第19章 量子力学基础作业
- 格式:ppt
- 大小:299.50 KB
- 文档页数:16
单项选择题1、全描述微观粒子运动状态变化规律的是1.波函数2.薛定谔方程3.能级4.不确定关系2、Pauli算符的三个分量之积等于1. B.2. 03. 14.3、氢原子的一级斯塔克效应中,对于n=2的能级由原来的一个能级分裂为1.四个子能级2.五个子能级3.三个子能级4.两个子能级4、用变分法求量子体系的基态能量的关键是1.选取合理的尝试波函数2.写出体系的哈密顿3.体系哈密顿的平均值对变分参数求变分4.计算体系的哈密顿的平均值5、在0k附近,钠的价电子的能量为3ev,其德布罗意波长是1. 0.84nm2. 0.52nm3. 0.71nm4. 0.946、如果一个力学量与对易,则意味着1.一定处于其本征态2.其本征值出现的几率会变化3.一定不处于本征态4.一定守恒7、钾的脱出功是2ev,当波长为3500的紫外线照射到钾金属表面时,光电子的最大能量为1. F.2.3.4.8、如果算符、对易,且,则1.一定是的本征态2.∣Ψ∣一定是的本征态3.一定是的本征态4.一定不是的本征态9、知氢原子从基态激发到某一定态所需能量为10.19eV,若氢原子从能量为-0.85eV的状态跃迁到上述定态时,所1. 9.95eV2. 2.56eV3. 4.25eV4. 3.41eV10、一振子处于态中,该振子的能量E1,E3取值的几率分别为1. C.2.3.4.11、电子自旋角动量的z分量算符在表象中矩阵表示为1.2.3.4.12、黑体辐射中的紫外灾难表明1.经典电磁场理论不适用于黑体辐射公式2.黑体在紫外线部分辐射无限大的能量3.黑体在紫外线部分不辐射能量4.黑体辐射在紫外线部分才适用于经典电磁场理论13、和是厄密算符,则1.必为厄密算符2.必为厄密算符3.必为厄密算符4.必为厄密算符14、Stern-Gerlach实验证实了1.原子的能级是分立的2.光具有波动性3.电子具有自旋4.电子具有波动性15、角动量Z分量的归一化本征函数为1.2.3.4.16、线性谐振子的1.能量和动量都是量子化的2.能量连续变化而动量是量子化的3.能量和动量都是连续变化的4.能量是量子化的,而动量是连续变化的17、在极坐标系下,氢原子体系在不同球壳内找到电子的几率为1. A.2.3.4.18、若不考虑电子的自旋,氢原子能级n=3的简并度为1. 32. 93. 64. 1219、设,在范围内找到粒子的几率为1.2.3.4.20、能量为100ev的自由电子的德布罗意波长是1. 0.21nm2. 0.12nm3. 0.25nm4. 0.15nm21、质量流密度矢量的表达式为1.2.3.4.22、单电子的自旋角动量平方算符的本征值为1.2.3.4.23、Davisson 和Germer 的实验证实了1.电子具有粒子性2.光具有波动性3.电子具有波动性4.光具有粒子性24、线性谐振子的能级为1. E.2.3.4.25、波函数、(c为任意常数)1.与所描写的粒子在空间各点出现的几率的比是2.与描写粒子的状态相同3.与所描写的粒子在空间各点出现的几率的比是1:c4.与描写粒子的状态不同26、非简并定态微扰理论的适用条件是1. D.2.3.4.27、分别处于p态和d态的两个电子,它们的总角动量的量子数的取值是1. 1,2,32. 1,2,3,43. 0,1,2,3,44. 0,1,2,328、自由粒子的运动用平面波描写,则其能量的简并度为1. 22. 13. 34. 429、几率流密度矢量的表达式为1.2.3.4.30、在一维无限深势阱中运动的质量为的粒子的能级为1.2.3.4.31、下列哪种论述不是定态的特点1.任何力学量的平均值都不随时间变化2.几率流密度矢量不随时间变化3.定态波函数描述的体系一定具有确定的能量4.几率密度和几率流密度矢量都不随时间变化32、与空间平移对称性相对应的是1.能量守恒2.角动量守恒3.宇称守恒4.动量守恒33、用玻尔-索末菲的量子化条件得到的一维谐振子的能量为(n=1,2,3...)1.2.3.4.34、力学量算符在动量表象中的微分形式是1.2.3.4.35、能量为0.1ev,质量为1g的质点的德布罗意波长是1. 0.2nm2.3.4. 0.14nm36、如果已知氢原子的n=2能级的能量值为-3.4ev,则n=5能级能量为1. -0.85ev2. -0.544ev3. -1.51ev4. -0.378ev37、波函数1.不是的本征函数,是的本征函数2.是、的共同本征函数3.是的本征函数,不是的本征函数4.即不是的本征函数,也不是的本征函数38、当氢原子放出一个具有频率的光子,反冲时由于它把能量传递给原子而产生的频率改变为1.2.3.4.39、关于不确定(测不准)关系有以下几种理解:(1)粒子的动量不可能确定(2)粒子的坐标不可能确定(3)粒子的动量和坐标不可能同时确定(4)不确定关系不仅适用于电子和光子,也适用于其它粒子.其中正确的是1.(3)(4)2.(2)(4)3.(1)(4)4.(1)(2)40、一电子处于自旋态中,则的可测值分别为1.2.3.4.主观题41、表示的物理意义是______________________________________________。
基本习题及答案_量子力学量子力学习题(一) 单项选择题1.能量为100ev 的自由电子的De Broglie 波长是A. 1.2A 0. B.1.5A 0. C.2.1A 0. D. 2.5A 0.2. 能量为0.1ev 的自由中子的De Broglie 波长是A.1.3A 0. B.0.9A 0. C. 0.5A 0. D. 1.8A 0.3. 能量为0.1ev ,质量为1g 的质点的De Broglie 波长是 A.1.4A 0. B.1.9?1012-A 0.C.1.17?1012-A 0. D. 2.0A 0.4.温度T=1k 时,具有动能E k T B =32(k B 为Boltzeman 常数)的氦原子的De Broglie 波长是A.8A 0. B. 5.6A 0. C. 10A 0. D. 12.6A 0.5.用Bohr-Sommerfeld 的量子化条件得到的一维谐振子的能量为( ,2,1,0=n )A.E n n = ω.B.E n n =+()12ω.C.E n n =+()1 ω.D.E n n =2 ω.6.在0k 附近,钠的价电子的能量为3ev ,其De Broglie 波长是A.5.2A 0. B. 7.1A 0. C. 8.4A 0. D. 9.4A 0.7.钾的脱出功是2ev ,当波长为3500A 0的紫外线照射到钾金属表面时,光电子的最大能量为A. 0.25?1018-J.B. 1.25?1018-J.C. 0.25?1016-J.D. 1.25?1016-J.8.当氢原子放出一个具有频率ω的光子,反冲时由于它把能量传递给原子而产生的频率改变为A. 2μc .B.22μc . C. 222μc . D. 22μc . /doc/a12976348.html,pton 效应证实了A.电子具有波动性.B. 光具有波动性.C.光具有粒子性.D. 电子具有粒子性. 10.Davisson 和Germer 的实验证实了 A. 电子具有波动性. B. 光具有波动性. C. 光具有粒子性. D. 电子具有粒子性.11.粒子在一维无限深势阱U x x ax x a (),,,=<<∞≤≥000 中运动,设粒子的状态由ψπ()sin x C xa= 描写,其归一化常数C 为A.1a .B.2a .C.12a .D.4a.12. 设ψδ()()x x =,在dx x x +-范围内找到粒子的几率为A.δ()x .B.δ()x dx .C.δ2()x .D.δ2()x dx .13. 设粒子的波函数为ψ(,,)x y z ,在dx x x +-范围内找到粒子的几率为A.ψ(,,)x y z dxdydz 2.B.ψ(,,)x y z dx 2. C.dx dydz z y x )),,((2ψ. D.dx dy dz x yz ψ(,)2.14.设ψ1()x 和ψ2()x 分别表示粒子的两个可能运动状态,则它们线性迭加的态c x c x 1122ψψ()()+的几率分布为 A.c c 112222 ψψ+.B. c c 112222ψψ++2*121ψψc c .C. c c 112222ψψ++2*1212ψψc c .D. c c 112222ψψ++c c c c 12121212****ψψψψ+. 15.波函数应满足的标准条件是A.单值、正交、连续.B.归一、正交、完全性.C.连续、有限、完全性.D.单值、连续、有限. 16.有关微观实物粒子的波粒二象性的正确表述是A.波动性是由于大量的微粒分布于空间而形成的疏密波.B.微粒被看成在三维空间连续分布的某种波包.C.单个微观粒子具有波动性和粒子性.D. A, B, C. 17.已知波函数ψ1=-+u x i Et u x iEt ()exp()()exp() ,ψ21122=-+u x i E t u x iE t ()exp()()exp() ,ψ312=-+-u x i Et u x iEt ()exp()()exp() ,ψ41122=-+-u x i E t u x iE t ()exp()()exp().其中定态波函数是A.ψ2.B.ψ1和ψ2.C.ψ3.D.ψ3和ψ4. 18.若波函数ψ(,)x t 归一化,则A.ψ(,)exp()x t i θ和ψ(,)exp()x t i -δ都是归一化的波函数.B.ψ(,)exp()x t i θ是归一化的波函数,而ψ(,)exp()x t i -δ不是归一化的波函数.C.ψ(,)exp()x t i θ不是归一化的波函数,而ψ(,)exp()x t i -δ是归一化的波函数.D.ψ(,)exp()x t i θ和ψ(,)exp()x t i -δ都不是归一化的波函数.(其中θδ,为任意实数)19.波函数ψ1、ψψ21=c (c 为任意常数),A.ψ1与ψψ21=c 描写粒子的状态不同.B.ψ1与ψψ21=c 所描写的粒子在空间各点出现的几率的比是1: c .C.ψ1与ψψ21=c 所描写的粒子在空间各点出现的几率的比是2:1c . D.ψ1与ψψ21=c 描写粒子的状态相同.20.波函数ψ(,)(,)exp()x t c p t ipx dp =?12π的傅里叶变换式是A. c p t x t ipx dx (,)(,)exp()=12π ψ. B. c p t x t i px dx (,)(,)exp()*=?12πψ. C. c p t x t ipx dx (,)(,)exp()=-?12πψ. D. c p t x t i px dx (,)(,)exp()*=-?12πψ. 21.量子力学运动方程的建立,需满足一定的条件:(1)方程中仅含有波函数关于时间的一阶导数. (2)方程中仅含有波函数关于时间的二阶以下的导数.(3)方程中关于波函数对空间坐标的导数应为线性的. (4) 方程中关于波函数对时间坐标的导数应为线性的.(5) 方程中不能含有决定体系状态的具体参量. (6) 方程中可以含有决定体系状态的能量. 则方程应满足的条件是A. (1)、(3)和(6). B. (2)、(3)、(4)和(5). C. (1)、(3)、(4)和(5). D.(2)、(3)、(4)、(5)和(6). 22.两个粒子的薛定谔方程是A.∑=ψ?=ψ21212221),,(2),,(i i t r r t r r t iμ??),,(),,(2121t r r t r r U ψ+B.∑=ψ?=ψ21212221),,(2),,(i i t r r t r r tμ),,(),,(2121t r r t r r Uψ+C. ∑=ψ?=ψ21212221),,(2),,(i i it r r t r r t μ??),,(),,(2121t r r t r r U ψ+D.∑=ψ?=ψ21212221),,(2),,(i i it r r t r r t i μ??),,(),,(2121t r r t r r Uψ+23.几率流密度矢量的表达式为A.J =?ψ-2μ()**ψψ?ψ. B.J i =?ψ-2μ()**ψψ?ψ. C.J i =-?ψ2μ()**ψ?ψψ. D.J =-?ψ2μ()**ψ?ψψ. 24.质量流密度矢量的表达式为A.J =?ψ-2()**ψψ?ψ.B.J i =?ψ-2()**ψψ?ψ.C. J i =-?ψ2()**ψ?ψψ.D.J =-?ψ2()**ψ?ψψ.25. 电流密度矢量的表达式为A. J q =?ψ-2μ()**ψψ?ψ.B. J iq =?ψ-2μ()**ψψ?ψ.C. J iq =-?ψ2μ()**ψ?ψψ.D. J q =-?ψ2μ()**ψ?ψψ.26.下列哪种论述不是定态的特点A.几率密度和几率流密度矢量都不随时间变化.B.几率流密度矢量不随时间变化.C.任何力学量的平均值都不随时间变化.D.定态波函数描述的体系一定具有确定的能量.27.在一维无限深势阱U x x ax a(),,=<∞≥022中运动的质量为μ的粒子的能级为A.πμ22224 n a ,B.πμ22228 n a ,C.πμ222216 n a ,D.πμ222232 n a. 28. 在一维无限深势阱U x x a x a(),,=<∞≥0中运动的质量为μ的粒子的能级为A.πμ22222 n a , B.πμ22224 n a , C.πμ22228 n a , D.πμ222216 n a . 29. 在一维无限深势阱U x x b x b (),/,/=<∞≥022中运动的质量为μ的粒子的能级为A.πμ22222 n b ,B.πμ2222 n b , C.πμ22224 n b , D.πμ22228 n b . 30. 在一维无限深势阱U x x a x a (),,=<∞≥0中运动的质量为μ的粒子处于基态,其位置几率分布最大处是A.x =0,B.x a =,C.x a =-,D.x a =2.31. 在一维无限深势阱U x x ax a (),,=<∞≥0中运动的质量为μ的粒子处于第一激发态,其位置几率分布最大处是A.x a =±/2,B.x a =±,C.x =0,D.4/a x ±=. 32.在一维无限深势阱中运动的粒子,其体系的 A.能量是量子化的,而动量是连续变化的. B.能量和动量都是量子化的.C.能量和动量都是连续变化的.D.能量连续变化而动量是量子化的. 33.线性谐振子的能级为A.(/),(,,,...)n n +=12123 ω.B.(),(,,,....)n n +=1012ω. C.(/),(,,,...)n n +=12012 ω. D.(),(,,,...)n n +=1123 ω. 34.线性谐振子的第一激发态的波函数为ψαα()exp()x N x x =-12212,其位置几率分布最大处为A.x =0.B.x =±μω. C.x =μω. D.x =±μω.35.线性谐振子的A.能量是量子化的,而动量是连续变化的.B.能量和动量都是量子化的.C.能量和动量都是连续变化的.D.能量连续变化而动量是量子化的. 36.线性谐振子的能量本征方程是A.[]-+= 222222212μμωψψd dx x E . B.[]--= 22222212μμωψψd dx x E . C.[] 22222212μμωψψd dx x E -=-. D.[] 222222212μμωψψd dx x E +=-. 37.氢原子的能级为A.- 2222e n s μ.B.-μ22222e n s .C.242nμ -. D. -μe n s 4222 . 38.在极坐标系下,氢原子体系在不同球壳内找到电子的几率为A.r r R nl )(2.B.22)(r r R nl .C.rdr r R nl )(2.D.dr r r R nl 22)(.39. 在极坐标系下,氢原子体系在不同方向上找到电子的几率为A.),(?θlm Y .B. 2),(?θlm Y . C. Ωd Y lm ),(?θ. D. Ωd Y lm 2),(?θ.40.波函数ψ和φ是平方可积函数,则力学量算符 F为厄密算符的定义是A.ψφτφψτ*** Fd F d =??. B.ψφτφψτ**( )F d F d =??. C.( ) **F d F d ψφτψφτ=??.D. ***F d F d ψφτψφτ=?. 41. F和 G 是厄密算符,则 A. FG必为厄密算符. B. FG GF -必为厄密算符. C.i FGGF ( )+必为厄密算符. D. i FGGF ( )-必为厄密算符. 42.已知算符 x x =和 pi xx =- ?,则 A. x 和 p x 都是厄密算符. B. xp x 必是厄密算符. C. xp p x x x +必是厄密算符. D. xp p x x x -必是厄密算符.43.自由粒子的运动用平面波描写,则其能量的简并度为 A.1. B. 2. C.3. D.4.44.二维自由粒子波函数的归一化常数为(归到δ函数)A.1212/()/π .B.12/()π .C.1232/()/π .D.122/()π45.角动量Z 分量的归一化本征函数为A.12π? exp()im . B. )exp(21r k i ?π. C.12π?exp()im . D. )exp(21r k iπ. 46.波函数)exp()(cos )1(),(?θ?θim P N Y m l lm m lm -=A. 是 L2的本征函数,不是 L z的本征函数. B. 不是 L 2的本征函数,是 L z 的本征函数. C. 是 L2、 L z的共同本征函数. D. 即不是 L 2的本征函数,也不是 L z的本征函数. 47.若不考虑电子的自旋,氢原子能级n=3的简并度为A. 3. B. 6. C. 9. D. 12. 48.氢原子能级的特点是A.相邻两能级间距随量子数的增大而增大.B.能级的绝对值随量子数的增大而增大.C.能级随量子数的增大而减小.D.相邻两能级间距随量子数的增大而减小.49一粒子在中心力场中运动,其能级的简并度为n 2,这种性质是 A. 库仑场特有的. B.中心力场特有的. C.奏力场特有的. D.普遍具有的.50.对于氢原子体系,其径向几率分布函数为W r dr R r dr 323222()=,则其几率分布最大处对应于Bohr 原子模型中的圆轨道半径是A.a 0.B. 40a .C. 90a .D. 160a .51.设体系处于ψ=--123231102111R Y R Y 状态,则该体系的能量取值及取值几率分别为A.E E 321434,;,.B.E E 321232,;,-.C.E E 321232,;,. D.E E 323414,;,.52.接51题,该体系的角动量的取值及相应几率分别为 A.21 , . B. ,1.C.212 ,.D.212 ,.53. 接51题,该体系的角动量Z 分量的取值及相应几率分别为A.01434,;,- .B. 01434,;, .C.01232,;, -. D. 01232,;,-- .54. 接51题,该体系的角动量Z 分量的平均值为A.14 .B. -14 .C. 34 .D. -34 .55. 接51题,该体系的能量的平均值为A.-μe s 4218 .B.-3128842μe s .C.-2925642μe s .D.-177242μe s56.体系处于ψ=C kx cos 状态,则体系的动量取值为A. k k ,-.B. k .C. - k .D. 12k .57.接上题,体系的动量取值几率分别为A. 1,0.B. 1/2,1/2.C. 1/4,3/4/ .D. 1/3,2/3. 58.接56题, 体系的动量平均值为A.0.B. k .C. - k .D. 12k .59.一振子处于ψψψ=+c c 1133态中,则该振子能量取值分别为A.3252 ωω,.B. 1252 ωω,.C. 3272 ωω,.D. 1252ωω,.60.接上题,该振子的能量取值E E 13,的几率分别为A.2321,c c . B. 2121c c c +,232123c c c +.C.23211c c c +,23213c c c +. D. 31,c c .61.接59题,该振子的能量平均值为 A. ω 232123215321c c c c ++. B. 5 ω.C. 92 ω. D. ω 2321217321c c c c ++. 62.对易关系[ ,()]pf x x 等于(f x ()为x 的任意函数)A.i f x '().B.i f x ().C.-i f x '().D.-i f x ().63. 对易关系[ ,exp()]piy y 等于 A.)exp(iy . B. i iy exp().C.- exp()iy .D.-i iy exp().64.对易关系[, ]x px 等于 A.i . B. -i . C. . D. - .65. 对易关系[, ]L yx 等于 A.i z. B. z . C.-i z . D.- z . 66. 对易关系[, ]L zy 等于 A.-i x. B. i x . C. x . D.- x . 67. 对易关系[, ]L zz 等于 A.i x. B. i y . C. i . D. 0. 68. 对易关系[, ]x py 等于 A. . B. 0. C. i . D. - .69. 对易关系[ , ]pp y z 等于 A.0. B. i x . C. i p x . D. p x . 70. 对易关系[ , ]L L xz等于 A.i L y . B. -i L y . C. L y . D. - L y . 71. 对易关系[ , ]L L zy等于 A.i L x . B. -i L x . C. L x . D. - L x . 72. 对易关系[ , ]L L x2等于 A. L x . B. i L x . C. i L L z y ( )+. D. 0. 73. 对易关系[ , ]L L z2等于 A. L z . B. i L z . C. i L L x y( )+. D. 0. 74. 对易关系[, ]L px y 等于 A.i L z. B. -i L z . C. i p z . D. -i p z . 75. 对易关系[ , ]p L z x等于 A.-i py. B. i p y. C.-i L y . D. i L y. 76. 对易关系[ , ]L p zy 等于 A.-i p x . B. i p x . C. -i L x . D. i L x. 77.对易式[ , ]L x y等于 A.0. B. -i z . C. i z . D. 1. 78. 对易式[ , ]FF m n 等于(m,n 为任意正整数) A. Fm n +. B. F m n -. C. 0. D. F . 79.对易式[ , ]FG 等于 A. FG. B. GF . C. FG GF -. D. FG GF +. 80. .对易式[ ,]Fc 等于(c 为任意常数) A.cF. B. 0. C. c . D. F ?. 81.算符 F和 G 的对易关系为[ , ] F G ik =,则 F 、 G 的测不准关系是A.()()??F G k 2224≥. B. ()()??F G k 2224≥. C. ( )( )??F G k 2224≥. D. ( )( )??F G k 2224≥. 82.已知[ , ]xp i x = ,则 x 和 p x 的测不准关系是 A.( )( )??x p x 222≥ . B. ( )( )??x p 2224≥ .C. ( )( )??x p x 222≥ . D. ( )( )??x p x 2224≥ .83. 算符 L x 和 L y 的对易关系为[ , ] L L i L x y z = ,则 L x 、 L y 的测不准关系是 A.( )( ) ??L L L x y z 22224≥ .B.( )( ) ??L L L x y 22224≥ . C.( )( ) ??FG L z 22224≥ . D.( )( ) ??FG L 22224≥ . 84.电子在库仑场中运动的能量本征方程是A.[]-?+= 2222μψψze rE s.B. []-?+= 22222μψψze r E s.C.[]-?-= 2222μψψze rE s.D.[]-?-= 22222μψψze rE s.85.类氢原子体系的能量是量子化的,其能量表达式为A.-μz e n s 22222. B. -μ224222z e n s .C.-μze n s 2222 .D. -μz e ns 24222 .86. 在一维无限深势阱U x x ax x a (),,,=<<∞≤≥000中运动的质量μ为的粒子,其状态为ψππ=42aa x a x sin cos ,则在此态中体系能量的可测值为A.22222229,2a a μπμπ , B. πμπμ2222222 a a , ,C.323222222πμπμ a a ,,D.524222222πμπμ a a, . 87.接上题,能量可测值E 1、E 3出现的几率分别为 A.1/4,3/4. B. 3/4,1/4. C.1/2, 1/2. D. 0,1. 88.接86题,能量的平均值为A.52222πμ a ,B.2222πμ a ,C.72222πμ a ,D.5222πμ a. 89.若一算符 F的逆算符存在,则[ , ]F F -1等于 A. 1. B. 0. C. -1. D. 2.90.如果力学量算符 F和 G 满足对易关系[ , ]F G =0, 则 A. F和 G 一定存在共同本征函数,且在任何态中它们所代表的力学量可同时具有确定值. B. F和 G 一定存在共同本征函数,且在它们的本征态中它们所代表的力学量可同时具有确定值.C. F和 G 不一定存在共同本征函数,且在任何态中它们所代表的力学量不可能同时具有确定值.D. F和 G 不一定存在共同本征函数,但总有那样态存在使得它们所代表的力学量可同时具有确定值.91.一维自由粒子的能量本征值 A. 可取一切实数值. B.只能取不为负的一切实数. C.可取一切实数,但不能等于零. D.只能取不为正的实数.92.对易关系式[ , ()]pp f x x x 2等于 A.-i pf x x '()2. B. i p f x x '()2 . C.-i pf x x ()2. D. i p f x x ()2. 93.定义算符yx L i L L ±=±, 则[ , ]L L +-等于 A.zL. B.2 L z. C.-2 L z. D.zL ? -. 94.接上题, 则[ , ]L L z+等于 A. L +. B. L z . C. -+L . D. - L z . 95. 接93题, 则[ , ]LL z-等于 A. L -. B. L z . C. --L . D. - L z . 96.氢原子的能量本征函数ψθ?θ?nlm nl lm r R r Y (,,)()(,)=A.只是体系能量算符、角动量平方算符的本征函数,不是角动量Z 分量算符的本征函数.B.只是体系能量算符、角动量Z 分量算符的本征函数,不是角动量平方算符的本征函数.C.只是体系能量算符的本征函数,不是角动量平方算符、角动量Z 分量算符的本征函数.D.是体系能量算符、角动量平方算符、角动量Z 分量算符的共同本征函数. 97.体系处于ψ=+c Y c Y 111210态中,则ψA.是体系角动量平方算符、角动量Z 分量算符的共同本征函数.B.是体系角动量平方算符的本征函数,不是角动量Z 分量算符的本征函数.C.不是体系角动量平方算符的本征函数,是角动量Z 分量算符的本征函数.D.即不是体系角动量平方算符的本征函数,也不是角动量Z 分量算符的本征函数.98.对易关系式[ , ]FGH 等于 A.[ , ] [ , ]FH G F G H +. B. [ , ] F H G C. [ , ]FG H . D. [ , ] [ , ]F H G F G H -. 99.动量为p '的自由粒子的波函数在坐标表象中的表示是)'e x p (21)('x p ix Pπψ=,它在动量表象中的表示是A.δ(')p p -.B.δ(')p p +.C.δ()p .D.δ(')p .100.力学量算符 x对应于本征值为x '的本征函数在坐标表象中的表示是A.δ(')x x -.B.δ(')x x +.C.δ()x .D.δ(')x . 101.一粒子在一维无限深势阱中运动的状态为)(22)(22)(21x x x ψψψ-=,其中ψ1()x 、ψ2()x 是其能量本征函数,则ψ()x 在能量表象中的表示是A.??????? ?? 02/22/2.B.??????? ?- 02/22/2.C.222200//?? ?.D.222200//-?? . 102.线性谐振子的能量本征函数ψ1()x 在能量表象中的表示是A.??????? ?? 001.B.10. C. 1000?? ??????. D. 0100?? ???. 103. 线性谐振子的能量本征函数)()(10x b x a ψψψ+=在能量表象中的表示是A.???????? ??++ 0//2222b a b b a a .B. ??????? ??++0//02222b a b b a a .C.b a . D. 00a b ?? ???.104.在( , L L z 2)的共同表象中,波函数φ=?? ??22101,在该态中 L z 的平均值为 A. . B. - . C. 2 . D. 0.105.算符 Q只有分立的本征值{}Q n ,对应的本征函数是{()}u x n ,则算符 (,)F x i x在 Q表象中的矩阵元的表示是 A.F u x F x i x u x dx mn n m =?*()(,)() ?. B.F u x F x i x u x dx mn m n =?*()(,)() ?. C.F u x F x i x u x dx mn n m =?()(,)()*. D.F u x F x i xu x dx mn m n =?()(,)()*. 106.力学量算符在自身表象中的矩阵表示是A. 以本征值为对角元素的对角方阵. B. 一个上三角方阵. C.一个下三角方阵. D.一个主对角线上的元素等于零的方阵.107.力学量算符x ?在动量表象中的微分形式是 A.-i p x ??. B.i p x . C.-i p x 2??. D.i p x 2?.108.线性谐振子的哈密顿算符在动量表象中的微分形式是A.p p 22222212μμω??+ .B.p p 2222212μμω??-. C.22222212pp ??μωμ -. D.--p p 2222212μμω??. 109.在 Q 表象中F =?? ??0110,其本征值是A. ±1.B. 0.C. ±i .D. 1±i . 110.接上题, F 的归一化本征态分别为A.22112211?? ???-?? ?,. B. 1111?? ???-?? ??,.C.12111211?? ???-?? ???,. D.22102201?? ?,.111.幺正矩阵的定义式为A.S S +-=.B.S S +=*.C.S S =-.D.S S *=-. 112.幺正变换A.不改变算符的本征值,但可改变其本征矢.B.不改变算符的本征值,也不改变其本征矢.C.改变算符的本征值,但不改变其本征矢.D.即改变算符的本征值,也改变其本征矢.113.算符 ()( )/ax i p =+μωμω212 ,则对易关系式[ , ]a a +等于 A. [ , ]aa +=0. B. [ , ]a a +=1. C. [ , ]a a +=-1. D. [ , ]a a i +=.114.非简并定态微扰理论中第n 个能级的表达式是(考虑二级近似) A.E H H E E nnn mn nmm()()()''0200++-∑. B. E H H E E n nn mn nm()()()'''0200++-∑.C.E H H E E nnn mn m nm()()()'''0200++-∑. D.E H H E E nnn mnmnm()()()''0200++-∑.115. 非简并定态微扰理论中第n 个能级的一级修正项为 A.H mn '. B.H nn '. C.-H nn '. D.H nm '.116. 非简并定态微扰理论中第n 个能级的二级修正项为 A.H E E mn nm'()()200-∑. B. ''()()H EE mnnmm200-∑. C.''()()H EE mnmnm200-∑. D.H EE mnmnm'()()200-∑.117. 非简并定态微扰理论中第n 个波函数一级修正项为A.H E E mn nm m m '()()()000-∑ψ.B. ''()()()H E E mn nm m m 000-∑ψ.C. ''()()()H E E mn mn m m 000-∑ψ.D. H E E mn mn m m '()()()000-∑ψ.118.沿x 方向加一均匀外电场ε,带电为q 且质量为μ的线性谐振子的哈密顿为A. H d dx x q x =-++ 22222212μμωε.B. H d dx x q x =-++ 2222212μμωε.C. H d dx x q x =-+- 2222212μμωε.D. H d dx x q x =-+- 22222212μμωε. 119.非简并定态微扰理论的适用条件是 A.H E E mk km'()()001-<<. B.H E E mk km'()()001+<<.C. H mk '<<1.D. E E k m ()()001-<<.120.转动惯量为I ,电偶极矩为 D 的空间转子处于均匀电场ε中,则该体系的哈密顿为A.ε ?+=D IL H 2??2. B. ε ?+-=D I L H2??2. C. ε ?-=D IL H 2??2. D. ε ?--=D I L H 2??2. 121.非简并定态微扰理论中,波函数的一级近似公式为A.ψψψn n nm nm m m H E E =+-∑()()()()''0000.B.ψψψn n mn nm m m H E E =+-∑()()()()''0000.C.ψψψn n mn mn m m H E E =+-∑()()()()''0000.D.ψψψn n nm mn m m H E E =+-∑()()()()''0000.122.氢原子的一级斯塔克效应中,对于n =2的能级由原来的一个能级分裂为 A. 五个子能级. B. 四个子能级. C. 三个子能级. D. 两个子能级.123.一体系在微扰作用下,由初态Φk 跃迁到终态Φm 的几率为A.22' )'exp('1?tmk mkdt t i H ω .B. 20 ' )'exp('?tmk mkdt t i H ω.C.22')' exp(1?t mk mkdt t i Hω .D.2' )'exp(?tmk mkdt t i Hω.124.用变分法求量子体系的基态能量的关键是 A. 写出体系的哈密顿. B. 选取合理的尝试波函数.C. 计算体系的哈密顿的平均值.D. 体系哈密顿的平均值对变分参数求变分. 125.Stern-Gerlach 实验证实了A. 电子具有波动性.B.光具有波动性.C. 原子的能级是分立的.D. 电子具有自旋.126. S 为自旋角动量算符,则[ , ]SS yx等于 A.2i . B. i . C. 0 .D. -i S z . 127. σ为Pauli 算符,则[ , ]σσx z 等于 A.-i y σ. B. i y σ. C.2i y σ. D.-2i y σ.128.单电子的自旋角动量平方算符 S2的本征值为 A.142 . B.342 . C.322 . D.122 .129.单电子的Pauli 算符平方的本征值为A. 0. B. 1. C. 2. D. 3. 130.Pauli 算符的三个分量之积等于 A. 0. B. 1. C. i . D. 2i .131.电子自旋角动量的x 分量算符在 S z表象中矩阵表示为 A. S x =?? ??? 21001. B. S i i x =-?? ??200.C. S x=?? ??? 20110. D. S x =-?? ??21001. 132. 电子自旋角动量的y 分量算符在 Sz表象中矩阵表示为 A. S y =?? ??? 21001. B. S i y=-?? ??20110. C. S i i i y =-?? ??? 200. D. S i i y =?? ??200. 133. 电子自旋角动量的z 分量算符在 Sz表象中矩阵表示为 A. S z=?? ??21001. B. S z =-?? ??? 20110. C. S z =-?? ??? 21001. D. S i z =-?? ??? 21001.134. , J J 12是角动量算符, J J J =+12,则[ ,] J J 212等于A. J 1.B. -J 1. C. 1 . D. 0 .135.接上题, [ ,] J J z 12等于A. i J J x y( )11+. B.i J z 1. C. J z 1. D. 0. 136.接134题, ]?,?[12z J J 等于A. i JJ xy( )11+. B.i J z1. C. J z1. D. 0. 137.一电子处于自旋态χχχ=+-a s b s z z 1212//()()中,则s z 的可测值分别为A.0, .B. 0,- .C. 22,.D.22,-.138.接上题,测得s z 为22,-的几率分别是A.a b ,.B. a b 22,.C.a b 2222/,/. D. a a b b a b 222222/(),/()++. 139.接137题, s z 的平均值为A. 0.B. )(222b a - .C. )22/()(2222b a b a +- . D. .140.在s z 表象中,χ=?? ?3212//,则在该态中s z 的可测值分别为A. ,-.B. /,2.C. /,/22-.D. ,/-2. 141.接上题,测量s z 的值为 /,/22-的几率分别为A.3212/,/.B.1/2,1/2.C.3/4,1/4.D.1/4, 3/4. 142.接140题,s z 的平均值为A. /2.B. /4.C.- /4.D.- /2. 143.下列有关全同粒子体系论述正确的是A.氢原子中的电子与金属中的电子组成的体系是全同粒子体系.B.氢原子中的电子、质子、中子组成的体系是全同粒子体系.C.光子和电子组成的体系是全同粒子体系.D.α粒子和电子组成的体系是全同粒子体系.144.全同粒子体系中,其哈密顿具有交换对称性,其体系的波函数 A.是对称的. B.是反对称的. C.具有确定的对称性. D.不具有对称性.145.分别处于p 态和d 态的两个电子,它们的总角动量的量子数的取值是A. 0,1,2,3,4.B.1,2,3,4.C. 0,1,2,3.D.1,2,3.(二) 填空题/doc/a12976348.html,pton 效应证实了。
结构化学章节习题(含答案!)第⼀章量⼦⼒学基础⼀、单选题: 13x lπ为⼀维势箱的状态其能量是:( a ) 22229164:; :; :; :8888h h h hA B C D ml ml ml ml2、Ψ321的节⾯有( b )个,其中( b )个球⾯。
A 、3B 、2C 、1D 、03、⽴⽅箱中2246ml h E ≤的能量范围内,能级数和状态数为( b ).A.5,20B.6,6C.5,11D.6,174、下列函数是算符d /dx的本征函数的是:( a );本征值为:( h )。
A 、e 2xB 、cosXC 、loge xD 、sinx 3E 、3F 、-1G 、1H 、2 5、下列算符为线性算符的是:( c )A 、sine xB 、d 2/dx 2 D 、cos2x6、已知⼀维谐振⼦的势能表达式为V = kx 2/2,则该体系的定态薛定谔⽅程应当为( c )。
A [-m 22η2?+21kx 2]Ψ= E ΨB [m 22η2?- 21kx 2]Ψ= E Ψ C [-m 22η22dx d +21kx 2]Ψ= E Ψ D [-m 22η-21kx 2]Ψ= E Ψ 7、下列函数中,22dxd ,dx d的共同本征函数是( bc )。
A cos kxB e –kxC e –ikxD e –kx28、粒⼦处于定态意味着:( c )A 、粒⼦处于概率最⼤的状态B 、粒⼦处于势能为0的状态C 、粒⼦的⼒学量平均值及概率密度分布都与时间⽆关系的状态.D 、粒⼦处于静⽌状态9、氢原⼦处于下列各状态 (1)ψ2px (2) ψ3dxz (3) ψ3pz (4) ψ3dz 2 (5)ψ322 ,问哪些状态既是M 2算符的本征函数,⼜是M z 算符的本征函数?( c )A. (1) (3)B. (2) (4)C. (3) (4) (5)D. (1) (2) (5) 10、+He 离⼦n=4的状态有( c )(A )4个(B )8个(C )16个(D )20个 11、测不准关系的含义是指( d ) (A) 粒⼦太⼩,不能准确测定其坐标; (B)运动不快时,不能准确测定其动量(C) 粒⼦的坐标的动量都不能准确地测定;12、若⽤电⼦束与中⼦束分别作衍射实验,得到⼤⼩相同的环纹,则说明⼆者( b ) (A) 动量相同 (B) 动能相同 (C) 质量相同13、为了写出⼀个经典⼒学量对应的量⼦⼒学算符,若坐标算符取作坐标本⾝,动量算符应是(以⼀维运动为例) ( a )(A) mv (B) i x ??h (C)222x ?-?h14、若∫|ψ|2d τ=K ,利⽤下列哪个常数乘ψ可以使之归⼀化:( c )(A) K (B) K 2 (C) 1/K15、丁⼆烯等共轭分⼦中π电⼦的离域化可降低体系的能量,这与简单的⼀维势阱模型是⼀致的,因为⼀维势阱中粒⼦的能量( b )(A) 反⽐于势阱长度平⽅ (B) 正⽐于势阱长度 (C) 正⽐于量⼦数16、对于厄⽶算符, 下⾯哪种说法是对的( b )(A) 厄⽶算符中必然不包含虚数 (B) 厄⽶算符的本征值必定是实数(C) 厄⽶算符的本征函数中必然不包含虚数17、对于算符?的⾮本征态Ψ( c )(A) 不可能测量其本征值g . (B) 不可能测量其平均值.(C) 本征值与平均值均可测量,且⼆者相等18、将⼏个⾮简并的本征函数进⾏线形组合,结果( b )(A) 再不是原算符的本征函数(B) 仍是原算符的本征函数,且本征值不变 (C) 仍是原算符的本征函数,但本征值改变19. 在光电效应实验中,光电⼦动能与⼊射光的哪种物理量呈线形关系:( B )A .波长B. 频率C. 振幅20. 在通常情况下,如果两个算符不可对易,意味着相应的两种物理量( A)A .不能同时精确测定B .可以同时精确测定C .只有量纲不同的两种物理量才不能同时精确测定A .λ=E /h B. λ=c /ν C. λ=h /p 22. 将⼏个⾮简并的本征函数进⾏线形组合,结果( A) A .再不是原算符的本征函数B .仍是原算符的本征函数,且本征值不变C .仍是原算符的本征函数,但本征值改变23. 根据能量-时间测不准关系式,粒⼦在某能级上存在的时间τ越短,该能级的不确定度程度ΔE (B)A .越⼩ B. 越⼤ C.与τ⽆关24. 实物微粒具有波粒⼆象性, ⼀个质量为m 速度为v 的粒⼦的德布罗意波长为:A .h/(mv)B. mv/hC. E/h25. 对于厄⽶算符, 下⾯哪种说法是对的 ( B )A .厄⽶算符中必然不包含虚数B .厄⽶算符的本征值必定是实数C .厄⽶算符的本征函数中必然不包含虚数 26. 对于算符?的⾮本征态Ψ (A ) A .不可能测得其本征值g. B .不可能测得其平均值.C .本征值与平均值均可测得,且⼆者相等 27. 下列哪⼀组算符都是线性算符:( C )A . cos, sinB . x, logC . x d dx d dx,,22⼆填空题1、能量为100eV 的⾃由电⼦的德布罗依波波长为( 122.5pm )2、函数:①xe ,②2x ,③x sin 中,是算符22dxd 的本征函数的是( 1,3 ),其本征值分别是( 1,—1;)3、Li 原⼦的哈密顿算符,在(定核)近似的基础上是:(()23213212232221223222123332?r e r e r e r e r e r e mH +++---?+?+?-=η)1.计算波长为600nm(红光),550nm(黄光),400nm(蓝光)和200nm(紫光)光⼦的能量。
WORD格式整理量子力学习题(一)单项选择题 1. 能量为100ev 的自由电子的De Broglie 波长是 0 0 0 0 A. 1.2 A. B. 1.5 A. C. 2.1 A. D. 2.5 A. 2. 能量为0.1ev 的自由中子的De Broglie 波长是 0 0 0 0 A.1.3 A. B. 0.9 A. C. 0.5 A. D. 1.8 A. 3. 能量为0.1ev ,质量为1g 的质点的De Broglie 波长是 0A.1.4 A.B.1.9 0C.1.17 10J 2 A.D. 2.04.温度T=1k 时, 具有动能 010J 2 A. 0 A. =—k B T ( k B 2 为Boltzeman 常数)的氦原子的DeBroglie 波长是 0 A.8 A. B. 5.6 5.用 Bohr-Sommerfeld 0 A. 0 A. D. 12.6 0A. A. E n 二 n ,.B.C. 10 的量子化条件得到的一维谐振子的能量为(n 二0,1,2,…) E n = (n :);. 2 C. E n =(n 1) ? ■ .D. E n =2n •. 6.在0k 附近,钠的价电子的能量为3ev ,其 0 0A.5.2 A.B. 7.1 A.C. 8.4 De Broglie 波长是 0 A. 7. 钾的脱出功是2ev ,当波长为 最大能量为 A. 0.25 10J 8J. B. 1.25 C. 0.25 1046 J.D. 1.25 0A. D. 9.4 03500 A 的紫外线照射到钾金属表面时,光电子的 10」8J. 10J 6J. 8. 当氢原子放出一个具有频率--的光子,反冲时由于它把能量传递给原子而产生 的频率改变为 h A. . B. 2 . C.2七 2心 9. C ompton 效应证实了A.电子具有波动性.B.C.光具有粒子性.D. -2 '2走.D. PC .光具有波动性• 电子具有粒子性. 10. D avisson 和Germer 的实验证实了 A.电子具有波动性.B.光具有波动性. C.光具有粒子性.D. 电子具有粒子性. U (x )斗0,0:X7中运动,设粒子的状态由 [°°,x E0,X11.粒子在一维无限深势阱 J(x)二Csin 描写,其归一化常数C 为aA ^r 1. B. . C. .a• a■ a12.设t(x)—(x),在x-x ,dx 范围内找到粒子的几率为 22.D.13.设粒子的波函数为2A.屮(x, y, z) dxdydz.'■ (x, y,z),在x—x • dx范围内找到粒子的几率为2B.屮(x, y,z) dx.2 2C.( '- (x, y, z) dydz)dx .D. . dx dy dz'- (x, yz)14.设:Mx)和:2(x)分别表示粒子的两个可能运动状态,则它们线性迭加的态c「i(x)dd)的几率分布为2 2A.|汕1 +对2 .2 2 *B. |G屮l| +C2屮2 +C1C2屮1屮2.2 2 *C.k 屮1 +C2 屮2 +2GC2屮1屮2.2 2 * * * *D.- c^;2 +。
15-1 将星球看做绝对黑体,利用维恩位移定律测量m λ便可求得T .这是测量星球表面温度的方法之一.设测得:太阳的m 55.0m μλ=,北极星的m 35.0m μλ=,天狼星的m 29.0m μλ=,试求这些星球的表面温度.解:将这些星球看成绝对黑体,则按维恩位移定律:K m 10897.2,3⋅⨯==-b b T m λ对太阳: K 103.51055.010897.236311⨯=⨯⨯==--mbT λ对北极星:K 103.81035.010897.236322⨯=⨯⨯==--mbT λ对天狼星:K 100.11029.010897.246333⨯=⨯⨯==--mbT λ15-3 从铝中移出一个电子需要4.2 eV 的能量,今有波长为2000οA 的光投射到铝表面.试问:(1)由此发射出来的光电子的最大动能是多少?(2)遏止电势差为多大?(3)铝的截止(红限)波长有多大?解:(1)已知逸出功eV 2.4=A 据光电效应公式221m mv hv =A +则光电子最大动能:A hcA h mv E m -=-==λυ2max k 21eV0.2J 1023.3106.12.41020001031063.6191910834=⨯=⨯⨯-⨯⨯⨯⨯=----m2max k 21)2(mvE eUa==∴遏止电势差 V 0.2106.11023.31919=⨯⨯=--a U(3)红限频率0υ,∴000,λυυcA h ==又∴截止波长 1983401060.12.41031063.6--⨯⨯⨯⨯⨯==Ahc λm 0.296m 1096.27μ=⨯=-15-4 在一定条件下,人眼视网膜能够对5个蓝绿光光子(m 105.0-7⨯=λ)产生光的感觉.此时视网膜上接收到光的能量为多少?如果每秒钟都能吸收5个这样的光子,则到 达眼睛的功率为多大? 解:5个兰绿光子的能量J1099.1100.51031063.65187834---⨯=⨯⨯⨯⨯⨯===λυhcn nh E功率 W 1099.118-⨯==tE15-5 设太阳照射到地球上光的强度为8 J ·s -1·m -2,如果平均波长为5000οA ,则每秒钟落到地面上1m 2的光子数量是多少?若人眼瞳孔直径为3mm ,每秒钟进入人眼的光子数是多少? 解:一个光子能量 λυhch E ==1秒钟落到2m 1地面上的光子数为21198347ms1001.21031063.6105888----⋅⨯=⨯⨯⨯⨯⨯===hcEn λ每秒进入人眼的光子数为11462192s1042.14/10314.31001.24--⨯=⨯⨯⨯⨯==dnN π15-6若一个光子的能量等于一个电子的静能,试求该光子的频率、波长、动量.解:电子的静止质量S J 1063.6,kg 1011.934310⋅⨯=⨯=--h m 当 20c m h =υ时,则Hz10236.11063.6)103(1011.92034283120⨯=⨯⨯⨯⨯==--hc m υο12A 02.0m 104271.2=⨯==-υλc122831020122sm kg 1073.21031011.9sm kg 1073.2-----⋅⋅⨯=⨯⨯⨯=====⋅⋅⨯==c m cc m c E p cpE hp 或λ15-7 光电效应和康普顿效应都包含了电子和光子的相互作用,试问这两个过程有什么不同? 答:光电效应是指金属中的电子吸收了光子的全部能量而逸出金属表面,是电子处于原子中束缚态时所发生的现象.遵守能量守恒定律.而康普顿效应则是光子与自由电子(或准自由电子)的弹性碰撞,同时遵守能量与动量守恒定律.15-8 在康普顿效应的实验中,若散射光波长是入射光波长的1.2倍,则散射光子的能量ε与反冲电子的动能k E 之比k E /ε等于多少? 解:由 2200mc h c m hv +=+υ)(00202υυυυ-=-=-=h h h cm mcE kυεh =∴5)(00=-=-=υυυυυυεh h E k已知2.10=λλ由2.10=∴=υυλυc2.11=υυ则52.0112.110==-=-υυυ15-10 已知X 光光子的能量为0.60 MeV ,在康普顿散射之后波长变化了20%,求反冲电子的能量.解:已知X 射线的初能量,MeV 6.00=ε又有00,ελλεhchc =∴=经散射后 000020.1020.0λλλλ∆λλ=+=+= 此时能量为 002.112.1ελλε===hc hc反冲电子能量 MeV 10.060.0)2.111(0=⨯-=-=εεE15-11 在康普顿散射中,入射光子的波长为0.030 οA ,反冲电子的速度为0.60c ,求散射光子的波长及散射角. 解:反冲电子的能量增量为202022020225.06.01c m cm cm cm mcE =--=-=∆由能量守恒定律,电子增加的能量等于光子损失的能量, 故有 20025.0c m hchc=-λλ散射光子波长ο121083134103400A043.0m 103.410030.0103101.925.01063.610030.01063.625.0=⨯=⨯⨯⨯⨯⨯⨯-⨯⨯⨯⨯=-=------λλλc m h h由康普顿散射公式2sin0243.022sin22200ϕϕλλλ∆⨯==-=cm h可得 2675.00243.02030.0043.02sin2=⨯-=ϕ散射角为 7162'=οϕ15-12 实验发现基态氢原子可吸收能量为12.75eV 的光子. (1)试问氢原子吸收光子后将被激发到哪个能级?(2)受激发的氢原子向低能级跃迁时,可发出哪几条谱线?请将这些跃迁画在能级图上. 解:(1)2eV 6.13eV 85.0eV 75.12eV 6.13n -=-=+-解得 4=n 或者 )111(22n Rhc E -=∆75.12)11.(1362=-=n解出 4=n题15-12图 题15-13图(2)可发出谱线赖曼系3条,巴尔末系2条,帕邢系1条,共计6条.15-13 以动能12.5eV 的电子通过碰撞使氢原子激发时,最高能激发到哪一能级?当回到基态时能产生哪些谱线?解:设氢原子全部吸收eV 5.12能量后,最高能激发到第n 个能级,则]11[6.135.12,eV 6.13],111[2221nRhc nRhc E E n -==-=-即得5.3=n ,只能取整数,∴ 最高激发到3=n ,当然也能激发到2=n 的能级.于是ο322ο222ο771221A 6563536,3653121~:23A 121634,432111~:12A1026m 10026.110097.18989,983111~:13===⎥⎦⎤⎢⎣⎡-=→===⎥⎦⎤⎢⎣⎡-=→=⨯=⨯⨯===⎥⎦⎤⎢⎣⎡-=→-R R R n R R R n RR R n λυλυλυ从从从可以发出以上三条谱线.题15-14图15-14 处于基态的氢原子被外来单色光激发后发出巴尔末线系中只有两条谱线,试求这两 条谱线的波长及外来光的频率.解:巴尔末系是由2>n 的高能级跃迁到2=n 的能级发出的谱线.只有二条谱线说明激发后最高能级是4=n 的激发态.ο1983424ο101983423222324A4872106.1)85.04.3(1031063.6A6573m 1065731060.1)51.14.3(10331063.6e 4.326.13e 51.136.13e 85.046.13=⨯⨯-⨯⨯⨯=-==⨯=⨯⨯-⨯⨯⨯⨯=-=∴-=∴-==-=-=-=-=-=-=-----E E hc E E hcE E hc E E hch VE V E V E a mn mn βλλλλυ基态氢原子吸收一个光子υh 被激发到4=n 的能态 ∴ λυhcE E h =-=14Hz 1008.310626.6106.1)85.06.13(15341914⨯=⨯⨯⨯-=-=--hE E υ15-15 当基态氢原子被12.09eV 的光子激发后,其电子的轨道半径将增加多少倍? 解: eV 09.12]11[6.1321=-=-nE E n 26.1309.126.13n =-51.16.1309.12.1366.132=-=n , 3=n12r n r n =,92=n,19r r n =轨道半径增加到9倍.15-16德布罗意波的波函数与经典波的波函数的本质区别是什么?答:德布罗意波是概率波,波函数不表示实在的物理量在空间的波动,其振幅无实在的物理意义,2φ仅表示粒子某时刻在空间的概率密度.15-17 为使电子的德布罗意波长为1οA ,需要多大的加速电压? 解: ooA 1A 25.12==uλ 25.12=U∴ 加速电压 150=U 伏15-18 具有能量15eV 的光子,被氢原子中处于第一玻尔轨道的电子所吸收,形成一个 光电子.问此光电子远离质子时的速度为多大?它的德布罗意波长是多少?解:使处于基态的电子电离所需能量为eV 6.13,因此,该电子远离质子时的动能为eV 4.16.13152112=-=+==E E mvE k φ它的速度为31191011.9106.14.122--⨯⨯⨯⨯==mE v k -15s m 100.7⋅⨯=其德布罗意波长为:o953134A 10.4m 1004.1100.71011.91063.6=⨯=⨯⨯⨯⨯==---mvh λ15-19 光子与电子的波长都是2.0οA ,它们的动量和总能量各为多少? 解:由德布罗意关系:2mc E =,λhmv p ==波长相同它们的动量相等.1-241034s m kg 103.3100.21063.6⋅⋅⨯=⨯⨯==---λhp光子的能量eV 102.6J 109.9103103.3316824⨯=⨯=⨯⨯⨯====--pc hch λυε电子的总能量 2202)()(c m cp E +=,eV 102.63⨯=cp而 eV 100.51MeV 51.0620⨯==c m∴ cp c m >>2∴ MeV 51.0)()(202202==+=c m c m cp E15-20 已知中子的质量kg 1067.127n -⨯=m ,当中子的动能等于温度300K 的热平衡中子气体的平均动能时,其德布罗意波长为多少? 解:kg 1067.127n -⨯=m ,S J 1063.634⋅⨯=-h ,-123K J 1038.1⋅⨯=-k中子的平均动能 mpKT E k 2232==德布罗意波长 oA 456.13===mkTh phλ15-21 一个质量为m 的粒子,约束在长度为L 的一维线段上.试根据测不准关系估算这个粒子所具有的最小能量的值.解:按测不准关系,h p x x ≥∆∆,x x v m p ∆=∆,则h v x m x ≥∆∆,xm h v x ∆≥∆这粒子最小动能应满足222222min 22)(21)(21mLhxm hxm h m v m E x =∆=∆≥∆=15-22 从某激发能级向基态跃迁而产生的谱线波长为4000οA ,测得谱线宽度为10-4οA ,求该激发能级的平均寿命. 解:光子的能量 λυhch E ==由于激发能级有一定的宽度E ∆,造成谱线也有一定宽度λ∆,两者之间的关系为: λλ∆=∆2hcE由测不准关系,h t E ≥∆⋅∆,平均寿命t ∆=τ,则λλτ∆=∆=∆=c Eh t 2s 103.51010103)104000(81048210----⨯=⨯⨯⨯⨯=15-23 一波长为3000οA 的光子,假定其波长的测量精度为百万分之一,求该光子位置的测不准量.解: 光子λhp =,λλλλ∆=∆-=∆22hhp由测不准关系,光子位置的不准确量为cm 30A 103103000o962=⨯=====-λλ∆λλ∆λ∆∆p h x。
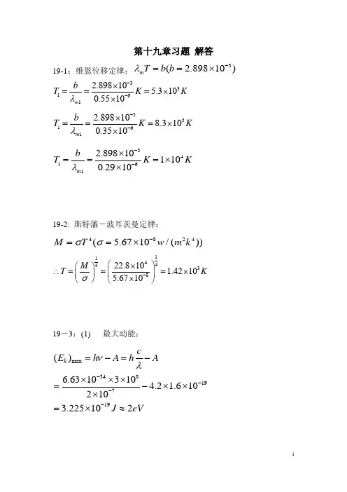
第十九章习题 解答19-1:维恩位移定律:3( 2.89810)mT b b λ-==⨯ 331612.89810 5.3100.5510m bT K K λ--⨯===⨯⨯ 331612.898108.3100.3510m bT K K λ--⨯===⨯⨯ 341612.898101100.2910m bT K K λ--⨯===⨯⨯19-2: 斯特藩-波耳茨曼定律:4824( 5.6710/())M T w m k σσ-==⨯114443822.810 1.42105.6710M T K σ-⎛⎫⨯⎛⎫∴===⨯ ⎪⎪⨯⎝⎭⎝⎭19-3:(1) 最大动能:max 34819719()6.6310310 4.2 1.6102103.225102k cE h A hAJ eVνλ----=-=-⨯⨯⨯=-⨯⨯⨯=⨯≈(2) max19max 19()() 3.2251021.610k k eU E E U V E --=⨯∴===⨯ (3)34870196.6310310 2.96104.2 1.610hc m m A λ---⨯⨯⨯===⨯⨯⨯19-4:(1) 视网膜接收到光的能量为:834197183105 6.6310105101.9910cW n nh nhJ Jενλ----===⨯=⨯⨯⨯⨯⨯=⨯(2)功率为:181.9910E P w t-==⨯19-5: (1)每秒落到地面上单位面积的光子数量是:12834719128113106.63105102.0110n s m s m ------⨯⨯=⨯⨯⨯⨯=⨯(2)每秒钟进入人眼的光子数是:2318347141381 3.141023106.63105101.4210N S S -----⎛⎫⨯⨯⨯⨯ ⎪⎝⎭=⨯⨯⨯⨯=⨯19-6: (1) 光子的频率为:()2020231820349.1103101.236106.6310h m c m c h HZ HZνν--=∴=⨯⨯⨯==⨯⨯(2) 光子的波长:()343180 6.63100.29.110310h m A m c ολ--⨯===⨯⨯⨯(3)光子的动量:()318102219.1103102.7310hP m c kg ms kg msλ----===⨯⨯⨯⋅=⨯⋅19-7: 光电效应和康普顿效应都通过光和物质的相互作用过程揭示了光具有粒子性的一面。
量子力学基础习题一、填空题(在题中的空格处填上正确答案)1101、光波粒二象性的关系式为_______________________________________。
1102、德布罗意关系式为____________________;宏观物体的λ值比微观物体的λ值_______________。
1103、在电子衍射实验中,│ψ│2对一个电子来说,代表___________________。
1104、测不准关系是_____________________,它说明了_____________________。
1105、一组正交、归一的波函数ψ1, ψ2, ψ3,…。
正交性的数学表达式为 ,归一性的表达式为 。
1106、│ψ (x 1, y 1, z 1, x 2, y 2, z 2)│2代表______________________。
1107、物理量xp y - yp x 的量子力学算符在直角坐标系中的表达式是_____。
1108、质量为 m 的一个粒子在长为l 的一维势箱中运动,(1)体系哈密顿算符的本征函数集为_______________________________ ;(2)体系的本征值谱为____________________, 最低能量为____________ ;(3)体系处于基态时, 粒子出现在0 ─ l /2间的概率为_______________ ;(4)势箱越长, 其电子从基态向激发态跃迁时吸收光谱波长__________ ;(5)若该粒子在长l 、宽为2l 的长方形势箱中运动, 则其本征函数集为____________,本征值谱为 _______________________________。
1109、质量为m 的粒子被局限在边长为a 的立方箱中运动。
波函数ψ211(x ,y ,z )= _________________________;当粒子处于状态ψ211时,概率密度最大处坐标是_______________________;若体系的能量为2247ma h ,其简并度是_______________。
()一. 选择题[ D ]1.(基础训练1)在加热黑体过程中,其最大单色辐出度(单色辐射本领)对应的波长由0.8 μm 变到0.4 μm ,则其辐射出射度(总辐射本领)增大为原来的 (A) 2倍. (B) 4倍. (C) 8倍. (D) 16倍. [ ]提示: 由维恩位移定律:T m λ=b ,∴m λ∝T1,即1221m m T T λλ=又由斯特藩-玻耳兹曼定律,总辐射出射度:0400()()M T M T d T λλσ∞==⎰444022140112()0.8()()16()0.4M T T M T T λλ∴==== [ D ]2.(基础训练4)用频率为ν 的单色光照射某种金属时,逸出光电子的最大动能为E K ;若改用频率为2ν 的单色光照射此种金属时,则逸出光电子的最大动能为:(A) 2 E K . (B) 2h ν - E K . (C) h ν - E K . (D) h ν + E K .提示: 根据爱因斯坦光电效应方程:2012m h mv A ν=+, 式中h ν为入射光光子能量,0A 为金属逸出功,212m mv 为逸出光电子的最大初动能,即E K 。
所以有:0k h E A ν=+及'02K h E A ν=+,两式相减即可得出答案。
[ C ]3.(基础训练5)要使处于基态的氢原子受激发后能发射赖曼系(由激发态跃迁到基态发射的各谱线组成的谱线系)的最长波长的谱线,至少应向基态氢原子提供的能量是(A) 1.5 eV . (B) 3.4 eV . (C) 10.2 eV . (D) 13.6 eV .提示: 根据氢原子光谱的实验规律,莱曼系:211(1R n νλ==-最长波长的谱线,相应于2n =,至少应向基态氢原子提供的能量12E E h -=ν,又因为26.13neV E n -=,所以l h E E h -=ν=⎪⎪⎭⎫ ⎝⎛---2216.1326.13eV eV =10.2 eV[ C ]4.(基础训练6)根据玻尔的理论,氢原子在n =5轨道上的动量矩与在第一激发态的轨道动量矩之比为 (A) 5/4. (B) 5/3. (C) 5/2. (D) 5. [ ] 提示: 玻尔轨道角动量L n =,第一激发态2n =,52:5:2L L ∴=[ D ]5.(自测提高2)当照射光的波长从4000 Å变到3000 Å时,对同一金属,在光电效应实验中测得的遏止电压将: [ ] (普朗克常量h =6.63×10-34 J ·s ,基本电荷e =1.60×10-19 C)(A) 减小0.56 V . (B) 减小0.34 V . (C) 增大0.165 V . (D) 增大1.035 V .提示: 由爱因斯坦光电效应方程:2012m h mv A ν=+,其中,212a m eU mv =,可得:0a ch eU A λ=+, 1.035a a hc U U V e λλλλ'-'-=='[ D ]6.(自测提高6)电子显微镜中的电子从静止开始通过电势差为U 的静电场加速后,其德布罗意波长是 0.4 Å,则U 约为 (A) 150 V . (B) 330 V . (C) 630 V . (D) 940 V . [ ]提示:212mv eU =,德布罗意波长:h h p mv λ==,2()9422h U V meλ∴== 二. 填空题1.(基础训练12)光子波长为λ,则其能量=chλ;动量的大小 =h λ;质量=hc λ.2.(基础训练13)在X 射线散射实验中,散射角为φ 1 = 45°和φ 2 =60°的散射光波长改变量之比∆λ1:∆λ2 =__0.586___.提示: 00(1cos )hm cλλλϕ∆=-=-,1212:(1cos ):(1cos )λλϕϕ∆∆=--3. (基础训练16)在光电效应实验中,测得某金属的遏止电压|U a |与入射光频率ν的关系曲线如图所示,由此可知该金属的红限频率ν0=14510⨯Hz ;逸出功A =__2__eV .提示: 由爱因斯坦光电效应方程:2012m h mv A ν=+,其中,212a m eU mv =,可得:0a h eU A ν=+,红限频率:00A hν=,对应最大初动能为零,即加速电压为零时的频率,逸出功:34142000 6.631051033.1510 2.07A h J eVν--==⨯⨯⨯=⨯=|U a | (V)ν (×1014 Hz)-25104. (基础训练19)在B =1.25×10-2 T 的匀强磁场中沿半径为R =1.66 cm 的圆轨道运动的α粒子的德布罗意波长是___129.9810m -⨯___.提示: mv BqR = ,129.9810h h h m p mv BqRλ-====⨯ 5. (自测提高11)已知基态氢原子的能量为-13.6 eV ,当基态氢原子被 12.09 eV 的光子激发后,其电子的轨道半径将增加到玻尔半径的___9___倍.提示: 1n h E E ν=-213.6(13.6)eV n=---,解得3n =,轨道半径2119n r n r r == 6. (自测提高14)氢原子基态的电离能是 __13.6__eV .电离能为+0.544 eV 的激发态氢原子,其电子处在n =__5__ 的轨道上运动.提示: 电离能是指电子从基态激发到自由状态所需的能量.∴氢原子基态的电离能E =1E E -∞=2213.613.613.61eV eVeV ⎛⎫---= ⎪∞⎝⎭E =n E E -∞ 即 +0.544 eV=26.13neV三. 计算题1. (基础训练21)波长为λ0 = 0.500 Å的X 射线被静止的自由电子所散射,若散射线的波长变为λ = 0.522 Å,试求反冲电子的动能E K .解: 根据能量守恒:2200h m c h mc νν+=+ ∴反冲电子获得动能:202c m mc E K -=ννh h -=0λλchch-=0J 161068.1-⨯=2.(自测提高20)质量为m e 的电子被电势差U 12 = 100 kV 的电场加速,如果考虑相对论效应,试计算其德布罗意波的波长.若不用相对论计算,则相对误差是多少?(电子静止质量m e =9.11×10-31 kg ,普朗克常量h =6.63×10-34 J ·s ,基本电荷e =1.60×10-19 C)解: 考虑相对论效应,则动能22c m mc E e K -==12eU ,221cu m m e -=21⎪⎭⎫ ⎝⎛-===c u u m h mu h p h e λ=)2(21212c m eU eU hc e +=3.71m 1210-⨯若不用相对论计算,则221u m e =12eU , u m h p h e =='λ=122eU m h e =3.88m 1210-⨯ 相对误差: λλλ-'=4.6﹪3. (自测提高21)氢原子发射一条波长为λ =4340 Å的光谱线.试问该谱线属于哪一谱线系?氢原子是从哪个能级跃迁到哪个能级辐射出该光谱线的?(里德伯常量R =1.097×107 m -1 )解: 由里德伯公式:22111()R k nνλ==-,由已知:22111()0.21R k n λ=-= 当2,5k n ==时,22111()0.2125R λ=-=,所以该谱线属于巴尔末系。
第一章 量子力学基础一、单选题: 1、32/sinx l lπ为一维势箱的状态其能量是:( a ) 22229164:; :; :; :8888h h h hA B C D ml ml ml ml 2、Ψ321的节面有( b )个,其中( b )个球面。
A 、3 B 、2 C 、1 D 、03、立方箱中2246m lh E ≤的能量范围内,能级数和状态数为( b ). A.5,20 B.6,6 C.5,11 D.6,174、下列函数是算符d /dx的本征函数的是:( a );本征值为:( h )。
A 、e 2x B 、cosX C 、loge x D 、sinx 3 E 、3 F 、-1 G 、1 H 、2 5、下列算符为线性算符的是:( c )A 、sine xB 、C 、d 2/dx 2D 、cos2x6、已知一维谐振子的势能表达式为V = kx 2/2,则该体系的定态薛定谔方程应当为( c )。
A [-m 22 2∇+21kx 2]Ψ= E ΨB [m 22 2∇- 21kx 2]Ψ= E Ψ C [-m 22 22dx d +21kx 2]Ψ= E Ψ D [-m 22 -21kx 2]Ψ= E Ψ 7、下列函数中,22dx d ,dxd的共同本征函数是( bc )。
A cos kxB e –kxC e –ikxD e –kx2 8、粒子处于定态意味着:( c )A 、粒子处于概率最大的状态B 、粒子处于势能为0的状态C 、粒子的力学量平均值及概率密度分布都与时间无关系的状态.D 、粒子处于静止状态9、氢原子处于下列各状态 (1)ψ2px (2) ψ3dxz (3) ψ3pz (4) ψ3dz 2 (5)ψ322 ,问哪些状态既是M 2算符的本征函数,又是M z 算符的本征函数?( c )A. (1) (3)B. (2) (4)C. (3) (4) (5)D. (1) (2) (5) 10、+He 离子n=4的状态有( c )(A )4个 (B )8个 (C )16个 (D )20个 11、测不准关系的含义是指( d ) (A) 粒子太小,不能准确测定其坐标; (B)运动不快时,不能准确测定其动量(C) 粒子的坐标的动量都不能准确地测定; (D )不能同时准确地测定粒子的坐标与动量12、若用电子束与中子束分别作衍射实验,得到大小相同的环纹,则说明二者( b ) (A) 动量相同 (B) 动能相同 (C) 质量相同13、 为了写出一个经典力学量对应的量子力学算符,若坐标算符取作坐标本 身,动量算符应是(以一维运动为例) ( a )(A) mv (B) i x ∂∂ (C)222x ∂-∂14、若∫|ψ|2d τ=K ,利用下列哪个常数乘ψ可以使之归一化:( c )(A) K (B) K 2 (C) 1/K15、丁二烯等共轭分子中π电子的离域化可降低体系的能量,这与简单的一维势阱模型是一致的, 因为一维势阱中粒子的能量 ( b )(A) 反比于势阱长度平方 (B) 正比于势阱长度 (C) 正比于量子数16、对于厄米算符, 下面哪种说法是对的 ( b )(A) 厄米算符中必然不包含虚数 (B) 厄米算符的本征值必定是实数(C) 厄米算符的本征函数中必然不包含虚数17、对于算符Ĝ的非本征态Ψ ( c )(A) 不可能测量其本征值g . (B) 不可能测量其平均值<g >.(C) 本征值与平均值均可测量,且二者相等18、将几个非简并的本征函数进行线形组合,结果 ( b )(A) 再不是原算符的本征函数(B) 仍是原算符的本征函数,且本征值不变 (C) 仍是原算符的本征函数,但本征值改变19. 在光电效应实验中,光电子动能与入射光的哪种物理量呈线形关系:( B )A .波长B. 频率C. 振幅20. 在通常情况下,如果两个算符不可对易,意味着相应的两种物理量( A)A .不能同时精确测定B .可以同时精确测定C .只有量纲不同的两种物理量才不能同时精确测定 21. 电子德布罗意波长为(C )A .λ=E /h B. λ=c /ν C. λ=h /p 22. 将几个非简并的本征函数进行线形组合,结果( A ) A .再不是原算符的本征函数B .仍是原算符的本征函数,且本征值不变C .仍是原算符的本征函数,但本征值改变23. 根据能量-时间测不准关系式,粒子在某能级上存在的时间τ越短,该能级的不确定度程度ΔE (B )A .越小 B. 越大 C.与τ无关24. 实物微粒具有波粒二象性, 一个质量为m 速度为v 的粒子的德布罗意波长为:A .h/(mv)B. mv/hC. E/h25. 对于厄米算符, 下面哪种说法是对的 ( B )A .厄米算符中必然不包含虚数B .厄米算符的本征值必定是实数C .厄米算符的本征函数中必然不包含虚数 26. 对于算符Ĝ的非本征态Ψ (A ) A .不可能测得其本征值g. B .不可能测得其平均值<g>.C .本征值与平均值均可测得,且二者相等 27. 下列哪一组算符都是线性算符:( C )A . cos, sinB . x, logC . x d dx d dx,,22二 填空题1、能量为100eV 的自由电子的德布罗依波波长为( 122.5pm )2、函数:①xe ,②2x ,③x sin 中,是算符22dxd 的本征函数的是( 1,3 ),其本征值分别是( 1,—1;)3、Li 原子的哈密顿算符,在( 定核 )近似的基础上是:(()23213212232221223222123332ˆr e r e r e r e r e r e mH +++---∇+∇+∇-= )三 简答题1. 计算波长为600nm(红光),550nm(黄光),400nm(蓝光)和200nm(紫光)光子的 能量。
实用标准文案精彩文档量子力学基础习题一、填空题(在题中的空格处填上正确答案)1101、光波粒二象性的关系式为_______________________________________。
1102、德布罗意关系式为____________________;宏观物体的λ值比微观物体的λ值_______________。
1103、在电子衍射实验中,│ψ│2对一个电子来说,代表___________________。
1104、测不准关系是_____________________,它说明了_____________________。
1105、一组正交、归一的波函数ψ1, ψ2, ψ3,…。
正交性的数学表达式为 ,归一性的表达式为 。
1106、│ψ (x 1, y 1, z 1, x 2, y 2, z 2)│2代表______________________。
1107、物理量xp y - yp x 的量子力学算符在直角坐标系中的表达式是_____。
1108、质量为 m 的一个粒子在长为l 的一维势箱中运动,(1)体系哈密顿算符的本征函数集为_______________________________ ;(2)体系的本征值谱为____________________, 最低能量为____________ ;(3)体系处于基态时, 粒子出现在0 ─ l /2间的概率为_______________ ;(4)势箱越长, 其电子从基态向激发态跃迁时吸收光谱波长__________ ;(5)若该粒子在长l 、宽为2l 的长方形势箱中运动, 则其本征函数集为____________,本征值谱为 _______________________________。
1109、质量为m 的粒子被局限在边长为a 的立方箱中运动。
波函数ψ211(x ,y ,z )= _________________________;当粒子处于状态ψ211时,概率密度最大处坐标是_______________________;若体系的能量为2247m a h ,其简并度是_______________。
量子力学初步作业(含标准答案)量子力学初步1. 设描述微观粒子运动的波函数为(),r t ψv,则ψψ*表示______________________________________;(),r t ψv 须满足的条件是_______________________________;其归一化条件是_______________________________.2. 将波函数在空间各点的振幅同时增大D 倍,则粒子在空间的分布概率将_______________________________. (填入:增大D 2倍、增大2D 倍、增大D 倍或不变)3. 粒子在一维无限深方势阱中运动(势阱宽度为a ),其波函数为()()30xx x a aπψ=<<粒子出现的概率最大的各个位置是x = ____________________.4. 在电子单缝衍射实验中,若缝宽为a =0.1 nm (1 nm = 10-9 m),电子束垂直射在单缝面上,则衍射的电子横向动量的最小不确定量y p ?= _________N·s.(普朗克常量h =6.63×10-34 J·s)5. 波长λ= 5000 ?的光沿x 轴正向传播,若光的波长的不确定量λ?= 10-3 ?,则利用不确定关系式x p x h ??≥可得光子的x 坐标的不确定量至少为_________.6. 粒子做一维运动,其波函数为()00x Axe x x x λψ-≥=≤式中λ>0,粒子出现的概率最大的位置为x = _____________.7. 量子力学中的隧道效应是指______________________________________ 这种效应是微观粒子_______________的表现.8. 一维无限深方势阱中,已知势阱宽度为a ,应用测不准关系估计势阱中质量为m 的粒子的零点能量为____________.9. 按照普朗克能量子假说,频率为ν的谐振子的能量只能为_________;而从量子力学得出,谐振子的能量只能为___________.10. 频率为ν的一维线性谐振子的量子力学解,其能量由下式给出:______________________,其中最低的量子态能量为__________,称为“零点能”.11. 根据量子力学,粒子能透入势能大于其总能量的势垒,当势垒加宽时,贯穿系数__________;当势垒变高时,贯穿系数________. (填入:变大、变小或不变)12. 写出以下算符表达式:?x p=__________;?H =__________;?yL =__________. 13. ?x与?x p 的对易关系[]??,x x p 等于__________. 14. 试求出一维无限深方势阱中粒子运动的波函数()()sin1,2,3,n n xx A n a的归一化形式. 式中a 为势阱宽度.15. 利用不确定关系式x x p h ??≥,估算在直径为d = 10-14 m 的核内的质子最小动能的数量级.(质子的质量m =1.67×10-27 kg ,普朗克常量h =6.63×10-34 J·s ) 16. 已知粒子处于宽度为a 的一维无限深方势阱中运动的波函数为(),1,2,3,n n xx n aπψ==L试计算n =1时,在x 1=a /4 → x 2=3a /4 区间找到粒子的概率.17. 一维无限深方势阱中的粒子,其波函数在边界处为零,这种定态物质波相当于两段固定的弦中的驻波,因而势阱的宽度a 必须等于德布罗意波半波长的整数倍。
[0131]《量子力学基础》
[判断题]
自由粒子的能级是简并的。
参考答案:正确
[判断题]塞曼效应与电子的自旋有关。
参考答案:正确
[判断题]力学量的平均值一定是实数。
参考答案:正确
[判断题]量子力学中的算符都是幺正算符。
参考答案:错误
[判断题]量子的概念是由爱因斯坦提出的。
参考答案:错误
[判断题]波函数归一化后就完全确定了。
参考答案:错误
[判断题]自旋角动量算符与轨道角动量算符的引入方式不同,因而不能满足同一个对易关系。
参考答案:错误
[判断题]量子力学仅讨论在经典物理中存在的力学量。
参考答案:错误
[判断题]任意态的几率流密度都与时间无关。
参考答案:错误
[判断题]量子力学的建立始于人们对光的波粒二象性的认识。
参考答案:正确
[判断题]泡利首次提出电子具有自旋的假设。
参考答案:错误
[判断题]无论是属于相同本征值还是不同本征值的本征函数都必定相互正交。
参考答案:错误
[判断题]
量子力学是18 世纪20 年代诞生的科学。
参考答案:错误
[判断题]量子力学中用算符表示微观粒子的力学量。
参考答案:错误
第五批
[填空题]填空题
参考答案:1268740100038.doc。
01.量子力学基础知识本章主要知识点一、微观粒子的运动特征 1. 波粒二象性:,hE h p νλ==2. 测不准原理:,,,x y z x p h y p h z p h t E h ∆∆≥∆∆≥∆∆≥∆∆≥3. 能量量子化; 二、量子力学基本假设1. 假设1:对于一个量子力学体系,可以用坐标和时间变量的函数(,,,)x y z t ψ来描述,它包括体系的全部信息。
这一函数称为波函数或态函数,简称态。
不含时间的波函数(,,)x y z ψ称为定态波函数。
在本课程中主要讨论定态波函数。
由于空间某点波的强度与波函数绝对值的平方成正比,即在该点附近找到粒子的几率正比于*ψψ,所以通常将用波函数ψ描述的波称为几率波。
在原子、分子等体系中,将ψ称为原子轨道或分子轨道;将*ψψ称为几率密度,它就是通常所说的电子云;*d ψψτ为空间某点附近体积元d τ中电子出现的几率。
对于波函数有不同的解释,现在被普遍接受的是玻恩(M. Born )统计解释,这一解释的基本思想是:粒子的波动性(即德布罗意波)表现在粒子在空间出现几率的分布的波动,这种波也称作“几率波”。
波函数ψ可以是复函数,ψψψ⋅=*2合格(品优)波函数:单值、连续、平方可积。
2. 假设2:对一个微观体系的每一个可观测的物理量,都对应着一个线性自厄算符。
算符:作用对象是函数,作用后函数变为新的函数。
线性算符:作用到线性组合的函数等于对每个函数作用后的线性组合的算符。
11221122ˆˆˆ()A c c c A c A ψψψψ+=+ 自厄算符:满足**2121ˆˆ()d ()d A A ψψτψψτ=∫∫的算符。
自厄算符的性质:(1)本证值都是实数;(2)不同本证值的本证函数相互正交。
3. 假设3:若某一物理量A 的算符ˆA作用于某一状态函数ψ,等于某一常数a 乘以ψ,即:ˆAa ψψ=,那么对ψ所描述的这个微观体系的状态,物理量A 具有确定的数字a 。
可编辑修改精选全文完整版量子力学课后习题答案2.1证明在定态中,概率流密度与时间无关。
证:对于定态,可令)]r ()r ()r ()r ([m2i ]e )r (e )r (e )r (e )r ([m2i )(m 2i J e)r ( )t (f )r ()t r (**Et iEt i **Et i Et i **Etiψψψψψψψψψψψψψψψ∇-∇=∇-∇=∇-∇===-----)()(,可见t J 与无关。
2.2 由下列定态波函数计算几率流密度: ikr ikr e re r -==1)2( 1)1(21ψψ 从所得结果说明1ψ表示向外传播的球面波,2ψ表示向内(即向原点) 传播的球面波。
解:分量只有和r J J 21在球坐标中 ϕθθϕθ∂∂+∂∂+∂∂=∇sin r 1e r 1e r r 0 r m r k r m r k r r ik r r r ik r r m i r e rr e r e r r e r m i mi J ikr ikr ikr ikr30202201*1*111 )]11(1)11(1[2 )]1(1)1(1[2 )(2 )1(==+----=∂∂-∂∂=∇-∇=--ψψψψ r J 1与同向。
表示向外传播的球面波。
rm r k r m r k r r ik r r r ik r r m i r e r r e r e r r e r m i mi J ikr ikr ikr ikr3020220*2*222 )]11(1)11(1[2 )]1(1)1(1[2 )(2 )2(-=-=---+-=∂∂-∂∂=∇-∇=--ψψψψ可见,r J与2反向。
表示向内(即向原点) 传播的球面波。
2.3 一粒子在一维势场⎪⎩⎪⎨⎧>∞≤≤<∞=a x a x x x U ,,,0 00)( 中运动,求粒子的能级和对应的波函数。
解:t x U 与)(无关,是定态问题。
第一章 量子理论基础1.1 由黑体辐射公式导出维恩位移定律:能量密度极大值所对应的波长m λ与温度T 成反比,即m λ T=b (常量);并近似计算b 的数值,准确到二位有效数字。
解 根据普朗克的黑体辐射公式dv e chv d kThv v v 11833-⋅=πρ, (1)以及 c v =λ, (2)λρρd dv v v -=, (3)有,118)()(5-⋅=⋅=⎪⎭⎫ ⎝⎛-=-=kThc v v ehc cd c d d dv λλλπλλρλλλρλρρ这里的λρ的物理意义是黑体内波长介于λ与λ+d λ之间的辐射能量密度。
本题关注的是λ取何值时,λρ取得极大值,因此,就得要求λρ 对λ的一阶导数为零,由此可求得相应的λ的值,记作m λ。
但要注意的是,还需要验证λρ对λ的二阶导数在m λ处的取值是否小于零,如果小于零,那么前面求得的m λ就是要求的,具体如下:01151186'=⎪⎪⎪⎭⎫⎝⎛-⋅+--⋅=-kT hc kThce kT hc ehcλλλλλπρ ⇒ 0115=-⋅+--kThc ekThcλλ⇒ kThcekThcλλ=--)1(5如果令x=kThcλ ,则上述方程为 x e x =--)1(5这是一个超越方程。
首先,易知此方程有解:x=0,但经过验证,此解是平庸的;另外的一个解可以通过逐步近似法或者数值计算法获得:x=4.97,经过验证,此解正是所要求的,这样则有xkhc T m =λ 把x 以及三个物理常量代入到上式便知K m T m ⋅⨯=-3109.2λ1.4 利用玻尔——索末菲的量子化条件,求:(1)一维谐振子的能量;(2)在均匀磁场中作圆周运动的电子轨道的可能半径。
已知外磁场H=10T ,玻尔磁子124109--⋅⨯=T J M B ,试计算运能的量子化间隔△E ,并与T=4K 及T=100K 的热运动能量相比较。
解 玻尔——索末菲的量子化条件为⎰=nh pdq其中q 是微观粒子的一个广义坐标,p 是与之相对应的广义动量,回路积分是沿运动轨道积一圈,n 是正整数。