人教版数学九年级上册 课程讲义第二十一章:21.2 解一元二次方程-解析版
- 格式:docx
- 大小:144.65 KB
- 文档页数:18
21.2.3 因式分解法1.当一元二次方程的一边为0,另一边可以分解成两个一次因式的乘积时,通常将一元二次方程化为__两个一次因式___的乘积等于0的形式,再使这两个一次式分别等于0,从而实现降次,这种解法叫做__因式分解___法.2.解一元二次方程,首先看能否用__直接开平方法___;再看能否用__因式分解法___;否则就用__公式法___;若二次项系数为1,一次项系数为偶数可先用__配方法___.知识点1:用因式分解法解一元二次方程1.方程(x +2)(x -3)=0的解是( C )A .x =2B .x =-3C .x 1=-2,x 2=3D .x 1=2,x 2=-32.一元二次方程x(x -5)=5-x 的根是( D ) A .-1 B .5C .1和5D .-1和53.(2014·永州)方程x 2-2x =0的解为__x 1=0,x 2=2___.4.方程x 2-2x +1=0的根是__x 1=x 2=1___.5.用因式分解法解下列方程:(1)x 2-4=0;解:x 1=2,x 2=-2(2)x 2-23x =0;解:x 1=0,x 2=2 3(3)(3-x)2-9=0;解:x 1=0,x 2=6(4)x 2-4x +4=(3-2x)2.解:x 1=1,x 2=53知识点2:用适当的方法解一元二次方程6.解方程(x +1)2-5(x +1)+6=0时,我们可以将x +1看成一个整体,设x +1=y ,则原方程可化为y 2-5y +6=0,解得y 1=2,y 2=3.当y =2时,即x +1=2,解得x =1;当y =3时,即x +1=3,解得x =2,所以原方程的解为x 1=1,x 2=2.利用这种方法求方程(2x-1)2-4(2x -1)+3=0的解为( C )A .x 1=1,x 2=3B .x 1=-1,x 2=-3C .x 1=1,x 2=2D .x 1=0,x 2=-17.用适当的方法解方程:(1)2(x -1)2=12.5;解:用直接开平方法解,x 1=3.5,x 2=-1.5(2)x 2+2x -168=0;解:用配方法解,x 1=12,x 2=-14(3)2x 2=2x ;解:用因式分解法解,x 1=0,x 2= 2(4)4x 2-3x -2=0.解:用公式法解,x 1=3+418,x 2=3-4188.方程x(x -1)=-x +1的解为( D )A .x =1B .x =-1C .x 1=0,x 2=-1D .x 1=1,x 2=-19.用因式分解法解方程,下列方法中正确的是( A )A .(2x +2)(3x +4)=0化为2x +2=0或3x +4=0B .(x -3)(x +1)=1化为x -3=1或x +1=1C .(x -2)(x -3)=2×3化为x -2=2或x -3=3D .x(x -2)=0化为x -2=010.一个三角形的两边长分别为3和6,第三边的边长是方程(x -2)(x -4)=0的根,则这个三角形的周长是( C )A .11B .11或13C .13D .以上都不对11.(2014·陕西)若x =-2是关于x 的一元二次方程x 2-52ax +a 2=0的一个根,则a 的值是( B )A .1或4B .-1或-4C .-1或4D .1或-412.已知x =1是关于x 的方程(1-k)x 2+k 2x -1=0的根,则常数k 的值为__0或1___.13.已知(x 2+2x -3)0=x 2-3x +3,则x =__2___.14.用因式分解法解下列方程:(1)x 2-3x =x -4;解:x 1=x 2=2(2)(x -3)2=3(x -3).解:x 1=3,x 2=615.用适当的方法解下列方程:(1)4(x -1)2=2;解:x 1=2+22,x 2=-2+22(2)x 2-6x +4=0;解:x 1=3+5,x 2=3- 5(3)x 2-4=3x -6;解:x 1=1,x 2=2(4)(x +5)2+x 2=25.解:x 1=-5,x 2=016.一跳水运动员从10 m高台上跳下,他离水面的高度h(单位:m)与所用时间t(单位:s)的关系是h=-5(t-2)(t+1),那么运动员从起跳到入水所用的时间是多少?解:依题意,得-5(t-2)(t+1)=0,解得t1=-1(不合题意,舍去),t2=2,故运动员从起跳到入水所用的时间为2 s17.先阅读下列材料,然后解决后面的问题:材料:因为二次三项式x2+(a+b)x+ab=(x+a)(x+b),所以方程x2+(a+b)x+ab =0可以这样解:∵(x+a)(x+b)=0,∴x+a=0或x+b=0,∴x1=-a,x2=-b.问题:(1)用因式分解法解方程x2-kx-16=0时,得到的两根均为整数,则k的值可以为__-15,-6,0,6,15___;(2)已知实数x满足(x2-x)2-4(x2-x)-12=0,则代数式x2-x+1的值为__7___.。
十字相乘法 一、回顾①(x+2)(x+1)=.②(x+2)(x-1)=.@(x-2)(x+1)=@(x-2)(x-1)=⑤(x+α)(x+")=二、新知形成(一)二次项次数为1的二次三项式的因式分解一般地,由多项式乘法,(x+Q)(x+b)=x 2+(α+b)x+αb ,反过来,就得到也就是说,对于二次三项式f +pχ+q f 如果能够把箪等项q 分解成两个因数么b 的 积,并且。
+匕等于一次项的系数p,那么它就可以分解因式,即X 2+px+q=x 2+(α+力)x+"=(x+.)(x+b),运用这个公式,可以把某些二次项系数 为1的二次三项式分解因式。
二、典例分析例1、分解因式(1)f+4x÷3 (2) —3x +2 (3) +6x -7 (4) —2x —3(5)X 2-5X +6=0; (6)x 2+10x-11=0.(7)x 2+4x+3=0;(8)x 2-2x-3=0(9)χ2-6x+5=0 (10)X 2-X -12=O (11)X 2-7X ÷10=0(13)X 2-5x-6=O(14)(x+1)(x+3)=15+3x+2= ________ X 2+x-2= —X-2= ________ -3x+2= ________ X 2+(a+b)x+ab= (12)X 2+2X -99=0例2若一元二次方程。
〃一1)/+37/%+(m2+36-4)=0有一个根是0,则〃2的值是?(二)二次项次数不为1的二次三项式的因式分解例2、解方程(2)6X 2-7X -5=0(3)2X 2-5X -3=O(5)3a 2-8^+4=0 (6)5x 2+7x-6=0 例3已知3/一7盯一2θV=o,求证:χ=4y^c3x=-5y.(1)2X 2-7X +3=0 (4)2X 2+15X ÷7=O (7) 6∕-11y-10=0 (8) 2X 2-3√5X +5=O (9) 2X 2-5X =-2。
人教版九年级上册数学第21章《一元二次方程》讲义第2讲一元二次方程应用(有答案)1、了解一元二次方程根的判别式概念,能用判别式判定根的状况,并会用判别式求一元二次方程中契合题意的参数取值范围。
〔1〕∆=ac b 42-〔2〕根的判别式定理及其逆定理:关于一元二次方程02=++c bx ax 〔0≠a 〕①、当⎩⎨⎧≥∆≠时00a ⇔方程有实数根; 当⎩⎨⎧>∆≠时00a ⇔方程有两个不相等的实数根; 当⎩⎨⎧=∆≠时00a ⇔方程有两个相等的实数根; ②当⎩⎨⎧<∆≠时00a ⇔方程无实数根; 从左到右为根的判别式定理;从右到左为根的判别式逆定理。
2、罕见的效果类型〔1〕应用根的判别式定理,不解方程,判别一元二次方程根的状况〔2〕方程中根的状况,如何由根的判别式的逆定理确定参数的取值范围 〔3〕运用判别式,证明一元二次方程根的状况①先计算出判别式〔关键步骤〕;②用配方法将判别式恒等变形;③判别判别式的符号;④总结出结论.〔4〕分类讨论思想的运用:假设方程给出的时未指明是二次方程,前面也未指明两个根,那一定要对方程停止分类讨论,假设二次系数为0,方程有能够是一元一次方程;假设二次项系数不为0,一元二次方程能够会有两个实数根或无实数根。
〔5〕一元二次方程根的判别式常结合三角形、四边形、不等式〔组〕等知识综合命题,解答时要在片面剖析的前提下,留意合理运用代数式的变形技巧〔6〕一元二次方程根的判别式与整数解的综合 知识点二:根与系数的关系1、假设12,x x 是一元二次方程20ax bx c ++= (0a ≠)的两根,依据韦达定理,2、提示:应用根与系数的关系解题时,一元二次方程必需有实数根。
3、应用韦达定理求一些重要代数式(2212x x +、1211x x +、12x x |-|)的值: 解题小窍门:当一元二次方程的标题中给出一个根让你求另外一个根或未知系数时,可以用韦达定理。
第二局部 考点精讲精练考点1、根的判别式运用例1、关于x 的一元二次方程3x 2+4x-5=0,以下说法正确的选项是〔 〕A .方程有两个相等的实数根B .方程有两个不相等的实数根C .没有实数根D .无法确定例2、假设关于x 的一元二次方程x 2+2x-m=0有实数根,那么m 的取值范围是〔 〕 A .m≥-1 B .m≤-1 C .m >1 D .m <1例3、方程ax 2+bx+c=0〔a≠0〕中,,那么该方程〔 〕A .一定没有实数根B .一定有两个不相等的实数根C .一定又两个相等的实数根D .只要一个实数根例4、假定关于x 的一元二次方程kx 2+4x+3=0有实数根,那么k 的非负整数值是 .例5、关于x 的方程xa -2=1+x 有一个根,那么a 的值为 . 例6、a 取什么值时,方程a 〔a-2〕x=4〔a-2〕 ①有独一的解?②无解?③有有数多解?④是正数解?举一反三:1、假设关于x 的一元二次方程kx 2-6x+9=0有两个不相等的实数根,那么k 的取值范围是〔 〕A .k <1B .k≠0C .k <1且k≠0D .k >12、以下方程中没有实数根的是〔〕A.x2+x-1=0 B.x2+8x+1=0 C.x2+x+2=0 D.x2-6x+2=03、关于x的方程〔a-5〕x2-4x-1=0有实数根,那么a满足_______.4、假定关于x的方程x2-k|x|+4=0有四个不同的解,那么k的取值范围是.5、:关于x的方程x2+2mx+m2﹣1=0〔1〕不解方程,判别方程根的状况;〔2〕假定方程有一个根为3,求m的值.6、a,b,c是三个两两不同的奇质数,方程有两个相等的实数根.〔1〕求a的最小值;〔2〕当a到达最小时,解这个方程.考点2、根与系数的关系例1、假定关于x的一元二次方程的两个根为x1=1,x2=2,那么这个方程能够是〔〕A、x2+3x-2=0 B、x2+3x+2=0 C、x2-3x+2=0 D、x2-2x+3=0例2、α,β是一元二次方程x2-5x-2=0的两个实数根,那么α2+αβ+β2的值为〔〕A.-1 B.9 C.23 D.27例3、假定方程x2+px+q=0的两个根是-2和3,那么p+q=〔〕A.-6B.-7C.-8D.-9例4、假定关于未知数x的方程x2+〔m+2〕x+m+5=0的两根都是正数,那么m的取值范围是.例5、关于x的方程x2-〔m+5〕x+3〔m+2〕=0.〔1〕求证:无论m取何实数值,方程总有两个实数根;〔2〕假设Rt△ABC的斜边长为5,两条直角边长恰恰是这个方程的两个根.求△ABC 的面积.举一反三:1、关于x的一元二次方程x2-kx-4=0的一个根为2,那么另一根是〔〕A.4 B.1 C.2 D.-22、设a,b是方程x2+x-2021=0的两个根,那么a2+2a+b的值为〔〕A. 2020B. 2010C. 2021D. 20213、假定方程x2+〔m2-1〕x+m=0的两根互为相反数,那么m= .4、设α,β是一元二次方程x2+3x-7=0的两个根,那么α2+4α+β=.5、关于x的一元二次方程x2+2〔2一m〕x+3-6m=0.〔1〕求证:无论m取何实数,方程总有实数根;〔2〕假定方程的两个实数根x l和x2满足x l+x2=m,求m的值.6、关于x的一元二次方程x2+〔a+1〕x+a2-3=0的两个实数根的平方和为4,求a的值.考点3、配方法的运用例1、P=2x2+4y+13,Q=x2-y2+6x-1,那么代数式P,Q的大小关系是〔〕A.P≥Q B.P≤Q C.P>Q D.P<Q例2、a2+10a+b2-4b+29=0,那么a+b的值是〔〕A.-1 B.-3 C.-2 D.0例3、x2+y2-2x-4y+5=0,分式的值为.例4、a2b2+a2+b2+1=4ab,那么a= ,b= .例5、阅读以下资料,解答效果:例:设y=x2+6x-1,求y的最小值.【解析】y=x2+6x-1=x2+2•3•x+32-32-1 =〔x+3〕2-10∵〔x+3〕2≥0∴〔x+3〕2-10≥-10即y的最小值是-10.效果:〔1〕设y=x2-4x+5,求y的最小值.〔2〕:a2+2a+b2-4b+5=0,求ab的值.例6、我们在学习一元二次方程的解法时,了解到配方法.〝配方法〞是处置数学效果的一种重要方法.请应用以上提示处置下题:求证:〔1〕不论m取任何实数,代数式4m2-4〔m+1〕+9的值总是正数〔2〕当m为何值时,此代数式的值最小,并求出这个最小值.举一反三:1、假定a,b都是有理数,且a2-2ab+2b2+4b+4=0,那么ab等于〔〕A.4 B.8 C.-8 D.-42、实数x,y满足,那么x-y= .3、假定a,b都是有理数,且a2-2ab+2b2+4a+8=0,那么= .4、,求的值.5、a、b是等腰△ABC的边且满足a2+b2-8a-4b+20=0,求等腰△ABC的周长.6、阅读资料:把形如ax2+bx+c的二次三项式〔或其一局部〕配成完全平方式的方法叫做配方法.配方法的基本方式是完全平方公式的逆写,即a2±2ab+b2=〔a±b〕2.例如:x2-2x+4=x2-2x+1+3=〔x-1〕2+3是x2-2x+4的一种方式的配方,x2-2x+4=x2-4x+4+2x=〔x-2〕2+2x是x2-2x+4的另一种方式的配方…请依据阅读资料处置以下效果:〔1〕对比下面的例子,写出x2-4x+1的两种不同方式的配方;〔2〕x2+y2-4x+6y+13=0,求2x-y的值;〔3〕a2+b2+c2-ab-3b-2c+4=0,求a+b+c的值.第三局部课堂小测1、关于x的一元二次方程x2+3x-1=0的根的状况是〔〕A.有两个不相等的实数根B.有两个相等的实数根C.没有实数根D.不能确定2、假定方程8x2+2kx+k-1=0的两个实数根是x1,x2且满足x12+x22=1,那么k的值为〔〕A.-2或6 B.-2 C.6 D.43、关于x的方程x2-〔a2-2a-15〕x+a-1=0两个根是互为相反数,那么a的值为______.4、关于x的方程mx2-2〔3m-1〕x+9m-1=0有实数根,那么m的取值范围是。
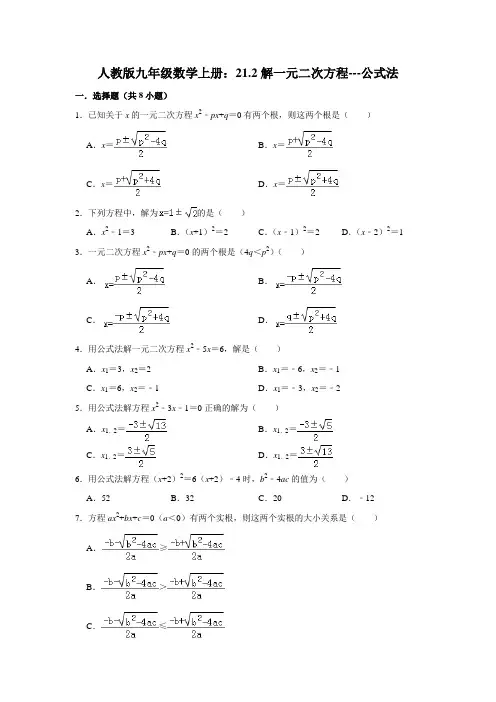
人教版九年级数学上册:21.2解一元二次方程---公式法一.选择题(共8小题)1.已知关于x的一元二次方程x2﹣px+q=0有两个根,则这两个根是()A.x=B.x=C.x=D.x=2.下列方程中,解为的是()A.x2﹣1=3B.(x+1)2=2C.(x﹣1)2=2D.(x﹣2)2=1 3.一元二次方程x2﹣px+q=0的两个根是(4q<p2)()A.B.C.D.4.用公式法解一元二次方程x2﹣5x=6,解是()A.x1=3,x2=2B.x1=﹣6,x2=﹣1C.x1=6,x2=﹣1D.x1=﹣3,x2=﹣25.用公式法解方程x2﹣3x﹣1=0正确的解为()A.x1,2=B.x1,2=C.x1,2=D.x1,2=6.用公式法解方程(x+2)2=6(x+2)﹣4时,b2﹣4ac的值为()A.52B.32C.20D.﹣127.方程ax2+bx+c=0(a<0)有两个实根,则这两个实根的大小关系是()A.≥B.>C.≤D.<8.下列各数中,是方程x2﹣(1+)x+=0的解的有()①1+;②1﹣;③1;④﹣A.0个B.1个C.2个D.3个二.填空题(共11小题)9.一元二次方程x2+x=3中,a=,b=,c=,则方程的根是.10.用公式法解方程x2=﹣8x﹣15,其中b2﹣4ac=.x1=,x2=.11.完成下面的解题过程:用公式法解下列方程:(1)2x2﹣3x﹣2=0.解:a=,b=,c=.b2﹣4ac==>0.==,x1=,x2=.(2)x(2x﹣)=x﹣3.解:整理,得.a=,b=,c=.b2﹣4ac==.==,x1=x2=.(3)(x﹣2)2=x﹣3.解:整理,得.a=,b=,c=.b2﹣4ac==<0.方程实数根.12.完成下面的解题过程:用公式法解方程:2x(x﹣1)+6=2(0.5x+3)解:整理,得.a=,b=,c=.b2﹣4ac==>0.x==,x1=,x2=.13.用公式法解方程(2x﹣1)2+4=(x+2)2﹣4,先把它整理为,它的根为.14.有求根公式可知,一元二次方程最多有个实数根,也可能有实数根;或者实数根.15.把方程(x+3)(x﹣1)=x(1﹣x)整理成ax2+bx+c=0的形式,b2﹣4ac的值是.16.将方程(4y﹣3)(3y﹣1)=4化成一般形式为ay2+by+c=0,则b2﹣4ac=,此方程的根是.17.若x=1是一元二次方程ax2+bx+c=O(a≠O)的根,则判别式△=b2﹣4ac和完全平方式M=(2a+b)2的关系是:△M.(填“>”“<”或“=”)18.用公式法解方程2x2﹣x﹣1=0的根是.19.如果x2+1与4x2﹣3x﹣5互为相反数,则x的值为.三.解答题(共4小题)20.用公式法解方程:(1)x2﹣4x+1=0(2)5x2=4x﹣1(3)2x2﹣2x﹣1=0(4)4x(x﹣)=8.21.用公式法解方程.(1)4x2﹣3x﹣2=0(2)x2+2=2.22.下列解方程的过程是否有错误?若有,请你写出正确的解答过程.解方程;x2﹣8x﹣4=0.解:∵a=1,b=﹣8,c=﹣4,∴b2﹣4ac=(﹣8)2﹣4×1×(﹣4)=64﹣16=48,x=,∴,.23.用公式法解下列方程:(1)x2+2x﹣1=0(2)16x2+8x=3.参考答案一.选择题(共8小题)1.已知关于x的一元二次方程x2﹣px+q=0有两个根,则这两个根是()A.x=B.x=C.x=D.x=【解答】解:x2﹣px+q=0,△=(﹣p)2﹣4q=p2﹣4q,x=,故选:A.2.下列方程中,解为的是()A.x2﹣1=3B.(x+1)2=2C.(x﹣1)2=2D.(x﹣2)2=1【解答】解:A、方程变形得:x2=4,开方得:x=±2,故选项错误;B、开方得:x+1=±,解得:x=﹣1±,故选项错误;C、开方得:x﹣1=±,解得:x=1±,故选项正确;D、开方得:x﹣2=±1,解得:x1=3,x2=1,故选项错误.故选:C.3.一元二次方程x2﹣px+q=0的两个根是(4q<p2)()A.B.C.D.【解答】解:∵a=1,b=﹣p,c=q,∴b2﹣4ac=p2﹣4q,∵4q<p2,∴b2﹣4ac=p2﹣4q>0,∴x==,故选:A.4.用公式法解一元二次方程x2﹣5x=6,解是()A.x1=3,x2=2B.x1=﹣6,x2=﹣1C.x1=6,x2=﹣1D.x1=﹣3,x2=﹣2【解答】解:∵x2﹣5x=6∴x2﹣5x﹣6=0∵a=1,b=﹣5,c=﹣6∴b2﹣4ac=(﹣5)2﹣4×1×(﹣6)=49∴x=∴x1=6,x2=﹣1.故选:C.5.用公式法解方程x2﹣3x﹣1=0正确的解为()A.x1,2=B.x1,2=C.x1,2=D.x1,2=【解答】解:∵a=1,b=﹣3,c=﹣1∴b2﹣4ac=13>0∴x=.故选D.6.用公式法解方程(x+2)2=6(x+2)﹣4时,b2﹣4ac的值为()A.52B.32C.20D.﹣12【解答】解:∵(x+2)2=6(x+2)﹣4∴x2﹣2x﹣4=0∴a=1,b=﹣2,c=﹣4∴b2﹣4ac=4+16=20.故选:C.7.方程ax2+bx+c=0(a<0)有两个实根,则这两个实根的大小关系是()A.≥B.>C.≤D.<【解答】解:在△=b2﹣4ac中,当b2=4ac时,有两根相等的情况,又a<0,∴≥.故选A.8.下列各数中,是方程x2﹣(1+)x+=0的解的有()①1+;②1﹣;③1;④﹣A.0个B.1个C.2个D.3个【解答】解:a=1,b=﹣(1+),c=△=(1+)2﹣4=(1﹣)2>0∴x=∴x1=1,x2=,所以四个选项中,是方程的解的只有一个1,故选B.二.填空题(共11小题)9.一元二次方程x2+x=3中,a=,b=1,c=﹣3,则方程的根是x1=﹣1+,x2=﹣1﹣.【解答】解:移项得,x+x﹣3=0∴a=,b=1,c=﹣3∴b2﹣4ac=7∴x1=﹣1+,x2=﹣1﹣.10.用公式法解方程x2=﹣8x﹣15,其中b2﹣4ac=4.x1=﹣3,x2=﹣5.【解答】解:x2=﹣8x﹣15,x2+8x+15=0,b2﹣4ac=82﹣4×1×15=4,x=,x1=﹣3,x2=﹣5,故答案为:4,﹣3,﹣5.11.完成下面的解题过程:用公式法解下列方程:(1)2x2﹣3x﹣2=0.解:a=2,b=﹣3,c=﹣2.b2﹣4ac=9+16=25>0.==,x1=2,x2=﹣.(2)x(2x﹣)=x﹣3.解:整理,得2x2﹣2x+3=0.a=2,b=﹣2,c=3.b2﹣4ac=24﹣24=0.==,x1=x2=.(3)(x﹣2)2=x﹣3.解:整理,得x2﹣5x+7=0.a=1,b=﹣5,c=7.b2﹣4ac=25﹣28=﹣3<0.方程没有实数根.【解答】解:(1)2x2﹣3x﹣2=0,a=2,b=﹣3,c=﹣2,△=9+16=25,x==,∴x1=2,x2=﹣;(2)方程整理得:2x2﹣2x+3=0,a=2,b=﹣2,c=3,△=24﹣24=0,x=,∴x1=x2=;(3)方程整理得:x2﹣5x+7=0,△=25﹣28=﹣3<0,∴方程没有实数根.12.完成下面的解题过程:用公式法解方程:2x(x﹣1)+6=2(0.5x+3)解:整理,得2x2﹣3x=0.a=2,b=﹣3,c=0.b2﹣4ac=(﹣3)2﹣4×2×0=9>0.x==,x1=0,x2=.【解答】解:去括号,移项,整理得,2x2﹣3x=0,∴a=2,b=﹣3,c=0,∴△=(﹣3)2﹣4×2×0=9>0,∴x==,∴x1=0,x2=.故答案为:2x2﹣3x=0;2,﹣3,0;(﹣3)2﹣4×2×0,9;,;0,.13.用公式法解方程(2x﹣1)2+4=(x+2)2﹣4,先把它整理为3x2﹣8x+5=0,它的根为x1=,x2=1.【解答】解:方程整理得:3x2﹣8x+5=0,这里a=3,b=﹣8,c=5,∵△=64﹣60=4,∴x=,解得:x1=,x2=1,故答案为:3x2﹣8x+5=0;x1=,x2=114.有求根公式可知,一元二次方程最多有2个实数根,也可能有两个相等实数根;或者无实数根.【解答】解:有求根公式可知,一元二次方程最多有2个实数根,也可能有两个实数根;或者无实数根.故答案为:2;两个相等;无15.把方程(x+3)(x﹣1)=x(1﹣x)整理成ax2+bx+c=0的形式2x2+x﹣3=0,b2﹣4ac的值是25.【解答】解:方程(x+3)(x﹣1)=x(1﹣x)整理得:2x2+x﹣3=0,b2﹣4ac=25.故答案为:2x2+x﹣3=0;25.16.将方程(4y﹣3)(3y﹣1)=4化成一般形式为ay2+by+c=0,则b2﹣4ac=217,此方程的根是.【解答】解:方程(4y﹣3)(3y﹣1)=4,整理得:12y2﹣13y﹣1=0,这里a=12,b=﹣13,c=﹣1,∵△=169+48=217,∴y=.故答案为:217;17.若x=1是一元二次方程ax2+bx+c=O(a≠O)的根,则判别式△=b2﹣4ac和完全平方式M=(2a+b)2的关系是:△=M.(填“>”“<”或“=”)【解答】解:∵x=1是一元二次方程ax2+bx+c=O(a≠O)的根,∴a+b+c=0,即b=﹣a﹣c,∴△=b2﹣4ac=(﹣a﹣c)2﹣4ac=a2﹣2ac+c2=(a﹣c)2,M=(2a+b)2=(2a﹣a ﹣c)2=(a﹣c)2,则△=M.故答案为:=.18.用公式法解方程2x2﹣x﹣1=0的根是.【解答】解:a=2,b=﹣,c=﹣1∴b2﹣4ac=10>0∴x=.19.如果x2+1与4x2﹣3x﹣5互为相反数,则x的值为或﹣.【解答】解:据题意得,(x2+1)+(4x2﹣3x﹣5)=0;∴x2﹣3x﹣4=0;∴a=,b=﹣3,c=﹣4;∴b2﹣4ac=81∴x=∴x1=,x2=﹣.三.解答题(共4小题)20.用公式法解方程:(1)x2﹣4x+1=0(2)5x2=4x﹣1(3)2x2﹣2x﹣1=0(4)4x(x﹣)=8.【解答】解:(1)这里a=1,b=﹣4,c=1,∵△=16﹣4=12,∴x==2±;(2)方程整理得:5x2﹣4x+1=0,这里a=5,b=﹣4,c=1,∵△=16﹣20=﹣4<0,∴方程无解;(3)这里a=2,b=﹣2,c=﹣1,∵△=4+8=12,∴x=,解得:x1=,x2=;(4)方程整理得:2x2﹣5x﹣4=0,这里a=2,b=﹣5,c=﹣4,∵△=25+32=57,∴x=,则x1=,x2=.21.用公式法解方程.(1)4x2﹣3x﹣2=0(2)x2+2=2.【解答】解:(1)这里a=4,b=﹣3,c=﹣2,∵△=9+32=41,∴x=;(2)方程整理得:x2﹣2x+2=0,这里a=1,b=﹣2,c=2,∵△=8﹣8=0,∴x==,则x1=x2=.22.下列解方程的过程是否有错误?若有,请你写出正确的解答过程.解方程;x2﹣8x﹣4=0.解:∵a=1,b=﹣8,c=﹣4,∴b2﹣4ac=(﹣8)2﹣4×1×(﹣4)=64﹣16=48,x=,∴,.【解答】解:解答过程有误,正确解法为:x2﹣8x﹣4=0.∵a=1,b=﹣8,c=﹣4,∴b2﹣4ac=(﹣8)2﹣4×1×(﹣4)=64+16=80,x==4±2,∴x1=4+2,x2=4﹣2.23.用公式法解下列方程:(1)x2+2x﹣1=0(2)16x2+8x=3.【解答】解:(1)x2+2x﹣1=0,b2﹣4ac=22﹣4×1×(﹣1)=8,x=,x1=﹣1+,x2=﹣1﹣;(2)16x2+8x=3,16x2+8x﹣3=0,b2﹣4ac=82﹣4×16×(﹣3)=256,x=,x1=,x2=﹣.。
专题21.2 一元二次方程的解法【八大题型】【人教版】【题型1 用直接开平方法解一元二次方程】 (1)【题型2 用配方法解一元二次方程】 (2)【题型3 用公式法解一元二次方程】 (4)【题型4 用因式分解法解一元二次方程】 (5)【题型5 用指定方法解一元二次方程】 (6)【题型6 用适当的方法解一元二次方程】 (12)【题型7 用换元法解一元二次方程】 (14)【题型8 配方法的应用】 (17)【题型1 用直接开平方法解一元二次方程】【例1】(2022•建华区二模)解方程:−13(x ﹣2)2+34=0(开平方法).【分析】先把方程变形为(x ﹣2)2=94,再两边开方得到x ﹣2=±32,然后解两个一次方程即可.【解答】解:−13(x ﹣2)2+34=0,−13(x ﹣2)2=−34,(x ﹣2)2=94,x ﹣2=±32,所以x 1=72,x 2=12.【变式1-1】(2022•齐齐哈尔)解方程:(2x +3)2=(3x +2)2(开平方法).【分析】方程开方转化为一元一次方程,求出解即可.【解答】解:方程:(2x+3)2=(3x+2)2,开方得:2x+3=3x+2或2x+3=﹣3x﹣2,解得:x1=1,x2=﹣1.【变式1-2】(2021秋•徐汇区校级月考)解方程:4(x+1)2﹣9(x﹣2)2=0(开平方法).【分析】直接开方,再解一元一次方程即可.【解答】解:4(x+1)2=9(x﹣2)2,∴2(x+1)=±3(x﹣2),∴x1=8,x2=4 5.【变式1-3】(2022春•黄浦区校级期中)解关于x的方程:x2﹣3=1+ax2(a≠1)(开平方法).【分析】方程整理后,利用平方根定义开方即可求出解.【解答】解:方程整理得:(a﹣1)x2=﹣4,即x2=41−a,当1﹣a>0,即a<1时,x=当1﹣a<0,即a>1时,无解.来求出它的解,如果右边是一个负数,则判定此方程无实数解.【题型2 用配方法解一元二次方程】【例2】(2022春•淄川区期中)(1)请用配方法解方程2x2﹣6x+3=0;(2)请用配方法解一元二次方程ax2+bx+c=0(a≠0).【分析】(1)方程二次项系数化为1,常数项移到右边,两边加上一次项系数一半系数平方,利用完全平方公式变形,开方即可求出解;(2)方程二次项系数化为1,常数项移到右边,两边加上一次项系数一半系数平方,利用完全平方公式变形,开方即可求出解.【解答】解:(1)方程整理得:x 2﹣3x =−32,配方得:x 2﹣3x +94=94−32,即(x −32)2=34,开方得:x −32=解得:x 1=32+x 2=32−(2)方程整理得:x 2+b a x =−c a ,配方得:x 2+b a x +b 24a 2=b 24a 2−c a ,即(x +b 2a )2=b 2−4ac 4a 2,开方得:x +b 2a =解得:x 1=x 2=【变式2-1】(2022秋•松江区期末)用配方法解方程:x 2=4.【分析】两边都加上一次项系数一半的平方配成完全平方式后,再开方即可得.【解答】解:∵x 2=4,∴x 2﹣+5=4+5,即(x 2=9,∴x 3或x =−3,∴x 1=3x 2=﹣3+【变式2-2】(2022秋•伊川县期中)用配方法解方程:4x 2﹣8x ﹣7=0.【分析】根据配方法的步骤先把二次项系数化为1,再在等式左右两边同时加上一次项系数的一半的平方,然后开方即可.【解答】解:4x 2﹣8x ﹣7=0,4x 2﹣8x =7,x 2﹣2x =74,配方得x 2﹣2x +12=74+1,(x ﹣1)2=114,x ﹣1=x =∴x1=1x2=1【变式2-3】(2022秋•潢川县期末)解方程:2x2﹣5x+1=0(用配方法)【分析】将常数项移到右边后把二次项系数化为1,再两边配上一次项系数一半的平方求解可得.【解答】解:∵2x2﹣5x=﹣1,∴x2−52x=−12,∴x2−52x+2516=−12+2516,即(x−54)2=1716,则x−5 4 =∴x【题型3 用公式法解一元二次方程】【例3】(2022春•通州区校级月考)用公式法解方程:2a2﹣3=﹣4a.【分析】先把原方程化成一元二次方程的一般形式,再利用公式法进行计算即可解答.【解答】解:2a2﹣3=﹣4a,整理得:2a2+4a﹣3=0,∵Δ=42﹣4×2×(﹣3)=16+24=40,∴a=∴a1a2=【变式3-1】(2022秋•徐汇区校级月考)解方程:5x+2=(3x﹣1)(2x+2)(公式法).【分析】整理成一般式,先求出b2﹣4ac的值,再代入公式求出即可.【解答】解:方程整理得:6x2﹣x﹣4=0,∵a=6,b=﹣1,c=﹣4,∴b2﹣4ac=(﹣1)2﹣4×6×(﹣4)=97>0,∴x=∴x1x2=【变式3-2】(2022秋•金山区校级期中)用公式法解方程:x2﹣﹣3=0.【分析】先求出b2﹣4ac的值,再代入公式求出方程的解即可.【解答】解:x2﹣﹣3=0,∵a=1,b=﹣c=﹣3,∴Δ=b2﹣4ac=(﹣2﹣4×1×(﹣3)=20>0,∴x=∴x1=x2=【变式3-3】(2022•市中区二模)用公式法解一元二次方程:2x2﹣7x+6=0.【分析】方程利用公式法求出解即可.【解答】解:方程2x2﹣7x+6=0,这里a=2,b=﹣7,c=6,∵Δ=49﹣48=1>0,∴x=7±1 4,则x1=2,x2=1.5.转化为解两个一元一次方程,这种解一元二次方程的方法叫做因式分解法.【题型4 用因式分解法解一元二次方程】【例4】(2022秋•莲湖区期中)用因式分解法解方程:2(x﹣3)=3x(x﹣3).【分析】移项后,利用提公因式法将方程的左边因式分解,继而得出两个关于x的一元一次方程,再进一步求解即可.【解答】解:∵2(x﹣3)=3x(x﹣3),∴2(x﹣3)﹣3x(x﹣3)=0,则(x﹣3)(2﹣3x)=0,∴x﹣3=0或2﹣3x=0,解得x1=3,x2=2 3.【变式4-1】(2022秋•徐汇区校级月考)解方程:(4﹣3x)+(3x﹣4)2=0(因式分解法).【分析】利用提取公因式(4﹣3x),将左边因式分解,再进一步求解即可.【解答】解:∵(4﹣3x)+(3x﹣4)2=0,∴(4﹣3x)(5﹣3x)=0,则4﹣3x=0或5﹣3x=0,解得x1=43,x2=53.【变式4-2】(2022秋•长白县期中)用因式分解法解方程:(x+3)2=(1﹣2x)2.【分析】方程整理后,利用因式分解法求出解即可.【解答】解:方程整理得:(x+3)2﹣(1﹣2x)2=0,分解因式得:(x+3+1﹣2x)(x+3﹣1+2x)=0,即(4﹣x)(3x+2)=0,可得4﹣x=0或3x+2=0,解得:x1=4,x2=−2 3.【变式4-3】(2022秋•简阳市月考)用因式分解法解方程:x2+0【分析】利用因式分解法把方程化为x=0或x+=0,然后解一次方程即可.【解答】解:(x x+0,x=0或x+=0,所以x1=x2=【题型5 用指定方法解一元二次方程】【例5】(2022秋•兴平市校级月考)按规定的方法解下列方程:(1)(x+1)2﹣144=0(直接开平方法);(2)x2=8x+9(配方法);(3)2y2+7y+3=0(公式法);(4)3(x﹣2)2=x(x﹣2)(因式分解法).【分析】(1)移项,然后开平方即可求解;(2)首先移项,然后配方,利用直接开平方法即可求解;(3)利用公式法即可求解;(4)移项,然后利用因式分解法即可求解.【解答】解:(1)(x+1)2=144,则x+1=12或x+1=﹣12,解得:x1=﹣13,x2=11;(2)移项,得:x2﹣8x=9,配方,得x2﹣8x+16=25,则(x﹣4)2=25,即x﹣4=5或x﹣4=﹣5,解得:x1=9,x2=﹣1;(3)a=2,b=7,c=3,△=49﹣4×2×3=49﹣24=25>0.则x=−7±54,则x1=﹣3,x2=−1 2;(4)原式即3(x﹣2)2﹣x(x﹣2)=0,因式分解得:(x﹣2)【3(x﹣2)﹣x】=0,即(x﹣2)(2x﹣6)=0,则x﹣2=0或2x﹣6=0,解得:x1=2,x2=3.【变式5-1】(2022秋•宁县校级月考)用适当的方法解方程:(1)x(x﹣2)+x﹣2=0(用因式分解法)(2)x2﹣4x+3=0(用配方法解)(3)x2+5x+1=0(用公式法解)(4)(x﹣4)2=(5﹣2x)2(用直接开平方法)【分析】(1)先提取公因式(x﹣2)因式分解,再求解即可;(2)先利用完全平方公式配方,然后开平方求解即可;(3)写出a、b、c的值,然后利用求根公式法求解;(4)直接开平方求解即可.【解答】解:(1)因式分解得,(x﹣2)(x+1)=0,由此得,x﹣2=0,x+1=0,所以,x1=2,x2=﹣1;(2)配方得,x2﹣4x+4﹣4+3=0,即(x﹣2)2=1,所以,x﹣2=±1,所以,x1=3,x2=1;(3)a=1,b=5,c=1,Δ=b2﹣4ac=52﹣4×1×1=25﹣1=24,xx1x2=(4)开平方得,x﹣4=±(5﹣2x),所以,x﹣4=5﹣2x或x﹣4=2x﹣5,解得x1=3,x2=1.【变式5-2】(2022秋•简阳市月考)解下列方程(1)(2x﹣1)2=7(直接开平方法)(2)2x2﹣7x﹣4=0(用配方法)(3)2x2﹣10x=3(公式法)(4)(3x﹣4)2=(3﹣4x)2(因式分解法)(5)x2+=26(用换元法解)(6)(2x2+1)2﹣2x2﹣3=0(用换元法解)【分析】(1)用直接开平方法求解就可以了;(2)先将常数项移到等号的右边,再将二次项系数化为1,然后配方为完全平方公式后直接用开平方法求解就可以;(3)先化为一般形式,然后确定a、b、c的值,最后代入求根公式求解就可以了;(4)先移项,然后用平方差公式分解因式就可以求出结论;(5a,将原方程变形为a2﹣a=30,再解一个关于a的一元二次方程求解;(6)将原方程变形为:(2x2+1)2﹣(2x2+1)﹣2=0,再设2x2+1=a,就可以变为a2﹣a﹣2=0,最后可以运用因式分解法求解.【解答】解:(1)开平方,得2x﹣1=∴x1x2(2)移项,得2x2﹣7x=4,化二次项的系数为1,得x2−72x=2,配方,得x2−72x+4916=2+4916,(x−74)2=8116开平方,得x−74=±94,∴x1=4,x2=−1 2;(3)移项,得2x2﹣10x﹣3=0,∴a=2,b=﹣10,c=﹣3,∴△=100+24=124>0,∴x∴x1x2=(4)移项,得(3x﹣4)2﹣(3﹣4x)2=0分解因式,得(3x﹣4+3﹣4x)(3x﹣4﹣3+4x)=0,∴﹣x﹣1=0或7x﹣7=0,∴x1=﹣1,x2=1;(5)原方程变形为:x2+30,a,将原方程变形为:a2﹣a=30,移项,得a2﹣a﹣30=0,因式分解,得(a+5)(a﹣6)=0,∴a+5=0或a﹣6=0,∴a1=﹣5(舍去),a2=6,6,解得:x=经检验,x=(6)原方程变形为:(2x2+1)2﹣(2x2+1)﹣2=0,设2x2+1=a,则原方程变为:a2﹣a﹣2=0,解得:a1=﹣1,a2=2,当a=﹣1时,2x2+1=﹣1,Δ<0,原方程无解,当a=2时,2x2+1=2,解得:x=【变式5-3】(2022秋•恩阳区月考)解方程:①x2+x+=0(因式分解法)②5x2+2x﹣1=0(公式法)③y 2+6y +2=0(配方法)④9(x ﹣2)2=121(x +1)2(直接开平方法)⑤x 1x 2−2x 2x 1=1(换元法)⑥(x 2﹣x )2﹣5(x 2﹣x )+6=0(适当方法)【分析】①根据方程特点,采用因式分解法解答.②根据方程的系数特点,应准确确定各个项系数,利用求根公式求得.③可以先移项,然后利用配方法解答.④利用直接开平方法解答;⑤移项整理,利用换元法求得未知数的解即可.⑥利用换元法解答.【解答】解:①x 2+x +0,(x x +0,∴x +=0或x +=0,∴x 1=x 2=②5x 2+2x ﹣1=0,a =5,b =2,c =﹣1,Δ=b 2﹣4ac =4+20=24,x所以x 1=x 2③y 2+6y +2=0,y 2+6y =﹣2,y 2+6y +9=﹣2+9,即(y +3)2=7,∴y +3∴y 1=﹣3+y 2=﹣3④9(x ﹣2)2=121(x +1)2,3(x ﹣2)=±11(x +1),∴3(x ﹣2)=11(x +1)或3(x ﹣2)=﹣11(x +1),∴x 1=−178,x 2=−514;⑤x 1x 2−2x 2x 1=1,x 1x 2−2x 2x 1−1=0,设y =x 1x 2,则原方程为y −2y −1=0,y 2﹣y ﹣2=0,解得:y =﹣1,或y =2,当y =﹣1,x 1x 2=−1,此方程无解;当y =2,x 1x 2=2,解得:x 1=1,x 2=−12,经检验,x 1=1,x 2=−12是原分式方程的解,所以原方程的解为x 1=1,x 2=−12.⑥(x 2﹣x )2﹣5(x 2﹣x )+6=0,设y =x 2﹣x ,则原方程为y 2﹣5y +6=0,解得:y =3,或y =2,当y =3,x 2﹣x =3,x 1=x 2=当y =2,x 2﹣x =2,解得:x 3=2,x 4=﹣1;所以原方程的解为x 1x 2x 3=2,x 4=﹣1.【题型6 用适当的方法解一元二次方程】【例6】(2022春•富阳区校级期中)用适当的方法解下列一元二次方程:(1)(x +4)2﹣5(x +4)=0;(2)x 2﹣2x ﹣15=0.【分析】(1)等式左边可提取公因式(x +4),转化为(x +4)(x ﹣1)=0求解;(2)根据十字相乘法可将方程变形为(x +3)(x ﹣5)=0,由此可得同解方程x +3=0或x ﹣5=0,据此求解.【解答】解:(1)(x +4)2﹣5(x +4)=0,将方程变形,得(x+4)(x﹣1)=0,即x+4=0,x﹣1=0,解得:x1=﹣4,x2=1.(2)x2﹣2x﹣15=0,将方程变形,得(x+3)(x﹣5)=0,则x+3=0或x﹣5=0,解得x1=﹣3,x2=5.【变式6-1】(2022春•大观区校级期中)用适当的方法解方程(1)x2﹣x﹣1=0;(2)(x+1)2﹣3(x+1)=0.【分析】(1)利用公式法解方程;(2)利用因式分解法解方程.【解答】解:(1)Δ=(﹣1)2﹣4×(﹣1)=5>0,x所以x1=x2=(2)(x+1)2﹣3(x+1)=0.(x+1)(x+1﹣3)=0,x+1=0或x+1﹣3=0,所以x1=﹣1,x2=2.【变式6-2】(2022春•萧山区期中)用适当的方法解下列方程:(1)x2﹣x﹣6=0;(2)4(x﹣1)2=9(x﹣5)2.【分析】(1)利用十字相乘法将方程的左边因式分解,继而得出两个关于x的一元一次方程,再进一步求解即可;(2)先移项,再利用公式法将方程的左边因式分解,继而得出两个关于x的一元一次方程,再进一步求解即可.【解答】解:(1)∵x2﹣x﹣6=0,∴(x﹣3)(x+2)=0,则x ﹣3=0或x +2=0,解得x 1=3,x 2=﹣2;(2)∵4(x ﹣1)2=9(x ﹣5)2,∴4(x ﹣1)2﹣9(x ﹣5)2=0,∴[2(x ﹣1)+3(x ﹣5)][2(x ﹣1)﹣3(x ﹣5)]=0,则2(x ﹣1)+3(x ﹣5)=0或2(x ﹣1)﹣3(x ﹣5)=0,解得x 1=13,x 2=175.【变式6-3】(2022春•柯桥区期中)选用适当的方法解下列方程.(1)2x (x ﹣1)=3(x ﹣1);(2)12x 2﹣5=0.【分析】(1)方程移项后,利用因式分解法求出解即可;(2)方程整理后,利用配方法求出解即可.【解答】解:(1)方程移项得:2x (x ﹣1)﹣3(x ﹣1)=0,分解因式得:(x ﹣1)(2x ﹣3)=0,所以x ﹣1=0或2x ﹣3=0,解得:x 1=1,x 2=32;(2)方程整理得:x 2=10,配方得:x 2+8=18,即(x 2=18,开方得:x =解得:x 1=x 2=﹣【题型7 用换元法解一元二次方程】【例7】(2022秋•安居区期末)为解方程(x 2﹣1)2﹣5(x 2﹣1)+4=0,我们可以将x 2﹣1视为一个整体,然后设x 2﹣1=y ,则原方程可化为y 2﹣5y +4=0,解此方程得y 1=1,y 2=4.当y =1时,x 2﹣1=1,所以x =±当y =4时,x 2﹣1=4,所以x =±所以原方程的根为x 1=x 2=x 3x 4=以上解方程的方法叫做换元法,利用换元法达到了降次的目的,体现了数学的转化思想.运用上述方法解下列方程:(1)(x2﹣x)(x2﹣x﹣4)=﹣4;(2)x4+x2﹣12=0.【分析】(1)设x2﹣x=a,原方程可化为a2﹣4a+4=0,求出a的值,再代入x2﹣x=a求出x即可;(2)设x2=y,原方程化为y2+y﹣12=0,求出y,再把y的值代入x2=y求出x即可.【解答】解:(1)(x2﹣x)(x2﹣x﹣4)=﹣4,设x2﹣x=a,则原方程可化为a2﹣4a+4=0,解此方程得:a1=a2=2,当a=2时,x2﹣x=2,即x2﹣x﹣2=0,因式分解得:(x﹣2)(x+1)=0,解得:x1=2,x2=﹣1,所以原方程的解是x1=2,x2=﹣1;(2)x4+x2﹣12=0,设x2=y,则原方程化为y2+y﹣12=0,因式分解,得(y﹣3)(y+4)=0,解得:y1=3,y2=﹣4,当y=3时,x2=3,解得:x=±当y=﹣4时,x2=﹣4,无实数根,所以原方程的解是x1=x2=【变式7-1】(2021春•龙口市月考)阅读下面材料:方程x4﹣6x2+8=0是一个一元四次方程,根据该方程的特点,它的解法通常是设x2=y,则x4=y2,∴原方程可化为y2﹣6y+8=0,解方程求得y的值,进而得到原方程的四个根x1=x2=x3=2,x4=﹣2.以上方法叫做换元法,通过换元达到降次的目的,体现了数学的转化思想,运用上述方法解答下列问题.(1)解方程2(x2+3x)2﹣3(x2+3x)﹣2=0;(2)已知实数a满足(a2+2﹣3a2=2的值.【分析】(1)先设y=x2+3x,则原方程变形为2y2﹣3y﹣2=0,运用因式分解法解得y1=2,y2=−1 2,再把y=2和−12分别代入y=x2+3x得到关于x的一元二次方程,然后解两个一元二次方程,最后确定原方程的解;(2)设y =a 2y 2﹣3y ﹣10=0,运用因式分解法解得y 1=﹣2,y 2=5,再把y =5代y =a 2得到a 2+5,即可求得a 2=52的值.【解答】解:(1)设y =x 2+3x ,则2y 2﹣3y ﹣2=0,则(y ﹣2)(2y +1)=0,解得y 1=2,y 2=−12,当x 2+3x =2,即x 2+3x ﹣2=0时,解得x =当x 2+3x =−12,即x 2+3x +12=0时,解得x =综上所述,原方程的解为x 1=x 2x 3x 4=(2)(a 2+2﹣3a 2=a 22﹣3(a 2﹣10=0,设y =a 2+y 2﹣3y ﹣10=0,则(y +2)(y ﹣5)=0,解得y 1=﹣2,y 2=5,当y =﹣2时,则a 2+=−2,无意义,舍去;当y =5时,则a 2+5,得到a 2=5∴2=53﹣故2的值为3﹣【变式7-2】(2022秋•邵东市期末)请你先认真阅读下列材料,再参照例子解答问题:已知(x +y ﹣3)(x +y +4)=﹣10,求x +y 的值.解:设t =x +y ,则原方程变形为(t ﹣3)(t +4)=﹣10,即t 2+t ﹣2=0∴(t +2)(t ﹣1)=0得t 1=﹣2,t 2=1∴x +y =﹣2或x +y =1已知(x 2+y 2﹣4)(x 2+y 2+2)=7,求x 2+y 2的值.【分析】根据举例进行解答即可.【解答】解:设t =x 2+y 2>0∴(t ﹣4)(t +2)=7t 2﹣2t ﹣15=0,解得:t 1=5,t 2=﹣3(舍去)∴x 2+y 2=5.【变式7-3】(2022秋•甘井子区月考)【例】解方程(x ﹣1)2﹣5(x ﹣1)+4=0.解:设x ﹣1=y ,则原方程可化为y 2﹣5y +4=0.解得y 1=1,y 2=4.当y =1时,即x ﹣1=1,解得x =2;当y =4时,即x ﹣1=4,解得x =5.所以原方程的解为x 1=2,x 2=5.上述解法称为“整体换元法”.(1)请运用“整体换元法”解方程:(2x ﹣5)2﹣(2x ﹣5)﹣2=0;(2)已知x 2﹣xy ﹣y 2=0,求x y 的值.【分析】(1)先设y =2x ﹣5,则原方程变形为y 2﹣y ﹣2=0,运用因式分解法解得y 1=2,y 2=﹣1,再把y =2和﹣1分别代y =2x ﹣5得到关于x 的一元二次方程,然后解两个一元二次方程,最后确定原方程的解;(2)x 2﹣xy ﹣y 2=0,方程两边同时除以y 2,可得x 2−xy−y 2y 2=0,设x y =m ,方程可化为m 2﹣m ﹣1=0,类似(1)的减法可得x y 的值.【解答】解:(1)设y =2x ﹣5,则原方程变形为y 2﹣y ﹣2=0,解得y 1=2,y 2=﹣1,当y =2时,即2x ﹣5=2,解得x =3.5;当y =﹣1时,2x ﹣5=﹣1,解得x =2.所以原方程的解为x 1=3.5,x 2=2;(2)x 2﹣xy ﹣y 2=0,方程两边同时除以y 2,得x 2−xy−y 2y 2=0,设x y =m ,方程可化为m 2﹣m ﹣1=0,解得m 1m 2∴x y 的值为【题型8 配方法的应用】【例8】(2022秋•饶平县期末)已知a ,b ,c 满足a 2+2b =7,b 2﹣2c =﹣1,c 2﹣6a =﹣17,则a +b ﹣c 的值为( )A.1B.﹣5C.﹣6D.﹣7【分析】题目中的式子相加,然后利用配方法变形为完全平方的形式,再利用非负数的性质即可求得所求式子的值.【解答】解:∵a2+2b=7,b2﹣2c=﹣1,c2﹣6a=﹣17,∴(a2+2b)+(b2﹣2c)+(c2﹣6a)=7+(﹣1)+(﹣17),∴a2+2b+b2﹣2c+c2﹣6a=﹣11,∴(a2﹣6a+9)+(b2+2b+1)+(c2﹣2c+1)=0,∴(a﹣3)2+(b+1)2+(c﹣1)2=0,∴a﹣3=0,b+1=0,c﹣1=0,解得,a=3,b=﹣1,c=1,∴a+b﹣c=3﹣1﹣1=1.故选:A.【变式8-1】(2022•武汉模拟)若实数a,b,x满足a﹣b=2,a2﹣b2=﹣4x,则多项式a2+ab﹣b2的值可能为( )A.﹣5B.﹣6C.﹣7D.﹣8【分析】将多项式a2+ab﹣b2进行变形,利用配方法可得(b+3)2﹣5,再根据偶次方的非负数性质解答即可.【解答】解:∵a﹣b=2,∴a=b+2,∴a2+ab﹣b2=(b+2)2+b(a﹣b)=b2+4b+4+2b=b2+6b+4=(b+3)2﹣5,∴a2+ab﹣b2的最小值是﹣5.故选:A.【变式8-2】(2022春•仪陇县校级月考)已知a+b+c+3=+则a+b+c的值是 .【分析】先将条件配方成)2)2)2=0,根据完全平方式的非负性求出a、b和c的值即可.【解答】解:∵a+b+c+3=++∴+++1=0,即)2)2)2=0,1=0=0=0,解得a=1,b=5,c=3.∴a+b+c=1+5+3=9.故答案为:9.【变式8-3】(2022春•临湘市期中)阅读材料例:求代数式2x2+4x﹣6的最小值.解:2x2+4x﹣6=2(x2+2x﹣3)=2(x+1)2﹣8.可知当x=﹣1时,2x2+4x﹣6有最小值,最小值是﹣8.根据上面的方法解决下列问题:(1)m2﹣4m﹣5最小值是 .(2)多项式a2+b2﹣4a+6b+18最小值可以是 .【分析】(1)将多项式加4再减4,利用配方法后可得结论;(2)将多项式重新分组,改写成(a2﹣4a+4)+(b2+6b+9)+5,配方后可得结论.【解答】解:(1)∵m2﹣4m﹣5=m2﹣4m+4﹣9=(m﹣2)2﹣9,∴当m=2时,m2﹣4m﹣5有最小值,最小值是﹣9.故答案为:﹣9;(2)∵a2+b2﹣4a+6b+18=(a2﹣4a+4)+(b2+6b+9)+5=(a﹣2)2+(b+3)2+5,∴当a=2,b=﹣3时,多项式a2+b2﹣4a+6b+18有最小值,最小值是5.故答案为:5.。
解一元二次方程知识定位讲解用时:3分钟A、适用范围:人教版初三,基础一般B、知识点概述:本讲义主要用于人教版初三新课,本节课我们要主要学习一元二次方程的求解,重点掌握直接开平方法、因式分解法、配方法以及公式法解一元二次方程,本节的重点是能够根据不同的方程特征选择合适的解法,难点是一元二次方程与其他知识点的结合考查,希望同学们认真学习,熟练使用各种解法,为后面一元二次方程的应用奠定良好基础。
知识梳理讲解用时:30分钟A.有两个相等的实数根B.有两个不相等的实数根C.只有一个实数根D.无实数根【答案】D【解析】考查了直接开平方法解一元二次方程,由原方程得到:(x﹣2019)2=﹣2019,①(x﹣2019)2≥0,﹣2019<0,①该方程无解,故选:D.讲解用时:2分钟解题思路:先移项,然后利用直接开平方法解方程。
教学建议:形如x2=p或(nx+m)2=p(p≥0)的一元二次方程可采用直接开平方的方法解一元二次方程。
难度:3 适应场景:当堂例题例题来源:余干县校级期末年份:2019秋【练习1】已知一元二次方程mx2+n=0(m≠0),若方程有解,则必须()。
A.n=0 B.mn同号C.n是m的整数倍D.mn异号【答案】D【解析】此题主要考查了直接开平方法解一元二次方程,n,mx2+n=0,则mx2=﹣n,即x2=﹣m①x2≥0,m≠0,①mn异号,故选:D.讲解用时:2分钟n,再解题思路:由mx2+n=0移项得mx2=﹣n,再两边同时除以m,可得x2=﹣m根据偶次幂的非负性可得mn异号。
教学建议:解这类问题要移项,把所含未知数的项移到等号的左边,把常数项移项等号的右边,化成x2=a(a≥0)的形式,利用数的开方直接求解。
难度:3 适应场景:当堂练习例题来源:海原县校级期中年份:2019秋【例题2】在实数范围内定义运算“①”,其规则为a①b=a2﹣b2,则方程(4①3)①x=13的根为。
【答案】x1=6,x2=﹣6【解析】本题考查的是用直接开平方法解一元二次方程,根据新定义可以列方程:(42﹣32)①x=13,则72﹣x2=13,∴49﹣x2=13,则x2=36,①x1=6,x2=﹣6,故答案为:x1=6,x2=﹣6.讲解用时:3分钟解题思路:根据新定义列出方程,把方程的左边化成完全平方的形式,右边是一个非负数,用直接开平方法求出方程的根。
教学建议:根据定义转化为一元二次方程。
难度:3 适应场景:当堂例题例题来源:甘州区校级期中年份:2019【练习2】定义新运算“①”,对于非零的实数a,b,规定a①b=b2,若2①(x﹣1)=3,则x=。
【答案】1+3或1﹣3【解析】本题主要考查了直接开平方法解一元二次方程的知识,①a①b=b2,且2①(x﹣1)=3,①(x﹣1)2=3,①x﹣1=±3,①x1=1+3,x2=1﹣3,故答案为1+3或1﹣3。
讲解用时:2分钟解题思路:根据定义a①b=b2把2①(x﹣1)=3转化为一元二次方程,利用直接开平方法求出方程的解即可。
教学建议:根据定义转化为一元二次方程。
难度:3 适应场景:当堂练习例题来源:无棣县模拟年份:2019【例题3】三角形的每条边的长都是方程x2﹣7x+10=0的根,则三角形的周长是。
【答案】12或6或15【解析】此题考查了解一元二次方程﹣因式分解法,方程x2﹣7x+10=0,分解因式得:(x﹣2)(x﹣5)=0,解得:x=2或x=5,三角形三边长为2,2,5(舍去);2,5,5;2,2,2;5,5,5,则周长为12或6或15.讲解用时:5分钟解题思路:方程左边的多项式利用十字相乘法分解因式后,利用两数相乘积为0,两因式中至少有一个为0转化为两个一元一次方程来求出解,利用三角形的三边关系判断,求出三角形周长即可。
教学建议:先将方程整理为一般形式,然后利用两数相乘积为0,两因式中至少有一个为0转化为两个一元一次方程来求解。
难度:3 适应场景:当堂例题例题来源:和平区一模年份:2019【练习3】已知a,3是直角三角形的两条直角边,第三边的长满足方程x2﹣9x+20=0,则a 的值为。
【答案】4或7【解析】本题考查了解一元二次方程﹣因式分解法以及勾股定理,①x2﹣9x+20=0,即(x﹣4)(x﹣5)=0,①x﹣4=0,x﹣5=0,解得x1=5,x2=4,①a和3是两直角边时,第三边是5或4,①a=4或7.故答案是:4或7。
讲解用时:5分钟解题思路:因式分解法解一元二次方程求出方程的解,得出直角三角形的斜边长,再根据勾股定理求出第三边即可教学建议:当已知条件中没有明确哪是斜边时,要注意讨论,一些学生往往忽略这一点,造成丢解。
难度:3 适应场景:当堂练习例题来源:西城区校级期末年份:2019春【例题4】将一元二次方程﹣x2+6x﹣5=0化成(x﹣m)2=n的形式,则﹣(m﹣n)2019=。
【答案】1【解析】本题考查了解一元二次方程﹣配方法,由已知方程得x2﹣6x=﹣5,∴x2﹣6x+9=﹣5+9,则(x﹣3)2=4,∴m=3,n=4,∴-(m-n)2019=﹣(3﹣4)2019=1.讲解用时:5分钟解题思路:先利用配方法得到(x﹣3)2=4,则m=3,n=4,然后利用乘方的意义计算-(m-n)2019的值。
教学建议:熟练掌握配方法的过程。
难度:3 适应场景:当堂例题例题来源:中山市月考年份:2019春【练习4】若方程2x2+8x﹣32=0能配方成(x+p)2+q=0的形式,则直线y=px+q不经过的象限是。
【答案】第二象限【解析】本题考查了解一元二次方程﹣配方法以及一次函数图像的相关知识点,由已知方程得x2+4x=16,则x2+4x+4=20,∴(x+2)2=20,则p=2,q=﹣20,直线解析式为y=2x﹣20,此直线经过第一、三、四象限,不经过第二象限.讲解用时:5分钟解题思路:利用配方法得到(x+2)2=20,所以p=2,q=﹣20,则直线解析式为y=2x﹣20,然后根据一次函数的性质解决问题。
教学建议:通过配方法确定p和q的值,再根据一次函数的图像性质解题。
难度:4 适应场景:当堂练习例题来源:和平区校级月考年份:2019秋【例题5】小明同学用配方法推导关于x的一元二次方程ax2+bx+c=0的求根公式时,对于b2﹣4ac>0的情况,他是这样做的:小明的解法从第步开始出现错误;这一步的运算依据应是。
【答案】四、平方根的定义【解析】本题考查了利用配方法推导一元二次方程求根公式,小明的解法从第四步开始出现错误;这一步的运算依据应是平方根的定义;故答案为四;平方根的定义讲解用时:8分钟解题思路:用配方法解一元二次方程的步骤:(1)形如x2+px+q=0型:第一步移项,把常数项移到右边;第二步配方,左右两边加上一次项系数一半的平方;第三步左边写成完全平方式;第四步,直接开方即可;(2)形如ax2+bx+c=0型,方程两边同时除以二次项系数,即化成x2+px+q=0,然后配方。
教学建议:可先带领学生一起推导。
难度:4 适应场景:当堂例题例题来源:丰台区一模年份:2019【练习5】2+1=0的两根,则它的周长为。
等腰三角形的边长是方程x2﹣x2【答案】32+1【解析】本题考查了一元一次方程的解法、等腰三角形的性质和三角形的三边关系,由一元二次方程求根公式解方程x2﹣22x+1=0的两根,得x1=2+1,x2=2﹣1,①等腰三角形的边长是方程x2﹣22x+1=0的两根,①等腰三角形的三边为①2+1,2+1,2﹣1,①2+1,2﹣1,2﹣1,①2+1>2﹣1+2﹣1,①①不能构成三角形,①等腰三角形的三边为2+1,2+1,2﹣1,①它的周长为32+1.讲解用时:8分钟解题思路:先解方程,求得两根为x1=2+1,x2=2﹣1,再根据三角形的三边关系,得等腰三角形的腰为2+1,从而求出周长。
教学建议:能够根据三角形三边关系进行取舍。
难度:4 适应场景:当堂练习 例题来源:涪陵区校级月考 年份:2019【例题6】解方程:(1)(2x ﹣1)2=9(2)x 2+3x ﹣4=0(用配方法)(3)3x 2+5(2x+1)=0(用公式法)(4)7x (5x+2)=6(5x+2)【答案】(1)x 1=2,x 2=﹣1 ;(2)x 1=1,x 2=﹣4;(3)x 1=3105+-,x 2=3105--;(4)x 1=52-,x 2=76 【解析】本题考查一元二次方程的解法,(1)(2x ﹣1)=±3,①x 1=2,x 2=﹣1(2)x 2﹣3x=4,①x 2﹣3x+(23)2=4+(23)2,①(x ﹣23)2=425, ①x ﹣23=25± ,①x 1=1,x 2=﹣4 (3)3x 2+10x+5=0,①a=3,b=10,c=5,①①=100﹣60=40>0, ①x=610210±-,①x 1=3105+-,x 2=3105--. (4)(5x+2)(7x ﹣6)=0,①5x+2=0或7x ﹣6=0,x 1=52-,x 2=76. 讲解用时:10分钟解题思路:(1)利用直接开方法解方程即可;(2)根据配方法的步骤解方程即可;(3)根据公式法的步骤解方程即可;(4)利用因式分解法解方程即可; 教学建议:根据方程的特点,选择合适的方法解方程。
难度:4 适应场景:当堂例题 例题来源:蓬溪县期末 年份:2019秋【练习6】(1)用配方法解方程:3x 2﹣12x+9=0;(2)用公式法解方程:3x 2﹣9x+4=0.【答案】(1)x 1=3,x 2=1;(2)x 1=6339+,x 2=6339- 【解析】本题考查了解一元二次方程,(1)两边同除以3,得x 2﹣4x+3=0,移项,得x 2﹣4x=﹣3,配方,得x 2﹣4x+4=﹣3+4,(x ﹣2)2=1,则x ﹣2=±1,∴x 1=3,x 2=1;(2)①a=3,b=﹣9,c=4,①①=b 2﹣4a c=(﹣9)2﹣4×3×4=33>0,①方程有两个不相等的实数根为x=32339⨯±, x 1=6339+,x 2=6339- 讲解用时:8分钟解题思路:(1)移项,系数化成1,配方,开方,即可得出两个方程,求出方程的解即可;(2)先求出b 2﹣4ac 的值,再代入公式求出即可。
教学建议:熟记解一元二次方程的各个方法。
难度:4 适应场景:当堂练习 例题来源:惠民县期末 年份:2019秋【例题7】关于x 的一元二次方程mx 2+nx=0的一根为x=3,则关于x 的方程m(x+2)2+nx+2n=0的根为 。
【答案】1或﹣2【解析】本题主要考查一元二次方程的解,由方程根的定义求得m 和n 的关系是解题的关键。