大学生数学竞赛(非数)试题及答案
- 格式:doc
- 大小:321.50 KB
- 文档页数:5
大学生数学竞赛(非数学类)试卷及标准答案考试形式: 闭卷 考试时间: 120 分钟 满分: 100 分.一、填空(每小题5分,共20分).计算)cos 1(cos 1lim 0x x x x --+→= .(2)设()f x 在2x =连续,且2()3lim2x f x x →--存在,则(2)f = . (3)若tx x xt t f 2)11(lim )(+=∞→,则=')(t f .(4)已知()f x 的一个原函数为2ln x ,则()xf x dx '⎰= .(1)21. (2) 3 . (3)te t 2)12(+ . (4)C x x +-2ln ln 2. 二、(5分)计算dxdy xy D⎰⎰-2,其中1010≤≤≤≤y x D ,:.解:dxdy x y D⎰⎰-2=dxdy y x x y D )(21:2-⎰⎰<+⎰⎰≥-22:2)(x y D dxdy x y -------- 2分 =dy y x dx x )(2210-⎰⎰+dy x y dx x)(12102⎰⎰- -------------4分姓名:身份证号所在院校:年级专业线封密注意:1.所有答题都须写在此试卷纸密封线右边,写在其它纸上一律无效. 2.密封线左边请勿答题,密封线外不得有姓名及相关标记.=3011-------------5分.三、(10分)设)](sin[2x f y =,其中f 具有二阶 导数,求22dxyd .解:)],(cos[)(222x f x f x dxdy'=---------------3分 )](sin[)]([4)](cos[)(4)](cos[)(222222222222x f x f x x f x f x x f x f dxy d '-''+'=-----7分=)]}(sin[)]([)](cos[)({4)](cos[)(222222222x f x f x f x f x x f x f '-''+'---------10分.四、(15分)已知3123ln 0=-⋅⎰dx e e a x x ,求a 的值. 解:)23(232123ln 0ln 0xa x ax x e d e dx e e ---=-⋅⎰⎰---------3分 令t e x =-23,所以dt t dx e e aax x ⎰⎰--=-⋅231ln 02123---------6分 =a t 231233221-⋅-------------7分=]1)23([313--⋅-a ,-----------9分 由3123ln 0=-⋅⎰dx e e a x x ,故]1)23([313--⋅-a =31,-----------12分即3)23(a -=0-----------13分 亦即023=-a -------------14分所以23=a -------------15分.五、(10分)求微分方程0=-+'x e y y x 满足条件e yx ==1的特解.解:原方程可化为xe y x y x=+'1-----------2分这是一阶线性非齐次方程,代入公式得⎥⎦⎤⎢⎣⎡+⎰⋅⎰=⎰-C dx e x e e y dxx xdx x 11----------4分=⎥⎦⎤⎢⎣⎡+⋅⎰-C dx e x e ex x xln ln ----------5分 =[]⎰+C dx e x x 1-----------6分 =)(1C e xx+.---------------7分 所以原方程的通解是)(1C e xy x +=.----------8分再由条件e yx ==1,有C e e +=,即0=C ,-----------9分因此,所求的特解是xe y x=.----------10分.六(10分)、若函数()f x 在(,)a b 内具有二阶导数,且123()()()f x f x f x ==,其中123a x x x b <<<<,证明:在13(,)x x 内至少有一点ξ,使()0f ξ'=。
第十一届全国大学生数学竞赛(非数学类)试题参考解答及评分标准一、填空题(每小题6分)1. sin 014x x →=.解:sin sin 00x x x x x →→→=- sin 1/31/30022(e 1)1sin 1limlim 444422x x x x x x →→-=+-=⎛⎫⎛⎫ ⎪ ⎪⎝⎭⎝⎭. 2. 设隐函数()y y x =由方程22()y x y x -=所确定,则232ln ||dx y y C y x x=-+⎰. 解:令y tx =,则21(1)x t t =-,1(1)y t t =-,3223(1)tdx dt t t -+=-, 这样,223332ln ||2ln ||dx t y ydt t t C C y t x x-+==-+=-+⎰⎰. 3. 定积分220(1sin )1cos x e x dx e xππ+=+⎰.解:222000(1sin )sin 1cos 1cos 1cos x xx e x e xdx dx de xx x πππ+=++++⎰⎰⎰ 2222200sin cos (1cos )+sin 1cos 1cos (1cos )xxxe xe x x x dx e dx x x x πππ+=+-+++⎰⎰2222000sin 1cos 1cos 1cos xxx e xe edx dx e x x x ππππ=+-=+++⎰⎰. 4. 已知22(,)323ydx xdy du x y x xy y -=-+,则1(,)()C 3x u x y y =-+. 解:22(,)323ydx xdy du x y x xy y -=-+21()233()3xd x yx x y y y ==--+().所以,1(,)()C 3x u x y y =-+.5. 设,,,0a b c μ>,曲面xyz μ=与曲面2222221x y z a b c ++=相切,则μ=.解:根据题意有:22x yz a λ=,22y xz b λ=,22zxy c λ=,以及 222x a μλ=,222y b μλ=,222z c μλ=,从而得:32228a b cλμ=,32μλ=,联立解得:μ=二、(14分)计算三重积分22d d d Ω+⎰⎰⎰xyzx y z x y,其中Ω是由曲面2222()2++=x y z xy 围成的区域在第一卦限部分.解:采用“球面坐标”计算,并利用对称性,得ππ3224222sin cos sin cos 2d d sin d sin I ρϕθθϕθϕρϕρρϕ=⎰⎰ -------5分ππ342002sin cos d sin cos d d θθθϕϕϕρρ=⎰⎰ππ3354202sin cos d sin cos d θθθϕϕϕ=⎰⎰ -------10分ππ354201sin 2d sin d(sin )4θθϕϕ=⎰⎰π3201121sin d 4848372t t ==⋅=⎰. -------14分 三、(14分)设()f x 在[0,)+∞上可微,(0)0f =,且存在常数0A >,使得|()||()|f x A f x '≤在[0,)+∞上成立,试证明:在(0,)+∞上有()0f x ≡.证明:设01[0,]2x A ∈,使得01|()|max |()|[0,]2f x f x x A ⎧⎫=∈⎨⎬⎩⎭, -------5分 000011|()||(0)+()||()||()|22f x f f x A f x f x A ξ'=≤=,只有0|()|0f x =. 故当 1[0,]2x A∈时,()0f x ≡. -------12分 递推可得,对所有的1[,]22k kx A A-∈,1,2,k =,均有()0f x ≡. -------14分四、(14分)计算积分2sin (cos sin )0sin I d e d ππθφφφθθ-=⎰⎰解:设球面 Σ:x 2+y 2+z 2=1, 由球面参数方程sin cos x θφ=,sin sin y θφ=,cos z θ=知sin dS d d θθφ=,所以,所求积分可化为第一型曲面积分I =∬e x−ydS Σ-------4分 设平面P t :√2=t,−1≤t ≤1,其中t 为平面P t 被球面截下部分中心到原点距离.用平面P t 分割球面Σ,球面在平面P t ,P t+dt 之间的部分形如圆台外表面状,记为Σt,dt .被积函数在其上为 e x−y =e √2t . -------8分由于Σt,dt 半径为r t =√1−t 2,半径的增长率为 d√1−t 2=√1−t 2 就是 Σt,dt 上下底半径之差. 记圆台外表面斜高为ℎt ,则由微元法知 dt 2+(d √1−t 2)2=ℎt 2, 得到ℎt =√1−t 2 ,所以 Σt,dt 的面积为 dS =2πr t ℎt =2πdt, -------12分I =∫e √2t 1−12πdt =√2√2t |−11=√2π(e √2−e −√2). -------14分 五、(14分)设()f x 是仅有正实根的多项式函数,满足 0()()n n n f x c x f x +∞='=-∑. 试证:0n c >,(0n ≥),极限lim n ()f x 的最小根. 证明:由f (x )为仅有正实根的多项式,不妨设()f x 的全部根为 0<a 1<a 2<⋯<a k ,这样,f (x )=A (x −a 1)r 1⋯(x −a k )r k ,其中 r i 为对应根a i 的重数 (i =1,⋯,k,r k ≥1). -------2分f ′(x )=Ar 1(x −a 1)r 1−1⋯(x −a k )r k +⋯+Ar k (x −a 1)r 1⋯(x −a k )r k −1,所以,f ′(x )=f (x )(r 1x−a 1+⋯+rkx−a k),从而, −f ′(x)f(x)=r 1a 1∙11−xa 1+⋯+r k a k∙11−x a k.-------6分若|x |<a 1, 则 −f ′(x)f(x)=r 1a 1∙∑(xa1)n∞n=0+⋯+r k a k∙∑(xak)n∞n=0=∑(r 1a 1n+1+⋯+r k a kn+1)∞n=0x n .而 −f ′(x)f(x)=∑c n x n∞n=0,由幂级数的唯一性知c n =r 1a 1n+1+⋯+r kak n+1>0, ------9分c ncn+1=r 1a 1n+1+⋯+r k a kn+1r 1a 1n+2+⋯+r k a kn+2=a 1∙r 1+⋯+(a1a k)n+1r kr 1+⋯+(a 1a k)n+2r k.limn→∞c nc =a 1∙r 1+0+⋯+0r +0+⋯+0=a 1>0, limn→∞c n+1c =1a , -----12分limn→∞1n ∙(ln c2c1+⋯+ln c n+1c n)=ln 1a 1,√c n n=elnc nn=elnc 1n +1n (ln c 2c 1+⋯+ln cn+1c n)→eln1a 1=1a 1.从而,lim√c nn=a 1,即f (x )的最小正根. -----14分六、(14分)设函数()f x 在[0, )+∞上具有连续导数,满足22223[3()]()2[1()]-'+=+x f x f x f x e ,且(0)1≤f .证明:存在常数0>M ,使得[0,)∈+∞x 时,恒有()≤f x M .证明:由于()0'>f x ,所以()f x 是[0, )+∞上的严格增函数,故+lim ()→∞=x f x L (有限或为+∞). 下面证明 ≠+∞L . -----2分记()=y f x ,将所给等式分离变量并积分得 222232d d (1)3-+=+⎰⎰x y y e x y ,即 2222arctan d 13-+=++⎰x t y y e t C y , ------6分 其中2(0)2arctan (0)1(0)=++f C f f . ------8分若=+∞L ,则对上式取极限→+∞x ,并利用2d 2+∞-=⎰t e t ,得π3=-C .-----10分 另一方面,令2()2arctan 1=++ug u u u ,则2223()>0(1)+'=+u g u u ,所以函数()g u 在(, )-∞+∞上严格单调增加. 因此,当(0)1≤f 时,1π((0))(1)2+=≤=C g f g , 但2π1π22+>>C ,矛盾, 这就证明了+lim ()→∞=x f x L 为有限数.最后,取max{(0),}=M f L ,则|()|≤f x M ,[0,)∀∈+∞x . -----14分。
第十届全国大学生数学竞赛决赛试题参考答案及评分标准(非数学类,2019年3月30日)一、填空题(本题满分30分,每小题6分)1、设函数在点在处连续,则的值为答案:2、设则答案:3、设曲线L是空间区域的表面与平面的交线,则答案:4、设函数由方程确定,其中具有连续二阶偏导数,则答案:5、已知二次型,则的规范形为答案:二、设内三阶连续可导,满足,又设数列满足严格单调减少且计算【解】由于在区间(-1,1)内三阶可导,在处有Taylor公式又,所以分①由于数列严格单调且,则,且为严格单调增加趋于正无穷的数列,注意到,故由Stolz定理及①式,有分分三、设上具有连续导数,且证明:对于成立【证明】令则故函数在上严格单调增加,记的反函数为,则定义在上,且4分于是根据积分中值定理,存在使得分因此注意到则即分四、计算三重积分:,其中【解】采用“先二后一”法,并利用对称性,得其中分用极坐标计算二重积分,得交换积分次序,得分作变量代换:并利用对称性,得所以.分五、之和.【解】级数通项令分其中.因为所以满足解这个一阶线性方程,得由得,故且分六、设A是n阶幂零矩阵,即满足证明:若A的秩为r,且则存在n阶可逆矩阵P其中为r阶单位矩阵. 【证】存在n阶可逆矩阵H,Q,使得因为所以有分对QH作相应分块为则有因此分而所以显然,所以为行满秩矩阵.8分因为使得分令则有分七、设为单调递减的正实数列,收敛,证明:收敛,所以对任意给定,存在自然数,使得当时,有因为单调递减的正数列,所以分注意到当时,有令得到分下面证明:对于任意自然数n,如果满足则有事实上,即得到分利用(2),令可以得到即分又由知,存在自然数,使得分取则当时,有因此分。
第十届全国大学生数学竞赛决赛试题参考答案及评分标准(非数学类,2019年3月30日)一、填空题(本题满分30分,每小题6分)1、设函数在点在处连续,则的值为答案:2、设则答案:3、设曲线L是空间区域的表面与平面的交线,则答案:4、设函数由方程确定,其中具有连续二阶偏导数,则答案:5、已知二次型,则的规范形为 答案:二、设在区间内三阶连续可导,满足,又设数列满足严格单调减少且计算【解】由于在区间(-1,1)内三阶可导,在处有Taylor 公式又,所以分 ① 由于数列严格单调且,则,且为严格单调增加趋于正无穷的数列,注意到,故由Stolz 定理及①式,有分分 三、设在上具有连续导数,且证明:对于成立 【证明】令则故函数在上严格单调增加,记的反函数为,则定义在上,且4分 于是根据积分中值定理,存在使得分 因此注意到则即分四、计算三重积分:,其中【解】采用“先二后一”法,并利用对称性,得其中分用极坐标计算二重积分,得交换积分次序,得分作变量代换:并利用对称性,得所以.分五、求级数之和.【解】级数通项令分则收敛区间为其中.因为所以满足解这个一阶线性方程,得由得,故所以且分六、设A 是n 阶幂零矩阵,即满足证明 :若A 的秩为r ,且则存在n 阶可逆矩阵P ,使得其中为r 阶单位矩阵.【证】存在n 阶可逆矩阵H,Q ,使得因为所以有分对QH 作相应分块为则有因此分而所以显然,所以为行满秩矩阵8分因为所以存在可逆矩阵使得分令则有分七、设为单调递减的正实数列,为一实数列,级数收敛,证明:【证】由于收敛,所以对任意给定,存在自然数,使得当时,有因为单调递减的正数列,所以分注意到当时,有令得到分下面证明:对于任意自然数n,如果满足则有事实上,即得到分利用(2),令可以得到即分又由知,存在自然数,使得分取则当时,有因此分。
2009年 第一届全国大学生数学竞赛预赛试卷一、填空题(每小题5分,共20分)1.计算=--++⎰⎰y x yx x yy x Dd d 1)1ln()(____________,其中区域D 由直线1=+y x 与两坐标轴所围成三角形区域.2.设)(x f 是连续函数,且满足⎰--=2022d )(3)(x x f x x f , 则=)(x f ____________.3.曲面2222-+=y x z 平行平面022=-+z y x 的切平面方程是__________. 4.设函数)(x y y =由方程29ln )(y y f e xe =确定,其中f 具有二阶导数,且1≠'f ,则=22d d x y________________. 二、(5分)求极限xenx x x x ne e e )(lim 20+++→ ,其中n 是给定的正整数.三、(15分)设函数)(x f 连续,⎰=10d )()(t xt f x g ,且A xx f x =→)(lim,A 为常数,求)(x g '并讨论)(x g '在0=x 处的连续性.四、(15分)已知平面区域}0,0|),{(ππ≤≤≤≤=y x y x D ,L 为D 的正向边界,试证:(1)⎰⎰-=---Lx y Lx yx ye y xe x ye y xed d d d sin sin sin sin ;(2)2sin sin 25d d π⎰≥--Ly yx ye y xe .五、(10分)已知xx e xe y 21+=,x x e xe y -+=2,xx x e e xe y --+=23是某二阶常系数线性非齐次微分方程的三个解,试求此微分方程.六、(10分)设抛物线c bx ax y ln 22++=过原点.当10≤≤x 时,0≥y ,又已知该抛物线与x 轴及直线1=x 所围图形的面积为31.试确定c b a ,,,使此图形绕x 轴旋转一周而成的旋转体的体积最小.七、(15分)已知)(x u n 满足),2,1()()(1 =+='-n e x x u x u x n n n, 且neu n =)1(, 求函数项级数∑∞=1)(n nx u之和.八、(10分)求-→1x 时, 与∑∞=02n n x等价的无穷大量.2010年 第二届全国大学生数学竞赛预赛试卷一、(25分,每小题5分) (1)设22(1)(1)(1),nn x a a a =+++其中||1,a <求lim .n n x →∞(2)求21lim 1x x x e x -→∞⎛⎫+ ⎪⎝⎭。
第十三届全国大学生数学竞赛决赛试题及参考解答(非数学类, 2023年3月25日)一、 填空题(本题满分30分,每小题6分)(1)已知a 和b 均为非零向量,且1=|b |,a 和b 的夹角,4π=a b ,则极限0||||limx x x→+−=a b a .【解】 利用条件:1=|b |,,4π=a b,得|||cos ,|⋅==a b a b |a b a ,所以222222||2||x x x x ++⋅+++a b a a b b a a .因此00||||lim lim x x x x →→+−=a b ax →. (2)极限20ln(1)lim 2xx x x →+−=. 【解】 利用L ’Hospital 法则,得2ln(1)1lim2x x x x →−+=,所以 222[ln(1)]ln(1)00ln(1)ln(1)lim 2lim 1x x x xx x x x x x x x e x x −+−+→→+−+−=+=.(3)积分=.【解】 作变换sec x θ=,则3344sec tan d d sec tan 3412ππππθθθπππθθθ===−=∫∫.(4)设函数()=y y x 由参数方程222,11=++t t x yt t 确定,则曲线()=y y x 在点23,处的曲率κ=.【解】 易知,对应点23,的参数=t . 利用参数方程求导法则,得2d 2d 1=−y t x t ,223223d 2(1)d (1)+=−y t x t . 所以,当=t时,d d =−y x ,223223d 2(1)227d (1)+==−×−y t x t ,因此曲线()=y y x 在23,处的曲率2κ.(5)设D是由曲线1=及两坐标轴围成的平面薄片型物件,其密度函数为(,)ρ=x y ,则薄片物件D 的质量=M .【解】d =+∫∫DMx y . 利用二重积分的对称性,得2(1203d 3d 3d =∫∫∫DM x y x yx .作变量代换:=t ,得1222013d 6(1)d 5==−=∫∫M x t t x . 二、(本题满分12分) 求区间[0,1]上的连续函数()f x ,使之满足1()1(1)()d (1)()d x xf x x yf y y x y f y y =+−+−∫∫.【解】 根据题设条件及等式可推知,函数()f x 在[0,1]上二阶可导,且(0)(1)1f f ==. ------------ 4分对等式两边求导,得1()()d (1)()(1)()d (1)()xxf x yf y y x xf x y f y y x x f x ′=−+−+−−−∫∫1()d (1)()d x xyf y y y f y y =−+−∫∫,再对上式两边求导得 ()()(1)()()f x xf x x f x f x ′′=−−−=−,即 ()()0f x f x ′′+=. ------------ 4分这是二阶常系数齐次线性微分方程,易知其通解为 12()cos sin f x C x C x =+.分别取0x =和1x =代入上式,得11C =,21cos11tan sin12C −==,因此所求函数为 1()cos tan sin 2f x x x =+⋅ (01)x ≤≤. ------------ 4分三、 (本题满分12分) 设曲面∑是由锥面x =,平面1x =,以及球面2224x y z ++=围成的空间区域的外侧表面,计算曲面积分: 222()()d d ()d d d d f x I x y z y z x z y f xz y x z y f Σ=++ +++ ∫∫ , 其中()f u 是具有连续导数的奇函数.【解】 设2()f y P x x +=,2()f z Q y x +=,2()f z R z y +=,则[](()()2)P Q Rx y z y x y xy f yz zf ′′+∂∂∂++=+++∂∂∂. 因为奇函数()f u 的导数是偶函数,所以()()f xy f yz ′′+关于y 是偶函数.------------ 4分记Ω是以Σ为边界曲面的有界区域,根据Gauss 公式,并结合三重积分的对称性,得d d d 2d d d P Q R Ix y z x x y z x y z ΩΩ∂∂∂=++= ∂∂∂ ∫∫∫∫∫∫ ------------ 4分222410cos 2d d cos sin d ππϕθϕρϕρϕρ⋅∫∫∫44017cos sin 16d 4cos 22ππππϕϕϕπϕ=−=−=∫. ------------ 4分四、 (本题满分12分) 设()f x 是以2π为周期的周期函数,且,00,0()f x x x x ππ<< = −≤≤,试将函数()f x 展开成Fourier 级数,并求级数121(1)n n n −∞=−∑之和.【解】 函数()f x 在点(21)(012)x k k π=+=±±,,, 处不连续,在其他点处连续,根据收敛定理可知,()f x 的Fourier 级数收敛,并且当(21)x k π≠+时级数收敛于()f x ,当(21)x k π=+时级数收敛于(0)(0)22f f πππ−−++=.------------ 4分下面先计算()f x 的Fourier 系数. 0011()d d 2a f x x x x ππππππ−===∫∫,且 2011(1)1()cos d cos d n n a f x nx x x nx x n ππππππ−−−===∫∫,1,2,n = , 1011(1)()sin d sin d n n b f x nx x x nx x n πππππ+−−===∫∫,1,2,n = ,因此当(,)x ∈−∞+∞,且,3,x ππ≠±± 时,有121(1)1(1)()cos sin 4n n k f x nx nx n n ππ+∞= −−−=++∑. ------------ 4分 注意到0x =是()f x 的连续点,代入上式得21(1)104n n n ππ∞=−−+=∑, 即 2211(21)8n n π∞==−∑. 又22222111111111(21)(2)84n n n n n n n n π∞∞∞∞====+=+−∑∑∑∑,由此解得22116n n π∞==∑. 最后可得 1222222111(1)111(21)(2)84612n n n n n n n πππ−∞∞∞==−=−=−⋅=−∑∑∑. ------------ 4分【注】 对于最后一步,若只给出结果1221(1)12n n n π−∞=−=∑,则可得2分.五、(本题满分12分) 设数列{}n a 满足:12a π=,11sin 1n n n a a a n +=−+,1n ≥. 求证:数列{}n na 收敛.【解】 利用不等式:3sin 6x x x x −<<02x π <<.首先,易知1160n n a a a π+<<<< (2)n ≥. ------------ 4分故由题设等式得1(1)sin n n n n n n a na a a na +++−>,所以{}n na 是严格递增数列. ------------ 4分其次,由于31122221(1)sin 111(1)()()6()6n n n n n n n n n n n a na a a a a na n a na na na n +++−−−<=<⋅≤+, 所以 12111111(1)6nn k k kk a ka k a k ==+ −< + ∑∑,即 2112111111(1)666n k n a a a n a k π=+−<<⋅+∑,解得 1121(1)16n a n a a π++<−.这就证明了数列{}n na 严格递增且有上界,因而收敛. ------------ 4分六、(本题满分10分)证明:b a a b a b a b +≤+≤+,其中0>a ,0b >,1a b +=.【证】 不妨设1012a b <≤≤<,考虑函数1()x x f x a b −=+,如能证明()f x 在区间(0,]b 上单调减少,则有1()()()2f b f f a ≤≤,不等式得证. ------------ 3分对于(0,]∈x b ,因为1()ln ln x x f x a a b b −′⋅−⋅,221()ln ln 0x x f x a a b b −′′=⋅+⋅>,所以()()f x f b ′′<,故只需证()0f b ′≤,即ln ln baa ab b ⋅≤⋅或ln ln a ba b a b a b≤.------------ 4分容易证明ln xx是(0,]e 上的单调增函数,问题归结为证0a b a b e <<≤,这等价于证ln ln 11a b a b <−−,而这由函数ln 1xx−在(0,1)上单调增加即得. ------------ 3分 【注】 补证函数ln ()1xg x x=−在(0,1)上单调增加. 利用ln(1)x x +<(0)x >,有2111()1ln 1(1)0(1)′=−−+−> −g x x x x , 所以()g x 在(0,1)上单调增加.七、 (本题满分12分) 设)(=ij A a 为n 阶实矩阵,12,,,ααα n 为A 的n 个列向量,且均不为零. 证明:矩阵A 的秩满足2T1()αα=≥∑niii i ia r A .【证】 注意到用非零常数乘矩阵的列向量不改变矩阵的秩()r A ,故可设T 1αα=i i ,1,2,,= i n ,所以只需证明21()=≥∑n iii r A a ,也即T 21()()α=≥∑ni i i r A e .其中T (0,,0,1,0,,0)= i e 是第i 个分量为1其余分量均为0的n 维列向量.------------ 4分令()=r A k ,则由12,,,ααα n 的任一极大无关组并利用Schmidt 正交化方法,可得标准正交向量组12,,,βββ k . 易知,向量组12,,,ααα n 与12,,,βββ k 等价.对任意1,2,,= i n ,令1αβ==∑ki j j j x ,则由12,,,βββ k 的标准正交性可知,Tβα=j ji x ,1,2,,= j k ,所以T 1()αβαβ==∑ki j i j j ,于是T 1T T()()βααβ==∑ii i kj i j j e e .------------ 4分根据 Cauchy-Schwarz 不等式,并注意到T 2T 1()1βααα===∑kj i i ij ,可得 2T 2T T 222T T 1111T ()())(()()()βαβαβαββ==== =≤=∑∑∑∑k k k k j i j j i j j j i i i j j j i i e e e e ,22T2TT1111()()()()αβββ=======≤∑∑∑∑n k nkj j j i ii i j i j k r eA e .------------ 4分。
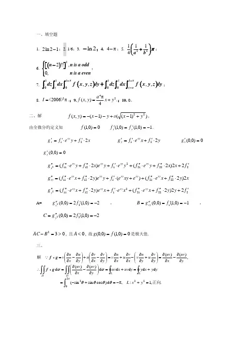
一、填空题1. 2ln 21-;2. 1/6;3.ln 2-;4. 4π-;5. 221114ab π⎛⎫+ ⎪⎝⎭; 6. ()22!!,0,n n is a odd n is a even ⎧⎡⎤-⎪⎣⎦⎨⎪⎩; 7.()()111110,,,,xz x zz xdz dx f x y z dy dz dx f x y z dy ---+⎰⎰⎰⎰⎰⎰;8. 22006π.I =();9.42π(,).4a f x y x y =+;10. 0。
二、解 ))1(()1(),(22y x o y x y x f +-+---=, 由全微分旳定义知 0)0,1(=f 1)0,1()0,1(-='='y x f f .xf y e fg xy x 221⋅'+⋅'='y f x e f g xyy 221⋅'+⋅'='0)0,0(='x g0)0,0(='y g2222121121122)2()2(2f x x f y e f y e f y e x f y e f g xyxy xy xy x '+⋅''+⋅''+⋅'+⋅''+⋅''='' x y f x e f e xy e f y e y f x e f g xyxy xy xy xy xy 2)2()()2(222111211⋅''+⋅''++⋅'+⋅''+⋅''='' 2222121121122)2()2(2f y y f x e f x e f x e y f x e fg xyxyxyxyy '+⋅''+⋅''+⋅'+⋅''+⋅''='' A=2)0,1(2)0,0(22-='=''f g x ,1)0,1()0,0(1-='=''=f g B xy ,2)0,1(2)0,0(22-='=''=f g C y 032>=-B AC , 且0<A , 故0)0,1()0,0(==f g 是极大值. 三、 .,1:π,d )cos sin sin (d d d d d )()(d ,)()(22π202正向解=+-=+-=+=+=⎪⎪⎭⎫⎝⎛∂∂-∂∂=∴∂∂-∂∂=⎪⎪⎭⎫ ⎝⎛∂∂+∂∂-∂∂+∂∂=⎪⎪⎭⎫ ⎝⎛∂∂-∂∂+⎪⎪⎭⎫ ⎝⎛∂∂-∂∂=⎰⎰⎰⎰⎰⎰⎰••y x L yy x y y uv x uv y uv x uv y uv x uv y v u y u v x v u x u v y v x v u y u x u v L L D Dθθθθσσg f g f四、.1)1(22122)1(2)2(;02lim ,112)1(1121212121212112112112121++→∞---+++++++-+++=++++-+++=++++=-=+++∴-⋅-+++-=+++-=-++-+-+=+++n n n n n n n n n n n n n n n n n n n a n a n na a a n na a a n na a a n na a a n n na a a S S nna a a nn n S S S S n S S S S nS S S S S S S n na a a 解.)1(2)1(2,21111121112121S a a b n n na a a a b b n n na a a n na a a b n n n n n nn n n nn n ==+=++++∴+-=+++++++=∑∑∑∞=∞=+∞=++ 则记五、000()(,)(0,0),(0,0),(0,0).(,0)(0,0)||(,0)(0,0)limlim ,||(,0)||(,0)lim (0,0),lim (0,0),(0,0)0.()(0,0)0,(0,0)0,(0,0)0.x y x x x x x x y f x y f f f x f x x f x xx x x x x xf f ϕϕϕϕϕϕϕ+-→→→→''-'====-=''===证:必要性设在点处可微则存在由于且故有充分性若则可知因为(,)(0,0)(0,0)(0,0)2,0.(,)(0,0).x y f x y f f x f yf x y →→''---=所以由定义在点处可微六、解: 由于dxdydz c z dxdydz b y dxdydz a x I VVV⎰⎰⎰⎰⎰⎰⎰⎰⎰++=222222, 其中⎰⎰⎰⎰⎰⎰-=Daa Vdydz dx a x dxdydz a x 2222, 这里D 表达椭球面2222221ax c z b y -≤+或1)1()1(22222222≤-+-ax c z axb y 。
第十届全国大学生数学竞赛(非数学类)预赛试题及答案一、填空题(本题满分24分, 共4小题, 每小题6分)(1)设(0,1),α∈则()lim (1)n n n αα→+∞+-=_0______.解 由于 1111,n n α⎛⎫⎛⎫+<+ ⎪ ⎪⎝⎭⎝⎭则 αααααα-=⎪⎪⎭⎫ ⎝⎛-⎪⎭⎫ ⎝⎛+<⎪⎪⎭⎫ ⎝⎛-⎪⎭⎫ ⎝⎛+=-+11111111)1(n n n n n n n , 于是 ααα-<-+<11)1(0nn n ,应用两边夹法则,()lim (1)0n n n αα→+∞+-=. (2)若曲线()y y x =由+cos +sin 1yx t t e ty t =⎧⎨+=⎩确定,则此曲线在0t =对应点处的切线方程为0(1)y x -=--解:当0t =时,1,0x y ==,对cos x t t =+两边关于t 求导:1sin dx t dt =-,01t dxdt ==, 对+sin 1y e ty t +=两边关于t 求导:cos 0y dy dy e y t t dt dt +++=,01t dy dt ==-, 则01t dydx ==-.所以,切线方程为0(1)y x -=--.(3)21ln(1)C 2x x +-++ 解1:tan ln(tan sec )ln(tan sec )sin sec x t t t dt t t d t t=+==+⎰⎰ln(tan sec )sin sin ln(tan sec )sint ln(tan sec )t t d t t t t d t t =+=+-+⎰⎰21sin ln(tan sec )sint(sec tan sec )tan sec t t t t t t dt t t =+-++⎰sin sin ln(tan sec )cos tt t t dt t=+-⎰21sin ln(tan sec )ln |cos |C ln(1)C 2t t t t x x =+++-++.解2:ln(x d =+⎰1x dx ⎛⎫=-21xx dxx=-+⎰21ln(1)C2x x-++(4)21coslimx x→-=___3____.解答:2001coslimx xxx→→⎡-=⎢⎣⎦211lim2x x→=+2211lim2x x x→⎡⎤=++⎢⎥⎣⎦1lim2x→=++⎢⎥⎣⎦220011cos21cos313lim lim1322322x xx xx x→→--=++=++=.二 (本题满分8分) 设函数()f t在0t≠时一阶连续可导,且(1)0f=,求函数22()f x y-,使得曲线积分2222(2())()Ly f x y dx xf x y dy⎡⎤--+-⎣⎦⎰与路径无关,其中L为任一不与直线y x=±相交的分段光滑闭曲线.解:设22(,)(2())P x y y f x y=--,22(,)()Q x y xf x y=-,由题设可知,积分与路径无关,于是有(,)Q x y Px y∂∂=∂∂,由此可知222222()()()1x y f x y f x y'--+-=-----------5分记22t x y=-,则得微分方程()()1tf t f t'+=,即(())1tf t'=,())tf t t C=+又(1))0f=,可得1,C=-1())1f tt=-,从而22221()1f x yx y-=--.------------8分三 (本题满分14分) 设()f x在区间[0,1]上连续,且1()3f x≤≤.证明:1100141()()3f x dx dxf x≤≤⎰⎰.证明. 由柯西不等式111()()f x dx dx f x ⎰⎰≥201⎛⎫= ⎪ ⎪⎝⎭⎰. --------4分 又由于 ()()()1()30f x f x --≤,则()()()1()3/()0f x f x f x --≤,即 3()4()f x f x +≤, 103()4()f x dx f x ⎛⎫+≤ ⎪⎝⎭⎰. ----------10分 由于21111000313()()()4()f x dx dx f x dx f x f x ⎛⎫≤+ ⎪⎝⎭⎰⎰⎰⎰故 11141()()3f x dx dx f x ≤≤⎰⎰. -----------14分 四 (本题满分12分)计算三重积分22()V xy dV +⎰⎰⎰(),其中V ()是由222(2)4x y z ++-≥,222(1)9x y z ++-≤,0z ≥所围成的空心立体.解:(1)1sin cos ,sin sin ,1cos ():03,0,02x r y r z r V r ϕθϕθϕϕπθπ==-=⎧⎨≤≤≤≤≤≤⎩123222225()8()sin sin 315V x y dV d d r r dr ππθϕϕϕπ+==⋅⋅⎰⎰⎰⎰⎰⎰ ----------4分 (2)2sin cos ,sin sin ,2cos ():02,0,02x r y r z r V r ϕθϕθϕϕπθπ==-=⎧⎨≤≤≤≤≤≤⎩222222225()8()sin sin 215V x y dV d d r r dr ππθϕϕϕπ+==⋅⋅⎰⎰⎰⎰⎰⎰ ----------8分 (3)3cos ,sin ,10():02x r y r z V r θθθπ⎧==≤≤⎪⎨≤≤≤≤⎪⎩3022223510()22()1)(1243)55V r x y dV rdrd dz d dr πθθπ≤+===-⋅+⎰⎰⎰⎰⎰⎰12322222222()()()()256()()()()3V V V V x y dV x y dV x y dV x y dV π+=+-+-+=⎰⎰⎰⎰⎰⎰⎰⎰⎰⎰⎰⎰------12分 五 (本题满分14分) 设(,)f x y 在区域DM ≤,11(,)A x y ,22(,)B x y 是D 内两点,线段AB 包含在D 内。
大学数学竞赛试题及答案非数学类大学数学竞赛试题及答案(非数学类专业)一、选择题(每题2分,共10分)1. 已知函数\( f(x) = x^2 - 4x + 3 \),求\( f(2) \)的值。
A. -1B. 1C. 3D. 52. 一个圆的半径为5,求其面积。
A. 25πB. 50πC. 75πD. 100π3. 以下哪个是等差数列1, 4, 7, ...的第10项?A. 27B. 28C. 29D. 304. 已知\( \sin(\theta) = \frac{3}{5} \),求\( \cos(\theta) \)的值(假设\( \theta \)在第一象限)。
A. \( \frac{4}{5} \)B. \( -\frac{4}{5} \)C. \( \frac{3}{5} \)D. 05. 一个直角三角形的两条直角边分别是3和4,求斜边的长度。
A. 5B. 6C. 7D. 8答案:1. B2. B3. A4. A5. A二、填空题(每题3分,共15分)6. 圆的周长公式是 \( C = \) ________ 。
7. 已知\( a \)和\( b \)是两个正整数,且\( a > b \),若\( a \)和\( b \)的最大公约数是3,最小公倍数是90,则\( a \)和\( b \)的值分别是________ 和 ________ 。
8. 已知\( \log_{10}100 = 2 \),求\( \log_{10}1000 \)的值是________ 。
9. 将\( 0.\overline{3} \)(即0.333...)转换为分数形式是________ 。
10. 一个等比数列的首项是2,公比是3,求第5项的值是________ 。
答案:6. \( 2\pi r \)7. 15, 68. 39. \( \frac{1}{3} \)10. 162三、解答题(每题10分,共20分)11. 证明:对于任意实数\( a \)和\( b \),不等式\( a^2 + b^2\geq 2ab \)总是成立。
大学生数学竞赛(非数学类)试卷及标准答案
考试形式: 闭卷 考试时间: 120 分钟 满分: 100 分.
20分). )cos 1(cos 1lim 0x x x x --+
→= . (2)设()f x 在2x =连续,且2
()3
lim
2
x f x x →--存在,则(2)f = . (3)若tx x x
t t f 2)1
1(lim )(+=∞→,则=')(t f .
(4)已知()f x 的一个原函数为2ln x ,则()xf x dx '⎰= .
(1)
2
1. (2) 3 . (3)t e t 2)12(+ . (4)C x x +-2
ln ln 2. ,其中
解:
dxdy x
y D
⎰⎰-2
=
dxdy y x
x y D )(2
1:2
-⎰⎰<+
⎰⎰≥-2
2:2
)(x y D dxdy x
y -------- 2分
=dy y x dx x )(2
21
-⎰⎰+dy x y dx x
)(1
210
2⎰⎰- -------------4分
=
30
11
-------------5分. 姓名:
身份号:
所在院
校:
级:
业:
线
封
密
注意:1.所有答题都须写在此试卷纸密封线右边,写在其它纸
上一律无效. 2.密封线左边请勿答题,密封线外不得有姓名及相关
三、(10分)设)](sin[2
x f y =,其中f 具有二阶2dx
解:
)],(cos[)
(222x f x f x dx
dy
'=---------------3分 )](sin[)]([4)](cos[)(4)](cos[)(22
222222222
2x f x f x x f x f x x f x f dx
y d '-''+'=-----7分
=)]}(sin[)]([)](cos[)({4)](cos[)(22
2
2
2
2
2
2
2
x f x f x f x f x x f x f '-''+'---------10分.
四、(15分)已知
3
1
23ln 0
=
-⋅⎰
dx e e a x x ,求a 的值
解:
)23(232123ln 0
ln 0
x
a x a
x x e d e dx e e ---
=-⋅⎰⎰
---------3分 令t e x =-23,所以
dt t dx e e a
a
x x ⎰⎰
--
=-⋅231ln 0
2
123---------6分 =a t 231
2
33
2
21-⋅-------------7分
=]1)23([31
3--⋅-a ,-----------9分 由3123ln 0=-⋅⎰dx e e a x x ,故]1)23([313--⋅-a =31
,-----------12分
即3)23(a -=0-----------13分 亦即023=-a -------------14分
所以2
3
=a -------------15分.
五、(10分)求微分方程0=-+'x
e y y x
e y
x ==1
的特解.
解:原方程可化为
x
e y x y x
=+'1-----------2分
这是一阶线性非齐次方程,代入公式得
⎥⎦
⎤⎢⎣⎡+⎰⋅⎰=⎰-
C dx e x e e y dx
x x
dx x 11----------4分
=⎥⎦
⎤
⎢⎣⎡+⋅⎰-C dx e x e e
x x x
ln ln ----------5分 =
[]
⎰+C dx e x x 1
-----------6分 =)(1C e x
x
+.---------------7分 所以原方程的通解是)(1
C e x
y x +=.----------8分
再由条件e y
x ==1
,有C e e +=,即0=C ,-----------9分
因此,所求的特解是x
e y x
=.----------10分.
()f x 在(,)a b 内具有二阶导 3()f x ,其中123a x x x b <<<<,证明:在13(,)
x x 内至少有一点ξ,使()0f ξ'=。
证:由于)(x f 在),(b a 内具有二阶导数,所以)(x f 在],[21x x 上连续, 在),(21x x 内可导,再根据题意)()(21x f x f =,
由罗尔定理知至少存在一点∈1ξ),(21x x ,使)(1ξf '=0;--------3分
身份证
号:
所在院校:
年
级:
专业:
线
封 密
同理,在23[,]x x 上对函数)(x f 使用罗尔定理得至少存在一点
),(322x x ∈ξ,使)(2ξf '=0;---------6分
对于函数)(x f ',由已知条件知)(x f '在[1ξ,2ξ]上连续,在(1ξ,2ξ)内可导,且)(1ξf '=)(2ξf '=0,由罗尔定理知至少存在一点∈ξ(1ξ,2ξ),使0)(=''ξf ,而1ξ,2ξ)),(31x x ⊂,故结论得证----------10分.
七、(15
分)已知曲线,x e y =x y sin =和直线0=x ,
1=x 围成平面图形D .
(1)求平面图形D 的面积A ;
(2)求D 绕x 轴旋转所成立体的体积.
解:(1)1
(sin )x A e x dx =-⎰-----------2分
10(cos )x e x =+-----------4分
cos12e =+------------5分
(2)因为⎰=b
a
x dx x f V )(2π,-----------6分
所以dx x e V x x )sin (1
22⎰-=π-----------9分
=1
20
111sin 2224x e x x π⎡⎤
-+⎢⎥⎣⎦------------11分
=⎥⎦
⎤
⎢⎣⎡+--2sin 4121)1(212e π-----------13分
=⎥⎦
⎤
⎢⎣⎡-+1)2sin 21(212e π .--------------15分.
八、(15分)设),,(z y x f u =有连续的一阶偏导数,又函数 )(x y y =及)(x z z =分别由
身份证
号:
所在院
校:
年级:
专
业:
线
封
密
下列两式确定: 2=-xy e xy 和dt t t e z x x ⎰-=0sin ,求du
dx
.
解:
dx
dz
z f dx dy y f x f dx du ⋅∂∂+⋅∂∂+∂∂=, (1)---------4分 由2=-xy e xy 两边对x 求导,得
)()(dx dy
x y dx dy x
y e xy +-+=0,--------------7分 即 x
y dx dy -= ---------------9分
又由dt t t e z x x
⎰-=0sin 两边对x 求导,得
)1()sin(dx dz z x z x e x -⋅--=,-----------11分
即 )
sin()(1z x z x e dx dz x ---= -----------13分 将其代入(1)式,得 ()1sin()x du f y f e x z f dx x x y x z z ⎡⎤∂∂-∂=-+-⎢⎥∂∂-∂⎣⎦.-----------15
分.。