二元一次方程习题
- 格式:pptx
- 大小:205.47 KB
- 文档页数:20
二元一次方程组练习题111道(卷一)一、判断1、⎪⎩⎪⎨⎧-==312y x 是方程组⎪⎪⎩⎪⎪⎨⎧=-=-910326523y x y x 的解 …………( ) 2、方程组⎩⎨⎧=+-=5231y x xy 的解是方程3x -2y =13的一个解( )3、由两个二元一次方程组成方程组一定是二元一次方程组( )4、方程组⎪⎪⎩⎪⎪⎨⎧=-++=+++25323473523y x y x ,可以转化为⎩⎨⎧-=--=+27651223y x y x ( )5、若(a 2-1)x 2+(a -1)x +(2a -3)y =0是二元一次方程,则a 的值为±1( )6、若x +y =0,且|x |=2,则y 的值为2 …………( )7、方程组⎩⎨⎧=+-=+81043y x xm my mx 有唯一的解,那么m 的值为m ≠-5 …………( )8、方程组⎪⎩⎪⎨⎧=+=+623131y x y x 有无 …………( )9、x +y =5且x ,y 的绝对值都小于5的整数解共有5组 …………( ) 10、方程组⎩⎨⎧=+=-3513y x y x 的解是方程x +5y =3的解,反过来方程x +5y =3的解也是方程组⎩⎨⎧=+=-3513y x y x 的解 ………( )11、若|a +5|=5,a +b =1则32-的值为b a ………()12、在方程4x -3y =7里,如果用x 的代数式表示y ,则437yx +=( ) 二、选择:13、任何一个二元一次方程都有( ) (A )一个解; (B )两个解;(C )三个解; (D )无数多个解;14、一个两位数,它的个位数字与十位数字之和为6,那么符合条件的两位数的个数有( ) (A )5个 (B )6个 (C )7个 (D )8个 15、如果⎩⎨⎧=+=-423y x ay x 的解都是正数,那么a 的取值范围是( )(A )a <2; (B )34->a ; (C )342<<-a ; (D )34-<a ; 16、关于x 、y 的方程组⎩⎨⎧=-=+my x my x 932的解是方程3x +2y =34的一组解,那么m 的值是( )(A )2; (B )-1; (C )1; (D )-2;17、在下列方程中,只有一个解的是( ) (A )⎩⎨⎧=+=+0331y x y x(B )⎩⎨⎧-=+=+2330y x y x (C )⎩⎨⎧=-=+4331y x y x(D )⎩⎨⎧=+=+3331y x y x(A )15x -3y =6 (B )4x -y =7 (C )10x +2y =4 (D )20x -4y =3 19、下列方程组中,是二元一次方程组的是( )(A )⎪⎩⎪⎨⎧=+=+9114yx y x (B )⎩⎨⎧=+=+75z y y x (C )⎩⎨⎧=-=6231y x x (D )⎩⎨⎧=-=-1y x xy y x20、已知方程组⎩⎨⎧-=+=-135b y ax y x 有无数多个解,则a 、b 的值等于( )(A )a =-3,b =-14(B )a =3,b =-7 (C )a =-1,b =9(D )a =-3,b =1421、若5x -6y =0,且xy ≠0,则y x yx 3545--的值等于( )(A )32 (B )23 (C )1 (D )-122、若x 、y 均为非负数,则方程6x =-7y 的解的情况是( ) (A )无解 (B )有唯一一个解 (C )有无数多个解 (D )不能确定23、若|3x +y +5|+|2x -2y -2|=0,则2x 2-3xy 的值是( )(A )14 (B )-4 (C )-12 (D )12 24、已知⎩⎨⎧-==24y x 与⎩⎨⎧-=-=52y x 都是方程y =kx +b 的解,则k 与b 的值为( ) (A )21=k ,b =-4 (B )21-=k ,b =4 (C )21=k ,b =4 (D )21-=k ,b =-4 三、填空:25、在方程3x +4y =16中,当x =3时,y =________,当y =-2时,x =_______ 若x 、y 都是正整数,那么这个方程的解为___________; 26、方程2x +3y =10中,当3x -6=0时,y =_________;27、如果0.4x -0.5y =1.2,那么用含有y 的代数式表示的代数式是_____________; 28、若⎩⎨⎧-==11y x 是方程组⎩⎨⎧-=-=+1242a y x b y ax 的解,则⎩⎨⎧==______________b a ;29、方程|a |+|b |=2的自然数解是_____________; 30、如果x =1,y =2满足方程141=+y ax ,那么a =____________; 31、已知方程组⎩⎨⎧-=+=+m y x ay x 26432有无数多解,则a =______,m =______;32、若方程x -2y +3z =0,且当x =1时,y =2,则z =______;33、若4x +3y +5=0,则3(8y -x )-5(x +6y -2)的值等于_________;34、若x +y =a ,x -y =1同时成立,且x 、y 都是正整数,则a 的值为________; 35、从方程组)0(030334≠⎩⎨⎧=+-=--xyz z y x z y x 中可以知道,x :z =_______;y :z =________;36、已知a -3b =2a +b -15=1,则代数式a 2-4ab +b 2+3的值为__________;二元一次方程组练习题111道(卷二)四、解方程组37、⎪⎪⎩⎪⎪⎨⎧=-=-1332343n m nm 38、)(6441125为已知数a a y x a y x ⎩⎨⎧=-=+;39、⎪⎪⎩⎪⎪⎨⎧=++=+125432y x yx y x 40、⎪⎩⎪⎨⎧=--+=-++0)1(2)1()1(2x y x x x y y x3()4()442.126x y x y x y x y+--=⎧⎪+-⎨+=⎪⎩132341334a ba b ⎧+=⎪⎪⎨⎪-=⎪⎩、3()4()443.126x y x y x y x y +--=⎧⎪+-⎨+=⎪⎩2544.437x y x y +=⎧⎨+=⎩,;74345.21432x y y x ⎧+=⎪⎪⎨⎪+=⎪⎩532646.10239x y x y ⎧-=⎪⎪⎨⎪-=⎪⎩3572347.423235x y x y ++⎧+=⎪⎪⎨+-⎪+=⎪⎩521148.()446x y a a x y a +=⎧⎨-=⎩为已知数33449.1323m nm n ⎧-=⎪⎪⎨⎪-=⎪⎩2(1)(1)250.(1)0x y y x x x y x ++-=⎧⎨+--=⎩342551.12x y x yx y ++⎧=⎪⎪⎨+⎪=⎪⎩333222552.3(23)2(32)25236x y x yx y x y ++⎧==+⎪⎪⎨++⎪=+⎪⎩32153.238x y x y -=-⎧⎨+=⎩333222554.3(23)2(32)25236x y x yx y x y ++⎧=+⎪⎪⎨++⎪=+⎪⎩5435632x y x y -=⎧⎨-=⎩、2123255.21132x y x y +-⎧+=⎪⎪⎨+-⎪+=⎪⎩341357.5353x y z x y z x y z +-=⎧⎪-+=⎨⎪+-=⎩058.2738x y z x y z x y z +-=⎧⎪++=⎨⎪-+=⎩860.64x y y z z x +=⎧⎪+=⎨⎪+=⎩54059.34112x y z x y z x y z ++=⎧⎪+-=⎨⎪++=-⎩:4:761.:3:52330x y x z x y z =⎧⎪=⎨⎪-+=⎩1362.13x y z y z x z x y +-=⎧⎪+-=-⎨⎪+-=⎩()665.()12()18x x y z y x y z z x y z ++=⎧⎪++=⎨⎪++=⎩27633330x y y z x z +=⎧⎪+=⎨⎪+=⎩、::1:2:7642321x y z x y x =⎧⎨-+=⎩、366.45x y z y z x x z y +-=⎧⎪+-=⎨⎪+-=⎩二元一次方程组练习题111道(卷三)五、解答题:67、甲、乙两人在解方程组513......2......x yx y+=⎧⎨4-=-⎩时,甲看错了①式中的x的系数,解得10747.5847xy⎧=⎪⎪⎨⎪=⎪⎩;乙看错了方程②中的y的系数,解得8176.1719xy⎧=⎪⎪⎨⎪=⎪⎩,若两人的计算都准确无误,请写出这个方程组,并求出此方程组的解;68、当a、b满足什么条件时,方程(2b2-18)x=3与方程组1.325ax yx y b-=⎧⎨-=-⎩都无解;69、a、b、c取什么数值时,x3-ax2+bx+c与(x-1)(x-2)(x-3)恒等?70、m 取什么整数值时,方程组24.20x my x y +=⎧⎨-=⎩的解:(1)是正数;(2)是正整数?并求它的所有正整数解。
二元一次方程组练习题100道(卷一)(范围:代数: 二元一次方程组)一、判断1、⎪⎩⎪⎨⎧-==312y x 是方程组⎪⎪⎩⎪⎪⎨⎧=-=-910326523y x y x 的解 …………( ) 2、方程组⎩⎨⎧=+-=5231y x xy 的解是方程3x -2y =13的一个解( )3、由两个二元一次方程组成方程组一定是二元一次方程组( )4、方程组⎪⎪⎩⎪⎪⎨⎧=-++=+++25323473523y x y x ,可以转化为⎩⎨⎧-=--=+27651223y x y x ( ) 5、若(a 2-1)x 2+(a -1)x +(2a -3)y =0是二元一次方程,则a 的值为±1( ) 6、若x +y =0,且|x |=2,则y 的值为2 …………( ) 7、方程组⎩⎨⎧=+-=+81043y x x m my mx 有唯一的解,那么m 的值为m ≠-5 …………( )8、方程组⎪⎩⎪⎨⎧=+=+623131y x y x 有无数多个解 …………( )9、x +y =5且x ,y 的绝对值都小于5的整数解共有5组 …………( ) 10、方程组⎩⎨⎧=+=-3513y x y x 的解是方程x +5y =3的解,反过来方程x +5y =3的解也是方程组⎩⎨⎧=+=-3513y x y x 的解 ………( )11、若|a +5|=5,a +b =1则32-的值为ba ………( )12、在方程4x -3y =7里,如果用x 的代数式表示y ,则437y x +=( )二、选择:13、任何一个二元一次方程都有( ) (A )一个解; (B )两个解;(C )三个解; (D )无数多个解;14、一个两位数,它的个位数字与十位数字之和为6,那么符合条件的两位数的个数有( )(A )5个 (B )6个 (C )7个 (D )8个 15、如果⎩⎨⎧=+=-423y x ay x 的解都是正数,那么a 的取值范围是( )(A )a <2; (B )34->a ; (C )342<<-a ; (D )34-<a ; 16、关于x 、y的方程组⎩⎨⎧=-=+m y x my x 932的解是方程3x +2y =34的一组解,那么m 的值是( )(A )2; (B )-1; (C )1; (D )-2; 17、在下列方程中,只有一个解的是( ) (A )⎩⎨⎧=+=+0331y x y x (B )⎩⎨⎧-=+=+2330y x y x(C )⎩⎨⎧=-=+4331y x y x(D )⎩⎨⎧=+=+3331y x y x 18、与已知二元一次方程5x -y =2组成的方程组有无数多个解的方程是( ) (A )15x -3y =6 (B )4x -y =7 (C )10x +2y =4 (D )20x -4y =3 19、下列方程组中,是二元一次方程组的是( )(A )⎪⎩⎪⎨⎧=+=+9114y x y x (B )⎩⎨⎧=+=+75z y y x (C )⎩⎨⎧=-=6231y x x (D )⎩⎨⎧=-=-1y x xyy x20、已知方程组⎩⎨⎧-=+=-135b y ax y x 有无数多个解,则a 、b 的值等于( )(A )a =-3,b =-14 (B )a =3,b =-7 (C )a =-1,b =9 (D )a =-3,b =1421、若5x -6y =0,且xy ≠0,则yx y x 3545--的值等于( )(A )32 (B )23 (C )1 (D )-122、若x 、y 均为非负数,则方程6x =-7y 的解的情况是( )(A )无解 (B )有唯一一个解 (C )有无数多个解 (D )不能确定23、若|3x +y +5|+|2x -2y -2|=0,则2x 2-3xy 的值是( ) (A )14 (B )-4 (C )-12 (D )12 24、已知⎩⎨⎧-==24y x 与⎩⎨⎧-=-=52y x 都是方程y =kx +b 的解,则k 与b 的值为( )(A )21=k ,b =-4 (B )21-=k ,b =4 (C )21=k ,b =4 (D )21-=k ,b =-4三、填空:25、在方程3x +4y =16中,当x =3时,y =________,当y =-2时,x =_______ 若x 、y 都是正整数,那么这个方程的解为___________; 26、方程2x +3y =10中,当3x -6=0时,y =_________;27、如果,那么用含有y 的代数式表示的代数式是_____________; 28、若⎩⎨⎧-==11y x 是方程组⎩⎨⎧-=-=+1242a y x by ax 的解,则⎩⎨⎧==______________b a ;29、方程|a |+|b |=2的自然数解是_____________;30、如果x =1,y =2满足方程141=+y ax ,那么a =____________;31、已知方程组⎩⎨⎧-=+=+my x ay x 26432有无数多解,则a =______,m =______;32、若方程x -2y +3z =0,且当x =1时,y =2,则z =______; 33、若4x +3y +5=0,则3(8y -x )-5(x +6y -2)的值等于_________;34、若x +y =a ,x -y =1同时成立,且x 、y 都是正整数,则a 的值为________; 35、从方程组)0(030334≠⎩⎨⎧=+-=--xyz z y x z y x 中可以知道,x :z =_______;y :z =________;36、已知a -3b =2a +b -15=1,则代数式a 2-4ab +b 2+3的值为__________; 四、解方程组□x +5y =13① 37、⎪⎪⎩⎪⎪⎨⎧=-=-1332343n m nm ; 38、)(6441125为已知数a a y x a y x ⎩⎨⎧=-=+; 39、⎪⎪⎩⎪⎪⎨⎧=++=+125432y x yx y x ; 40、⎪⎩⎪⎨⎧=--+=-++0)1(2)1()1(2x y x x x y y x ; 41、⎪⎪⎩⎪⎪⎨⎧++=++=+=+6253)23(22)32(32523233y x y x yx y x ; 42、⎪⎪⎩⎪⎪⎨⎧=-++=-++1213222132y x y x ;43、⎪⎩⎪⎨⎧=-+-=-+=-+3113y x z x z y z y x ; 44、⎪⎩⎪⎨⎧=+=+=+101216x z z y y x ;45、⎪⎩⎪⎨⎧=-+=+-=-+35351343z y x z y x z y x ; 46、⎪⎩⎪⎨⎧=+-==30325:3:7:4:z y x z x y x ; 五、解答题:47、甲、乙两人在解方程组时,甲看错了①式中的x 的系数,解得⎪⎪⎩⎪⎪⎨⎧==475847107y x ;乙看错了方程②中的y的系数,解得⎪⎪⎩⎪⎪⎨⎧==19177681y x ,若两人的计算都准确无误,请写出这个方程组,并求出此方程组的解;48、使x +4y =|a |成立的x 、y 的值,满足(2x +y -1)2+|3y -x |=0,又|a |+a =0,求a 的值; 49、代数式ax 2+bx +c 中,当x =1时的值是0,在x =2时的值是3,在x =3时的值是28,试求出这个代数式;50、要使下列三个方程组成的方程组有解,求常数a 的值。
二元一次方程组练习题多篇二元一次方程组练习题11)66x+17y=396725x+y=1200答案:x=48y=47(2)18x+23y=230374x-y=1998答案:x=27y=79(3)44x+90y=779644x+y=3476答案:x=79y=48(4)76x-66y=408230x-y=2940答案:x=98y=51(5)67x+54y=854671x-y=5680答案:x=80y=59(6)42x-95y=-141021x-y=1575答案:x=75y=48(7)47x-40y=85334x-y=2006答案:x=59y=48 (8)19x-32y=-1786 75x+y=4950答案:x=66y=95 (9)97x+24y=7202 58x-y=2900答案:x=50y=98 (10)42x+85y=6362 63x-y=1638答案:x=26y=62 (11)85x-92y=-2518 27x-y=486答案:x=18y=44 (12)79x+40y=2419 56x-y=1176答案:x=21y=19 (13)80x-87y=2156 22x-y=880答案:x=40y=12 (14)32x+62y=513457x+y=2850答案:x=50y=57(15)83x-49y=8259x+y=2183答案:x=37y=61(16)91x+70y=584595x-y=4275答案:x=45y=25(17)29x+44y=528188x-y=3608答案:x=41y=93(18)25x-95y=-435540x-y=2000答案:x=50y=59(19)54x+68y=328478x+y=1404答案:x=18y=34(20)70x+13y=352052x+y=2132答案:x=41y=50二元一次方程组练习题2实际问题与二元一次方程组题型归纳知识点一:列方程组解应用题的基本思想找出题目中的等式关系。
二元一次方程练习题及答案百度文库8.1二元一次方程组一、填空题1、二元一次方程4x-3y=12,当x=0,1,2,3时,y=____2、在x+3y=3中,若用x表示y,则y表示x,则x=3、已知方程x2+x+y=k+2,当k=______时,方程为一元一次方程;当k=______时,方程为二元一次方程。
4、对二元一次方程2-3=10,当x=0时,则y=____;当y=0时,则x=____。
5、方程2x+y=5的正整数解是______。
6、若2+|2y+1|=0,则?x?2?x?y?a7、方程组?的一个解为?,那么这个方程组的另一个解是。
y?3xy?b??8、若x?1时,关于x、y的二元一次方程组2?ax?2y?1的解互为倒数,则??x?by?2a?2b?二、选择题1、方程2x-3y=5,xy=3,x?二元一次方程的有个。
A、1B、2C、3D、42、方程2x+y=9在正整数范围内的解有A、1个B、2个C、3个D、4个3、与已知二元一次方程5x-y=2组成的方程组有无数多个解的方程是A、10x+2y=B、4x-y=C、20x-4y=D、15x-3y=64、若是5x2ym与4xn?m?1y2n?2同类项,则m2?n的值为A、1B、-1C、-D、以上答案都不对5、在方程x2+x+y+3k=0中,若此方程为二元一次方程,则k值为?3,3x-y+2z=0,x2?y?6中是yA、2B、-C、2或-D、以上答案都不对.6、若??x?2是二元一次方程组的解,则这个方程组是 ?y??1?x?3y?5?y?x?3?2x?y?5?x?2yA、? B、? C、?D、?x?y?5y?2x?5x?y?1x?3y?17、在方程2?3?3中,用含x的代数式表示y,则A、y?5x?B、y??x?C、y?5x?D、y??5x?38、已知x=3-k,y=k+2,则y与x的关系是A、x+y=5B、x+y=1C、x-y=1D、y=x-19、下列说法正确的是A、二元一次方程只有一个解B、二元一次方程组有无数个解C、二元一次方程组的解必是它所含的二元一次方程的解D、三元一次方程组一定由三个三元一次方程组成?3x?5y?610、若方程组? 的解也是方程3x+ky=10的解,则k的值是x?15y?16?A、k=6= B、k=10C、k=9D、k=三、解答题1、解关于x的方程x?a?22、已知方程组?1 10?x?y?7,试确定a、c的值,使方程组:?ax?2y?c有一个解;有无数解;没有解3、关于x、y的方程3kx?2y?6k?3,对于任何k的值都有相同的解,试求它的解。
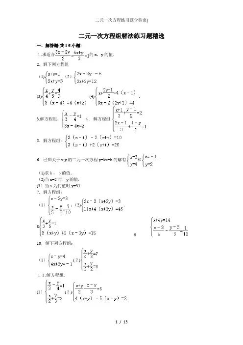
二元一次方程组解法练习题精选一.解答题(共16小题)1.求适合的x,y的值.2.解下列方程组(1)(2)(3)(4).3方程组:4.解方程组:5.解方程组:6.已知关于x,y的二元一次方程y=kx+b的解有和.(1)求k,b的值.(2)当x=2时,y的值.(3)当x为何值时,y=3?7.解方程组:(1);(2).8.解方程组:9.解方程组:10.解下列方程组:(1)(2)11.解方程组:(1)(2)12.解二元一次方程组:(1);(2)13.在解方程组时,由于粗心,甲看错了方程组中的a,而得解为,乙看错了方程组中的b,而得解为.(1)甲把a看成了什么,乙把b看成了什么?(2)求出原方程组的正确解.14.15.解下列方程组:(1)(2).16.解下列方程组:(1)(2)二元一次方程组解法练习题精选(含答案)参考答案与试题解析一.解答题(共16小题)1.求适合的x,y的值.,得到一组新的方程,然后在用加减消元法消,,x=(1)(2)(3)(4).故原方程组的解为故原方程组的解为)原方程组可化为,.所以原方程组的解为,,代入×﹣.所以原方程组的解为3.解方程组:解:原方程组可化为所以方程组的解为4.解方程组:)原方程组化为,.所以原方程组的解为5.解方程组:,.所以方程组的解为6.已知关于x,y的二元一次方程y=kx+b的解有和.(1)求k,b的值.(2)当x=2时,y的值.的二元一次方程组)依题意得:k=b=x+y=x+(1);(2).)原方程组可化为,;)原方程可化为.8.解方程组:解:原方程组可化为则原方程组的解为9.解方程组:解:原方程变形为:..10.解下列方程组:(1)(2))﹣=所以原方程组的解为)原方程组整理为,所以原方程组的解为(1)(2))原方程组可化简为∴原方程组可化为,∴原方程组的解为(1);(2).;)此方程组通过化简可得:,.13.在解方程组时,由于粗心,甲看错了方程组中的a,而得解为,乙看错了方程组中的b,而得解为.(1)甲把a看成了什么,乙把b看成了什么?)把代入方程组.代入方程组.∴方程组为则原方程组的解是14.(,∴原方程组的解为(1);(2).)化简整理为故原方程组的解为)化简整理为故原方程组的解为16.解下列方程组:(1)(2)∴原方程组的解为)原方程组可化为,∴原方程组的解为。
二元一次方程组解法练习题精选一.解答题(共16小题)1.求适合的x,y的值.2.解下列方程组(1)(2)(3)(4).3方程组:4.解方程组:5.解方程组:6.已知关于x,y的二元一次方程y=kx+b的解有和.(1)求k,b的值.(2)当x=2时,y的值.(3)当x为何值时,y=3?7.解方程组:(1);(2).8.解方程组:9.解方程组:10.解下列方程组:(1)(2)11.解方程组:(1)(2)12.解二元一次方程组:(1);(2)13.在解方程组时,由于粗心,甲看错了方程组中的a,而得解为,乙看错了方程组中的b,而得解为.(1)甲把a看成了什么,乙把b看成了什么?(2)求出原方程组的正确解.14.15.解下列方程组:(1)(2).16.解下列方程组:(1)(2)二元一次方程组解法练习题精选(含答案)参考答案与试题解析一.解答题(共16小题)1.求适合的x,y的值.,得到一组新的方程,然后在用加减消元法消,,x=2.解下列方程组(1)(2)(3)(4).故原方程组的解为故原方程组的解为)原方程组可化为,.所以原方程组的解为,,代入×﹣.所以原方程组的解为3.解方程组:解:原方程组可化为所以方程组的解为4.解方程组:)原方程组化为,.所以原方程组的解为5.解方程组:,.所以方程组的解为6.已知关于x,y的二元一次方程y=kx+b的解有和.(1)求k,b的值.(2)当x=2时,y的值.(3)当x为何值时,y=3?的二元一次方程组)依题意得:k=b=x+y=x+7.解方程组:(1);(2).)原方程组可化为,;)原方程可化为.8.解方程组:解:原方程组可化为则原方程组的解为9.解方程组:解:原方程变形为:..10.解下列方程组:(1)(2))﹣=所以原方程组的解为)原方程组整理为,所以原方程组的解为11.解方程组:(1)(2))原方程组可化简为∴原方程组可化为,∴原方程组的解为12.解二元一次方程组:(1);(2).;)此方程组通过化简可得:,.13.在解方程组时,由于粗心,甲看错了方程组中的a,而得解为,乙看错了方程组中的b,而得解为.(1)甲把a看成了什么,乙把b看成了什么?(2)求出原方程组的正确解.)把代入方程组.代入方程组.∴方程组为则原方程组的解是14.(,∴原方程组的解为15.解下列方程组:(1);(2).)化简整理为故原方程组的解为)化简整理为故原方程组的解为16.解下列方程组:(1)(2)∴原方程组的解为)原方程组可化为,∴原方程组的解为。
二元一次方程的练习题一、选择题1.下列方程是二元一次方程的是( )(A )2m+3n =-1 (B )1x-1=3y (C )2a-3=8 (D )xy-1=x 2.已知113x m+3y 2n 和15327n m x y -+-是同类项,则m 、n 的值分别是( ). (A )0,6 (B )1,-1 (C )-1,4 (D )4,03.方程4x-3y=13与下面方程中( )所组成的方程组的解是1,3.x y =⎧⎨=-⎩. (A )5x+6y=23 (B )2x+5y=17 (C )8x-y=5 (D )3x+13y=2 4.已知│m │=4,│n │=3,且mn<0,则m+n 的值等于( ).(A )7或-7 (B )1或-1 (C )7或1 (D )-7或-15.在等式y=a+b x中,当x=-1时,y=1;当x=-5时,y=5,则a+b 等于( ). (A )-1 (B )1 (C )-11 (D )116.若方程组21,3212x y x y -=⎧⎨+=⎩的解也是二元一次方程5x-my=-11的一个解,则m 的值应等于( ).(A )5 (B )-7 (C )-5 (D )77.某班级运回一筐苹果,若每人分6个则少6个;若每人分5个则多5个,则班级人数与苹果数分别为( ).(A )22,120 (B )11,60 (C )10,54 (D )8,428.某工程队共有55人,每人每天平均可挖土2.5m 3或运土3m 3,为了合理分配劳力,使挖出的土及时运走,应分配挖土和运土的人数分别是( ).(A )25,30 (B )30,25 (C )35,20 (D )20,35二、解答题(涉及行程问题、货运问题、配套问题、百分比问题)9.已知甲、乙两人从相距18km 的两地同时出发,相向而行,145h 相遇,如果甲比乙先走23h ,那么在乙出发后32h 两人相遇,求甲、乙两人的速度.10.某船的载重量为260t,容积为1000m3,现有甲、乙两种货物要运,•其中甲种货物每吨体积为8m3,乙种货物每吨体积为2m3.若要充分利用这艘船的载重与容积,甲、•乙两种货物应各装多少吨?(设装运货物时无任何空隙)11.古题“我问开店李三公,众客都来到店中,一房七客多七客,•一房九客一房空”.问有多少间房,多少客人?12.某校一、二两班共有95人,体育锻炼的平均达标率(达到标准的百分率)•是60%,如果一班达标率是40%,二班达标率是78%,求一、二两班各有多少人?参考答案:1.(A) 2.(C) 3.(D) 4.(B) 5.(D)6.(D) 7.(B) 8.(B)9.设甲、乙两人速度分别为xkm/h,ykm/h.依题意,得41()18,5233()18.322x yx y⎧⨯+=⎪⎪⎨⎪++=⎪⎩解得4.5,5.5.xy=⎧⎨=⎩所以甲的速度为4.5km/h,乙的速度为5.5km/h.10.设甲货物xt,乙货物yt.依题意,得260,821000.x yx y+=⎧⎨+=⎩解得80,180.xy=⎧⎨=⎩所以甲货物80t,乙货物180t.11.设有x间房,y个客人,依题意,得77,9(1).x yx y+=⎧⎨-=⎩解得8,63.xy=⎧⎨=⎩所以有8间房,63个客人.12.设一班有x人,二班有y人,依题意,得95,40%78%9560%.x y x y +=⎧⎨+=⨯⎩ 解得45,50.x y =⎧⎨=⎩所以一班有45人,二班有50人.友情提示:本资料代表个人观点,如有帮助请下载,谢谢您的浏览!。
二元一次方程组习题及答案100道+9y=813x+y=34+4y=358x+3y=30+2y=527x+4y=62+6y=549x+2y=87+y=72x+5y=19+2y=213x+5y=56+7y=525x+2y=22+5y=657x+7y=203+4y=56x+4y=215x+8y=44 +5y=543x+4y=38 +8y=154x+y=29 +6y=249x+5y=46 +2y=624x+3y=36 +4y=467x+4y=42 +7y=135 4x+y=41 +8y=51x+6y=27 +3y=994x+7y=95 +2y=38+5y=457x+9y=69 +2y=287x+8y=62 +6y=143x+3y=27 +4y=672x+8y=26 +4y=527x+6y=74 +y=94x+6y=16 +6y=486x+3y=42 +2y=167x+y=11 +9y=778x+6y=947x+6y=66+2y=227x+2y=471) 66x+17y=3967 25x+y=1200答案:x=48 y=47 (2) 18x+23y=2303 74x-y=1998答案:x=27 y=79 (3) 44x+90y=7796 44x+y=3476答案:x=79 y=48 (4) 76x-66y=4082 30x-y=2940答案:x=98 y=51 (5) 67x+54y=8546 71x-y=5680答案:x=80 y=59(6) 42x-95y=-1410 21x-y=1575答案:x=75 y=48 (7) 47x-40y=85334x-y=2006答案:x=59 y=48 (8) 19x-32y=-1786 75x+y=4950答案:x=66 y=95 (9) 97x+24y=7202 58x-y=2900答案:x=50 y=98 (10) 42x+85y=6362 63x-y=1638答案:x=26 y=62 (11) 85x-92y=-2518 27x-y=486答案:x=18 y=44 (12) 79x+40y=241956x-y=1176答案:x=21 y=19 (13) 80x-87y=2156 22x-y=880答案:x=40 y=12 (14) 32x+62y=5134 57x+y=2850答案:x=50 y=57 (15) 83x-49y=8259x+y=2183答案:x=37 y=61 (16) 91x+70y=5845 95x-y=4275答案:x=45 y=25 (17) 29x+44y=5281 88x-y=3608答案:x=41 y=93 (18) 25x-95y=-4355 40x-y=2000答案:x=50 y=59 (19) 54x+68y=3284 78x+y=1404答案:x=18 y=34 (20) 70x+13y=3520 52x+y=2132答案:x=41 y=50 (21) 48x-54y=-3186 24x+y=1080答案:x=45 y=99 (22) 36x+77y=7619 47x-y=799答案:x=17 y=91 (23) 13x-42y=-2717 31x-y=1333答案:x=43 y=78 (24) 28x+28y=3332 52x-y=4628答案:x=89 y=30(25) 62x-98y=-2564 46x-y=2024答案:x=44 y=54 (26) 79x-76y=-4388 26x-y=832答案:x=32 y=91 (27) 63x-40y=-821 42x-y=546答案:x=13 y=41 (28) 69x-96y=-1209 42x+y=3822答案:x=91 y=78 (29) 85x+67y=7338 11x+y=308答案:x=28 y=74 (30) 78x+74y=12928 14x+y=1218答案:x=87 y=83 (31) 39x+42y=533159x-y=5841答案:x=99 y=35 (32) 29x+18y=1916 58x+y=2320答案:x=40 y=42 (33) 40x+31y=6043 45x-y=3555答案:x=79 y=93 (34) 47x+50y=8598 45x+y=3780答案:x=84 y=93 (35) 45x-30y=-1455 29x-y=725答案:x=25 y=86 (36) 11x-43y=-1361 47x+y=799答案:x=17 y=36 (37) 33x+59y=3254 94x+y=1034答案:x=11 y=49 (38) 89x-74y=-2735 68x+y=1020答案:x=15 y=55 (39) 94x+71y=7517 78x+y=3822答案:x=49 y=41 (40) 28x-62y=-4934 46x+y=552答案:x=12 y=85 (41) 75x+43y=8472 17x-y=1394答案:x=82 y=54 (42) 41x-38y=-1180 29x+y=1450答案:x=50 y=85 (43) 22x-59y=824 63x+y=4725答案:x=75 y=14(44) 95x-56y=-401 90x+y=1530答案:x=17 y=36 (45) 93x-52y=-852 29x+y=464答案:x=16 y=45 (46) 93x+12y=8823 54x+y=4914答案:x=91 y=30 (47) 21x-63y=84 20x+y=1880答案:x=94 y=30 (48) 48x+93y=9756 38x-y=950答案:x=25 y=92 (49) 99x-67y=4011 75x-y=5475答案:x=73 y=48 (50) 83x+64y=929190x-y=3690答案:x=41 y=92 (51) 17x+62y=3216 75x-y=7350答案:x=98 y=25 (52) 77x+67y=2739 14x-y=364答案:x=26 y=11 (53) 20x-68y=-4596 14x-y=924答案:x=66 y=87 (54) 23x+87y=4110 83x-y=5727答案:x=69 y=29 (55) 22x-38y=804 86x+y=6708答案:x=78 y=24 (56) 20x-45y=-3520 56x+y=728答案:x=13 y=84 (57) 46x+37y=7085 61x-y=4636答案:x=76 y=97 (58) 17x+61y=4088 71x+y=5609答案:x=79 y=45 (59) 51x-61y=-1907 89x-y=2314答案:x=26 y=53 (60) 69x-98y=-2404 21x+y=1386答案:x=66 y=71 (61) 15x-41y=754 74x-y=6956答案:x=94 y=16 (62) 78x-55y=656 89x+y=5518答案:x=62 y=76(63) 29x+21y=1633 31x-y=713答案:x=23 y=46 (64) 58x-28y=2724 35x+y=3080答案:x=88 y=85 (65) 28x-63y=-2254 88x-y=2024答案:x=23 y=46 (66) 43x+50y=7064 85x+y=8330答案:x=98 y=57 (67) 58x-77y=1170 38x-y=2280答案:x=60 y=30 (68) 92x+83y=11586 43x+y=3010答案:x=70 y=62 (69) 99x+82y=605552x-y=1716答案:x=33 y=34 (70) 15x+26y=1729 94x+y=8554答案:x=91 y=14 (71) 64x+32y=3552 56x-y=2296答案:x=41 y=29 (72) 94x+66y=10524 84x-y=7812答案:x=93 y=27 (73) 65x-79y=-5815 89x+y=2314答案:x=26 y=95 (74) 96x+54y=6216 63x-y=1953答案:x=31 y=60 (75) 60x-44y=-352 33x-y=1452答案:x=44 y=68 (76) 79x-45y=510 14x-y=840答案:x=60 y=94 (77) 29x-35y=-218 59x-y=4897答案:x=83 y=75 (78) 33x-24y=1905 30x+y=2670答案:x=89 y=43 (79) 61x+94y=11800 93x+y=5952答案:x=64 y=84 (80) 61x+90y=5001 48x+y=2448答案:x=51 y=21 (81) 93x-19y=286x-y=1548答案:x=18 y=88(82) 19x-96y=-5910 30x-y=2340答案:x=78 y=77 (83) 80x+74y=8088 96x-y=8640答案:x=90 y=12 (84) 53x-94y=1946 45x+y=2610答案:x=58 y=12 (85) 93x+12y=9117 28x-y=2492答案:x=89 y=70 (86) 66x-71y=-1673 99x-y=7821答案:x=79 y=97 (87) 43x-52y=-1742 76x+y=1976答案:x=26 y=55 (88) 70x+35y=829540x+y=2920答案:x=73 y=91 (89) 43x+82y=4757 11x+y=231答案:x=21 y=47 (90) 12x-19y=236 95x-y=7885答案:x=83 y=40 (91) 51x+99y=8031 71x-y=2911答案:x=41 y=60 (92) 37x+74y=4403 69x-y=6003答案:x=87 y=16 (93) 46x+34y=4820 71x-y=5183答案:x=73 y=43 (94) 47x+98y=5861 55x-y=4565答案:x=83 y=20 (95) 30x-17y=239 28x+y=1064答案:x=38 y=53 (96) 55x-12y=4112 79x-y=7268答案:x=92 y=79 (97) 27x-24y=-450 67x-y=3886答案:x=58 y=84 (98) 97x+23y=8119 14x+y=966答案:x=69 y=62 (99) 84x+53y=11275 70x+y=6790答案:x=97 y=59 (100) 51x-97y=297 19x-y=1520答案:x=80 y=39。
二元一次方程1、一个两位数,比它十位上的数与个位上的数的和大9;如果交换十位上的数与个位上的数,所得两位数比原两位数大27,求这个两位数.2、一件商品如果按定价打九折出售可以盈利20%;如果打八折出售可以盈利10元,问此商品的定价是多少?3、某厂共有120名生产工人,每个工人每天可生产螺栓25个或螺母20个,如果一个螺栓与两个螺母配成一套,那么每天安排多名工人生产螺栓,多少名工人生产螺母,才能使每天生产出来的产品配成最多套?4、在某条高速公路上依次排列着A、B、C三个加油站,A到B的距离为120千米,B到C 的距离也是120千米.分别在A、C两个加油站实施抢劫的两个犯罪团伙作案后同时以相同的速度驾车沿高速公路逃离现场,正在B站待命的两辆巡逻车接到指挥中心的命令后立即以相同的速度分别往A、C两个加油站驶去,结果往B站驶来的团伙在1小时后就被其中一辆迎面而上的巡逻车堵截住,而另一团伙经过3小时后才被另一辆巡逻车追赶上.问巡逻车和犯罪团伙的车的速度各是多少?5、某船的载重量为300吨,容积为1200立方米,现有甲、乙两种货物要运,其中甲种货物每吨体积为6立方米,乙种货物每吨的体积为2立方米,要充分利用这艘船的载重和容积,甲、乙两重货物应各装多少吨?6、某服装厂接到生产一种工作服的订货任务,要求在规定期限内完成,按照这个服装厂原来的生产能力,每天可生产这种服装150套,按这样的生产进度在客户要求的期限内只能完成订货的45;现在工厂改进了人员组织结构和生产流程,每天可生产这种工作服200套,这样不仅比规定时间少用1天,而且比订货量多生产25套,求订做的工作服是几套?要求的期限是几天?7、某停车场的收费标准如下:中型汽车的停车费为6元/辆,小型汽车的停车费为4元/辆.现在停车场有50辆中、小型汽车,这些车共缴纳停车费230元,问中、小型汽车各有多少辆?8、某蔬菜公司收购蔬菜进行销售的获利情况如下表所示:销售方式直接销售粗加工后销售精加工后销售每吨获利(元)100 250 450现在该公司收购了140吨蔬菜,已知该公司每天能精加工蔬菜6吨或粗加工蔬菜16吨(两种加工不能同时进行).(1)如果要求在18天内全部销售完这140吨蔬菜,请完成下列表格:销售方式全部直接销售全部粗加工后销售尽量精加工,剩余部分直接销售获利(元)(2)如果先进行精加工,然后进行粗加工,要求在15天内刚好加工完140吨蔬菜,则应如何分配加工时间?9、为满足市民对优质教育的需求,某中学决定改变办学条件,计划拆除一部分旧校舍,建造新校舍,拆除旧校舍每平方米需80元,建新校舍每平方米需700元. 计划在年内拆除旧校舍与建造新校舍共7200平方米,在实施中为扩大绿地面积,新建校舍只完成了计划的80%,而拆除旧校舍则超过了计划的10%,结果恰好完成了原计划的拆、建总面积.(1)求:原计划拆、建面积各是多少平方米?(2)若绿化1平方米需200元,那么在实际完成的拆、建工程中节余的资金用来绿化大约是多少平方米?答案:1、分析:设这个两位数十位上的数为x ,个位上的数为y ,则这个两位数及新两位数及其之间的关系可用下表表示:解方程组109101027x y x y y x x y +=++⎧⎨+=++⎩,得14x y =⎧⎨=⎩,因此,所求的两位数是14.2、分析:商品的利润涉及到进价、定价和卖出价,因此,设此商品的定价为x 元,进价为y 元,则打九折时的卖出价为0.9x 元,获利(0.9x-y)元,因此得方程0.9x-y=20%y ;打八折时的卖出价为0.8x 元,获利(0.8x-y)元,可得方程0.8x-y=10. 商品价格(x ) 进价 卖出价打九折盈利 y 0.9x 0.9x-y=20%y 打八折盈利y0.8x0.8x-y=10解方程组0.920%0.810x y y x y -=⎧⎨-=⎩,解得200150x y =⎧⎨=⎩,因此,此商品定价为200元.3、分析:要使生产出来的产品配成最多套,只须生产出来的螺栓和螺母全部配上套,根据题意,每天生产的螺栓与螺母应满足关系式:每天生产的螺栓数×2=每天生产的螺母数×1.因此,设安排x人生产螺栓,y人生产螺母,则每天可生产螺栓25x个,螺母20y个,依题意,得120502201x y x y +=⎧⎨⨯=⨯⎩,解之,得20100x y =⎧⎨=⎩. 故应安排20人生产螺栓,100人生产螺母.4、【分析】设巡逻车、犯罪团伙的车的速度分别为x 、y 千米/时,则()3120120x y x y -=⎧⎪⎨+=⎪⎩,整理,得40120x y x y -=⎧⎨+=⎩,解得8040x y =⎧⎨=⎩, 十位上的数个位上的数对应的两位数相等关系 原两位数 x y 10x+y 10x+y=x+y+9 新两位数yx10y+x10y+x=10x+y+27因此,巡逻车的速度是80千米/时,犯罪团伙的车的速度是40千米/时.5、分析:“充分利用这艘船的载重和容积”的意思是“货物的总重量等于船的载重量”且“货物的体积等于船的容积”.设甲种货物装x 吨,乙种货物装y 吨,则300621200x y x y +=⎧⎨+=⎩,整理,得3003600x y x y +=⎧⎨+=⎩,解得150150x y =⎧⎨=⎩, 因此,甲、乙两重货物应各装150吨.6、分析:设订做的工作服是x 套,要求的期限是y 天,依题意,得()41505200125y x y x ⎧=⎪⎨⎪-=+⎩,解得337518x y =⎧⎨=⎩. 因此,工作服有3375套。
二元一次方程组解法练习题精选一.解答题(共16小题)1.求适合的x,y的值.2.解下列方程组(1)(2)(3)(4).3.解方程组:4.解方程组:5.解方程组:6.已知关于x,y的二元一次方程y=kx+b的解有和.(1)求k,b的值.(2)当x=2时,y的值.(3)当x为何值时,y=3?7.解方程组:(1);(2).8910.解下列方程组:(1)(2)11.解方程组:(1)(2)12(1);(2).13.在解方程组时,由于粗心,甲看错了方程组中的a,而得解为,乙看错了方程组中的b,而得解为.(1)甲把a看成了什么,乙把b看成了什么?(2)求出原方程组的正确解.14.15.(1);(2). 16(1)(2)二元一次方程组解法练习题精选(含答案)参考答案与试题解析一.解答题(共16小题)1.求适合的x,y的值.考点: 解二元一次方程组.分析:先把两方程变形(去分母),得到一组新的方程,然后在用加减消元法消去未知数x,求出y的值,继而求出x的值.解答:解:由题意得:,由(1)×2得:3x﹣2y=2(3),由(2)×3得:6x+y=3(4),(3)×2得:6x﹣4y=4(5),(5)﹣(4)得:y=﹣,把y的值代入(3)得:x=,∴.点评:本题考查了二元一次方程组的解法,主要运用了加减消元法和代入法.2.解下列方程组(1)(2)(3)(4).考点:解二元一次方程组.分析:(1)(2)用代入消元法或加减消元法均可;(3)(4)应先去分母、去括号化简方程组,再进一步采用适宜的方法求解.所以原方程组的解为.(4)原方程组可化为:,①×2+②得,x=,把x=代入②得,3×﹣4y=6,y=﹣.所以原方程组的解为.点评:利用消元法解方程组,要根据未知数的系数特点选择代入法还是加减法:①相同未知数的系数相同或互为相反数时,宜用加减法;②其中一个未知数的系数为1时,宜用代入法.3.解方程组:考点: 解二元一次方程组.专题:计算题.分析:先化简方程组,再进一步根据方程组的特点选用相应的方法:用加减法.解答:解:原方程组可化为,①×4﹣②×3,得7x=42,解得x=6.把x=6代入①,得y=4.所以方程组的解为.点评:注意:二元一次方程组无论多复杂,解二元一次方程组的基本思想都是消元.消元的方法有代入法和加法.4.解方程组:分把原方程组化简后,观察形式,选用合适的解法,此题用加减法求解比较简单.析:解答:解:(1)原方程组化为,①+②得:6x=18,∴x=3.代入①得:y=.所以原方程组的解为.点评:要注意:两个二元一次方程中同一未知数的系数相反或相等时,把这两个方程的两边相加或相减,就能消去这个未知数,得到一个一元一次方程,这种方法叫做加减消元法.本题适合用此法.5.解方程组:解二元一次方程组.考点:计算题;换元法.专题:本题用加减消元法即可或运用换元法求解.分析:解答:解:,①﹣②,得s+t=4,①+②,得s﹣t=6,即,解得.所以方程组的解为.此题较简单,要熟练解方程组的基本方法:代入消元法和加减消元法.点评:6.已知关于x,y的二元一次方程y=kx+b的解有和.(1)求k,b的值.(2)当x=2时,y的值.(3)当x为何值时,y=3?考点: 解二元一次方程组.专题: 计算题.分析:(1)将两组x,y的值代入方程得出关于k、b的二元一次方程组,再运用加减消元法求出k、b的值.(2)将(1)中的k、b代入,再把x=2代入化简即可得出y的值.(3)将(1)中的k、b和y=3代入方程化简即可得出x的值.解答:解:(1)依题意得:①﹣②得:2=4k,所以k=,所以b=.(2)由y=x+,把x=2代入,得y=.(3)由y=x+把y=3代入,得x=1.点评:本题考查的是二元一次方程的代入消元法和加减消元法,通过已知条件的代入,可得出要求的数.7.解方程组:(1);(2).考点:解二元一次方程组.分析:根据各方程组的特点选用相应的方法:(1)先去分母再用加减法,(2)先去括号,再转化为整式方程解答.解答:解:(1)原方程组可化为,①×2﹣②得:y=﹣1,将y=﹣1代入①得:x=1.∴方程组的解为;(2)原方程可化为,即,①×2+②得:17x=51,x=3,将x=3代入x﹣4y=3中得:y=0.∴方程组的解为.点评:这类题目的解题关键是理解解方程组的基本思想是消元,掌握消元的方法有:加减消元法和代入消元法.根据未知数系数的特点,选择合适的方法.8.解方程组:考点: 解二元一次方程组.计算题.专题:分析:本题应把方程组化简后,观察方程的形式,选用合适的方法求解.解答:解:原方程组可化为,①+②,得10x=30,x=3,代入①,得15+3y=15,y=0.则原方程组的解为.点评:解答此题应根据各方程组的特点,有括号的去括号,有分母的去分母,然后再用代入法或加减消元法解方程组.9.解方程组:解二元一次方程组.考点:专题: 计算题.分本题为了计算方便,可先把(2)去分母,然后运用加减消元法解本题.析:解答:解:原方程变形为:,两个方程相加,得4x=12,x=3.把x=3代入第一个方程,得4y=11,y=.解之得.点评:本题考查的是二元一次方程组的解法,方程中含有分母的要先化去分母,再对方程进行化简、消元,即可解出此类题目.10.解下列方程组:(1)(2)考点: 解二元一次方程组.专题: 计算题.分析:此题根据观察可知:(1)运用代入法,把①代入②,可得出x,y的值;(2)先将方程组化为整系数方程组,再利用加减消元法求解.解答:解:(1),由①,得x=4+y③,代入②,得4(4+y)+2y=﹣1,所以y=﹣,把y=﹣代入③,得x=4﹣=.所以原方程组的解为.(2)原方程组整理为,③×2﹣④×3,得y=﹣24,把y=﹣24代入④,得x=60,所以原方程组的解为.点评:此题考查的是对二元一次方程组的解法的运用和理解,学生可以通过题目的训练达到对知识的强化和运用.11.解方程组:(1)(2)考点:解二元一次方程组.专题: 计算题;换元法.分析:方程组(1)需要先化简,再根据方程组的特点选择解法;方程组(2)采用换元法较简单,设x+y=a,x﹣y=b,然后解新方程组即可求解.解答:解:(1)原方程组可化简为,解得.(2)设x+y=a,x﹣y=b,∴原方程组可化为,解得,∴∴原方程组的解为.点评:此题考查了学生的计算能力,解题时要细心.12.解二元一次方程组:(1);(2).考点:解二元一次方程组.专题: 计算题.分析:(1)运用加减消元的方法,可求出x、y的值;(2)先将方程组化简,然后运用加减消元的方法可求出x、y的值.解答:解:(1)将①×2﹣②,得15x=30,x=2,把x=2代入第一个方程,得y=1.则方程组的解是;(2)此方程组通过化简可得:,①﹣②得:y=7,把y=7代入第一个方程,得x=5.则方程组的解是.点评:此题考查的是对二元一次方程组的解法的运用和理解,学生可以通过题目的训练达到对知识的强化和运用.13.在解方程组时,由于粗心,甲看错了方程组中的a,而得解为,乙看错了方程组中的b,而得解为.(1)甲把a看成了什么,乙把b看成了什么?(2)求出原方程组的正确解.考点: 解二元一次方程组.专题:计算题.分析:(1)把甲乙求得方程组的解分别代入原方程组即可;(2)把甲乙所求的解分别代入方程②和①,求出正确的a、b,然后用适当的方法解方程组.解得:.把代入方程组,得,解得:.∴甲把a看成﹣5;乙把b看成6;(2)∵正确的a是﹣2,b是8,∴方程组为,解得:x=15,y=8.则原方程组的解是.点评:此题难度较大,需同学们仔细阅读,弄清题意再解答.14.解二元一次方程组.考点:分析:先将原方程组中的两个方程分别去掉分母,然后用加减消元法求解即可.解答:解:由原方程组,得,由(1)+(2),并解得x=(3),把(3)代入(1),解得y=,∴原方程组的解为.点评:用加减法解二元一次方程组的一般步骤:1.方程组的两个方程中,如果同一个未知数的系数既不互为相反数又不相等,就用适当的数去乘方程的两边,使一个未知数的系数互为相反数或相等;2.把两个方程的两边分别相加或相减,消去一个未知数,得到一个一元一次方程;3.解这个一元一次方程;4.将求出的未知数的值代入原方程组的任意一个方程中,求出另一个未知数,从而得到方程组的解.15.解下列方程组:(1);(2).考点: 解二元一次方程组.分析:将两个方程先化简,再选择正确的方法进行消元.解解:(1)化简整理为,答:①×3,得3x+3y=1500③,②﹣③,得x=350.把x=350代入①,得350+y=500,∴y=150.故原方程组的解为.(2)化简整理为,①×5,得10x+15y=75③,②×2,得10x﹣14y=46④,③﹣④,得29y=29,∴y=1.把y=1代入①,得2x+3×1=15,∴x=6.故原方程组的解为.点评:方程组中的方程不是最简方程的,最好先化成最简方程,再选择合适的方法解方程.16.解下列方程组:(1)(2)解二元一次方程组.考点:分析:观察方程组中各方程的特点,用相应的方法求解.。
二元一次方程组经典练习题+答案解析100道二元一次方程组练题100道(卷一)1、判断1、方程组xy526的解是()。
解:这不是一个完整的方程组,缺少另一个方程,无法判断解。
2、方程组1是方程组yx3 2的解是方程3x-2y=13的一个解()。
解:将方程组代入3x-2y=13中,得到3x-2(-x/3-1/2)=13,化简得到x=5,y=-4,代入方程组可验证是解,因此选(√)。
3、由两个二元一次方程组成方程组一定是二元一次方程组()。
解:不一定,例如x+y=1和2x+2y=2就不是二元一次方程组。
4、方程组x3y 573x2y12235 3可以转化为方程组解:将第一个方程移项得到x+3y=2,代入第二个方程中消去x得到-7y=-18,解得y=18/7,代入第一个方程得到x=-41/7,因此可以转化为方程组5x-6y=-27和2y-3x+4=2,选(√)。
5、若(a-1)x+(a-1)x+(2a-3)y=0是二元一次方程,则a的值为±1()。
解:将XXX提取出来得到(a-1)(x+y)+(2a-3)y=0,因此x+y=-2a+3y/y-2,这是一个关于a的一次函数,当a=±1时,x+y=±1,此时方程组化为x+y=±1和-2x-2y=0,是二元一次方程组,因此选(√)。
6、若x+y=0,且|x|=2,则y的值为2()。
解:由x+y=0得到y=-x,代入|x|=2中得到|x|=|x+y|=|-x+y|=2,解得x=±1,因此y=±1,不等于2,选(×)。
7、方程组mx my m3x4x10y8有唯一的解,那么m的值为m≠-5()。
解:将第一个方程移项得到(m+3)x+my=m,代入第二个方程中消去x得到(3m+2)y=8-m,因为有唯一解,所以3m+2≠0,即m≠-2/3,代入方程组中验证,当m≠-5时,有唯一解,因此选(√)。
8、方程组1x y 233有无数多个解()。
二元一次方程组练习题(含答案) 二元一次方程组练题一.解答题(共16小题)1.解下列方程组:1)x+2y-1=23x-2y=52)1-yx+2/3=1/22y+3=3x3)5x+2y=11a4x-4y=6a4)2x+3y=73x-2y=15)2x-3y=75x+4y=176)2x+3y=13x-2y=57)3x-4y=-12x+5y=138)x(y+1)+y(1-x)=2x(x+1)-y-x^2=09)3x+y=72x-3y=-810)x^2+xy=2y-x+2=02.求适合的x,y的值。
已知关于x,y的二元一次方程y=kx+b的解有和。
1)求k,b的值。
2)当x=2时,y的值。
3)当y=3时,x的值为多少?解答:1.1)将第二个方程变形得到y=(3x-5)/2,代入第一个方程中,得到x=3,y=-2.2)将第一个方程变形得到y=(1/2-1+xy)/x,代入第二个方程中,得到x=3,y=-1.3)将第二个方程变形得到y=x-3/2,代入第一个方程中,得到x=2,y=1.4)将第二个方程变形得到y=(3x-1)/2,代入第一个方程中,得到x=2,y=1.5)将第一个方程变形得到y=(2x-7)/3,代入第二个方程中,得到x=1,y=-1.6)将第二个方程变形得到y=(3x-5)/2,代入第一个方程中,得到x=1,y=-1.7)将第二个方程变形得到y=(3x+1)/4,代入第一个方程中,得到x=5,y=2.8)将第一个方程变形得到y=(2-x^2)/(1-x),代入第二个方程中,得到x=1,y=1.9)将第二个方程变形得到y=(2x+8)/3,代入第一个方程中,得到x=1,y=1.10)将第一个方程变形得到y=2/x-x,代入第二个方程中,得到x=1,y=0.2.1)由于y=kx+b,所以当x=1时,y=k+b;当x=2时,y=2k+b。
又因为已知y=3时,x的值为多少,所以将y=kx+b代入得到kx+b=3,解得x=(3-b)/k。
二元一次方程练习题1.要使分式的植为0,则应该等于2.若正数a是一元二次方程x2?5x+m=0的一个根,?a是一元二次方程x2+5x?m=0的一个根,则a的值是.3.已知x=1是一元二次方程x2+ax+b=0的一个根,则代数式a2+b2+2ab的值是.4已知关于x的一元二次方程x2+ax+b=0有一个非零根?b,则a?b的值为()a.1b.?1c.0d.?25已知a,b是方程x2?x?3=0的两个根,则代数式2a3+b2+3a2?11a?b+5的值为.6.若一元二次方程ax2=b(ab>0)的两个根分别是m+1与2m?4,则=.7.菱形abcd的一条对角线长为6,边ab的长是方程的一个根,则菱形abcd的周长为_______.8.第二象限内一点a(x—1,x2—2),关于x轴的对称点为b,且ab=6,则x=_________.9.已知关于x的方程x2+(1?m)x+=0有两个不相等的实数根,则m的最大整数值是.10.关于x的一元二次方程(a?1)x2?2x+3=0有实数根,则整数a的最大值是()a.2b.1c.0d.?111.若关于x的一元二次方程kx2+4x+3=0有实根,则k的非负整数值是.12.已知关于x的方程(k?1)x2?(k?1)x+=0有两个相等的实数根,则k=13.已知命题“关于x的一元二次方程x2+bx+1=0,当b<0时必有实数解”,能说明这个命题是假命题的一个反例可以是a.b=?1b.b=2c.b=?2d.b=014.(2013乐山)已知一元二次方程x2-(2k+1)x+k2+k=0.(1)求*:方程有两个不相等的实数根;(2)若△abc的两边ab,ac的长是这个方程的两个实数根,第三边bc的长为5.当△abc是等腰三角形时,求k的值.第2篇:一元二次方程练习题一元二次方程有4种解法,即直接开平方法、*法、公式法、因式分解法。
以下是小编整理的关于一元二次方程练习题,希望大家认真阅读!题型1:认识一元二次方程,并能找出各项的系数解法:根据一元二次方程的概念,这个不难找,注意ax+bx+c=0,不是一元二次方程,因为没有确定a的范围,a=0时,它就不是。
二元一次方程组练习题(含答案)1.解下列方程组:1) 5x + 2y = 11a,-4y = 6a;2) 4x + 3y - 1 = 0,2x + y - 2 = 0;3) x + 2y/3 - 1/3 = 2,x/3 + 1 - y/2 = 1/2;4) x - y/2 = 1,x + y/2 = 3.2.求解以下方程组:1) 2x + 3y = 7,x - y = 1;2) x + 2y = 5,2x + y = 7;3) 3x + 2y = 8,4x - 3y = -11.3.已知二元一次方程y = kx + b的解有(2,5)和(-1,0)。
1) 求k,b的值;2) 当x = 2时,y的值;3) 当y = 3/5时,x的值。
4.在解方程组2x + y = 5,x - y = 1时,甲看错了方程组中的a,而得到解x = 2,y = 1.乙看错了方程组中的b,而得到解x = 3,y = -1.1) 甲把a看成了什么,乙把b看成了什么?2) 求出原方程组的正确解。
参考答案与解析:1.解下列方程组:1) 5x + 2y = 11a,-4y = 6a。
将第二个方程式化简为y = -3/2a,代入第一个方程式中得到5x + 2(-3/2a) = 11a,化简得到x = (23/10)a,y = (-9/5)a。
2) 4x + 3y - 1 = 0,2x + y - 2 = 0.将第二个方程式中的y用第一个方程式中的x表示,得到y = 2 - 2x,代入第一个方程式中得到4x + 3(2 - 2x) - 1 = 0,化简得到x = 1/2,y = 1.3) x + 2y/3 - 1/3 = 2,x/3 + 1 - y/2 = 1/2.将第二个方程式中的x用第一个方程式中的y表示,得到x = 6 - 2y,代入第一个方程式中得到6 - 4y/3 = 2,化简得到y = 3/2,x = 0.4) x - y/2 = 1,x + y/2 = 3.将两个方程式相加得到2x = 4,化简得到x = 2,代入第一个方程式中得到y = 2.2.求解以下方程组:1) 2x + 3y = 7,x - y = 1.将第二个方程式中的x用第一个方程式中的y表示,得到x = y + 1,代入第一个方程式中得到2(y + 1) + 3y = 7,化简得到y = 1,x = 2.2) x + 2y = 5,2x + y = 7.将第一个方程式中的x用第二个方程式中的y表示,得到x = (7 - y)/2,代入第一个方程式中得到(7 - y)/2 + 2y = 5,化简得到y = 1,x = 2.3) 3x + 2y = 8,4x - 3y = -11.将第一个方程式中的x用第二个方程式中的y表示,得到x = (3y - 11)/4,代入第一个方程式中得到3(3y - 11)/4 + 2y = 8,化简得到y = 1,x = 1.3.已知二元一次方程y = kx + b的解有(2,5)和(-1,0)。
二元一次方程组练习题100道(卷一)一、判断1、⎪⎩⎪⎨⎧-==312y x 是方程组⎪⎪⎩⎪⎪⎨⎧=-=-910326523y x y x 的解 …………( ) 2、方程组⎩⎨⎧=+-=5231y x xy 的解是方程3x -2y =13的一个解( )3、由两个二元一次方程组成方程组一定是二元一次方程组( )4、方程组⎪⎪⎩⎪⎪⎨⎧=-++=+++25323473523y x y x ,可以转化为⎩⎨⎧-=--=+27651223y x y x ( )5、若(a 2-1)x 2+(a -1)x +(2a -3)y =0是二元一次方程,则a 的值为±1( )6、若x +y =0,且|x |=2,则y 的值为2 …………( )7、方程组⎩⎨⎧=+-=+81043y x xm my mx 有唯一的解,那么m 的值为m ≠-5 …………( )8、方程组⎪⎩⎪⎨⎧=+=+623131y x y x 有无数多个解 …………( ) 9、x +y =5且x ,y 的绝对值都小于5的整数解共有5组 …………( ) 10、方程组⎩⎨⎧=+=-3513y x y x 的解是方程x +5y =3的解,反过来方程x +5y =3的解也是方程组⎩⎨⎧=+=-3513y x y x 的解 ………( )11、若|a +5|=5,a +b =1则32-的值为b a ………()12、在方程4x -3y =7里,如果用x 的代数式表示y ,则437yx +=( ) 二、选择:13、任何一个二元一次方程都有( ) (A )一个解; (B )两个解;(C )三个解; (D )无数多个解;14、一个两位数,它的个位数字与十位数字之和为6,那么符合条件的两位数的个数有( ) (A )5个 (B )6个 (C )7个 (D )8个 15、如果⎩⎨⎧=+=-423y x ay x 的解都是正数,那么a 的取值范围是( )(A )a <2; (B )34->a ; (C )342<<-a ; (D )34-<a ; 16、关于x 、y 的方程组⎩⎨⎧=-=+m y x my x 932的解是方程3x +2y =34的一组解,那么m 的值是( )(A )2; (B )-1; (C )1; (D )-2;17、在下列方程中,只有一个解的是( ) (A )⎩⎨⎧=+=+0331y x y x(B )⎩⎨⎧-=+=+2330y x y x(C )⎩⎨⎧=-=+4331y x y x(D )⎩⎨⎧=+=+3331y x y x18、与已知二元一次方程5x -y =2组成的方程组有无数多个解的方程是( )(A )15x -3y =6 (B )4x -y =7 (C )10x +2y =4 (D )20x -4y =3 19、下列方程组中,是二元一次方程组的是( )(A )⎪⎩⎪⎨⎧=+=+9114y x y x (B )⎩⎨⎧=+=+75z y y x(C )⎩⎨⎧=-=6231y x x(D )⎩⎨⎧=-=-1y x xyy x20、已知方程组⎩⎨⎧-=+=-135b y ax y x 有无数多个解,则a 、b 的值等于( )(A )a =-3,b =-14(B )a =3,b =-7 (C )a =-1,b =9(D )a =-3,b =14 21、若5x -6y =0,且xy ≠0,则y x yx 3545--的值等于( )(A )32 (B )23 (C )1 (D )-122、若x 、y 均为非负数,则方程6x =-7y 的解的情况是( ) (A )无解 (B )有唯一一个解 (C )有无数多个解 (D )不能确定23、若|3x +y +5|+|2x -2y -2|=0,则2x 2-3xy 的值是( )(A )14 (B )-4 (C )-12 (D )12 24、已知⎩⎨⎧-==24y x 与⎩⎨⎧-=-=52y x 都是方程y =kx +b 的解,则k 与b 的值为( ) (A )21=k ,b =-4 (B )21-=k ,b =4 (C )21=k ,b =4(D )21-=k ,b =-4 三、填空:25、在方程3x +4y =16中,当x =3时,y =________,当y =-2时,x =_______ 若x 、y 都是正整数,那么这个方程的解为___________; 26、方程2x +3y =10中,当3x -6=0时,y =_________;27、如果0.4x -0.5y =1.2,那么用含有y 的代数式表示的代数式是_____________; 28、若⎩⎨⎧-==11y x 是方程组⎩⎨⎧-=-=+1242a y x b y ax 的解,则⎩⎨⎧==______________b a ; 29、方程|a |+|b |=2的自然数解是_____________; 30、如果x =1,y =2满足方程141=+y ax ,那么a =____________;31、已知方程组⎩⎨⎧-=+=+m y x ay x 26432有无数多解,则a =______,m =______;32、若方程x -2y +3z =0,且当x =1时,y =2,则z =______;33、若4x +3y +5=0,则3(8y -x )-5(x +6y -2)的值等于_________;34、若x +y =a ,x -y =1同时成立,且x 、y 都是正整数,则a 的值为________; 35、从方程组)0(030334≠⎩⎨⎧=+-=--xyz z y x z y x 中可以知道,x :z =_______;y :z =________;36、已知a -3b =2a +b -15=1,则代数式a 2-4ab +b 2+3的值为__________;四、解方程组37、⎪⎪⎩⎪⎪⎨⎧=-=-1332343n m nm ; 38、)(6441125为已知数a a y x a y x ⎩⎨⎧=-=+;39、⎪⎪⎩⎪⎪⎨⎧=++=+125432y x yx y x ; 40、⎪⎩⎪⎨⎧=--+=-++0)1(2)1()1(2x y x x x y y x ;41、⎪⎪⎩⎪⎪⎨⎧++=++=+=+6253)23(22)32(32523233y x y x yx y x ; 42、⎪⎪⎩⎪⎪⎨⎧=-++=-++1213222132y x y x ;43、⎪⎩⎪⎨⎧=-+-=-+=-+3113y x z x z y z y x ; 44、⎪⎩⎪⎨⎧=+=+=+101216x z z y y x ;45、⎪⎩⎪⎨⎧=-+=+-=-+35351343z y x z y x z y x ; 46、⎪⎩⎪⎨⎧=+-==30325:3:7:4:z y x z x y x ;五、解答题:47x 的系数,解得⎪⎪⎩⎪⎪⎨⎧==475847107y x ;乙看错了方程②中的y 的系数,解得⎪⎪⎩⎪⎪⎨⎧==19177681y x ,若两人的计算都准确无误,请写出这个方程组,并求出此方程组的解;48、使x +4y =|a |成立的x 、y 的值,满足(2x +y -1)2+|3y -x |=0,又|a |+a =0,求a 的值;49、代数式ax 2+bx +c 中,当x =1时的值是0,在x =2时的值是3,在x =3时的值是28,试求出这个代数式;50、要使下列三个方程组成的方程组有解,求常数a 的值。