重积分的性质、三重积分的计算、三重积分的应用等五、常微分方程1. 一阶常微分方程一阶常微分方程的解法、可分离变量方程、一阶线性微分方程等2. 高阶常微分方程高阶常微分方程的解法、常系数线性微分方程、二阶线性微分方程等3. 常微分方程的应用可降阶的方程、电路问题、生物学问题、经济学问题等六、向量代数与空间解析几何1. 空间直线与平面直线的参数方程与一般方程、平面的一般方程、直线与平面的位置关系等2. 空间曲线与曲面参数方程、一般方程、直纹面与曲率、二次曲面等3. 向量代数向量的加法与减法、数量积与向量积、混合积与标量三重积等4. 空间向量的线性运算向量的线性相关与线性无关、向量组的秩、向量组的求秩条件、向量组的极大无关组等七、傅里叶级数与傅里叶变换1. 傅里叶级数傅里叶级数的定义、傅里叶级数的性质、复系数傅里叶级数等2. 傅里叶变换傅里叶变换的定义、傅里叶变换的性质、拉普拉斯变换等3. 傅里叶级数与傅里叶变换的应用信号处理、图像处理、波动方程的解法等以上是大一高数的知识点总结电子档,希望对你有所帮助!。
高等数学(本科少学时类型)第一章函数与极限第一节函数O函数基础(高中函数部分相关知识)(★★★)O邻域(去心邻域)(★)第二节数列的极限O数列极限的证明(★)【题型示例】已知数列X n,证明limXX n a【证明示例】N语言1•由X n a化简得n g ,N g2.即对0,N g 。
当彳n N时,始终有不等式X n a 成立,••• lim x aX第三节函数的极限O X X0时函数极限的证明(★)【题型示例】已知函数 f x,证明lim fX X0x A【证明示例】语言1•由f x A化简得0XXg ,g2.即对0,g当0XX。
时, 始终有不等式 f x A成立,• lim f x Ax XO X时函数极限的证明(★)【题型示例】已知函数f x,证明lim f X AX【证明示例】X语言1•由 f X A 化简得x gX g2.即对0,X g当X X时,始终有不等式 f x A 成立,• lim f x AX第四节无穷小与无穷大O无穷小与无穷大的本质(★)函数f x无穷小lim f x 0函数f x无穷大lim f xO无穷小与无穷大的相关定理与推论(★★)(定理三)假设f x为有界函数,g x为无穷小,则lim f x g x 0(定理四)在自变量的某个变化过程中,若 f x 为无穷大,则f 1 X为无穷小;反之,若f X为无穷小,且f x 0,则f 1x为无穷大【题型示例】计算:lim f x g x (或x )X X01 .••• f x < M •函数f x在x x0的任一去心邻域U x0,内是有界的;(••• f x < M,•函数f x在x D上有界;)2. lim g x0即函数g X是x X0时的无穷小;X X0(lim g x0即函数g X是X 时的无穷小;)3 .由定理可知lim f x g x 0X X0(lim f x g X0)X第五节极限运算法则O极限的四则运算法则(★★)(定理一)加减法则(定理二)乘除法则关于多项式p x、q x商式的极限运算m m 1p X 设:a°x a1x a mq x b°x n n1b nn m则有lim卫X a0n mX q X t b0n mf X0(特别地,当彳lim(不定型)时,通常分子X X0g x0分母约去公因式即约去可去间断点便可求解出极限值,也可以用罗比达法则求解)【题型示例】求值lim-x 3x 3x29【求解示例】解:1因为x 3,从而可得x 3,所以原式x 3X3 1 1 lim 2lim -limx 3x 9x 3x 3x 3x 3x 3 6x 3其中x 3为函数f X —的可去间断点x29倘若运用罗比达法则求解(详见第三章第二节):x3 °解:lim 2limx 3 X29 L X 3x 3x2 9limx3 2xO 连续函数穿越定理(复合函数的极限求解)(★★) (定理五)若函数 f x 是定义域上的连续函数, 那么,lim x x o f lim x x X 。
大一高数知识点总结完整版导言:大学高级数学(简称高数)是一门对很多理工科学生来说非常重要的课程。
在大一期间,我们学习了高数的基础知识,这些知识对我们后续学习进一步的数学课程以及其他学科都有很大帮助。
下面将对大一高数的几个重要知识点进行总结,以便于我们复习巩固。
1. 一元函数的极限和连续性1.1 函数的极限:介绍了函数极限的概念、定义和性质。
包括左极限和右极限,无穷大极限等。
1.2 连续性:介绍了函数连续性的概念,以及一些函数连续性的判定方法,如闭区间上的连续函数必定有界。
1.3 中值定理:包括罗尔定理、拉格朗日中值定理和柯西中值定理等,讲述了函数导数和函数性质之间的关系。
2.1 导数的定义:介绍了导数的定义和性质,导数的图形意义以及几何意义。
2.2 导数的四则运算法则:讲述了求和、差、积和商的函数的导数的法则。
2.3 高阶导数:介绍了导数的概念,如一阶导数、二阶导数等。
2.4 微分:讲述了微分的定义、性质和微分形式。
3. 微分中值定理和泰勒级数3.1 罗尔中值定理和拉格朗日中值定理:介绍了导数中值定理的概念和应用。
3.2 泰勒级数:讲述了泰勒级数的概念、性质以及泰勒展开公式的推导。
4.1 不定积分的定义和常用公式:介绍了不定积分的定义和性质,以及一些基本的不定积分公式。
4.2 定积分和变量替换法:讲述了定积分的概念和性质,以及变量替换法在定积分中的应用。
5. 定积分的应用5.1 平均值、面积和弧长:介绍了定积分在求函数平均值、曲线下面积和弧长等方面的应用。
5.2 微分方程的应用:讲述了定积分在求解微分方程的问题中的应用。
6. 多元函数的极限与连续性6.1 多元函数的极限:讲述了多元函数的极限的定义和判定方法。
6.2 多元函数的偏导数:介绍了多元函数的偏导数的定义和计算方法。
6.3 多元函数的连续性:讲述了多元函数的连续性的概念和性质。
7. 重积分7.1 二重积分:介绍了二重积分的定义和性质,以及二重积分的计算方法。
大学高等数学知识点整理公式,用法合集极限与连续一. 数列函数: 1. 类型:(1)数列: *()n a f n =; *1()n n a f a += (2)初等函数:(3)分段函数: *0102()(),()x x f x F x x x f x ≤⎧=⎨>⎩; *0()(),x x f x F x x x a ≠⎧=⎨=⎩;* (4)复合(含f )函数: (),()y f u u x ϕ== (5)隐式(方程): (,)0F x y =(6)参式(数一,二): ()()x x t y y t =⎧⎨=⎩(7)变限积分函数: ()(,)xaF x f x t dt =⎰(8)级数和函数(数一,三): 0(),nn n S x a xx ∞==∈Ω∑2. 特征(几何):(1)单调性与有界性(判别); (()f x 单调000,()(()())x x x f x f x ⇒∀--定号) (2)奇偶性与周期性(应用).3. 反函数与直接函数: 11()()()y f x x f y y f x --=⇔=⇒=二. 极限性质:1. 类型: *lim n n a →∞; *lim ()x f x →∞(含x →±∞); *0lim ()x x f x →(含0x x ±→)2. 无穷小与无穷大(注: 无穷量):3. 未定型:000,,1,,0,0,0∞∞∞-∞⋅∞∞∞4. 性质: *有界性, *保号性, *归并性 三. 常用结论:11n n →, 1(0)1n a a >→, 1()max(,,)nnn na b c a b c ++→, ()00!na a n >→1(0)x x→→∞, 0lim 1xx x +→=, lim 0n x x x e →+∞=, ln lim 0n x x x →+∞=, 0lim ln 0nx x x +→=, 0,xx e x →-∞⎧→⎨+∞→+∞⎩ 四. 必备公式:1. 等价无穷小: 当()0u x →时, sin ()()u x u x ; tan ()()u x u x ; 211cos ()()2u x u x -; ()1()u x eu x -; ln(1())()u x u x +; (1())1()u x u x αα+-;arcsin ()()u x u x ; arctan ()()u x u x2. 泰勒公式:(1)2211()2!xe x x o x =+++; (2)221ln(1)()2x x x o x +=-+;(3)341sin ()3!x x x o x =-+;(4)24511cos 1()2!4!x x x o x =-++;(5)22(1)(1)1()2!x x x o x αααα-+=+++.五. 常规方法: 前提: (1)准确判断0,,1,0M α∞∞∞(其它如:00,0,0,∞-∞⋅∞∞); (2)变量代换(如:1t x=) 1. 抓大弃小()∞∞, 2. 无穷小与有界量乘积 (M α⋅) (注:1sin1,x x≤→∞) 3. 1∞处理(其它如:00,∞)4. 左右极限(包括x →±∞):(1)1(0)x x→; (2)()xe x →∞; 1(0)x e x →; (3)分段函数: x , []x , max ()f x5. 无穷小等价替换(因式中的无穷小)(注: 非零因子)6. 洛必达法则 (1)先”处理”,后法则(00最后方法); (注意对比: 1ln lim 1x x x x →-与0ln lim 1x x x x→-)(2)幂指型处理: ()()ln ()()v x v x u x u x e=(如: 1111111(1)x x x x xee e e-++-=-)(3)含变限积分;(4)不能用与不便用7. 泰勒公式(皮亚诺余项): 处理和式中的无穷小 8. 极限函数: ()lim (,)n f x F x n →∞=(⇒分段函数)六. 非常手段 1. 收敛准则:(1)()lim ()n x a f n f x →+∞=⇒(2)双边夹: *?n n n b a c ≤≤, *,?n n b c a →(3)单边挤: 1()n n a f a += *21?a a ≥ *?n a M ≤ *'()0?f x >2. 导数定义(洛必达?): 00lim'()x ff x x→=3. 积分和: 10112lim [()()()]()n nf f f f x dx n n n n→∞+++=⎰,4. 中值定理: lim[()()]lim '()x x f x a f x a f ξ→+∞→+∞+-=5. 级数和(数一三):(1)1n n a ∞=∑收敛lim 0n n a →∞⇒=, (如2!lim n n n n n →∞) (2)121lim()n n n n a a a a ∞→∞=+++=∑,(3){}n a 与11()nn n aa ∞-=-∑同敛散七. 常见应用:1. 无穷小比较(等价,阶): *(),(0)?n f x kx x →(1)(1)()(0)'(0)(0)0,(0)n n f f f f a -=====⇔()()!!nn na a f x x x x n n α=+ (2)()xxn f t dtkt dt ⎰⎰2. 渐近线(含斜):(1)()lim,lim[()]x x f x a b f x ax x→∞→∞==-()f x ax b α⇒++(2)()f x ax b α=++,(10x→)3. 连续性: (1)间断点判别(个数); (2)分段函数连续性(附:极限函数, '()f x 连续性) 八. [,]a b 上连续函数性质1. 连通性: ([,])[,]f a b m M = (注:01λ∀<<, “平均”值:0()(1)()()f a f b f x λλ+-=)2. 介值定理: (附: 达布定理)(1)零点存在定理: ()()0f a f b <0()0f x ⇒=(根的个数); (2)()0(())'0xaf x f x dx =⇒=⎰.第二讲:导数及应用(一元)(含中值定理)一. 基本概念:1. 差商与导数: '()f x =0()()limx f x x f x x→+-; 0'()f x =000()()lim x x f x f x x x →--(1)0()(0)'(0)limx f x f f x →-= (注:0()lim (x f x A f x→=连续)(0)0,'(0)f f A ⇒==)(2)左右导: ''00(),()f x f x -+;(3)可导与连续; (在0x =处, x 连续不可导; x x 可导) 2. 微分与导数:()()'()()'()f f x x f x f x x o x df f x dx =+-=+⇒=(1)可微⇔可导; (2)比较,f df ∆与"0"的大小比较(图示); 二. 求导准备:1. 基本初等函数求导公式; (注: (())'f x )2. 法则: (1)四则运算; (2)复合法则; (3)反函数1'dx dy y = 三. 各类求导(方法步骤):1. 定义导: (1)'()f a 与'()x a f x =; (2)分段函数左右导; (3)0()()limh f x h f x h h→+--(注: 0()(),x x F x f x x x a ≠⎧=⎨=⎩, 求:0'(),'()f x f x 及'()f x 的连续性) 2. 初等导(公式加法则):(1)[()]u f g x =, 求:0'()u x (图形题); (2)()()xaF x f t dt =⎰, 求:'()F x (注: ((,))',((,))',(())'x b baaaf x t dt f x t dt f t dt ⎰⎰⎰)(3)0102(),()x x f x y x x f x <⎧=⎨≥⎩,求''00(),()f x f x -+及0'()f x (待定系数)3. 隐式((,)0f x y =)导: 22,dy d y dx dx (1)存在定理;(2)微分法(一阶微分的形式不变性). (3)对数求导法.4. 参式导(数一,二): ()()x x t y y t =⎧⎨=⎩, 求:22,dy d ydx dx 5. 高阶导()()n f x 公式:()()ax n n axe a e =; ()11!()()n n n b n a bx a bx +=--; ()(sin )sin()2n n ax a ax n π=+⨯; ()(cos )cos()2n n ax a ax n π=+⨯()()1(1)2(2)()'"n n n n n n uv u v C uv C u v --=+++注: ()(0)n f与泰勒展式: 2012()nn f x a a x a x a x =+++++()(0)!n n f a n ⇒=四. 各类应用:1. 斜率与切线(法线); (区别: ()y f x =上点0M 和过点0M 的切线)2. 物理: (相对)变化率-速度;3. 曲率(数一二):ρ=曲率半径, 曲率中心, 曲率圆)4. 边际与弹性(数三): (附: 需求, 收益, 成本, 利润) 五. 单调性与极值(必求导) 1. 判别(驻点0'()0f x =): (1) '()0()f x f x ≥⇒; '()0()f x f x ≤⇒;(2)分段函数的单调性(3)'()0f x >⇒零点唯一; "()0f x >⇒驻点唯一(必为极值,最值). 2. 极值点:(1)表格('()f x 变号); (由0002'()'()''()lim0,lim 0,lim 00x x x x x x f x f x f x x x x x→→→≠≠≠⇒=的特点) (2)二阶导(0'()0f x =)注(1)f 与',"f f 的匹配('f 图形中包含的信息);(2)实例: 由'()()()()f x x f x g x λ+=确定点“0x x =”的特点. (3)闭域上最值(应用例: 与定积分几何应用相结合, 求最优) 3. 不等式证明(()0f x ≥)(1)区别: *单变量与双变量? *[,]x a b ∈与[,),(,)x a x ∈+∞∈-∞+∞? (2)类型: *'0,()0f f a ≥≥; *'0,()0f f b ≤≥*"0,(),()0f f a f b ≤≥; *00"()0,'()0,()0f x f x f x ≥=≥ (3)注意: 单调性⊕端点值⊕极值⊕凹凸性. (如: max ()()f x M f x M ≤⇔=) 4. 函数的零点个数: 单调⊕介值六. 凹凸与拐点(必求导!): 1. "y ⇒表格; (0"()0f x =)2. 应用: (1)泰勒估计; (2)'f 单调; (3)凹凸. 七. 罗尔定理与辅助函数: (注: 最值点必为驻点) 1. 结论: ()()'()()0F b F a F f ξξ=⇒== 2. 辅助函数构造实例: (1)()f ξ⇒()()xaF x f t dt =⎰(2)'()()()'()0()()()f g f g F x f x g x ξξξξ+=⇒= (3)()'()()()'()0()()f x fg f g F x g x ξξξξ-=⇒= (4)'()()()0f f ξλξξ+=⇒()()()x dxF x e f x λ⎰=;3. ()()0()n ff x ξ=⇔有1n +个零点(1)()n f x -⇔有2个零点4. 特例: 证明()()n fa ξ=的常规方法:令()()()n F x f x P x =-有1n +个零点(()n P x 待定)5. 注: 含12,ξξ时,分家!(柯西定理)6. 附(达布定理): ()f x 在[,]a b 可导,['(),'()]c f a f b ∀∈,[,]a b ξ∃∈,使:'()f c ξ= 八. 拉格朗日中值定理1. 结论: ()()'()()f b f a f b a ξ-=-; (()(),'()0a b ϕϕξϕξ<⇒∃∍>)2. 估计:'()f f x ξ=九. 泰勒公式(连接,',"f f f 之间的桥梁) 1. 结论: 2300000011()()'()()"()()"'()()2!3!f x f x f x x x f x x x f x x ξ=+-+-+-; 2. 应用: 在已知()f a 或()f b 值时进行积分估计十. 积分中值定理(附:广义): [注:有定积分(不含变限)条件时使用] 第三讲: 一元积分学一. 基本概念: 1. 原函数()F x :(1)'()()F x f x =; (2)()()f x dx dF x =; (3)()()f x dx F x c =+⎰注(1)()()xaF x f t dt =⎰(连续不一定可导);(2)()()()()xx aax t f t dt f t dt f x -⇒⇒⎰⎰ (()f x 连续)2. 不定积分性质:(1)(())'()f x dx f x =⎰; (())()d f x dx f x dx =⎰(2)'()()f x dx f x c =+⎰; ()()df x f x c =+⎰二. 不定积分常规方法1. 熟悉基本积分公式2. 基本方法: 拆(线性性)1212(()())()()k f x k g x dx k f x dx k g x dx +=+⎰⎰⎰3. 凑微法(基础): 要求巧,简,活(221sin cos x x =+)如: 211(),,ln ,2dx dx d ax b xdx dx d x a x =+==2=(1ln )(ln )x dx d x x =+=4. 变量代换:(1)常用(三角代换,根式代换,倒代换): 1sin ,,,x t t t t x====(2)作用与引伸(化简):x t =5. 分部积分(巧用):(1)含需求导的被积函数(如ln ,arctan ,()xax x f t dt ⎰);(2)“反对幂三指”: ,ln ,n ax nx e dx x xdx ⎰⎰(3)特别:()xf x dx ⎰ (*已知()f x 的原函数为()F x ; *已知'()()f x F x =)6. 特例: (1)11sin cos sin cos a x b x dx a x b x ++⎰; (2)(),()sin kx p x e dx p x axdx ⎰⎰快速法; (3)()()n v x dx u x ⎰ 三. 定积分:1. 概念性质:(1)积分和式(可积的必要条件:有界, 充分条件:连续) (2)几何意义(面积,对称性,周期性,积分中值)*2(0)8a a π>=⎰; *()02baa bx dx +-=⎰ (3)附:()()baf x dx M b a ≤-⎰,()()()bbaaf xg x dx M g x dx ≤⎰⎰)(4)定积分与变限积分, 反常积分的区别联系与侧重2: 变限积分()()xax f t dt Φ=⎰的处理(重点)(1)f 可积⇒Φ连续, f 连续⇒Φ可导 (2)(())'xaf t dt ⎰()f x =; (()())'()x xaax t f t dt f t dt -=⎰⎰;()()()xaf x dt x a f x =-⎰(3)由函数()()xaF x f t dt =⎰参与的求导, 极限, 极值, 积分(方程)问题3. N L -公式:()()()baf x dx F b F a =-⎰(()F x 在[,]a b 上必须连续!)注: (1)分段积分, 对称性(奇偶), 周期性 (2)有理式, 三角式, 根式 (3)含()baf t dt ⎰的方程.4. 变量代换: ()(())'()baf x dx f u t u t dt βα=⎰⎰(1)00()()()aa f x dx f a x dx x a t =-=-⎰⎰,(2)()()()[()()]aaaaaf x dx f x dx x t f x f x dx --=-=-=+-⎰⎰⎰ (如:4411sin dx x ππ-+⎰)(3)2201sin n n n n I xdx I nπ--==⎰,(4)2200(sin )(cos )f x dx f x dx ππ=⎰⎰;20(sin )2(sin )f x dx f x dx ππ=⎰⎰,(5)(sin )(sin )2xf x dx f x dx πππ=⎰⎰,5. 分部积分(1)准备时“凑常数” (2)已知'()f x 或()xaf x =⎰时, 求()baf x dx ⎰6. 附: 三角函数系的正交性: 22200sin cos sin cos 0nxdx nxdx nx mxdx πππ===⎰⎰⎰220sin sin cos cos ()0nx mxdx nx mxdx n m ππ=≠=⎰⎰22220sin cos nxdx nxdx πππ==⎰⎰四. 反常积分: 1. 类型: (1)(),(),()aa f x dx f x dx f x dx +∞+∞-∞-∞⎰⎰⎰(()f x 连续)(2)()baf x dx ⎰: (()f x 在,,()x a x b x c a c b ===<<处为无穷间断)2. 敛散;3. 计算: 积分法⊕N L -公式⊕极限(可换元与分部)4. 特例: (1)11p dx x +∞⎰; (2)101p dx x⎰ 五. 应用: (柱体侧面积除外)1. 面积, (1)[()()];baS f x g x dx =-⎰(2)1()dcS f y dy -=⎰;(3)21()2S r d βαθθ=⎰; (4)侧面积:2(b a S f x π=⎰ 2. 体积: (1)22[()()]bx aV f x g x dx π=-⎰; (2)12[()]2()d by caV f y dy xf x dx ππ-==⎰⎰(3)0x x V =与0y y V =3. 弧长: ds =(1)(),[,]y f x x a b =∈ as =⎰(2)12(),[,]()x x t t t t y y t =⎧∈⎨=⎩ 21t t s =⎰(3)(),[,]r r θθαβ=∈:s βαθ=⎰4. 物理(数一,二)功,引力,水压力,质心,5. 平均值(中值定理): (1)1[,]()baf a b f x dx b a =-⎰;(2)0()[0)limx x f t dt f x→+∞+∞=⎰, (f 以T 为周期:0()Tf t dt fT=⎰)第四讲: 微分方程一. 基本概念1. 常识: 通解, 初值问题与特解(注: 应用题中的隐含条件)2. 变换方程:(1)令()'""x x t y Dy =⇒=(如欧拉方程)(2)令(,)(,)'u u x y y y x u y =⇒=⇒(如伯努利方程) 3. 建立方程(应用题)的能力 二. 一阶方程:1. 形式: (1)'(,)y f x y =; (2)(,)(,)0M x y dx N x y dy +=; (3)()y a b =2. 变量分离型: '()()y f x g y =(1)解法:()()()()dyf x dx G y F x Cg y =⇒=+⎰⎰(2)“偏”微分方程:(,)zf x y x∂=∂; 3. 一阶线性(重点): '()()y p x y q x +=(1)解法(积分因子法): 00()01()[()()]()xx p x dxx x M x e y M x q x dx y M x ⎰=⇒=+⎰ (2)变化: '()()x p y x q y +=;(3)推广: 伯努利(数一) '()()y p x y q x y α+= 4. 齐次方程: '()y y x=Φ (1)解法: '(),()ydu dxu u xu u x u u x =⇒+=Φ=Φ-⎰⎰(2)特例:111222a xb yc dy dx a x b y c ++=++ 5. 全微分方程(数一): (,)(,)0M x y dx N x y dy +=且N Mx y∂∂=∂∂ dU Mdx Ndy U C =+⇒=6. 一阶差分方程(数三): 1*()()x x x x x n xx y ca y ay b p x y x Q x b+=⎧-=⇒⎨=⎩ 三. 二阶降阶方程1. "()y f x =: 12()y F x c x c =++2. "(,')y f x y =: 令'()"(,)dpy p x y f x p dx=⇒== 3. "(,')y f y y =: 令'()"(,)dpy p y y pf y p dy=⇒== 四. 高阶线性方程: ()"()'()()a x y b x y c x y f x ++= 1. 通解结构:(1)齐次解: 01122()()()y x c y x c y x =+(2)非齐次特解: 1122()()()*()y x c y x c y x y x =++ 2. 常系数方程: "'()ay by cy f x ++= (1)特征方程与特征根: 20a b c λλ++=(2)非齐次特解形式确定: 待定系数; (附: ()axf x ke =的算子法) (3)由已知解反求方程.3. 欧拉方程(数一): 2"'()ax y bxy cy f x ++=, 令2"(1),'tx e x y D D y xy Dy =⇒=-= 五. 应用(注意初始条件):1. 几何应用(斜率, 弧长, 曲率, 面积, 体积); 注: 切线和法线的截距2. 积分等式变方程(含变限积分); 可设()(),()0xaf x dx F x F a ==⎰3. 导数定义立方程: 含双变量条件()f x y +=的方程4. 变化率(速度)5. 22dv d x F ma dt dt === 6. 路径无关得方程(数一): Q Px y∂∂=∂∂ 7. 级数与方程:(1)幂级数求和; (2)方程的幂级数解法:201201,(0),'(0)y a a x a x a y a y =+++==8. 弹性问题(数三)第五讲: 多元微分与二重积分一. 二元微分学概念1. 极限, 连续, 单变量连续, 偏导, 全微分, 偏导连续(必要条件与充分条件), (1)000000(,),(,),(,)x y f f x x y y f f x x y f f x y y ∆=++∆=+∆=+ (2)lim ,lim,lim y x x y f ff f f x y∆∆∆==∆∆ (3)22,lim()()x y f df f x f ydf x y ∆-++ (判别可微性)注: (0,0)点处的偏导数与全微分的极限定义: 00(,0)(0,0)(0,)(0,0)(0,0)lim,(0,0)lim x y x y f x f f y f f f x y→→--==2. 特例:(1)22(0,0)(,)0,(0,0)xyx yf x y ⎧≠⎪+=⎨⎪=⎩: (0,0)点处可导不连续;(2)(0,0)(,)0,(0,0)f x y ≠==⎩: (0,0)点处连续可导不可微;二. 偏导数与全微分的计算:1. 显函数一,二阶偏导: (,)z f x y = 注: (1)yx 型; (2)00(,)xx y z ; (3)含变限积分2. 复合函数的一,二阶偏导(重点): [(,),(,)]z f u x y v x y =熟练掌握记号''"""12111222,,,,f f f f f 的准确使用3. 隐函数(由方程或方程组确定): (1)形式: *(,,)0F x y z =; *(,,)0(,,)0F x y zG x y z =⎧⎨=⎩ (存在定理)(2)微分法(熟练掌握一阶微分的形式不变性): 0x y z F dx F dy F dz ++= (要求: 二阶导) (3)注: 00(,)x y 与0z 的及时代入 (4)会变换方程. 三. 二元极值(定义?);1. 二元极值(显式或隐式): (1)必要条件(驻点); (2)充分条件(判别)2. 条件极值(拉格朗日乘数法) (注: 应用)(1)目标函数与约束条件: (,)(,)0z f x y x y ϕ=⊕=, (或: 多条件) (2)求解步骤: (,,)(,)(,)L x y f x y x y λλϕ=+, 求驻点即可. 3. 有界闭域上最值(重点).(1)(,){(,)(,)0}z f x y M D x y x y ϕ=⊕∈=≤ (2)实例: 距离问题四. 二重积分计算:1. 概念与性质(“积”前工作): (1)Dd σ⎰⎰,(2)对称性(熟练掌握): *D 域轴对称; *f 奇偶对称; *字母轮换对称; *重心坐标; (3)“分块”积分: *12D D D =; *(,)f x y 分片定义; *(,)f x y 奇偶2. 计算(化二次积分):(1)直角坐标与极坐标选择(转换): 以“D ”为主; (2)交换积分次序(熟练掌握). 3. 极坐标使用(转换): 22()f x y +附: 222:()()D x a y b R -+-≤; 2222:1x y D a b+≤;双纽线222222()()x y a x y +=- :1D x y +≤ 4. 特例:(1)单变量: ()f x 或()f y (2)利用重心求积分: 要求: 题型12()Dk x k y dxdy +⎰⎰, 且已知D 的面积DS与重心(,)x y5. 无界域上的反常二重积分(数三) 五: 一类积分的应用(():;;;;f M d D L σΩ⇒ΩΩΓ∑⎰):1. “尺寸”: (1)D Dd Sσ⇔⎰⎰;(2)曲面面积(除柱体侧面);2. 质量, 重心(形心), 转动惯量;3. 为三重积分, 格林公式, 曲面投影作准备.第六讲: 无穷级数(数一,三)一. 级数概念1. 定义: (1){}n a , (2)12n n S a a a =+++; (3)lim n n S →∞(如1(1)!n nn ∞=+∑)注: (1)lim n n a →∞; (2)n q ∑(或1n a∑); (3)“伸缩”级数:1()n n a a +-∑收敛{}n a ⇔收敛. 2. 性质: (1)收敛的必要条件: lim 0n n a →∞=;(2)加括号后发散, 则原级数必发散(交错级数的讨论); (3)221,0n n n n s s a s s s s +→→⇒→⇒→; 二. 正项级数1. 正项级数: (1)定义: 0n a ≥; (2)特征: nS ; (3)收敛n S M ⇔≤(有界)2. 标准级数: (1)1p n∑, (2)ln k n n α∑, (3)1ln k n n ∑3. 审敛方法: (注:222ab a b ≤+,ln ln ba ab =)(1)比较法(原理):np ka n(估计), 如10()n f x dx ⎰; ()()P n Q n ∑(2)比值与根值: *1limn n nu u +→∞*n (应用: 幂级数收敛半径计算)三. 交错级数(含一般项):1(1)n n a +-∑(0n a >)1. “审”前考察: (1)0?n a > (2)0?n a →; (3)绝对(条件)收敛?注: 若1lim1n n na a ρ+→∞=>,则n u ∑发散2. 标准级数: (1)11(1)n n +-∑; (2)11(1)n p n +-∑; (3)11(1)ln n p n+-∑ 3. 莱布尼兹审敛法(收敛?) (1)前提:na∑发散; (2)条件: ,0nn a a →; (3)结论:1(1)n n a +-∑条件收敛.4. 补充方法:(1)加括号后发散, 则原级数必发散; (2)221,0n n n n s s a s s s s +→→⇒→⇒→. 5. 注意事项: 对比 na∑;(1)n na-∑;na∑;2na∑之间的敛散关系四. 幂级数:1. 常见形式: (1)nna x∑, (2)()nna x x -∑, (3)20()nna x x -∑2. 阿贝尔定理:(1)结论: *x x =敛*0R x x ⇒≥-; *x x =散*0R x x ⇒≤- (2)注: 当*x x =条件收敛时*R x x ⇒=- 3. 收敛半径,区间,收敛域(求和前的准备) 注(1),n nn n a na x x n∑∑与n n a x ∑同收敛半径 (2)nna x∑与20()nna x x -∑之间的转换4. 幂级数展开法:(1)前提: 熟记公式(双向,标明敛域) 23111,2!3!xe x x x R =++++Ω= 24111()1,22!4!x x e e x x R -+=+++Ω= 35111(),23!5!x x e e x x x R --=+++Ω= 3511sin ,3!5!x x x x R =-+-Ω= 2411cos 1,2!4!x x x R =-++Ω=;211,(1,1)1x x x x =+++∈--; 211,(1,1)1x x x x=-+-∈-+ 2311ln(1),(1,1]23x x x x x +=-+-∈-2311ln(1),[1,1)23x x x x x -=----∈-3511arctan ,[1,1]35x x x x x =-+-∈-(2)分解: ()()()f x g x h x =+(注:中心移动) (特别: 021,x x ax bx c=++) (3)考察导函数: ()'()g x f x 0()()(0)xf xg x dx f ⇒=+⎰(4)考察原函数: 0()()xg x f x dx ⎰()'()f x g x ⇒=5. 幂级数求和法(注: *先求收敛域, *变量替换): (1)(),S x =+∑∑(2)'()S x =,(注意首项变化)(3)()()'S x =∑,(4)()"()"S x S x ⇒的微分方程 (5)应用:()(1)n nn n aa x S x a S ⇒=⇒=∑∑∑.6. 方程的幂级数解法7. 经济应用(数三):(1)复利: (1)nA p +; (2)现值: (1)nA p -+五. 傅里叶级数(数一): (2T π=)1. 傅氏级数(三角级数): 01()cos sin 2n n n a S x a nx b nx ∞==++∑ 2. Dirichlet 充分条件(收敛定理): (1)由()()f x S x ⇒(和函数) (2)1()[()()]2S x f x f x =-++ 3. 系数公式: 01()cos 1(),,1,2,3,1()sin n n a f x nxdx a f x dx n b f x nxdx πππππππππ---⎧=⎪⎪==⎨⎪=⎪⎩⎰⎰⎰4. 题型: (注: ()(),?f x S x x =∈) (1)2T π=且(),(,]f x x ππ=∈-(分段表示)(2)(,]x ππ∈-或[0,2]x π∈ (3)[0,]x π∈正弦或余弦 *(4)[0,]x π∈(T π=) *5. 2T l =6. 附产品: ()f x ⇒01()cos sin 2n n n a S x a nx b nx ∞==++∑ 00001()cos sin 2n n n a S x a nx b nx ∞=⇒=++∑001[()()]2f x f x =-++第七讲: 向量,偏导应用与方向导(数一)一. 向量基本运算1. 12k a k b +; (平行b a λ⇔=)2. a ; (单位向量(方向余弦) 01(cos ,cos ,cos )a a aαβγ=)3. a b ⋅; (投影:()a a b b a⋅=; 垂直:0a b a b ⊥⇔⋅=; 夹角:(,)a b a b a b⋅=)4. a b ⨯; (法向:,n a b a b =⨯⊥; 面积:S a b =⨯) 二. 平面与直线1.平面∏(1)特征(基本量): 0000(,,)(,,)M x y z n A B C ⊕=(2)方程(点法式): 000:()()()00A x x B y y C z z Ax By Cz D π-+-+-=⇒+++= (3)其它: *截距式1x y za b c++=; *三点式2.直线L(1)特征(基本量): 0000(,,)(,,)M x y z s m n p ⊕= (2)方程(点向式): 000:x x y y z z L m n p---== (3)一般方程(交面式): 111122220A xB yC zD A x B y C z D +++=⎧⎨+++=⎩(4)其它: *二点式; *参数式;(附: 线段AB 的参数表示:121121121()(),[0,1]()x a a a t y b b b t t z c c c t=+-⎧⎪=+-∈⎨⎪=+-⎩)3. 实用方法:(1)平面束方程: 11112222:()0A x B y C z D A x B y C z D πλ+++++++= (2)距离公式: 如点000(,)M x y到平面的距离d =(3)对称问题;(4)投影问题.三. 曲面与空间曲线(准备) 1. 曲面(1)形式∑: (,,)0F x y z = 或(,)z f x y =; (注: 柱面(,)0f x y =) (2)法向(,,)(cos ,cos ,cos )x y z n F F F αβγ=⇒ (或(,1)x y n z z =--)2. 曲线(1)形式():()()x x t y y t z z t =⎧⎪Γ=⎨⎪=⎩, 或(,,)0(,,)0F x y z G x y z =⎧⎨=⎩;(2)切向: {'(),'(),'()}s x t y t z t = (或12s n n =⨯)3. 应用(1)交线, 投影柱面与投影曲线;(2)旋转面计算: 参式曲线绕坐标轴旋转;(3)锥面计算.四. 常用二次曲面1. 圆柱面: 222x y R += 2. 球面: 2222x y z R ++=变形: 2222x y R z +=-,z =,2222x y z az ++=, 2222000()()()x x y y z z R -+-+-=3. 锥面: z =变形: 222x y z +=, z a = 4. 抛物面: 22z x y =+,变形: 22x y z +=, 22()z a x y =-+ 5. 双曲面: 2221x y z +=± 6. 马鞍面: 22z x y =-, 或z xy =五. 偏导几何应用 1. 曲面(1)法向: (,,)0(,,)x y z F x y z n F F F =⇒=, 注: (,)(,1)x y z f x y n f f =⇒=- (2)切平面与法线:2. 曲线(1)切向: (),(),()(',',')x x t y y t z z t s x y z ===⇒= (2)切线与法平面3. 综合: :Γ00F G =⎧⎨=⎩, 12s n n =⨯六. 方向导与梯度(重点) 1. 方向导(l 方向斜率):(1)定义(条件): (,,)(cos ,cos ,cos )l m n p αβγ=⇒ (2)计算(充分条件:可微):cos cos cos x y z uu u u lαβγ∂=++∂ 附: 0(,),{cos ,sin }z f x y l θθ==cos sin x y zf f lθθ∂⇒=+∂ (3)附: 2222cos 2sin cos sin xx xy yy f f f f lθθθθ∂=++∂2. 梯度(取得最大斜率值的方向) G :(1)计算:()(,)(,)x y a z f x y G gradz f f =⇒==; ()(,,)(,,)x y z b u f x y z G gradu u u u =⇒== (2)结论 ()a ul∂∂0G l =⋅; ()b 取l G =为最大变化率方向; ()c 0()G M 为最大方向导数值.第八讲: 三重积分与线面积分(数一)一. 三重积分(fdV Ω⎰⎰⎰)1. Ω域的特征(不涉及复杂空间域):(1)对称性(重点): 含: 关于坐标面; 关于变量; 关于重心 (2)投影法: 22212{(,)}(,)(,)xy D x y x y R z x y z z x y =+≤⊕≤≤ (3)截面法: 222(){(,)()}D z x y x y R z a z b =+≤⊕≤≤ (4)其它: 长方体, 四面体, 椭球 2. f 的特征:(1)单变量()f z , (2)22()f x y +, (3)222()f x y z ++, (4)f ax by cz d =+++ 3. 选择最适合方法: (1)“积”前: *dv Ω⎰⎰⎰; *利用对称性(重点)(2)截面法(旋转体): ()baD z I dz fdxdy =⎰⎰⎰(细腰或中空, ()f z , 22()f x y +)(3)投影法(直柱体): 21(,)(,)xyz x y z x y D I dxdy fdz =⎰⎰⎰(4)球坐标(球或锥体): 220sin ()RI d d f d παθϕϕρρ=⋅⋅⋅⎰⎰⎰,(5)重心法(f ax by cz d =+++): ()I ax by cz d V Ω=+++ 4. 应用问题:(1)同第一类积分: 质量, 质心, 转动惯量, 引力 (2)Gauss 公式二. 第一类线积分(Lfds ⎰)1. “积”前准备:(1)Lds L =⎰; (2)对称性; (3)代入“L ”表达式2. 计算公式:()[,]((),(()b aLx x t t a b fds f x t y t y y t =⎧∈⇒=⎨=⎩⎰⎰3. 补充说明: (1)重心法:()()Lax by c ds ax by c L ++=++⎰;(2)与第二类互换: LLA ds A dr τ⋅=⋅⎰⎰4. 应用范围(1)第一类积分 (2)柱体侧面积 (),Lz x y ds ⎰三. 第一类面积分(fdS ∑⎰⎰)1. “积”前工作(重点): (1)dS ∑=∑⎰⎰; (代入:(,,)0F x y z ∑=)(2)对称性(如: 字母轮换, 重心) (3)分片 2. 计算公式:(1)(,),(,)(,,(,xyxy D z z x y x y D I f x y z x y =∈⇒=⎰⎰(2)与第二类互换:A ndS A d S ∑∑⋅=⋅⎰⎰⎰⎰四: 第二类曲线积分(1):(,)(,)LP x y dx Q x y dy +⎰ (其中L 有向)1. 直接计算: ()()x x t y y t =⎧⎨=⎩,2112:['()'()]t t t t t I Px t Qy t dt →⇒=+⎰常见(1)水平线与垂直线; (2)221x y += 2. Green 公式: (1)()LDQ PPdx Qdy dxdy x y∂∂+=-∂∂⎰⎰⎰; (2)()L A B →⎰: *P Q y y ∂∂=⇒∂∂换路径; *P Q y y∂∂≠⇒∂∂围路径(3)L⎰(x y Q P =但D 内有奇点)*LL =⎰⎰(变形)3. 推广(路径无关性):P Q y y∂∂=∂∂ (1)Pdx Qdy du +=(微分方程)()BA L AB u →⇔=⎰(道路变形原理)(2)(,)(,)LP x y dx Q x y dy +⎰与路径无关(f 待定): 微分方程.4. 应用功(环流量):I F dr Γ=⋅⎰(Γ有向τ,(,,)F P Q R =,(,,)d r ds dx dy dz τ==)五. 第二类曲面积分: 1. 定义: Pdydz Qdzdx Rdxdy ∑++⎰⎰, 或(,,)R x y z dxdy ∑⎰⎰ (其中∑含侧)2. 计算:(1)定向投影(单项):(,,)R x y z dxdy ∑⎰⎰, 其中:(,)z z x y ∑=(特别:水平面);注: 垂直侧面, 双层分隔(2)合一投影(多项,单层): (,,1)x y n z z =-- [()()]xyPdydz Qdzdx Rdxdy P z Q z R dxdy ∑∑⇒++=-+-+⎰⎰⎰⎰(3)化第一类(∑不投影): (cos ,cos ,cos )n αβγ= (cos cos cos )Pdydz Qdzdx Rdxdy P Q R dS αβγ∑∑⇒++=++⎰⎰⎰⎰3. Gauss 公式及其应用: (1)散度计算: P Q R divA x y z∂∂∂=++∂∂∂ (2)Gauss 公式: ∑封闭外侧, Ω内无奇点Pdydz Qdzdx Rdxdy divAdv ∑Ω++=⎰⎰⎰⎰⎰(3)注: *补充“盖”平面:0∑∑+⎰⎰⎰⎰; *封闭曲面变形∑⎰⎰(含奇点)4. 通量与积分: A d S ∑Φ=⋅⎰⎰ (∑有向n ,(),,A P Q R =,(,,)d S ndS dydz dzdx dxdy ==)六: 第二类曲线积分(2):(,,)(,,)(,,)P x y z dx Q x y z dy R x y z dz Γ++⎰1. 参数式曲线Γ: 直接计算(代入)注(1)当0rot A =时, 可任选路径; (2)功(环流量):I F dr Γ=⋅⎰2. Stokes 公式: (要求: Γ为交面式(有向), 所张曲面∑含侧) (1)旋度计算: (,,)(,,)R A P Q R x y z∂∂∂=∇⨯=⨯∂∂∂ (2)交面式(一般含平面)封闭曲线: 0F G =⎧⇒⎨=⎩同侧法向{,,}x y z n F F F =或{,,}x y z G G G ;(3)Stokes 公式(选择): ()A dr A ndS Γ∑⋅=∇⨯⋅⎰⎰⎰(a )化为Pdydz Qdzdx Rdxdy ∑++⎰⎰; (b )化为(,,)R x y z dxdy ∑⎰⎰; (c )化为fdS ∑⎰⎰高数重点知识总结1、基本初等函数:反函数(y=arctanx),对数函数(y=lnx),幂函数(y=x),指数函数(xa y =),三角函数(y=sinx),常数函数(y=c) 2、分段函数不是初等函数。
《高等数学复习》教程第一讲 函数、连续与极限一、理论要求 1.函数概念与性质 函数的基本性质(单调、有界、奇偶、周期) 几类常见函数(复合、分段、反、隐、初等函数) 2.极限极限存在性与左右极限之间的关系 夹逼定理和单调有界定理会用等价无穷小和罗必达法则求极限 3.连续函数连续(左、右连续)与间断理解并会应用闭区间上连续函数的性质(最值、有界、介值)二、题型与解法A.极限的求法 (1)用定义求(2)代入法(对连续函数,可用因式分解或有理化消除零因子) (3)变量替换法 (4)两个重要极限法(5)用夹逼定理和单调有界定理求 (6)等价无穷小量替换法(7)洛必达法则与Taylor 级数法(8)其他(微积分性质,数列与级数的性质) 1.612arctan lim )21ln(arctan lim3030-=-=+->->-xx x x x x x x (等价小量与洛必达) 2.已知2030)(6lim0)(6sin limx x f x x xf x x x +=+>->-,求 解:20303')(6cos 6lim )(6sin limx xy x f x x x xf x x x ++=+>->- 72)0(''06)0(''32166'''''36cos 216lim6'''26sin 36lim 00=∴=+-=++-=++-=>->-y y xy y x x xy y x x x362722''lim 2'lim )(6lim0020====+>->->-y x y x x f x x x (洛必达) 3.121)12(lim ->-+x xx x x (重要极限)4.已知a 、b 为正常数,xx x x b a 30)2(lim +>-求 解:令]2ln )[ln(3ln ,)2(3-+=+=x x x x x b a xt b a t 2/300)()ln(23)ln ln (3limln lim ab t ab b b a a b a t xx x x x x =∴=++=>->-(变量替换) 5.)1ln(12)(cos lim x x x +>-解:令)ln(cos )1ln(1ln ,)(cos 2)1ln(12x x t x t x +==+ 2/100212tan limln lim ->->-=∴-=-=e t x x t x x (变量替换)6.设)('x f 连续,0)0(',0)0(≠=f f ,求1)()(lim22=⎰⎰>-xx x dtt f xdtt f(洛必达与微积分性质)7.已知⎩⎨⎧=≠=-0,0,)ln(cos )(2x a x x x x f 在x=0连续,求a解:令2/1/)ln(cos lim 2-==>-x x a x (连续性的概念)三、补充习题(作业) 1.3cos 11lim-=---->-xx x e x x (洛必达)2.)1sin 1(lim 0xx ctgx x ->- (洛必达或Taylor ) 3.11lim 22=--->-⎰x xt x edte x (洛必达与微积分性质)第二讲 导数、微分及其应用一、理论要求1.导数与微分 导数与微分的概念、几何意义、物理意义会求导(基本公式、四则、复合、高阶、隐、反、参数方程求导) 会求平面曲线的切线与法线方程2.微分中值定理 理解Roll 、Lagrange 、Cauchy 、Taylor 定理 会用定理证明相关问题3.应用 会用导数求单调性与极最值、凹凸性、渐进线问题,能画简图 会计算曲率(半径)二、题型与解法A.导数微分的计算 基本公式、四则、复合、高阶、隐函数、参数方程求导 1.⎩⎨⎧=+-==52arctan )(2te ty y t x x y y 由决定,求dx dy2.x y x y x x y y sin )ln()(32+=+=由决定,求1|0==x dxdy解:两边微分得x=0时y x y y ==cos ',将x=0代入等式得y=1 3.y x x y y xy+==2)(由决定,则dx dy x )12(ln |0-==B.曲线切法线问题 4.求对数螺线)2/,2/πθρρπθe e (),在(==处切线的直角坐标方程。
大一高数知识点归纳一、极限与连续1. 极限的概念- 数列极限的定义与性质- 函数极限的定义与性质- 无穷小与无穷大的概念- 极限的四则运算法则2. 极限的计算- 极限的代入法- 极限的因式分解法- 洛必达法则- 夹逼定理3. 连续函数- 连续性的定义- 连续函数的性质- 闭区间上连续函数的性质(最大值最小值定理)二、导数与微分1. 导数的概念- 导数的定义- 导数的几何意义与物理意义- 可导与连续的关系2. 常见函数的导数- 基本初等函数的导数- 导数的运算法则- 高阶导数3. 微分- 微分的定义- 微分的运算法则- 隐函数的微分法三、中值定理与导数的应用1. 中值定理- 罗尔定理- 拉格朗日中值定理- 柯西中值定理2. 导数的应用- 函数的单调性- 函数的极值问题- 曲线的凹凸性与拐点- 函数的渐近线四、不定积分1. 不定积分的概念- 原函数与不定积分的定义 - 不定积分的基本性质2. 常见函数的积分方法- 换元积分法- 分部积分法- 有理函数的积分五、定积分1. 定积分的概念- 定积分的定义- 定积分的性质2. 定积分的计算- 微积分基本定理- 定积分的换元法与分部积分法3. 定积分的应用- 平面图形的面积- 曲线的长度- 旋转体的体积六、级数1. 级数的基本概念- 级数的定义与分类- 收敛级数与发散级数2. 级数的收敛性判别- 正项级数的比较判别法- 比值判别法与根值判别法- 交错级数的收敛性判别3. 幂级数- 幂级数的收敛半径与收敛区间 - 泰勒级数与麦克劳林级数七、空间解析几何1. 向量与直线- 向量的运算与性质- 直线的方程与性质2. 平面与曲线- 平面的方程- 空间曲线的方程3. 多元函数的微分学- 偏导数与全微分- 多元函数的链式法则八、重积分1. 二重积分- 二重积分的定义与性质 - 二重积分的计算方法2. 三重积分- 三重积分的定义与性质 - 三重积分的计算方法九、曲线积分与格林公式1. 曲线积分- 曲线积分的定义与性质 - 曲线积分的计算2. 格林公式- 格林公式的表述- 应用格林公式计算曲线积分以上是大一高数的主要知识点归纳,每个部分都包含了关键的概念、定义、性质和计算方法。
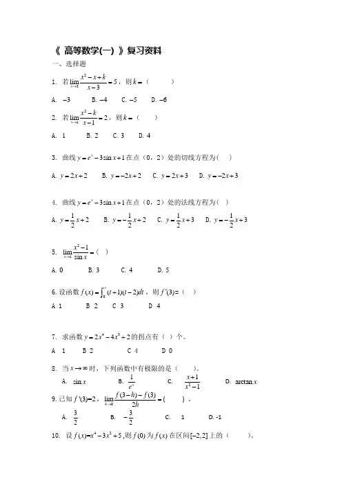
《 高等数学(一) 》复习资料一、选择题1. 若23lim53x x x kx →-+=-,则k =( ) A. 3- B.4- C.5- D.6-2. 若21lim21x x kx →-=-,则k =( ) A. 1 B.2 C.3 D.43. 曲线3sin 1x y e x =-+在点(0,2)处的切线方程为( ) A.22y x =+ B.22y x =-+ C.23y x =+ D.23y x =-+4. 曲线3sin 1x y e x =-+在点(0,2)处的法线方程为( ) A.122y x =+ B.122y x =-+ C.132y x =+ D.132y x =-+5. 211limsin x x x→-=( ) A.0 B.3 C.4 D.56.设函数0()(1)(2)xf x t t dt =+-⎰,则(3)f '=( )A 1B 2C 3D 47. 求函数43242y x x =-+的拐点有( )个。
A 1 B 2 C 4 D 08. 当x →∞时,下列函数中有极限的是( )。
A. sin xB. 1x eC. 211x x +- D. arctan x9.已知'(3)=2f ,0(3)(3)lim2h f h f h→--=( ) 。
A. 32 B. 32- C. 1 D. -110. 设42()=35f x x x -+,则(0)f 为()f x 在区间[2,2]-上的( )。
A. 极小值B. 极大值C. 最小值D. 最大值11. 设函数()f x 在[1,2]上可导,且'()0,(1)0,(2)0,f x f f <><则()f x 在(1,2)内( )A.至少有两个零点B. 有且只有一个零点C. 没有零点D. 零点个数不能确定 12.[()'()]f x xf x dx +=⎰( ).A.()f x C +B. '()f x C +C. ()xf x C +D. 2()f x C +13. 已知22(ln )y f x =,则y '=( C )A.2222(ln )(ln )f x f x x 'B. 24(ln )f x x 'C. 224(ln )(ln )f x f x x' D. 222(ln )()f x f x x '14. ()d f x ⎰=( B)A.'()f x C +B.()f xC.()f x 'D.()f x C +15.2ln xdx x =⎰( D )A.2ln x x C +B.ln xC x+ C.2ln x C + D.()2ln x C + 16. 211limln x x x→-=( ) A.2 B.3 C.4 D.517. 设函数0()(1)(2)xf x t t dt =-+⎰,则(2)f '-=( )A 1B 0C 2-D 2 18. 曲线3y x =的拐点坐标是( )A.(0,0)B.( 1,1)C.(2,2)D.(3,3)19. 已知(ln )y f x =,则y '=( A )A.(ln )f x x ' B.(ln )f x ' C.(ln )f x D.(ln )f x x20. ()d df x =⎰( A)A.()df xB.()f xC.()df x 'D.()f x C +21. ln xdx =⎰( A )A.ln x x x C -+B.ln x x C -+C.ln x x -D.ln x二、求积分(每题8分,共80分)1.求cos ⎰.2. 求dx x⎰. 3. 求arctan xdx ⎰.4. 求⎰5. 求2356x dx x x +-+⎰.6. 求定积分8⎰7. 计算20cos x xdx π⎰.8. 求2128dx x x +-⎰.9. 求11. 求2212x xe dx -⎰12. 求3x⎰13. 求21ln exdx x⎰14.求⎰三、解答题1. 若(1lim 36x x →∞=,求a2.讨论函数321()2333f x x x x =-+-的单调性并求其单调区间3. 求函数22()2x x f x x --=-的间断点并确定其类型4. 设2sin ,.xy xy x e y '+=求5.求y =6. 求由方程cos sin x a ty b t =⎧⎨=⎩ 确定的导数x y '.7. 函数1,0()1,0tan ,0xe xf x x x x ⎧<⎪⎪==⎨⎪>⎪⎩在0x =处是否连续?8. 函数1,0()1,0tan ,0xe xf x x x x ⎧<⎪⎪==⎨⎪>⎪⎩在0x =处是否可导?9. 求抛物线2y x =与直线y x =所围成图形D 的面积A .10. 计算由抛物线22y x =与直线4y x =-围成的图形D 的面积A .11. 设y 是由方程sin yy y xe =+确定的函数,求y '12.求证: ln 1,1x x x <->13. 设y 是由方程1yy xe =+确定的函数,求y '14. 讨论函数32()29123f x x x x =-+-的单调性并求其单调区间15.求证: 21,x e x >-16. 求函数3(1)()x x f x x x -=-的间断点并确定其类型五、解方程1. 求方程0)(22=-+dy xy x dx y 的通解.2.求方程20yy y '''+=的通解.3. 求方程22y y y x '''-+=的一个特解. 4. 求方程3595xy y y xe -'''-+=的通解.高数一复习资料参考答案一、选择题 1-5: DABAA 6-10:DBCDD 11-15: BCCBD 16-21:ABAAAA二、求积分1.求cos ⎰.解:322cos (sin )sin 3x x C C ==+=⎰2. 求.解:13(43ln )(ln )x d x x =+⎰⎰131(43ln )(43ln )3x d x =+⋅+⎰ 431(43ln )4x C =++. 3. 求arctan xdx ⎰.解:设arctan u x =,dv dx =,即v x =,则arctan arctan (arctan )xdx x x xd x =-⎰⎰2arctan 1xx x dx x =-+⎰ 21arctan ln(1)2x x x C =-++.4. 求⎰解:32222e 33e 3e 3e 23e 6e t t t t t t x t t dt t dt t tdt t t dt ===-⋅=-⎰⎰⎰⎰⎰223e 6e 6e 3e 6e 6e t t t t t t t t dt t t C =-+=-++⎰2)C=+.5. 求2356xdxx x+-+⎰.解:由上述可知23565623xx x x x+-=+-+--,所以2356()5623xdx dxx x x x+-=+-+--⎰⎰115623dx dxx x=-+--⎰⎰5ln26ln3x x C=--+-+.6.求定积分8⎰解t=,即3x t=,则23dx t dt=,且当0x=时,0t=;当8x=时,2t=,于是28222000313ln(1)3ln312t dtt t tt⎡⎤==-++=⎢⎥+⎣⎦⎰⎰.7. 计算2cosx xdxπ⎰.解:令2u x=,cosdv xdx=,则2du xdx=,sinv x=,于是2220000cos sin(sin)2sin2sinx xdx x d x x x x xdx x xdxπππππ==-=-⎰⎰⎰⎰.再用分部积分公式,得2000cos2cos2(cos)cosx xdx xd x x x xdxππππ⎡⎤==-⎢⎥⎣⎦⎰⎰⎰002(cos)sin2x x xπππ⎡⎤=-=-⎣⎦.8. 求2128dxx x+-⎰.解:221113(1)(1)ln28(1)963(1)xdx d x Cx x x x-+=+=++-+-++⎰⎰12ln64xCx-=++.9.求解:令u=32x u=-,23dx u du=,从而有22311311u udu duu u-+==++⎰⎰213(1)3(ln1)12uu du u u Cu=-+=-++++⎰11. 求2212xxe dx-⎰解:2222222411112x x xxe dx e dx e e e-----===-⎰⎰12.求3x⎰解:333223(3)(3)3x x x C=--=--+⎰13. 求21lne x dxx⎰解:22111ln111ln(ln)ln ln333ee exdx xd x x ex====⎰⎰14.求⎰解:3322222121(3)(3)(3)233x x C x C=--=-⋅-+=--+⎰三、解答题1.若(1lim36xx→∞=,求a解:因为223x=,所以9a=否则极限不存在。
大一高数知识点笔记大全一、函数与极限1. 函数的定义与性质- 函数的概念- 定义域、值域与对应关系- 奇偶性与周期性- 单调性与零点- 复合函数与反函数2. 极限的概念与性质- 函数极限的定义- 左、右极限与无穷大极限- 极限的四则运算法则- 极限存在准则- 无穷小与无穷大二、导数与微分1. 导数的概念与计算- 导数的定义与几何意义 - 基本函数的导数- 导数的四则运算法则- 高阶导数与Leibniz公式2. 微分的概念与应用- 微分的定义与计算- 高阶微分的概念- 微分中值定理- 凹凸性与拐点三、不定积分与定积分1. 不定积分的概念与计算 - 不定积分的定义- 分部积分法与换元积分法 - 部分分式分解法2. 定积分的概念与计算- 定积分的定义与几何意义 - 定积分的基本性质- 牛顿-莱布尼茨公式- 反常积分四、微分方程1. 微分方程的基本概念- 微分方程的定义与分类 - 解的存在唯一性- 利用初始条件求解2. 常微分方程的解法- 齐次线性方程- Bernoulli方程- 一阶线性齐次方程- 二阶线性齐次方程五、多元函数与偏导数1. 多元函数的概念与性质 - 多元函数的定义与表示 - 偏导数的概念与计算 - 隐函数与参数曲线2. 高阶偏导数与全微分- 高阶偏导数的定义- 混合偏导数与次序互换 - 全微分的概念与计算- 隐函数的全微分公式六、重积分与曲线积分1. 二重积分的概念与计算- 二重积分的定义与性质- 坐标变换与极坐标系- 二重积分的计算方法- 物理应用2. 三重积分的概念与计算- 三重积分的定义与性质- 坐标变换与柱坐标系、球坐标系 - 三重积分的计算方法- 物理应用七、向量代数与空间解析几何1. 空间向量与向量运算- 空间向量的概念与表示- 向量的线性运算- 向量的数量积与夹角- 平面与直线的方程2. 空间解析几何的基本概念- 平面与直线的位置关系- 点、直线与面的距离- 球的方程与性质- 圆柱曲线与曲面以上是大一高数的知识点笔记大全,通过仔细学习和实践掌握这些知识点,将对你的数学学习和理解有很大的帮助。
大一高数知识点电子版在大学学习中,高等数学是一门重要的基础课程,涵盖了许多必要的数学知识点。
本文将为大一学生提供一份大一高数知识点的电子版总结,以便帮助他们更好地掌握和应用这些知识。
1. 函数与极限1.1 函数的定义与性质- 函数的定义及其与自变量和因变量的关系- 函数的分类:一次函数、二次函数、指数函数等- 函数的奇偶性、周期性和单调性等性质1.2 极限的概念与计算- 极限的定义及其与函数趋势的关系- 极限的性质与计算方法:夹逼定理、洛必达法则等- 无穷大与无穷小的概念及其运算2. 导数与微分2.1 导数的计算和性质- 导数的定义及其与函数斜率的关系- 基本导数公式和求导法则- 高阶导数、隐函数导数及参数方程导数 2.2 微分的概念及其应用- 微分的定义及其在近似计算中的应用 - 高阶微分与泰勒展开- 导数与函数的变化率和单调性的关系3. 不定积分与定积分3.1 不定积分的计算和性质- 不定积分的定义及其与原函数的关系 - 基本积分表和积分法则- 分部积分、换元积分等特殊积分方法 3.2 定积分的概念与计算- 定积分的定义及其与曲线下面积的关系 - 定积分的性质和基本计算方法- 反常积分与变限积分的应用4. 微分方程与应用4.1 微分方程的基本概念和分类- 微分方程的定义及其与导数的关系- 高阶微分方程与常系数线性微分方程- 分离变量法、齐次方程与一阶线性常微分方程4.2 微分方程的解法及其应用- 一阶线性非齐次微分方程的解法- 可降阶的高阶线性微分方程解法- 微分方程在物理、经济等领域的应用通过学习以上知识点,大一学生将能够建立对高等数学的坚实基础,并能够运用这些知识来解决实际问题。
希望这份大一高数知识点的电子版能够对他们的学习有所帮助,并提高他们的学习效果。
注意事项:本文提供的知识点仅为大一高数课程的核心内容,学生在学习过程中还需仔细阅读教材并完成相关习题,以全面掌握和理解这些知识点。
本电子版仅供参考,不可作为替代课堂教学的主要依据。
完整word版大一高数知识点总结大一高数知识点总结一、函数1、定义:函数是一种特殊的关系,满足:a) 在每一个x(其解域可以是实数集、整数集等)上产生唯一的实数yb) 从解域D到值域R内的一次对应c) 该对应关系满足恒等式f(x) = y2、函数的类别a) 一般函数:y=f(x)b) 二次函数:y=ax²+bx+cc) 指数函数:y=a·xbd) 对数函数:y=logax3、函数的表示形式a) 对图像:比如抛物线、曲线等b) 原函数形式:比如一般函数的三角函数形式、二次函数的二次根式形式等4、函数的性质a) 极限:通过极限可以判断函数的单调性、狭义局部有界等性质;b) 函数的增幅c) 奇偶性:函数在x=a处关于y轴对称,那么就称它具有f(-x)=-f(x)的奇偶性;d) 对称性:即y=f(-x),此时函数具有反函数性质;e) 周期性:函数当x=0,2x,4x...时,f(x)重复出现,称为函数具有周期性;f) 增函数:若x从a变大去到b,其函数值在[a,b]上一直是递增的,此时此函数f (x)就是增函数。
二、极限1、极限的概念极限是数学分析的基础,它描述了一个有限序列或函数在某一无限大的极限点的行为。
2、极限的定义当一个有限序列{a_n}的每一项都逼近某一定值L时,就说该序列以L为极限,记作:lim_(n->∞)a_n=L3、极限的性质a) 有界性:如果极限存在,即使发散也有界。
b) 乘法性:lim_(n->∞)a_nb_n=(lim_(n->∞)a_n)(lim_(n->∞)b_n)c) 除法性:lim_(n->∞) (a_n/b_n) = (lim_(n->∞)a_n)/(lim_(n->∞)b_n)d) 求和性:lim_(n->∞) (a_n+b_n) = lim_(n->∞)a_n+lim_(n->∞)b_ne) 展开性:若函数f(x)在x=a处可导,则:lim_(x->a)f(x)=f(a)三、微积分1、定义微积分是一种研究函数及其变化规律的数学方法,其中重要概念为微分(Differentiation),即求取函数在某点处的切线斜率,主要用于求解函数的单调性,及其最大值等问题。
高等数学第一章 函数与极限第一节 函数○函数基础(高中函数部分相关知识)(★★★) ○邻域(去心邻域)(★)(){},|U a x x a δδ=-<(){},|0U a x x a δδ=<-<第二节 数列的极限○数列极限的证明(★)【题型示例】已知数列{}n x ,证明{}lim n x x a →∞= 【证明示例】N -ε语言1.由n x a ε-<化简得()εg n >, ∴()N g ε=⎡⎤⎣⎦2.即对0>∀ε,()N g ε∃=⎡⎤⎣⎦,当N n >时,始终有不等式n x a ε-<成立, ∴{}a x n x =∞→lim第三节 函数的极限○0x x →时函数极限的证明(★) 【题型示例】已知函数()x f ,证明()A x f x x =→0lim【证明示例】δε-语言1.由()f x A ε-<化简得()00x x g ε<-<, ∴()εδg =2.即对0>∀ε,()εδg =∃,当00x x δ<-<时,始终有不等式()f x A ε-<成立, ∴()A x f x x =→0lim○∞→x 时函数极限的证明(★)【题型示例】已知函数()x f ,证明()A x f x =∞→lim【证明示例】X -ε语言1.由()f x A ε-<化简得()x g ε>, ∴()εg X =2.即对0>∀ε,()εg X =∃,当X x >时,始终有不等式()f x A ε-<成立, ∴()A x f x =∞→lim第四节 无穷小与无穷大○无穷小与无穷大的本质(★) 函数()x f 无穷小⇔()0lim =x f 函数()x f 无穷大⇔()∞=x f lim○无穷小与无穷大的相关定理与推论(★★)(定理三)假设()x f 为有界函数,()x g 为无穷小,则()()lim 0f x g x ⋅=⎡⎤⎣⎦(定理四)在自变量的某个变化过程中,若()x f 为无穷大,则()1f x -为无穷小;反之,若()x f 为无穷小,且()0f x ≠,则()x f1-为无穷大【题型示例】计算:()()0lim x x f x g x →⋅⎡⎤⎣⎦(或∞→x ) 1.∵()f x ≤M ∴函数()f x 在0x x =的任一去心邻域()δ,0x U内是有界的;(∵()f x ≤M ,∴函数()f x 在D x ∈上有界;) 2.()0lim 0=→x g x x 即函数()x g 是0x x →时的无穷小; (()0lim =∞→x g x 即函数()x g 是∞→x 时的无穷小;)3.由定理可知()()0lim 0x x f x g x →⋅=⎡⎤⎣⎦(()()lim 0x f x g x →∞⋅=⎡⎤⎣⎦)第五节 极限运算法则○极限的四则运算法则(★★) (定理一)加减法则 (定理二)乘除法则关于多项式()p x 、()x q 商式的极限运算设:()()⎪⎩⎪⎨⎧+⋯++=+⋯++=--nn n mm m b x b x b x q a x a x a x p 110110则有()()⎪⎪⎩⎪⎪⎨⎧∞=∞→0lim 0b a x q x p x m n m n m n >=<()()()()000lim 00x x f x g x f x g x →⎧⎪⎪⎪=∞⎨⎪⎪⎪⎩()()()()()0000000,00g x g x f x g x f x ≠=≠== (特别地,当()()00lim 0x x f x g x →=(不定型)时,通常分子分母约去公因式即约去可去间断点便可求解出极限值,也可以用罗比达法则求解)【题型示例】求值233lim9x x x →--【求解示例】解:因为3→x ,从而可得3≠x ,所以原式()()23333311limlim lim 93336x x x x x x x x x →→→--====-+-+ 其中3x =为函数()239x f x x -=-的可去间断点倘若运用罗比达法则求解(详见第三章第二节):解:()()0233323311lim lim lim 9269x L x x x x x x x '→→→'--===-'- ○连续函数穿越定理(复合函数的极限求解)(★★) (定理五)若函数()x f 是定义域上的连续函数,那么,()()00lim lim x x x x f x f x ϕϕ→→⎡⎤=⎡⎤⎣⎦⎢⎥⎣⎦ 【题型示例】求值:93lim 23--→x x x【求解示例】36x →===第六节 极限存在准则及两个重要极限○夹迫准则(P53)(★★★) 第一个重要极限:1sin lim 0=→xxx∵⎪⎭⎫⎝⎛∈∀2,0πx ,x x x tan sin <<∴1sin lim0=→x x x 0000lim11lim lim 1sin sin sin lim x x x x x x x x x x →→→→===⎛⎫⎪⎝⎭(特别地,000sin()lim1x x x x x x →-=-)○单调有界收敛准则(P57)(★★★)第二个重要极限:e x xx =⎪⎭⎫⎝⎛+∞→11lim(一般地,()()()()lim lim lim g x g x f x f x =⎡⎤⎡⎤⎣⎦⎣⎦,其中()0lim >x f )【题型示例】求值:11232lim +∞→⎪⎭⎫ ⎝⎛++x x x x【求解示例】()()211121212122121122122121lim21221232122lim lim lim 121212122lim 1lim 121212lim 121x x x x x x x x x x x x x x x x x x x x x x x x +++→∞→∞+→∞⋅++++⋅⋅+++→∞+→∞++→∞+++⎛⎫⎛⎫⎛⎫==+ ⎪ ⎪ ⎪+++⎝⎭⎝⎭⎝⎭⎡⎤⎛⎫⎛⎫⎢⎥=+=+ ⎪ ⎪⎢⎥++⎝⎭⎝⎭⎣⎦⎡⎤⎛⎫⎢⎥=+⎪⎢⎥+⎝⎭⎣⎦解:()()12lim 1212121212122lim 121x x x x x x x x x ee e e+→∞⎡⎤⋅+⎢⎥+⎣⎦+→∞+→∞⎡⎤⋅+⎢⎥+⎣⎦+⎛⎫⎪+⎝⎭====第七节 无穷小量的阶(无穷小的比较) ○等价无穷小(★★)1.()~sin ~tan ~arcsin ~arctan ~ln(1)~1UU U U U U U e +- 2.U U cos 1~212-(乘除可替,加减不行)【题型示例】求值:()()xx x x x x 31ln 1ln lim 20++++→ 【求解示例】()()()()()()()3131lim 31lim 31ln 1lim 31ln 1ln lim,0,000020=++=+⋅+=++⋅+=++++=≠→→→→→x x x x x x x x x x x x x x x x x x x x x 所以原式即解:因为第八节 函数的连续性○函数连续的定义(★)()()()000lim lim x x x x f x f x f x -+→→==○间断点的分类(P67)(★)⎩⎨⎧∞⋯⋯⎩⎨⎧)无穷间断点(极限为第二类间断点可去间断点(相等)跳越间断点(不等)限存在)第一类间断点(左右极(特别地,可去间断点能在分式中约去相应公因式)【题型示例】设函数()⎩⎨⎧+=x a e x f x 2 ,00≥<x x 应该怎样选择数a ,使得()x f 成为在R 上的连续函数?【求解示例】1.∵()()()2010000f e e e f a a f a --⋅++⎧===⎪⎪=+=⎨⎪=⎪⎩2.由连续函数定义()()()e f x f x f x x ===+-→→0lim lim 0∴e a =第九节 闭区间上连续函数的性质 ○零点定理(★)【题型示例】证明:方程()()f x g x C =+至少有一个根介于a 与b 之间 【证明示例】1.(建立辅助函数)函数()()()x f x g x C ϕ=--在闭区间[],a b 上连续;2.∵()()0a b ϕϕ⋅<(端点异号)3.∴由零点定理,在开区间()b a ,内至少有一点ξ,使得()0=ξϕ,即()()0fg C ξξ--=(10<<ξ) 4.这等式说明方程()()f x g x C =+在开区间()b a ,内至少有一个根ξ 第二章 导数与微分第一节 导数概念○高等数学中导数的定义及几何意义(P83)(★★)【题型示例】已知函数()⎩⎨⎧++=b ax e x f x1 ,00>≤x x 在0=x 处可导,求a ,b【求解示例】1.∵()()0010f e f a -+'⎧==⎪⎨'=⎪⎩,()()()00001120012f e e f b f e --+⎧=+=+=⎪⎪=⎨⎪=+=⎪⎩2.由函数可导定义()()()()()0010002f f a f f f b -+-+''===⎧⎪⎨====⎪⎩ ∴1,2a b ==【题型示例】求()x f y =在a x =处的切线与法线方程 (或:过()x f y =图像上点(),a f a ⎡⎤⎣⎦处的切线与法线方程) 【求解示例】1.()x f y '=',()a f y a x '='=| 2.切线方程:()()()y f a f a x a '-=- 法线方程:()()()1y f a x a f a -=--' 第二节 函数的和(差)、积与商的求导法则○函数和(差)、积与商的求导法则(★★★) 1.线性组合(定理一):()u v u v αβαβ'''±=+ 特别地,当1==βα时,有()u v u v '''±=± 2.函数积的求导法则(定理二):()uv u v uv '''=+3.函数商的求导法则(定理三):2u u v uv v v '''-⎛⎫= ⎪⎝⎭第三节 反函数和复合函数的求导法则○反函数的求导法则(★)【题型示例】求函数()x f1-的导数【求解示例】由题可得()x f 为直接函数,其在定于域D上单调、可导,且()0≠'x f ;∴()()11fx f x -'⎡⎤=⎣⎦' ○复合函数的求导法则(★★★)【题型示例】设(ln y e =,求y '【求解示例】(22arcsi y ex a e e e ''='⎛⎫' ⎪+=⎝⎛⎫⎪ =⎝⎭=解:⎛ ⎝第四节 高阶导数 ○()()()()1n n fx fx -'⎡⎤=⎣⎦(或()()11n n n n d y d y dx dx --'⎡⎤=⎢⎥⎣⎦)(★) 【题型示例】求函数()x y +=1ln 的n 阶导数 【求解示例】()1111y x x-'==++, ()()()12111y x x --'⎡⎤''=+=-⋅+⎣⎦, ()()()()()2311121y x x --'⎡⎤'''=-⋅+=-⋅-⋅+⎣⎦……()1(1)(1)(1)nn n y n x --=-⋅-⋅+!第五节 隐函数及参数方程型函数的导数 ○隐函数的求导(等式两边对x 求导)(★★★) 【题型示例】试求:方程ye x y +=所给定的曲线C :()x y y =在点()1,1e -的切线方程与法线方程【求解示例】由ye x y +=两边对x 求导即()y y x e '''=+化简得1yy e y ''=+⋅∴ee y -=-='11111 ∴切线方程:()e x ey +--=-1111法线方程:()()e x e y +---=-111○参数方程型函数的求导【题型示例】设参数方程()()⎩⎨⎧==t y t x γϕ,求22dx yd【求解示例】1.()()t t dx dy ϕγ''= 2.()22dy d y dx dxt ϕ'⎛⎫⎪⎝⎭=' 第六节 变化率问题举例及相关变化率(不作要求)第七节 函数的微分○基本初等函数微分公式与微分运算法则(★★★) ()dx x f dy ⋅'=第三章 中值定理与导数的应用第一节 中值定理 ○引理(费马引理)(★) ○罗尔定理(★★★) 【题型示例】现假设函数()f x 在[]0,π上连续,在()0,π 上可导,试证明:()0,ξπ∃∈, 使得()()cos sin 0ff ξξξξ'+=成立【证明示例】1.(建立辅助函数)令()()sin x f x x ϕ=显然函数()x ϕ在闭区间[]0,π上连续,在开区间()0,π上可导;2.又∵()()00sin00f ϕ==()()sin 0f ϕπππ== 即()()00ϕϕπ==3.∴由罗尔定理知()0,ξπ∃∈,使得()()cos sin 0f f ξξξξ'+=成立○拉格朗日中值定理(★)【题型示例】证明不等式:当1x >时,xe e x >⋅ 【证明示例】1.(建立辅助函数)令函数()x f x e =,则对1x ∀>,显然函数()f x 在闭区间[]1,x 上连续,在开区间()1,x 上可导,并且()x f x e '=;2.由拉格朗日中值定理可得,[]1,x ξ∃∈使得等式()11x e e x e ξ-=-成立,又∵1e e ξ>,∴()111x e e x e e x e ->-=⋅-,化简得x e e x >⋅,即证得:当1x >时,xe e x >⋅ 【题型示例】证明不等式:当0x >时,()ln 1x x +< 【证明示例】1.(建立辅助函数)令函数()()ln 1f x x =+,则对0x ∀>,函数()f x 在闭区间[]0,x 上连续,在开区间()0,π上可导,并且()11f x x'=+;2.由拉格朗日中值定理可得,[]0,x ξ∃∈使得等式()()()1ln 1ln 1001x x ξ+-+=-+成立,化简得()1ln 11x x ξ+=+,又∵[]0,x ξ∈, ∴()111f ξξ'=<+,∴()ln 11x x x +<⋅=, 即证得:当1x >时,xe e x >⋅第二节 罗比达法则○运用罗比达法则进行极限运算的基本步骤(★★) 1.☆等价无穷小的替换(以简化运算)2.判断极限不定型的所属类型及是否满足运用罗比达法则的三个前提条件 A .属于两大基本不定型(0,0∞∞)且满足条件,则进行运算:()()()()lim limx a x a f x f x g x g x →→'=' (再进行1、2步骤,反复直到结果得出)B .☆不属于两大基本不定型(转化为基本不定型) ⑴0⋅∞型(转乘为除,构造分式) 【题型示例】求值:0lim ln x x x α→⋅【求解示例】()10000201ln ln lim ln lim lim lim 111lim 0x x L x x x x x x x x x x x x x a ααααααα∞∞-'→→→→→'⋅===⋅'⎛⎫- ⎪⎝⎭=-=解: (一般地,()0lim ln 0x x x βα→⋅=,其中,R αβ∈)⑵∞-∞型(通分构造分式,观察分母) 【题型示例】求值:011lim sin x x x →⎛⎫-⎪⎝⎭【求解示例】200011sin sin lim lim lim sin sin x x x x x x x x x x x x →→→--⎛⎫⎛⎫⎛⎫-== ⎪ ⎪ ⎪⋅⎝⎭⎝⎭⎝⎭解:()()()()000002sin 1cos 1cos sin limlim lim lim 0222L x x L x x x x x x xx x x ''→→→→''---====='' ⑶00型(对数求极限法)【题型示例】求值:0lim xx x →【求解示例】()()0000lim ln ln 000002ln ,ln ln ln 1ln ln 0lim ln lim lim111lim lim 0lim lim 11x x x x x L x yy x x x x x y x y x x x xx xx y xx x x y e e e x→∞∞'→→→→→→→===='→=='⎛⎫ ⎪⎝⎭==-=====-解:设两边取对数得:对对数取时的极限:,从而有 ⑷1∞型(对数求极限法)【题型示例】求值:()10lim cos sin xx x x →+【求解示例】()()()()()1000000lim ln ln 10ln cos sin cos sin ,ln ,ln cos sin ln 0limln limln cos sin cos sin 10lim lim 1,cos sin 10lim =lim x xx x L x x yy x x x x y x x y xx x y x y xx x x x x x x y e e e e→→→'→→→→+=+=+→='+⎡⎤--⎣⎦====++'===解:令两边取对数得对求时的极限,从而可得⑸0∞型(对数求极限法) 【题型示例】求值:tan 01lim xx x →⎛⎫⎪⎝⎭【求解示例】()()tan 00200020*******,ln tan ln ,1ln 0lim ln lim tan ln 1ln ln lim limlim 1sec 1tan tan tan sin sin lim lim li xx x x L x x x L x y y x x x y x y x x x xx x x xx x x x x →→∞∞'→→→'→→⎛⎫⎛⎫==⋅ ⎪⎪⎝⎭⎝⎭⎡⎤⎛⎫→=⋅ ⎪⎢⎥⎝⎭⎣⎦'=-=-=-⎛⎫'⎛⎫-⎪ ⎪⎝⎭⎝⎭'==='解:令两边取对数得对求时的极限,00lim ln ln 002sin cos m 0,1lim =lim 1x x yy x x x xy e e e →→→→⋅====从而可得○运用罗比达法则进行极限运算的基本思路(★★)00001∞⎧⎪∞-∞−−→←−−⋅∞←−−⎨∞⎪∞⎩∞(1)(2)(3)⑴通分获得分式(通常伴有等价无穷小的替换)⑵取倒数获得分式(将乘积形式转化为分式形式) ⑶取对数获得乘积式(通过对数运算将指数提前)第三节 泰勒中值定理(不作要求) 第四节 函数的单调性和曲线的凹凸性 ○连续函数单调性(单调区间)(★★★) 【题型示例】试确定函数()3229123f x x x x =-+-的单调区间 【求解示例】1.∵函数()f x 在其定义域R 上连续,且可导∴()261812f x x x '=-+2.令()()()6120f x x x '=--=,解得:121,2x x ==4.∴函数f x 的单调递增区间为,1,2,-∞+∞; 单调递减区间为()1,2【题型示例】证明:当0x >时,1xe x >+ 【证明示例】1.(构建辅助函数)设()1x x e x ϕ=--,(0x >)2.()10xx e ϕ'=->,(0x >)∴()()00x ϕϕ>=3.既证:当0x >时,1xe x >+【题型示例】证明:当0x >时,()ln 1x x +<【证明示例】1.(构建辅助函数)设()()ln 1x x x ϕ=+-,(0x >)2.()1101x xϕ'=-<+,(0x >) ∴()()00x ϕϕ<=3.既证:当0x >时,()ln 1x x +<○连续函数凹凸性(★★★)【题型示例】试讨论函数2313y x x =+-的单调性、极值、凹凸性及拐点【证明示例】1.()()236326661y x x x x y x x '⎧=-+=--⎪⎨''=-+=--⎪⎩ 2.令()()320610y x x y x '=--=⎧⎪⎨''=--=⎪⎩解得:120,21x x x ==⎧⎨=⎩3.(四行表)x(,0)-∞ 0(0,1) 1(1,2) 2(2,)+∞y '-++- y '' ++--y1 (1,3) 5 4.⑴函数13y x x =+-单调递增区间为(0,1),(1,2)单调递增区间为(,0)-∞,(2,)+∞;⑵函数2313y x x =+-的极小值在0x =时取到,为()01f =,极大值在2x =时取到,为()25f =;⑶函数2313y x x =+-在区间(,0)-∞,(0,1)上凹,在区间(1,2),(2,)+∞上凸;⑷函数2313y x x =+-的拐点坐标为()1,3第五节 函数的极值和最大、最小值○函数的极值与最值的关系(★★★)⑴设函数()f x 的定义域为D ,如果M x ∃的某个邻域()M U x D ⊂,使得对()M x U x ∀∈,都适合不等式()()M f x f x <,我们则称函数()f x 在点(),M M x f x ⎡⎤⎣⎦处有极大值()M f x ;令{}123,,,...,M M M M Mn x x x x x ∈则函数()f x 在闭区间[],a b 上的最大值M 满足:()(){}123max ,,,,...,,M M M Mn M f a x x x x f b =;⑵设函数()f x 的定义域为D ,如果m x ∃的某个邻域()m U x D ⊂,使得对()m x U x ∀∈,都适合不等式()()m f x f x >,我们则称函数()f x 在点(),m m x f x ⎡⎤⎣⎦处有极小值()m f x ;令{}123,,,...,m m m m mn x x x x x ∈则函数()f x 在闭区间[],ab 上的最小值m 满足:()(){}123min ,,,,...,,m m m mn m f a x x x x f b =;【题型示例】求函数()33f x x x =-在[]1,3-上的最值 【求解示例】1.∵函数()f x 在其定义域[]1,3-上连续,且可导 ∴()233f x x '=-+2.令()()()3110f x x x '=--+=, 解得:121,1x x =-= .(三行表)x1- ()1,1-1 (]1,3()f x ' 0+-()f x极小值极大值4.又∵12,12,318f f f -=-==- ∴()()()()max min 12,318f x f f x f ====- 第六节 函数图形的描绘(不作要求) 第七节 曲率(不作要求)第八节 方程的近似解(不作要求) 第四章 不定积分第一节 不定积分的概念与性质 ○原函数与不定积分的概念(★★) ⑴原函数的概念:假设在定义区间I 上,可导函数()F x 的导函数为()F x ',即当自变量x I ∈时,有()()F x f x '=或()()dF x f x dx =⋅成立,则称()F x 为()f x 的一个原函数⑵原函数存在定理:(★★)如果函数()f x 在定义区间I 上连续,则在I 上必存在可导函数()F x 使得()()F x f x '=,也就是说:连续函数一定存在原函数(可导必连续) ⑶不定积分的概念(★★)在定义区间I 上,函数()f x 的带有任意常数项C 的原函数称为()f x 在定义区间I 上的不定积分,即表示为:()()f x dx F x C =+⎰(⎰称为积分号,()f x 称为被积函数,()f x dx 称为积分表达式,x 则称为积分变量)○基本积分表(★★★)○不定积分的线性性质(分项积分公式)(★★★)()()()()1212k f x k g x dx k f x dx k g x dx +=+⎡⎤⎣⎦⎰⎰⎰ 第二节 换元积分法○第一类换元法(凑微分)(★★★) (()dx x f dy ⋅'=的逆向应用)()()()()f x x dx f x d x ϕϕϕϕ'⋅=⋅⎡⎤⎡⎤⎡⎤⎣⎦⎣⎦⎣⎦⎰⎰【题型示例】求221dx a x +⎰【求解示例】222211111arctan 11x x dx dx d Ca x a a aa x x a a ⎛⎫===+ ⎪+⎝⎭⎛⎫⎛⎫++ ⎪ ⎪⎝⎭⎝⎭⎰⎰⎰解:【题型示例】求【求解示例】()()121212x x C=+=+=○第二类换元法(去根式)(★★)(()dx x f dy ⋅'=的正向应用)⑴对于一次根式(0,a b R ≠∈):t =,于是2t b x a-=,则原式可化为t⑵对于根号下平方和的形式(0a >):tan x a t =(22t ππ-<<),于是arctan xt a=,则原式可化为sec a t ;⑶对于根号下平方差的形式(0a >):asin x a t =(22t ππ-<<),于是arcsin xt a=,则原式可化为cos a t ;bsec x a t =(02t π<<),于是arccos at x =,则原式可化为tan a t ;【题型示例】求(一次根式) 【求解示例】2221t x t dx tdttdt dt t C Ct =-=⋅==+=⎰⎰【题型示例】求(三角换元)【求解示例】()()2sin ()2222arcsincos 22cos 1cos 221sin 2sin cos 222x a t t xt adx a ta a tdt t dta a t t C t t t C ππ=-<<==−−−−−−→=+⎛⎫=++=++ ⎪⎝⎭⎰⎰第三节 分部积分法 ○分部积分法(★★)⑴设函数()u f x =,()v g x =具有连续导数,则其分部积分公式可表示为:udv uv vdu =-⎰⎰⑵分部积分法函数排序次序:“反、对、幂、三、指” ○运用分部积分法计算不定积分的基本步骤: ⑴遵照分部积分法函数排序次序对被积函数排序; ⑵就近凑微分:(v dx dv '⋅=) ⑶使用分部积分公式:udv uv vdu =-⎰⎰⑷展开尾项vdu v u dx '=⋅⎰⎰,判断a .若v u dx '⋅⎰是容易求解的不定积分,则直接计算出答案(容易表示使用基本积分表、换元法与有理函数积分可以轻易求解出结果); b .若v u dx '⋅⎰依旧是相当复杂,无法通过a 中方法求解的不定积分,则重复⑵、⑶,直至出现容易求解的不定积分;若重复过程中出现循环,则联立方程求解,但是最后要注意添上常数C【题型示例】求2x e x dx ⋅⎰【求解示例】()()222222222222222x x x x x x x x x x x x x x x e x dx x e dx x de x e e d x x e x e dx x e x d e x e xe e dx x e xe e C⋅===-=-⋅=-⋅=-+=-++⎰⎰⎰⎰⎰⎰⎰解:【题型示例】求sin x e xdx ⋅⎰【求解示例】()()()()sin cos cos cos cos cos cos sin cos sin sin cos sin sin x x x xx x x x x x x x x x e xdx e d x e x xd ee x e xdx e x e d x e x e x xd e e x e x e xdx⋅=-=-+=-+=-+=-+-=-+-⎰⎰⎰⎰⎰⎰⎰解:()sin cos sin sin x x x x e xdx e x e x xd e ⋅=-+-⎰⎰即:∴()1sin sin cos 2xxe xdx e x x C ⋅=-+⎰第四节 有理函数的不定积分 ○有理函数(★)设:()()()()101101m m mn n nP x p x a x a x a Q x q x b x b x b --=++⋯+==++⋯+ 对于有理函数()()P x Q x ,当()P x 的次数小于()Q x 的次数时,有理函数()()P x Q x 是真分式;当()P x 的次数大于()Q x 的次数时,有理函数()()P x Q x 是假分式○有理函数(真分式)不定积分的求解思路(★)⑴将有理函数()()P x Q x 的分母()Q x 分拆成两个没有公因式的多项式的乘积:其中一个多项式可以表示为一次因式()kx a -;而另一个多项式可以表示为二次质因式()2lx px q ++,(240p q -<);即:()()()12Q x Q x Q x =⋅一般地:n mx n m x m ⎛⎫+=+ ⎪⎝⎭,则参数n a m =-22b c ax bx c a x x a a ⎛⎫++=++ ⎪⎝⎭则参数,b cp q a a ==⑵则设有理函数()()P x Q x 的分拆和式为:()()()()()()122k lP x P x P x Q x x a x px q =+-++其中()()()()1122...k kkP x A A A x a x a x a x a =+++----()()()()2112222222...ll llP x M x N M x N x px q x px q x px q M x N x px q ++=++++++++++++参数121212,,...,,,,...,l k lM M M A A A N N N ⎧⎧⎧⎨⎨⎨⎩⎩⎩由待定系数法(比较法)求出⑶得到分拆式后分项积分即可求解【题型示例】求21x dx x +⎰(构造法) 【求解示例】()()()221111111111ln 112x x x x dx dx x dx x x x xdx dx dx x x x Cx +-++⎛⎫==-+ ⎪+++⎝⎭=-+=-++++⎰⎰⎰⎰⎰⎰第五节 积分表的使用(不作要求)第五章 定积分极其应用第一节 定积分的概念与性质 ○定积分的定义(★)()()01lim nbiiai f x dx f x I λξ→==∆=∑⎰(()f x 称为被积函数,()f x dx 称为被积表达式,x则称为积分变量,a 称为积分下限,b 称为积分上限,[],a b 称为积分区间)○定积分的性质(★★★)⑴()()b baaf x dx f u du =⎰⎰ ⑵()0a af x dx =⎰ ⑶()()b ba akf x dx k f x dx =⎡⎤⎣⎦⎰⎰⑷(线性性质)()()()()1212b b ba a a k f x k g x dx k f x dx k g x dx +=+⎡⎤⎣⎦⎰⎰⎰ ⑸(积分区间的可加性)()()()bc baacf x dx f x dx f x dx =+⎰⎰⎰⑹若函数()f x 在积分区间[],a b 上满足()0f x >,则()0baf x dx >⎰;(推论一)若函数()f x 、函数()g x 在积分区间[],a b 上满足()()f x g x ≤,则()()b baaf x dxg x dx ≤⎰⎰;(推论二)()()b baaf x dx f x dx ≤⎰⎰○积分中值定理(不作要求) 第二节 微积分基本公式○牛顿-莱布尼兹公式(★★★)(定理三)若果函数()F x 是连续函数()f x 在区间[],a b 上的一个原函数,则()()()baf x dx F b F a =-⎰○变限积分的导数公式(★★★)(上上导―下下导)()()()()()()()x x d f t dt f x x f x x dxϕψϕϕψψ''=-⎡⎤⎡⎤⎣⎦⎣⎦⎰ 【题型示例】求21cos 2limt xx e dt x -→⎰【求解示例】()2211cos cos 2002lim lim 解:t t x x x L x d e dt e dt dx x x--'→→='⎰⎰()()()()2222221cos cos000cos 0cos cos 0cos 010sin sin limlim 22sin lim 2cos sin 2sin cos lim21lim sin cos 2sin cos 21122xxx x xL x xxx x x e ex x e xxdx e dx x x ex ex xe x x x x e e---→→-'→--→-→-⋅-⋅-⋅==⋅='⋅+⋅⋅=⎡⎤=+⋅⎣⎦=⋅=第三节 定积分的换元法及分部积分法 ○定积分的换元法(★★★) ⑴(第一换元法)()()()()b ba a f x x dx f x d x ϕϕϕϕ'⋅=⋅⎡⎤⎡⎤⎡⎤⎣⎦⎣⎦⎣⎦⎰⎰ 【题型示例】求20121dx x +⎰【求解示例】()[]222000111121ln 212122121ln 5ln 5ln122解:dx d x x x x =+=⎡+⎤⎣⎦++=-=⎰⎰ ⑵(第二换元法)设函数()[],f x C a b ∈,函数()x t ϕ=满足: a .,αβ∃,使得()(),a b ϕαϕβ==;b .在区间[],αβ或[],βα上,()(),f t t ϕϕ'⎡⎤⎣⎦连续 则:()()()baf x dx f t t dt βαϕϕ'=⎡⎤⎣⎦⎰⎰。
第一章复习x.1 函数的极限及其连续性 概念:省略注意事项1. 无界变量与无穷大的区别:无穷大量一定是无界变量,但无界变量不一定是无穷大量,例如,x x x f y sin )(==是无界变量,但不是无穷大量。
因为取22ππ+==n x x n 时,22)(ππ+=n x f n ,当n 充分大时,)(n x f 可以大于一预先给定的正数M ;取πn x x n 2==时,0)(=n x f 2. 记住常用的等价形式 当0→x 时,,~arctan ,~tan ,~arcsin ,~sin x x x x x x x xx x x x x e x x x αα~1)1(,21~cos 1,~1,~)1ln(2-+--+例1 当0→x 时,下列函数哪一个是其他三个的高阶无穷小 (1)2x 。
(2)x cos 1-。
(3)x x tan sin - (4))1ln(2x +。
()解:因为222~)1ln(,21~cos 1x x x x +-,所以选择C 练习 xxe x x cos ln cos lim 20-→解 )]1(cos 1ln[cos 11limcos ln cos lim2200-+-+-=-→→x xe x x e x x x x 31cos cos 1lim 1cos lim)]1(cos 1ln[cos 1lim)]1(cos 1ln[1lim020002-=--+-=-+-+-+-=→→→→x xx x x xx e x x x x x3. 若函数的表达式中包含有b a +(或b a +),则在运算前通常要在分子分母乘以其共轭根式b a -(或b a -),反之亦然,然后再做有关分析运算 例2 求)1sin(lim 2π+∞→n n 。
解 ])1sin[(lim )1sin(lim 22πππn n n n n n +-+=+∞→∞→nn n n n n n n ++-=-+-=∞→∞→1sin)1(lim )1sin()1(lim 22ππ当∞→n 时,)(,01~1sin22∞→→++++n nn nn ππ又 1|)1(|=-n,故0)1sin(lim 2=+∞→πn n练习 求])1(2121[lim -+++-+++∞→n n n解 原式=22)1()1(221lim 2)1(2)1(lim =-++⋅=⎥⎦⎤⎢⎣⎡--+∞→∞→n n n n n n n n n n n 4. e x xx =⎪⎭⎫⎝⎛+∞→11lim 该极限的特点:⎩⎨⎧∞与幂互为倒数后的变量(包括符号))括号中(型未定式121)1(解题方法(1) 若极限呈∞1型,但第二个特点不具备,则通常凑指数幂使(2)成立 (2) 凡是∞1型未定式,其结果:底必定是e ,幂可这样确定: 设0)(lim =x u ,∞=)(lim x v ,则)()(lim )]()[(lim ))(1ln()(lim ))(1ln()()(lim ))(1lim (x u x v x u x v x u x v x u x v x v e e e e x u ±±±±====±这是因为 )(~))(1ln(x u x u ±±。
大一期末复习和考研复习必备高等数学基本知识点一、函数与极限1、集合的概念⑴、全体非负整数组成的集合叫做非负整数集(或自然数集)。
记作N⑵、所有正整数组成的集合叫做正整数集。
记作N+或N+。
⑶、全体整数组成的集合叫做整数集。
记作Z。
⑷、全体有理数组成的集合叫做有理数集。
记作Q。
⑸、全体实数组成的集合叫做实数集。
记作R。
⑶、邻域:设α与δ是两个实数,且δ>0.满足不等式│x-α│<δ的实数x的全体称为点α的δ邻域,点α称为此邻域的中心,δ称为此邻域的半径。
2、函数⑴、函数的定义:如果当变量x在其变化范围内任意取定一个数值时,量y按照一定的法则f总有确定的数值与它对应,则称y是x的函数。
变量x的变化范围叫做这个函数的定义域。
通常x叫做自变量,y 叫做函数值(或因变量),变量y的变化范围叫做这个函数的值域。
注:为了表明y是x的函数,我们用记号y=f(x)、y=F(x)等等来表示。
这里的字母"f"、"F"表示y与x之间的对应法则即函数关系,它们是可以任意采用不同的字母来表示的。
如果自变量在定义域内任取一个确定的值时,函数只有一个确定的值和它对应,这种函数叫做单值函数,否则叫做多值函数。
这里我们只讨论单值函数。
⑵、函数相等由函数的定义可知,一个函数的构成要素为:定义域、对应关系和值域。
由于值域是由定义域和对应关系决定的,所以,如果两个函数的定义域和对应关系完全一致,我们就称两个函数相等。
⑶、域函数的表示方法a):解析法:用数学式子表示自变量和因变量之间的对应关系的方法即是解析法。
例:笛卡尔直角坐标系中,半径为r、圆心在原点的圆的方程是:x2+y2=r2b):表格法:将一系列的自变量值与对应的函数值列成表来表示函数关系的方法即是表格法。
例:在实际应用中,我们经常会用到的平方表,三角函数表等都是用表格法表示的函数。
c):图示法:用坐标平面上曲线来表示函数的方法即是图示法。
(完整word版)高等数学复习资料大全《高等数学复习》教程第一讲函数、连续与极限一、理论要求1.函数概念与性质函数的基本性质(单调、有界、奇偶、周期)几类常见函数(复合、分段、反、隐、初等函数)2.极限极限存在性与左右极限之间的关系夹逼定理和单调有界定理会用等价无穷小和罗必达法则求极限3.连续函数连续(左、右连续)与间断理解并会应用闭区间上连续函数的性质(最值、有界、介值)二、题型与解法A.极限的求法(1)用定义求(2)代入法(对连续函数,可用因式分解或有理化消除零因子)(3)变量替换法(4)两个重要极限法(5)用夹逼定理和单调有界定理求(6)等价无穷小量替换法(7)洛必达法则与Taylor级数法(8)其他(微积分性质,数列与级数的性质)1.612arctan lim )21ln(arctan lim3030-=-=+->->-x x x x x x x x (等价小量与洛必达) 2.已知2030) (6lim 0)(6sin limxx f x x xf x x x +=+>->-,求解:20303')(6cos 6lim )(6sin limx xy x f x x x xf x x x ++=+>->- 72)0(''06)0(''32166'''''36cos 216lim6'''26sin 36lim 00=∴=+-=++-=++-=>->-y y xy y x x xy y x x x362722''lim 2'lim )(6lim0020====+>->->-y x y x x f x x x (洛必达)3.121)12(lim ->-+x xx x x (重要极限) 4.已知a 、b 为正常数,xx x x b a 30)2(lim +>-求解:令]2ln )[ln(3ln ,)2(3-+=+=x x x x x b a xt b a t 2/300)()ln(23)ln ln (3limln lim ab t ab b b a a b a t xx x x x x =∴=++=>->-(变量替换) 5.)1ln(12)(cos lim x x x +>- 解:令)ln(cos )1ln(1ln ,)(cos 2)1ln(12x x t x t x +==+ 2/100212tan limln lim ->->-=∴-=-=e t x x t x x (变量替换)6.设)('x f 连续,0)0(',0)0(≠=f f ,求1)()(lim 22=?>-xx x dtt f xdtt f(洛必达与微积分性质)7.已知=≠=-0,0,)ln(cos )(2x a x x x x f 在x=0连续,求a 解:令2/1/)ln(cos lim 2-==>-x x a x (连续性的概念)三、补充习题(作业) 1.3cos 11lim-=---->-xx x e x x (洛必达)2.)1sin 1(lim 0xx ctgx x ->- (洛必达或Taylor ) 3.11lim 22=--->-?x xt x edte x (洛必达与微积分性质)第二讲导数、微分及其应用一、理论要求 1.导数与微分导数与微分的概念、几何意义、物理意义会求导(基本公式、四则、复合、高阶、隐、反、参数方程求导)会求平面曲线的切线与法线方程2.微分中值定理理解Roll 、Lagrange 、Cauchy 、Taylor 定理会用定理证明相关问题3.应用会用导数求单调性与极最值、凹凸性、渐进线问题,能画简图会计算曲率(半径)二、题型与解法A.导数微分的计算基本公式、四则、复合、高阶、隐函数、参数方程求导1.??=+-==52arctan )(2te ty y t x x y y 由决定,求dxdy2.x y x y x x y y sin )ln()(32+=+=由决定,求1|0==x dxdy解:两边微分得x=0时y x y y ==cos ',将x=0代入等式得y=13.y x x y y xy+==2)(由决定,则dx dy x )12(ln |0-==B.曲线切法线问题4.求对数螺线)2/,2/πθρρπθe e (),在(==处切线的直角坐标方程。
高等数学第一章 函数与极限第一节 函数●函数基础(高中函数部分相关知识)(▲▲▲) ●邻域(去心邻域)(▲)(){},|U a x x a δδ=-<(){},|0U a x x a δδ=<-<第二节 数列的极限●数列极限的证明(▲)〖題型 〗已知数列{}n x ,证明{}lim n x x a →∞= 〖证明 〗N -ε语言1.由n x a ε-<化簡得()εg n >, ∴()N g ε=⎡⎤⎣⎦2.即对0>∀ε,()N g ε∃=⎡⎤⎣⎦,当N n >时,始终有不等式n x a ε-<成立, ∴{}a x n x =∞→lim第三节 函数的极限●0x x →时函数极限的证明(▲) 〖題型 〗已知函数()x f ,证明()A x f x x =→0lim〖证明 〗δε-语言1.由()f x A ε-<化簡得()00x x g ε<-<, ∴()εδg =2.即对0>∀ε,()εδg =∃,当00x x δ<-<时,始终有不等式()f x A ε-<成立, ∴()A x f x x =→0lim●∞→x 时函数极限的证明(▲)〖題型 〗已知函数()x f ,证明()A x f x =∞→lim〖证明 〗X -ε语言1.由()f x A ε-<化簡得()x g ε>, ∴()εg X =2.即对0>∀ε,()εg X =∃,当X x >时,始终有不等式()f x A ε-<成立, ∴()A x f x =∞→lim第四节 无穷小与无穷大●无穷小与无穷大的本质(▲) 函数()x f 无穷小⇔()0lim =x f 函数()x f 无穷大⇔()∞=x f lim●无穷小与无穷大的相关定理与推论(▲▲)(定理三)假设()x f 为有界函数,()x g 为无穷小,则()()lim 0f x g x ⋅=⎡⎤⎣⎦(定理四)在自变量的某个变化过程中,若()x f 为无穷大,则()1f x -为无穷小;反之,若()x f 为无穷小,且()0f x ≠,则()x f1-为无穷大〖題型 〗計算:()()0lim x x f x g x →⋅⎡⎤⎣⎦(或∞→x ) 1.∵()f x ≤M ∴函数()f x 在0x x =的任一去心邻域()δ,0x U内是有界的;(∵()f x ≤M ,∴函数()f x 在D x ∈上有界;) 2.()0lim 0=→x g x x 即函数()x g 是0x x →时的无穷小; (()0lim =∞→x g x 即函数()x g 是∞→x 时的无穷小;)3.由定理可知()()0lim 0x x f x g x →⋅=⎡⎤⎣⎦(()()lim 0x f x g x →∞⋅=⎡⎤⎣⎦)第五节 极限运算法则●极限的四则运算法则(▲▲) (定理一)加减法则 (定理二)乘除法则关于多项式()p x 、()x q 商式的极限运算设:()()⎪⎩⎪⎨⎧+⋯++=+⋯++=--nn n mm m b x b x b x q a x a x a x p 110110则有()()⎪⎪⎩⎪⎪⎨⎧∞=∞→0lim 0b a x q x p x m n m n m n >=<()()()()000lim 00x x f x g x f x g x →⎧⎪⎪⎪=∞⎨⎪⎪⎪⎩()()()()()0000000,00g x g x f x g x f x ≠=≠== (特别地,当()()00lim 0x x f x g x →=(不定型)时,通常分子分母约去公因式即约去可去间断点便可求解出极限值,也可以用罗比达法则求解)〖題型 〗求值233lim9x x x →--〖求解示例〗解:因為3→x ,从而可得3≠x ,所以原式()()23333311limlim lim 93336x x x x x x x x x →→→--====-+-+ 其中3x =为函数()239x f x x -=-的可去间断点倘若运用罗比达法则求解(详见第三章第二节):解:()()0233323311lim lim lim 9269x L x x x x x x x '→→→'--===-'- ●连续函数穿越定理(复合函数的极限求解)(▲▲) (定理五)若函数()x f 是定义域上的连续函数,那么,()()00lim lim x x x x f x f x ϕϕ→→⎡⎤=⎡⎤⎣⎦⎢⎥⎣⎦ 〖題型 〗求值:93lim 23--→x x x 〖求解示例〗3x →===第六节 极限存在准则及两个重要极限●夹迫准则(P53)(▲▲▲) 第一个重要极限:1sin lim 0=→xxx∵⎪⎭⎫⎝⎛∈∀2,0πx ,x x x tan sin <<∴1sin lim0=→x x x 0000lim11lim lim 1sin sin sin lim x x x x x x x x x x →→→→===⎛⎫⎪⎝⎭(特别地,000sin()lim1x x x x x x →-=-)●单调有界收敛准则(P57)(▲▲▲)第二个重要极限:e x xx =⎪⎭⎫⎝⎛+∞→11lim(一般地,()()()()lim lim lim g x g x f x f x =⎡⎤⎡⎤⎣⎦⎣⎦,其中()0lim >x f )〖題型 〗求值:11232lim +∞→⎪⎭⎫ ⎝⎛++x x x x〖求解示例〗()()211121212122121122122121lim21221232122lim lim lim 121212122lim 1lim 121212lim 121x x x x x x x x x x x x x x x x x x x x x x x x +++→∞→∞+→∞⋅++++⋅⋅+++→∞+→∞++→∞+++⎛⎫⎛⎫⎛⎫==+ ⎪ ⎪ ⎪+++⎝⎭⎝⎭⎝⎭⎡⎤⎛⎫⎛⎫⎢⎥=+=+ ⎪ ⎪⎢⎥++⎝⎭⎝⎭⎣⎦⎡⎤⎛⎫⎢⎥=+⎪⎢⎥+⎝⎭⎣⎦解:()()12lim 1212121212122lim 121x x x x x x x x x ee e e+→∞⎡⎤⋅+⎢⎥+⎣⎦+→∞+→∞⎡⎤⋅+⎢⎥+⎣⎦+⎛⎫⎪+⎝⎭====第七节 无穷小量的阶(无穷小的比较) ●等价无穷小(▲▲)1.()~sin ~tan ~arcsin ~arctan ~ln(1)~1UU U U U U U e +- 2.U U cos 1~212-(乘除可替,加减不行)〖題型 〗求值:()()xx x x x x 31ln 1ln lim 20++++→ 〖求解示例〗()()()()()()()3131lim 31lim 31ln 1lim 31ln 1ln lim ,0,000020=++=+⋅+=++⋅+=++++=≠→→→→→x x x x x x x x x x x x x x x x x x x x x 所以原式即解:因为第八节 函数的连续性 ●函数连续的定义(▲)()()()000lim lim x x x x f x f x f x -+→→==●间断点的分类(P67)(▲)⎩⎨⎧∞⋯⋯⎩⎨⎧)无穷间断点(极限为第二类间断点可去间断点(相等)跳越间断点(不等)限存在)第一类间断点(左右极(特别地,可去间断点能在分式中约去相应公因式)〖題型 〗设函数()⎩⎨⎧+=x a e x f x 2 ,00≥<x x 应该怎样选择数a ,使得()x f 成为在R 上的连续函数?〖求解示例〗1.∵()()()2010000f e e e f a a f a --⋅++⎧===⎪⎪=+=⎨⎪=⎪⎩2.由连续函数定义()()()e f x f x f x x ===+-→→0lim lim 0∴e a =第九节 闭区间上连续函数的性质 ●零点定理(▲)〖題型 〗证明:方程()()f x g x C =+至少有一个根介于a 与b 之间 〖证明 〗1.(建立辅助函数)函数()()()x f x g x C ϕ=--在闭区间[],a b 上连续;2.∵()()0a b ϕϕ⋅<(端点异号)3.∴由零点定理,在开区间()b a ,内至少有一点ξ,使得()0=ξϕ,即()()0fg C ξξ--=(10<<ξ) 4.这等式说明方程()()f x g x C =+在开区间()b a ,内至少有一个根ξ 第二章 导数与微分第一节 导数概念●高等数学中导数的定义及几何意义(P83)(▲▲)〖題型 〗已知函数()⎩⎨⎧++=b ax e x f x 1 ,00>≤x x 在0=x 处可导,求a ,b〖求解示例〗1.∵()()0010f e f a -+'⎧==⎪⎨'=⎪⎩,()()()00001120012f e e f b f e --+⎧=+=+=⎪⎪=⎨⎪=+=⎪⎩2.由函数可导定义()()()()()0010002f f a f f f b -+-+''===⎧⎪⎨====⎪⎩ ∴1,2a b ==〖題型 〗求()x f y =在a x =处的切线与法线方程 (或:过()x f y =图像上点(),a f a ⎡⎤⎣⎦处的切线与法线方程) 〖求解示例〗1.()x f y '=',()a f y a x '='=| 2.切线方程:()()()y f a f a x a '-=- 法线方程:()()()1y f a x a f a -=--' 第二节 函数的和(差)、积与商的求导法则●函数和(差)、积与商的求导法则(▲▲▲) 1.线性组合(定理一):()u v u v αβαβ'''±=+ 特别地,当1==βα时,有()u v u v '''±=± 2.函数积的求导法则(定理二):()uv u v uv '''=+3.函数商的求导法则(定理三):2u u v uv v v '''-⎛⎫= ⎪⎝⎭第三节 反函数和复合函数的求导法则●反函数的求导法则(▲)〖題型 〗求函数()x f1-的导数〖求解示例〗由题可得()x f 为直接函数,其在定于域D上单调、可导,且()0≠'x f ;∴()()11fx f x -'⎡⎤=⎣⎦' ●复合函数的求导法则(▲▲▲) 〖題型 〗设(ln y e =,求y '〖求解示例〗(22arcsi y ex a e e e ''='⎛⎫' ⎪+=⎝⎛⎫⎪ =⎝⎭=解:⎛ ⎝第四节 高阶导数 ●()()()()1n n fx fx -'⎡⎤=⎣⎦(或()()11n n n n d y d y dx dx --'⎡⎤=⎢⎥⎣⎦)(▲) 〖題型 〗求函数()x y +=1ln 的n 阶导数 〖求解示例〗()1111y x x-'==++, ()()()12111y x x --'⎡⎤''=+=-⋅+⎣⎦, ()()()()()2311121y x x --'⎡⎤'''=-⋅+=-⋅-⋅+⎣⎦……()1(1)(1)(1)nn n y n x --=-⋅-⋅+!第五节 隐函数及参数方程型函数的导数 ●隐函数的求导(等式两边对x 求导)(▲▲▲) 〖題型 〗试求:方程ye x y +=所给定的曲线C :()x y y =在点()1,1e -的切线方程与法线方程〖求解示例〗由ye x y +=两边对x 求导即()y y x e '''=+化簡得1yy e y ''=+⋅∴ee y -=-='11111 ∴切线方程:()e x ey +--=-1111法线方程:()()e x e y +---=-111●参数方程型函数的求导〖題型 〗设参数方程()()⎩⎨⎧==t y t x γϕ,求22dx yd〖求解示例〗1.()()t t dx dy ϕγ''= 2.()22dy d y dx dxt ϕ'⎛⎫⎪⎝⎭=' 第六节 变化率问题举例及相关变化率(不作要求)第七节 函数的微分●基本初等函数微分公式与微分运算法则(▲▲▲) ()dx x f dy ⋅'=第三章 中值定理与导数的应用第一节 中值定理 ●引理(费马引理)(▲) ●罗尔定理(▲▲▲) 〖題型 〗现假设函数()f x 在[]0,π上连续,在()0,π 上可导,试证明:()0,ξπ∃∈, 使得()()cos sin 0ff ξξξξ'+=成立〖证明 〗1.(建立辅助函数)令()()sin x f x x ϕ=显然函数()x ϕ在闭区间[]0,π上连续,在开区间()0,π上可导;2.又∵()()00sin00f ϕ==()()sin 0f ϕπππ== 即()()00ϕϕπ==3.∴由罗尔定理知()0,ξπ∃∈,使得()()cos sin 0f f ξξξξ'+=成立●拉格朗日中值定理(▲)〖題型 〗证明不等式:当1x >时,xe e x >⋅ 〖证明 〗1.(建立辅助函数)令函数()x f x e =,则对1x ∀>,显然函数()f x 在闭区间[]1,x 上连续,在开区间()1,x 上可导,并且()x f x e '=;2.由拉格朗日中值定理可得,[]1,x ξ∃∈使得等式()11x e e x e ξ-=-成立,又∵1e e ξ>,∴()111x e e x e e x e ->-=⋅-,化簡得x e e x >⋅,即证得:当1x >时,xe e x >⋅ 〖題型 〗证明不等式:当0x >时,()ln 1x x +< 〖证明 〗1.(建立辅助函数)令函数()()ln 1f x x =+,则对0x ∀>,函数()f x 在闭区间[]0,x 上连续,在开区间()0,π上可导,并且()11f x x'=+;2.由拉格朗日中值定理可得,[]0,x ξ∃∈使得等式()()()1ln 1ln 1001x x ξ+-+=-+成立,化簡得()1ln 11x x ξ+=+,又∵[]0,x ξ∈, ∴()111f ξξ'=<+,∴()ln 11x x x +<⋅=, 即证得:当1x >时,xe e x >⋅第二节 罗比达法则●运用罗比达法则进行极限运算的基本步骤(▲▲) 1.☆等价无穷小的替换(以简化运算)2.判断极限不定型的所属类型及是否满足运用罗比达法则的三个前提条件 A .属于两大基本不定型(0,0∞∞)且满足条件,则进行运算:()()()()lim limx a x a f x f x g x g x →→'=' (再进行1、2步骤,反复直到结果得出)B .☆不属于两大基本不定型(转化为基本不定型) ⑴0⋅∞型(转乘为除,构造分式) 〖題型 〗求值:0lim ln x x x α→⋅〖求解示例〗()10000201ln ln lim ln lim lim lim 111lim 0x x L x x x x x x x x x x x x x a ααααααα∞∞-'→→→→→'⋅===⋅'⎛⎫- ⎪⎝⎭=-=解: (一般地,()0lim ln 0x x x βα→⋅=,其中,R αβ∈)⑵∞-∞型(通分构造分式,观察分母) 〖題型 〗求值:011lim sin x x x →⎛⎫-⎪⎝⎭〖求解示例〗200011sin sin lim lim lim sin sin x x x x x x x x x x x x →→→--⎛⎫⎛⎫⎛⎫-== ⎪ ⎪ ⎪⋅⎝⎭⎝⎭⎝⎭解:()()()()000002sin 1cos 1cos sin limlim lim lim 0222L x x L x x x x x x xx x x ''→→→→''---====='' ⑶00型(对数求极限法)〖題型 〗求值:0lim xx x →〖求解示例〗()()0000lim ln ln 000002ln ,ln ln ln 1ln ln 0lim ln lim lim111lim lim 0lim lim 11x x x x x L x yy x x x x x y x y x x x xx xx y xx x x y e e e x→∞∞'→→→→→→→===='→=='⎛⎫ ⎪⎝⎭==-=====-解:设两边取对数得:对对数取时的极限:,从而有 ⑷1∞型(对数求极限法)〖題型 〗求值:()10lim cos sin xx x x →+〖求解示例〗()()()()()1000000lim ln ln 10ln cos sin cos sin ,ln ,ln cos sin ln 0limln limln cos sin cos sin 10lim lim 1,cos sin 10lim =lim x xx x L x x yy x x x x y x x y xx x y x y xx x x x x x x y e e e e→→→'→→→→+=+=+→='+⎡⎤--⎣⎦====++'===解:令两边取对数得对求时的极限,从而可得⑸0∞型(对数求极限法) 〖題型 〗求值:tan 01lim xx x →⎛⎫⎪⎝⎭〖求解示例〗()()tan 00200020*******,ln tan ln ,1ln 0lim ln lim tan ln 1ln ln lim limlim 1sec 1tan tan tan sin sin lim lim li xx x x L x x x L x y y x x x y x y x x x xx x x xx x x x x →→∞∞'→→→'→→⎛⎫⎛⎫==⋅ ⎪⎪⎝⎭⎝⎭⎡⎤⎛⎫→=⋅ ⎪⎢⎥⎝⎭⎣⎦'=-=-=-⎛⎫'⎛⎫-⎪ ⎪⎝⎭⎝⎭'==='解:令两边取对数得对求时的极限,00lim ln ln 002sin cos m 0,1lim =lim 1x x yy x x x xy e e e →→→→⋅====从而可得●运用罗比达法则进行极限运算的基本思路(▲▲)00001∞⎧⎪∞-∞−−→←−−⋅∞←−−⎨∞⎪∞⎩∞(1)(2)(3)⑴通分获得分式(通常伴有等价无穷小的替换)⑵取倒数获得分式(将乘积形式转化为分式形式) ⑶取对数获得乘积式(通过对数运算将指数提前)第三节 泰勒中值定理(不作要求) 第四节 函数的单调性和曲线的凹凸性 ●连续函数单调性(单调区间)(▲▲▲) 〖題型 〗试确定函数()3229123f x x x x =-+-的单调区间 〖求解示例〗1.∵函数()f x 在其定义域R 上连续,且可导∴()261812f x x x '=-+2.令()()()6120f x x x '=--=,解得:121,2x x ==4.∴函数f x 的单调递增区间为,1,2,-∞+∞; 单调递减区间为()1,2〖題型 〗证明:当0x >时,1xe x >+ 〖证明 〗1.(构建辅助函数)设()1x x e x ϕ=--,(0x >)2.()10xx e ϕ'=->,(0x >)∴()()00x ϕϕ>=3.既证:当0x >时,1xe x >+〖題型 〗证明:当0x >时,()ln 1x x +<〖证明 〗1.(构建辅助函数)设()()ln 1x x x ϕ=+-,(0x >)2.()1101x xϕ'=-<+,(0x >) ∴()()00x ϕϕ<=3.既证:当0x >时,()ln 1x x +<●连续函数凹凸性(▲▲▲)〖題型 〗试讨论函数2313y x x =+-的单调性、极值、凹凸性及拐点〖证明 〗1.()()236326661y x x x x y x x '⎧=-+=--⎪⎨''=-+=--⎪⎩ 2.令()()320610y x x y x '=--=⎧⎪⎨''=--=⎪⎩解得:120,21x x x ==⎧⎨=⎩3.(四行表)x (,0)-∞ 0 (0,1)1 (1,2)2 (2,)+∞y ' - 0 + + 0 - y '' + + - - y 1 (1,3) 54.⑴函数13y x x =+-单调递增区间为(0,1),(1,2)单调递增区间为(,0)-∞,(2,)+∞;⑵函数2313y x x =+-的极小值在0x =时取到,为()01f =,极大值在2x =时取到,为()25f =;⑶函数2313y x x =+-在区间(,0)-∞,(0,1)上凹,在区间(1,2),(2,)+∞上凸;⑷函数2313y x x =+-的拐点坐标为()1,3第五节 函数的极值和最大、最小值●函数的极值与最值的关系(▲▲▲)⑴设函数()f x 的定义域为D ,如果M x ∃的某个邻域()M U x D ⊂,使得对()M x U x ∀∈,都适合不等式()()M f x f x <,我们则称函数()f x 在点(),M M x f x ⎡⎤⎣⎦处有极大值()M f x ;令{}123,,,...,M M M M Mn x x x x x ∈则函数()f x 在闭区间[],a b 上的最大值M 满足:()(){}123max ,,,,...,,M M M Mn M f a x x x x f b =;⑵设函数()f x 的定义域为D ,如果m x ∃的某个邻域()m U x D ⊂,使得对()m x U x ∀∈,都适合不等式()()m f x f x >,我们则称函数()f x 在点(),m m x f x ⎡⎤⎣⎦处有极小值()m f x ;令{}123,,,...,m m m m mn x x x x x ∈则函数()f x 在闭区间[],a b 上的最小值m 满足:()(){}123min ,,,,...,,m m m mn m f a x x x x f b =;〖題型 〗求函数()33f x x x =-在[]1,3-上的最值〖求解示例〗1.∵函数()f x 在其定义域[]1,3-上连续,且可导 ∴()233f x x '=-+2.令()()()3110f x x x '=--+=, 解得:121,1x x =-= x1- ()1,1-1 (]1,3()f x ' 0+-()f x极小值极大值4.又∵12,12,318f f f -=-==- ∴()()()()max min 12,318f x f f x f ====- 第六节 函数图形的描绘(不作要求) 第七节 曲率(不作要求)第八节 方程的近似解(不作要求) 第四章 不定积分第一节 不定积分的概念与性质 ●原函数与不定积分的概念(▲▲) ⑴原函数的概念:假设在定义区间I 上,可导函数()F x 的导函数为()F x ',即当自变量x I ∈时,有()()F x f x '=或()()dF x f x dx =⋅成立,则称()F x 为()f x 的一个原函数⑵原函数存在定理:(▲▲)如果函数()f x 在定义区间I 上连续,则在I 上必存在可导函数()F x 使得()()F x f x '=,也就是说:连续函数一定存在原函数(可导必连续) ⑶不定积分的概念(▲▲)在定义区间I 上,函数()f x 的带有任意常数项C 的原函数称为()f x 在定义区间I 上的不定积分,即表示为:()()f x dx F x C =+⎰(⎰称为积分号,()f x 称为被积函数,()f x dx 称为积分表达式,x 则称为积分变量)●基本积分表(▲▲▲)●不定积分的线性性质(分项积分公式)(▲▲▲)()()()()1212k f x k g x dx k f x dx k g x dx +=+⎡⎤⎣⎦⎰⎰⎰ 第二节 换元积分法●第一类换元法(凑微分)(▲▲▲) (()dx x f dy ⋅'=的逆向应用)()()()()f x x dx f x d x ϕϕϕϕ'⋅=⋅⎡⎤⎡⎤⎡⎤⎣⎦⎣⎦⎣⎦⎰⎰〖題型 〗求221dx a x +⎰〖求解示例〗222211111arctan 11x x dx dx d Ca x a a aa x x a a ⎛⎫===+ ⎪+⎝⎭⎛⎫⎛⎫++ ⎪ ⎪⎝⎭⎝⎭⎰⎰⎰解:〖題型 〗求〖求解示例〗()()121212x x C=+=+=●第二类换元法(去根式)(▲▲)(()dx x f dy ⋅'=的正向应用)⑴对于一次根式(0,a b R ≠∈):t =,于是2t b x a-=,则原式可化为t⑵对于根号下平方和的形式(0a >):tan x a t =(22t ππ-<<),于是arctan xt a=,则原式可化为sec a t ;⑶对于根号下平方差的形式(0a >):asin x a t =(22t ππ-<<),于是arcsin xt a=,则原式可化为cos a t ;bsec x a t =(02t π<<),于是arccos at x =,则原式可化为tan a t ;〖題型 〗求(一次根式) 〖求解示例〗2221t x t dx tdttdt dt t C Ct =-=⋅==+=⎰⎰〖題型 〗求(三角换元)〖求解示例〗()()2sin ()2222arcsincos 22cos 1cos 221sin 2sin cos 222x a t t xt adx a ta a tdt t dta a t t C t t t C ππ=-<<==−−−−−−→=+⎛⎫=++=++ ⎪⎝⎭⎰⎰第三节 分部积分法 ●分部积分法(▲▲)⑴设函数()u f x =,()v g x =具有连续导数,则其分部积分公式可表示为:udv uv vdu =-⎰⎰⑵分部积分法函数排序次序:“反、对、幂、三、指” ●运用分部积分法計算不定积分的基本步骤: ⑴遵照分部积分法函数排序次序对被积函数排序; ⑵就近凑微分:(v dx dv '⋅=) ⑶使用分部积分公式:udv uv vdu =-⎰⎰⑷展开尾项vdu v u dx '=⋅⎰⎰,判断a .若v u dx '⋅⎰是容易求解的不定积分,则直接計算出答案(容易表示使用基本积分表、换元法与有理函数积分可以轻易求解出结果); b .若v u dx '⋅⎰依旧是相当复杂,无法通过a 中方法求解的不定积分,则重复⑵、⑶,直至出现容易求解的不定积分;若重复过程中出现循环,则联立方程求解,但是最后要注意添上常数C〖題型 〗求2x e x dx ⋅⎰〖求解示例〗()()222222222222222x x x x x x x x x x x x x x x e x dx x e dx x de x e e d x x e x e dx x e x d e x e xe e dx x e xe e C⋅===-=-⋅=-⋅=-+=-++⎰⎰⎰⎰⎰⎰⎰解:〖題型 〗求sin x e xdx ⋅⎰〖求解示例〗()()()()sin cos cos cos cos cos cos sin cos sin sin cos sin sin x x x xx x x x x x x x x x e xdx e d x e x xd ee x e xdx e x e d x e x e x xd e e x e x e xdx⋅=-=-+=-+=-+=-+-=-+-⎰⎰⎰⎰⎰⎰⎰解:()sin cos sin sin x x x x e xdx e x e x xd e ⋅=-+-⎰⎰即:∴()1sin sin cos 2xxe xdx e x x C ⋅=-+⎰第四节 有理函数的不定积分 ●有理函数(▲)设:()()()()101101m m mn n nP x p x a x a x a Q x q x b x b x b --=++⋯+==++⋯+ 对于有理函数()()P x Q x ,当()P x 的次数小于()Q x 的次数时,有理函数()()P x Q x 是真分式;当()P x 的次数大于()Q x 的次数时,有理函数()()P x Q x 是假分式●有理函数(真分式)不定积分的求解思路(▲)⑴将有理函数()()P x Q x 的分母()Q x 分拆成两个没有公因式的多项式的乘积:其中一个多项式可以表示为一次因式()kx a -;而另一个多项式可以表示为二次质因式()2lx px q ++,(240p q -<);即:()()()12Q x Q x Q x =⋅一般地:n mx n m x m ⎛⎫+=+ ⎪⎝⎭,则参数n a m =-22b c ax bx c a x x a a ⎛⎫++=++ ⎪⎝⎭则参数,b cp q a a ==⑵则设有理函数()()P x Q x 的分拆和式为:()()()()()()122k lP x P x P x Q x x a x px q =+-++其中()()()()1122...k kkP x A A A x a x a x a x a =+++----()()()()2112222222...ll llP x M x N M x N x px q x px q x px q M x N x px q ++=++++++++++++参数121212,,...,,,,...,l k lM M M A A A N N N ⎧⎧⎧⎨⎨⎨⎩⎩⎩由待定系数法(比较法)求出⑶得到分拆式后分项积分即可求解〖題型 〗求21x dx x +⎰(构造法) 〖求解示例〗()()()221111111111ln 112x x x x dx dx x dx x x x xdx dx dx x x x Cx +-++⎛⎫==-+ ⎪+++⎝⎭=-+=-++++⎰⎰⎰⎰⎰⎰第五节 积分表的使用(不作要求)第五章 定积分极其应用第一节 定积分的概念与性质 ●定积分的定义(▲)()()01lim nbiiai f x dx f x I λξ→==∆=∑⎰(()f x 称为被积函数,()f x dx 称为被积表达式,x则称为积分变量,a 称为积分下限,b 称为积分上限,[],a b 称为积分区间)●定积分的性质(▲▲▲)⑴()()b baaf x dx f u du =⎰⎰ ⑵()0a af x dx =⎰ ⑶()()b ba akf x dx k f x dx =⎡⎤⎣⎦⎰⎰⑷(线性性质)()()()()1212b b ba a a k f x k g x dx k f x dx k g x dx +=+⎡⎤⎣⎦⎰⎰⎰ ⑸(积分区间的可加性)()()()bc baacf x dx f x dx f x dx =+⎰⎰⎰⑹若函数()f x 在积分区间[],a b 上满足()0f x >,则()0baf x dx >⎰;(推论一)若函数()f x 、函数()g x 在积分区间[],a b 上满足()()f x g x ≤,则()()b baaf x dxg x dx ≤⎰⎰;(推论二)()()b baaf x dx f x dx ≤⎰⎰●积分中值定理(不作要求) 第二节 微积分基本公式●牛顿-莱布尼兹公式(▲▲▲)(定理三)若果函数()F x 是连续函数()f x 在区间[],a b 上的一个原函数,则()()()baf x dx F b F a =-⎰●变限积分的导数公式(▲▲▲)(上上导―下下导)()()()()()()()x x d f t dt f x x f x x dxϕψϕϕψψ''=-⎡⎤⎡⎤⎣⎦⎣⎦⎰ 〖題型 〗求21cos 2limt xx e dt x -→⎰〖求解示例〗()2211cos cos 2002lim lim 解:t t x x x L x d e dt e dt dx x x--'→→='⎰⎰()()()()2222221cos cos000cos 0cos cos 0cos 010sin sin limlim 22sin lim 2cos sin 2sin cos lim21lim sin cos 2sin cos 21122xxx x xL x xxx x x e ex x e xxdx e dx x x ex ex xe x x x x e e---→→-'→--→-→-⋅-⋅-⋅==⋅='⋅+⋅⋅=⎡⎤=+⋅⎣⎦=⋅=第三节 定积分的换元法及分部积分法 ●定积分的换元法(▲▲▲) ⑴(第一换元法)()()()()b baa f x x dx f x d x ϕϕϕϕ'⋅=⋅⎡⎤⎡⎤⎡⎤⎣⎦⎣⎦⎣⎦⎰⎰〖題型 〗求20121dx x +⎰〖求解示例〗()[]222000111121ln 212122121ln 5ln 5ln122解:dx d x x x x =+=⎡+⎤⎣⎦++=-=⎰⎰ ⑵(第二换元法)设函数()[],f x C a b ∈,函数()x t ϕ=满足: a .,αβ∃,使得()(),a b ϕαϕβ==;b .在区间[],αβ或[],βα上,()(),f t t ϕϕ'⎡⎤⎣⎦连续 则:()()()ba f x dx f t t dt βαϕϕ'=⎡⎤⎣⎦⎰⎰ 〖題型 〗求40⎰ 〖求解示例〗()2210,43220,1014,332332311132213111332223522933解:t t x x t x t t dx t t t dt t dt t x t =-====+−−−−−−→+⎛⎫=⋅⋅=+=+ ⎪⎝⎭=-=⎰⎰⎰⎰ ⑶(分部积分法)()()()()()()()()()()()()bba ab bb aaau x v x dx u x v x v x u x dxu x dv x u x v x v x du x ''=-=-⎡⎤⎣⎦⎰⎰⎰⎰●偶倍奇零(▲▲)设()[],f x C a a ∈-,则有以下结论成立: ⑴若()()f x f x -=,则()()02aaaf x dx f x dx -=⎰⎰⑵若()()f x f x -=-,则()0aaf x dx -=⎰第四节 定积分在几何上的应用(暂时不作要求) 第五节 定积分在物理上的应用(暂时不作要求) 第六节 反常积分(不作要求)如:不定积分公式21arctan 1dx x C x =++⎰的证明。