广州高新技术产业开发区出口总额数据分析报告2019版
- 格式:pdf
- 大小:354.62 KB
- 文档页数:15
2019版境内目的地(货源地)东莞松山湖高新技术产业开发区进出口贸易分析报告序言本报告针对境内目的地(货源地)东莞松山湖高新技术产业开发区的进出口贸易数据进行深度分析,并对主要指标进出口金额,出口金额,进口金额等进行了总结分析。
借助分析我们可以更深入的了解境内目的地(货源地)东莞松山湖高新技术产业开发区的实际进出口贸易状况,从全面立体的角度了解境内目的地(货源地)东莞松山湖高新技术产业开发区的进出口贸易现状,把握行业前景。
本报告借助权威多维度数据分析,客观反映当前境内目的地(货源地)东莞松山湖高新技术产业开发区的贸易真实情况,趋势、规律以及发展脉络,相信对了解境内目的地(货源地)东莞松山湖高新技术产业开发区的进出口贸易现状具有极高的参考使用价值,亦对商业决策具有一定的借鉴作用。
境内目的地(货源地)东莞松山湖高新技术产业开发区进出口贸易分析报告中数据来源于中国海关总署、中国国家统计局、国家发改委以及商务部。
目录第一节境内目的地(货源地)东莞松山湖高新技术产业开发区进出口贸易现状概况 (1)第二节境内目的地(货源地)东莞松山湖高新技术产业开发区进出口贸易进出口金额指标分析 (2)一、境内目的地(货源地)东莞松山湖高新技术产业开发区进出口金额现状统计 (2)二、境内目的地(货源地)进出口金额总值现状统计 (2)三、境内目的地(货源地)东莞松山湖高新技术产业开发区进出口金额占境内目的地(货源地)进出口金额总值比重统计 (2)四、境内目的地(货源地)东莞松山湖高新技术产业开发区进出口金额(2016-2018)统计分析 (3)五、境内目的地(货源地)东莞松山湖高新技术产业开发区进出口金额(2017-2018)变动分析 (3)六、境内目的地(货源地)进出口金额总值(2016-2018)统计分析 (4)七、境内目的地(货源地)进出口金额总值(2017-2018)变动分析 (4)八、境内目的地(货源地)东莞松山湖高新技术产业开发区进出口金额同境内目的地(货源地)进出口金额总值(2017-2018)变动对比分析 (5)第三节境内目的地(货源地)东莞松山湖高新技术产业开发区进出口贸易出口金额指标分析 (6)一、境内目的地(货源地)东莞松山湖高新技术产业开发区出口金额现状统计 (6)二、境内目的地(货源地)出口金额总值现状统计分析 (6)三、境内目的地(货源地)东莞松山湖高新技术产业开发区出口金额占境内目的地(货源地)出口金额总值比重统计分析 (6)四、境内目的地(货源地)东莞松山湖高新技术产业开发区出口金额(2016-2018)统计分析 (7)五、境内目的地(货源地)东莞松山湖高新技术产业开发区出口金额(2017-2018)变动分析 (8)六、境内目的地(货源地)出口金额总值(2016-2018)统计分析 (8)七、境内目的地(货源地)出口金额总值(2017-2018)变动分析 (8)八、境内目的地(货源地)东莞松山湖高新技术产业开发区出口金额同境内目的地(货源地)出口金额总值(2017-2018)变动对比分析 (9)第四节境内目的地(货源地)东莞松山湖高新技术产业开发区进出口贸易进口金额指标分析 (10)一、境内目的地(货源地)东莞松山湖高新技术产业开发区进口金额现状统计 (10)二、境内目的地(货源地)进口金额总值现状统计分析 (10)三、境内目的地(货源地)东莞松山湖高新技术产业开发区进口金额占境内目的地(货源地)进口金额总值比重统计分析 (10)四、境内目的地(货源地)东莞松山湖高新技术产业开发区进口金额(2016-2018)统计分析 (11)五、境内目的地(货源地)东莞松山湖高新技术产业开发区进口金额(2017-2018)变动分析 (11)六、境内目的地(货源地)进口金额总值(2016-2018)统计分析 (12)七、境内目的地(货源地)进口金额总值(2017-2018)变动分析 (12)八、境内目的地(货源地)东莞松山湖高新技术产业开发区进口金额同境内目的地(货源地)进口金额总值(2017-2018)变动对比分析 (13)图表目录表1:境内目的地(货源地)东莞松山湖高新技术产业开发区进出口贸易现状统计表 (1)表2:境内目的地(货源地)东莞松山湖高新技术产业开发区进出口金额现状统计表 (2)表3:境内目的地(货源地)进出口金额总值现状统计表 (2)表4:境内目的地(货源地)东莞松山湖高新技术产业开发区进出口金额占境内目的地(货源地)进出口金额总值比重统计表 (2)表5:境内目的地(货源地)东莞松山湖高新技术产业开发区进出口金额(2016-2018)统计表 (3)表6:境内目的地(货源地)东莞松山湖高新技术产业开发区进出口金额(2017-2018)变动统计表(比上年增长%) (3)表7:境内目的地(货源地)进出口金额总值(2016-2018)统计表 (4)表8:境内目的地(货源地)进出口金额总值(2016-2018)变动统计表(比上年增长%)..4 表9:境内目的地(货源地)东莞松山湖高新技术产业开发区进出口金额同境内目的地(货源地)进出口金额总值(2017-2018)变动对比统计表 (5)表10:境内目的地(货源地)东莞松山湖高新技术产业开发区出口金额现状统计表 (6)表11:境内目的地(货源地)出口金额总值现状统计表 (6)表12:境内目的地(货源地)东莞松山湖高新技术产业开发区出口金额占境内目的地(货源地)出口金额总值比重统计表 (7)表13:境内目的地(货源地)东莞松山湖高新技术产业开发区出口金额(2016-2018)统计表 (7)表14:境内目的地(货源地)东莞松山湖高新技术产业开发区出口金额(2016-2018)变动统计表(比上年增长%) (8)表15:境内目的地(货源地)出口金额总值(2016-2018)统计表 (8)表16:境内目的地(货源地)出口金额总值(2017-2018)变动统计表(比上年增长%) (8)表17:境内目的地(货源地)东莞松山湖高新技术产业开发区出口金额同境内目的地(货源地)出口金额总值(2017-2018)变动对比统计表(比上年增长%) (9)表18:境内目的地(货源地)东莞松山湖高新技术产业开发区进口金额现状统计表 (10)表19:境内目的地(货源地)进口金额总值现状统计分析表 (10)表20:境内目的地(货源地)东莞松山湖高新技术产业开发区进口金额占境内目的地(货源地)进口金额总值比重统计表 (10)表21:境内目的地(货源地)东莞松山湖高新技术产业开发区进口金额(2016-2018)统计表 (11)表22:境内目的地(货源地)东莞松山湖高新技术产业开发区进口金额(2017-2018)变动分析表(比上年增长%) (11)表23:境内目的地(货源地)进口金额总值(2016-2018)统计表 (12)表24:境内目的地(货源地)进口金额总值(2017-2018)变动分析表(比上年增长%)..12 表25:境内目的地(货源地)东莞松山湖高新技术产业开发区进口金额同境内目的地(货源地)进口金额总值(2017-2018)变动对比统计表(比上年增长%) (13)第一节境内目的地(货源地)东莞松山湖高新技术产业开发区进出口贸易现状概况境内目的地(货源地)东莞松山湖高新技术产业开发区进出口贸易现状详细情况见下表(2018年):表1:境内目的地(货源地)东莞松山湖高新技术产业开发区进出口贸易现状统计表第二节境内目的地(货源地)东莞松山湖高新技术产业开发区进出口贸易进出口金额指标分析一、境内目的地(货源地)东莞松山湖高新技术产业开发区进出口金额现状统计表2:境内目的地(货源地)东莞松山湖高新技术产业开发区进出口金额现状统计表二、境内目的地(货源地)进出口金额总值现状统计表3:境内目的地(货源地)进出口金额总值现状统计表额占境内目的地(货源地)进出口金额总值比重统计分析表4:境内目的地(货源地)东莞松山湖高新技术产业开发区进出口金额占境内目的地(货源地)进出口金额总值比重统计表四、境内目的地(货源地)东莞松山湖高新技术产业开发区进出口金额(2016-2018)统计分析表5:境内目的地(货源地)东莞松山湖高新技术产业开发区进出口金额(2016-2018)统计表额(2017-2018)变动分析表6:境内目的地(货源地)东莞松山湖高新技术产业开发区进出口金额(2017-2018)变动统计表(比上年增长%)六、境内目的地(货源地)进出口金额总值(2016-2018)统计分析表7:境内目的地(货源地)进出口金额总值(2016-2018)统计表七、境内目的地(货源地)进出口金额总值(2017-2018)变动分析表8:境内目的地(货源地)进出口金额总值(2017-2018)变动统计表(比上年增长%)八、境内目的地(货源地)东莞松山湖高新技术产业开发区进出口金额同境内目的地(货源地)进出口金额总值(2017-2018)变动对比分析表9:境内目的地(货源地)东莞松山湖高新技术产业开发区进出口金额同境内目的地(货源地)进出口金额总值(2017-2018)变动对比表(比上年增长%)第三节境内目的地(货源地)东莞松山湖高新技术产业开发区进出口贸易出口金额指标分析一、境内目的地(货源地)东莞松山湖高新技术产业开发区出口金额现状统计表10:境内目的地(货源地)东莞松山湖高新技术产业开发区出口金额现状统计表二、境内目的地(货源地)出口金额总值现状统计分析表11:境内目的地(货源地)出口金额总值现状统计表占境内目的地(货源地)出口金额总值比重统计分析表12:境内目的地(货源地)东莞松山湖高新技术产业开发区出口金额占境内目的地(货源地)出口金额总值比重统计表四、境内目的地(货源地)东莞松山湖高新技术产业开发区出口金额(2016-2018)统计分析表13:境内目的地(货源地)东莞松山湖高新技术产业开发区出口金额(2016-2018)统计表(2017-2018)变动分析表14:境内目的地(货源地)东莞松山湖高新技术产业开发区出口金额(2017-2018)变动统计表(比上年增长%)六、境内目的地(货源地)出口金额总值(2016-2018)统计分析表15:境内目的地(货源地)出口金额总值(2016-2018)统计表七、境内目的地(货源地)出口金额总值(2017-2018)变动分析表16:境内目的地(货源地)出口金额总值(2017-2018)变动统计表(比上年增长%)八、境内目的地(货源地)东莞松山湖高新技术产业开发区出口金额同境内目的地(货源地)出口金额总值(2017-2018)变动对比分析表17:境内目的地(货源地)东莞松山湖高新技术产业开发区出口金额同境内目的地(货源地)出口金额总值(2017-2018)变动对比表(比上年增长%)第四节境内目的地(货源地)东莞松山湖高新技术产业开发区进出口贸易进口金额指标分析一、境内目的地(货源地)东莞松山湖高新技术产业开发区进口金额现状统计表18:境内目的地(货源地)东莞松山湖高新技术产业开发区进口金额现状统计表二、境内目的地(货源地)进口金额总值现状统计分析表19:境内目的地(货源地)进口金额总值现状统计表占境内目的地(货源地)进口金额总值比重统计分析表20:境内目的地(货源地)东莞松山湖高新技术产业开发区进口金额占境内目的地(货源地)进口金额总值比重统计表四、境内目的地(货源地)东莞松山湖高新技术产业开发区进口金额(2016-2018)统计分析表21:境内目的地(货源地)东莞松山湖高新技术产业开发区进口金额(2016-2018)统计表(2017-2018)变动分析表22:境内目的地(货源地)东莞松山湖高新技术产业开发区进口金额(2017-2018)变动统计表(比上年增长%)六、境内目的地(货源地)进口金额总值(2016-2018)统计分析表23:境内目的地(货源地)进口金额总值(2016-2018)统计表七、境内目的地(货源地)进口金额总值(2017-2018)变动分析表24:境内目的地(货源地)进口金额总值(2017-2018)变动统计表(比上年增长%)八、境内目的地(货源地)东莞松山湖高新技术产业开发区进口金额同境内目的地(货源地)进口金额总值(2017-2018)变动对比分析表25:境内目的地(货源地)东莞松山湖高新技术产业开发区进口金额同境内目的地(货源地)进口金额总值(2017-2018)变动对比表(比上年增长%)14。
连云港高新技术产业开发区营业收入数据分析报告2019版序言连云港高新技术产业开发区营业收入数据分析报告从国家级高新区企业总数量,营业收入等重要因素进行分析,剖析了连云港高新技术产业开发区营业收入现状、趋势变化。
连云港高新技术产业开发区营业收入数据分析报告相关知识产权为发布方即我公司天津旷维所有,其他方引用我方报告均请注明出处。
借助对数据的发掘及分析,提供一个全面、严谨、客观的视角来了解连云港高新技术产业开发区营业收入现状及发展趋势。
连云港高新技术产业开发区营业收入分析报告数据来源于中国国家统计局等权威部门,并经过专业统计分析及清洗而得。
连云港高新技术产业开发区营业收入数据分析报告以数据呈现方式客观、多维度、深入介绍连云港高新技术产业开发区营业收入真实状况及发展脉络,为机构和个人提供必要借鉴及重要参考。
目录第一节连云港高新技术产业开发区营业收入现状概况 (1)第二节连云港高新技术产业开发区国家级高新区企业总数量指标分析 (3)一、连云港高新技术产业开发区国家级高新区企业总数量现状统计 (3)二、全国国家级高新区企业总数量现状统计 (3)三、连云港高新技术产业开发区国家级高新区企业总数量占全国国家级高新区企业总数量比重统计 (3)四、连云港高新技术产业开发区国家级高新区企业总数量(2016-2018)统计分析 (4)五、连云港高新技术产业开发区国家级高新区企业总数量(2017-2018)变动分析 (4)六、全国国家级高新区企业总数量(2016-2018)统计分析 (5)七、全国国家级高新区企业总数量(2017-2018)变动分析 (5)八、连云港高新技术产业开发区国家级高新区企业总数量同全国国家级高新区企业总数量(2017-2018)变动对比分析 (6)第三节连云港高新技术产业开发区营业收入指标分析(以下均指国家级高新区企业) (7)一、连云港高新技术产业开发区营业收入现状统计 (7)二、全国高新区企业营业收入现状统计分析 (7)三、连云港高新技术产业开发区营业收入占全国高新区企业营业收入比重统计分析 (7)四、连云港高新技术产业开发区营业收入(2016-2018)统计分析 (8)五、连云港高新技术产业开发区营业收入(2017-2018)变动分析 (8)六、全国高新区企业营业收入(2016-2018)统计分析 (9)七、全国高新区企业营业收入(2017-2018)变动分析 (9)八、连云港高新技术产业开发区营业收入同全国高新区企业营业收入(2017-2018)变动对比分析 (10)图表目录表1:连云港高新技术产业开发区营业收入现状统计表 (1)表2:连云港高新技术产业开发区国家级高新区企业总数量现状统计表 (3)表3:全国国家级高新区企业总数量现状统计表 (3)表4:连云港高新技术产业开发区国家级高新区企业总数量占全国国家级高新区企业总数量比重统计表 (3)表5:连云港高新技术产业开发区国家级高新区企业总数量(2016-2018)统计表 (4)表6:连云港高新技术产业开发区国家级高新区企业总数量(2017-2018)变动统计表(比上年增长%) (4)表7:全国国家级高新区企业总数量(2016-2018)统计表 (5)表8:全国国家级高新区企业总数量(2017-2018)变动统计表(比上年增长%) (5)表9:连云港高新技术产业开发区国家级高新区企业总数量同全国国家级高新区企业总数量(2017-2018)变动对比统计表 (6)表10:连云港高新技术产业开发区营业收入现状统计表 (7)表11:全国高新区企业营业收入现状统计表 (7)表12:连云港高新技术产业开发区营业收入占全国高新区企业营业收入比重统计表 (7)表13:连云港高新技术产业开发区营业收入(2016-2018)统计表 (8)表14:连云港高新技术产业开发区营业收入(2017-2018)变动统计表(比上年增长%) (8)表15:全国高新区企业营业收入(2016-2018)统计表 (9)表16:全国高新区企业营业收入(2017-2018)变动统计表(比上年增长%) (9)表17:连云港高新技术产业开发区营业收入同全国高新区企业营业收入(2017-2018)变动对比统计表(比上年增长%) (10)。
呼和浩特金山高新技术产业开发区主要经济指标数据分析报告2019版序言呼和浩特金山高新技术产业开发区主要经济指标数据分析报告全面、客观、深度分析当下呼和浩特金山高新技术产业开发区主要经济指标现状及趋势脉络,通过专业、科学的研究方法及手段,剖析呼和浩特金山高新技术产业开发区主要经济指标重要维度即国家级高新区企业总数量,从业人员数量,营业收入,出口总额等,把握呼和浩特金山高新技术产业开发区主要经济指标发展规律,前瞻未来发展态势。
呼和浩特金山高新技术产业开发区主要经济指标数据分析报告知识产权为发布方即我公司天津旷维所有,其他方引用我方报告均需注明出处。
呼和浩特金山高新技术产业开发区主要经济指标分析报告数据来源于中国国家统计局等权威部门,并经过专业统计分析及清洗处理。
无数据不客观,借助严谨的数据分析给与大众更深入的洞察及更精准的分析,体现完整、真实的客观事实,为公众了解呼和浩特金山高新技术产业开发区主要经济指标提供有价值的指引,为机构和个体提供有意义的参考。
目录第一节呼和浩特金山高新技术产业开发区主要经济指标现状概况 (1)第二节呼和浩特金山高新技术产业开发区国家级高新区企业总数量指标分析 (3)一、呼和浩特金山高新技术产业开发区国家级高新区企业总数量现状统计 (3)二、全国国家级高新区企业总数量现状统计 (3)三、呼和浩特金山高新技术产业开发区国家级高新区企业总数量占全国国家级高新区企业总数量比重统计 (3)四、呼和浩特金山高新技术产业开发区国家级高新区企业总数量(2016-2018)统计分析4五、呼和浩特金山高新技术产业开发区国家级高新区企业总数量(2017-2018)变动分析4六、全国国家级高新区企业总数量(2016-2018)统计分析 (5)七、全国国家级高新区企业总数量(2017-2018)变动分析 (5)八、呼和浩特金山高新技术产业开发区国家级高新区企业总数量同全国国家级高新区企业总数量(2017-2018)变动对比分析 (6)第三节呼和浩特金山高新技术产业开发区从业人员数量指标分析(以下均指国家级高新区企业) (7)一、呼和浩特金山高新技术产业开发区从业人员数量现状统计 (7)二、全国高新区企业从业人员数量现状统计分析 (7)三、呼和浩特金山高新技术产业开发区从业人员数量占全国高新区企业从业人员数量比重统计分析7三、呼和浩特金山高新技术产业开发区从业人员数量占全国高新区企业从业人员数量比重统计分析 (7)四、呼和浩特金山高新技术产业开发区从业人员数量(2016-2018)统计分析 (8)五、呼和浩特金山高新技术产业开发区从业人员数量(2017-2018)变动分析 (8)六、全国高新区企业从业人员数量(2016-2018)统计分析 (9)七、全国高新区企业从业人员数量(2017-2018)变动分析 (9)八、呼和浩特金山高新技术产业开发区从业人员数量同全国高新区企业从业人员数量(2017-2018)变动对比分析 (10)第四节呼和浩特金山高新技术产业开发区营业收入指标分析(以下均指国家级高新区企业) (11)一、呼和浩特金山高新技术产业开发区营业收入现状统计 (11)二、全国高新区企业营业收入现状统计分析 (11)三、呼和浩特金山高新技术产业开发区营业收入占全国高新区企业营业收入比重统计分析 (11)四、呼和浩特金山高新技术产业开发区营业收入(2016-2018)统计分析 (12)五、呼和浩特金山高新技术产业开发区营业收入(2017-2018)变动分析 (12)六、全国高新区企业营业收入(2016-2018)统计分析 (13)七、全国高新区企业营业收入(2017-2018)变动分析 (13)八、呼和浩特金山高新技术产业开发区营业收入同全国高新区企业营业收入(2017-2018)变动对比分析14八、呼和浩特金山高新技术产业开发区营业收入同全国高新区企业营业收入(2017-2018)变动对比分析 (14)第五节呼和浩特金山高新技术产业开发区出口总额指标分析(以下均指国家级高新区企业) (15)一、呼和浩特金山高新技术产业开发区出口总额现状统计 (15)二、全国高新区企业出口总额现状统计 (15)三、呼和浩特金山高新技术产业开发区出口总额占全国高新区企业出口总额比重统计..15四、呼和浩特金山高新技术产业开发区出口总额(2016-2018)统计分析 (16)五、呼和浩特金山高新技术产业开发区出口总额(2017-2018)变动分析 (16)六、全国高新区企业出口总额(2016-2018)统计分析 (17)七、全国高新区企业出口总额(2017-2018)变动分析 (17)八、呼和浩特金山高新技术产业开发区出口总额同全国高新区企业出口总额(2017-2018)变动对比分析 (18)图表目录表1:呼和浩特金山高新技术产业开发区主要经济指标现状统计表 (1)表2:呼和浩特金山高新技术产业开发区国家级高新区企业总数量现状统计表 (3)表3:全国国家级高新区企业总数量现状统计表 (3)表4:呼和浩特金山高新技术产业开发区国家级高新区企业总数量占全国国家级高新区企业总数量比重统计表 (3)表5:呼和浩特金山高新技术产业开发区国家级高新区企业总数量(2016-2018)统计表 (4)表6:呼和浩特金山高新技术产业开发区国家级高新区企业总数量(2017-2018)变动统计表(比上年增长%) (4)表7:全国国家级高新区企业总数量(2016-2018)统计表 (5)表8:全国国家级高新区企业总数量(2017-2018)变动统计表(比上年增长%) (5)表9:呼和浩特金山高新技术产业开发区国家级高新区企业总数量同全国国家级高新区企业总数量(2017-2018)变动对比统计表 (6)表10:呼和浩特金山高新技术产业开发区从业人员数量现状统计表 (7)表11:全国高新区企业从业人员数量现状统计表 (7)表12:呼和浩特金山高新技术产业开发区从业人员数量占全国高新区企业从业人员数量比重统计表 (7)表13:呼和浩特金山高新技术产业开发区从业人员数量(2016-2018)统计表 (8)表14:呼和浩特金山高新技术产业开发区从业人员数量(2017-2018)变动统计表(比上年增长%) (8)表15:全国高新区企业从业人员数量(2016-2018)统计表 (9)表16:全国高新区企业从业人员数量(2017-2018)变动统计表(比上年增长%) (9)表17:呼和浩特金山高新技术产业开发区从业人员数量同全国高新区企业从业人员数量(2017-2018)变动对比统计表(比上年增长%) (10)表18:呼和浩特金山高新技术产业开发区营业收入现状统计表 (11)表19:全国高新区企业营业收入现状统计分析表 (11)表20:呼和浩特金山高新技术产业开发区营业收入占全国高新区企业营业收入比重统计表11 表21:呼和浩特金山高新技术产业开发区营业收入(2016-2018)统计表 (12)表22:呼和浩特金山高新技术产业开发区营业收入(2017-2018)变动分析表(比上年增长%) (12)表23:全国高新区企业营业收入(2016-2018)统计表 (13)表24:全国高新区企业营业收入(2017-2018)变动分析表(比上年增长%) (13)表25:呼和浩特金山高新技术产业开发区营业收入同全国高新区企业营业收入(2017-2018)变动对比统计表(比上年增长%) (14)表26:呼和浩特金山高新技术产业开发区出口总额现状统计表 (15)表27:全国高新区企业出口总额现状统计表 (15)表28:呼和浩特金山高新技术产业开发区出口总额占全国高新区企业出口总额比重统计表15表29:呼和浩特金山高新技术产业开发区出口总额(2016-2018)统计表 (16)表30:呼和浩特金山高新技术产业开发区出口总额(2017-2018)变动统计表(比上年增长%) (16)表31:全国高新区企业出口总额(2016-2018)统计表 (17)表32:全国高新区企业出口总额(2017-2018)变动统计表(比上年增长%) (17)表33:呼和浩特金山高新技术产业开发区出口总额同全国高新区企业出口总额(2017-2018)变动对比统计表(比上年增长%) (18)。
苏州国家高新技术产业开发区主要经济指标数据分析报告2019版序言苏州国家高新技术产业开发区主要经济指标数据分析报告全面、客观、深度分析当下苏州国家高新技术产业开发区主要经济指标现状及趋势脉络,通过专业、科学的研究方法及手段,剖析苏州国家高新技术产业开发区主要经济指标重要维度即国家级高新区企业总数量,从业人员数量,营业收入,出口总额等,把握苏州国家高新技术产业开发区主要经济指标发展规律,前瞻未来发展态势。
苏州国家高新技术产业开发区主要经济指标数据分析报告知识产权为发布方即我公司天津旷维所有,其他方引用我方报告均需注明出处。
苏州国家高新技术产业开发区主要经济指标分析报告数据来源于中国国家统计局等权威部门,并经过专业统计分析及清洗处理。
无数据不客观,借助严谨的数据分析给与大众更深入的洞察及更精准的分析,体现完整、真实的客观事实,为公众了解苏州国家高新技术产业开发区主要经济指标提供有价值的指引,为机构和个体提供有意义的参考。
目录第一节苏州国家高新技术产业开发区主要经济指标现状概况 (1)第二节苏州国家高新技术产业开发区国家级高新区企业总数量指标分析 (3)一、苏州国家高新技术产业开发区国家级高新区企业总数量现状统计 (3)二、全国国家级高新区企业总数量现状统计 (3)三、苏州国家高新技术产业开发区国家级高新区企业总数量占全国国家级高新区企业总数量比重统计 (3)四、苏州国家高新技术产业开发区国家级高新区企业总数量(2016-2018)统计分析 (4)五、苏州国家高新技术产业开发区国家级高新区企业总数量(2017-2018)变动分析 (4)六、全国国家级高新区企业总数量(2016-2018)统计分析 (5)七、全国国家级高新区企业总数量(2017-2018)变动分析 (5)八、苏州国家高新技术产业开发区国家级高新区企业总数量同全国国家级高新区企业总数量(2017-2018)变动对比分析 (6)第三节苏州国家高新技术产业开发区从业人员数量指标分析(以下均指国家级高新区企业) (7)一、苏州国家高新技术产业开发区从业人员数量现状统计 (7)二、全国高新区企业从业人员数量现状统计分析 (7)三、苏州国家高新技术产业开发区从业人员数量占全国高新区企业从业人员数量比重统计分析7三、苏州国家高新技术产业开发区从业人员数量占全国高新区企业从业人员数量比重统计分析 (7)四、苏州国家高新技术产业开发区从业人员数量(2016-2018)统计分析 (8)五、苏州国家高新技术产业开发区从业人员数量(2017-2018)变动分析 (8)六、全国高新区企业从业人员数量(2016-2018)统计分析 (9)七、全国高新区企业从业人员数量(2017-2018)变动分析 (9)八、苏州国家高新技术产业开发区从业人员数量同全国高新区企业从业人员数量(2017-2018)变动对比分析 (10)第四节苏州国家高新技术产业开发区营业收入指标分析(以下均指国家级高新区企业) .11一、苏州国家高新技术产业开发区营业收入现状统计 (11)二、全国高新区企业营业收入现状统计分析 (11)三、苏州国家高新技术产业开发区营业收入占全国高新区企业营业收入比重统计分析..11四、苏州国家高新技术产业开发区营业收入(2016-2018)统计分析 (12)五、苏州国家高新技术产业开发区营业收入(2017-2018)变动分析 (12)六、全国高新区企业营业收入(2016-2018)统计分析 (13)七、全国高新区企业营业收入(2017-2018)变动分析 (13)八、苏州国家高新技术产业开发区营业收入同全国高新区企业营业收入(2017-2018)变动对比分析 (14)第五节苏州国家高新技术产业开发区出口总额指标分析(以下均指国家级高新区企业) .15一、苏州国家高新技术产业开发区出口总额现状统计 (15)二、全国高新区企业出口总额现状统计 (15)三、苏州国家高新技术产业开发区出口总额占全国高新区企业出口总额比重统计 (15)四、苏州国家高新技术产业开发区出口总额(2016-2018)统计分析 (16)五、苏州国家高新技术产业开发区出口总额(2017-2018)变动分析 (16)六、全国高新区企业出口总额(2016-2018)统计分析 (17)七、全国高新区企业出口总额(2017-2018)变动分析 (17)八、苏州国家高新技术产业开发区出口总额同全国高新区企业出口总额(2017-2018)变动对比分析 (18)图表目录表1:苏州国家高新技术产业开发区主要经济指标现状统计表 (1)表2:苏州国家高新技术产业开发区国家级高新区企业总数量现状统计表 (3)表3:全国国家级高新区企业总数量现状统计表 (3)表4:苏州国家高新技术产业开发区国家级高新区企业总数量占全国国家级高新区企业总数量比重统计表 (3)表5:苏州国家高新技术产业开发区国家级高新区企业总数量(2016-2018)统计表 (4)表6:苏州国家高新技术产业开发区国家级高新区企业总数量(2017-2018)变动统计表(比上年增长%) (4)表7:全国国家级高新区企业总数量(2016-2018)统计表 (5)表8:全国国家级高新区企业总数量(2017-2018)变动统计表(比上年增长%) (5)表9:苏州国家高新技术产业开发区国家级高新区企业总数量同全国国家级高新区企业总数量(2017-2018)变动对比统计表 (6)表10:苏州国家高新技术产业开发区从业人员数量现状统计表 (7)表11:全国高新区企业从业人员数量现状统计表 (7)表12:苏州国家高新技术产业开发区从业人员数量占全国高新区企业从业人员数量比重统计表 (7)表13:苏州国家高新技术产业开发区从业人员数量(2016-2018)统计表 (8)表14:苏州国家高新技术产业开发区从业人员数量(2017-2018)变动统计表(比上年增长%) (8)表15:全国高新区企业从业人员数量(2016-2018)统计表 (9)表16:全国高新区企业从业人员数量(2017-2018)变动统计表(比上年增长%) (9)表17:苏州国家高新技术产业开发区从业人员数量同全国高新区企业从业人员数量(2017-2018)变动对比统计表(比上年增长%) (10)表18:苏州国家高新技术产业开发区营业收入现状统计表 (11)表19:全国高新区企业营业收入现状统计分析表 (11)表20:苏州国家高新技术产业开发区营业收入占全国高新区企业营业收入比重统计表 (11)表21:苏州国家高新技术产业开发区营业收入(2016-2018)统计表 (12)表22:苏州国家高新技术产业开发区营业收入(2017-2018)变动分析表(比上年增长%)12 表23:全国高新区企业营业收入(2016-2018)统计表 (13)表24:全国高新区企业营业收入(2017-2018)变动分析表(比上年增长%) (13)表25:苏州国家高新技术产业开发区营业收入同全国高新区企业营业收入(2017-2018)变动对比统计表(比上年增长%) (14)表26:苏州国家高新技术产业开发区出口总额现状统计表 (15)表27:全国高新区企业出口总额现状统计表 (15)表28:苏州国家高新技术产业开发区出口总额占全国高新区企业出口总额比重统计表 (15)表29:苏州国家高新技术产业开发区出口总额(2016-2018)统计表 (16)表30:苏州国家高新技术产业开发区出口总额(2017-2018)变动统计表(比上年增长%)16 表31:全国高新区企业出口总额(2016-2018)统计表 (17)表32:全国高新区企业出口总额(2017-2018)变动统计表(比上年增长%) (17)表33:苏州国家高新技术产业开发区出口总额同全国高新区企业出口总额(2017-2018)变动对比统计表(比上年增长%) (18)。
广州高新技术产业开发区主要经济指标数据分析报告2019版序言广州高新技术产业开发区主要经济指标数据分析报告全面、客观、深度分析当下广州高新技术产业开发区主要经济指标现状及趋势脉络,通过专业、科学的研究方法及手段,剖析广州高新技术产业开发区主要经济指标重要维度即国家级高新区企业总数量,从业人员数量,营业收入,出口总额等,把握广州高新技术产业开发区主要经济指标发展规律,前瞻未来发展态势。
广州高新技术产业开发区主要经济指标数据分析报告知识产权为发布方即我公司天津旷维所有,其他方引用我方报告均需注明出处。
广州高新技术产业开发区主要经济指标分析报告数据来源于中国国家统计局等权威部门,并经过专业统计分析及清洗处理。
无数据不客观,借助严谨的数据分析给与大众更深入的洞察及更精准的分析,体现完整、真实的客观事实,为公众了解广州高新技术产业开发区主要经济指标提供有价值的指引,为机构和个体提供有意义的参考。
目录第一节广州高新技术产业开发区主要经济指标现状概况 (1)第二节广州高新技术产业开发区国家级高新区企业总数量指标分析 (3)一、广州高新技术产业开发区国家级高新区企业总数量现状统计 (3)二、全国国家级高新区企业总数量现状统计 (3)三、广州高新技术产业开发区国家级高新区企业总数量占全国国家级高新区企业总数量比重统计 (3)四、广州高新技术产业开发区国家级高新区企业总数量(2016-2018)统计分析 (4)五、广州高新技术产业开发区国家级高新区企业总数量(2017-2018)变动分析 (4)六、全国国家级高新区企业总数量(2016-2018)统计分析 (5)七、全国国家级高新区企业总数量(2017-2018)变动分析 (5)八、广州高新技术产业开发区国家级高新区企业总数量同全国国家级高新区企业总数量(2017-2018)变动对比分析 (6)第三节广州高新技术产业开发区从业人员数量指标分析(以下均指国家级高新区企业) ..7一、广州高新技术产业开发区从业人员数量现状统计 (7)二、全国高新区企业从业人员数量现状统计分析 (7)三、广州高新技术产业开发区从业人员数量占全国高新区企业从业人员数量比重统计分析7四、广州高新技术产业开发区从业人员数量(2016-2018)统计分析 (8)五、广州高新技术产业开发区从业人员数量(2017-2018)变动分析 (8)六、全国高新区企业从业人员数量(2016-2018)统计分析 (9)七、全国高新区企业从业人员数量(2017-2018)变动分析 (9)八、广州高新技术产业开发区从业人员数量同全国高新区企业从业人员数量(2017-2018)变动对比分析 (10)第四节广州高新技术产业开发区营业收入指标分析(以下均指国家级高新区企业) (11)一、广州高新技术产业开发区营业收入现状统计 (11)二、全国高新区企业营业收入现状统计分析 (11)三、广州高新技术产业开发区营业收入占全国高新区企业营业收入比重统计分析 (11)四、广州高新技术产业开发区营业收入(2016-2018)统计分析 (12)五、广州高新技术产业开发区营业收入(2017-2018)变动分析 (12)六、全国高新区企业营业收入(2016-2018)统计分析 (13)七、全国高新区企业营业收入(2017-2018)变动分析 (13)八、广州高新技术产业开发区营业收入同全国高新区企业营业收入(2017-2018)变动对比分析 (14)第五节广州高新技术产业开发区出口总额指标分析(以下均指国家级高新区企业) (15)一、广州高新技术产业开发区出口总额现状统计 (15)二、全国高新区企业出口总额现状统计 (15)三、广州高新技术产业开发区出口总额占全国高新区企业出口总额比重统计 (15)四、广州高新技术产业开发区出口总额(2016-2018)统计分析 (16)五、广州高新技术产业开发区出口总额(2017-2018)变动分析 (16)六、全国高新区企业出口总额(2016-2018)统计分析 (17)七、全国高新区企业出口总额(2017-2018)变动分析 (17)八、广州高新技术产业开发区出口总额同全国高新区企业出口总额(2017-2018)变动对比分析 (18)图表目录表1:广州高新技术产业开发区主要经济指标现状统计表 (1)表2:广州高新技术产业开发区国家级高新区企业总数量现状统计表 (3)表3:全国国家级高新区企业总数量现状统计表 (3)表4:广州高新技术产业开发区国家级高新区企业总数量占全国国家级高新区企业总数量比重统计表 (3)表5:广州高新技术产业开发区国家级高新区企业总数量(2016-2018)统计表 (4)表6:广州高新技术产业开发区国家级高新区企业总数量(2017-2018)变动统计表(比上年增长%) (4)表7:全国国家级高新区企业总数量(2016-2018)统计表 (5)表8:全国国家级高新区企业总数量(2017-2018)变动统计表(比上年增长%) (5)表9:广州高新技术产业开发区国家级高新区企业总数量同全国国家级高新区企业总数量(2017-2018)变动对比统计表 (6)表10:广州高新技术产业开发区从业人员数量现状统计表 (7)表11:全国高新区企业从业人员数量现状统计表 (7)表12:广州高新技术产业开发区从业人员数量占全国高新区企业从业人员数量比重统计表.7 表13:广州高新技术产业开发区从业人员数量(2016-2018)统计表 (8)表14:广州高新技术产业开发区从业人员数量(2017-2018)变动统计表(比上年增长%).8表15:全国高新区企业从业人员数量(2016-2018)统计表 (9)表16:全国高新区企业从业人员数量(2017-2018)变动统计表(比上年增长%) (9)表17:广州高新技术产业开发区从业人员数量同全国高新区企业从业人员数量(2017-2018)变动对比统计表(比上年增长%) (10)表18:广州高新技术产业开发区营业收入现状统计表 (11)表19:全国高新区企业营业收入现状统计分析表 (11)表20:广州高新技术产业开发区营业收入占全国高新区企业营业收入比重统计表 (11)表21:广州高新技术产业开发区营业收入(2016-2018)统计表 (12)表22:广州高新技术产业开发区营业收入(2017-2018)变动分析表(比上年增长%) (12)表23:全国高新区企业营业收入(2016-2018)统计表 (13)表24:全国高新区企业营业收入(2017-2018)变动分析表(比上年增长%) (13)表25:广州高新技术产业开发区营业收入同全国高新区企业营业收入(2017-2018)变动对比统计表(比上年增长%) (14)表26:广州高新技术产业开发区出口总额现状统计表 (15)表27:全国高新区企业出口总额现状统计表 (15)表28:广州高新技术产业开发区出口总额占全国高新区企业出口总额比重统计表 (15)表29:广州高新技术产业开发区出口总额(2016-2018)统计表 (16)表30:广州高新技术产业开发区出口总额(2017-2018)变动统计表(比上年增长%) (16)表31:全国高新区企业出口总额(2016-2018)统计表 (17)表32:全国高新区企业出口总额(2017-2018)变动统计表(比上年增长%) (17)表33:广州高新技术产业开发区出口总额同全国高新区企业出口总额(2017-2018)变动对比统计表(比上年增长%) (18)第一节广州高新技术产业开发区主要经济指标现状概况广州高新技术产业开发区主要经济指标现状详细情况见下表(2018年):表1:广州高新技术产业开发区主要经济指标现状统计表第二节广州高新技术产业开发区国家级高新区企业总数量指标分析一、广州高新技术产业开发区国家级高新区企业总数量现状统计表2:广州高新技术产业开发区国家级高新区企业总数量现状统计表二、全国国家级高新区企业总数量现状统计表3:全国国家级高新区企业总数量现状统计表三、广州高新技术产业开发区国家级高新区企业总数量占全国国家级高新区企业总数量比重统计分析表4:广州高新技术产业开发区国家级高新区企业总数量占全国国家级高新区企业总数量比重统计表四、广州高新技术产业开发区国家级高新区企业总数量(2016-2018)统计分析表5:广州高新技术产业开发区国家级高新区企业总数量(2016-2018)统计表五、广州高新技术产业开发区国家级高新区企业总数量(2017-2018)变动分析表6:广州高新技术产业开发区国家级高新区企业总数量(2017-2018)变动统计表(比上年增长%)六、全国国家级高新区企业总数量(2016-2018)统计分析表7:全国国家级高新区企业总数量(2016-2018)统计表七、全国国家级高新区企业总数量(2017-2018)变动分析表8:全国国家级高新区企业总数量(2017-2018)变动统计表(比上年增长%)八、广州高新技术产业开发区国家级高新区企业总数量同全国国家级高新区企业总数量(2017-2018)变动对比分析表9:广州高新技术产业开发区国家级高新区企业总数量同全国国家级高新区企业总数量(2017-2018)变动对比表(比上年增长%)第三节广州高新技术产业开发区从业人员数量指标分析一、广州高新技术产业开发区从业人员数量现状统计表10:广州高新技术产业开发区从业人员数量现状统计表二、全国从业人员数量现状统计分析表11:全国从业人员数量现状统计表三、广州高新技术产业开发区从业人员数量占全国从业人员数量比重统计分析表12:广州高新技术产业开发区从业人员数量占全国从业人员数量比重统计表指标数量(人)占总值比重四、广州高新技术产业开发区从业人员数量(2016-2018)统计分析表13:广州高新技术产业开发区从业人员数量(2016-2018)统计表五、广州高新技术产业开发区从业人员数量(2017-2018)变动分析表14:广州高新技术产业开发区从业人员数量(2017-2018)变动统计表(比上年增长%)六、全国从业人员数量(2016-2018)统计分析表15:全国从业人员数量(2016-2018)统计表七、全国从业人员数量(2017-2018)变动分析表16:全国从业人员数量(2017-2018)变动统计表(比上年增长%)八、广州高新技术产业开发区从业人员数量同全国从业人员数量(2017-2018)变动对比分析表17:广州高新技术产业开发区从业人员数量同全国从业人员数量(2017-2018)变动对比表(比上年增长%)第四节广州高新技术产业开发区营业收入指标分析一、广州高新技术产业开发区营业收入现状统计表18:广州高新技术产业开发区营业收入现状统计表二、全国营业收入现状统计分析19:全国营业收入现状统计表表三、广州高新技术产业开发区营业收入占全国营业收入比重统计分析20:广州高新技术产业开发区营业收入占全国营业收入比重统计表表四、广州高新技术产业开发区营业收入(2016-2018)统计分析表21:广州高新技术产业开发区营业收入(2016-2018)统计表五、广州高新技术产业开发区营业收入(2017-2018)变动分析表22:广州高新技术产业开发区营业收入(2017-2018)变动统计表(比上年增长%)六、全国营业收入(2016-2018)统计分析表23:全国营业收入(2016-2018)统计表七、全国营业收入(2017-2018)变动分析表24:全国营业收入(2017-2018)变动统计表(比上年增长%)八、广州高新技术产业开发区营业收入同全国营业收入(2017-2018)变动对比分析表25:广州高新技术产业开发区营业收入同全国营业收入(2017-2018)变动对比表(比上年增长%)第五节广州高新技术产业开发区出口总额指标分析一、广州高新技术产业开发区出口总额现状统计表26:广州高新技术产业开发区出口总额现状统计表二、全国出口总额现状统计27:全国出口总额现状统计表表三、广州高新技术产业开发区出口总额占全国出口总额比重统计分析表28:广州高新技术产业开发区出口总额占全国出口总额比重统计表指标数量(万元)占总值比重四、广州高新技术产业开发区出口总额(2016-2018)统计分析表29:广州高新技术产业开发区出口总额(2016-2018)统计表五、广州高新技术产业开发区出口总额(2017-2018)变动分析表30:广州高新技术产业开发区出口总额(2017-2018)变动统计表(比上年增长%)六、全国出口总额(2016-2018)统计分析表31:全国出口总额(2016-2018)统计表七、全国出口总额(2017-2018)变动分析表32:全国出口总额(2017-2018)变动统计表(比上年增长%)八、广州高新技术产业开发区出口总额同全国出口总额(2017-2018)变动对比分析表33:广州高新技术产业开发区出口总额同全国出口总额(2017-2018)变动对比表(比上年增长%)。
随州高新技术产业开发区主要经济指标数据分析报告2019版序言随州高新技术产业开发区主要经济指标数据分析报告全面、客观、深度分析当下随州高新技术产业开发区主要经济指标现状及趋势脉络,通过专业、科学的研究方法及手段,剖析随州高新技术产业开发区主要经济指标重要维度即国家级高新区企业总数量,从业人员数量,营业收入,出口总额等,把握随州高新技术产业开发区主要经济指标发展规律,前瞻未来发展态势。
随州高新技术产业开发区主要经济指标数据分析报告知识产权为发布方即我公司天津旷维所有,其他方引用我方报告均需注明出处。
随州高新技术产业开发区主要经济指标分析报告数据来源于中国国家统计局等权威部门,并经过专业统计分析及清洗处理。
无数据不客观,借助严谨的数据分析给与大众更深入的洞察及更精准的分析,体现完整、真实的客观事实,为公众了解随州高新技术产业开发区主要经济指标提供有价值的指引,为机构和个体提供有意义的参考。
目录第一节随州高新技术产业开发区主要经济指标现状概况 (1)第二节随州高新技术产业开发区国家级高新区企业总数量指标分析 (3)一、随州高新技术产业开发区国家级高新区企业总数量现状统计 (3)二、全国国家级高新区企业总数量现状统计 (3)三、随州高新技术产业开发区国家级高新区企业总数量占全国国家级高新区企业总数量比重统计 (3)四、随州高新技术产业开发区国家级高新区企业总数量(2016-2018)统计分析 (4)五、随州高新技术产业开发区国家级高新区企业总数量(2017-2018)变动分析 (4)六、全国国家级高新区企业总数量(2016-2018)统计分析 (5)七、全国国家级高新区企业总数量(2017-2018)变动分析 (5)八、随州高新技术产业开发区国家级高新区企业总数量同全国国家级高新区企业总数量(2017-2018)变动对比分析 (6)第三节随州高新技术产业开发区从业人员数量指标分析(以下均指国家级高新区企业) ..7一、随州高新技术产业开发区从业人员数量现状统计 (7)二、全国高新区企业从业人员数量现状统计分析 (7)三、随州高新技术产业开发区从业人员数量占全国高新区企业从业人员数量比重统计分析7四、随州高新技术产业开发区从业人员数量(2016-2018)统计分析 (8)五、随州高新技术产业开发区从业人员数量(2017-2018)变动分析 (8)六、全国高新区企业从业人员数量(2016-2018)统计分析 (9)七、全国高新区企业从业人员数量(2017-2018)变动分析 (9)八、随州高新技术产业开发区从业人员数量同全国高新区企业从业人员数量(2017-2018)变动对比分析 (10)第四节随州高新技术产业开发区营业收入指标分析(以下均指国家级高新区企业) (11)一、随州高新技术产业开发区营业收入现状统计 (11)二、全国高新区企业营业收入现状统计分析 (11)三、随州高新技术产业开发区营业收入占全国高新区企业营业收入比重统计分析 (11)四、随州高新技术产业开发区营业收入(2016-2018)统计分析 (12)五、随州高新技术产业开发区营业收入(2017-2018)变动分析 (12)六、全国高新区企业营业收入(2016-2018)统计分析 (13)七、全国高新区企业营业收入(2017-2018)变动分析 (13)八、随州高新技术产业开发区营业收入同全国高新区企业营业收入(2017-2018)变动对比分析 (14)第五节随州高新技术产业开发区出口总额指标分析(以下均指国家级高新区企业) (15)一、随州高新技术产业开发区出口总额现状统计 (15)二、全国高新区企业出口总额现状统计 (15)三、随州高新技术产业开发区出口总额占全国高新区企业出口总额比重统计 (15)四、随州高新技术产业开发区出口总额(2016-2018)统计分析 (16)五、随州高新技术产业开发区出口总额(2017-2018)变动分析 (16)六、全国高新区企业出口总额(2016-2018)统计分析 (17)七、全国高新区企业出口总额(2017-2018)变动分析 (17)八、随州高新技术产业开发区出口总额同全国高新区企业出口总额(2017-2018)变动对比分析 (18)图表目录表1:随州高新技术产业开发区主要经济指标现状统计表 (1)表2:随州高新技术产业开发区国家级高新区企业总数量现状统计表 (3)表3:全国国家级高新区企业总数量现状统计表 (3)表4:随州高新技术产业开发区国家级高新区企业总数量占全国国家级高新区企业总数量比重统计表 (3)表5:随州高新技术产业开发区国家级高新区企业总数量(2016-2018)统计表 (4)表6:随州高新技术产业开发区国家级高新区企业总数量(2017-2018)变动统计表(比上年增长%) (4)表7:全国国家级高新区企业总数量(2016-2018)统计表 (5)表8:全国国家级高新区企业总数量(2017-2018)变动统计表(比上年增长%) (5)表9:随州高新技术产业开发区国家级高新区企业总数量同全国国家级高新区企业总数量(2017-2018)变动对比统计表 (6)表10:随州高新技术产业开发区从业人员数量现状统计表 (7)表11:全国高新区企业从业人员数量现状统计表 (7)表12:随州高新技术产业开发区从业人员数量占全国高新区企业从业人员数量比重统计表.7 表13:随州高新技术产业开发区从业人员数量(2016-2018)统计表 (8)表14:随州高新技术产业开发区从业人员数量(2017-2018)变动统计表(比上年增长%).8表15:全国高新区企业从业人员数量(2016-2018)统计表 (9)表16:全国高新区企业从业人员数量(2017-2018)变动统计表(比上年增长%) (9)表17:随州高新技术产业开发区从业人员数量同全国高新区企业从业人员数量(2017-2018)变动对比统计表(比上年增长%) (10)表18:随州高新技术产业开发区营业收入现状统计表 (11)表19:全国高新区企业营业收入现状统计分析表 (11)表20:随州高新技术产业开发区营业收入占全国高新区企业营业收入比重统计表 (11)表21:随州高新技术产业开发区营业收入(2016-2018)统计表 (12)表22:随州高新技术产业开发区营业收入(2017-2018)变动分析表(比上年增长%) (12)表23:全国高新区企业营业收入(2016-2018)统计表 (13)表24:全国高新区企业营业收入(2017-2018)变动分析表(比上年增长%) (13)表25:随州高新技术产业开发区营业收入同全国高新区企业营业收入(2017-2018)变动对比统计表(比上年增长%) (14)表26:随州高新技术产业开发区出口总额现状统计表 (15)表27:全国高新区企业出口总额现状统计表 (15)表28:随州高新技术产业开发区出口总额占全国高新区企业出口总额比重统计表 (15)表29:随州高新技术产业开发区出口总额(2016-2018)统计表 (16)表30:随州高新技术产业开发区出口总额(2017-2018)变动统计表(比上年增长%) (16)表31:全国高新区企业出口总额(2016-2018)统计表 (17)表32:全国高新区企业出口总额(2017-2018)变动统计表(比上年增长%) (17)表33:随州高新技术产业开发区出口总额同全国高新区企业出口总额(2017-2018)变动对比统计表(比上年增长%) (18)。
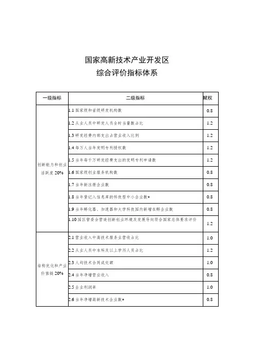
国家高新技术产业开发区综合评价指标体系指标解释为探索分类评价机制,体现评价指标体系标准基本统一又有所区别对待的原则,部分创新指标和绿色发展指标(用*标注的指标)对东部地区、中部和东北地区、西部地区的各高新区采取差别对待的办法。
方法是设置加分系数,对涉及的部分二级指标进行加分处理。
对于部分创新指标,东部基础得分*1,中部和东北基础得分*105,西部基础得分*1.1。
对于部分绿色发展指标,东部基础得分*1.1,中部和东北基础得分*1.0,西部基础得分*0.9。
这5个二级指标为:1.8,2.6,3.1,4.5,5.6。
(一)创新能力和创业活跃度U国家级和省级研发机构数计算公式:国家或行业归口研究院所数十国家重点实验室数+国家认定的国家级企业技术中心数*3+省级企业技术中心数*1/10+国家工程研究中心数十国家工程技术研究中心数十国家工程实验室数+国家地方联合工程研究中心数+省级新型研发机构数*1/10+其它国家级研发机构数+国家级研发机构分中心数*1/10指标解释:鼓励园区积极引进和培育各类高水平研发载体,着力提升园区研发实力,特别是建立以企业为主体的技术创新体系。
1.2从业人员中研发人员全时当量数占比计算公式:企业R&D人员折合全时当量核算值/从业人员期末数指标解释:衡量园区企业研发人员的实际投入强度,鼓励企业强化自主创新人力的投入。
1.3研发经费内部支出占营业收入比例计算公式:企业R&D经费内部支出核算值/企业营业收入指标解释:衡量企业研发投入强度的通用指标,反映园区企业对研发和技术创新的重视程度以及投入能力。
1.4每万人当年发明专利授权数计算公式:企业当年发明专利授权数/从业人员期末数指标解释:衡量园区企业的高质量创新成果的人均产出效率,引导企业开展具有较高原创性的创新活动。
1.5当年每千万研发经费支出的发明专利申请数计算公式:企业当年发明专利申请数/企业R&D经费内部支出核算值指标解释:衡量园区企业高质量研发创新成果的单位经费产出效率。
广州产业分析报告1. 引言广州是中国南方的一座重要城市,也是广东省的省会。
作为中国改革开放的重要窗口和南方经济中心城市,广州的产业结构一直备受关注。
本报告旨在对广州的产业进行分析,以了解其经济发展现状和未来趋势。
2. 经济概况广州市GDP总量连续多年位居中国内地城市前列,经济总量稳步增长。
根据最新数据,2019年广州市GDP超过1.6万亿元,增速达到6.2%。
广州市的经济增长主要依靠其多元化的产业结构。
3. 主要产业广州市的主要产业包括制造业、服务业和建筑业。
以下是对各个产业的详细分析:3.1 制造业广州市的制造业一直是其经济发展的重要支柱。
汽车制造、电子产品制造和纺织服装制造是广州市最具竞争力的制造业领域。
随着技术的发展和市场需求的变化,广州市制造业在不断转型升级,注重技术创新和高附加值产品的生产。
3.2 服务业广州市的服务业在经济中的比重逐渐增加。
金融业、物流业和旅游业是广州市服务业的主要组成部分。
广州作为中国重要的金融中心之一,吸引了众多金融机构的设立。
同时,广州地理位置优越,交通便利,物流业也得到了快速发展。
旅游业方面,广州以其丰富的历史文化和美食享誉海内外,吸引了大量国内外游客。
3.3 建筑业广州市的建筑业也是一个重要的产业,随着城市的不断发展和基础设施建设的推进,建筑业在经济中的地位日益重要。
广州作为一座现代化城市,大量的商业综合体、住宅小区和公共设施的建设为建筑业提供了广阔的市场。
4. 产业发展趋势根据对广州产业的观察和分析,可以预见以下产业发展趋势:4.1 制造业升级随着技术的进步和市场需求的变化,广州市的制造业将继续追求技术创新和产品升级。
特别是在高科技领域,广州市将加大力度推动人工智能、物联网等前沿技术的研发和应用,提高产品质量和竞争力。
4.2 服务业增值广州市的服务业将继续朝着高附加值方向发展。
金融业将进一步深化金融创新,提供更多的金融产品和服务。
物流业将加强供应链管理,提高效率和服务质量。
附件国家高新技术产业开发区创新驱动战略提升行动实施方案为贯彻党的十八大精神,落实《中共中央国务院关于深化科技体制改革加快国家创新体系建设的意见》和全国科技创新大会的要求,在国家高新技术产业开发区(以下简称“国家高新区”)实施创新驱动发展战略,根据科技部《关于进一步加强火炬工作促进高新技术产业化的指导意见》,组织实施国家高新技术产业开发区创新驱动战略提升行动(以下简称“国家高新区战略提升行动”),特制定本方案。
一、实施国家高新区战略提升行动的重要性和紧迫性经过20年的发展,国家高新区集聚了丰富的创新资源,创新了体制机制,优化提升了发展环境,涌现出一批具有竞争力的产业和企业;国家高新区已经成为我国高新技术产业发展的一面旗帜,成为我国依靠科技进步和技术创新推进经济社会发展、走中国特色自主创新道路的突出典范,成为引领科学发展、创新发展和可持续发展的战略先导。
当前,国家高新区面临新的发展环境。
从国际看,经济全球化、创新全球化深入发展,科技创新孕育新的重大突破,新一轮产业革命蓄势待发;从国内看,经济社会发展不平衡、不协调、不可持续的问题依然存在,经济结构急需转型、经济发展方式急需转变,工业化、信息化、城镇化、市场化、国际化的要求日益迫切;从国家高新区自身来看,原始创新能力需要加强,战略性新兴产业和现代服务业需要加快培育和发展,产业国际竞争力需要加强,辐射带动作用需要进一步发挥,体制机制需要进一步改革创新,科学发展水平需要不断提升。
国家高新区的建设和发展经过十年的初创发展阶段和十年的“二次创业”发展阶段,正迈入新的发展阶段,这个阶段的总体要求是创新驱动、战略提升。
实施国家高新区战略提升行动既是新时期赋予国家高新区的历史使命,也是国家高新区自身发展的必然选择。
二、国家高新区战略提升行动的内涵和目标(一)内涵。
以加快转变经济发展方式为主线,以增强自主创新能力为核心,以深化改革开放为动力,以促进科技与经济社会发展紧密结合为重点,全力提升国家高新区的科学发展水平,最终实现“四个跨越”。
广州市经济分析报告1. 引言广州市是中国南方地区的经济中心和国际大都市。
随着改革开放的不断推进,广州市的经济发展取得了显著成就。
本报告旨在对广州市的经济发展状况进行全面分析,以了解其当前面临的挑战和机遇。
2. 经济概况2.1 地理位置和面积广州市位于广东省中部沿海地区,东临深圳市,南接珠海市,西靠佛山市,北临韶关市,总面积约为7434.4平方公里。
2.2 人口和人口结构截至2020年底,广州市的常住人口为1512.9万人。
广州市的人口结构主要由中青年劳动力和老年人构成,劳动力资源丰富,为经济发展提供了有力支撑。
2.3 经济产业结构广州市的经济产业结构多元化,主要包括制造业、服务业和房地产业。
制造业在广州市的经济中占据重要地位,特别是汽车制造、电子产品制造和纺织业。
服务业以金融、物流、旅游和文化创意产业为主要支柱。
房地产业是广州市的支柱产业之一,近年来得到快速发展。
3. 经济发展分析3.1 GDP增长2019年,广州市的GDP总量达到了21306亿元,同比增长6.2%。
尽管全球经济形势不稳定,但广州市的GDP增长仍表现出较强的韧性。
这主要得益于制造业的强劲增长和服务业的不断壮大。
3.2 外贸进出口广州市是中国重要的外贸城市之一,外贸进出口在经济发展中起到了重要的推动作用。
根据统计数据显示,2019年广州市的进出口总额达到了10457亿美元,同比增长3.9%。
其中,出口总额为5957亿美元,同比增长4.3%;进口总额为4499亿美元,同比增长3.4%。
这一数据显示出广州市对外贸易的依赖程度较高。
3.3 投资环境广州市一直致力于改善营商环境,提供良好的投资环境以吸引国内外投资。
根据统计数据,2019年广州市实际利用外资达到了107亿美元,同比增长7.8%。
同时,广州市也大力支持企业技术创新和科研发展,积极培育高新技术产业。
3.4 城市建设广州市一直以来注重城市建设和基础设施建设,以满足经济发展的需求。
前言自从1988起,中国就实行火炬计划,各城市全都联系自己的当地情况创建各自的高新技术产业开发区。
建区以来,由于各方面的支持使得我国的高新技术迅速的发展,并且逐渐摸索具有我国特色的路线。
2008年以来,面对国际金融危机的重大冲击,全球各国纷纷开始加大科技创新低发展,都想要通过发展新科技、培养高新技术产业,创造经济增长点,想要将自己从金融危机的巨大影响中挣脱出来。
许多发达国家纷纷出台相应策略以推进其迅速发展,中国也同样出台了多项相关策略来推动高新技术产业的发展。
在产业迅速发展的条件下,广东政府相继出台各种鼓励高新技术产业的策略,也就是将创新驱动发展作为高新技术产业的核心策略,建立自主创新示范区和高新技术发展区,依靠高新技术发展区的发展,创建创新型格局,加快建立开放型区域创新体系,促进其增长和落实科技创新发展。
但是产业间仍然还有一些劣势因素:产品中能够在国际上占有较高地位的技术较少,所以核心技术主要依赖于国外跨国企业的技术核心,产品主要以加工产品及零部件为主,因此产品的附加值往往较低;广东省的高新技术产品主要的市场集中在美国、欧盟和香港,市场较为集中,且美国和欧盟是擅长运用贸易壁垒保护己方利益,控制其他国家进口的国家,应对高新技术产品进口时,他们往往应用技术性贸易壁垒和知识产权壁垒来控制进口,这也是广东企业不得不应对的一大难题;在这之中只有少数几种产品在市场中拥有较强的竞争力,其他的劣势较大,而且对比其他高新技术产品而言,拥有竞争力的产品偏向劳动型产品。
但广东省的高新技术产品在国际市场上的国际竞争力仍然拥有很大的发挥空间,广东省的人才队伍逐渐壮大,更多的资金正在投入,在此背景下,本文通过知网和维普等数据库收集广东省高新技术产品出口有关文献和资料加以分析,对广东省高新技术产品出口贸易的现状及问题提出相关建议。
一、广东省高新技术产品出口贸易现状(一)广东高新技术产业规模现状2018年广东省高新技术企业数量为33356个,在全国各省份高新技术企业数量排行榜排名全国第一,比排名第二的北京远远超出了13059个。
2011届国际经济与贸易专业毕业论文(二○一一届)毕业论文题目:广东省高新技术产品出口现状和发展研究姓名:专业:国际经济与贸易班级:学号:指导教师:导师学科:导师职称:年月日广东省高新技术产品出口现状和发展研究摘要本文通过对广东省高新技术产品出口现状的分析,阐述了广东省高新技术产品出口对广东省经济发展的重要性,同时,研究表明广东省高新技术出口产品还存在着商品的结构性矛盾,出口附加值低,自主创新能力弱,对外资企业依赖度过高,出口贸易摩擦日益增多等问题。
这就论证了广东省高新技术产品出口现状存在着问题,并需要积极着手解决。
从而提出了要提高内资企业的自主创新能力,调整高新技术产品出口的结构,做好规避壁垒工作,建立预警和快速的反应机制等一系列措施手段。
关键词:广东省,高新技术产品,出口,现状2011届国际经济与贸易专业毕业论文ABSTRACTIn this paper, high-tech products export of Guangdong Province for the current situation, describes high-tech products export of Guangdong Province, Guangdong Province, for the importance of economic development, meanwhile, studies show that guangdong high-tech export goods still exist in the structural contradictions , exports of low added value, independent innovation ability weak , export trade friction increasing insurmountable barriers to foreign patents and other issues. This demonstrates the high-tech products export of Guangdong Province, a problem situation need to be actively addressed. Thus obtained to improve the ability of independent innovation of enterprises to adjust the structure of high-tech export products and do circumvent the barriers to work, the establishment of early warning and rapid response mechanism for a series of measures means.KEY WORDS: Guangdong province, high-tech products, export, current situation目录摘要 (I)ABSTRACT (III)引言 (1)一、文献回顾 (1)(一)国外研究 (2)(二)国内研究 (2)二、广东省高新技术产品出口的现状 (3)(一)广东省的高新技术产品出口总体规模 (4)(二)广东省高新技术产品出口贸易方式 (4)(三)广东省高新技术产品出口的企业结构 (5)(四)广东省高新技术出口产品结构 (5)(五)广东省高新技术产品出口地区 (6)三、影响广东省高新技术产品出口的原因分析 (6)(一)出口商品存在结构性矛盾 (6)(二)企业自主创新能力弱 (6)(三)对外资企业依赖度过高 (7)(四)财政、金融的支持体系不健全 (7)(五)出口贸易摩擦日益增多,国外的专利壁垒难以逾越 (7)四、推进广东省高新技术产品出口发展的建议 (8)(一)调整高新技术出口产品的结构 (8)(二)提高内资企业的自主创新能力 (8)(三)培育出口主体 (8)(四)制定优惠政策 (9)(五)延伸加工贸易产业链环节,提高一般贸易比重 (9)(六)做好规避壁垒工作,建立预警和快速的反应机制 (9)五、结论 (10)参考文献 (11)致谢.................................................. 错误!未定义书签。
广东省高新技术产品出口现状与发展探析[摘要]经济全球化背景下,国际贸易和国际投资结构向高级化发展的趋势,极大加快了广东省高新技术产业的国际化进程。
本文从不同角度分析了2004—2009年广东省高新技术产品出口贸易发展现状,发现当前广东省高新技术产品出口贸易中存在总体规模小、贸易方式单一、出口企业以外资企业为主、出口产品结构失衡,以及出口地区过于集中等问题亟待解决。
[关键词]广东省;高新技术产品;出口现状高新技术产品具有较高的技术含量、良好的社会经济效益和广阔的市场发展前景。
近年广东省高新技术产品出口总额在广东省外贸出口总额中始终保持较高比重。
然而,高速高比重增长并不代表不存在问题,且这种高速高比重更说明高新技术产品出口对广东省外贸乃至广东省经济发展的重要性,因此,有必要对广东省高新技术产品出口现状进行全面深入地分析,这是本文的立意。
1 高新技术产品概述高新技术产品具有较高的技术含量、良好的经济效益(利税率一般应高于20%)和广阔的市场前景,具体是指符合国家和省高新技术重点范围、技术领域和产品参考目录的全新型产品,或省内首次生产的换代型产品,或国内首次生产的改进型产品或属创新产品等。
高新技术产业通常是指那些以高新技术为基础,从事一种或多种高新技术及其产品的研究、开发、生产和技术服务的企业集合,即高新技术企业的集合。
这种产业所拥有的关键技术往往开发难度很大,但一旦开发成功,却具有高于一般的经济效益和社会效益。
中国目前还没有关于高新技术产业的明确定义和界定标准,通常是按照产业的技术密集度和复杂程度作为衡量标准。
目前,在实践中一般是根据国家统计局的《高技术产业统计分类目录的通知》为划分依据,最新版已于2006年11月颁布。
其中,中国高技术产业的统计范围包括核燃料加工业、信息化学品制造业、医药制造业、航空航天器制造业、电子及通信设备制造业、电子计算机及办公设备制造业、医疗设备及仪器仪表制造业和公共软件服务业等。
45 2020.03(上接2019年第12期)四、国家高新区产业转型升级优化提升(一)高端发展,高技术产业渐壮大国家高新区自创建以来,始终坚持以“发展高科技、实现产业化”为使命,不断加强技术创新,把科学技术转变为现实生产力,实现高新区产业发展的多样化和高端化,把高新区建设成产业高地。
以高技术制造业3和高技术服务业4共同构成的高技术2018年国家高新区高技术产业中属于高技术制造业的企业为15499家,占高新区统计企业的12.9%;属于高技术服务业的企业共计44457家,占高新区统计企业的37.0%,高技术服务业企业数量为高技术制造业企业数量的两倍多。
从主要经济指标来看,高技术制造业依然在经济总量方面占据绝对力量,特别是高技术服务业的产业特性决定了其出口总额要远低于高技术制造业;但从增长率来看,高技术服务业要高于高技术制造业的增长率(参见图14)。
从2018年国家高新区高技术产业增长贡献度分布情况也可以看出:高技术服务业在创造新的工作岗位、扩大就业方面贡献很大,另外,高技术服务业对净利润的贡献度首次超过高技术制造业,而且高技术服务业对营业收入的贡献度也有超越高技术制造业的趋势;同时可以看出,由于国家高新区持续推进产业结构调整,越来越多的国家高新区布局和发展高技术服务业,高技术服务业在企业数量贡献度上已经远超过高技术制造业(参见图15)。
国家高新区在调结构、产业已经成为国家高新区产业的重要构成部分。
2018年,169家国家高新区中属于高技术产业的企业达59956家,占高新区企业总数的49.9%;从业人员达858.8万人,占高新区从业人员总数的41.1%。
2018年高技术产业创造的营业收入、工业总产值、净利润、上缴税额和出口总额分别为111810.2亿元、66245.4亿元、8757.2亿元、5483.1亿元和22691.4亿元,占高新区总体各项经济指标的比重均在30%左右,其中出口总额占高新区企业比重达60.9%(参见表8)。
广州高新技术产业开发区出口总额数据分析报告2019版
前言
本报告主要收集权威机构数据如中国国家统计局,行业年报等,通过整理及清洗,从数据出发解读广州高新技术产业开发区出口总额现状及趋势。
广州高新技术产业开发区出口总额数据分析报告相关知识产权为发布方即我公司天津旷维所有,任何机构及个人引用我方报告,均需要注明出处。
广州高新技术产业开发区出口总额数据分析报告深度解读广州高新技术产业开发区出口总额核心指标从国家级高新区企业总数量,出口总额等不同角度分析并对广州高新技术产业开发区出口总额现状及发展态势梳理,相信能为你全面、客观的呈现广州高新技术产业开发区出口总额价值信息,帮助机构和个人提供重要决策参考及借鉴。
目录
第一节广州高新技术产业开发区出口总额现状概况 (1)
第二节广州高新技术产业开发区国家级高新区企业总数量指标分析 (3)
一、广州高新技术产业开发区国家级高新区企业总数量现状统计 (3)
二、全国国家级高新区企业总数量现状统计 (3)
三、广州高新技术产业开发区国家级高新区企业总数量占全国国家级高新区企业总数量比
重统计 (3)
四、广州高新技术产业开发区国家级高新区企业总数量(2016-2018)统计分析 (4)
五、广州高新技术产业开发区国家级高新区企业总数量(2017-2018)变动分析 (4)
六、全国国家级高新区企业总数量(2016-2018)统计分析 (5)
七、全国国家级高新区企业总数量(2017-2018)变动分析 (5)
八、广州高新技术产业开发区国家级高新区企业总数量同全国国家级高新区企业总数量
(2017-2018)变动对比分析 (6)
第三节广州高新技术产业开发区出口总额指标分析(以下均指国家级高新区企业) (7)
一、广州高新技术产业开发区出口总额现状统计 (7)
二、全国高新区企业出口总额现状统计分析 (7)
三、广州高新技术产业开发区出口总额占全国高新区企业出口总额比重统计分析 (7)
四、广州高新技术产业开发区出口总额(2016-2018)统计分析 (8)
五、广州高新技术产业开发区出口总额(2017-2018)变动分析 (8)
六、全国高新区企业出口总额(2016-2018)统计分析 (9)
七、全国高新区企业出口总额(2017-2018)变动分析 (9)
八、广州高新技术产业开发区出口总额同全国高新区企业出口总额(2017-2018)变动对比分析 (10)
图表目录
表1:广州高新技术产业开发区出口总额现状统计表 (1)
表2:广州高新技术产业开发区国家级高新区企业总数量现状统计表 (3)
表3:全国国家级高新区企业总数量现状统计表 (3)
表4:广州高新技术产业开发区国家级高新区企业总数量占全国国家级高新区企业总数量比重统计表 (3)
表5:广州高新技术产业开发区国家级高新区企业总数量(2016-2018)统计表 (4)
表6:广州高新技术产业开发区国家级高新区企业总数量(2017-2018)变动统计表(比上年增长%) (4)
表7:全国国家级高新区企业总数量(2016-2018)统计表 (5)
表8:全国国家级高新区企业总数量(2017-2018)变动统计表(比上年增长%) (5)
表9:广州高新技术产业开发区国家级高新区企业总数量同全国国家级高新区企业总数量(2017-2018)变动对比统计表 (6)
表10:广州高新技术产业开发区出口总额现状统计表 (7)
表11:全国高新区企业出口总额现状统计表 (7)
表12:广州高新技术产业开发区出口总额占全国高新区企业出口总额比重统计表 (7)
表13:广州高新技术产业开发区出口总额(2016-2018)统计表 (8)
表14:广州高新技术产业开发区出口总额(2017-2018)变动统计表(比上年增长%) (8)
表15:全国高新区企业出口总额(2016-2018)统计表 (9)
表16:全国高新区企业出口总额(2017-2018)变动统计表(比上年增长%) (9)
表17:广州高新技术产业开发区出口总额同全国高新区企业出口总额(2017-2018)变动对比统计表(比上年增长%) (10)。