高一数学周周练一
- 格式:doc
- 大小:125.00 KB
- 文档页数:2
心尺引州丑巴孔市中潭学校一中高一数学2021春学期第十九周双休练习班级 成绩一、填空题〔本大题共14小题,每题5分,共70分。
请把答案填写在答题卡相应的位置上..........〕1、不等式(1)(2)0x x --<的解集是 ▲ 。
2、数列:1111,,,12233445--⨯⨯⨯⨯,……的一个通项公式为 ▲ 。
3、不等式003x y x y x -≥⎧⎪+≥⎨⎪≤⎩表示的区域面积为 ▲ 。
4、等比数列}{n a 中,340,2na a a >=,那么212226log log log a a a +++= ▲ 。
5、假设关于x 不等式2210xax ++≥的解集为R ,那么实数a 的取值范围是 ▲ 。
6、函数cos 2tan sin y ααα=+,(0,)2πα∈的最小值为 ▲ 。
7、将一颗骰子先后抛掷2次,那么向上的点数之和为3的倍数的概率为 ▲ 。
8、ABC ∆的外接圆半径为1,那么sin sin sin a b c A B C+-=+- ▲ 。
9、在ABC ∆中,2cos c a B =,那么ABC ∆的形状为 ▲ 。
10、}{n a 为等差数列,{}n b 为正项等比数列,其公比1q≠,假设111111,a b a b ==,那么66,a b 的大小关系为 ▲ 。
11、数列}{n a 的通项为224nn a n =+,那么}{n a 的最大项是第 ▲ 项。
12、假设0,0,2a b a b >>+=,那么以下不等式对一切满足条件的,a b 恒成立的是 ▲ 。
①1ab ≤;+≤; ③ 222a b +≥;④333a b +≥; ⑤112a b+≥ 13、正数数列{n a }的前n 项和为n S,且1n a =+,(*n N ∈),那么n a = ▲ 14、假设关于x 的不等式22(21)x ax -≤的解集中的整数恰有2个,那么实数a 的取值范围是 ▲ .一中高一数学2021春学期第十九周双休练习答题卡1、__________________ 6、__________________ 11、________________2、__________________ 7、__________________ 12、________________3、__________________ 8、__________________ 13、________________4、_________________ 9、_________________ 14、________________5、_________________ 10、_________________二、解答题〔本大题共6小题,共计90分,请在答题卡指定区域内作答,解答时应写出文字说明、证明或演算步骤〕15、〔此题总分值14分〕{}n a 是公差不为零的等差数列,11a =,且139,,a a a 成等比数列.〔1〕求数列{}n a 的通项公式;〔2〕求数列{}n a 的前n 项和n S 。
高一数学周周练(1)(角的概念·弧度制共150分) 学生__________一、选择题(每小题5分,共60分)1.下列命题中的真命题是( )A .三角形的内角是第一象限角或第二象限角 C .第二象限的角比第一象限的角大B .第一象限的角是锐角 D .角α是第四象限角的充要条件是2k π-2π<α<2k π(k ∈Z ) 2.设k ∈Z ,下列终边相同的角是( )A .(2k +1)·180°与(4k ±1)·180°B .k ·90°与k ·180°+90°C .k ·180°+30°与k ·360°±30°D .k ·180°+60°与k ·60°3.已知弧度数为2的圆心角所对的弦长也是2,则这个圆心角所对的弧长是( )A .2B .1sin 2 C .1sin 2 D .2sin 4.一钟表的分针长10 cm ,经过35分钟,分针的端点所转过的长为:( ) A .70 cm B .670 cm C .(3425-3π)cm D .3π35 cm 5.若90°<-α<180°,则180°-α与α的终边( )A .关于x 轴对称B .关于y 轴对称C .关于原点对称D .以上都不对6.若角α终边上有一点P (-3,0),则下列函数值不正确的是( ) A .si n α=0B .cos α=-1C .ta n α=0D .cot α=0 7.某扇形的面积为12cm ,它的周长为4cm ,那么该扇形圆心角的度数为( )A .2°B .2C .4°D .48.中心角为60°的扇形,它的弧长为2π,则它的内切圆半径为 ( )A .2B .3C .1D .23 9.如果弓形的弧所对的圆心角为3π,弓形的弦长为4 cm ,则弓形的面积是:( ) A .(344-9π) B .(344-3π ) C .(348-3π) D .(328-3π) 10.若α是第三象限角,则下列四个三角函数式中一定为正数的是( ) A .sin α+cos α B .tan α+sin α C .sin α·sec α D .cot α·sec α11.1sin 、1cos 、1tan 的大小关系为( )A .1tan 1cos 1sin >>B .1cos 1tan 1sin >> C .1cos 1sin 1tan >> D .1sin 1cos 1tan >> 12.设集合M ={α|α=k π±6π,k ∈Z },N ={α|α=k π+(-1)k 6π,k ∈Z }那么正确的是( ) A .M =N B .M N C .N M D .M N 且N M第Ⅱ卷(非选择题,共90分)二、填空题(每小题5分,共20分)13.若角α是第三象限角,则2α角的终边在 . 14.与-1050°终边相同的最小正角是 .15.已知α是第二象限角,且,4|2|≤+α则α的范围是 .16.已知扇形的周长为20 cm ,当扇形的中心角为多大时,它有最大面积,最大面积是三、解答题(本大题共70分)17.用集合表示下列终边落在阴影部分的角。
高一数学“每周一练”系列试题及答案
1.某初级中学领导采用系统抽样方法,从该校预备年级全体800名学生中抽50名学生做牙
齿健康检查。
现将800名学生从1到800进行编号,求得间隔数k
800
50
=16
,即每16
人抽取一个人。
在1~16中随机抽取一个数,如果抽到的是7,则从33 ~ 48这16个数中应取的数是()
A.40.B.39.C.38.D.37.
2.某工厂有工人1 000名,其中250名工人参加过短期培训(称为A类工人),另外750名工人参加过长期培训(称为B类工人).现用分层抽样方法(按A类,B类分二层)从该工厂的工人中共抽查100名工人,调查他们的生产能力(生产能力指一天加工的零件数).
(1)A类工人中和B类工人中各抽查多少工人?
(2)从A类工人中的抽查结果和从B类工人中的抽查结果分别如下表1和表2.
生产能
力分组
[100,110)[110,120)[120,130)[130,140)[140,150) 人数48x 5 3 生产能
力分组
[110,120)[120,130)[130,140)[140,150) 人数6y 3618
(i)先确定x,y,再完成下列频率分布直方图,就生产能力而言,A类工人中个体间的差
异程度与B类工人中个体间的差异程度哪个更小?(不用计算,可通过观察直方图直接回答结论)。
高一数学下册每周一练测试题及答案高一数学“每周一练”系列试题(39)一、选择题:本大题共10小题,每小题2分,满分20分.在每小题给出的四个选项中,只有一项是符合题目要求的. 1、设A=,U=R,求 =( ) A、 B、 C、 D、 2、设集合A={x|-5≤x<1},B={x|x≤2},则A B=() A.{x|-5≤x<1} B.{x|-5≤x≤2} C.{x|x<1} D.{x|x≤2} 3、已知全集U={0,1,2,3}且={2},则集合A的真子集共有()A.3个 B.5个 C. 8个D.7个 4、下列四句话中:① ={0};②空集没有子集;③任何一个集合必有两个或两个以上的子集;④空集是任何一个集合的子集.其中正确的有() A.0个 B.1个 C.2个 D.3个 5、若集合M= , , 则下面结论中正确的是() A. B. C. D. 6、下列函数中是奇函数的是( D ) A、 B、 C、 D、 7、下列函数与表示同一函数的是() A. B. C. D. 8、已知,则的值为() A、100 B、10 C、-10 D、-100 9、函数y=-x+a与y=a-x (其中a>0且a≠1) 在同一坐标系中的图象可能为()A. B. C. D. 10、已知,,,则下列关系中正确的是()A.B.C.D.二、填空题: 本大题共5小题,每小题5分,满分25分. 11、函数的递增区间是= 12、在平面直角坐标系中,角的终边关于一、三象限的角平分线对称,且角的终边经过点,则= 13、如图,菱形ABCD的边长为1,,E、F分别为AD、CD的中点,则= 14、已知函数是定义在上的奇函数,且当时,,则= . 15、已知函数,对于上的任意有如下条件:① ;② ③ ,其中能使恒成立的条件是(填写序号)三、解答题:本大题共6小题,共75分。
解答须写出文字说明,证明过程或演算步骤. 16、(本题14分)已知全集,, . (1)用列举法表示集合(2)求,,。
高中数学必修一周周练(第一周)一、选择题1.①某班视力较好的同学;②方程x 2-1=0的解集;③漂亮的花儿;④空气中密度大的气体.其中能组成集合的是( )A. ②B. ①③C. ②④D. ①②④2、由a 2,2-a,4组成一个集合A ,A 中含有3个元素,则实数a 的取值可以是( )A. 1B. -2C. 6D. 23、设集合A =⎭⎬⎫⎩⎨⎧∈=N n x x n ,31,若x1∈A ,x 2∈A ,则必有( )A. x 1+x 2∈AB. x 1x 2∈AC. x 1-x 2∈AD. x1x 2∈A 4.已知集合A ={x |x 2+4x +3≤0},B ={x |x 2-ax ≤0},若A ⊆B ,则实数a 的取值范围是() A. [-3,3] B. [0,+∞) C. (-∞,-3] D. R5、若函数f (x )=ax 2-1,a 为一个正常数,且f (f (-1))=-1,那么a =( )A. 1B. 0C. -1D. 26.下列各组函数表示相等函数的是( )A. f (x )=⎩⎪⎨⎪⎧ x , x >0,-x , x <0与g (x )=|x |B. f (x )=2x +1与g (x )=2x 2+x xC. f (x )=|x 2-1|与g (t )=(t 2-1)2D. f (x )=x 2与g (x )=x二、填空题7、已知集合A 由方程(x -a )(x -a +1)=0的根构成,且2∈A ,则实数a =________.8、由实数t ,|t |,t 2,-t ,t 3所构成的集合M 中最多含有________个元素.9设集合A ={x |-1<x <2},B ={x |x <a },若A ∩B ≠∅,则a 的取值范围是________.10、若[a,3a -1]为一确定区间,则a 的取值范围是________.三、解答题11、已知集合A 是由a -2,2a 2+5a,12三个元素组成的,且-3∈A ,求a 的值.12、设S 是由满足下列条件的实数所构成的集合:①1∉S ;②若a ∈S ,则11-a ∈S .请回答下列问题:(1)若2∈S ,则S 中必有另外两个数,求出这两个数;(2)求证:若a ∈S ,则1-1a∈S ; (3)在集合S 中元素能否只有一个?若能,把它求出来;若不能,请说明理由.13、若集合A ={x |x 2+x -6=0},B ={x |x 2+x +a =0},且B ⊆A ,求实数a 的取值范围.14、已知集合A ={x |1<ax <2},B ={x |-1<x <1},求满足A ⊆B 的实数a 的取值范围.。
汝城一中高一数学周周练(1)满分:150分 时量:120分钟注 意:交卷时只交答卷一、选择题:每小题5分,共50分,每小题有且只有一个正确答案。
1.设集合P={立方后等于自身的数},那么集合P 的真子集个数是A .3B .4C .7D .8 2.如果偶函数在],[b a 具有最大值,那么该函数在],[a b --有 A .最大值 B .最小值 C .没有最大值 D . 没有最小值3.下列各组函数中,表示同一函数的是A .xx y y ==,1 B .y y ==C .33,x y x y ==D . 2)(|,|x y x y == 4.函数b x k y ++=)12(在实数集上是增函数,则A .21->k B .21-<k C .0>b D .0>b 5.函数px x x y +=||,R x ∈是 A .偶函数B .奇函数C .不具有奇偶函数D .与p 有关6.设全集}7,6,5,4,3,2,1{=U ,集合}5,3,1{=A ,集合}5,3{=B ,则 A .B A U ⋃= B . B A C U U ⋃=)( C .)(B C A U U ⋃= D .)()(B C A C U U U ⋃=7.已知集合 },61|{Z m m x x M∈+==,},312|{Z n n x x N ∈-==,=P x x |{+=2p },61Z p ∈,则P N M ,,的关系A .N M =PB .M PN =C .M N PD . N P M8.图中阴影部分所表示的集合是A.B ∩[C U (A ∪C)]B.(A ∪B) ∪(B ∪C)C.(A ∪C)∩(C U B)D.[C U (A ∩C)]∪B9.已知g (x )=1-2x, f [g (x )]=)0(122≠-x xx , 则f (21)等于 A .1B .3C .15D .3010.定义在R 上的偶函数)(x f ,满足)()1(x f x f -=+,且在区间]0,1[-上为递增,则A .)2()2()3(f f f <<B .)2()3()2(f f f <<C .)2()2()3(f f f <<D .)3()2()2(f f f <<二、填空题:每小题5分,共25分,将正确答案填在横线上。
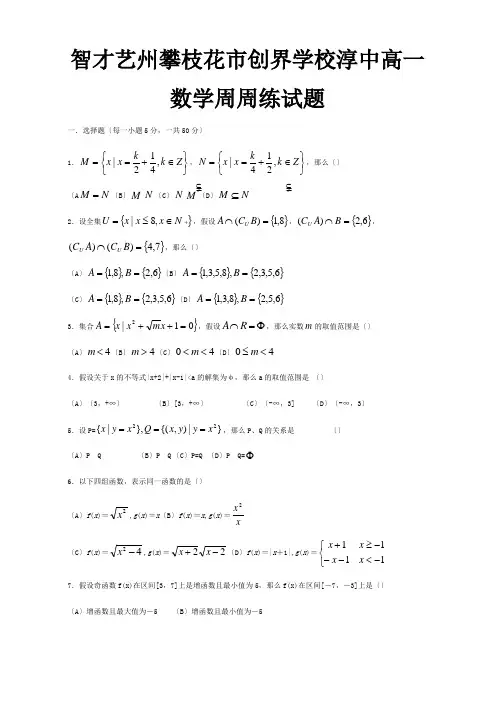
智才艺州攀枝花市创界学校淳中高一数学周周练试题一.选择题〔每一小题5分,一共50分〕1.⎭⎬⎫⎩⎨⎧∈+==Z k k x x M ,412|,⎭⎬⎫⎩⎨⎧∈+==Z k k x x N ,214|,那么〔〕 〔A N M =〔B 〕M N 〔C 〕N M 〔D 〕N M ⊆ 2.设全集{}+∈≤=N x x x U ,8|,假设{}8,1)(=⋂B C A U ,{}6,2)(=⋂B A C U , {}7,4)()(=⋂B C A C U U ,那么〔〕〔A 〕{}{}6,2,8,1==B A 〔B 〕{}{}6,5,3,2,8,5,3,1==B A 〔C 〕{}{}6,5,3,2,8,1==B A 〔D 〕{}{}6,5,2,8,3,1==B A3.集合{}01|2=++=x m x x A ,假设Φ=⋂R A ,那么实数m 的取值范围是〔〕 〔A 〕4<m 〔B 〕4>m 〔C 〕40<<m 〔D 〕40<≤m4.假设关于x 的不等式|x+2|+|x-1|<a 的解集为φ,那么a 的取值范围是 〔〕 〔A 〕〔3,+∞〕〔B 〕[3,+∞〕 〔C 〕〔-∞,3] 〔D 〕〔-∞,3〕 5.设P=}|),{(},|{22x y y x Q x y x ===,那么P 、Q 的关系是〔〕 〔A 〕P Q 〔B 〕P Q 〔C 〕P=Q 〔D 〕P Q=Φ 6.以下四组函数,表示同一函数的是〔〕〔A 〕f (x )=2x ,g (x )=x 〔B 〕f (x )=x ,g (x )=x x 2 〔C 〕f (x )=42-x ,g (x )=22-+x x 〔D 〕f (x )=|x +1|,g (x )=⎩⎨⎧-<---≥+1111x x x x 7.假设奇函数f(x)在区间[3,7]上是增函数且最小值为5,那么f(x)在区间[-7,-3]上是〔〕 〔A 〕增函数且最大值为-5 〔B 〕增函数且最小值为-5≠⊂≠⊂〔C 〕减函数且最小值为-5 〔D 〕减函数且最大值为-58.)(x f 是偶函数,且当0>x 时,x x x f -=2)(,那么当0<x 时,)(x f 的解析式为〔〕〔A 〕x x x f -=2)(〔B 〕x x x f --=2)(〔C 〕x x x f +=2)(〔D 〕x x x f +-=2)(9.函数24)(2++=ax x x f 在)6,(-∞内递减,那么a 的取值范围是〔〕 〔A 〕3≥a 〔B 〕3≤a 〔C 〕3-≥a 〔D 〕3-≤a10.函数x y 111+=的定义域是〔〕〔A 〕0>x 〔B 〕0>x 或者1-≤x 〔C 〕0>x 或者1-<x 〔D 〕10<<x二.填空题〔每一小题5分,一共10分〕11.=A {23|≤≤-x x },=B {1212|+≤≤-m x m x },且BA ,那么实数m 的 取值范围为。
高一数学周周练( 必修4综合)班级__________ 姓名_________ 学号______一、选择题: 本大题共10小题,每小题4分,共40分 1、若),1,3(),2,1(-==则=-2 ( )A 、 )3,5(B 、 )1,5(C 、 )3,1(-D 、 )3,5(--2、5a b ==,a与b的夹角为3π,则a b -等于( )A .35B .235 C .3 D . 53.已知角α 的终边过点P (-4,3),则ααcos sin 2+的值为( ) A .54- B .53C .52D .24、 已知函数f (x)sin(x )cos(x )=+ϕ++ϕ为奇函数,则ϕ的一个取值为( ) A 、0 B 、2π C 、4π-D 、π5.设),6,2(),3,4(21--P P 且P 在21P P=,则点P 的坐标是 ( )A 、)15,8(-B 、 (0,3)C 、)415,21(-D 、)23,1( 6.已知a=(4,3),向量b是垂直于a的单位向量,则b=( )A .5354)54,53(,或()B .5354)54,53(,或(-- )C .5453)54,53(--,或( )D . 5453)54,53(,或(--)7.a =1,b=2,c a b =+ ,且c ⊥a ,则向量a 与b 的夹角为( )A .30°B .60°C .120°D .150→→→→→→→→b a a b b a b a 的模与,则方向的投影为在,方向的投影为在是非零向量,与、设438的模之比值为( )A 、43 B 、34 C 、73 D 、749.函数44f (x)sin(x)sin(x)ππ=+-是( )A 、周期为2π的奇函数B 、周期为2π的偶函数C 、周期为π的奇函数D 、周期为π的偶函数10. 设两个向量22(2,cos )a λλα=+- 和(,sin ),2m b m α=+ 其中,,m λα为实数.若2,a b = 则mλ的取值范围是( )A .[6,1]-B .[4,8]C .(,1]-∞D .[1,6]-二、填空题:本大题共6小题,每小题4分,满分24分.11、已知113a (,2sin ),b (cos ,),a 322=α=α 且∥b ,则锐角α的值为 ;12、若|a |=|b |=1,a ⊥b ,且2a +3b 与k a -4b 也互相垂直,则k 的值为 ;13、函数y cos 2x 4cos x,x [,]32ππ=-∈-的值域是 ;14、若为则ABC AB BC AB ∆=+∙,02三角形;15将π2cos 36x y ⎛⎫=+ ⎪⎝⎭的图象按向量π24⎛⎫=-- ⎪⎝⎭,a平移,则平移后所得图象的解析式为 16、下列命题:①若c a cb b a =⋅=⋅,则 ②若a 与b 是共线向量,b 与c 是共线向量,则a 与c 是共线向-=+0=⋅ba ④若a 与b 是单位向量,则1=⋅其中真命题的序号为 。
2021年高一下学期周周练数学试题1一、填空题(每小题5分,共70分)1.已知集合,,24|,,22|⎭⎬⎫⎩⎨⎧∈+==⎭⎬⎫⎩⎨⎧∈+==Z k k x x B Z k k x x A ππππ则集合与的关系是 .2.如果与角终边相同,那么是第 象限角.3.设,角的终边经过点那么= .4. 已知扇形的周长是,圆心角为2rad ,则该扇形的面积为 .5.若点在角终边上,且满足,,则= .6. 已知角和的终边关于对称,且,则 .7.已知则 .8. 将表示为其中的形式是 .9. 已知集合,,则=.10.已知则 .11..已知角的终边上一个点的坐标为,则的值为.12. 则= .13. 在扇形中,,弧长为,则扇形内切圆的面积为14.已知对一切实数恒成立,且则的值为 .二、解答题(共90分),写出详细的解答过程,作图题要保留作图痕迹.15.(本题满分14分)已知角终边上一点且,试求和的值.16. (本题满分14分)已知,其中为第三象限角,求的值.17. (本题满分14分)已知一扇形的周长是,当它的半径和圆心角取何值时,才能使扇形的面积最大?最大面积是多少?18.(本题满分16分)已知求下列各式的值.(1); (2).19.(本题满分16分)已知(1)求证:;(2)求的值.20. (本题满分16分)已知函数是定义在上周期为的偶函数,且.(1)求的值;(2)若时,求当时,的解析式.26503 6787 枇Me28736 7040 灀24186 5E7A 幺40622 9EAE 麮40707 9F03 鼃ah31777 7C21 簡34902 8856 衖21230 52EE 勮。
七一中学高一下第一周周练姓名:__________班级:__________考号:__________i.、选择题(本大题共12小题,每小题4分,共48分。
在每小题给出的四个选项中,只有一个选项是符合题目要求的)1.设U 为全集,集合A .B 、C 满足条件A ∪B=A ∪C,那么下列各式中一定成立的是( )A .A∩B=A∩CB .B=C C.A∩(B)=A∩(C)D .(A)∩B=(A)∩C【答案解析】D解析:举例:设U={1,2,3,4,5},A={1,2,4},B={2,3},C={3},可验证选D 项.2. f (x )=i ⎩⎨⎧≥<+4,24),1(x x x f x,则()2log 3f = ( )A .-23B .11C .19D . 24【答案解析】D ;解析:24)3log 3()3(log 23log 3222==+=+f f3.终边与坐标轴重合的角α的集合是A .{}Z k k ∈∙=,3600αα B .{}Z k k ∈∙=,1800αα C 、{}Z k k ∈∙=,900ααD .{}Z k k ∈+∙=,901800αα 【答案解析】C4.已知角α的终边上一点的坐标为22(sin,cos ),33ππ则角α的最小正值为 ( ) A .56π B .23π C .53π D .116π【答案解析】D5.在中,,,,为边上的高,为的中点,若,则的值为( )A .B .C .D .1ABC ∆2AB =3BC =60ABC ∠=︒AD BC O AD AO AB BC λμ=+λμ+233456【答案解析】A 6.函数()3sin(2)3f x x π=-的图象为C ,如下结论中错误..的是 A . 图象C 关于直线1112x π=对称 B. 图象C 关于点203π(,)对称 C. 函数()f x 在区间51212ππ(-,)内是增函数D. 由3sin 2y x =的图象向右平移3π个单位长度可以得到图象C 【答案解析】D解析:将3sin 2y x =向右平移3π得23sin(2)()3y x f x π=-≠,故D 错误. 7.已知221,1(),1x x f x x ax x ⎧+<=⎨+≥⎩,若[(0)]4f f a =,则实数a =( )A .12B .45C .2D .9【答案解析】C8.)已知函数,则函数的图象可能是【答案解析】B9.下列命题中正确的是 ( )A .当0=α时函数αx y =的图象是一条直线B .幂函数的图象都经过(0,0)和(1,1)点C .若幂函数αx y =是奇函数,则αx y =是定义域上的增函数 D .幂函数的图象不可能出现在第四象限 【答案解析】D10.若函数()(1)cos f x x x =,02x π≤<,则()f x 的最大值为A .1B .2C1D2()22xf x =-()y f x=【答案解析】【答案】:B【解析】:因为()(1)cos f x x x ==cos x x =2cos()3x π-当3x π=是,函数取得最大值为2. 故选B11.若1x 是方程lg 3x x +=的解,2x 是310=+x x 的解,则21x x +的值为()A .23B .32 C .3 D .31【答案解析】D 作出12lg ,y x y x ==的图象,发现它们没有交点12.定义在(-∞,+∞)上的奇函数f (x )和偶函数g (x )在区间(-∞,0]上的图像关于x 轴对称,且f (x )为增函数,则下列各选项中能使不等式f (b )-f (-a )>g (a )-g (-b )成立的是 A .a >b >0 B .a <b <0C .ab >0D .ab <0【答案解析】A ii.、填空题(本大题共4小题,每小题3分,共12分)13.已知向量,,a b c满足0a b c ++= ,且a b 与的夹角为135°,b c 与的夹角为120°,2c = ,则b = _____________;【答案解析】114.135tan )30cos(300sin +-+= .【答案解析】1- 15.已知1249a =(a>0) ,则23log a =. 【答案解析】3 解析:23323222()[()]3a =32()3a ⇒=322332log log ()33a ⇒==16.把函数)32sin(π+=x y 先向右平移2π个单位,然后向下平移2个单位后所得的函数解析式为_________________________. 【答案解析】填2)322sin(--=πx y .)32sin(π+=x y 向右平移2π个单位,得sin[2()]23y x ππ=-+,即2sin(2)3y x π=-,再向下平移2个单位,得2sin(2)23y x π=--.iii. 、解答题(本大题共5小题,共40分)17.若=,=,其中>0,记函数f (x )=(+)·+k .(1)若f (x )图象中相邻两条对称轴间的距离不小于,求的取值范围. (2)若f (x )的最小正周期为,且当x 时,f (x )的最大值是,求f (x )的)sin ,cos 3(x x ωω)0,(sin x ωω2πωπ⎥⎦⎤⎢⎣⎡-∈6,6ππ21解析式,【答案解析】解∵==∴+=故f (x )=(+)·+k== …………………………4分(1)由题意可知, ∴又>0,∴0<≤1 ……………………6分(2)∵T =,∴=1∴f (x )=sin (2x -)+k +∵x ∈ ………………8分从而当2x -=即x=时f max (x )=f ()=sin +k +=k +1=∴k =-故f (x )=sin (2x -)…………………12分18.已知α为锐角,且4sin 5α=.(Ⅰ)求22sin sin 2cos cos 2αααα++的值;(Ⅱ)求5tan()4πα-的值. 【答案解析】解:(Ⅰ) 22sin sin 220cos cos 2αααα+=+; (Ⅱ) 51tan()47πα-=。
某某省某某市第七中学2014-2015学年高一数学6月第1周周练试题 练习:1. 已知点M (a ,b )与N 关于x 轴对称,点P 与点N 关于y 轴对称,点Q 与点P 关于直线x +y =0 对称,则点Q 的坐标为 ( )A.(a ,b )B.(b ,a )C.(-a ,-b ) D .(-b ,-a )2. 已知直线l 1:x +my +5=0和直线l 2:x +ny +p =0,则l 1、l 2关于y 轴对称的充要条件是( ) A.m 5=n p B.p =-5 C.m =-n 且p =-5 D .m1=-n 1且p =-5 3. 直线032=+-y x 关于定点(1,2)M -对称的直线方程是( )A .012=+-y xB .052=+-y xC .012=--y x D.052=--y x4. 与直线x +2y -1=0关于点(1,-1)对称的直线方程为 ( )A. 2x -y -5=0B. x +2y -3=0C. x +2y +3=0 D . 2x -y -1=05. 已知圆C 与圆(x -1)2+y 2=1关于直线y =-x 对称,则圆C 的方程为 ( )A.(x +1)2+y 2=1B. x 2+y 2=1C. x 2+(y +1)2=1 D . x 2+(y -1)2=16.点A (4,5)关于直线l 的对称点为B (-2,7),则l 的方程为____________.7.设直线x +4y -5=0的倾斜角为θ,则它关于直线y -3=0对称的直线的倾斜角是____________. 8. 两直线y =33x 和x =1关于直线l 对称,直线l 的方程是____________. 9. 直线2x -y -4=0上有一点P ,它与两定点A (4,-1)、B (3,4)的距离之差最大,则P 点的坐标是____________.10. 求直线340x y --=关于点(2,1)P -对称的直线l 的方程。
高一数学上学期15周周练1)A、3πB、C、6πD、9π2)A、2倍B、4倍C、D、1)3、下列命题中:①空间四点共面,则其中必有三点共线;②空间四点不共面,则其中任何三点不共线;③空间四点中有三点共线,则此四点共面;④空间四点任何三点有共线,则此四点不共面。
其中正确的是()A、②③B、①②③C、①②D、②③④4、下列命题中正确的个数是()①若直线l上有无数个点不在平面α内,则l//α②若直线l平行于平面α,则l与平面α内的任意一直线平行③两条平行线中的一条直线与一个平面平行,那么另一条也与这个平面平行④若一直线l和平面α内一直线a平行,则l//αA、0个B、1个C、2个D、3个-的棱BC、CD、DA的中点,则此四面体中,与过E、F、G的截5、E、F、G分别是四面体A BCD面平行的棱的条数是()A、0条B、1条C、2条D、3条⊄,则下列结论成立的是()6、若直线m不平行于平面α,且mαA、α内的所有直线与m异面B、α内不存在与m平行的直线C、α内存在唯一的直线与m平行D、α内的直线与m都相交7、α、β是两个不重合的平面,在下列重要条件中,可判定的是()A、α、β都平行于直线B、α内有三个不共线的点到β的距离相等C、l、m是α内的两条直线,且l//β,m//βD、l、m是两条异面直线,且l//α,m//α,l//β,m//β8、平面α⋂平面β=a,平面β⋂平面γ=b,平面γ⋂平面α=c,若a//b,则c与a、b的位置关系是()A、c与a、b都异面B、c与a、b都相交C、c至少与a、b中的一条相交D、c与a、b都平行9、若直线a //平面α,b //平面β,且,a b βα⊂⊂,则a 、b 位置关系( )A 、a //bB 、a 、b 异面C 、a 、b 一定不相交D 、无法确定10、三个不重合的平面可将空间分成n 部分,则n 的所有可能值为( )A 、4、6、7B 、4、7、8C 、4、6、7、8D 、4、5、6、811、若空间四边形ABCD 两条对角线AC 、BD 的长分别是8,12,过AB 的中点E 且平行于BD 、AC 的截面四边形的周长为12、如图,正方体1111ABCD A B C D -中,O 为底面ABCD 的中心,试在图中画出平面11B C O 与平面ABCD 的交线,并作适当说明13、正方体1111ABCD A B C D -中,过11,,B C D 三点的平面与底面ABCD 的交线为14、空间四边形ABCD 中,各边及对角线长为2,E 为AB 的中点,过CE 且平行于AD 的平面交BD 于F ,则CEF 的周长为 , 面积为15、已知//αβ,a β⊄,//a α,求证://a β16、如图,三棱柱111ABC A B C -中,F 是11A C 中点,求证:1//BC F 1平面AB。
一、选择题.1.已知集合{}1,0,1A =-,{}2,0,2B =-,则集合A B =()A .0B .∅C .{}0D .{}12.设集合{}1,2M =,则满足条件{}1,2,3,4M N =的集合N 的个数是()A .1B .3C .2D .43.已知集合{P x y =,集合{Q y y ==,则P 与Q 的关系是()A .P Q =B .P Q ⊆C .P Q ⊇D .PQ =∅4.下列各图中,可表示函数()y f x =的图象只可能是()5.数()f x ,()g x 由下列表格给出,则()3f g =⎡⎤⎣⎦()A .4B .3C .2D .16.设全集{|}010,U x x x =<<∈Z ,A ,B 是U 的两个真子集,()(){}1,9UUA B =,{}2A B =,(){}4,6,8U A B =,则()A .5A ∈,且5B ∉ B .5A ∉,且5B ∉C .5A ∈,且5B ∈D .5A ∉,且5B ∈7.函数223y x x =-+,12x -≤≤的值域是() A .RB .[]3,6C .[]2,6D .[)2,+∞8.图中的图象所表示的函数的解析式为()A .()31022y x x =-≤≤ B .()3310222y x x =--≤≤C .()31022y x x =--≤≤ D .()1102y x x =--≤≤二、填空题.9.设集合{}1,2M =,则满足条件{}1,2,3,4MN =的集合N 的个数是 个.10.函数2y x =+________.11.若函数()f x 的定义域为[]1,2-则函数()32f x -的定义域为________.12.设P 和Q 是两个集合,定义集合{},P Q x x P x Q -=∈∉且,若1,2{},3,4P =,2,Q x ⎧⎫⎪⎪=<∈⎨⎬⎪⎪⎩⎭R ,则P Q -=________.三、解答题.13.已知集合{}28|A x x =≤≤,{}16|B x x =<<,{}|C x x a =>,U =R . (1)求A B ,()U A B ;(2)若AC ≠∅,求a 的取值范围.14.若二次函数2()(,,)(1)0f x ax bx c a b c f =++∈-=R 满足,(1)1f =,且对任意实数x 都有()0f x x -≥,求()f x 的解析式.一、选择题. 1.【答案】C【解析】因为集合{}1,0,1A =-,{}2,0,2B =-,所以{}0A B =,故选C .2.【答案】D【解析】∵{}1,2M =,{}1,2,3,4MN =,∴{}{}{}{}3,41,3,42,3,41,2,3,4N =或或或,即集合N 有4个,故选D . 3.【答案】C【解析】{}[)11,P x y x ==+=-+∞,{}[)10,Q y y x ==-=+∞,所以P Q ⊇,故选C . 4.【答案】A【答案】根据函数的概念知,只有“一对一”或“多对一”对应才能构成函数关系,故选A . 5.【答案】A【解析】由表可知()23g =,()()243f g f ==⎡⎤⎣⎦,故选A . 6.【答案】A【解析】可借助Venn 图(如下图)解决,数形结合,故选A .7.【答案】C【解析】画出函数223y x x =-+,12x -≤≤的图象,观察函数的图象可得图象上所有点的纵坐标的取值范围是[]2,6,所以值域是[]2,6,故选C .答案与解析8.【答案】B【解析】01x ≤≤,32y x =,12x ≤≤,332y x =-,故选B . 二、填空题. 9.【答案】4【解析】∵{}1,2M =,{}1,2,3,4MN =,∴{}{}{}{}3,41,3,42,3,41,2,3,4N =或或或,即集合N 有4个. 10.【答案】(],4-∞【解析】令t =()210x t t =-≥,()222224214y x t t t =+=-+=--+.又∵0t ≥,∴当1t =时,max 4y =,故原函数的值域是(],4-∞. 11.【答案】1,22⎡⎤⎢⎥⎣⎦【解析】由1322x -≤-≤,解得122x ≤≤,故定义域为1,22⎡⎤⎢⎥⎣⎦. 12.【答案】{}4【解析】因为x Q ∉,所以x Q ∈R,又1722Q xx ⎧⎫=≤<⎨⎬⎩⎭,故1722Q x x x ⎧⎫=<≥⎨⎬⎩⎭R 或,故{}4P Q -=.三、解答题. 13.【答案】(1){}|18A B x x =<≤,(){}12U A B x x =<<;(2)8a <. 【解析】(1){}{}{}||281618|AB x x x x x x =≤≤<<=<≤,{}28UA x x x =<>或,∴(){}12U AB x x =<<.(2)∵A C ≠∅,∴8a <.14.【答案】2(1)()4x f x +=.【解析】由(1)1(1)0f a b c f a b c =++=⎧⎨-=-+=⎩,得12b =,12a c +=.①x ∈R 对,21()02f x x ax x c -=-+≥,00a Δ>⎧∴⎨≤⎩,0116a ac >⎧⎪∴⎨≥⎪⎩.②由①②可得11()216a a -≥,2110216a a ++≤即, 21()04a -≤可得,14a ∴=,14c ∴=,22111(1)()4244x f x x x +∴=++=.。
卜人入州八九几市潮王学校二零二零—二零二壹高一数学上学期第1周周练试题 不.能构成集合的是〔〕 A .北大培文高一立志班的全体男生B .北大培文全校学生家长的全体C .王阳明的所有作品D .王阳明的所有先进思想14.给出以下4个关系:①∈R ,②∈Q ,③0∉N ,④|-2|∉〕A .1B .2C .3D .4A ={0,m ,m 2-3m +2},且2∈A ,那么实数m 为〔〕A .0B .2C .3D .0或者316.用列举法表示大于2且小于5的自然数组成的集合应为〔〕A .{3,4}B .A ={2,3,4,5}C .{2<x <5}D .{x |2<x <5,x ∈N}17.①0∈{0};②∅{0};③{0,1}⊆{(0,1)};④{(a ,b )}={(b ,a )}.上面关系中正确的个数〔〕A .1B .2C .3D .418.集合A ={a,b,c },A 的子集和真子集的个数分别为〔〕A .2,1B .4,3C .6,5D .8,719.能正确表示集合M ={x ∈R |0≤x <1}和集合N ={x ∈R |x 2-x =0}关系的Venn 图是〔〕 20.集合A ={4,5,6,8},B ={3,5,7,8},那么集合A ∩B=〔〕A .{4,5,6,8}B .{3,5,7,8}C .{3,4,5,6,7,8}D .{5,8}21.集合A ={x |(x -1)(x +2)=0},B ={x |(x +2)(x -3)=0},那么A ∪B=〔〕A .{}1,2,3-B .{}1,2,3--C .{}1,2,3-D .{}1,2,3--22.假设全集M ={1,2,3,4,5},N ={2,4},那么C M N =〔〕A .∅B .{1,3,5}C .{2,4}D .{1,2,3,4,5}23.全集U ={0,1,2,3,4},集合A ={1,2,3},B ={2,4},那么(C U A )∪B =〔〕A .{1,2,4}B .{2,3,4}C .{0,2,4}D .{0,2,3,4}24.设全集U =M ∪N ={1,2,3,4,5},M ∩∁U N ={2,4},那么N =〔〕A .{1,2,3}B .{1,3,5}C .{1,4,5}D .{2,3,4}{}{}|1,|A x x B x x a ==≤≥,且A B R =,那么实数a 的取值范围为〔〕A .{}|1a a ≤B .{}|1a a <C .{}|1a a ≥D .{}|1a a >数学〔13题〕:13-25DACAB DADCB CBA。
(新课标)最新苏教版高中数学必修一第一学期高一数学周练习5一、填空题:本大题共14小题,每小题5分,共70分. 不需要写出解答过程,请把答案直接填写在答题卡的相应位置上.......... 1.如图,已知集合A ={2,3,4,5,6,8},B ={1,3,4,5,7},C ={2,4,5,7,8,9},用列 举法写出图中阴影部分表示的集合为___▲__.2.在映射f :A →B 中,A =B ={(x ,y)|x ,y ∈R},且f :(x ,y)→(x +y ,x -y),则与A 中的元素(1,2)对应的B 中的元素为 ▲3.设函数2231()61x x f x x x x ⎧--⎪=⎨+->⎪⎩,,,,≤则()(2)f f = ▲ .4.()f x 是奇函数,当0x >时,3()1f x x x =++,则(1)f -=▲5.若函数2()2(1)2f x x a x =+-+在[4,)+∞上是增函数,则实数a 的取值范围是▲ . 6.函数11y x =-+的单调增区间是▲. 7.已知()536,f x x ax bx =-+-()210f -=,则()2f = ▲ . 8.关于x 的方程21x a -=有三个不等的实数解,则实数a 的值是▲. 9.若函数21()1x a f x x +-=+为奇函数,则实数a 的值为▲ .10.已知函数()f x 是定义在(,0)(0,)-∞+∞U 上的奇函数,在(0,)+∞上单调递减,且0)2()1(>->f f ,则方程()0f x =的根的个数为 ▲ .11.已知)(x f 是定义在R 上的偶函数.当0>x 时,x x x f 4)(2-=,则不等式x x f >)(的解集用区间表示为 ▲ .12.已知函数f(x)=⎩⎨⎧ax 2-2x -1,x ≥0,x 2+bx +c ,x<0是偶函数,直线y =t 与函数y =f(x)的图像自左向右依次交于四个不同点A ,B ,C ,D.若AB =BC ,则实数t 的值为___▲___.13.设集合A ={}x|x 2+2x -3>0,集合B ={}x|x 2-2ax -1≤0,a >0.若A ∩B 中恰含有一个整数,则实数a 的取值范围是_____▲___.14.已知函数⎪⎩⎪⎨⎧≤---=)1()1(,5)(2x >xa x ax x x f 是R 上的增函数,则a 的取值范围是▲.二、解答题:本大题共6小题,共90分.请在答题卡指定区域....内作答,解答时应写出必要的文字说明、证明过程或演算步骤.15.(本题满分14分)已知集合{}||3A x x =≤,{}121B x m x m m =-<<+∈≠∅R ,.(1)若m = 3,求B A C R ⋂)(; (2)若A B A =U ,求实数m 的取值范围.16.(本题满分14分) (1)00.539()()54--+;(2)已知11222,x x -+=求442231x x x x --+-+-的值.17.(本题满分15分)(1)求函数23y x =-+的值域(2)已知奇函数()y f x =是定义在(3,3)-上的减函数,且满足不等式2(3)(3)0f x f x -+-<,求实数x 的取值范围。
高一数学周练一、单选题(共40分)1.若集合{4},{31}M x N x x =<=≥∣,则M N ⋂=( ) A .{}02x x ≤< B .123x x ⎧⎫≤<⎨⎬⎩⎭C .{}316x x ≤<D .1163x x ⎧⎫≤<⎨⎬⎩⎭2.函数 y = ) A .3,2⎛⎫-∞- ⎪⎝⎭B .3,2⎡⎫-+∞⎪⎢⎣⎭C .[)0,+∞D .(],3∞--][)0,+∞.3.“角α,β的终边关于y x =轴对称”是“22sin sin 1αβ+=”的( ) A .充分不必要条件 B .必要不充分条件 C .充分必要条件 D .既不充分也不必要条件【答案】A【分析】根据三角函数的性质的即可判断求解.【详解】若角α,β的终边关于y x =轴对称,则sin α=cos β,则2222sin sin cos sin =1αβββ+=+;若22sin sin 1αβ+=,则22sin =cos αβ,则sin α=±cos β,则角α,β的终边关于y x =或y =-x 轴对称;综上,“角α,β的终边关于y x =轴对称”是“22sin sin 1αβ+=”的充分不必要条件. 故选:A.4.已知方程ln 112x x =-的实数解为0x ,且()0,1x k k ∈+,*k ∈N ,则k =( ) A .1 B .2 C .3 D .4【答案】D【解析】先转化为两个简单函数判断交点所在区间的大致范围,再由零点判定定理确定即可.【详解】解:112lnx x =-,令()g x lnx =,()112h x x =-在同一坐标系画出图象可得 由图可知01x >,令()211f x lnx x =+-,()()129(27)0f f ln =-->,()()23(27)(35)0f f ln ln =-->, ()()34(35)(43)0f f ln ln =-->, ()()45(43)(51)0f f ln ln =--<,()04,5x ∴∈4k ∴=,故选:D .【点睛】本题主要考查函数零点所在区间的求法,图象法和零点判定定理.将函数的零点问题转化为两个函数交点的问题是常用的手段,属于基础题.5.如图是下列四个函数中的某个函数在区间[3,3]-的大致图像,则该函数是( )A .3231x xy x -+=+B .321x xy x -=+C .22cos 1x xy x =+ D .22sin 1xy x =+6.将函数()sin (0)3f x x ωω⎛⎫=+> ⎪⎝⎭的图像向左平移π2个单位长度后得到曲线C ,若C关于y 轴对称,则ω的最小值是( ) A .16B .14C .13D .127.记函数()sin (0)4f x x b ωω⎛⎫=++> ⎪⎝⎭的最小正周期为T .若23T ππ<<,且()y f x =的图象关于点3,22π⎛⎫ ⎪⎝⎭中心对称,则2f π⎛⎫= ⎪⎝⎭( )A .1B .32C .52 D .38.已知函数()131,0ln ,0x x f x x x +⎧-⎪=⎨>⎪⎩若函数()()g x f x a =-有3个零点,则a 的取值范围是( ) A .()0,1 B .(]0,2C .()2,+∞D .()1,+∞【答案】A【分析】要使函数()()g x f x a =-有三个零点,则()f x a =有三个不相等的实根,即()f x 与y a =的图象有三个交点,结合函数的性质及图象即可得出.【详解】要使函数()()g x f x a =-有三个零点,则()f x a =有三个不相等的实根,即()f x 与y a =的图象有三个交点, 当1x ≤-时,113x f x在(],1-∞-上单调递减,()0,1f x ; 当10-<≤x 时,()131x f x +=-在(]1,0-上单调递增,()0,2f x ;当0x >时,()ln f x x =在()0,∞+上单调递增,()f x ∈R ; 由()f x 与y a =的图象有三个交点,结合函数图象可得()0,1a ∈, 故选:A.二、多选题(共20分)9.已知函数f (x )=2sin (2x ﹣6π),则如下结论:其中正确的是( ) A .函数f (x )的最小正周期为π; B .函数f (x )在[6π,512π]上的值域为[1; C .函数f (x )在7(,)312ππ上是减函数;D .函数y =f (x )的图象向左平移6π个单位得到函数y =2sin2x 的图象,10.下列结论正确的是( )A .若α,β的终边相同,则αβ-的终边在x 的非负半轴上B .函数()log 1a f x x =+(0a >且1a ≠)恒过定点(),2aC .函数()22x f x x =-只有两个零点D .己知一扇形的圆心角60α=︒,且其所在圆的半径3R =,则扇形的弧长为π11.如图,摩天轮的半径为40m ,其中心O 点距离地面的高度为50m ,摩天轮按逆时针方向匀速转动,且20min 转一圈,若摩天轮上点P 的起始位置在最高点处,则摩天轮转动过程中( )A .转动10min 后点P 距离地面10mB .若摩天轮转速减半,则转动一圈所需的时间变为原来的12C .第17min 和第43min 点P 距离地面的高度相同D .摩天轮转动一圈,点P 距离地面的高度不低于70m 的时间为5min 【详解】解:摩天轮2010t t ππ=,(02)ϕπ是以轴正半轴为始边,轴正半轴为始边,为终边的角为P 的纵坐标为又由题知,P 点起始位置在最高点处,2π5070,1102t,020t , 0210t ππ,103t ππ或52310tπππ,解得1003t 或50203t , 20min 3,故D 错误. 故选:AC .12.给出下面四个结论,其中正确的是( ) A .函数()()ln sin f x x =的定义域是()0,π. B .()sin sin 122x xf x =+的值域为52,2⎡⎤⎢⎥⎣⎦.C .函数()sin 2f x x x =-+在区间()2,4上有唯一一个零点.D .角πα6=是1cos 22α=-的必要不充分条件.三、填空题(共20分)13.已知sin π3a ⎛⎫- ⎪⎝⎭=13,则cos 5π()6a -=________.【详解】sin 14.定义在R 上的偶函数()f x ,当],(0x ∈-∞时,()f x 单调递减,则()()231f x f x +<-的解集为______.15.已知α为第二象限角,cos 2sin()24απα⎛⎫--+= ⎪⎝⎭,则cos α=___________.16.函数sin(2)4y x π=+的图像与直线y =a 在(0,98π)上有三个交点,其横坐标分别为1x ,2x ,3x ,则123x x x ++的取值范围为_______.8442⎝⎭πππ利用对称性求出答案四、解答题(共70分)17.已知全集U =R ,集合{}2|2150A x x x =--<,集合()(){}2|210B x x a x a =-+-<. (1)若1a =,求UA 和B ;(2)若A B A ⋃=,求实数a 的取值范围. )UA ={x ∴x {|3U A x x ∴=-或5}x ,若1a =,则集合{|(2B x x =-(2)因为A B A ⋃=,所以当B =∅时,221a a =-,解当B ≠∅时,即1a ≠时,)可知集合{|A x =-22135a a --,解得15a,且综上所求,实数a 的取值范围为:15a-.【点睛】本题主要考查了集合的基本运算,考查了一元二次不等式的解法,是基础题.18.已知函数()()()sin 20f x x ϕϕ=+<<π的图象关于点,012⎛⎫- ⎪⎝⎭对称.(1)求ϕ的值;(2)将函数()y f x =的图象向右平移6π个单位,然后将所得的图象上各点的横坐标缩小到原来的12倍(纵坐标不变),得到函数()y g x =的图象.当0,4x π⎡⎤∈⎢⎥⎣⎦时,求函数()g x 的值域.19.已知函数2()2sin 1f x x x θ=+-,1[]2x ∈. (1)当6πθ=时,求()f x 的最大值和最小值;(2)若()f x 在1[]2x ∈上是单调函数,且[0,2)θπ∈,求θ的取值范围.443366【详解】试题分析:(1)当时,在上单调递减,在上单调递增当时,函数有最小值当时,函数有最小值(2)要使在31[,]22x ∈-上是单调函数,则或即或,又解得:20.已知函数()sin()0,||2f x x ωϕωϕ⎛⎫=+>< ⎪⎝⎭的部分图象如图所示.(1)写出函数f (x )的最小正周期T 及ω、φ的值;(2)求函数f (x )在区间,44ππ⎡⎤-⎢⎥⎣⎦上的最大值与最小值.,44ππ⎡⎤-⎢⎥⎣⎦当23x π+=21.已知二次函数2()21(0)g x mx mx n m =-++>在区间[0,3]上有最大值4,最小值0. (1)求函数()g x 的解析式; (2)设()2()g x x f x x-=.若()220x xf k -⋅在[3,3]x ∈-时恒成立,求k 的取值范围.22.已知函数()21log 1x f x x -=+. (1)若()1f a =,求a 的值;(2)判断函数()f x 的奇偶性,并证明你的结论;(3)若()f x m ≥对于[)3,x ∈+∞恒成立,求实数m 的范围. 【答案】(1)3- (2)奇函数,证明见解析f a=,)()1-3为奇函数,证明如下:,解得:x。
侧视图 图2
图3 高一数学周周练(一)
命题人:赵钦伟 审核人:杨智武 李继国
1.下面四个命题:
①若直线α,β异面,β,χ异面,则α,χ异面;②若直线α,β相交,β,χ相交,则α,χ相交;③若α∥β,则α,β与χ所成的角相等;④若α⊥β,β⊥χ,则α∥χ.其中真命题的个数为( )
A .4
B .3 X .2 ∆.1
2.正方体ABX∆-A 1B 1X 1∆1中,异面直线AB ,A 1∆1所成的角等于( )
A .30︒
B .45︒ X .60︒ ∆.90︒
3、若圆台两底面周长的比是164,过高的中点作平行于底面的平面,则圆台被分成两部分的体积比是( )
A.1616
B.3627 X.136129 ∆.396129
A ..4
X ..2
5.一个与球心距离为1的平面截球所得的圆面积为,则球的表面积为( )
A. B. X. ∆.
6.如图所示,点∏在正方形ABX∆所在平面外,∏A⊥平面ABX∆,∏A=
AB,则∏B与AX所成的角是()
A.90︒ B.60︒
X.45︒ ∆.30︒
7.半径为P的半圆卷成一个圆锥,则它的体积为 。
8.如果一个正三棱锥的底面边长为6,侧棱长为,那么这个三棱锥的体积是⎽⎽⎽⎽⎽⎽⎽⎽⎽⎽⎽⎽⎽⎽.
9.(10分)如下图所示,在直三棱柱ABX-A1B1X1中,AX=3,BX=4,
AB=5,AA1=4,点∆是AB的中点.
(1)求证:AX1∥平面X∆B1;
(2)求异面直线AX1与B1X所成角的余弦值.。