第十九章 量子力学基础2(答案)
- 格式:pdf
- 大小:120.99 KB
- 文档页数:2
量子力学基础试题及答案一、单项选择题(每题2分,共10分)1. 量子力学中,物质的波粒二象性是由哪位科学家提出的?A. 爱因斯坦B. 普朗克C. 德布罗意D. 海森堡答案:C2. 量子力学的基本原理之一是不确定性原理,该原理是由哪位科学家提出的?A. 玻尔B. 薛定谔C. 海森堡D. 狄拉克答案:C3. 量子力学中,描述粒子状态的数学对象是:A. 波函数B. 概率密度C. 动量D. 能量答案:A4. 量子力学中,哪个方程是描述粒子的波动性质的基本方程?A. 薛定谔方程B. 麦克斯韦方程C. 牛顿第二定律D. 相对论方程答案:A5. 量子力学中,哪个原理说明了粒子的波函数在测量后会坍缩到一个特定的状态?A. 叠加原理B. 波函数坍缩原理C. 不确定性原理D. 泡利不相容原理答案:B二、填空题(每题3分,共15分)1. 在量子力学中,粒子的动量和位置不能同时被精确测量,这一现象被称为______。
答案:不确定性原理2. 量子力学中的波函数必须满足______条件,以确保物理量的概率解释是合理的。
答案:归一化3. 量子力学中的粒子状态可以用______来描述,它是一个复数函数。
答案:波函数4. 量子力学中的______方程是描述非相对论性粒子的波函数随时间演化的基本方程。
答案:薛定谔5. 量子力学中的______原理表明,不可能同时精确地知道粒子的位置和动量。
答案:不确定性三、简答题(每题5分,共20分)1. 简述量子力学与经典力学的主要区别。
答案:量子力学与经典力学的主要区别在于,量子力学描述的是微观粒子的行为,它引入了波粒二象性、不确定性原理和量子叠加等概念,而经典力学主要描述宏观物体的运动,遵循牛顿力学的确定性规律。
2. 描述量子力学中的波函数坍缩现象。
答案:波函数坍缩是指在量子力学中,当对一个量子系统进行测量时,系统的波函数会从一个叠加态突然转变到一个特定的本征态,这个过程是不可逆的,并且与测量过程有关。
(黑体辐射、光电效应、康普顿效应、玻尔理论、波粒二象性、波函数、不确定关系)一. 选择题[ C ]1.(基础训练2)下面四个图中,哪一个正确反映黑体单色辐出度M B λ(T )随λ 和T 的变化关系,已知T 2 > T 1.【提示】(1)黑体的辐射度(即曲线下的面积)满足:40()M T T σ=,所以0()M T 随温度的增高而迅速增加。
(2)单色辐出度最大值所对应的波长m λ满足:m T b λ=,所以,随着T 的升高,m λ向短波方向移动。
[ D ]2.(基础训练4)用频率为ν 的单色光照射某种金属时,逸出光电子的最大动能为E K ;若改用频率为2ν 的单色光照射此种金属时,则逸出光电子的最大动能为:(A) 2 E K . (B) 2h ν - E K . (C) h ν - E K . (D) h ν + E K .【提示】设金属逸出功为A ;设频率为2ν 的单色光照射金属时,逸出光电子的最大动能为'K E ;则根据爱因斯坦光电效应方程,有:k h E A ν=+ 2'k h E A ν=+两式相减即可得出答案。
[ C ]3.(基础训练5)要使处于基态的氢原子受激发后能发射赖曼系(由激发态跃迁到基态发射的各谱线组成的谱线系)的最长波长的谱线,至少应向基态氢原子提供的能量是(A) 1.5 eV . (B) 3.4 eV . (C) 10.2 eV . (D) 13.6 eV .【提示】赖曼系中最长波长的谱线,来自21E E →的跃迁,所以至少应使基态氢原子先吸收一个光子的能量h ν跃迁到E 2能级,然后向下跃迁发出谱线。
所以有212213.613.610.221eVeVh E E eV ν⎛⎫⎛⎫=-=---= ⎪ ⎪⎝⎭⎝⎭[ A ]4.(基础训练8)设粒子运动的波函数图线分别如图19-4(A)、(B)、(C)、(D)所示,那么其中确定粒子动量的精确度最高的波函数是哪个图? 【提示】根据动量的不确定关系:2x x p ∆⋅∆≥.[ D ]5.(自测提高2)已知一单色光照射在钠表面上,测得光电子的最大动能是 1.2 eV ,而钠的红限波长是5400 Å,那么入射光的波长是(A) 5350 Å. (B) 5000 Å. (C) 4350 Å. (D) 3550 Å. 【提示】根据爱因斯坦光电效应方程: 212m h m v A ν=+ ch hνλ=,00cA h hνλ==,0λ= 5400 Å21 1.22m mv eV = 联立求解出λ.[ B ]6.(自测提高3)具有下列哪一能量的光子,能被处在n = 2的能级的氢原子吸收?(A) 1.51 eV . (B) 1.89 eV .(C) 2.16 eV . (D) 2.40 eV . 【提示】设氢原子吸收光子h ν后从2E 跃迁到m E ,则有22213.613.62m eVeVh E E m ν⎛⎫⎛⎫=-=--- ⎪ ⎪⎝⎭⎝⎭,得m = 通过计算,发现四个选项中,仅当 1.89h eV ν=时,m 为整数(算得m=3),故选择(B ).二. 填空题1.(基础训练12)光子波长为λ,则其能量=chλ;动量的大小 =hλ;质量=hc λ. 【提示】光子能量cE h h νλ==,动量2E E h h p mc c c c c νλ=====; 质量22E h hm c c c νλ===2. (基础训练13)康普顿散射中,当散射光子与入射光子方向成夹角φ =π时,x (A) x (B) x (C) x(D)图 19-4姓名 __________ 学号 ____________ 《大学物理Ⅱ》答题纸 第十九章 散射光子的频率小得最多;当φ = 0 时,散射光子的频率与入射光子相同.【提示】202sin, 2c cϕλλλλλν∆=-==,当ϕπ=时,max 2c λλ∆=,波长增加最多,即频率小得最多;当0ϕ=时,min 0λ∆=,0λλ=,0νν=,即散射光子的频率与入射光子相同。
第一章 绪论1.1.由黑体辐射公式导出维恩位移定律:C m b bTm3109.2 ,×´==-l 。
证明:由普朗克黑体辐射公式:由普朗克黑体辐射公式:n n p nr n nd ec hd kTh 11833-=, 及ln c=、l ln d c d 2-=得1185-=kThcehc l l l p r ,令kT hc x l =,再由0=l r l d d ,得l .所满足的超越方程为所满足的超越方程为15-=x x e xe用图解法求得97.4=x ,即得97.4=kT hc m l ,将数据代入求得C m 109.2 ,03×´==-b b T ml 1.2.在0K 附近,钠的价电子能量约为3eV ,求de Broglie 波长. 解:010A 7.09m 1009.72=´»==-mEh p h l # 1.3. 氦原子的动能为kT E 23=,求K T 1=时氦原子的de Broglie 波长。
波长。
解:010A 63.12m 1063.1232=´»===-mkT h mE h p h l其中kg 1066.1003.427-´´=m ,123K J 1038.1--×´=k # 1.4利用玻尔—索末菲量子化条件,求:利用玻尔—索末菲量子化条件,求: (1)一维谐振子的能量。
)一维谐振子的能量。
(2)在均匀磁场中作圆周运动的电子的轨道半径。
)在均匀磁场中作圆周运动的电子的轨道半径。
已知外磁场T 10=B ,玻尔磁子123T J 10923.0--×´=B m ,求动能的量子化间隔E D ,并与K 4=T 及K 100=T 的热运动能量相比较。
的热运动能量相比较。
解:(1)方法1:谐振子的能量222212q p E mw m +=可以化为()12222222=÷÷øöççèæ+mw m E q Ep的平面运动,轨道为椭圆,两半轴分别为22,2mw m Eb E a ==,相空间面积为,相空间面积为,2,1,0,2=====òn nh EE ab pdq nw pp 所以,能量 ,2,1,0,==n nh E n方法2:一维谐振子的运动方程为02=+¢¢q q w ,其解为,其解为()j w +=t A q sin速度为速度为 ()j w w +=¢t A q c o s ,动量为()j w mw m +=¢=t A q p cos ,则相积分为,则相积分为 ()()nh T A dt t A dt t A pdq T T ==++=+=òòò2)cos 1(2cos 220220222mw j w mw j w mw , ,2,1,0=n nmw nh T nh A E ===222, ,2,1,0=n (2)设磁场垂直于电子运动方向,受洛仑兹力作用作匀速圆周运动。
(不确定关系、薛定谔方程、一维无限深势阱、隧道效应、能量和角动量量子化、电子自旋、多电子原子)一. 选择题 二.[ A ] 1.(基础训练8)设粒子运动的波函数图线分别如图19-4(A)、(B)、(C)、(D)所示,那么其中确定粒子动量的精确度最高的波函数是哪个图?【提示】: 根据动量的不确定关系:2x x p ∆⋅∆≥,图(A)对应的粒子位置的不确定量大,则动量的不确定量小。
[ C ] 2.(基础训练10) 氢原子中处于2p 状态的电子,描述其量子态的四个量子数(n ,l ,m l ,m s )可能取的值为(A) (2,2,1,21-). (B) (2,0,0,21).(C) (2,1,-1,21-). (D) (2,0,1,21).【提示】:2p 电子:n =2,l =1。
[ C ] 3.(基础训练11)在激光器中利用光学谐振腔 (A) 可提高激光束的方向性,而不能提高激光束的单色性. (B) 可提高激光束的单色性,而不能提高激光束的方向性. (C) 可同时提高激光束的方向性和单色性. (D) 既不能提高激光束的方向性也不能提高其单色性.[ A ] 4.(自测提高5)已知粒子在一维矩形无限深势阱中运动,其波函数为:a x ax 23cos 1)(π⋅=ψ, ( - a ≤x ≤a )那么粒子在x = 5a /6处出现的概率密度为 (A) 1/(2a ). (B) 1/a . (C) a 2/1. (D) a /1【提示】:25/61()2x a x aψ==[ B ] 5.(自测提高7)一维无限深方势阱中,已知势阱宽度为a .应用测不准关系估计势阱中质量为m 的粒子的零点能量为 (A) )/(2ma . (B) )2/(22ma .(C) )2/(2ma . (D) )2/(2ma . [ ]x (A) x (B)x (C) x(D) 图 19-4【提示】:根据动量的不确定关系:x x p ∆⋅∆ ,以及2()2x p E m∆=,题中:x a ∆=。
..量子力学基础习题一、填空题〔在题中的空格处填上正确答案〕1101、光波粒二象性的关系式为_______________________________________。
1102、德布罗意关系式为____________________;宏观物体的λ值比微观物体的λ值_______________。
1103、在电子衍射实验中,│ψ│2对一个电子来说,代表___________________。
1104、测不准关系是_____________________,它说明了_____________________。
1105、一组正交、归一的波函数ψ1,ψ2,ψ3,…。
正交性的数学表达式为,归一性的表达式为。
1106、│ψ (x 1,y 1,z 1,x 2,y 2,z 2)│2代表______________________。
1107、物理量xp y - yp x 的量子力学算符在直角坐标系中的表达式是_____。
1108、质量为m 的一个粒子在长为l 的一维势箱中运动,(1)体系哈密顿算符的本征函数集为_______________________________ ;(2)体系的本征值谱为____________________,最低能量为____________ ;(3)体系处于基态时,粒子出现在0 ─l /2间的概率为_______________ ;(4)势箱越长,其电子从基态向激发态跃迁时吸收光谱波长__________;(5)若该粒子在长l 、宽为2l 的长方形势箱中运动,则其本征函数集为____________,本征值谱为 _______________________________。
1109、质量为m 的粒子被局限在边长为a 的立方箱中运动。
波函数ψ211(x ,y ,z )= _________________________;当粒子处于状态ψ211时,概率密度最大处坐标是_______________________;若体系的能量为2247ma h ,其简并度是_______________。
2.1 如图所示右设粒子的能量为,下面就和两种情况来讨论(一)的情形此时,粒子的波函数所满足的定态薛定谔方程为其中其解分别为(1)粒子从左向右运动右边只有透射波无反射波,所以为零由波函数的连续性得得解得由概率流密度公式入射反射系数透射系数(2)粒子从右向左运动左边只有透射波无反射波,所以为零同理可得两个方程解反射系数透射系数(二)的情形令,不变此时,粒子的波函数所满足的定态薛定谔方程为其解分别为由在右边波函数的有界性得为零(1)粒子从左向右运动得得解得入射反射系数透射系数(2) 粒子从右向左运动左边只有透射波无反射波,所以为零 同理可得方程由于全部透射过去,所以反射系数 透射系数2.2如图所示在有隧穿效应,粒子穿过垒厚为的方势垒的透射系数为总透射系数2.3以势阱底为零势能参考点,如图所示 (1)左 中 0 a x时只有中间有值在中间区域所满足的定态薛定谔方程为其解是由波函数连续性条件得∴∴ 相应的因为正负号不影响其幅度特性可直接写成由波函数归一化条件得所以波函数(2) ∞∞左 中 右0 x显然时只有中间有值在中间区域所满足的定态薛定谔方程为其解是由波函数连续性条件得当,为任意整数,则当,为任意整数,则综合得∴当时,,波函数归一化后当时,,波函数归一化后2.4如图所示左中0 a 显然其中其解为由在右边波函数的有界性得为零∴再由连续性条件,即由得则得得除以得再由公式 ,注意到令,其中,不同n对应不同曲线, 图中只画出了在的取值范围之内的部分65n=0只能取限定的离散的几个值,则E 也取限定的离散的几个值,对每个E ,确定归一化条件得2.5则该一维谐振子的波函数的定态薛定谔方程为令则上式可化成令则只有当有解2.6由 和已知条件可得第三章3.1能量本征值方程为即分离变量法,令则有令则同理令则式中能级简并度为3.2角动量算符在极坐标系下则由能量本征值方程令其解为由周期性得归一化条件则3.4由能量本征值方程令当令 此时 满足的方程为时时只考虑时令其解分别为由波函数有界性得由波函数连续性得再由公式,注意到令,其中 , 不同n 对应不同曲线,图中只画出了在的取值范围之内的部分65只能取限定的离散的几个值,则E也取限定的离散的几个值,对每个E,确定归一化条件得 1 可求得3.5同理方差算符则由测不准关系代入,验证该式是成立的第四章4.1在动量表象中,则代入得令得则归一化后的4.5本征方程的矩阵形式上式存在非零解的条件是即解得当再由得当,同样第六章6.3解:在z S ˆ 表象,nS ˆ的矩阵元为 其相应的久期方程为 即所以nS ˆ的本征值为2±。
量子力学课后习题答案量子力学是物理学中一门重要的学科,它描述了微观粒子的行为和性质。
在学习量子力学的过程中,习题是不可或缺的一部分,通过解答习题可以巩固对该学科的理解和应用。
本文将为大家提供一些量子力学课后习题的答案,希望能对大家的学习有所帮助。
1. 请解释什么是量子力学中的“叠加态”?在量子力学中,叠加态是指一个量子系统处于多个可能状态的线性组合。
这意味着在特定的测量之前,量子系统可以同时处于多个不同的状态。
例如,一个电子可以处于自旋向上和自旋向下的叠加态。
只有在进行测量时,才会决定电子的自旋是向上还是向下。
2. 什么是量子力学中的“测量”?在量子力学中,测量是指对量子系统进行观察并获取其性质或状态的过程。
量子力学的基本原理之一是测量会导致量子系统的状态塌缩到一个确定的状态。
例如,在测量一个电子的自旋时,我们只能观察到它的自旋向上或自旋向下,而不是同时观察到两个状态。
3. 请解释什么是量子力学中的“不确定性原理”?不确定性原理是量子力学的一个基本原理,由海森堡提出。
它指出,在某些物理量(如位置和动量、能量和时间等)之间存在一种固有的不确定性关系,无法同时准确测量这些物理量的值。
换句话说,我们无法同时精确地知道一个粒子的位置和动量,或者一个系统的能量和时间。
4. 请解释什么是量子力学中的“波粒二象性”?波粒二象性是指微观粒子既可以表现出粒子性质,又可以表现出波动性质。
根据波动性,微观粒子可以像波一样传播,并且存在干涉和衍射现象。
根据粒子性,微观粒子具有离散的能量和动量,并且在测量时表现出局部性。
5. 请解释什么是量子力学中的“量子纠缠”?量子纠缠是指两个或多个量子系统之间存在一种特殊的关联关系,使得它们的状态无法独立描述。
当两个量子系统纠缠在一起时,它们的状态会相互依赖,无论它们之间的距离有多远。
这种纠缠关系在量子通信和量子计算中具有重要的应用。
以上是对一些量子力学课后习题的简要答案。
通过解答这些习题,我们可以更好地理解和应用量子力学的概念和原理。
量子力学习题及答案1. 简答题a) 什么是量子力学?量子力学是一门研究微观领域中原子和基本粒子行为的物理学理论。
它描述了微观粒子的特性和相互作用,以及它们在粒子与波的二重性中所呈现出的行为。
b) 什么是波函数?波函数是描述量子体系的数学函数。
它包含了关于粒子的位置、动量、能量等信息。
波函数通常用符号ψ表示,并且可用于计算概率分布。
c) 什么是量子态?量子态是描述量子系统的状态。
它包含了有关系统性质的完整信息,并且根据量子力学规则演化。
量子系统可以处于多个量子态的叠加态。
d) 什么是量子叠加态?量子叠加态是指量子系统处于多个不同态的线性叠加。
例如,一个量子比特可以处于0态和1态的叠加态。
2. 选择题a) 下列哪个物理量在量子力学中具有不确定性?1.速度2.质量3.位置4.电荷答案:3. 位置b) 关于波函数的哪个说法是正确的?1.波函数只能描述单个粒子的行为2.波函数可以表示粒子的位置和动量的确定值3.波函数的模的平方表示粒子的位置概率分布4.波函数只适用于经典力学体系答案:3. 波函数的模的平方表示粒子的位置概率分布c) 下列哪个原理是量子力学的基本假设?1.宏观世界的实在性2.新托尼克力学3.不确定性原理4.不可分割性原理答案:4. 不可分割性原理3. 计算题a) 计算氢原子的基态能级氢原子的基态能级可以通过解氢原子的薛定谔方程得到。
基态能级对应的主量子数为n=1。
基态能级的能量公式为: E = -13.6 eV / n^2代入n=1,可以计算得到氢原子的基态能级为:-13.6 eVb) 简述量子力学中的双缝干涉实验双缝干涉实验是一种经典的量子力学实验,用于研究光和物质粒子的波粒二象性。
实验装置包括一道光源、两个狭缝和一个光屏。
当光的波长足够小,两个狭缝足够细时,光通过狭缝后会形成一系列的波纹,这些波纹会在光屏上出现干涉条纹。
实验结果显示,光在光屏上呈现出干涉现象,表现为明暗相间的条纹。
这种实验结果说明了光具有波动性,同时也具有粒子性。
陈鄂生《量子力学教程》习题答案第二章_力学量算符陈鄂生《量子力学教程》习题答案第二章_力学量算符含答案第一节算符理论基础1.量子力学中的基本假设包括哪些?它们各自的物理意义是什么?答:量子力学中的基本假设包括:(1) 波函数假设:用波函数Ψ(x)描述微观粒子的运动状态,波函数的模的平方表示找到粒子在空间中某一点的概率。
(2) 物理量算符假设:每个物理量都对应一个算符,而对应的测量值是算符的本征值。
(3) 波函数演化假设:波函数随时间的演化遵循薛定谔方程。
(4) 基态能量假设:系统的最低能量对应于基态,且能量是量子化的。
这些基本假设反映了量子力学的基本原理和规律。
2.什么是算符的本征值和本征函数?答:算符的本征值是指对应于某个物理量的算符的一个特征值,它代表了该物理量的一个可能的测量结果。
本征函数是对应于某个物理量的算符的一个特征函数,它表示的是该物理量的一个可能的状态。
3.什么是算符的厄米性?答:算符的厄米性是指一个算符与其共轭转置算符相等。
对于一个算符A,如果满足A†=A,则称该算符是厄米算符。
4.什么是算符的厄米共轭?答:算符的厄米共轭是指将算符的每一项的系数取复共轭得到的新算符。
对于一个算符A,它的厄米共轭算符A†可以通过将A的每一项的系数取复共轭得到。
5.什么是算符的共同本征函数?答:算符的共同本征函数是指对于两个或多个算符A和B,存在一组波函数Ψ(x)使得同时满足AΨ(x)=aΨ(x)和BΨ(x)=bΨ(x)。
其中a和b分别是A和B的本征值。
6.什么是算符的对易性?答:算符的对易性是指两个算符之间的交换顺序不改变它们的结果。
如果两个算符A和B满足[A,B]=AB-BA=0,则称它们对易。
第二节动量算符1.什么是动量算符?它的本征值和本征函数分别是什么?答:动量算符是描述粒子动量的算符,用符号p表示。
动量算符的本征值是粒子的可能动量值,本征函数则是对应于这些可能动量的波函数。
动量算符的本征函数是平面波函数,即Ψp(x)=Nexp(ipx/ħ),其中N是归一化常数,p是动量的本征值。
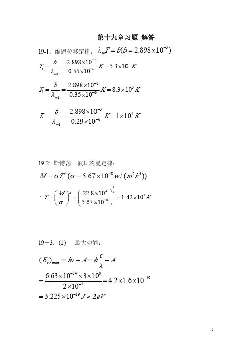
量子力学习题及解答第一章 量子理论基础1.1 由黑体辐射公式导出维恩位移定律:能量密度极大值所对应的波长m λ与温度T 成反比,即m λ T=b (常量); 并近似计算b 的数值,准确到二位有效数字。
解 根据普朗克的黑体辐射公式dv e chv d kThv v v 11833-⋅=πρ, (1)以及 c v =λ, (2)λρρd dv v v -=, (3)有,118)()(5-⋅=⋅=⎪⎭⎫ ⎝⎛-=-=kThc v v ehc cd c d d dv λλλπλλρλλλρλρρ这里的λρ的物理意义是黑体内波长介于λ与λ+d λ之间的辐射能量密度。
本题关注的是λ取何值时,λρ取得极大值,因此,就得要求λρ 对λ的一阶导数为零,由此可求得相应的λ的值,记作m λ。
但要注意的是,还需要验证λρ对λ的二阶导数在m λ处的取值是否小于零,如果小于零,那么前面求得的m λ就是要求的,具体如下:01151186'=⎪⎪⎪⎭⎫⎝⎛-⋅+--⋅=-kT hc kT hc e kT hc e hc λλλλλπρ ⇒ 0115=-⋅+--kT hce kThc λλ ⇒ kThce kT hc λλ=--)1(5 如果令x=kThcλ ,则上述方程为x e x =--)1(5这是一个超越方程。
首先,易知此方程有解:x=0,但经过验证,此解是平庸的;另外的一个解可以通过逐步近似法或者数值计算法获得:x=4.97,经过验证,此解正是所要求的,这样则有xkhc T m =λ 把x 以及三个物理常量代入到上式便知K m T m ⋅⨯=-3109.2λ这便是维恩位移定律。
据此,我们知识物体温度升高的话,辐射的能量分布的峰值向较短波长方面移动,这样便会根据热物体(如遥远星体)的发光颜色来判定温度的高低。
1.2 在0K 附近,钠的价电子能量约为3eV ,求其德布罗意波长。
解 根据德布罗意波粒二象性的关系,可知E=hv ,λhP =如果所考虑的粒子是非相对论性的电子(2c E e μ<<动),那么ep E μ22= 如果我们考察的是相对性的光子,那么E=pc注意到本题所考虑的钠的价电子的动能仅为3eV ,远远小于电子的质量与光速平方的乘积,即eV 61051.0⨯,因此利用非相对论性的电子的能量——动量关系式,这样,便有p h =λ nmm m E c hc Eh e e 71.01071.031051.021024.1229662=⨯=⨯⨯⨯⨯===--μμ在这里,利用了m eV hc ⋅⨯=-61024.1以及eV c e 621051.0⨯=μ最后,对Ec hc e 22μλ=作一点讨论,从上式可以看出,当粒子的质量越大时,这个粒子的波长就越短,因而这个粒子的波动性较弱,而粒子性较强;同样的,当粒子的动能越大时,这个粒子的波长就越短,因而这个粒子的波动性较弱,而粒子性较强,由于宏观世界的物体质量普遍很大,因而波动性极弱,显现出来的都是粒子性,这种波粒二象性,从某种子意义来说,只有在微观世界才能显现。
习题22-1.计算下列客体具有MeV 10动能时的物质波波长,(1)电子;(2)质子。
解:(1) 电子高速运动,设电子的总能量可写为:20K E E m c =+ 用相对论公式,222240E c p m c =+ 可得(2)对于质子,利用德布罗意波的计算公式即可得出:22-2.计算在彩色电 视显像管的加速电压作用下电子的物质波波长,已知加速电压为kV 0.25,(1)用非相对论公式;(2)用相对论公式。
解:(1)用非相对论公式:m meU h mE h 123193134108.71025106.1101.921063.622p h ----⨯=⨯⨯⨯⨯⨯⨯⨯====λ(2)用相对论公式:22-3.一中子束通过晶体发生衍射。
已知晶面间距nm 1032.72-⨯=d ,中子的动能eV 20.4k =E ,求对此晶面簇反射方向发生一级极大的中子束的掠射角.解:先利用德布罗意波的计算公式即可得出波长:再利用晶体衍射的公式,可得出:2sin d k ϕλ= 0,1,2k =…22-4.以速度m/s 1063⨯=v 运动的电子射入场强为5V/cm =E 的匀强电场中加速,为使电子波长 A 1=λ,电子在此场中应该飞行多长的距离? 解:3410h 110p m λ--====⨯ 可得:U=150.9V ,所以 U=Ed ,得出d=30.2cm 。
22-5.设电子的位置不确定度为A 1.0,计算它的动量的不确定度;若电子的能量约为keV 1,计算电子能量的不确定度。
解:由测不准关系: 3424101.0510 5.2510220.110h p x ---⨯∆===⨯∆⨯⨯ 由波长关系式:Ec h =λ 可推出: E E c h ∆=∆λ 22-6.氢原子的吸收谱线 A 5.4340=λ的谱线宽度为A 102-,计算原子处在被激发态上的平均寿命。
解:能量hcE h νλ==,由于激发能级有一定的宽度ΔE ,造成谱线也有一定宽度Δλ,两者之间的关系为:2hcE λλ∆=∆由测不准关系,/2,E t ∆∆≥平均寿命τ=Δt ,则22-7.若红宝石发出中心波长m 103.67-⨯=λ的短脉冲信号,时距为)s 10(ns 19-,计算该信号的波长宽度λ∆。
01.量子力学基础知识本章主要知识点一、微观粒子的运动特征 1. 波粒二象性:,hE h p νλ==2. 测不准原理:,,,x y z x p h y p h z p h t E h ∆∆≥∆∆≥∆∆≥∆∆≥3. 能量量子化; 二、量子力学基本假设1. 假设1:对于一个量子力学体系,可以用坐标和时间变量的函数(,,,)x y z t ψ来描述,它包括体系的全部信息。
这一函数称为波函数或态函数,简称态。
不含时间的波函数(,,)x y z ψ称为定态波函数。
在本课程中主要讨论定态波函数。
由于空间某点波的强度与波函数绝对值的平方成正比,即在该点附近找到粒子的几率正比于*ψψ,所以通常将用波函数ψ描述的波称为几率波。
在原子、分子等体系中,将ψ称为原子轨道或分子轨道;将*ψψ称为几率密度,它就是通常所说的电子云;*d ψψτ为空间某点附近体积元d τ中电子出现的几率。
对于波函数有不同的解释,现在被普遍接受的是玻恩(M. Born )统计解释,这一解释的基本思想是:粒子的波动性(即德布罗意波)表现在粒子在空间出现几率的分布的波动,这种波也称作“几率波”。
波函数ψ可以是复函数,ψψψ⋅=*2合格(品优)波函数:单值、连续、平方可积。
2. 假设2:对一个微观体系的每一个可观测的物理量,都对应着一个线性自厄算符。
算符:作用对象是函数,作用后函数变为新的函数。
线性算符:作用到线性组合的函数等于对每个函数作用后的线性组合的算符。
11221122ˆˆˆ()A c c c A c A ψψψψ+=+ 自厄算符:满足**2121ˆˆ()d ()d A A ψψτψψτ=∫∫的算符。
自厄算符的性质:(1)本证值都是实数;(2)不同本证值的本证函数相互正交。
3. 假设3:若某一物理量A 的算符ˆA作用于某一状态函数ψ,等于某一常数a 乘以ψ,即:ˆAa ψψ=,那么对ψ所描述的这个微观体系的状态,物理量A 具有确定的数字a 。
第十九章 量子力学基础(Ⅱ)
(薛定谔方程、一维无限深势阱、隧道效应、能量和角动量量子化、电子自旋、多电子原子)
一. 选择题
[ C ]1.(基础训练10)氢原子中处于2p 状态的电子,描述其量子态的四个量子数(n ,l ,m l ,m s )可能取的值为
(A) (2,2,1,21−). (B) (2,0,0,21
). (C) (2,1,-1,21−). (D) (2,0,1,2
1
).
【提示】p 电子:l =1,对应的m l 可取-1、0、1, m s 可取
21或2
1−。
[ C ]2.(基础训练11)在激光器中利用光学谐振腔
(A) 可提高激光束的方向性,而不能提高激光束的单色性. (B) 可提高激光束的单色性,而不能提高激光束的方向性. (C) 可同时提高激光束的方向性和单色性.
(D) 既不能提高激光束的方向性也不能提高其单色性.
[ D ]3.(自测提高7)直接证实了电子自旋存在的最早的实验之一是 (A) 康普顿实验. (B) 卢瑟福实验.
(C) 戴维孙-革末实验. (D) 斯特恩-革拉赫实验.
[ C ]4.(自测提高9)粒子在外力场中沿x 轴运动,如果它在力场中的势能分布如附图所示,对于能量为 E < U 0从左向右运动的粒子,若用 ρ1、ρ2、ρ3分别表示在x < 0,0 < x <a ,x > a 三个区域发现粒子的概率,则有
(A) ρ1 ≠ 0,ρ2 = ρ3 = 0.
(B) ρ1 ≠ 0,ρ2 ≠ 0,ρ3 = 0.
(C) ρ1 ≠ 0,ρ2 ≠ 0,ρ3 ≠ 0.
(D) ρ1 = 0,ρ2 ≠ 0,ρ3 ≠ 0. 【提示】隧道效应
二. 填空题
1.(基础训练17)在主量子数n =2,自旋磁量子数2
1
=s m 的量子态中,能够填充的最大电子数是_________.
【提示】L 壳层:n =2,能够填充的最大电子数是2n 2=8。
考虑到本题m s 只取2
1
,此时能够填充的最大电子数是4。
2.(基础训练20)在下列给出的各种条件中,哪些是产生激光的条件,将其标号列下:(2) (3 ) (4) (5). (1)自发辐射.(2)受激辐射.(3)粒子数反转.(4)三能极系统.(5)谐振腔.
x O
U (x )U 0
a
3.(自测提高16)有一种原子,在基态时n = 1和n = 2的主壳层都填满电子,3s 次壳层也填满电子,而3p 壳层只填充一半.这种原子的原子序数是15.
【提示】1s 2 2s 2 2p 6 3s 2 3p 3
4.(自测提高17)在下列各组量子数的空格上,填上适当的数值,以便使它们可以描述原子中电子的状态:
(1) n =2,l =___1___,m l = -1,21
−
=s m . (2) (2) n =2,l =0,m l =__0___,2
1
=s m .
(3) n =2,l =1,m l = 0,m s =11
22
或-.
三. 计算题
a 的一维无限深方势阱中运动的波函数为 , n = 1, 2, 3, … 试计算n = 1时,在 x 1 = a /4 →x 2 = 3a /4区间找到粒子的概率。
解:n = 1
时,粒子在一维无限深方势阱中运动(势阱宽度为a )的波函数为 ()x
x a
ψπ=
( 0 < x < a ),
则:在 x 1 = a /4 →x 2 = 3a /4区间找到粒子的概率为:
dx
2.(自测提高24)已知氢原子的核外电子在1s 态时其定态波函数为
a r a /3100e π
1−=
ψ
式中 2
2
0e
m h a e π=
ε .试求沿径向找到电子的概率为最大时的位置坐标值.
2
210022
2222210
02
142()(20
0.52910()r a
r r
a a e s r r dr
w r dr
w r e
w dw d r r e r e dr dr a
h r =a =m m e
ψπεπ−
−−− →+=∝==−==×解:氢原子态的定态波函数为球对称的,在径向区间找到电子的概率为:
即: 沿径向对求极大值,
令:得:。