长安大学608数学分析2007年考研真题
- 格式:pptx
- 大小:234.59 KB
- 文档页数:2
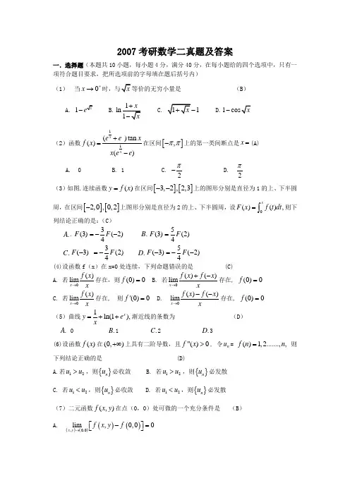
最新整理2007年全国硕士研究生入学统一考试数学二试题一、选择题:1~10小题,每小题4分,共40分. 在每小题给出的四个选项中,只有一项符合题目要求,把所选项前的字母填在题后的括号内. (1)当0x +→时,与x 等价的无穷小量是(A )1ex- (B )1ln1xx+- (C )11x +- (D )1cos x - [ ](2)函数在[],ππ-上的第一类间断点是x = [ ](A )0(B )1(C )2π-(D )2π (3)如图,连续函数()y f x =在区间[][]3,2,2,3--上的图形分别是直径为1的上、下半圆周,在区间[][]2,0,0,2-上的图形分别是直径为2的下、上半圆周,设0()()d xF x f t t =⎰,则下列结论正确的是:( )(A )3(3)(2)4F F =-- (B) 5(3)(2)4F F =(C ))()(2433F F =-(D ))()(2453-=-F F [ ] (4)设函数()f x 在0x =处连续,下列命题错误的是(A )若0()lim x f x x→存在,则(0)0f =(B )若0()()limx f x f x x→+-存在,则(0)0f = .(C )若0()lim x f x x→存在,则(0)0f '=(D )若0()()lim x f x f x x→--存在,则(0)0f '=.(5)曲线()1ln 1e xy x=++渐近线的条数为(A )0.(B )1.(C )2.(D )3. [ ](6)设函数()f x 在(0,)+∞上具有二阶导数,且()0f x ''>,令()n u f n =)(Λ,2,1=n ,则下列结论正确的是: (A) 若12u u > ,则{}n u 必收敛. (B) 若12u u > ,则{}n u 必发散(C) 若12u u < ,则{}n u 必收敛.(D) 若12u u < ,则{}n u 必发散. [ ](21)(本题满分12分)已知曲线L 的方程221,(0)4x t t y t t⎧=+≥⎨=-⎩(I )讨论L 的凹凸性;(II )过点(1,0)-引L 的切线,求切点00(,)x y ,并写出切线的方程;(III )求此切线与L (对应于0x x ≤的部分)及x 轴所围成的平面图形的面积.(22)(本题满分9分)已知非齐次线性方程组1234123412341435131x x x x x x x x ax x x bx +++=-⎧⎪++-=-⎨⎪+++=⎩有3个线性无关的解.(Ⅰ)证明方程组系数矩阵A 的秩()2r A =;(Ⅱ)求,a b 的值及方程组的通解.(23)(本题满分9分)设3阶实对称矩阵A 的各行元素之和均为3,向量()()T T121,2,1,0,1,1αα=--=-是线性方程组0Ax =的两个解.(Ⅰ) 求A 的特征值与特征向量;(Ⅱ) 求正交矩阵Q 和对角矩阵Λ,使得TQ AQ =Λ.(A) 2222y u x u ∂∂-=∂∂.(B ) 2222y u x u ∂∂=∂∂. (C) 222yu y x u ∂∂=∂∂∂.(D) 222xu y x u ∂∂=∂∂∂. [ ](12)设函数,11)(1-=-x x ex f 则( )(A )x=0,x=1都是f(x)的第一类间断点. (B )x=0,x=1都是f(x)的第二类间断点.(C )x=0是f(x)的第一类间断点,x=1是f(x)的第二类间断点.(D )x=0是f(x)的第二类间断点,x=1是f(x)的第一类间断点. [ ](13)设21,λλ是矩阵A 的两个不同的特征值,对应的特征向量分别为21,αα,则1α,)(21αα+A 线性无关的充分必要条件是(A) 01≠λ. (B) 02≠λ.(C) 01=λ. (D) 02=λ. [ ](14)设A 为n (2≥n )阶可逆矩阵,交换A 的第1行与第2行得矩阵B, **,B A 分别为A,B 的伴随矩阵,则 [ ] (A )交换*A 的第1列与第2列得*B . (B) 交换*A 的第1行与第2行得*B . (C) 交换*A 的第1列与第2列得*B -.(D) 交换*A 的第1行与第2行得*B -.三 、解答题(本题共9小题,满分94分.解答应写出文字说明、证明过程或演算步骤.) (15)(本题满分11分)设函数f(x)连续,且0)0(≠f ,求极限.)()()(lim⎰⎰--→x xx dtt x f x dtt f t x(16)(本题满分11分)如图,1C 和2C 分别是)1(21x e y +=和x e y =的图象,过点(0,1)的曲线3C 是一单调增函数的图象. 过2C 上任一点M(x,y)分别作垂直于x 轴和y 轴的直线x l 和y l . 记21,C C 与x l 所围图形的面积为)(1x S ;3C 的方程32,C C 与y l 所围图形的面积为).(2y S 如果总有)()(21y S x S =,求曲线).(y x ϕ=(17)(本题满分11分)如图,曲线C 的方程为y=f(x),点(3,2)是它的一个拐点,直线1l 与2l 分别是曲线C 在点(0,0)与(3,2)处的切线,其交点为(2,4). 设函数f(x)具有三阶连续导数,计算定积分试问a取何值时, 该方程组有非零解, 并求出其通解.(23)(本题满分9分)设矩阵12314315a-⎛⎫⎪--⎪⎪⎝⎭的特征方程有一个二重根, 求a的值, 并讨论A是否可相似对角化.(A) 求曲线 )(x f y =的方程;(B) 已知曲线x y sin =在],0[π上的弧长为l ,试用l 表示曲线)(x f y =的弧长s .九 、(本题满分10分)有一平底容器,其内侧壁是由曲线)0)((≥=y y x ϕ绕y 轴旋转而成的旋转曲面(如图),容器的底面圆的半径为2 m.根据设计要求,当以min /33m 的速率向容器内注入液体时,液面的面积将以min /2m π的速率均匀扩大(假设注入液体前,容器内无液体).(1) 根据t 时刻液面的面积,写出t 与)(y ϕ之间的关系式; (2) 求曲线)(y x ϕ=的方程.(注:m 表示长度单位米,min 表示时间单位分.)任意常数k 必有( )(A)21321,,,ββααα+k 线性无关; (B) 21321,,,ββααα+k 线性相关; (C)21321,,,ββαααk +线性无关;(D) 21321,,,ββαααk +线性相关.三、(本题满分6分)已知曲线的极坐标方程为θcos 1-=r ,求该曲线对应于6πθ=处的切线与法线的直角坐标方程.四、(本题满分7分)设.1001.)1(232)(22≤≤<≤-⎪⎪⎩⎪⎪⎨⎧++=x x e xe x x x f x x ,,,求函数⎰-=x dt t f x F 1)()(的表达式.五、(本题满分7分)已知函数)(x f 在),(∞+0内可导,0)(>x f ,1)(lim =+∞→x f x ,且满足 x he xf hx x f h 11))()((lim 0=+→,求)(x f .六、(本题满分7分)求微分方程0)2(=-+dx y x xdy 的一个解)(x y y =,使得由曲线)(x y y =与直线2,1==x x 以及x 轴所围成的平面图形绕x 轴旋转一周的旋转体的体积最小.七、(本题满分7分)某闸门的形状与大小如图所示,其中直线l 为对称轴,闸门的上部为矩形ABCD,下部由二次抛物线与线段AB所围成.当水面与闸门的上断相平时,欲使闸门矩形部分与承受的水压与闸门下部承受的水压之比为5:4,闸门矩形部分的高h 应为多少米?三、(本题满分6分)求⎰++1)12(22x xdx.四、(本题满分7分)求极限sin sin sin lim()sin xt x t x t x-→记此极限为)(x f ,求函数)(x f 的间断点并指出其类型.五、(本题满分7分)设)(x ρρ=是抛物线x y =上任意一点M (y x ,)(1≥x )处的曲率半径,)(x s s =是抛物线上介于点A (1,1)与M 之间的弧长,计算222)(3ds d ds d ρρρ-的值(在直角坐标系下曲率公式为K =23)1(2y y '+'').六、(本题满分7分)设函数)(x f 在[0,+∞)可导,)0(f =0,且其反函数为)(x g . 若x x f e x dt t g 2)(0)(=⎰,求)(x f .七、(本题满分7分)设函数)(x f ,)(x g 满足)(x f '=)(x g , )(x g '=2xe -)(xf 且)0(f =0,(0)g =2,求dx x x f x x g ⎰+-+π2])1()(1)([.1、 写出)(x f 的带拉格朗日余项的一阶麦克劳林公式;2、 证明在],[a a -上至少存在一点η,使⎰-=''a adx x f f a )(3)(3η十一、(本题满分6分)已知矩阵⎪⎪⎪⎭⎫ ⎝⎛=⎪⎪⎪⎭⎫ ⎝⎛=011101110,111011001B A 且矩阵X 满足X E E BXA AXB BXA AXA 阶单位矩阵,求是其中3,++=+.十二、(本题满分6分)已知4321,,,αααα是线性方程组0=AX 的一个基础解系,若144433322211,,,ααβααβααβααβt t t t +=+=+=+=,讨论实数t 满足什么关系时, 4321,,,ββββ也是0=AX 的一个基础解系.2000年全国硕士研究生入学统一考试数学(二)试卷一、填空题(本题共5小题,每小题3分,满分15分.把答案填在题中横线上) (1) ()=+-→30x 21ln arctan limx xx _____________.-(2)设函数()x y y =由方程y x xy+=2所确定,则=-0x dy _____________.(3)()=-+⎰+∞227x x dx_____________.(4)曲线()xe x y 112-=的斜渐进线方程为_____________.(5)设E A ,⎪⎪⎪⎪⎪⎭⎫ ⎝⎛---=7000650004300021为4阶单位矩阵,且()()()=+-+=--11,B E A E A E B 则_____________.10.具有特解xx x e y xe y e y 3,2,321===--的3阶常系数齐次线性微分方程是( )(A ).0=+'-''-'''y y y y (B ).0=-'-''+'''y y y y(C ).06116=-'+''-'''y y y y (D ).022=+'-''-'''y y y y 三、解答题 11.设()()()⎰+=.,1ln ln dx x f xx x f 计算12.设xOy 平面上有正方形{}10,10,≤≤≤≤=y x y x D )(及直线()()t S t t y x l 若.0:≥=+表示正方形D 位于直线l 左下方部分的面积,试求()().00⎰≥xx dt t S13.求函数()()()().3001ln 2≥=+=n f n x x x x f x阶导数处的在14.设函数(),cos 0dt t x S x⎰=(1)当n 为正整数,且()()();1221+<≤+<≤n x S n n x n 时,证明:ππ (2)求().lim xx S x +∞→15.某湖泊的水量为V ,每年排入湖泊内含污染物A 的污水量为6V ,流入湖泊内不含A 的水量为6V,流出湖泊的水量为3V.已知1999年年底湖中A 的含量为05m ,超过国家规定指标,为了治理污水,从2000年年初起,限定排入湖泊中含A 污水的浓度不超过.0Vm问至多需经过多少年,湖泊中污染物A 的含量将至0m 以内?(注:设湖水中A 的浓度是均匀的.)1999年全国硕士研究生入学统一考试数学(二)试卷一、填空题(本题共5小题,每小题3分,满分15分.把答案填在题中横线上)(1) 曲线⎩⎨⎧==te y te x tt cos 2sin 在点(0,1)处的法线方程为_____________. (2)设函数()x y y =由方程()x y x y x sin ln 32+=+确定,则=-0x dxdy _____________.(3)=+-+⎰dx x x x 13652_____________.(4)函数221x x y -=在区间]23,21[上的评价值为_____________. (5)微分方程xe y y 24=-''的通解为_____________.三、(本题满分5分) 求()21ln sin 1tan 1limxx x xx x -++-+→四、(本题满分6分) 计算.arctan 12dx x x⎰+∞五、(本题满分7分)求初值问题()()⎪⎩⎪⎨⎧=>=-++=00,0122x y x xdy dx y x y 的解六、(本题满分7分) 为清楚井底的污泥,用缆绳将抓斗放入井底,抓起污泥提出井口,已知井深30m ,抓斗自重400N,缆绳每米重500N ,抓斗抓起的污泥重2000N ,提升速度为3m/s,在提升过程中,污泥以20N/s 的速度从抓斗缝隙中漏掉,现将抓起污泥的抓斗提升至井口,问克服重力需作多少焦耳的功?(说明:①1N ×1m=1J ;m,N,s,J 分别表示米,牛顿,秒,焦耳;②抓斗的高度位于井口上方的缆绳长度忽略不计)七、(本题满分8分)已知函数(),123-=x x y 求 (1)函数的增减区间及极值; (2)函数图形的凸凹区间及拐点;(3)函数图形的渐近线。
2007年硕士研究生入学考试数学一试题及答案解析一、选择题:(本题共10小题,每小题4分,共40分. 每小题给出的四个选项中,只有一项符合题目要求,把所选项前的字母填在题后的括号内)(1)当0x +→等价的无穷小量是(A)1-ln1. (D) 1-. [ B ]【分析】 利用已知无穷小量的等价代换公式,尽量将四个选项先转化为其等价无穷小量,再进行比较分析找出正确答案.【详解】 当0x +→时,有1(1)~-=--1~;2111~.22x -= 利用排除法知应选(B). (2)曲线1ln(1)x y e x=++,渐近线的条数为(A)0.(B)1.(C)2.(D)3. [ D ]【分析】 先找出无定义点,确定其是否为对应垂直渐近线;再考虑水平或斜渐近线。
【详解】 因为01lim[ln(1)]xx e x→++=∞,所以0x =为垂直渐近线;又 1lim [ln(1)]0xx e x→-∞++=,所以y=0为水平渐近线;进一步,21ln(1)ln(1)lim lim [lim x x x x x y e e x x x x→+∞→+∞→+∞++=+==lim 11xx x e e →+∞=+,1lim [1]lim [ln(1)]x x x y x e x x →+∞→+∞-⋅=++-=lim [ln(1)]x x e x →+∞+- =lim [ln (1)]lim ln(1)0xxxx x e e x e --→+∞→+∞+-=+=,于是有斜渐近线:y = x . 故应选(D).(3)如图,连续函数y =f (x )在区间[−3,−2],[2,3]上的图形分别是直径为1的上、下半圆周,在区间[−2,0],[0,2]的图形分别是直径为2的上、下半圆周,设0()().xF x f t dt =⎰则下列结论正确的是(A)3(3)(2)4F F =--. (B)5(3)(2)4F F =. (C))2(43)3(F F =-.(D))2(45)3(--=-F F .[ C ]【分析】 本题考查定积分的几何意义,应注意f (x )在不同区间段上的符号,从而搞清楚相应积分与面积的关系。
2007-2010年全国硕士研究生入学考试数学真题详解——线性代数部分一、2007年:1、(2007年数学一、二、三、四) 设向量组321,,ααα线性无关,则下列向量组线性相关的是(A) 133221,,αααααα---. (B) 133221,,αααααα+++.(C) 1332212,2,2αααααα---. (D) 1332212,2,2αααααα+++. [ ] 【答案】A【详解】用定义进行判定:令0)()()(133322211=-+-+-ααααααx x x ,得 0)()()(332221131=+-++-+-αααx x x x x x .因321,,ααα线性无关,所以 1312230,0,0.x x x x x x -=⎧⎪-+=⎨⎪-+=⎩ 又 011011101=---, 故上述齐次线性方程组有非零解, 即133221,,αααααα---线性相关. 类似可得(B), (C), (D)中的向量组都是线性无关的.2、(2007年数学一、二、三、四) 设矩阵⎪⎪⎪⎭⎫ ⎝⎛------=211121112A , ⎪⎪⎪⎭⎫ ⎝⎛=000010001B , 则A 与B(A) 合同, 且相似. (B) 合同, 但不相似 .(C) 不合同, 但相似. (D) 既不合同, 又不相似. [ ] 【答案】B【详解】 由0||=-A E λ 得A 的特征值为0, 3, 3, 而B 的特征值为0, 1, 1,从而A 与B 不相似.又r (A )=r (B )=2, 且A 、B 有相同的正惯性指数, 因此A 与B 合同. 故选(B) .3、(2007年数学一、二、三、四) 设矩阵⎪⎪⎪⎪⎪⎭⎫ ⎝⎛=0000100001000010A , 则3A 的秩为 . 【答案】1【详解】 依矩阵乘法直接计算得 ⎪⎪⎪⎪⎪⎭⎫ ⎝⎛=00000000000010003A , 故r (3A )=1.4、(2007年数学一、二、三、四)设线性方程组⎪⎩⎪⎨⎧=++=++=++04,02,03221321321xa x x ax x x x x x ①与方程12321-=++a x x x ②有公共解,求a 的值及所有公共解.【分析】 两个方程有公共解就是①与②联立起来的非齐次线性方程组有解. 【详解】 将①与②联立得非齐次线性方程组:⎪⎪⎩⎪⎪⎨⎧-=++=++=++=++.12,04,02,03213221321321a x x x x a x x ax x x x x x ③ 若此非齐次线性方程组有解, 则①与②有公共解, 且③的解即为所求全部公共解. 对③的增广矩阵A 作初等行变换得:→⎪⎪⎪⎪⎪⎭⎫⎝⎛-=112104102101112a a a A ⎪⎪⎪⎪⎪⎭⎫⎝⎛-----11000)1)(2(0001100111a a a a a .于是1° 当a =1时,有)()(A r A r ==2<3,方程组③有解, 即①与②有公共解, 其全部公共解即为③的通解,此时⎪⎪⎪⎪⎪⎭⎫⎝⎛→0000000000100101A , 此时方程组③为齐次线性方程组,其基础解系为: ⎪⎪⎪⎭⎫⎝⎛-101,所以①与②的全部公共解为⎪⎪⎪⎭⎫ ⎝⎛-101k ,k 为任意常数.2° 当a =2时,有)()(A r A r ==3,方程组③有唯一解, 此时⎪⎪⎪⎪⎪⎭⎫⎝⎛-→0000110010100001A ,故方程组③的解为:011⎛⎫ ⎪⎪ ⎪-⎝⎭, 即①与②有唯一公共解: 为123011x x x x ⎛⎫⎛⎫⎪ ⎪== ⎪ ⎪ ⎪ ⎪-⎝⎭⎝⎭.5、(2007年数学一、二、三、四)设3阶对称矩阵A的特征值,2,2,1321-===λλλ T)1,1,1(1-=α是A的属于1λ的一个特征向量,记E A A B +-=354其中E 为3阶单位矩阵.(I) 验证1α是矩阵B的特征向量,并求B 的全部特征值与特征向量.(II) 求矩阵B.【分析】 根据特征值的性质可立即得B 的特征值, 然后由B 也是对称矩阵可求出其另外两个线性无关的特征向量.【详解】 (I) 由11αα=A 得 1112ααα==A A , 进一步 113αα=A , 115αα=A , 故 1351)4(ααE A A B +-=113154ααα+-=A A1114ααα+-=12α-=,从而1α是矩阵B的属于特征值−2的特征向量.因E A A B +-=354, 及A的3个特征值,2,2,1321-===λλλ 得 B 的3个特征值为1,1,2321==-=μμμ.设32,αα为B 的属于132==μμ的两个线性无关的特征向量, 又A为对称矩阵,得B 也是对称矩阵, 因此1α与32,αα正交, 即0,03121==ααααT T 所以32,αα可取为下列齐次线性方程组两个线性无关的解:0)1,1,1(321=⎪⎪⎪⎭⎫ ⎝⎛-x x x ,其基础解系为: ⎪⎪⎪⎭⎫ ⎝⎛011,⎪⎪⎪⎭⎫ ⎝⎛-101 , 故可取2α=⎪⎪⎪⎭⎫ ⎝⎛011, 3α=⎪⎪⎪⎭⎫ ⎝⎛-101.即B 的全部特征值的特征向量为: ⎪⎪⎪⎭⎫⎝⎛-1111k , ⎪⎪⎪⎭⎫ ⎝⎛-+⎪⎪⎪⎭⎫ ⎝⎛10101132k k , 其中01≠k ,是不为零的任意常数, 32,k k 是不同时为零的任意常数.(II) 令),,(321ααα=P =⎪⎪⎪⎭⎫ ⎝⎛--101011111, 则 ⎪⎪⎪⎭⎫⎝⎛-=-1121BP P ,得 1112-⎪⎪⎪⎭⎫ ⎝⎛-=P P B =⎪⎪⎪⎭⎫ ⎝⎛--101011111⎪⎪⎪⎭⎫⎝⎛-112⎪⎪⎪⎭⎫ ⎝⎛--21112111131=⎪⎪⎪⎭⎫ ⎝⎛---102012112⎪⎪⎪⎭⎫ ⎝⎛--21112111131⎪⎪⎪⎭⎫ ⎝⎛--=011101110.二、2008年:1、(2008年数学一、二、三、四)设A 为n 阶非零矩阵,E 为n 阶单位矩阵.若30A =,则[ ]则下列结论正确的是:(A) E A -不可逆,则E A +不可逆. (B) E A -不可逆,则E A +可逆.(C) E A -可逆,则E A +可逆. (D) E A -可逆,则E A +不可逆. 【答案】应选(C).【详解】23()()E A E A A E A E -++=-=,23()()E A E A A E A E +-+=+=. 故E A -,E A +均可逆.故应选(C).2、(2008年数学一)设A 为3阶实对称矩阵,如果二次曲面方程()1x x yz A y z ⎛⎫⎪= ⎪ ⎪⎝⎭在正交变换下的标准方程的图形如图,则A 的正特征值个数为[ ](A) 0. (B) 1. (C) 2. (D) 3. 【答案】 应选(B).【详解】此二次曲面为旋转双叶双曲面,此曲面的标准方程为222221x y z a c +-=.故A 的正特征值个数为1.故应选(B).3、(2008年数学二、三、四)设1221A ⎛⎫=⎪⎝⎭,则在实数域上,与A 合同矩阵为[ ] (A) 2112-⎛⎫⎪-⎝⎭ . (B)2112-⎛⎫ ⎪-⎝⎭. (C) 2112⎛⎫ ⎪⎝⎭. (D) 1221-⎛⎫ ⎪-⎝⎭. 【答案】 应选(D). 【详解】2212(1)423(1)(3)021E A λλλλλλλλ---==--=--=+-=--则121,3λλ=-=,记1221D -⎛⎫=⎪-⎝⎭,则2212(1)423(1)(3)021E D λλλλλλλλ--==--=--=+-=-则121,3λλ=-=,正负惯性指数相同.故选D.4、(2008年数学一) 设A 为2阶矩阵,12,αα为线性无关的2维列向量,10A α=,2122A ααα=+.则A 的非零特征值为___________.【答案】应填1.【详解】根据题设条件,得1212121202(,)(,)(0,2)(,)01A A A αααααααα⎛⎫==+= ⎪⎝⎭.记12(,)P αα=,因12,αα线性无关,故12(,)P αα=是可逆矩阵.因此0201AP P ⎛⎫= ⎪⎝⎭,从而10201P AP -⎛⎫= ⎪⎝⎭.记0201B ⎛⎫= ⎪⎝⎭,则A 与B 相似,从而有相同的特征值. 因为2||(1)01E B λλλλλ--==--,0λ=,1λ=.故A 的非零特征值为1.5、(2008年数学二)设3阶矩阵A 的特征值为2,3,λ.若行列式|2|48A =-,则λ=___________. 【答案】应填1-.【详解】由482-=A ,依据方阵行列式的性质,则有48223-==A A ,即6-=A .又A 等于其特征值的乘积,即632321-=⨯⨯=⨯⨯=λλλλA ,得1-=λ. 6、(2008年数学三)设3阶方阵A 的特征值为1,2,2,E 为单位矩阵,则=--E A 14 .【答案】应填3.【详解】由方阵特征值的性质,E AA f -=-14)(,则14)(1-=-λλf ,故方阵EA --14的特征值分别为1,1,3,又由方阵行列式等于其特征值的乘积,则有341=--E A .7、(2008年数学四)设3阶方阵A 的特征值互不相同,若行列式0=A ,则A 的秩为 . 【答案】应填2.【详解】由题可知,方阵A 的特征值含有0,而其余两个非零,故A 的秩为2.8、(2008年数学一)设,αβ为3维列向量,矩阵TTA ααββ=+,其中,TTαβ分别是,αβ得转置.证明: (I ) 秩()2r A ≤;(II )若,αβ线性相关,则秩()2r A <.【详解】(I )【证法1】()()()()()()2TTTTr A r r r r r ααββααββαβ=+≤+≤+≤. 【证法2】因为TTA ααββ=+,A 为33⨯矩阵,所以()3r A ≤. 因为,αβ为3维列向量,所以存在向量0ξ≠,使得0,0T T αξβξ==于是 0T T A ξααξββξ=+= 所以0Ax =有非零解,从而()2r A ≤.【证法3】因为TTA ααββ=+,所以A 为33⨯矩阵.又因为()00T TTT A αααββαββ⎛⎫⎪=+= ⎪ ⎪⎝⎭, 所以|||0|00TT a A αββ==故 ()2r A ≤.(II )【证法】由,αβ线性相关,不妨设k αβ=.于是()2()()(1)()12TT T r A r r k rααβββββ=+=+≤≤<. 9、(2008年数学一、二、三、四) 设n 元线性方程组Ax b =,其中2222212121212a a a a a A a a a a ⎛⎫ ⎪⎪⎪=⎪ ⎪⎪ ⎪ ⎪⎝⎭,12n x x x x ⎛⎫ ⎪ ⎪= ⎪ ⎪⎝⎭,b 100⎛⎫ ⎪ ⎪= ⎪ ⎪⎝⎭.(I )证明行列式||(1)n A n a =+;(II )当a 为何值时,该方程组有惟一解,并求1x . (III )当a 为何值时,该方程组有无穷多解,并求其通解.【详解】(I )【证法1】数学归纳法.记2222212121||212n na a a a aD A a a a a ==以下用数学归纳法证明(1)nn D n a =+.当1n =时,12D a =,结论成立. 当2n =时,2222132a D a a a==,结论成立. 假设结论对小于n 的情况成立.将n D 按第一行展开得n n n a a a aD aD a a a a 2212211021212212--=-2122n n aD a D --=-1222(1)n n ana a n a --=-- (1)n n a =+故 (1)nA n a =+.【注】本题(1)也可用递推法.由2122n n n D aD a D --==-得,2211221()()n n n n n n n D aD a D aD a D a D a ------=-==-=.于是(1)n n D n a =+(I )【证法2】消元法.记2222212121||212na a a a aA a a a a =22122213121212212na a a ar ar a a a a -322222130124123321212naa a r ar a aa a a a -=n n na a a n r ar nn a n n a n 121301240113111----+(1)n n a =+.(II )【详解】当0a ≠时,方程组系数行列式0n D ≠,故方程组有惟一解.由克莱姆法则,将n D 得第一列换成b ,得行列式为22211222211121021212121212122n n nn a aa a a aa aD na a a a a a a a a ---===所以,11(1)n n D ax D n a-==+. (III )【详解】 当0a =时,方程组为12101101001000n n x x x x -⎛⎫⎛⎫⎛⎫ ⎪⎪ ⎪ ⎪ ⎪ ⎪⎪ ⎪ ⎪=⎪ ⎪ ⎪ ⎪ ⎪ ⎪ ⎪ ⎪ ⎪⎝⎭⎝⎭⎝⎭ 此时方程组系数矩阵得秩和增广矩阵得秩均为1n -,所以方程组有无穷多组解,其通解为()()010100TTx k =+,其中k 为任意常数.10、(2008年数学二、三、四)设A 为3阶矩阵,12,αα为A 的分别属于特征值1,1-的特征向量,向量3α满足321A ααα=+,(I)证明123,,ααα线性无关; (II)令123(,,)P ααα=,求1P AP -.【详解】(I)【证明】设有一组数123,,k k k ,使得 122330k k k ααα++=. 用A 左乘上式,得112233()()()0k A k A k A ααα++=. 因为 11A αα=-, 22A αα=,321A ααα=+, 所以 1123233()0k k k k ααα-+++=, 即113220k k αα-=.由于12,αα是属于不同特征值得特征向量,所以线性无关,因此130k k ==,从而有20k =.故 123,,ααα线性无关.(II )由题意,100011001AP P -⎛⎫⎪= ⎪ ⎪⎝⎭.而由(I )知,123,,ααα线性无关,从而123(,,)P ααα=可逆.故1100011001P AP --⎛⎫⎪= ⎪ ⎪⎝⎭.三、2009年:1、(2009年数学一)设123,,ααα是3维向量空间3R 的一组基,则由基12311,,23ααα到基 122331,,αααααα+++的过渡矩阵为()A 101220033⎛⎫⎪⎪ ⎪⎝⎭. ()B 120023103⎛⎫⎪⎪ ⎪⎝⎭.()C 111246111246111246⎛⎫- ⎪ ⎪ ⎪- ⎪ ⎪ ⎪- ⎪⎝⎭.()D 111222111444111666⎛⎫-⎪ ⎪ ⎪- ⎪ ⎪ ⎪- ⎪⎝⎭. 【答案】A【解析】因为()()1212,,,,,,n n A ηηηααα=,则A 称为基12,,,n ααα到12,,,nηηη的过渡矩阵。
2007考研数学二真题及答案一.选择题(本题共10小题,每小题4分,满分40分,在每小题给的四个选项中,只有一项符合题目要求,把所选项前的字母填在题后括号内)(1) 当0x +→等价的无穷小量是 (B )A. 1-1D.1-(2)函数11()tan ()()xxe e xf x x e e +=-在区间[],ππ-上的第一类间断点是x =(A)A. 0B. 1C. 2π-D. 2π (3)如图.连续函数()y f x =在区间[][]3,2,2,3--上的图形分别是直径为1的上、下半圆周,在区间[][]2,0,0,2-上图形分别是直径为2的上、下半圆周,设0()(),xF x f t dt =⎰则下列结论正确的是:(C ).A .(3)F 3(2)4F =-- .B (3)F 5(2)4F = .C (3)F - 3(2)4F =- .D (3)F -5(2)4F =--(4)设函数f (x )在x=0处连续,下列命题错误的是 (C)A. 若0()limx f x x →存在,则(0)0f = B. 若0()()lim x f x f x x→+-存在, (0)0f =C. 若0()lim x f x x →存在, 则(0)0f '=D. 0()()lim x f x f x x→--存在, (0)0f =(5)曲线1ln(1),xy e x=++渐近线的条数为 (D ).A 0 .B 1 .C 2 .D 3(6)设函数()f x 在(0,)+∞上具有二阶导数,且"()0f x >, 令n u = ()1,2.......,,f n n = 则下列结论正确的是 (D)A.若12u u >,则{}n u 必收敛B. 若12u u >,则{}n u 必发散C. 若12u u <,则{}n u 必收敛D. 若12u u <,则{}n u 必发散 (7)二元函数(,)f x y 在点(0,0)处可微的一个充分条件是 (B ) A.()()()(),0,0lim,0,00x y f x y f →-=⎡⎤⎣⎦B. ()()0,00,0lim0x f x f x→-=,且()()00,0,0lim 0y f y f y →-= C.()(,0,0,00,0lim0x y f x f →-=D. ()0lim ',0'(0,0)0,x x x f x f →-=⎡⎤⎣⎦且()0lim ',0'(0,0)0,y y y f x f →⎡⎤-=⎣⎦(8)设函数(,)f x y 连续,则二次积分1sin 2(,)x dx f x y dy ππ⎰⎰等于 (B ).A10arcsin (,)y dy f x y dx ππ+⎰⎰ .B 10arcsin (,)y dy f x y dy ππ-⎰⎰.C 1arcsin 02(,)y dy f x y dx ππ+⎰⎰ .D 1arcsin 02(,)y dy f x y dx ππ-⎰⎰(9)设向量组123,,ααα线形无关,则下列向量组线形相关的是: (A) (A ) ,,122331αααααα--- (B ) ,,122331αααααα+++ (C ) 1223312,2,2αααααα--- (D )1223312,2,2αααααα+++(10)设矩阵A=211121112--⎛⎫ ⎪-- ⎪ ⎪--⎝⎭,B=100010000⎛⎫ ⎪⎪ ⎪⎝⎭,则A 于B , (B )(A) 合同,且相似 (B) 合同,但不相似(C) 不合同,但相似 (D)既不合同,也不相似二.填空题:11-16小题,每小题4分,共24分,请将答案写在答题纸指定位置上(11)30arctan sin limx x x x →-=16. (12)曲线2cos cos 1sin x t t y t⎧=+⎨=+⎩上对应于4t π=1). (13)设函数123y x =+,则()0ny =23n -⋅.(14)二阶常系数非齐次线性微分方程2''4'32x y y y e -+=的通解y =_32122x x x C e C e e +-. (15)设(,)f u v 是二元可微函数,(,)y x z f x y=,则1222(,)(,)z z y y x x y x xy f f x y x x y y x y∂∂''-=-+∂∂.(16)设矩阵01000010********A ⎛⎫⎪⎪= ⎪⎪⎝⎭,则3A 的秩为_1______.三、解答题:17-24小题,共86分.请将解答写在答题纸指定的位置上.解答应写出文字说明、证明过程或演算步骤. (17)设()f x 是区间0,4π⎡⎤⎢⎥⎣⎦上单调、可导函数,且满足()100cos sin ()sin cos f x x t t f t dt t dt t t --=+⎰⎰,其中1f-是f 的反函数,求()f x .【详解】: 设(),y f t =则1()t fy -=.则原式可化为:1(0)0cos sin '()sin cos xxf t tyf y dy tdt t t--=+⎰⎰ 等式两边同时求导得:cos sin '()sin cos x xxf x x x x-=+cos sin '()sin cos x xf x x x-=+(18)(本题满分11分) 设D是位于曲线y =- ()1,0a x >≤<+∞下方、x 轴上方的无界区域.(Ⅰ)求区域D 绕x 轴旋转一周所成旋转体的体积()V a ; (Ⅱ)当a 为何值时,()V a 最小?并求此最小值. 【详解】:22222()())(ln )xa a I V a y dx dx a πππ-+∞+∞===⎰⎰ 22412(ln )(2ln )2()()0(ln )a a a a II V a a π-'=⋅= 得ln (ln 1)0a a -=故ln 1a =即a e =是唯一驻点,也是最小值点,最小值2()V e e π= (19)求微分方程()2''''y x y y +=满足初始条件(1)'(1)1y y ==的特解.【详解】: 设dy p y dx '==,则dpy dx''=代入得:22()dp dx x p x x p p p dx dp p p++=⇒==+ 设x u p= 则()d pu u p dp =+du u p u p dp ⇒+=+1dudp ⇒=1u p c ⇒=+ 即21x p c p =+ 由于(1)1y '=故11110c c =+⇒=即2x p =32223dy p y x c dx ⇒==⇒=±+ 由21(1)13y c =⇒=或253c = 特解为322133y x =+或322533y x =-+(20)已知函数()f a 具有二阶导数,且'(0)f =1,函数()y y x =由方程11y y xe--=所确定.设(ln sin ),z f y x =-求x dzdx=,202x d zdx=.【详解】: 11y y xe--=两边对x 求导得11()0y y y e xe y --''-+⋅=得 111y y e y xe --'=- (当01)x y ==,故有11121x e y -='==-1(ln sin )(cos )(0)(111)0x x dz f y x y x f dxy=='''=--=⨯-=222221()(ln sin )(cos )(ln sin )(sin )x x d z y f y x y x f y x x dxy y=='''''=--+--+221(0)(111)(0)(10)1(1)11f f -'''=⨯-+⨯+=⨯-=- (21)(本题11分)设函数(),()f x g x 在[,]a b 上连续,在(,)a b 内具有二阶导数且存在相等的最大值,()(),()()f a g a f b g b ==证明:存在(,)a b ξ∈,使得''''()()f g ξξ=.【详解】:证明:设(),()f x g x 在(,)a b 内某点(,)c a b ∈同时取得最大值,则()()f c g c =,此时的c 就是所求点()()f g ηηη=使得.若两个函数取得最大值的点不同则有设()max (),()max ()f c f x g d g x ==故有()()0,()()0f c g c g d f d ->-<,由介值定理,在(,)c d 内肯定存在()()f g ηηη=使得由罗尔定理在区间(,),(,)a b ηη内分别存在一点''1212,,()()f f ξξξξ使得==0在区间12(,)ξξ内再用罗尔定理,即''''(,)()()a b f g ξξξ∈=存在,使得.(22)(本题满分11分)设二元函数2.1.(,)12.x x y f x y x y ⎧+≤⎪=≤+≤计算二重积分(,).Df x y d σ⎰⎰其中{}(,)2D x y x y =+≤【详解】:D 如图(1)所示,它关于x,y 轴对称,(,)f x y 对x,y 均为偶函数,得1(,)4(,)DD f x y d f x y d σσ=⎰⎰⎰⎰,其中1D 是D 的第一象限部分.由于被积函数分块表示,将1D 分成(如图(2)):11112D D D =U ,且(1)(2)1112:1,0,0 :12,0,0D x y x y D x y x y +≤≥≥≤+≤≥≥于是11212(,)(,)(,)D D D f x y d f x y d f x y d σσσ=+⎰⎰⎰⎰⎰⎰.而111112200111(,)(1)3412xD f x y d dx x dy x x dx σ-==-=-=⎰⎰⎰⎰⎰121222cos sin 10cos sin 1(,)()D D f x y d d rdr rπθθθθσσθ++==⋅⎰⎰⎰⎰极坐标变换2200221122200021112001cos sin cos sin 2sin cos222(tan )222122(1)1tan 2tan22221)u td d d du du u u u dt dt t πππθθθθθθθθθθθ-===+-+===-+---+==-===⎰⎰⎰⎰⎰⎰ 所以11(,)1)12D f x y d σ=⎰⎰得1(,)4(1))12Df x y d σ=+⎰⎰(23)(本题满分11分)设线性方程组1231232123020(1)40x x x x x ax x x a x ⎧++=⎪++=⎨⎪++=⎩与方程12321(2)x x x a ++=-有公共解,求a 的值及所有公共解. 【详解】:因为方程组(1)、(2)有公共解,即由方程组(1)、(2)组成的方程组1231232123123020(3)4021x x x x x ax x x a x x x x a ++=⎧⎪++=⎪⎨++=⎪⎪++=-⎩的解.即矩阵211100201401211aa a ⎛⎫ ⎪ ⎪ ⎪ ⎪ ⎪-⎝⎭211100110001000340a a a ⎛⎫ ⎪- ⎪→⎪- ⎪ ⎪++⎝⎭方程组(3)有解的充要条件为 1,2a a ==.当1a =时,方程组(3)等价于方程组(1)即此时的公共解为方程组(1)的解.解方程组(1)的基础解系为(1,0,1)Tξ=-此时的公共解为:,1,2,x k k ξ==L当2a =时,方程组(3)的系数矩阵为111011101220011014400001111100⎛⎫⎛⎫⎪ ⎪⎪ ⎪→ ⎪ ⎪⎪ ⎪⎝⎭⎝⎭此时方程组(3)的解为1230,1,1x x x ===-,即公共解为:(0,1,1)Tk -(24)设3阶对称矩阵A 的特征向量值1231,2,2,λλλ===-1(1,1,1)Tα=-是A 的属于1λ的一个特征向量,记534B A A E =-+其中E 为3阶单位矩阵()I 验证1α是矩阵B 的特征向量,并求B 的全部特征值的特征向量; ()II 求矩阵B .【详解】:(Ⅰ)可以很容易验证111(1,2,3...)n nA n αλα==,于是 5353111111(4)(41)2B A A E ααλλαα=-+=-+=-于是1α是矩阵B 的特征向量.B 的特征值可以由A 的特征值以及B 与A 的关系得到,即 53()()4()1B A A λλλ=-+, 所以B 的全部特征值为-2,1,1.前面已经求得1α为B 的属于-2的特征值,而A 为实对称矩阵,于是根据B 与A 的关系可以知道B 也是实对称矩阵,于是属于不同的特征值的特征向量正交,设B 的属于1的特征向量为123(,,)Tx x x ,所以有方程如下:1230x x x -+=于是求得B 的属于1的特征向量为23(1,0,1),(1,1,0)T Tαα=-=(Ⅱ)令矩阵[]123111,,101110P ααα-⎡⎤⎢⎥==-⎢⎥⎢⎥⎣⎦,则1(2,1,1)P BP diag -=-,所以1111333111112(2,1,1)101(2,1,1)333110121333B P diag P diag -⎡⎤-⎢⎥-⎡⎤⎢⎥⎢⎥⎢⎥=⋅-⋅=---⎢⎥⎢⎥⎢⎥⎢⎥⎣⎦⎢⎥⎢⎥⎣⎦011101110-⎡⎤⎢⎥=⎢⎥⎢⎥-⎣⎦。
2007年全国硕士研究生入学统一考试数学一试题一、 选择题:110:小题,每小题4分,共40分,下列每题给出的四个选项中,只有一个选项符合题目要求的,请将所选项前的字母填在答题纸指定位置上.(1) 当0x +→)A.1-B1C.1D -【答案】(B)【考点】等价无穷小 【难易度】★★【详解】解析:方法1:排斥法:由几个常见的等价无穷小,当0x +→0→,所以1(1-::211,2-:可以排除A 、C 、D ,所以选(B ). 方法2:==ln 1⎛⎫+ ⎝ 当0x +→时,11→0→,又因为0x →时,()ln 1x x +:,所以)ln 1~~1~x ⎛= ⎝B ).方法3:0lim x +→00lim x x →→'洛1lim lim 1x x ++→→==1A x=+(()111A B x x ++=- 对应系数相等得:1A B = =,所以原式00lim lim 1x x x ++→→⎡⎤==+⎢+⎣0lim lim 011x x x ++→→=+=++1=,选(B ).(2) 曲线1ln(1)x y e x=++渐近线的条数为( ) .A 0 .B 1 .C 2 .D 3【答案】( D)【考点】函数图形的渐近线 【难易度】★★★【详解】解析:001lim lim ln(1)x x x y e x →→⎛⎫=++⎪⎝⎭=∞,所以0x =是一条铅直渐近线;1lim lim ln(1)x x x y e x →-∞→-∞⎛⎫=++ ⎪⎝⎭1lim lim ln(1)000x x x e x →-∞→-∞=++=+=,所以0y =是沿x →-∞方向的一条水平渐近线;令21ln(1)1ln(1)lim lim lim x x x x x e y e x a x x x x →+∞→+∞→+∞++⎛⎫+===+ ⎪⎝⎭21ln(1)lim lim x x x e x x →+∞→+∞+=+ln(1)0lim x x e x →+∞+=+1lim 11xx x e e →+∞+ =洛必达法则令()1lim lim ln(1)x x x b y a x e x x →+∞→+∞⎛⎫=-⋅=++- ⎪⎝⎭()()1limlim ln(1)0lim ln(1)x x x x x e x e x x →+∞→+∞→+∞=++-=++- ()1ln lim ln(1)ln lim ln()xxxxx x x e x e e e e→+∞→+∞+ = +-=lim ln(1)ln10x x e -→+∞=+==所以y ax b x =+=是曲线的斜渐近线,所以共有3条,选择(D )(3) 如下图,连续函数()y f x =在区间[][]3,2,2,3--上的图形分别是直径为1的上、下半圆周,在区间[][]2,0,0,2-上图形分别是直径为2的上、下半圆周,设0()(),xF x f t dt =⎰则下列结论正确的是( ).A (3)F 3(2)4F =-- .B (3)F 5(2)4F = .C (3)F - 3(2)4F = .D (3)F -5(2)4F =--【答案】( C)【考点】定积分的概念、定积分的基本性质,积分上限的函数及其导数 【难易度】★★★【详解】解析:由题给条件知,()f x 为x 的奇函数,则()()f x f x -=-,由0()(),xF x f t dt =⎰知()()()()()()()()xx xF x f t dt t u f u d u f u f u f u du F x --= =- -- -=- =⎰⎰⎰,故()F x 为x 的偶函数,所以(3)(3).F F -=而2(2)()F f t dt =⎰表示半径1R =的半圆的面积,所以22(2)()22R F f t dt ππ===⎰,32302(3)()()()F f t dt f t dt f t dt ==+⎰⎰⎰,其中32()f t dt ⎰表示半径12r =的半圆的面积的负值,所以22321()2228r f t dt πππ⎛⎫=-=-⋅=- ⎪⎝⎭⎰所以3232333(3)()()()(2)288424F f t dt f t dt f t dt F ππππ==+=-==⋅=⎰⎰⎰ 所以3(3)(3)(2)4F F F -==,选择( C)(4) 设函数()f x 在0x =处连续,则下列命题错误的是( ).A 若0()limx f x x →存在,则(0)0f = .B 若0()()lim x f x f x x →+-存在,则(0)0f =.C 若0()lim x f x x →存在,则(0)f '存在 .D 若0()()lim x f x f x x→--存在,则(0)f '存在【答案】( D)【考点】极限的四则运算,函数连续的概念,导数的概念【难易度】★★【详解】解析:方法1:论证法,证明..A B C 都正确,从而只有.D 不正确。
2007年考研数学一真题一、选择题(本题共10小题,每小题4分,满分40分,在每小题给的四个选项中,只有一项符合题目要求,把所选项前的字母填在题后括号内) (1) 当0x +→时,与x 等价的无穷小量是 ( ) A. 1xe- B.1ln1xx+- C. 11x +- D.1cos x -(2) 曲线y=1ln(1x e x++), 渐近线的条数为 ( ) A.0 B.1 C.2 D.3(3)如图,连续函数y=f(x)在区间[-3,-2],[2,3]上的图形分别是直径为1的上、下半圆周,在区间[-2,0],[0,2]的图形分别是直径为2的上、下半圆周,设F(x)=0()xf t dt ⎰.则下列结论正确的是 ( ) A. F(3)=3(2)4F -- B. F(3)=5(2)4F C. F(3)=3(2)4F + D. F(3)= 5(2)4F --(4)设函数f (x )在x=0处连续,下列命题错误的是 ( )A. 若0()limx f x x →存在,则f (0)=0 B. 若0()()lim x f x f x x→+- 存在,则f (0)=0C. 若0()lim x f x x → 存在,则'(0)f =0D. 若0()()lim x f x f x x→-- 存在,则'(0)f =0(5)设函数f (x )在(0, +∞)上具有二阶导数,且"()f x o >, 令n u =f(n)=1,2,…..n, 则下列结论正确的是 ( )A.若12u u >,则{n u }必收敛B. 若12u u >,则{n u }必发散C. 若12u u <,则{n u }必收敛D. 若12u u <,则{n u }必发散(6)设曲线L :f(x, y) = 1 (f(x, y)具有一阶连续偏导数),过第Ⅱ象限内的点M 和第Ⅳ象限内的点N,T 为L 上从点M 到N 的一段弧,则下列小于零的是 ( ) A.(,)rx y dx ⎰ B. (,)rf x y dy ⎰C.(,)rf x y ds ⎰D.'(,)'(,)x y rf x y dx f x y dy +⎰(7)设向量组1α,2α,3α线形无关,则下列向量组线形相关的是: ( ) (A ),,122331αααααα--- (B ) ,,122331αααααα+++(C ) 1223312,2,2αααααα--- (D )1223312,2,2αααααα+++(8)设矩阵A=211121112--⎛⎫ ⎪-- ⎪ ⎪--⎝⎭,B=100010000⎛⎫ ⎪⎪ ⎪⎝⎭,则A 于B ( )(A) 合同,且相似(B) 合同,但不相似 (C) 不合同,但相似(D)既不合同,也不相似(9)某人向同一目标独立重复射击,每次射击命中目标的概率为p ()01p <<,则此人第4次射击恰好第2次命中目标的概率为: ( ) (A )23(1)p p - (B)26(1)p p - (C) 223(1)p p -(D) 226(1)p p -(10) 设随即变量(X ,Y )服从二维正态分布,且X 与Y 不相关,()X f x ,()Y f y 分别表示X ,Y 的概率密度,则在Y =y 的条件下,X 的条件概率密度|(|)X Yf x y 为 ( )(A )()X f x(B) ()Y f y(C) ()X f x ()Y f y(D)()()X Y f x f y 二.填空题:11-16小题,每小题4分,共24分,请将答案写在答题纸指定位置上 (11)31211x e dx x⎰=_______. (12)设(,)f u v 为二元可微函数,(,)y xz f x y =,则zx∂∂=______. (13)二阶常系数非齐次线性方程2''4'32x y y y e -+=的通解为y =____________. (14)设曲面∑:||||||1x y z ++=,则(||)x y ds ∑+⎰⎰=_____________.(15)设矩阵A =0100001000010000⎛⎫ ⎪⎪ ⎪ ⎪⎝⎭,则3A 的秩为________. (16)在区间(0,1)中随机地取两个数,则这两个数之差的绝对值小于12的概率为________. 三.解答题:17~24小题,共86分.请将解答写在答题纸指定的位置上.解答应写出文字说明、证明过程或演算步骤.222222(,)2{(,)4,0}f x y x y x y D x y x y y =+-=+≤≥(17)(本题满分11分)求函数在区域上的最大值和最小值。
2007年研究生入学考试数学二试题一、选择题:1~10小题,每小题4分,共40分. 在每小题给出的四个选项中,只有一项符合题目要求,把所选项前的字母填在题后的括号内. (1)当0x +→(A)1- (B) (C1 (D)1- [ ](2)函数1(e e)tan ()e e x x xf x x +=⎛⎫- ⎪⎝⎭在[],ππ-上的第一类间断点是x = ( ) (A )0 (B )1 (C )2π- (D )2π(3)如图,连续函数()y f x =在区间[][]3,2,2,3--上的图形分别是直径为1的上、下半圆周,在区间[][]2,0,0,2-的图形分别是直径为2的下、上半圆周,设0()()d xF x f t t =⎰,则下列结论正确的是:(A )3(3)(2)4F F =-- (B) 5(3)(2)4F F = (C )3(3)(2)4F F = (D )5(3)(2)4F F =-- [ ](4)设函数()f x 在0x =处连续,下列命题错误的是:(A )若0()limx f x x →存在,则(0)0f = (B )若0()()lim x f x f x x→+-存在,则(0)0f = .(B )若0()lim x f x x →存在,则(0)0f '= (D )若0()()lim x f x f x x→--存在,则(0)0f '=.[ ] (5)曲线()1ln 1e x y x=++的渐近线的条数为(A )0. (B )1. (C )2. (D )3. [ ] (6)设函数()f x 在(0,)+∞上具有二阶导数,且()0f x ''>,令()n u f n =,则下列结论正确的是:(A) 若12u u > ,则{}n u 必收敛. (B) 若12u u > ,则{}n u 必发散(C) 若12u u < ,则{}n u 必收敛. (D) 若12u u < ,则{}n u 必发散. [ ] (7)二元函数(,)f x y 在点()0,0处可微的一个充要条件是(A )()[](,)0,0lim(,)(0,0)0x y f x y f →-=.(B )00(,0)(0,0)(0,)(0,0)lim0,lim 0x y f x f f y f x y→→--==且.(C )((,)0,0lim0x y →=.(D )00lim (,0)(0,0)0,lim (0,)(0,0)0x x y y x y f x f f y f →→⎡⎤⎡⎤''''-=-=⎣⎦⎣⎦且.(8)设函数(,)f x y 连续,则二次积分1sin 2d (,)d xx f x y y ππ⎰⎰等于(A )10arcsin d (,)d yy f x y x ππ+⎰⎰(B )10arcsin d (,)d yy f x y x ππ-⎰⎰(C )1arcsin 02d (,)d yy f x y x ππ+⎰⎰ (D )1arcsin 02d (,)d yy f x y x ππ-⎰⎰(9)设向量组123,,ααα线性无关,则下列向量组线性相关的是线性相关,则 (A) 122331,,αααααα---(B)122331,,αααααα+++(C)1223312,2,2αααααα---. (D) 1223312,2,2αααααα+++. [ ](10)设矩阵211100121,010112000A B --⎛⎫⎛⎫⎪ ⎪=--= ⎪ ⎪ ⎪ ⎪--⎝⎭⎝⎭,则A 与B(A) 合同且相似 (B )合同,但不相似.(C) 不合同,但相似. (D) 既不合同也不相似 [ ] 二、填空题:11~16小题,每小题4分,共24分. 把答案填在题中横线上. (11) 30arctan sin limx x xx →-= __________.(12)曲线2cos cos 1sin x t t y t⎧=+⎨=+⎩上对应于4t π=的点处的法线斜率为_________.(13)设函数123y x =+,则()(0)n y =________. (14) 二阶常系数非齐次微分方程2432e x y y y '''-+=的通解为y =________. (15) 设(,)f u v 是二元可微函数,,y x z f x y ⎛⎫=⎪⎝⎭,则z zx y x y ∂∂-=∂∂ __________.(16)设矩阵0100001000010000A ⎛⎫ ⎪⎪= ⎪ ⎪⎝⎭,则3A 的秩为 . 三、解答题:17~24小题,共86分. 解答应写出文字说明、证明过程或演算步骤. (17) (本题满分10分)设()f x 是区间0,4π⎡⎤⎢⎥⎣⎦上单调、可导的函数,且满足()100cos sin ()d d sin cos f x x t t f t t t t t t --=+⎰⎰,其中1f-是f 的反函数,求()f x .(18)(本题满分11分) 设D是位于曲线2(1,0)xay a x -=>≤<+∞下方、x 轴上方的无界区域.(Ⅰ)求区域D 绕x 轴旋转一周所成旋转体的体积()V a ; (Ⅱ)当a 为何值时,()V a 最小?并求此最小值.(19)(本题满分10分)求微分方程2()y x y y ''''+=满足初始条件(1)(1)1y y '==的特解(20)(本题满分11分)已知函数()f u 具有二阶导数,且(0)1f '=,函数()y y x =由方程1e1y y x --=所确定,设()ln sin z f y x =-,求2002d d ,d d x x zz xx ==.(21) (本题满分11分)设函数(),()f x g x 在[],a b 上连续,在(,)a b 内具有二阶导数且存在相等的最大值,()(),()()f a g a f b g b ==,证明:存在(,)a b ξ∈,使得()()f g ξξ''''=.(22) (本题满分11分)设二元函数2,||||1(,)1||||2x x y f x y x y ⎧+≤⎪=<+≤,计算二重积分D (,)d f x y σ⎰⎰,其中(){},||||2D x y x y =+≤.(23)(本题满分11分)设线性方程组12312321232040x x xx x axx x a x⎧++=⎪++=⎨⎪++=⎩与方程12321x x x a++=-有公共解,求a的值及所有公共解.1….【分析】本题为等价无穷小的判定,利用定义或等价无穷小代换即可. 【详解】当0x +→时,1x --,112x,()211122xx -=, 故用排除法可得正确选项为(B ).事实上,000lim lim lim 1x x x +++→→→==,或ln(1)ln(1()x x o x o o x =+-=++=.所以应选(B )【评注】本题为关于无穷小量比较的基本题型,利用等价无穷小代换可简化计算.2…【分析】因为函数为初等函数,则先找出函数的无定义点,再根据左右极限判断间断点的类型.【详解】函数在0,1,2x x x π===±均无意义,而110000(e e)tan (e e)tan lim ()lim 0,lim ()lim 1e e e e x x x x x x x x x xf x f x x x ++--→→→→++====-⎛⎫⎛⎫-- ⎪ ⎪⎝⎭⎝⎭; 111(e e)tan lim ()lim e e x x x x xf x x →→+==∞⎛⎫- ⎪⎝⎭; 122(e e)tan lim ()lim e e x x x x xf x x ππ→±→±+==∞⎛⎫- ⎪⎝⎭. 所以0x =为函数()f x 的第一类间断点,故应选(A ).【评注】本题为基础题型. 对初等函数来讲,无定义点即为间断点,然后再根据左右极限判断间断点的类型;对分段函数来讲,每一分段支中的无定义点为间断点,而分段点也可能为间断点,然后求左右极限进行判断.3……【分析】本题实质上是求分段函数的定积分. 【详解】利用定积分的几何意义,可得221113(3)12228F πππ⎛⎫=-=⎪⎝⎭,211(2)222F ππ==, 202202011(2)()d ()d ()d 122F f x x f x x f x x ππ---==-===⎰⎰⎰.所以 33(3)(2)(2)44F F F ==-,故选(C ). 【评注】本题属基本题型. 本题利用定积分的几何意义比较简便.4……【分析】本题考查可导的极限定义及连续与可导的关系. 由于题设条件含有抽象函数,本题最简便的方法是用赋值法求解,即取符合题设条件的特殊函数()f x 去进行判断,然后选择正确选项.【详解】取()||f x x =,则0()()lim0x f x f x x→--=,但()f x 在0x =不可导,故选(D ).事实上,在(A),(B)两项中,因为分母的极限为0,所以分子的极限也必须为0,则可推得(0)0f =.在(C )中,()lim x f x x →存在,则00()(0)()(0)0,(0)limlim 00x x f x f f x f f x x→→-'====-,所以(C)项正确,故选(D)【评注】对于题设条件含抽象函数或备选项为抽象函数形式结果以及数值型结果的选择题,用赋值法求解往往能收到奇效.5……【分析】利用曲线的渐近线的求解公式求出水平渐近线,垂直渐近线和斜渐近线,然后判断.【详解】()()11lim lim ln 1e ,lim lim ln 1e 0xxx x x x y y x x →+∞→+∞→-∞→-∞⎡⎤⎡⎤=++=+∞=++=⎢⎥⎢⎥⎣⎦⎣⎦,所以 0y =是曲线的水平渐近线;()001lim lim ln 1e xx x y x→→⎡⎤=++=∞⎢⎥⎣⎦,所以0x =是曲线的垂直渐近线; ()()1e ln 1e ln 1e 1e lim lim 0lim lim 11xxx x x x x x y x x x x →+∞→+∞→+∞→+∞++++==+==,[]()1l i m l i m l n 1e 0xx x b y x x x →+∞→+∞⎡⎤=-=++-=⎢⎥⎣⎦,所以y x =是曲线的斜渐近线.故选(D ).【评注】本题为基本题型,应熟练掌握曲线的水平渐近线,垂直渐近线和斜渐近线的求法.注意当曲线存在水平渐近线时,斜渐近线不存在. 本题要注意e x当,x x →+∞→-∞时的极限不同.6……【分析】本题依据函数()f x 的性质,判断数列{}()n u f n =. 由于含有抽象函数,利用赋值法举反例更易得出结果.【详解】选(D ).取()ln f x x =-,21()0f x x''=>,12ln10ln 2u u =-=>-=,而()ln f n n =-发散,则可排除(A );取21()f x x =,46()0f x x ''=>,12114u u =>=,而21()f n n =收敛,则可排除(B );取2()f x x =,()20f x ''=>,1214u u =<=,而2()f n n =发散,则可排除(C );故选(D ).事实上,若12u u <,则211(2)(1)()02121u u f f f ξ--'==>--. 对任意()1,x ξ∈+∞,因为()0f x ''>,所以1()()0f x f c ξ''>>>, 对任意()21,ξξ∈+∞,()121()()()()f x f f x x ξξξ'=+-→+∞→+∞.故选(D ).【评注】对于含有抽象函数的问题,通过举符合题设条件的函数的反例可简化计算.7…….【分析】本题考查二元函数可微的充分条件. 利用可微的判定条件及可微与连续,偏导的关系.【详解】本题也可用排除法,(A )是函数在()0,0连续的定义;(B )是函数在()0,0处偏导数存在的条件;(D )说明一阶偏导数(0,0),(0,0)x y f f ''存在,但不能推导出两个一阶偏导函数(,),(,)x y f x y f x y ''在点(0,0) 处连续,所以(A )(B )(D )均不能保证(,)f x y 在点()0,0处可微. 故应选(C ). 事实上, 由((,)0,0lim0x y →=可得00(,0)(0,0)lim 0x x f x f x →→-==,即(0,0)0,x f '=同理有(0,0)0.y f '=从而 0[(,)(0,0)]((0,0)(0,0))l i mxy f x y ff x f y ρρ→''∆∆--∆+∆= 0(,)(0,0)lim0f x y f ρρρ→→∆∆-==.根据可微的判定条件可知函数(,)f x y 在点()0,0处可微,故应选(C). 【评注】二元函数连续或偏导数存在均不能推出可微,只有当一阶偏导数连续时,才可微.8,……【分析】本题更换二次积分的积分次序,先根据二次积分确定积分区域,然后写出新的二次积分.【详解】由题设可知,,sin 12x x y ππ≤≤≤≤,则01,arcsin y y x ππ≤≤-≤≤,故应选(B ).【评注】本题为基础题型. 画图更易看出.9……..【分析】本题考查由线性无关的向量组123,,ααα构造的另一向量组123,,βββ的线性相关性. 一般令()()123123,,,,A βββααα=,若0A =,则123,,βββ线性相关;若0A ≠,则123,,βββ线性无关. 但考虑到本题备选项的特征,可通过简单的线性运算得到正确选项.【详解】由()()()1223310αααααα-+-+-=可知应选(A ).或者因为()()122331123101,,,,110011ααααααααα-⎛⎫⎪---=- ⎪ ⎪-⎝⎭,而1011100011--=-, 所以122331,,αααααα---线性相关,故选(A ).【评注】本题也可用赋值法求解,如取()()()TTT1231,0,0,0,1,0,0,0,1ααα===,以此求出(A ),(B ),(C ),(D )中的向量并分别组成一个矩阵,然后利用矩阵的秩或行列式是否为零可立即得到正确选项.10….【分析】本题考查矩阵的合同关系与相似关系及其之间的联系,只要求得A 的特征值,并考虑到实对称矩阵A 必可经正交变换使之相似于对角阵,便可得到答案.【详解】 由2211121(3)112E A λλλλλλ--=-=--可得1233,0λλλ===, 所以A 的特征值为3,3,0;而B 的特征值为1,1,0.所以A 与B 不相似,但是A 与B 的秩均为2,且正惯性指数都为2,所以A 与B 合同,故选(B ).【评注】若矩阵A 与B 相似,则A 与B 具有相同的行列式,相同的秩和相同的特征值. 所以通过计算A 与B 的特征值可立即排除(A )(C ).11…【分析】本题为未定式极限的求解,利用洛必达法则即可. 【详解】232001cos arctan sin 1lim lim 3x x x x xx x x→→--+= 2201cos (1)lim 3x x x x →-+= 202cos sin (1)111lim 6366x x x x x x →-++==-+=-. 【评注】本题利用了洛必达法则. 本题还可用泰勒级数展开计算.因为 333311arctan (), sin ()36x x x o x x x x o x =-+=++, 所以 30arctan sin 1lim 6x x x x →-=-.12…..【分析】本题考查参数方程的导数及导数的几何意义. 【详解】因为44d cos d sin 2cos sin t t y txt t tππ====--,所以曲线在对应于4t π=的点的切线斜率为, 故曲线在对应于4t π=【评注】本题为基础题型.13….【分析】本题求函数的高阶导数,利用递推法或函数的麦克老林展开式.【详解】()212,2323y y x x '==-++,则()1(1)2!()(23)n n n n n y x x +-=+,故()1(1)2!(0)3n n n n n y +-=. 【评注】本题为基础题型.14…..【分析】本题求解二阶常系数非齐次微分方程的通解,利用二阶常系数非齐次微分方程解的结构求解,即先求出对应齐次方程的通解Y ,然后求出非齐次微分方程的一个特解*y ,则其通解为 *y Y y =+.【详解】对应齐次方程的特征方程为2124301,3λλλλ-+=⇒==,则对应齐次方程的通解为 312e e x x y C C =+. 设原方程的特解为 2*e x y A =,代入原方程可得 22224e8e 3e 2e 2xx x x A A A A -+=⇒=-,所以原方程的特解为2*2e x y =-,故原方程的通解为 3212e e 2e x x x y C C =+-,其中12,C C 为任意常数. 【评注】本题为基础题型.15……【分析】本题为二元复合函数求偏导,直接利用公式即可. 【详解】利用求导公式可得1221z y f f x x y ∂''=-+∂, 1221z x f f y x y∂''=-∂, 所以122z z y x xy f f x y xy ⎛⎫∂∂''-=-- ⎪∂∂⎝⎭.【评注】二元复合函数求偏导时,最好设出中间变量,注意计算的正确性.16……【分析】先将3A 求出,然后利用定义判断其秩.【详解】30100000100100000()1000100000000000A A r A ⎛⎫⎛⎫ ⎪ ⎪⎪⎪=⇒=⇒= ⎪⎪ ⎪ ⎪⎝⎭⎝⎭. 【评注】本题考查矩阵的运算和秩,为基础题型.17……【分析】对含变上限积分的函数方程,一般先对x 求导,再积分即可.【详解】()100cos sin ()d d sin cos f x xt tf t t tt t t--=+⎰⎰两边对x 求导得 1(cos sin )(())()sin cos x x x f f x f x x x--'=+(cos sin )cos sin ()()sin cos sin cos x x x x xxf x f x x x x x--''⇒=⇒=++,(0x ≠)两边积分得()ln |sin cos |f x x x C ⇒=++. (1)将0x =代入题中方程可得(0)1cos sin ()d d 0sin cos f t tf t t tt t t--==+⎰⎰.因为()f x 是区间0,4π⎡⎤⎢⎥⎣⎦上单调、可导的函数,则1()f x -的值域为0,4π⎡⎤⎢⎥⎣⎦,单调非负,所以(0)0f =. 代入(1)式可得0C =,故()ln|sin cos |f x x x =+. 【评注】利用变限积分的可导性是解函数方程的方法之一.18…..【分析】V (a )的可通过广义积分进行计算,再按一般方法求V (a ) 的最值即可 【详解】(Ⅰ)0()d d ln x xaaa V a xa x x a a ππ--+∞+∞==-⎰⎰2200220d ln ln ln ln xx xa a a a x a a a aa x a aa aaππππ---+∞+∞+∞=-+=-=⎰. (Ⅱ)令224312ln 2ln 2(ln 1)()0ln ln a a a a a a a V a aaπππ⋅-⋅⋅-'===,得e a =.当e a >时,()0V a '>,()V a 单调增加; 当1e a <<时,()0V a '<,()V a 单调减少.所以()V a 在e a =取得极大值,即为最大值,且最大值为2(e)e V π=. 【评注】本题为定积分几何应用的典型问题,需记忆相关公式,如平面图形的面积,绕坐标轴的旋转体的体积公式等. 19…...【分析】本题为不含y 的可降阶方程,令y p '=,然后求解方程. 【详解】本题不含y ,则设y p '=,于是y p '''=,原方程变为 2()p x p p '+=, 则d d x xp p p=+,解之得()x p p C =+,将(1)1p =代入左式得 0C =, 于是 2x p=3223y y x C '⇒==+,结合(1)1y =得0C =,故 3223y x =.【评注】本题为基础题型.20……….【分析】本题实质上是二元复合函数的求导,注意d d yx需用隐函数求导法确定.. 【详解】令ln sin u y x =-,则d d d d x x z f u u y xu x y x ==⎛⎫∂∂∂=⋅+⋅ ⎪∂∂∂⎝⎭.1e1y y x --=两边对x 求导得 1111e e e01ey y y y y x y y x ----'''--=⇒=-,又(0)1y =,可得 (0)1y '=在11e 1ey y y x --'=-两边对x 求导得 ()()()11111021e 1e e e e 21e y y y y y x x y y x x y y x -----==-''----''==-.所以d d 1d (0)cos d d d x x x z f u u y y f x xu x y x y x ===⎛⎫⎛⎫∂∂∂'=⋅+⋅=-+⋅ ⎪ ⎪∂∂∂⎝⎭⎝⎭1011e (0)cos 01e y x y f x y x -=-⎛⎫'=-+⋅= ⎪-⎝⎭.2222202222d 1d 1d 1d cos sin d d d d x x zf y f y y x x x u y x u y x y x ==⎡⎤⎛⎫⎛⎫∂∂⎛⎫=⋅-+⋅+⋅--+⎢⎥ ⎪ ⎪ ⎪ ⎪∂∂⎝⎭⎢⎥⎝⎭⎝⎭⎣⎦220221d 1d (0)sin 1d d x y y f x y x y x =⎛⎫⎛⎫'=--+= ⎪ ⎪ ⎪⎝⎭⎝⎭.【评注】也可利用11e e 0y y y x y --''--=两边对x 求导得11121ee e e 0y y y y y y y x y x y ----'''''''----=可得(0)y ''.21……【分析】由所证结论()()f g ξξ''''=可联想到构造辅助函数()()()F x f x g x =-,然后根据题设条件利用罗尔定理证明.【详解】令()()()F x f x g x =-,则()F x 在[],a b 上连续,在(,)a b 内具有二阶导数且()()0F a F b ==.(1)若(),()f x g x 在(,)a b 内同一点c 取得最大值,则()()()0f c g c F c =⇒=,于是由罗尔定理可得,存在12(,),(,)a c c b ξξ∈∈,使得12()()0F F ξξ''==.再利用罗尔定理,可得 存在12(,)ξξξ∈,使得()0F ξ''=,即()()f g ξξ''''=. (2)若(),()f x g x 在(,)a b 内不同点12,c c 取得最大值,则12()()f c g c M ==,于是 111222()()()0,()()()0F c f c g c F c f c g c =->=-<, 于是由零值定理可得,存在312(,)c c c ∈,使得3()0F c = 于是由罗尔定理可得,存在1323(,),(,)a c c b ξξ∈∈,使得12()()0F F ξξ''==.再利用罗尔定理,可得 ,存在12(,)ξξξ∈,使得()0F ξ''=,即()()f g ξξ''''=. 【评注】对命题为()()0n f ξ=的证明,一般利用以下两种方法:方法一:验证ξ为(1)()n f x -的最值或极值点,利用极值存在的必要条件或费尔马定理可得证;方法二:验证(1)()n fx -在包含x ξ=于其内的区间上满足罗尔定理条件.22…..【分析】由于积分区域关于,x y 轴均对称,所以利用二重积分的对称性结论简化所求积分.【详解】因为被积函数关于,x y 均为偶函数,且积分区域关于,x y 轴均对称,所以1DD (,)d (,)d f x y f x y σσ=⎰⎰⎰⎰,其中1D 为D 在第一象限内的部分.而12D 1,0,012,0,(,)d d x y x y x y x y f x y x σσσ+≤≥≥≤+≤≥≥=+⎰⎰⎰⎰⎰⎰1122220110d d d d xx x x x x y x y x y ---⎛⎫ ⎪=++ ⎪⎝⎭⎰⎰⎰⎰⎰⎰(1112=++. 所以(D1(,)d 13f x y σ=+⎰⎰.【评注】被积函数包含22y x +时, 可考虑用极坐标,解答如下:1210,00,0(,)d x y x y x y x y f x y σσ≤+≤≤+≤>>>>=⎰⎰⎰⎰22sin cos 10sin cos d d r πθθθθθ++=⎰⎰.23……【分析】将方程组和方程合并,然后利用非齐次线性方程有解的判定条件求得a . 【详解】将方程组和方程合并,后可得线性方程组12312321231230204021x x x x x ax x x a x x x x a ++=⎧⎪++=⎪⎨++=⎪⎪++=-⎩ 其系数矩阵22111011101200110140031012110101a a A a a a a ⎛⎫⎛⎫⎪ ⎪-⎪ ⎪=→ ⎪ ⎪- ⎪ ⎪--⎝⎭⎝⎭.21110111001100110003200011001100(1)(2)0a a a a a a a a a a ⎛⎫⎛⎫⎪⎪-- ⎪ ⎪→→ ⎪ ⎪-+-- ⎪⎪----⎝⎭⎝⎭. 显然,当1,2a a ≠≠时无公共解.当1a =时,可求得公共解为 ()T1,0,1k ξ=-,k 为任意常数; 当2a =时,可求得公共解为 ()T0,1,1ξ=-. 【评注】本题为基础题型,考查非齐次线性方程组解的判定和结构.(24) (本题满分11分)设三阶对称矩阵A 的特征向量值1231,2,2λλλ===-,T 1(1,1,1)α=-是A 的属于1λ的一个特征向量,记534B A A E =-+,其中E 为3阶单位矩阵.(I )验证1α是矩阵B 的特征向量,并求B 的全部特征值与特征向量; (II )求矩阵B .【分析】本题考查实对称矩阵特征值和特征向量的概念和性质.【详解】(I )()()5353531111111111144412B A A E ααλαλααλλαα=-+=-+=-+=-,则1α是矩阵B 的属于-2的特征向量. 同理可得()532222241B αλλαα=-+=,()533333341B αλλαα=-+=.所以B 的全部特征值为2,1,1设B 的属于1的特征向量为T 2123(,,)x x x α=,显然B 为对称矩阵,所以根据不同特征值所对应的特征向量正交,可得T 120αα=.即 1230x x x -+=,解方程组可得B 的属于1的特征向量T T 212(1,0,1)(0,1,0)k k α=-+,其中12,k k 为不全为零的任意常数.由前可知B 的属于-2的特征向量为 T 3(1,1,1)k -,其中3k 不为零.(II )令101011101P ⎛⎫ ⎪=- ⎪ ⎪-⎝⎭,由(Ⅰ)可得-1100010002P BP ⎛⎫ ⎪= ⎪ ⎪-⎝⎭,则011101110B -⎛⎫⎪= ⎪ ⎪-⎝⎭.【评注】本题主要考查求抽象矩阵的特征值和特征向量,此类问题一般用定义求解,要想方设法将题设条件转化为Ax x λ=的形式. 请记住以下结论:(1)设λ是方阵A 的特征值,则21*,,,(),,kA aA bE A f A A A -+分别有特征值 21,,,(),,(Ak a b f A λλλλλλ+可逆),且对应的特征向量是相同的.(2)对实对称矩阵来讲,不同特征值所对应的特征向量一定是正交的。
2007年全国硕士研究生入学统一考试数学(一)试卷一、选择题(本题共10小题,每小题4 分,满分40分,在每小题给的四个选项中,只有一项符合题目要求,把所选项前的字母填在题后括号内)(1)当0x +→时,(A)1−(B)ln1(D)1−【考点分析】:等价无穷小的定义和常用的等价无穷小 【求解过程】:◼ 方法一:利用等价无穷小0x +→时,()11~−=−−()12111~=+−2111~22x −=,(ln 1~=+◼ 方法二:可用洛必达法则和等价无穷小的定义来求解 验证极限,,lim x A B C D +→是否等于1,其中(),,A B C D 表示A ,B ,C ,D 四个选项中的式子。
故选B【基础回顾】:下面,我们就无穷小之比的极限存在或为无穷大时。
来说明两个无穷小之间的比较。
应当注意,下面的α及β都是在同一个自变量的变化过程中的无穷小,且0α≠,lim βα也是在这个变化过程中的极限。
定义:如果lim0βα=就说β是比α高阶的无穷小,记作()o βα=; 如果lim βα=∞,就说β是比α低阶的无穷小。
如果lim 0c βα=≠,就说β与α是同阶无穷小;如果lim 0,0k c k βα=≠>,就说β是关于α的k 阶无穷小。
如果lim1βα=,就说β与α是等价无穷小,记作αβ。
显然,等价无穷小是同阶无穷小的特殊情形,即1c =的情形。
常用等价无穷小,当0x →时,1~ln(1)~sin ~tan ~xe x x x x −+()11~x x αα+−, 211cos ~2x x −(2)曲线()1ln 1x y e x=++,渐近线的条数为 (A)0 (B)1 (C)2 (D)3 【考点分析】:曲线的渐近线(水平、垂直、斜渐近线)的条数 【求解过程】:计算垂直渐近线:求函数在其不连续点0x x =处的极限,若为∞则存在垂直渐近线0x x =函数只有间断点0x =,()001lim lim ln 1x x x y e x →→=++=∞⎪⎝⎭,故存在垂直渐近线0x =计算水平渐近线:求函数在,x x →+∞→−∞时的极限a ,若a 存在,则有水平渐近线y a =()1lim lim ln 10x x x y e x →−∞→−∞⎛⎫=++= ⎪⎝⎭,故存在水平渐近线0y = 计算斜渐近线:求yx在,x x →+∞→−∞时的极限a ,若a 存在,且0a ≠,求出y ax −在相应处的极限b ,则有斜渐近线y ax b =+()2ln 11lim lim 0lim 11x xx x x x e y e x x x e→+∞→+∞→+∞⎛⎫+ ⎪=+=+= ⎪+⎝⎭()()111lim lim ln 1lim ln 0x xx x x x e y x e x x x e →+∞→+∞→+∞⎛⎫⎛⎫+⎛⎫−=++−=+= ⎪ ⎪ ⎪⎝⎭⎝⎭⎝⎭故存在斜渐近线y x = 选D 。