数项级数敛散性习题课
- 格式:ppt
- 大小:495.50 KB
- 文档页数:26
无穷级数习题课1.判别级数的敛散性:(1)(2)(3)(4)(5)()211ln1nn n¥=+å()41tan1nn p¥=+å363663666-+-++×××+-++×××++×××21sinlnnnnp¥=æö+ç÷èøå()211lnnnn n¥=--å解:(1)为正项级数,当时, ,根据比较审敛准则,与有相同敛散性,根据积分审敛准则,与反常积分有相同敛散性, 而发散,故发散.()211ln 1n n n ¥=+ån ®¥()2111~2ln ln 1n u n n n n =+()211ln 1n n n ¥=+å21ln n n n ¥=å21ln n n n¥=å21ln dx x x +¥ò21ln dx x x +¥ò()211ln 1n n n ¥=+å(2)为正项级数,当时,,而收敛,根据比较审敛准则,收敛.()41tan 1n n p¥=+ån ®¥()422421tan1tan~21n u n n n n npp p =+-=++211n n ¥=å()41tan1n n p¥=+å(3)为正项级数, 令,其中,易证单调递增且,故收敛;令,由,两边取极限得,,(舍去);,,根据达朗贝尔比值审敛法,该级数收敛.363663666-+-++×××+-++×××++×××3n n u a =-666n a =++×××+{}n a 3n a <{}n a lim n n a a ®¥=16n n a a -=+6a a =+Þ260a a --=3a =2a =-111113311333n n n n n n n a a u u a a a +++++-+=×=-++1111lim lim 136n n n nn u u a +®¥®¥+==<+(4)看成交错级数,单调递减趋于0,根据Leibniz 定理,该级数收敛; 其绝对值级数发散(这是因为当时,,而且),故级数条件收敛. ()2211sin 1sin ln ln n n n n n n p ¥¥==æö+=-ç÷èøåå1sin ln n ìüíýîþ21sin ln n n ¥=ån ®¥11sin ~ln ln n n 1lim ln n n n®¥×=+¥(5)为交错级数,其绝对值级数为,当时,, 所以,该级数绝对收敛.()211ln nn n n¥=--å211ln n n n ¥=-ån ®¥2211~ln n n n-2. 设,且,证明级数条件收敛. ()01,2,n u n ¹= lim 1n nn u ®¥=()111111n n n n u u ¥-=+æö-+ç÷èøå证明:设级数的部分和为,则 ,因为,所以,于是 ,即级数收敛;其绝对值级数为,因为, 所以级数发散,故原级数条件收敛.()111111n n n n u u ¥-=+æö-+ç÷èøån s ()()211223111111111111n n n n n n n s u u u u u u u u ---+æöæöæöæö=+-+++-++-+ç÷ç÷ç÷ç÷èøèøèøèø()111111n n u u -+=+-lim1n nn u ®¥=()()1111111lim 1lim 101n n n n n n n u u n --®¥®¥+++-=-×=+()1111111lim lim 1n n n n n s u u u -®¥®¥+éù=+-=êúëû()111111n n n n u u ¥-=+æö-+ç÷èøå1111n n n u u ¥=++å11111lim lim 21n n n n n n n n nn u u u u n ®¥®¥+++×+=+×=+1111n n n u u ¥=++å3. 填空(1) _____(2) 设幂级数在处收敛, 则级数__收敛__.(收敛还是发散)(3) 设幂级数在处条件收敛,则幂级数在处( 绝对收敛 ),在处( 发散 ); (4)设,, ,则________;________.11(1)2n n n -¥=-=å130(1)nn n a x ¥=-å12x =-0(1)n n n a ¥=-å1()nn x a n ¥=-å2x =-1()2nn n x a ¥=+åln 2x =-x p =11,02()1,12x f x x x ì£<ïï=íï ££ïî1()sin nn s x bn xp ¥==å102()sin n b f x n xdx p =ò3()2s =34-5()2s =344. 求幂级数的收敛域2112sin 22nn x n x ¥=+æöæöç÷ç÷-èøèøå 解:令,原级数变为变量t的幂级数.因为,所以收敛半径.又时级数发散,时级数收敛, 故收敛域为;再由,解得, 原函数项级数的收敛域为.122xt x +=-21sin 2n n t n ¥=æöç÷èøå ()11sin21limlim 11sin2n n n nn a a n+®¥®¥+==1R =1t=21sin 2n n ¥=å1t=-()211sin 2nn n ¥=-å21sin 2n n t n ¥=æöç÷èøå [)1,1-12112x x +-££-133x -£<2112sin 22nn x n x ¥=+æöæöç÷ç÷-èøèøå 13,3éö-÷êëø5.求下列级数的和函数(1) (2)221212n n n n x ¥-=-å()()()201123!nn n n x n ¥=-++å解:(1).令,,所以收敛半径. 当时,级数发散,所以幂级数的收敛域为.设级数的和函数为,对幂级数逐项积分得,, 对上式两边求导得, .221212n n n n x ¥-=-å212n n n a -=11lim 2n n n a a +®¥=1212R ==2x =±()2,2D =-()s x ()212200112122n xx n n n n n n x s x dx x dx -¥¥-==-==ååòò222212xx x x ==--()2,2x Î-()()2222222x x s x x x ¢+æö==ç÷-èø-()2,2x Î-(2). 易求该幂级数的收敛域为;设级数的和函数为,,, 两边取积分,逐项求积分得, ()()()201123!nnn n x n ¥=-++å(),-¥+¥()s x ()()()()201123!nn n n s x xn ¥=-+=+å()()()()2101123!nn n n xs x x n ¥+=-+=+å()()()()()()21220000111123!223!nnxx n n n n n xs x dx x dx x n n ¥¥++==-+-==++ååòò当时,,求导得 , 当时,由所给级数知.因此. 0x ¹()()()()230111sin 223!2nxn n xs x dx x x x x n x¥+=-==-+åò()2sin 1sin cos 22x x x x xxs x x x ¢--æö==ç÷èø()3sin cos 2x x x s x x -=0x =()106s =()3sin cos ,021,06x x xx xs x x -ì¹ïï=íï=ïî6.求级数的和.()22112n n n ¥=-å解:考虑幂级数,收敛区间,设和函数为, 则当且时,,. ()2211nn x n ¥=-å()1,1-()s x 11x -<<0x ¹()()222211121211nnnn n n x x s x x n n n ¥¥¥=====--+-ååå112212121n n n n x x x n x n -+¥¥===--+åå11220121212n n n n x x x x x n x n -+¥¥==æö=---ç÷-+èøåå()11ln 12224x x x x æö=--++ç÷èø()2211311153ln ln 2242288412nn s n ¥=æö==++=-ç÷-èøå()()211ln 1ln 1222x x x x x x éù=-------êúëû7.设,试将展开成的幂级数.()111ln arctan 412x f x x x x +=+--()f x x 解:,取0到x 的定积分,幂级数逐项求积分, .()241111111114141211f x x x x x¢=++-=-+-+-44011n n n n x x ¥¥===-=åå()11x -<<()()()4410111041xx nn n n f x f f x dx x dx x n ¥¥+==¢=+==+ååòò1x <8.设在上收敛,试证:当时,级数必定收敛. ()0nn n f x a x ¥==å[]0,1010a a ==11n f n ¥=æöç÷èøå证明: 由已知在上收敛,所以,从而有界. 即存在,使得 ,所以,;级数收敛,根据比较审敛准则,级数绝对收敛.()0n n n f x a x ¥==å[]0,1lim 0n n a ®¥={}n a 0M>n a M£()1,2,n = 0123232323111111f a a a a a a n n n n n n æö=++++=++ç÷èø()2231111111n M M M n n n n næö£++==ç÷-èø- ()2n ³()211n n n ¥=-å11n f n ¥=æöç÷èøå9.已知为周期是的周期函数,(1)展开为傅立叶级数; (2)证明;(3)求积分的值.[)2(),0,2f x x x p =Î2p ()f x ()1221112n n np -¥=-=å()10ln 1x dx x +ò解:(1)在处间断,其它点处都连续.所以由Dirichlet 收敛定理,时,级数收敛于,所以当时,有,亦即:.()f x ()20,1,2,x k k p ==±± ()()22220011183a f x dx f x dx x dx pppp pp pp-====òòò222022014cos ,14sin ,1,2,n n a x nxdx n b x nxdx n npp p p p ====-=òò ()()221414cos sin 20,1,2,3n f x nx nx x k k nn p p p ¥=æö=+-¹=±±ç÷èøå ()22214114cos sin ,0,23n x nx nx x nn p p p ¥=æö=+-Îç÷èøå()20,1,2,x k k p ==±± ()()2002022f f p p ++-=()20,1,2,x k k p ==±± 222141423n np p ¥=+=å22116n n p ¥==å(2)是连续点,所以即:;x p =()f x 2221414cos ,3n n np p p ¥==+å()221112nn n p¥=-=-å()1221112n n n p-¥=-Þ=å(3)积分是正常积分,不是瑕点, 对,令,.()10ln 1x dx x +ò0x=()1,1t "Î-()()()()111112000111ln 1111n n n tt tn n nn n n x dx x dx x dx tx n nn---¥¥¥--===+---===åååòòò1t -®()10ln 1x dx x +ò()01ln 1lim t t x dx x -®+=ò()12111lim n n t n t n --¥®=-=å()12111lim n n t n t n --¥®=-=å()1221112n n np -¥=-==å10.证明下列展开式在上成立:(1);(2).并证明. []0,p ()221cos 26n nxx x n pp ¥=-=-å()()()31sin 21821n n xx x n p p¥=--=-å()()133113221n n n p -¥=-=-å证明:将函数展开为余弦级数和正弦级数.(1) 对作偶延拓,再作周期延拓,得到的周期函数处处连续,根据Dirichlet 定理,时,的余弦级数处处收敛于.,()()f x x x p =-[]0,x p Î()f x []0,x p Î()f x ()f x ()()0022a f x dx x x dx ppp p p==-òò23202233x x pp p p æö=-=ç÷èø, ,所以在上,.()()022cos cos n a f x nxdx x x nxdx ppp p p==-òò()()()()200022sin 2sin 2cos x x nx x nxdx x d nx n n pppp p p ppéù=---=-êúëûòò()2211nn éù=--+ëû()()202112cos 11cos 26n n n n a f x a nx nx n p ¥¥==éù=+=--+ëûåå221cos 26n nxnp ¥==-å[]0,x p Î[]0,p ()221cos 26n nxx x n p p ¥=-=-å(2)对作奇延拓,再作周期延拓,得到的周期函数处处连续,根据Dirichlet 定理,时,的正弦级数处处收敛于. , ()f x []0,x p Î()f x ()f x ()()0022sin sin n b f x nxdx x x nxdx p pp p p ==-òò()()()()200022cos 2cos 2sin x x nx x nxdx x d nx n n p p p p p p p p éù=----=-êúëûòò()3411n n p éù=--ëû, 所以在上,. 令,有. ()()3114sin 11sin n n n n f x b nx nx n p ¥¥==éù==--ëûåå()()31sin 21821n n x n p ¥=-=-å[]0,x p Î[]0,p ()()()31sin 21821n n xx x n p p ¥=--=-å2x p =()()23181sin 214221n n n p p p ¥==--åÞ()()133113221n n n p -¥=-=-å。
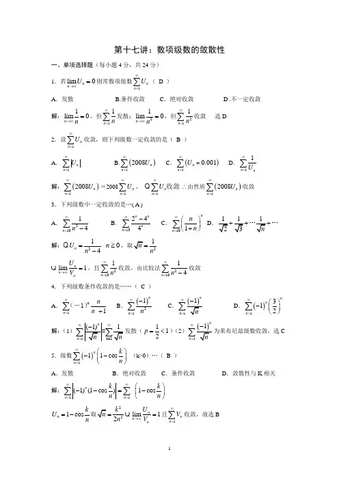
第十七讲:数项级数的敛散性一、单项选择题(每小题4分,共24分) 1.若lim 0n n U →∞=则常数项级数1nn U∞=∑( D )A .发散 B.条件收敛 C .绝对收敛 D .不一定收敛解:1lim 0n n →∞=,但11n n ∞=∑发散;21lim 0n n →∞=,但211n n∞=∑收敛 选D2.设1nn U∞=∑收敛,则下列级数一定收敛的是( B )A .1n n U ∞=∑ B.()12008n n U ∞=∑ C .()10.001n n U ∞=+∑ D .11n uU ∞=∑解:()12008nn U ∞=∑=20081nn U∞=∑, 1nn U ∞=∑收敛∴由性质()12008nn U ∞=∑收敛3.下列级数中一定收敛的是…( A )A .21014n n ∞=-∑ B .10244n n nn ∞=-∑ C .101nn n n ∞=⎛⎫⎪+⎝⎭∑ D… 解:214n U n =- 0n ≥21n = lim1n n nU V →∞=,且2101n n ∞=∑收敛,由比较法21014n n ∞=-∑收敛 4.下列级数条件收敛的是……( C )A .11n n n ∞=+∑n(-1) B .()211n n n ∞=-∑ C .11nn ∞=- D .()1312nn n ∞=⎛⎫- ⎪⎝⎭∑ 解:(1)1n ∞∞=n=1发散(112p =<)(2)11nn ∞=-为莱布尼兹级数收敛,选C5.级数()111cos nn k n ∞=⎛⎫-- ⎪⎝⎭∑ (k>0)…( B )A .发散B .绝对收敛C .条件收敛D .敛散性与K 相关解:11(1)(1cos )1cos nn n k k n n ∞∞-=⎛⎫--=- ⎪⎝⎭∑∑1cos n kUn =-222k n = lim1n n nU V →∞=且1n n V ∞=∑收敛,故选B6.设正项极数!1limn n n n nU U p U ∞+→∞==∑若则(D )A..当0<p<+∞时,级数收敛B.当p<1时级数收敛,p ≥1时级数发散C.当p ≤1时级数收敛,p>1时级数发散D.当p<1时级数收敛,p>1时级数发散 解:当P<1时级数收敛,当P>1时级数发散,当P =1时失效。
无穷级数部分练习题参考解答1、 判断级数()()31ln ln ln pqn n n n ∞=∑的敛散性.解:考察反常积分()()3ln ln ln p q dx x x x +∞⎰()ln3ln tx eq pdt t t =+∞=⎰当1p >时,取充分小的0ε>,使1p ε->,则有()1lim 0ln p q p t tt t ε-→+∞=,从而()ln3ln q p dt t t +∞⎰收敛. 当1p <时,取充分小的0δ>,使1p δ+<,则有()1lim ln p q p t tt t δ+→+∞=+∞,从而()ln3ln q p dt t t +∞⎰发散.当1p =时,()ln3ln ln3ln ut eq qdt dt u t t =+∞+∞=⎰⎰,知1q >时,()ln3ln q dt t t +∞⎰ 收敛,1q ≤时()ln3ln q dt t t +∞⎰发散.又显然函数()()()1ln ln ln pqf x x x x =在()3,+∞上非负递减,于是由积分判别法知:当1p >或1p =且1q >时级数收敛,其余情况级数发散. 2、讨论级数111(1)n p n n-∞+=-∑的敛散性,如果收敛,讨论是绝对收敛还是条件收敛.解:当0p ≤时,通项不趋于零,发散;当1p >时,111p p n n n+<,原级数绝对收敛;当01p <≤时,11(1)n p n n -∞=-∑收敛,11nn 单调有界,由Abel 判别法知原级数收敛. 又 11(1)lim11n p nn pnn -+→∞-=,知111(1)n p n nn-∞+=-∑发散. 故原级数条件收敛.3、已知1221(1)12n n n π-∞=-=∑,计算10ln(1)x dx +⎰. 解:函数ln(1)x +在0x =点的Taylor 级数为123(1)ln(1)23n n x x x x x n--+=-+-++ ,(1,1)x ∈- 112ln(1)(1)123n n x x x x x n --+-=-+-++ ,1232220ln(1)(1)23n n x t x x x dt x t n -+-=-+-++⎰ 10ln(1)x dx x +⎰1232222011ln(1)(1)lim lim 1223n n x x x t x x x dt x t n π-→→+-⎛⎫==-+-++= ⎪⎝⎭⎰ . 4、证明(1)方程10nx nx +-=(n 为正整数)存在唯一正实根n x ;(2)级数1n n x α∞=∑当1α>时收敛.证:(1)令()1nn f x x nx =+-,[]0,1x ∈ 则()01n f =-,()10n f n =>,∴()0n f x =在()0,1内有根n x .由()10n n f x nx n -'=+>知()1n n f x x nx =+-在()0,+∞ .∴ ()0n f x =即10nx nx +-=存在唯一正实根n x .(2)由10nnn x nx +-=, 110nn n x x n n -<=<,当1α>时,10n x nαα<<, 而11n n α∞=∑是1p α=>的p 级数,收敛. ∴ 级数1nn x α∞=∑收敛.5、用多种方法求级数1212nn n∞=-∑的和S.解法1: 2n n n S S S =-=121111212121112122212n n n n n n -----++++-=+-- ,∴ lim 3n n S S →∞==. 解法2: ()112121222n n n n n n n ∞∞==-=-∑∑,而111211212n ∞===-∑;对12n n n ∞=∑:1211(1)n n nx x ∞-==-∑. 21,1(1)nn x n x x x ∞==<-∑.12x =时,12n n n ∞=∑=2 . ∴ 1214132n n n ∞=-=-=∑.解法3:考虑级数()()2021nn n xs x ∞=+=∑,从0到x 逐项积分,得()2121xn n x s t dt x x ∞+===-∑⎰,1x <.再求导,得()()22211x s x x +=-,1x <.令()1,1x =- 得()201121262112n n n s ∞=++===-∑ ∴ 1212nn n ∞=-∑= 100211213222n n n n n n ∞∞+==++==∑∑.6、证明函数项级数1(1)cos n n n x∞=-+∑在,22ππ⎡⎤-⎢⎥⎣⎦上一致收敛.证法1:记1()(1),()c o s nn n a x b x n x =-=+.显然1()n n a x ∞=∑的部分和函数列在[,22ππ-]上一致有界,{}()n b x 关于n 单调递减趋于零,且[,]22lim sup()00n n x b x ππ→∞∈--=.即,22()0n b x ππ⎡⎤-⎢⎥⎣⎦−−−−→−−−−→.由Dirichlet 判别法知()()1n n n a x b x ∞=∑在[,22ππ-]上一致收敛.证法2:记(1)(),()cos n n n n a x b x n n x -==+.1()n n a x ∞=∑是收敛的数项级数,当然在[,22ππ-]上一致收敛;{}()n b x 关于n 单调,且在[,22ππ-]上一致有界.由Abel 判别法知()()1n n n a x b x ∞=∑在[,22ππ-]上一致收敛.7、证明:① 1ln nn x x ∞=∑在(]0,1不一致收敛;② 2101ln 16n n x x dx π∞=⎛⎫=- ⎪⎝⎭∑⎰.证:① 级数1ln nn x x ∞=∑的每一项在(]0,1都连续,容易求出其和函数()()ln ,0,110,1x x x x S x x ⎧∈⎪-=⎨⎪=⎩由()10lim 1x S x →-=,知()S x 在(]0,1不是处处连续,所以1ln nn xx ∞=∑在(]0,1不一致收敛.② 对01x δ∀<<<,易知ln ln 1nn t tt t∞==-∑在[],x δ上一致收敛,有()110000ln ln ln 1x x nnxn n t dt t tdt t tdtt δδδ∞∞====---∑∑⎰⎰⎰⎰⎰ (*)∵ ()1201ln 1nt tdt n =-+⎰, ∴ 2100ln 6n n t tdt π∞==-∑⎰.又∵ ()21ln 1nt tdt n δ≤+⎰,()121ln 1n xt tdt n ≤+⎰∴ln nn t tdt δ∞=∑⎰和1ln n xn t tdt ∞=∑⎰分别在01δ≤≤和01x ≤≤上一致收敛.在(*)式两端令0,1x δ→→,得 210ln t dt π=-⎰,或 2101ln 16n n x x dx π∞=⎛⎫=- ⎪⎝⎭∑⎰. 8、给出1sinpn nx n∞=∑(0)p >一致收敛的区间,并证明之.证:当1p >时,sin 1p p nx n n ≤,(,),1,2,x n ∈-∞+∞= ,且11p n n∞=∑收敛. 由Weierstarss 判别法,知1sinpn nx n∞=∑在(,)-∞+∞上一致收敛.当01p <≤时,因对n N ∀∈,有 1212sin sin cos cos 222nk x n x kx x =+-=-∑.对(0,)επ∀∈,[,2]x επε∈-,有 121cos cos 2211sin 2sin 2sin sin 222nk n xx kx x x ε=++≤≤≤∑ 由Dirichlet 判别法知:1sinpn nx n∞=∑在[,2]επε-上一致收敛,即在(0,2)π上内闭一致收敛.同理可证:1sinpn nx n∞=∑在任意不包含2,0,1,2,k k π=±± 的闭区间上一致收敛.。
第六章 级数理论§1 数项级数I 基本概念一 数项级数及其敛散性定义1 给定一个数列{,对它的各项依次用“+”号连结起来的表达式}n u ""++++n u u u 21 (1)称为数项级数或无穷级数,简称级数,记为,其中称为数项(1)的通项. ∑∞=1n nun u 数项级数(1)的前项之和,记为,称之为(1)的前项部分和,简称为部分和.n ∑==nk kn uS 1n 定义2 若级数(1)的部分和数列{}n S 收敛于(即S S S n n =∞→lim ),则称级数(1)收敛,并称为(1)的和,记为.若S ∑∞==1n nuS {}n S 是发散数列,则称级数(1)发散.二 收敛级数的基本性质1 收敛级数的柯西收敛准则级数(1)收敛的充要条件是:0>∀ε,0>∃N ,N n >∀,,有+∈∀Z p ε<++++++p n n n u u u "21.2 级数收敛的必要条件:若级数∑收敛,则∞=1n na0lim =∞→n n a .3 去掉、增加或改变级数的有限项并不改变级数的敛散性.4 在收敛级数的项中任意加括号,既不改变级数的收敛性,也不改变它的和(正项级数亦如此),即收敛级数满足结合律.5 若级数适当加括号后发散,则原级数发散.6 在级数中,若不改变级数中各项的位置,只把符号相同的项加括号组成一新级数,则两级数具有相同的敛散性.7 线性运算性质若级数与都收敛,是常数,则收敛,且∑∞=1n nu∑∞=1n nvd c ,(∑∞=+1n n ndv cu)()∑∑∑∞=∞=∞=±=±111n n n n n n nv d u c dv cu.三 正项级数收敛性判别法1 正项级数收敛的充要条件是部分和数列∑∞=1n nu{}n S 有界.2 比较判别法 设与是两个正项级数,若存在正整数,当时,都有,则∑∞=1n nu∑∞=1n nvN N n >n n v u ≤(1)若收敛,则∑收敛;∑∞=1n nv∞=1n nu(2)若发散,则∑发散.∑∞=1n nu∞=1n nv3 比较原则的极限形式 设和是两个正项级数,且∑∞=1n n u ∑∞=1n n v l v u nnn =∞→lim,则(1)当+∞<<l 0时,和∑具有相同的敛散性;∑∞=1n nu∞=1n nv(2)当时,若∑收敛,则收敛;0=l ∞=1n nv∑∞=1n nu(3)当时,若发散,则发散.+∞=l ∑∞=1n nv∑∞=1n nu4 设∑和是两个正项级数,且∞=1n n a ∑∞=1n n b 0>∃N ,N n >∀,有nn n n b b a a 11++≤,则 (1)若收敛,则∑收敛;∑∞=1n nb∞=1n na(2)若发散,则发散.∑∞=1n na∑∞=1n nb5 比式判别法(达朗贝尔判别法) 设是正项级数,若及常数,有∑∞=1n nu00>∃N 0>q(1)当时,0N n >11<≤+q a a n n ,则级数收敛;∑∞=1n n u (2)当时,0N n >11≥+n n a a ,则发散.∑∞=1n n u 6 比式判别法极限形式 设为正项级数,且∑∞=1n n u q u u nn n =+∞→1lim,则(1)当时,收敛;1<q ∑∞=1n nu(2)当若时,∑发散;1>q +∞=q ∞=1n nu(3)当时失效.1=q 当比式极限不存在时,我们有 设为正项级数.∑∞=1n nu(1)若1lim1<=+∞→q u u n n n ,则级数收敛;(2)若1lim1>=+∞→q u u nn n ,则级数发散.7 根式判别法(柯西判别法) 设为正项级数,且存在某正整数及正常数l ,∑∞=1n nu0N (1)若对一切,成立不等式0N n >1<≤l u nn ,则级数收敛;∑∞=1n n u (2)若对一切,成立不等式0N n >1≥n n u ,则级数∑发散.∞=1n nu8 根式判别法极限形式 设为正项级数,且∑∞=1n nul u n n n =∞→lim ,则(1)当时级数收敛; 1<l (2)当时级数发散. 1>l 9 柯西积分判别法设为[上非负递减函数,那么正项级数与反常积分同时收f )∞+,1()∑∞=1n n f ()∫∞+1dx x f敛或同时发散.10 拉贝判别法 设为正项级数,且存在某正整数及常数∑∞=1n nu0N r ,(1)若对一切,成立不等式0N n >111>≥⎟⎟⎠⎞⎜⎜⎝⎛−+r u u n n n ,则级数∑收敛;∞=1n n u (2)若对一切,成立不等式0N n >111≤⎟⎟⎠⎞⎜⎜⎝⎛−+n n u u n ,则级数发散.∑∞=1n n u 注 拉贝判别法中(1)111>≥⎟⎟⎠⎞⎜⎜⎝⎛−+r u u n n n 可转化为nru u n n −≤+11,1>r 收敛; (2)r u u n n n ≤⎟⎟⎠⎞⎜⎜⎝⎛−+11可转化为nru u n n −≥+11,1≤r 发散. 11 拉贝判别法极限形式若r u u n n n n =⎟⎟⎠⎞⎜⎜⎝⎛−+∞→11lim ,则有 (1)当1>r 时,收敛;∑∞=1n nu(2)当1<r 时,发散.∑∞=1n nu四 一般项级数1 莱布尼兹判别法 若交错级数,,满足下列两个条件:()∑∞=−−111n n n u 0>n u (1)数列{单减; }n u (2),0lim =∞→n n u 则收敛.∑∞=1n nu注 若交错级数满足莱布尼兹判别法,则其余项满足()∑∞=−−111n n n u ()x R n ()1+≤n n u x R .2 绝对收敛级数及其性质 定义 对于级数,若∑∞=1n nu∑∞=1n nu收敛,则称绝对收敛;若收敛,而∑∞=1n nu∑∞=1n nu∑∞=1n nu发散,则称是条件收敛的.∑∞=1n nu显然,若绝对收敛,则一定收敛,反之不真.∑∞=1n nu∑∞=1n nu绝对收敛级数的性质: (1)重排性:若∑绝对收敛,其和为,则任意重排后所得级数亦绝对收敛,且有相同的和数.∞=1n nuS 此说明:绝对收敛级数满足交换律.对于条件收敛级数适当重排后,可得到发散级数,或收敛于任何事先指定的数(Riemann ).(2)级数的乘积 若和都绝对收敛,其和分别为∑∞=1n nu∑∞=1n nvA 和B ,则其乘积按任意方式排列所得的级数也绝对收敛,且其和为∑∞=1n n u ∑∞=⋅1n nvAB (柯西定理).乘积的排列方式通常有两种:正方形和对角线法.3 一般级数收敛判别法一般级数除应用前面正项级数方法判定其绝对收敛以外,莱布尼兹判别法和下面的狄利克雷判别法和阿贝尔判别法则是判定其可能条件收敛的主要方法.(1)狄利克雷判别法 若数列{单减收敛于零,的部分和数列有界,则级数收敛.}n a ∑∞=1n nbnn n ba ∑∞=1注 莱布尼兹判别法是狄利克雷判别法的特例,Abel 判别法亦可由狄利克雷判别法推证.(2)阿贝尔判别法:若数列{单调有界,∑收敛,则级数收敛.}n a ∞=1n nbnn n ba ∑∞=1五、常用于比较判别法的已知级数(1)几何级数∑,∞=1n nq1<q 收敛,1≥q 发散;(2)级数−p ∑∞=11n p n ,时收敛,1>p 1≤p 发散; (3)()∑∞=2ln 1n pn n ,时收敛,1>p 1≤p 发散.II 例题选解一 级数敛散性判别例1 讨论下列级数的敛散性. (1)∑∞=+111n nx,; 0>x (2)∑∞=1sinn nx,. R x ∈解(1)10<<x ,,0→n x 0111≠→+nx,发散; 1=x 时,02111≠→+nx,发散; 1>x 时,nn x x ⎟⎠⎞⎜⎝⎛<+111,∑∞=11n n x 收敛,故∑∞=+111n nx 收敛. (2)当时收敛,当时,发散. 0=x 0≠x 例2 已知∑收敛.∞=12n na(1)判定()∑∞=+−1211n n n n a 的敛散性;(2)证明:∑∞=2ln n n nn a 收敛.(武汉大学)解(1)()222221112111n a n a n a n nn+≤⎟⎠⎞⎜⎝⎛++≤+⋅−,与∑∞=12n n a ∑∞=121n n 均收敛,从而原级数收敛(绝对收敛).(2)仿(1),由五(3)知其收敛. 例3 判断下列级数的敛散性. (1)∑∞=+−1)]11ln(1[n n n ;(东北师大)(2)∑++++−)]!1!21!111([n e ";(东北师大) (3)∑∞=142sin3n n n ; (4)∑∞=⎟⎠⎞⎜⎝⎛−1cos 1n pn π,() 0>p (5)∑∞=1!n n n nn a ();e a a ≠>,0(6)()∑∞=−−+11312n n n ;(7)∑∞=−>−+111)0()2(n nna aa;(8)∑∫∞=+104411n n dxx ;(9)∑∞=⎟⎠⎞⎜⎝⎛−−−21111n n n n ; (10)()()∑∞=+2ln ln 1n n nn n ;(11)∑∞=3ln n pnn(); 0>p (12)()()∑∞=++11ln 11n pn n ();(0>p 1=p 为大连理工) (13)()∑∞=+++1!2!!2!1n n n "; (14)()∑∞=⎦⎤⎢⎣⎡−+111ln n p n n (); 0>p (15)()()∑∞=⋅−11!!2!!12n n n n ;(16)()∑∞=1ln ln 1n nn ; (17)∑∞=⎟⎠⎞⎜⎝⎛−2ln 1n nn n p (); 0>p(18)()()()∑∞=+++12111n nnx x x x "0≥x (); (19)()∑∞=+−⋅−+211ln1n pn n nn (); 0>p (20)()∑∞=⎟⎠⎞⎜⎝⎛++−110310021n nnn n ;(21)()()∑∞=−+−211n n n n ; (22)∑∞=1cos n pn nx(π<<x 0); (23)"+−−−+−−+−+2222222222; (24)()[]∑∞=−11n n n;(25)()()∑∞=2ln ln ln 1n qp n n n ;(大连理工1998) (26)∑∞=+−11n nn n;(中科院2002)(27)∑−nnnarctan )1((北京大学1999).解(1)由于)(1ln ln 1)1ln(1)]11ln(1[111∞→→++−=+−=+−=∑∑∑===n c n n n k n k k k S nk n k nk n ,其中c 为欧拉常数,所以级数收敛.(2)由于""++++=++++−<)!2(1)!1(1)!1!21!111(e 0n n n ))3)(2)(1(1)2)(1(111(!1"+++++++++=n n n n n n n 22)!1(2))3)(2(1)2)(1(111(!1nn n n n n n n <+=++++++++<", 由比较原则知其收敛.(3)24342sin 3→⎟⎠⎞⎜⎝⎛nnn⇒ 收敛;(4)21021~cos 12≤<⇒⎟⎠⎞⎜⎝⎛⎟⎠⎞⎜⎝⎛−p n n pp ππ发散,21>p 收敛; (5)()()e a n n a n n a n n a nn n n n →⎟⎠⎞⎜⎝⎛+⋅=⋅++⋅++1!1!111e a <<⇒0收敛,发散; e a >(6)()131312<→−+n n n⇒收敛;或()()∑∑∑∞=−∞=∞=−−+=−+111113131232n n n n n n n n ,收敛;或()1131312−−≤−+n nn ,收敛;(此乃正项级数)(7)220222121211)ln 2((lim )21()(lim )21()2(lim a x a a na a n a a x x x nnn nnn =−=−=−+−+→−∞→−∞→⇒收敛; 注:利用的Maclaurin 展开式估计分子的阶. x a (8)204421110nxdxdxx a n n n =≤+=<∫∫⇒ 收敛; (9)()nn n nn n n n n n −=−−=−−−111111=n n −231⇒收敛; 或⎟⎟⎠⎞⎜⎜⎝⎛⎟⎠⎞⎜⎝⎛+++=⎟⎠⎞⎜⎝⎛−=−−n o n n n n n n 11111111111⎟⎠⎞⎜⎝⎛+++=23231111n o n n n ⇒⎟⎠⎞⎜⎝⎛+=−−−=2323111111n o n n n n a n (∞→n )收敛;∑∞=⇒1n n a (10)()()()()nenn n n nn n nn nnnln ln 1ln 11ln ln ln ln +⋅=+=+,而()01ln ln →+⋅nn n ,从而上式极限为零,⇒收敛;(11)当10≤<p 时,nn n p 1ln ≥()发散; 3>n ⇒ 当时,1>p ()()21211ln 1ln −−+⋅=p p p nnn n n ,当充分大时, n ()1ln 21<−p n n ⇒ ()2111ln −+≤p p nn n ⇒收敛.或当时,1>p 0ln 1ln 1ln 121<−=⋅−⋅=′⎟⎠⎞⎜⎝⎛+−p p p pp x x p x xpx x x x x (),即单减.由柯西积分判别法知原级数收敛.3>x (12)()()()pn n n u 1ln 11++=单减,故可用柯西积分判别法,令()()()1ln 11++=x x x f p ,,易知当1≥x 1=p 时,发散,时亦发散,而时收敛.()∫∞+1dx x f 10<<p 1>p (13)()()()2121!2!!2!!2!1+≤⋅≤+++n n n n n n "()收敛; 3≥n ⇒(14)由泰勒公式(皮亚诺余项形式)得:()()()⎟⎠⎞⎜⎝⎛+⎥⎦⎤⎢⎣⎡−−−=⎥⎦⎤⎢⎣⎡−+p p n p n p n n o n n n 221121111ln ()⎟⎠⎞⎜⎝⎛+⋅−−=p p p nn o n n 2211211,当绝对收敛,1>p 121≤<p 条件收敛,210≤<p 发散. 注 能否利用()()p np n n n 1~11ln −⎟⎟⎠⎞⎜⎜⎝⎛−+⇒()∑∞=⎟⎟⎠⎞⎜⎜⎝⎛−+111ln n p n n 收敛?(此法仅用于正项级数).(15)()()()()⎟⎠⎞⎜⎝⎛+−⎟⎠⎞⎜⎝⎛+−=+⋅++=⋅−+⋅++=+1112211122121!!2!!1211!!22!!121n n n n n n nn n n n n a a n n()⎟⎠⎞⎜⎝⎛+++−=+++−=11123112112312n o n n n 由拉贝判别法知其收敛.(16)+∞→n ln ,则当较大时,,n 2ln e n >()()2ln 2ln 11ln 1n en n n =<⇒收敛; (17)根式判别法失效.先估计它的阶,⎟⎠⎞⎜⎝⎛−=⎟⎠⎞⎜⎝⎛−=n n p n nn e n n p u ln 1ln ln 1,n npn n p ln ~ln 1ln −⎟⎠⎞⎜⎝⎛−(), ∞→n 从而可以估计,于是可讨论pn nu −~n p p nu n nu =的极限,为此()⎥⎦⎤⎢⎣⎡⎟⎠⎞⎜⎝⎛−+=⎥⎥⎦⎤⎢⎢⎣⎡⎟⎠⎞⎜⎝⎛−=∞→∞→∞→n n p n n p n n p n u n n np n n pn ln 1ln ln lim ln 1ln lim ln lim ⎥⎦⎤⎢⎣⎡⎟⎠⎞⎜⎝⎛++−=−∞→n n p n p n n n 1ln 1ln 1ln 11lim1()[]x px x px xx ln ln 1ln 1lim0−+=→ ()0ln 1ln ln lim 220=++−=→xpx x x x x p x 故,,所以当时收敛,当1lim =∞→n pn u n p n n u −~1>p 1≤p 时发散.(18)当时级数显然收敛; 0=x 当时,,故收敛;10<<x n n x u <当时,1=x nn u ⎟⎠⎞⎜⎝⎛=21,收敛;当时,1>x ()()()112111111−−<+<+++=n n n nn x x x x x x u ",收敛.(19)()()())(12121~1112∞→⋅=++=−+n nn nn nn p p ppp, )(2~12~121ln 11ln∞→−+−⎟⎠⎞⎜⎝⎛+−+=+−n n n n n n , 所以,211121~p p n n a +−⋅−)(∞→n ,由此易得:时收敛,0>p 0≤p 时发散. 注 等价无穷小替换法仅适用于同号级数.(20)()132103100210310021<→++=⎟⎠⎞⎜⎝⎛++−n n n n n nn,绝对收敛. (21)()()()()()111111111−+−−=−−−−=−+−=n n n n n n u nnnnn n , ()()()0121112112221<−−−=−−−⋅=′⎟⎟⎟⎠⎞⎜⎜⎜⎝⎛−x x x x x x xx x () 1>x 由莱布尼兹判别法,()∑∞=−−211n nn n 收敛,而∑∞=−111n n 发散,故原级数发散. (22)当,发散,,绝对收敛,当0≤p 1>p 10≤<p 时,由狄利克雷判别法知其收敛.事实上,212sin 21sin cos 3cos 2cos cos −⎟⎠⎞⎜⎝⎛+=++++x xn nx x x x ",()π,0∈x ,有界.(23)法一:212sin24sin24cos22πππ====a ,322sin 24cos 1222ππ=⎟⎠⎞⎜⎝⎛−=−=a ,4332sin 22cos 224cos 122222πππ=−=⎟⎠⎞⎜⎝⎛+−=−−=a ,……12sin2+=n n a π,……于是原级数可表为∑∞=+=⎟⎠⎞⎜⎝⎛++++21322sin 22sin 2sin 2sin 2n n n ππππ"",收敛.法二:记21=A ,222+=A ,2223++=A ,……则,于是2→n A 121222lim 222lim 222lim lim 22111<=−+−=−+−=−+−=→→−−∞→+∞→x x x x A A a a x x n n n nn n ,收敛.(24)将级数中相邻且符号相同的项合并为一项,得一新级数()()∑∞=⎭⎬⎫⎩⎨⎧−++++−12221111111n nn n n " 注意到通项中共有项,其中前项之和和后12+n n 1+n 项之和分别夹在11+n 与n1之间, n n n n n n n n n n n n n 11111122222=<−+++<−+<+=" ()nn n n n n n n n n n n n n 11211211122222=++<++++<+<+=+" 因此()nn n n n 211111112222<−+++++<+" 由此得其单减,从而为收敛级数,而原级数的部分和总是夹在新级数某相邻的二部分和之间,所以原级数也收敛.(25)当时,则当时收敛,1=p 1>q 1≤q 时发散,此时级数的敛散性等同于无穷积分()∫∞+2ln ln ln qx x x dx的敛散性.由无穷积分立得 ()∫∞+2ln ln ln q x x x dx ()∫+∞→=A q A x x x dx2ln ln ln lim ()⎪⎪⎩⎪⎪⎨⎧<∞+>−=+∞==−+∞→+∞→1,1,ln ln 11lim 1,ln ln ln lim 212q q x q q x A qAA A 收敛, 当时发散,时收敛,事实上,1<p 1>p 当时,1<p ()()()()n n n n n n n n n q pqp ln 1ln ln ln ln 1ln ln ln ln 11>⋅=−(n 充分大) 当时,1>p ()()()()()()()2121211ln 1ln ln ln 1ln 1ln ln ln ln 1+−−+<⋅=p q p p q p n n n n n n n n n . (26)由 及发散知级数发散.∑−1n(27)由于{单调有界,}n arctan ∑−nn)1(收敛,由阿贝尔判别法知其收敛.思考题1 判别下列级数的敛散性: (1)∑∞=+−−++122)11(1n n n n n n ;(复旦大学1997) (2)∑∞=123ln n nn;(复旦大学1998) (3)∑∞=122sinn nn π;(复旦大学1999)(4)∑∞=−122sin)53(n n n n π;(复旦大学1999)(5))0()1()2ln(1>++∑∞=a n a n n n;武汉理工大学2004) (6)∑∞=−11sin 1(n n n α.(南京理工2004) 提示:(1)分子有理化,发散; (2)收敛;(3)仿上例(3),收敛;(4)当为偶数时,通项为0,去掉这些为0的项以后所得级数为交错级数,收敛,n从而原级数收敛(考察它们部分和数列之间的关系).(5)由级数收敛的必要条件知当1≤a 时发散;当由比式判别法知其收敛; 1>a (6)利用的Taylor 公式讨论. x sin 例4 讨论级数∑∞=11n pn的敛散性.分析:,柯西准则,发散;1=p 1>p ,柯西积分判别法,收敛; 1<p ,比较判别法,发散.例5 证明 (1)若级数收敛,则∑∞=12n n a ∑∞=1n nn a 收敛;(淮北煤师院2004) (2)若,则发散,而∑收敛;(南开大学2001)0lim ≠=a na n n∑∞=1n na∞=12n na(3)若是收敛的正项级数,则当∑∞=1n n a 21>p 时,级数∑∞=1n p n na 收敛(中科院2002). 分析:(1)⎟⎠⎞⎜⎝⎛+≤22121n a n a n n ; (2)01≠→=a na na n n ,发散,而∑收敛; ∑∞=1n n a ∞=12n na (3)同(1).或:由Cauchy 不等式211221111⎟⎠⎞⎜⎝⎛⎟⎠⎞⎜⎝⎛≤∑∑∑===nk p nk k nk pk k a k a ; 知其部分和有界,从而收敛.例6(兰州大学2000)设是单调递减数列,试证明: 0>n u (1)若0lim ≠=∞→c u n n ,则∑∞=+−11)1(n nn u u 收敛; (2)若0lim =∞→n n u ,则∑∞=+−11)1(n nn u u 发散. 证(1)由单调有界定理知,再由极限的柯西收敛准则知:0>≥c u n 0,0>∃>∀N ε,当,有+∈∀>Z p N n ,εc u u p n n <−+,又单调递减,所以,当时,有n u +∈∀>Z p N n ,ε<−≤−++−+−+−+++++np n n p n p n n n n n u u u u u u u u u )1()1()1(1121",由级数的柯西收敛准则知其收敛.(2)由于1)1()1()1(1121−=−≥−++−+−+++−+++++pn n p n p n n p n p n n n n n u uu u u u u u u u u ",令得上式右端的极限为,由柯西准则知∞→p ∞+∑∞=+−11)1(n nn u u 发散. 例7(华东师大1997)设级数∑∞=1n nn a收敛.试就∑n a 为正项级数和一般项级数两种情形分别证明:级数n n an n+∑∞=1也收敛.证 当为正项级数时,∑na1lim=+∞→nn a n a n n n ,由比较判别法知n n an n+∑∞=1收敛.当∑∞=1n n n a 为一般项级数时,nn a n n a n n n n 1111+=+∑∑∞=∞=,由阿贝尔判别法知它是收敛的.思考题2(华东师大1998)已知为发散的一般项级数,试证明∑∞=1n n a ∑∞=+1)11(n n n a 也是发散级数.提示:用反证法.假设∑∞=+1)11(n n n a 收敛,则∑∑∞=∞=++=11)1)(11(n n n n n n n a a ,由阿贝尔判别法知收敛,矛盾.∑∞=1n na例8(北京工业大学2000)设和正项数列{}n a 单调减少,且级数发散.令n n na ∑∞=−1)1(nn a a a u ++⋅+=11111121",.,2,1"=n试问级数∑是否收敛,并说明理由.∞=1n nu证 级数收敛.这是因为:由级数发散和正项数列单调减少知,且由单调有界定理知,于是∑∞=1n nun n na ∑∞=−1)1({}n a 0lim >=∞→a a n n a a n ≥nn n n aa a a a u )11()1(111111121+=+≤++⋅+=", 由比较原则知收敛.∑∞=1n nu例9(北方交通大学1999)已知.,2,1,,01"=≤>+n a a a n n n 讨论级数"""++++na a a a a a 21211111 的敛散性.解 由单调性假设知存在极限0lim ≥=∞→a a n n ,则a a a a n n n =∞→"21lim ,由柯西根式判别法知,当时收敛,当时发散,当1>a 1<a 1=a 时,例10(中国矿大北研部)设,0>n a n n a a a S +++="21,级数.试证:∞=∑∞=1n na(1)∑∞=1n nnS a 发散;(武汉大学) (2)∑∞=12n nnS a 收敛.(东北师大) 证 (1),,于是0>n a ↑n S pn n p n pn n k kpn n k k k S S S a S a ++++=++=−=≥∑∑111. 而,故,从而当充分大时,∞=∑∞=1n n a +∞=++∞→p n p S lim p 21<+pn n S S , 211≥∑++=pn n k kk S a .由柯西收敛准则知其发散.(2)11211211122121111a S S S S a S S a a S a n nk k k n k k k k nk kk ≤−=⎟⎟⎠⎞⎜⎜⎝⎛−+=+≤∑∑∑=−=−=,部分和有界,故收敛.例11(华中科技大学) 若0lim 1=+∞→n n a ,()0lim 21=+++∞→n n n a a ,…,()0lim 21=++++++∞→p n n n n a a a ",…,试问是否一定收敛?为什么?∑∞=1n n a 解 不一定.如级数∑∞=11n n,有 )(01121110∞→→+<++++++<n n p p n n n "; 但∑∞=11n n 发散.例12(上海交大) 若 1lim 1sin 2=⎟⎟⎠⎞⎜⎜⎝⎛⋅∞→n nn n a n ,则级数是否收敛?试证之.∑∞=1n n a 解 由于11sin2→−nn n na (∞→n ),而()432sin 21sin2110−⋅−−≤=<−−nnn n n nn (n 充分大),由比较判别法知∑∞=−11sin2n nn n收敛,再由比较判别法知收敛.∑∞=1n na例13 设且单减,试证与同时敛散.0>n a ∑∞=1n na∑∞=122n nn a 证 因为对正项级数任意加括号不改变敛散性,因此由∑∞=1n na()()()""++++++++++=1587654321a a a a a a a a a∑∞==++++≤02232221222232n n n a a a a a "和∑∞=1n na()()()"""++++++++++=169854321a a a a a a a a∑∞=+=+++++≥02116842122121842n nn a a a a a a a "知两级数具有相同的敛散性.例14 若正项级数收敛,且(∑∞=1n nan n nb a n a e a e++=",2,1=n ).证明 (1)∑收敛;(华东师大)∞=1n nb(2)∑∞=1n nna b 收敛.(北京理工大学2003)证 解出得:n b ()0ln lim >−=∞→n a n n a eb n,而收敛,故当n 充分大时,∑∞=1n n a nnn a b b <,从而(2)收敛立得(1)收敛.由收敛的必要条件得)(0∞→→n a n .又因为()⎟⎟⎠⎞⎜⎜⎝⎛−++++=−n nn n n a a a a a a e n"!3!21ln ln 32()n n n a o a a =++"32!3121~, 即 0lim=∞→nn n a b ,由级数收敛得∑∞=1n n a ∑∞=1n nn a b收敛. 例15 研究级数∑∞=121n nx 的敛散性,这里是方程n x x x tan =的正根,并且按递增的顺序编号.解 解方程得:()⎟⎠⎞⎜⎝⎛+−+∈ππππn n x n 2,12,()22111−<n x n ,,收敛. 1>n 例16 设,,11=u 22=u 21−−+=n n n u u u ().问收敛吗?3≥n ∑∞=−11n nu解 由于03323233211211111<−=−=−=−+−−+−+++n n n n n n n n n n n u u u u u u u u u u u (); 3>n 所以 321111≤=+−−+n n n n u u u u (由的前若干项预测);由比式判别法知其收敛. n u 例17 设,证明级数 0>n a ()()()∑∞=+++121111n nna a a a " 收敛. 解 由于()()()()()()()()n n n a a a a a a a a a a a a a S +++++++++++++=<111111111021321321211""()()()()()()()"""++++++++−=+++++=321321212121111111111a a a a a a a a a a a a()()()()()()n n a a a a a a a ++++++++−=1111111121321"" ()()()1111121<+++−=n na a a a "即部分和有界,所以收敛.例18(上海师大)证明:级数:"+⎟⎠⎞⎜⎝⎛+++−⎟⎠⎞⎜⎝⎛+++⎟⎠⎞⎜⎝⎛+−4131211713121151211311是收敛的.解 这是交错级数,且()()⎟⎠⎞⎜⎝⎛++++−+=⎟⎠⎞⎜⎝⎛+++−=n n n n n n a n 12111212121211121""111121112112111221121+=⎟⎠⎞⎜⎝⎛++++++>⎥⎦⎤⎢⎣⎡⎟⎠⎞⎜⎝⎛+++⎟⎠⎞⎜⎝⎛−++=n a n n n n n n "", ()()0ln 1211211121→++−=⎟⎠⎞⎜⎝⎛+++−=n n n c n n n a ε". 由莱布尼兹判别法知收敛.∑∞=1n na例19(合肥工大2001)已知正项级数∑na 和∑nb 都发散,问下列级数收敛性如何?(1)∑; (2)),min(nnb a ∑),max(nnb a .解(1)可能收敛,也可能发散,例如,取,则1−==n b a n n ∑),min(nn b a 发散;若取,,则n n a )1(1−+=1)1(1+−+=n n b 0),min(≡n n b a ,∑),min(nn b a 收敛.(2)一定发散,这是因为. n n n a b a ≥),max(思考题3(复旦大学1997)证明:如果任意项级数∑nu和∑nv都收敛,且成立.1,≥≤≤n v w u n n n则收敛.∑nw提示:利用柯西收敛准则.思考题4(上海交大2004)设.,2,1,1,11212"+==∫+−n dx x x n x n nn n 证明收敛.∑∞=−−11)1(n nn x 提示:12212111−+=<<+=n n n x n x n x ,应用Leibniz 判别法即可.例20(华东师大2000)设收敛,∑∞=1n na0lim =∞→n n na .证明:.∑∑∞=∞=+=−111)(n n n n na a an 证 记级数的前n 项和为,则∑∞=−−11)(n n na an n S 12113221)()(2)(++−+++=−++−+−=n n n n n na a a a a a n a a a a S "",而0])1(1[lim lim 11=+⋅+=+∞→+∞→n n n n a n n nna ,所以∑∑∞=∞=+=−111)(n n n n na a an .思考题5(合肥工大2000)设数列{}n a 单调,且级数收敛于A .证明:级数收敛,并求其和.∑∞=1n na∑∞=+−11)(n n na an 思考题6(北京工业大学2001)设数列{}n na 收敛,00=a ,级数收敛,证明:级数收敛.∑∞=−−11)(n n na an ∑∞=1n na思考题7(安徽大学2003)若级数满足:∑∞=1n na(1);0lim =∞→n n a (2)∑收敛,∞=−+1212)(n n n a a证明:收敛.∑∞=1n na思考题8(华东师大2003)若级数满足:∑∞=1n na(1);0lim =∞→n n a (2)∑收敛,∞=−−1212)(n n n a a证明:收敛.∑∞=1n na例21(吉林大学)证明级数"+−++−++−+611119141715121311发散到正无穷.证 记.,2,1,141241341"=−−−+−=n n n n a n 则nnna n 1)331(3142−=−>,而∑n1发散到正无穷,所以,+∞=∞→n n S 3lim .又因为,故.n n n S S S 31323>>+++∞=∞→n n S lim 注(1)若要证明级数发散,则只需证明+∞=∞→n n S 3lim 即可.(2)在证明{收敛或发散时,有时通过求其子列的敛散性而使问题变得简单. }n S 思考题9(武汉大学1999)级数""+−−+++−+−nn 21)12(1514131211222 是否收敛?为什么?提示:考察. n S 2例22 证明:级数收敛的充分必要条件是:对于任意的正整数序列{和正整数数任意子序列{,都有∑∞=1n na}k p }k n .0)(lim 11=++++++∞→k k k k p n n n k a a a "证 必要性.设级数收敛,则由柯西收敛准则得:∑∞=1n na,0,0>∃>∀N ε当时,,都有N n >+∈∀Z p ε<++++++p n n n a a a "21,从而当时,,于是对于任意的正整数序列N k >N n k >{}k p ,有ε<++++++k k k k p n n n a a a "11,即 .0)(lim 11=++++++∞→k k k k p n n n k a a a "充分性.反证法.若发散,则,使得∑∞=1n na+∈∃>∃>∀>∃Z p N n N ,,0,00ε021ε≥++++++p n n n a a a ",特别地,分别取,,1,1111+∈∃>∃=Z p n N 使得 0211111ε≥++++++p n n n a a a ",{}+∈∃>∃>Z p N n n N 22212,,,2max ,使得 0212222ε≥++++++p n n n a a a ",如此下去,得一正整数子序列{和正整数序列}k n {}k p ,恒有011ε≥++++++k k k k p n n n a a a ",这与已知条件矛盾.二 绝对收敛与条件收敛例23 判别下列级数是条件收敛,还是绝对收敛: (1)()∑∞=+−−1111n np n n(南京师大2002,1=p 为武汉大学1995);(2)∑∞=−1sin)1(n nnx(内蒙古大学); (3))0()23()1(12>−+−∑∞=x n n n xn(复旦大学1997). 解(1)当时,不趋于0,发散; 0≤p n u 当时,原级数绝对收敛; 1>p 当时,10≤<p ()∑∞=−−1111n p n n收敛,nn 11单调有界,由阿贝尔判别发知其收敛,但 ()1111→−−+−p np n n n(∞→n );故原级数条件收敛.(2)当时绝对收敛,当0=x 0≠x 时,不妨设,则0>x 0>∃N ,当时,有N n >20π<<x ,且nxsin关于单减趋于0,由莱布尼兹判别法知其收敛. n 又因为)(1sin)1(∞→→−n nx n xn ,而∑∞=1n n x发散,故原级数条件收敛.(3)当时,数列0>x ⎭⎬⎫⎩⎨⎧−+x n n )23(12单减趋于0,由莱布尼兹判别法知其收敛.又因为 ,所以222423n n n n <−+<xx n x x nn n n 2221)23()1(41≤−+−<,从而,当21>x 时,绝对收敛,当21≤x 时,条件收敛. 思考题10(武汉大学2005)判别级数∑∞=2sin ln ln ln n n nn是否绝对收敛或条件收敛. 思考题11(南京大学2001)设1,0,1,111≥>>++=+n x k x x k x nnn .(1)证明:级数绝对收敛;∑∞=+−01)(n n n x x(2)求级数之和.∑∞=+−11)(n n n x x例24(北京大学1999,中国矿大1999,安徽大学2000,2001)设()x f 在的某邻域内有二阶连续导数,且0=x ()0lim 0=→x x f x .证明:级数∑∞=⎟⎠⎞⎜⎝⎛11n n f 绝对收敛.证 由()0lim=→xx f x 得,()00=f ()00=′f ,()x f 在0=x 某邻域内的二阶泰勒展式为()()()()()22212100x x f x x f x f f x f θθ′′=′′+′+=,10<<θ 由连续知,,有()x f ′′0>∃M ()M x f ≤′′,从而有2121nM n f ⋅≤⎟⎠⎞⎜⎝⎛ 故∑∞=⎟⎠⎞⎜⎝⎛11n n f 绝对收敛. 思考题12 证明:(1)(华南理工大学2005)设是偶函数,在)(x f 0=x 的某个领域中有连续的二阶导数, 则级数.2)0(,1)0(=′′=f f ∑∞=−1)11((n n f 绝对收敛.(2)(浙江大学2004)设函数在区间)(x f )1,1(−内具有直到三阶的连续导数,且,0)0(=f .0)(lim 0=′→x x f x 则∑∞=2)1(n n nf 绝对收敛.例25 设()单调,且级数0>n a ",2,1=n ∑∞=11n n a 收敛,讨论级数()∑∞=++−111n nn a a n"是条件收敛还是绝对收敛.解 由于且单调,故0>n a 01→na ↑⇒n a ()()()()⎪⎪⎩⎪⎪⎨⎧<++<++++⋅−=<+++⋅−++,2112121,22211221122212n n n n nn n n a a n n a a a n a na n a a a n "" 由已知条件,∑∞=12n na 收敛,故原级数绝对收敛. 例26 (哈尔滨工大2000)证明:若级数∑收敛,且级数绝对收敛,则级数收敛.∞=1n nb(∑∞=−−11n n na a)∑∞=1n nn ba 证 设n nb b b S +++="21,则1−−=n n n S S b ,于是由收敛知:,∑∞=1n nb0>∃M M S n ≤,.由收敛知:",2,1=n (∑∞=−−11n n n a a )0>∀ε,01>∃N ,1,N m n >∀,有ε<−++−+−−+−111m m n n n n a a a a a a ",又收敛,对上述{}n S 0>ε,,02>∃N 2N n >∀,,有2N m >ε<−m n S S ,取{}1,max 21+=N N N ,于是,当时,N m n >,m m n n n n b a b a b a +++++"11()()()1111−++−−++−+−=m m m n n n n n n S S a S S a S S a "[]()11121−−+++−+−+−++−+−≤n m n n m m m n n n n S S a a a M a a a a a a M "εM 3<.由柯西收敛准则知级数∑收敛.∞=1n nn ba 另证收敛⇒∑∞=1n nb0>∀ε,0>∃N ,N n >∀,,有+∈∀Z p ε<∑++=pn n k kb1.记,,则∑++==in n k ki bS 1p i ,,2,1"=ε<i S ,p i ,,2,1"=.由绝对收敛得其部分和有界,即,有(∑∞=−−11n n na a)0>∃MM a aS mn n nm ≤−=′∑=−11,",2,1=m .由阿贝尔定理得p n p p n p n p n n n n pn n k kk a S a a S a a S a a S ba ++−+−++++++=+−++−+−≤∑113222111"p n p a S M ++≤ε又M a a a a a a a p n p n p n +<−++−+=−+++01010",从而()012a M ba pn n k kk +≤∑++=ε.由柯西收敛准则知其收敛.例27(华东师大2001)证明:若级数绝对收敛,则级数也绝对收敛.∑∞=1n na∑∞=+++121)(n n na a a a"证 记,则由绝对收敛知收敛,所以{有界,即,有n n a a S ++="1∑∞=1n na∑∞=1n na}n S 0>∃M .,2,1,"=≤n M S n 于是有n n n a M a a a a ≤+++)(21",由绝对收敛知级数∑也绝对收敛.∑∞=1n na∞=+++121)(n n na a a a"思考题14(华中科技2004)设,求级数之和.)(),1(,010∞→→≥==∑=n b x n ax x n nk kn ∑−+)(1n n nx x a提示:1−−=n n n x x a .例28 证明:若对任意收敛于0的数列{}n x ,级数∑都收敛,则级数绝对收敛.∞=1n n nx a∑∞=1n n a 分析 问题等价于:若级数∑na发散,则至少存在一个收敛于0的数列{,使得级数发散,于是问题转化为:从}n x ∑n nx a∑+∞=n a 出发,构造出满足条件的数列{.联想例10中(1)的结论立明.}n x证 假设∑∞=1n n a 发散,记其前项和为,则n n S +∞=∞→n n S lim .取210=ε,,,由0>∀N N n >∃+∞=∞→n n S lim 得 210lim<=∞→mn m S S ,从而当充分大()时,有m n m >21<m n S S ,于是0221121ε=>−≥+++++=++m n m m m n n n n S S S S a S a S a ", 由柯西收敛准则知级数 ∑∞=1n n n S a 发散,取1,1≥=n S x nn ,则0lim =∞→n n x ,且发散,这与题目的条件矛盾,故命题成立.∑∞=1n n n x a 思考题15(中国人民大学2000)若正项级数发散,则存在收敛于0的正数序列,使得级数发散.∑∞=1n na{}n b ∑∞=1n n n b a 例29 研究级数∑∞=1sin n n n的收敛性.记其前n 项和为,将其分成两项 n S −++=nn n S S S , 其中分别表示前n 项和中所有正项之和与负项之和.证明:极限−+nnS S ,−+∞→nnn S S lim 存在,并求其值.证 由Dirichlet 判别法知其收敛.又因为∑∑∑∑∞=∞=∞=∞=−=≥111212cos 21121sin sin n n n n n n n n n n ,右端第一个级数发散,第二个级数收敛(利用Dirichlet 判别法),从而∑∞=1sin n n n非绝对收敛. 由于)(sin 2122)(1∞→−∞→−=−−+=∑=−+−+−n k k S S S S S S n k n n n n n n,所以,1)1(lim lim lim −=−=−+=−∞→−−−+∞→−+∞→nnn n n n n n n n n S S S S S S S S . 注 此例给出了条件收敛与绝对收敛的一个本质区别,且这个结论对一切条件收敛级数都成立.三 构造级数例30 试构造一级数,使它满足:∑∞=1n na(1)∑收敛; (2)∞=1n na ⎟⎠⎞⎜⎝⎛≠n o a n 1. 解 ∑∞=121n n ,∑∞=11n n 满足(2),将两者结合起来,构造级数如下: "+++++=∑∞=22221514131211n n a 即当n 是整数平方时,n a n 1=,否则21n a n =,显然⎟⎠⎞⎜⎝⎛≠n o a n 1,同时 +∞<≤+≤=∑∑∑∑=≤==nk n k nk nk k n k kk a S 12212112112故此级数收敛.例31 举出一个发散的交错级数,使其通项趋于零. 分析 交错级数""+−++−+−−n n a a a a a a 2124321 ()0>n a 部分和为,可见只要构造一个级数,使得,同时使和一个收敛,另一个发散即可.为此可构造级数如下:∑∑==−−=n k k nk k n a aS 121122∑∞=1n n a 0→n a ∑∞=−112k k a∑∞=12k ka()""+−−+−+−+−nn 21121514131211222. 例32(南开大学1999)已知级数收敛,问级数和是否必收敛?说明理由.∑∞=1n na∑∞=12n na∑∞=13n na解 未必收敛.如级数∑∞=−1)1(n nn收敛,但发散.令∑∞=12n na"+−−−+−−+−=∑∞=33333331331331331312212212111n n a""+−−−−+项k k k k k k k k k k k11113。
第六讲 数项级数的敛散性判别法§1 柯西判别法及其推广比较原理适用于正项级数,高等数学中讲过正项级数的比较原理: 比较原理I :设1n n u ∞=∑,1nn v∞=∑都是正项级数,存在0c >,使(i ) 若1nn v∞=∑收敛,则1nn u∞=∑也收敛;(ii ) 若1nn u∞=∑发散,则1nn v∞=∑也发散.比较原理II (极限形式)设1n n u ∞=∑,1nn v∞=∑均为正项级数,若则1n n u ∞=∑、1nn v∞=∑同敛散.根据比较原理,可以利用已知其敛散性的级数作为比较对象来判别其它级数的敛散性.柯西判别法和达朗贝尔判别法是以几何级数作为比较对象而 得到的审敛法.下面用比较判别法推出更宽泛的柯西判别法. 定理1(柯西判别法1)设1nn u∞=∑为正项级数,(i )若从某一项起(即存在N ,当n N >1q ≤<(q 为常数), 则1nn u∞=∑收敛;(ii1≥,则1n n u ∞=∑发散.证(i )若当n N >1q ≤<,即nn u q≤,而级数1nn q∞=∑收敛,根据比较原理I 知级数1nn u∞=∑也收敛.(ii )1≥,则1n u ≥,故lim 0n n u →∞≠,由级数收敛的必要条件知1nn u ∞=∑发散.定理证毕.定理2(柯西判别法2) 设1nn u∞=∑为正项级数,n r =,则:(i )当1r <时,1nn u ∞=∑收敛;(ii ) 当1r>(或r =+∞)时,1n n u ∞=∑发散;(iii )当1r =时,法则失效. 例1 判别下列正项级数的敛散性23123(1)()()()35721nn n ++++++;n nn e∞-∑n=1(2)n n x α∞∑n=1(3)(α为任何实数,0x >).解 (1) 因为112n r==<,所以原级数收敛.(2) 因为lim n n nre→∞===∞,所以原级数发散.(3) 对任意α,n rx ==.当01x <<时收敛;当1x >时发散;当1x =时,此时级数是p -级数,要对p α=-进行讨论,当1α->,即1α<-时收敛;当1α-≤时,即1α≥-时发散.例2 判别级数11[(1)]3n nnn ∞=+-∑的敛散性. 解 由于不存在,故应用定理2无法判别级数的敛散性.又因为 由定理1(柯西判别法1)知原级数收敛.例3(98考研)设正项数列{}n a 单调减少,且1(1)nn n a ∞=-∑发散,试问级数111nn n a ∞=⎛⎫ ⎪+⎝⎭∑是否收敛?并说明理由.解 答案:级数111nn n a ∞=⎛⎫⎪+⎝⎭∑收敛,证明如下:由于{}n a 单调减少且0,n a ≥根据单调有界准则知极限lim n n a →∞存在.设lim ,n n a a →∞=则0a ≥.如果0,a =则由莱布尼兹判别法知1(1)nnn a∞=-∑收敛,这与1(1)nnn a∞=-∑发散矛盾,故0a >.再由{}n a 单调减少,故0,n a a >>取111q a =<+, 根据柯西判别法1知111nn n a ∞=⎛⎫⎪+⎝⎭∑收敛.下面介绍柯西判别法的两个推广,称它们为广义柯西判别法. 定理3(广义柯西判别法1) 设1nn u∞=∑为正项级数,如果它的通项n u 的()0an b a +>次根的极限等于r,即lim an n r →∞=.则当1r <时,级数收敛;当1r >时,级数发散;当1r =级数可能收敛也可能发散.证因为lim an n r →∞=,即对任给正数ε,存在正整数1N ,当1n N >时,有()()an r r εε-<<+ (1)对于任给常数b ,总存在2N ,当有2n N >时有0an b +> (2)取{}12max ,N N N =,当n N >时,式(1)和式(2)同时成立.当1r <时,取ε足够小,使1r q ε+=<.由上述讨论,存在N ,当n N >时,式(1)和式(2)同时成立,那么有an bn u q+<,正项级数11()an bba nn n qqq∞∞+===∑∑收敛(因为其为等比级数且公比01nq <<),由比较审敛法知,级数1nn u∞=∑收敛.当1r >时,取ε足够小,使1r q ε-=>,由上面的讨论,存在N ,当n N >时,式(1)和式(2)同时成立,则an bn u q+>,正项级数11()an bba nn n qqq∞∞+===∑∑发散,由比较审敛法知,级数1nn u∞=∑发散.当1r =时,取1n pu n =,那么,对任何0,a b >为常数,有/()1lim lim 1an p an b n n n +→∞→∞==.而11n n ∞=∑发散,211n n∞=∑收敛.说明此时级数可能收敛也可能发散.定理证毕. 例4 判别级数211131n n n -∞=⎛⎫ ⎪-⎝⎭∑的收敛性.解因为21lim lim01,31n n n →∞→∞==<-由广义柯西判别法1知,级数211131n n n -∞=⎛⎫ ⎪-⎝⎭∑收敛.注 例4也可用柯西判别法2(定理2),但比较麻烦,而用广义柯西判别法1要简单得多. 定理4(广义柯西判别法2) 设1nn u∞=∑为正项级数,如果它的一般项n u 的m n (m 是大于1的正整数)次根的极限等于r,即lim n r →∞=.则当1r <时,级数收敛;当1r >时,级数发散;当1r =时,级数可能收敛也可能发散.证因为lim n r →∞=,即对任给的正数ε,存在正整数N ,当n N >时有当1r <时,取ε足够小,使1r q ε+=<.由上面的讨论,存在N ,当n N >时, 有m n n u q <.因为mn nqq <,又正项级数1nn q ∞=∑收敛(因(0,1)q ∈),由比较审敛法知1mnn q ∞=∑收敛 ,所以1nn u∞=∑收敛.当1r >时,取ε足够小,使1r q ε-=>.由上面的讨论,存在N ,当n N >时,有1mn n u q>>,那么lim 0n n u →∞≠,所以级数1n n u ∞=∑发散.当1r =时,同样取()10n p u p n=>,那么 这说明1r =时,级数可能收敛也可能发散.定理证毕.注 广义柯西判别法是柯西判别法2(定理2)的推广[1].事实上,在广义柯西判别法1中,取1,0a b ==,在广义柯西判别法2中,取1m =便得定理2(柯西判别法2).例5 判断级数2121n n n n ∞=⎛⎫⎪+⎝⎭∑的收敛性. 解因为1lim lim lim1212n n n n n →∞→∞→∞===<+,由广义柯西判别法2知原级数收敛.定理5(广义柯西判别法3) 设,0,0,(1,2,)n n n n n w u v u v n =≥≥=,若n u =,1limnn n v v v →∞-=.则当1uv <时,级数1n n w ∞=∑收敛;当1uv >时,级数1n n w ∞=∑发散[2].为证明定理5,需要一些预备知识:Stolz 定理 设{}n a 、{}n b 为两个数列,数列{}n b 在某顶之后单调递增,且lim n n b →∞=+∞,若11limn n n n n a a l b b -→∞--=-,(或+∞),则lim n n nal b →∞=(或+∞).命题1 设数列{}n x .若lim n n x l →∞=,则12lim lim nn n n x x x l x n→∞→∞+++==。