2014-2019高考数学分类汇编专题2函数(函数的基本性质)
- 格式:doc
- 大小:3.74 MB
- 文档页数:37
函数的基本性质函数的基本性质一、函数的单调性函数的单调性函数的单调性反映了函数图像的走势,高考中常考其一下作用:比较大小,解不等式,求最值。
定义:(略)定理1: 那么上是增函数;上是减函数.定理2:(导数法确定单调区间) 若 ,那么上是增函数; 上是减函数.1.函数单调性的判断(证明)(1)作差法(定义法) (2)作商法 (3)导数法2.复合函数的单调性的判定对于函数 和 ,如果函数 在区间 上具有单调性,当 时 ,且函数 在区间 上也具有单调性,则复合函数 在区间 具有单调性。
3.由单调函数的四则运算所得到的函数的单调性的判断对于两个单调函数 和 ,若它们的定义域分别为 和 ,且 :(1)当 和 具有相同的增减性时,① 的增减性与 相同,② 、 、 的增减性不能确定;(2)当 和 具有相异的增减性时,我们假设 为增函数, 为减函数,那么:① 的增减性不能确定;② 、 、 为增函数, 为减函数。
4.奇偶函数的单调性奇函数在其定义域内的对称区间上的单调性相同,偶函数在其定义域内的对称区间上的单调性相反。
二、函数的对称性函数的对称性是函数的一个基本性质, 对称关系不仅广泛存在于数学问题之中,而且利用对称性往往能够更简捷的使问题得到解决,对称关系同时还充分体现数学之美。
1.函数 的图象的对称性(自身):定理1: 函数 的图象关于直 对称特殊的有:①函数 的图象关于直线 对称 。
②函数 的图象关于 轴对称(奇函数) 。
③函数 是偶函数 关于 对称。
定理2:函数 的图象关于点 对称特殊的有:① 函数 的图象关于点 对称 。
② 函数 的图象关于原点对称(奇函数) 。
③ 函数 是奇函数 关于点 对称。
定理3:(性质)①若函数y=f (x)的图像有两条铅直对称轴x=a 和x=b(a 不等于b),那么f(x)为周期函数且2|a-b|是它的一个周期。
②若函数y=f (x)的图像有一个对称中心M(m.n)和一条铅直对称轴x=a,那么f(x)为周期函数且4|a-m|为它的一个周期。
2.2函数的基本性质考点一函数的单调性及最值1.(2016北京文,4,5分)下列函数中,在区间(-1,1)上为减函数的是()A.y=11−B.y=cosxC.y=ln(x+1)D.y=2-x答案D选项A中,y=11−=1-(t1)的图象是将y=-1的图象向右平移1个单位得到的,故y=11−在(-1,1)上为增函数,不符合题意;选项B中,y=cosx在(-1,0)上为增函数,在(0,1)上为减函数,不符合题意;选项C 中,y=ln(x+1)的图象是将y=lnx的图象向左平移1个单位得到的,故y=ln(x+1)在(-1,1)上为增函数,不符合题意;选项D符合题意.评析本题考查了基本函数的图象和性质以及图象的变换,属中档题.2.(2015课标Ⅱ文,12,5分)设函数f(x)=ln(1+|x|)-11+2,则使得f(x)>f(2x-1)成立的x的取值范围是(),1 B.-∞C.-13D.-∞∞答案A当x>0时,f(x)=ln(1+x)-11+2,∴f'(x)=11++2(1+2)2>0,∴f(x)在(0,+∞)上为增函数,∵f(-x)=f(x),∴f(x)为偶函数,由f(x)>f(2x-1)得f(|x|)>f(|2x-1|),∴|x|>|2x-1|,即3x2-4x+1<0,解得13<x<1,故选A.3.(2016浙江,7,5分)已知函数f(x)满足:f(x)≥|x|且f(x)≥2x,x∈R.()A.若f(a)≤|b|,则a≤bB.若f(a)≤2b,则a≤bC.若f(a)≥|b|,则a≥bD.若f(a)≥2b,则a≥b答案B依题意得f(a)≥2a,若f(a)≤2b,则2a≤f(a)≤2b,∴2a≤2b,又y=2x是R上的增函数,∴a≤b.故选B.4.(2020课标Ⅲ文,12,5分)已知函数f(x)=sinx+1sin,则()A.f(x)的最小值为2B.f(x)的图象关于y轴对称C.f(x)的图象关于直线x=π对称D.f(x)的图象关于直线x=π2对称答案D对于A,令sinx=t,t∈[-1,0)∪(0,1],则g(t)=t+1,当t∈(0,1]时,g(t)=t+1≥2,当且仅当t=1时,取“=”,故g(t)∈[2,+∞),又∵g(t)=-g(-t),∴g(t)为奇函数,∴g(t)的值域为(-∞,-2]∪[2,+∞),故A错误;对于B,由f(x)≠f(-x),知f(x)不是偶函数,故B错误;对于C,f(2π-x)=sin(2π-x)+1sin(2π-p=-sinx-1sin≠f(x),故C错误;对于D,f(π-x)=sin(π-x)+1sin(π-p=sinx+1sin=f(x),故f(x)的图象关于直线x=π2对称,故D正确.故选D.5.(2021全国甲文,4,5分)下列函数中是增函数的为()A.f(x)=-xB.f(x)3C.f(x)=x2D.f(x)=3答案D解题指导:排除法,利用基本初等函数的性质逐一判断四个选项.解析对于f(x)=-x,由正比例函数的性质可知,f(x)是减函数,故A不符合题意;对于f(x),由指数函数的单调性可知,f(x)是减函数,故B不符合题意;对于f(x)=x2,由二次函数的图象可知,f(x)在(-∞,0)上单调递减,在(0,+∞)上单调递增,故C不符合题意;对于f(x)=3=13,由幂函数的性质可知,f(x)在(-∞,+∞)上单调递增,故选D.方法总结:一次函数y=kx+b(k≠0)单调性的判断:若k>0,则函数在R上单调递增;若k<0,则函数在R上单调递减.指数函数y=a x(a>0且a≠1)单调性的判断:若a>1,则函数在R上单调递增;若0<a<1,则函数在R上单调递减.幂函数y=xα单调性的判断:若α>0,则函数在(0,+∞)上单调递增;若α<0,则函数在(0,+∞)上单调递减.6.(2021全国乙文,8,5分)下列函数中最小值为4的是()A.y=x2+2x+4B.y=|sin xC.y=2x+22-xD.y=ln x+4ln答案C解题指导:对于A,利用配方法或二次函数的单调性求最值,对于B,C,D,利用换元法转化为对勾函数进行判断.解析对于A,y=x2+2x+4=(x+1)2+3≥3,所以它的最小值为3,所以A不符合题意;对于B,设|sin x|=t,则0<t≤1,y=|sin x=+4,t∈(0,1],易知y=t+4在(0,1]上单调递减,故t=1时,y min=1+41=5,所以B不符合题意;对于C,令2x=t(t>0),则y=2x+22-x=t+4,t>0,易知y=t+4在(0,2)上单调递减,在(2,+∞)上单调递增,所以当t=2时,y取最小值,y min=2+42=4,故C符合题意;对于D,令ln x=t,t∈R且t≠0,则y=ln x+4ln=+4,显然t<0时,函数值小于0,不符合题意.故选C.7.(2020新高考Ⅰ,8,5分)若定义在R的奇函数f(x)在(-∞,0)单调递减,且f(2)=0,则满足xf(x-1)≥0的x的取值范围是() A.[-1,1]∪[3,+∞) B.[-3,-1]∪[0,1]C.[-1,0]∪[1,+∞)D.[-1,0]∪[1,3]答案D∵f(x)是定义在R上的奇函数,∴f(x-1)的图象关于点(1,0)中心对称,又∵f(x)在(-∞,0)上单调递减,∴f(x-1)在(-∞,1)上单调递减,在(1,+∞)上也单调递减,且过(-1,0)和(3,0),f(x-1)的大致图象如图:当-1≤x≤0时,f(x-1)≤0,∴xf(x-1)≥0;当1≤x≤3时,f(x-1)≥0,∴xf(x-1)≥0.综上,满足xf(x-1)≥0的x的取值范围是[-1,0]∪[1,3].故选D.8.(2016北京文,10,5分)函数f(x)=t1(x≥2)的最大值为.答案2解析解法一:∵f'(x)=-1(t1)2,∴x≥2时,f'(x)<0恒成立,∴f(x)在[2,+∞)上单调递减,∴f(x)在[2,+∞)上的最大值为f(2)=2.解法二:∵f(x)=t1=t1+1t1=1+1t1,∴f(x)的图象是将y=1的图象向右平移1个单位,再向上平移1个单位得到的.∵y=1在[2,+∞)上单调递减,∴f(x)在[2,+∞)上单调递减,故f(x)在[2,+∞)上的最大值为f(2)=2.解法三:由题意可得f(x)=1+1t1.∵x≥2,∴x-1≥1,∴0<1t1≤1,∴1<1+1t1≤2,即1<t1≤2.故f(x)在[2,+∞)上的最大值为2.评析本题考查函数的最值,有多种解法,属中档题.9.(2015浙江文,12,6分)已知函数f(x)=2,x≤1,+6-6,x>1,则f(f(-2))=,f(x)的最小值是.答案-12;26-6解析f(-2)=(-2)2=4,f(f(-2))=f(4)=4+64-6=-12.当x≤1时,f(x)=x2≥0,当x>1时,f(x)=x+6-6≥26-6,当且仅当x=6时,等号成立,又26-6<0,所以f(x)min=26-6.考点二函数的奇偶性1.(2015北京文,3,5分)下列函数中为偶函数的是()A.y=x2sinxB.y=x2cosxC.y=|lnx|D.y=2-x答案B A中函数为奇函数,B中函数为偶函数,C与D中函数均为非奇非偶函数,故选B.2.(2014课标Ⅰ,理3,文5,5分)设函数f(x),g(x)的定义域都为R,且f(x)是奇函数,g(x)是偶函数,则下列结论中正确的是()A.f(x)g(x)是偶函数B.|f(x)|g(x)是奇函数C.f(x)|g(x)|是奇函数D.|f(x)g(x)|是奇函数答案C由题意可知f(-x)=-f(x),g(-x)=g(x),对于选项A,f(-x)·g(-x)=-f(x)·g(x),所以f(x)g(x)是奇函数,故A项错误;对于选项B,|f(-x)|g(-x)=|-f(x)|g(x)=|f(x)|g(x),所以|f(x)|g(x)是偶函数,故B 项错误;对于选项C,f(-x)|g(-x)|=-f(x)|g(x)|,所以f(x)|g(x)|是奇函数,故C项正确;对于选项D,|f(-x)g(-x)|=|-f(x)g(x)|=|f(x)g(x)|,所以|f(x)g(x)|是偶函数,故D项错误,选C.评析本题考查函数奇偶性的定义及其应用,考查学生的知识应用能力及逻辑推理论证能力,准确理解函数奇偶性的定义是解决本题的关键.3.(2011课标,理2,文3,5分)下列函数中,既是偶函数又在(0,+∞)单调递增的函数是()A.y=x3B.y=|x|+1C.y=-x2+1D.y=2-|x|答案B y=x3是奇函数,y=-x2+1和y=2-|x|在(0,+∞)上都是减函数,故选B.评析本题考查函数的奇偶性和单调性的判定,属容易题.4.(2021全国乙理,4,5分)设函数f(x)=1−1+,则下列函数中为奇函数的是()A.f(x-1)-1B.f(x-1)+1C.f(x+1)-1D.f(x+1)+1答案B解题指导:思路一:将函数f(x)的解析式分离常数,通过图象变换可得函数图象关于(0,0)对称,此函数即为奇函数;思路二:由函数f(x)的解析式,求出选项中的函数解析式,由函数奇偶性定义来判断.解析解法一:f(x)=-1+2r1,其图象的对称中心为(-1,-1),将y=f(x)的图象沿x轴向右平移1个单位,再沿y 轴向上平移1个单位可得函数f(x-1)+1的图象,关于(0,0)对称,所以函数f(x-1)+1是奇函数,故选B.解法二:选项A,f(x-1)-1=2-2,此函数为非奇非偶函数;选项B,f(x-1)+1=2,此函数为奇函数;选项C,f(x+1)-1=−2K2r2,此函数为非奇非偶函数;选项D,f(x+1)+1=2r2,此函数为非奇非偶函数,故选B.5.(2021全国甲理,12,5分)设函数f(x)的定义域为R,f(x+1)为奇函数,f(x+2)为偶函数,当x∈[1,2]时,f(x)=ax2+b.若f(0)+f(3)=6,则() A.-94 B.−32 C.74 D.52答案D解题指导:利用奇偶性得到f(x+2)=-f(x),将出现的自变量0,3,92对应的函数值转化为[1,2]内自变量对应的函数值,进而得到a,b以及.解析由题知o−+1)=−o+1),o−p=o+4),从而f(x+4)=-f(x+2),即f(x+2)=-f(x), o−+2)=o+2),即o−p=−o+2),所以6=f(0)+f(3)=-f(2)+[-f(1)]=-(4a+b)-(a+b)=-5a-2b,即5a+2b=-6.①又由题知f(x+1)为奇函数,x∈R,所以f(1)=0,即a+b=0.②由①②得=−2,从而f(x)=-2x2+2,x∈[1,2].所以=2=−==−=−(−2)×+2=52.故选D.一题多解因为f(x+1)与f(x+2)分别为奇函数和偶函数,所以函数f(x)的图象关于点(1,0)和直线x=2对称,且f(x)为周期函数,周期T=4,从而f(0)=-f(2),①f(3)=f(1)=0,②==−由①②结合f(0)+f(3)=6,知a=-2,b=2,所以=−(−2)×+2=52.6.(多选)(2022新高考Ⅰ,12,5分)已知函数f(x)及其导函数f'(x)的定义域均为R,记g(x)=f'(x).若2,g(2+x)均为偶函数,则() A.f(0)=0 B.g−C.f(-1)=f(4)D.g(-1)=g(2)答案BC解法一:若设f(x)=1,则g(x)=0,易知所设f(x)符合题意,此时f(0)=1,故选项A错误.设f(x)=sin(πx),则g(x)=f'(x)=πcos(πx),由于2=sin22π=-cos(2πx),g(2+x)=πcos[π(2+x)]=πcos(2π+πx)=πcos(πx),所以2,g(2+x)均为偶函数,则所设f(x)符合题意.于是g(-1)=πcos(-π)=-π≠g(2),故选项D错误.由于22是奇函数,即2是奇函数,则,注意到g(2+x)是偶函数,于是g−=2=−2=-g−32+22=2=2=2=,故选项B正确.由2=2,取x=54,则f(-1)=f(4),故选项C正确.故选BC.解法二:由题意知2=2⇔=⇔f(-x)=f(3+x)①,取x=1,知f(-1)=f(4),C正确.对①两边求导知-f'(-x)=f'(3+x)⇔f'(-x)=-f'(3+x),即g(-x)=-g(3+x)②,取x=-32,知.g(2+x)=g(2-x)⇔g(-x)=g(x+4)③,由②③知g(x+4)=-g(x+3),即g(x+1)=-g(x),所以g(x+2)=-g(x+1)=g(x).从而g−=2=,B正确.同解法一可判断A,D错误.故选BC.7.(2018课标Ⅲ文,16,5分)已知函数f(x)=ln(1+2-x)+1,f(a)=4,则f(-a)=.答案-2解析本题考查函数的奇偶性.易知f(x)的定义域为R,令g(x)=ln(1+2-x),则g(x)+g(-x)=0,∴g(x)为奇函数,∴f(a)+f(-a)=2,又f(a)=4,∴f(-a)=-2.解题关键观察出函数g(x)=ln(1+2-x)为奇函数.8.(2017课标Ⅱ文,14,5分)已知函数f(x)是定义在R上的奇函数,当x∈(-∞,0)时,f(x)=2x3+x2,则f(2)=.答案12解析本题主要考查运用函数的奇偶性求函数值.由题意可知f(2)=-f(-2),∵x∈(-∞,0)时,f(x)=2x3+x2,∴f(2)=-f(-2)=-[2×(-8)+4]=-(-12)=12.9.(2016天津,13,5分)已知f(x)是定义在R上的偶函数,且在区间(-∞,0)上单调递增.若实数a满足f(2|a-1|)>f(-2),则a的取值范围是.答案解析由题意知函数f(x)在(0,+∞)上单调递减.因为f(2|a-1|)>f(-2),f(-2)=f(2),所以f(2|a-1|)>f(2),所以2|a-1|<212,解之得12<a<32.10.(2014课标Ⅱ文,15,5分)偶函数y=f(x)的图象关于直线x=2对称,f(3)=3,则f(-1)=.答案3解析∵函数y=f(x)的图象关于直线x=2对称,∴f(2+x)=f(2-x)对任意x恒成立,令x=1,得f(1)=f(3)=3,∴f(-1)=f(1)=3.11.(2012课标文,16,5分)设函数f(x)=(r1)2+sin2+1的最大值为M,最小值为m,则M+m=.答案2解析f(x)=2+1+2x+sin2+1=1+2rsin2+1,令g(x)=2rsin2+1,则g(x)为奇函数,有g(x)max+g(x)min=0,故M+m=2.12.(2021新高考Ⅰ,13,5分)已知函数f(x)=x3(a·2x-2-x)是偶函数,则a=.答案1解题指导:利用偶函数的定义,取定义域内的特殊值即可求出a的值.解析∵f(x)=x3(a·2x-2-x)为偶函数,∴f(1)=f(-1),∴2a-12=−−2,∴a=1.当a=1时,f(x)=x3(2x-2-x),定义域为R,且满足f(-x)=f(x),即f(x)为偶函数.一题多解y=x3和y=2x-2-x为奇函数,利用结论:奇函数×奇函数=偶函数,可快速判断出a=1.13.(2022全国乙文,16,5分)若f(x)=ln b是奇函数,则a=,b=.答案-12;ln2解析∵f(x)是奇函数,∴f(x)的定义域关于原点对称.由已知得x ≠1,∴x ≠-1,即当x =-1时,,∴a +12=0,∴a =-12,此时f (x )b ,∵f (x )为奇函数且在x =0处有意义,∴f (0)=0,即+=ln 12+b =0,∴b =-ln 12=ln 2.综上可知,a =-12,b =ln 2.考点三函数的周期性1.(2016山东,9,5分)已知函数f(x)的定义域为R.当x<0时,f(x)=x 3-1;当-1≤x≤1时,f(-x)=-f(x);当x>12时,ft 则f(6)=()A.-2B.-1C.0D.2答案D 当x>12时,由ft f(x)=f(x+1),所以f(6)=f(1),而f(1)=-f(-1),f(-1)=(-1)3-1=-2,所以f(6)=f(1)=2,故选D.2.(2021全国甲文,12,5分)设f (x )是定义域为R 的奇函数,且f (1+x )=f (-x ).若f −=13,则()A.-53B.−13C.13D.53答案C 解题指导:求出函数f (x )的周期再进行转化,即可求解.解析由f (1+x )=f (-x ),且f (x )是定义在R 上的奇函数,可得f (1+x )=f (-x )=-f (x ),所以f (2+x )=-f (1+x )=f (x ),所以f (x )的周期为2,则=2=−=13,故选C .知识延伸:若函数f (x )为奇函数,且满足f (a +x )=f (-x ),则f (x )图象的对称轴为直线x =2,周期为2a ;若函数f (x )为偶函数,且满足f (a +x )=f (-x ),则f (x )图象的对称轴为直线x =2,周期为a.3.(2022新高考Ⅱ,8,5分)已知函数f (x )的定义域为R,且f (x +y )+f (x -y )=f (x )f (y ),f (1)=1,则∑=221i f (k )=()A.-3B.-2C.0D.1答案A 令y =1,得f (x +1)+f (x -1)=f (x )①,故f (x +2)+f (x )=f (x +1)②.由①②得f (x +2)+f (x -1)=0,故f (x +2)=-f (x -1),所以f (x +3)=-f (x ),所以f (x +6)=-f (x +3)=f (x ),所以函数f (x )的周期为6.令x =1,y =0,得f (1)+f (1)=f (1)·f (0),故f (0)=2,同理,令x =1,y =1,得f (2)=-1;令x =2,y =1,得f (3)=-2;令x =3,y =1,得f (4)=-1;令x =4,y =1,得f (5)=1;令x =5,y =1,得f (6)=2.故f (1)+f (2)+f (3)+f (4)+f (5)+f (6)=0,所以∑=221i f (k )=f (1)+f (2)+f (3)+f (4)=-3.故选A .4.(2022全国乙理,12,5分)已知函数f (x ),g (x )的定义域均为R,且f (x )+g (2-x )=5,g (x )-f (x -4)=7.若y =g (x )的图象关于直线x =2对称,g (2)=4,则∑=221i f (k )=()A.-21B.-22C.-23D.-24答案D 由y =g (x )的图象关于直线x =2对称,得g (2+x )=g (2-x ),故g (x )=g (4-x ),由g (x )-f (x -4)=7,得g (2+x )-f (x -2)=7①,又f (x )+g (2-x )=5②,所以由②-①,得f (x )+f (x -2)=-2③,则f (x +2)+f (x )=-2④,所以由④-③,得f (x +2)=f (x -2),即f (x +4)=f (x ),所以函数f (x )是以4为周期的周期函数.对于④,分别令x =1,2,得f (1)+f (3)=-2,f (2)+f (4)=-2,则f (1)+f (2)+f (3)+f (4)=-4.对于①,令x =-1,得g (1)-f (-3)=7,则g (1)-f (1)=7⑦,对于②,令x =1,得f (1)+g (1)=5⑧,由⑦⑧,得f (1)=-1.对于②,令x =0,得f (0)+g (2)=5,又g (2)=4,所以f (0)=1.对于③,令x =2,得f (2)+f (0)=-2,所以f (2)=-3.则∑=221i op =5×(-4)+f (1)+f (2)=-20+(-1)+(-3)=-24.故选D .5.(2016四川,14,5分)已知函数f(x)是定义在R 上的周期为2的奇函数,当0<x<1时,f(x)=4x,则f +f(1)=.答案-2解析∵f(x)是定义在R 上的奇函数,∴f(x)=-f(-x),又∵f(x)的周期为2,∴f(x+2)=f(x),∴f(x+2)=-f(-x),即f(x+2)+f(-x)=0,令x=-1,得f(1)+f(1)=0,∴f(1)=0.又∵f-412=-2.∴f-6.(2017山东文,14,5分)已知f(x)是定义在R上的偶函数,且f(x+4)=f(x-2).若当x∈[-3,0]时,f(x)=6-x,则f(919)=.答案6解析本题考查函数的奇偶性与周期性.由f(x+4)=f(x-2)得f(x+6)=f(x),故f(x)是周期为6的函数.所以f(919)=f(6×153+1)=f(1).因为f(x)为R上的偶函数,所以f(1)=f(-1).又x∈[-3,0]时,f(x)=6-x,所以f(-1)=6-(-1)=6.从而f(1)=6,故f(919)=6.方法小结函数周期性的判断:一般地,若f(x+T)=f(x),则T为函数的一个周期;若f(x+T)=-f(x),则2T为函数的一个周期;若f(x+T)=1op(f(x)≠0),则2T为函数的一个周期.7.(2014安徽文,14,5分)若函数f(x)(x∈R)是周期为4的奇函数,且在[0,2]上的解析式为f(x)=o1-p,0≤x≤1,sinπs1<≤2,则.答案516解析依题意得8=f=-34×14=-316,f8=-sin7π6=sinπ6=12,因此=-316+12=516.。
函数、基本初等函数的图象与性质1.高考对函数的三要素,函数的表示方法等内容的考查以基础知识为主,难度中等偏下.2.函数图象和性质是历年高考的重要内容,也是热点内容,对图象的考查主要有两个方面:一是识图,二是用图,即利用函数的图象,通过数形结合的思想解决问题;对函数性质的考查,则主要是将单调性、奇偶性、周期性等综合一起考查,既有具体函数也有抽象函数.常以选择题的形式出现在最后一题,且常与新定义问题相结合,难度较大.1. 函数的概念及其表示两个函数只有当它们的三要素完全相同时才表示同一函数,定义域和对应关系相同的两个函数是同一函数. 2. 函数的性质(1)单调性:单调性是函数在其定义域上的局部性质.利用定义证明函数的单调性时,规范步骤为取值、作差、判断符号、下结论.复合函数的单调性遵循“同增异减”的原则.(2)奇偶性:奇偶性是函数在定义域上的整体性质.偶函数的图象关于y 轴对称,在关于坐标原点对称的定义域区间上具有相反的单调性;奇函数的图象关于坐标原点对称,在关于坐标原点对称的定义域区间上具有相同的单调性.(3)周期性:周期性是函数在定义域上的整体性质.若函数满足f (a +x )=f (x )(a 不等于0),则其一个周期T =|a |.3. 指数函数、对数函数和幂函数的图象和性质(1)指数函数y =a x(a >0,a ≠1)与对数函数y =log a x (a >0,a ≠1)的图象和性质,分0<a <1,a >1两种情况,着重关注两函数图象中的两种情况的公共性质.(2)幂函数y =x α的图象和性质,分幂指数α>0,α<0两种情况. 4. 熟记对数式的五个运算公式log a (MN )=log a M +log a N ;log a M N =log a M -log a N ;log a M n=n log a M ;a log a N =N ;log a N =log b N log b a(a >0且a ≠1,b >0且b ≠1,M >0,N >0). 提醒:log a M -log a N ≠log a (M -N ), log a M +log a N ≠log a (M +N ). 5. 与周期函数有关的结论(1)若f (x +a )=f (x +b )(a ≠b ),则f (x )是周期函数,其中一个周期是T =|a -b |. (2)若f (x +a )=-f (x ),则f (x )是周期函数,其中一个周期是T =2a .(3)若f (x +a )=1f x 或f (x +a )=-1f x ,则f (x )是周期函数,其中一个周期是T=2a .提醒:若f (x +a )=f (-x +b )(a ≠b ),则函数f (x )关于直线x =a +b2对称.考点一 函数及其表示例1 (1)若函数y =f (x )的定义域是[0,2],则函数g (x )=f 2x ln x的定义域是( ) A .[0,1]B .[0,1)C .[0,1)∪(1,4]D .(0,1)答案 D解析 由函数y =f (x )的定义域是[0,2]得,函数g (x )有意义的条件为0≤2x ≤2且x >0,x ≠1,故x ∈(0,1).(2)已知函数f (x )=⎩⎪⎨⎪⎧log 3x ,x >02x,x ≤0,则f (f (19))等于( ) A .4 B.14 C .-4D .-14答案 B解析 因为19>0,所以f (19)=log 319=-2,故f (-2)=2-2=14.求函数定义域的类型和相应方法①若已知函数的解析式,则这时函数的定义域是使解析式有意义的自变量的取值范围,只需构建并解不等式(组)即可,函数f (g (x ))的定义域应由不等式a ≤g (x )≤b 解出. ②实际问题或几何问题除要考虑解析式有意义外,还应使实际问题有意义. (2)求函数值时应注意形如f (g (x ))的函数求值时,应遵循先内后外的原则;而对于分段函数的求值(解不等式)问题,必须依据条件准确地找出利用哪一段求解.(1)若函数f (x )=⎩⎪⎨⎪⎧2x,x ≥4,f x +3,x <4,则f (log 23)等于 ( )A .3B .4C .16D .24(2)已知函数f (x )=2+log 3x (1≤x ≤9),则函数y =[f (x )]2+f (x 2)的最大值为( ) A .33B .22C .13D .6答案 (1)D (2)C解析 (1)f (log 23)=f (log 23+3) =f (log 224)=2log 224=24.(2)依题意得,y =(2+log 3x )2+2+log 3x 2=log 23x +6log 3x +6=(log 3x +3)2-3, 因为1≤x ≤9,且1≤x 2≤9,所以1≤x ≤3, 所以0≤log 3x ≤1,作出图象知, 当log 3x =1时,函数y 取得最大值13. 考点二 函数的性质例2 (1)(2012·福建)设函数D (x )=⎩⎪⎨⎪⎧1,x 为有理数,0,x 为无理数,则下列结论错误的是( )A .D (x )的值域为{0,1}B .D (x )是偶函数C .D (x )不是周期函数 D .D (x )不是单调函数答案 C解析 利用函数的单调性、奇偶性、周期性定义判断可得. 由已知条件可知,D (x )的值域是{0,1},选项A 正确; 当x 是有理数时,-x 也是有理数, 且D (-x )=1,D (x )=1,故D (-x )=D (x ), 当x 是无理数时,-x 也是无理数, 且D (-x )=0,D (x )=0,即D (-x )=D (x ), 故D (x )是偶函数,选项B 正确;当x 是有理数时,对于任一非零有理数a ,x +a 是有理数,且D (x +a )=D (x )=1, 当x 是无理数时,对于任一非零有理数b ,x +b 是无理数,所以D (x +b )=D (x )=0,故D (x )是周期函数,但不存在最小正周期,选项C 不正确; 由实数的连续性易知,不存在区间I ,使D (x )在区间I 上是增函数或减函数,故D (x )不是单调函数,选项D 正确.(2)设奇函数y =f (x ) (x ∈R ),满足对任意t ∈R 都有f (t )=f (1-t ),且x ∈⎣⎢⎡⎦⎥⎤0,12时,f (x )=-x 2,则f (3)+f ⎝ ⎛⎭⎪⎫-32的值等于________.答案 -14解析 根据对任意t ∈R 都有f (t )=f (1-t )可得f (-t )=f (1+t ),即f (t +1)=-f (t ),进而得到f (t +2)=-f (t +1)=-[-f (t )]=f (t ),得函数y =f (x )的一个周期为2,故f (3)=f (1)=f (0+1)=-f (0)=0,f ⎝ ⎛⎭⎪⎫-32=f ⎝ ⎛⎭⎪⎫12=-14.所以f (3)+f ⎝ ⎛⎭⎪⎫-32的值是0+⎝ ⎛⎭⎪⎫-14=-14.函数的性质主要是函数的奇偶性、单调性和周期性以及函数图象的对称性,在解题中根据问题的条件通过变换函数的解析式或者已知的函数关系,推证函数的性质,根据函数的性质解决问题.(1)(2013·天津)已知函数f (x )是定义在R 上的偶函数,且在区间[0,+∞)上单调递增.若实数a 满足f (log 2a )+f (log 12a )≤2f (1),则a 的取值范围是( )A .[1,2]B.⎝ ⎛⎦⎥⎤0,12 C.⎣⎢⎡⎦⎥⎤12,2D .(0,2](2)已知f (x )是定义在R 上的奇函数,且当x >0时,f (x )=e x+a ,若f (x )在R 上是单调函数,则实数a 的最小值是________. 答案 (1)C (2)-1解析 (1)由题意知a >0,又log 12a =log 2a -1=-log 2a .∵f (x )是R 上的偶函数,∴f (log 2a )=f (-log 2a )=f (log 12a ).∵f (log 2a )+f (log 12a )≤2f (1),∴2f (log 2a )≤2f (1),即f (log 2a )≤f (1). 又因f (x )在[0,+∞)上递增. ∴|log 2a |≤1,-1≤log 2a ≤1,∴a ∈⎣⎢⎡⎦⎥⎤12,2,选C. (2)依题意得f (0)=0.当x >0时,f (x )>e 0+a =a +1. 若函数f (x )在R 上是单调函数,则有a +1≥0,a ≥-1,因此实数a 的最小值是-1. 考点三 函数的图象例3 (1)(2013·北京)函数f (x )的图象向右平移1个单位长度,所得图象与曲线y =e x关于y 轴对称,则f (x )等于( )A .e x +1B .e x -1C .e-x +1D .e-x -1(2)形如y =b|x |-a (a >0,b >0)的函数,因其图象类似于汉字中的“囧”字,故我们把它称为“囧函数”.若当a =1,b =1时的“囧函数”与函数y =lg|x |图象的交点个数为n ,则n =________. 答案 (1)D (2)4解析 (1)与y =e x 图象关于y 轴对称的函数为y =e -x.依题意,f (x )图象向右平移一个单位,得y =e -x的图象.∴f (x )的图象由y =e -x的图象向左平移一个单位得到. ∴f (x )=e-(x +1)=e-x -1.(2)由题意知,当a =1,b =1时,y =1|x |-1=⎩⎪⎨⎪⎧1x -1x ≥0且x ≠1,-1x +1x <0且x ≠-1,在同一坐标系中画出“囧函数”与函数y =lg|x |的图象如图所示,易知它们有4个交点.作图:常用描点法和图象变换法.图象变换法常用的有平移变换、伸缩变换和对称变换.尤其注意y =f (x )与y =f (-x )、y =-f (x )、y =-f (-x )、y =f (|x |)、y =|f (x )|及y =af (x )+b 的相互关系.(2)识图:从图象与轴的交点及左、右、上、下分布范围、变化趋势、对称性等方面找准解析式与图象的对应关系.(3)用图:图象形象地显示了函数的性质,因此,函数性质的确定与应用及一些方程、不等式的求解常与图象数形结合研究. (1)函数y =x ln(-x )与y =x ln x 的图象关于( )A .直线y =x 对称B .x 轴对称C .y 轴对称D .原点对称(2)函数y =log 2|x |x的大致图象是( )(3)(2013·课标全国Ⅰ)已知函数f (x )=⎩⎪⎨⎪⎧-x 2+2x ,x ≤0,ln x +1,x >0.若|f (x )|≥ax ,则a 的取值范围是( )A .(-∞,0]B .(-∞,1]C .[-2,1]D .[-2,0]答案 (1)D (2)C (3)D解析 (1)若点(m ,n )在函数y =x ln x 的图象上, 则n =m ln m ,所以-n =-m ln[-(-m )], 可知点(-m ,-n )在函数y =x ln(-x )的图象上, 而点(m ,n )与点(-m ,-n )关于原点对称,所以函数y =x ln x 与y =x ln(-x )的图象关于原点对称. (2)方法一 由于log 2|-x |-x =-log 2|x |x,所以函数y =log 2|x |x是奇函数,其图象关于原点对称.当x >0时,对函数求导可知,函数图象先增后减,结合选项知选C. 方法二 0<x <1时,y <0;x >1时,根据y =log 2x 与y =x 的变化快慢知x →+∞时,y >0且y →0.故选C.(3)函数y =|f (x )|的图象如图. ①当a =0时,|f (x )|≥ax 显然成立. ②当a >0时,只需在x >0时, ln(x +1)≥ax 成立.比较对数函数与一次函数y =ax 的增长速度. 显然不存在a >0使ln(x +1)≥ax 在x >0上恒成立. ③当a <0时,只需在x <0时,x 2-2x ≥ax 成立. 即a ≥x -2成立,∴a ≥-2. 综上所述:-2≤a ≤0.故选D. 考点四 基本初等函数的图象及性质例4 (1)若函数f (x )=⎩⎪⎨⎪⎧log 2x ,x >0,log 12-x ,x <0,若f (a )>f (-a ),则实数a 的取值范围是( )A .(-1,0)∪(0,1)B .(-∞,-1)∪(1,+∞)C .(-1,0)∪(1,+∞)D .(-∞,-1)∪(0,1)(2)已知a =5log 23.4,b =5log 43.6,c =⎝ ⎛⎭⎪⎫15log 30.3,则有( ) A .a >b >c B .b >a >c C .a >c >bD .c >a >b答案 (1)C (2)C解析 (1)方法一 由题意作出y =f (x )的图象如图.显然当a >1或-1<a <0时,满足f (a )>f (-a ).故选C. 方法二 对a 分类讨论:当a >0时,log 2a >log 12a ,即log 2a >0,∴a >1.当a <0时,log 12(-a )>log 2(-a ),即log 2(-a )<0,∴-1<a <0,故选C.(2)∵a =5log 23.4,b =5log 43.6,c =(15)log 30.3=5log 3313,根据y =a x且a =5,知y 是增函数. 又∵log 23.4>log 3313>1,0<log 43.6<1,∴5log 23.4>(15)log 30.3>5log 43.6,即a >c >b .指数函数、对数函数、幂函数是中学阶段所学的基本初等函数,是高考的必考内容之一,重点考查图象、性质及其应用,同时考查分类讨论、等价转化等数学思想方法及其运算能力.(2)比较指数函数值、对数函数值、幂函数值大小有三种方法:一是根据同类函数的单调性进行比较;二是采用中间值0或1等进行比较;三是将对数式转化为指数式,或将指数式转化为对数式,通过转化进行比较.(1)已知f (x )=a x,g (x )=log a x (a >0且a ≠1),若f (3)·g (3)<0,则f (x )与g (x )在同一坐标系内的图象可能是( )(2)(2012·天津)已知a =21.2,b =⎝ ⎛⎭⎪⎫12-0.8,c =2log 52,则a ,b ,c 的大小关系为( ) A .c <b <a B .c <a <b C .b <a <cD .b <c <a答案 (1)C (2)A解析 (1)因为a >0且a ≠1,所以f (3)=a 3>0. 因为f (3)g (3)<0,所以g (3)<0即log a 3<0,所以0<a <1,则指数函数f (x )=a x单调递减,对数函数单调递减,所以答案选C. (2)利用中间值判断大小.b =⎝ ⎛⎭⎪⎫12-0.8=20.8<21.2=a ,c =2log 52=log 522<log 55=1<20.8=b ,故c <b <a ,答案选A.1. 判断函数单调性的常用方法(1)能画出图象的一般用数形结合法去观察.(2)由基本初等函数通过加、减运算或复合而成的函数,常转化为基本初等函数单调性的判断问题.(3)对于解析式较复杂的一般用导数法. (4)对于抽象函数一般用定义法. 2. 函数奇偶性的应用函数的奇偶性反映了函数图象的对称性,是函数的整体特性.利用函数的奇偶性可以把研究整个函数具有的性质问题转化到只研究部分(一半)区间上,是简化问题的一种途径.尤其注意偶函数f (x )的性质:f (|x |)=f (x ). 3. 函数图象的对称性(1)若函数y =f (x )满足f (a +x )=f (a -x ),即f (x )=f (2a -x ),则f (x )的图象关于直线x =a 对称.提醒:函数y =f (a +x )与y =f (a -x )的图象对称轴为x =0,并非直线x=a .(2)若f (x )满足f (a +x )=f (b -x ),则函数f (x )的图象关于直线x =a +b2对称.(3)若函数y =f (x )满足f (x )=2b -f (2a -x ),则该函数图象关于点(a ,b )成中心对称. 4. 二次函数、一元二次方程和一元二次不等式是一个有机的整体,要深刻理解它们之间的相互关系,能用函数与方程、分类讨论、数形结合思想来研究与“三个二次”有关的问题,高考对“三个二次”知识的考查往往渗透在其他知识之中,并且大都出现在解答题中.5. 指数函数、对数函数的图象和性质受底数a 的影响,解决与指、对数函数特别是与单调性有关的问题时,首先要看底数a 的范围.比较两个对数的大小或解对数不等式或解对数方程时,一般是构造同底的对数函数,若底数不同,可运用换底公式化为同底的对数,三数比较大小时,注意与0比较或与1比较.6. 解决与本讲有关的问题应注意函数与方程、数形结合、分类讨论、化归与转化等思想的运用.1. 已知函数f (x )=e |ln x |-⎪⎪⎪⎪⎪⎪x -1x ,则函数y =f (x +1)的大致图象为( )答案 A解析 据已知关系式可得f (x )=⎩⎪⎨⎪⎧e -ln x+⎝⎛⎭⎪⎫x -1x =x 0<x ≤1,eln x-⎝⎛⎭⎪⎫x -1x =1xx >1,作出其图象然后将其向左平移1个单位即得函数y =f (x +1)的图象.2. 定义在R 上的奇函数f (x )满足:对任意的x 1,x 2∈(-∞,0)(x 1≠x 2),有f x 2-f x 1x 2-x 1>0.则有( )A .f (0.32)<f (20.3)<f (log 25)B .f (log 25)<f (20.3)<f (0.32) C .f (log 25)<f (0.32)<f (20.3) D .f (0.32)<f (log 25)<f (20.3) 答案 A解析 由已知可知f (x )在(-∞,0)上递增, 又f (x )为奇函数,故f (x )在(0,+∞)上递增, ∵0.32<20.3<log 25.∴f (0.32)<f (20.3)<f (log 25).3. 已知f (x )是以2为周期的偶函数,当x ∈[0,1]时,f (x )=x ,那么在区间[-1,3]内关于x 的方程y =kx +k +1(k ∈R ,k ≠-1)的根的个数为( )A .不可能有3个B .最少有1个,最多有4个C .最少有1个,最多有3个D .最少有2个,最多有4个答案 B解析 函数f (x )的图象如图所示:函数g (x )=kx +k +1=k (x +1)+1恒过定点(-1,1), 故选B.(推荐时间:40分钟)一、选择题1. 下列函数中,既是偶函数,又在区间(1,2)内是增函数的为( )A .y =cos 2x ,x ∈RB .y =log 2|x |,x ∈R 且x ≠0C .y =e x -e -x2,x ∈RD .y =x 3+1,x ∈R 答案 B解析 由函数是偶函数可以排除C 和D ,又函数在区间(1,2)内为增函数,而此时y =log 2|x |=log 2x 为增函数,所以选B.2. 已知函数y =f (x )是奇函数,当x >0时,f (x )=lg x ,则f ⎝ ⎛⎭⎪⎫f ⎝ ⎛⎭⎪⎫1100的值等于( ) A.1lg 2B .-1lg 2C .lg 2D .-lg 2答案 D解析 当x <0时,-x >0,则f (-x )=lg(-x ). 又函数f (x )为奇函数,f (-x )=-f (x ), 所以当x <0时,f (x )=-lg(-x ). 所以f ⎝⎛⎭⎪⎫1100=lg 1100=-2,f ⎝ ⎛⎭⎪⎫f ⎝⎛⎭⎪⎫1100=f (-2)=-lg 2. 3. 已知函数f (x )=⎩⎪⎨⎪⎧log 2x ,x ≥1,x +c ,x <1,则“c =-1”是“函数f (x )在R 上递增”的( )A .充分不必要条件B .必要不充分条件C .充要条件D .既不充分也不必要条件答案 A解析 当c =-1时,易知f (x )在R 上递增;反之,若f (x )在R 上递增,则需有1+c ≤0,即c ≤-1. 所以“c =-1”是“函数f (x )在R 上递增”的充分不必要条件.4. (2013·课标全国Ⅱ)设a =log 36,b =log 510,c =log 714,则( ) A .c >b >a B .b >c >a C .a >c >bD .a >b >c答案 D解析 设a =log 36=1+log 32=1+1log 23,b =log 510=1+log 52=1+1log 25,c =log 714=1+log 72=1+1log 27,显然a >b >c .5. 若函数f (x )=x 2+|x -a |+b 在区间(-∞,0]上为减函数,则实数a 的取值范围是( )A .a ≥0B .a ≤0C .a ≥1D .a ≤1答案 A解析 当a =0或者a =1时,显然,在区间(-∞,0]上为减函数,从而选A.6. 设定义在[-2,2]上的偶函数f (x )在区间[0,2]上单调递减,若f (1-m )<f (m ),则实数m 的取值范围是( )A .[-1,12)B .(-∞,-1]∪(12,+∞)C .(-1,12)D .(-∞,-1)∪(12,+∞)答案 A解析 ∵f (x )是偶函数,∴f (-x )=f (x )=f (|x |), ∴不等式f (1-m )<f (m )⇔f (|1-m |)<f (|m |), 又∵当x ∈[0,2]时,f (x )是减函数, ∴⎩⎪⎨⎪⎧|1-m |>|m |,-2≤1-m ≤2,-2≤m ≤2,解得-1≤m <12.7. (2013·四川)函数y =x 33x-1的图象大致是( )答案 C解析 由3x-1≠0得x ≠0, ∴函数y =x 33x-1的定义域为{x |x ≠0},可排除选项A ; 当x =-1时,y =-1313-1=32>0,可排除选项B ;当x =2时,y =1,当x =4时,y =45,但从选项D 的函数图象可以看出函数在(0,+∞)上是单调递增函数,两者矛盾,可排除选项D.故选C.8. 已知直线y =mx 与函数f (x )=⎩⎪⎨⎪⎧2-⎝ ⎛⎭⎪⎫13x,x ≤0,12x 2+1,x >0的图象恰好有3个不同的公共点,则实数m 的取值范围是( )A .(3,4)B .(2,+∞)C .(2,5)D .(3,22)答案 B解析 作出函数f (x )=⎩⎪⎨⎪⎧2-⎝ ⎛⎭⎪⎫13x,x ≤0,12x 2+1,x >0的图象,如图所示.直线y =mx 的图象是绕坐标原点旋转的动直线.当斜率m ≤0时,直线y=mx 与函数f (x )的图象只有一个公共点;当m >0时,直线y =mx 始终与函数y =2-⎝ ⎛⎭⎪⎫13x(x ≤0)的图象有一个公共点,故要使直线y =mx 与函数f (x )的图象有三个公共点,必须使直线y =mx 与函数y =12x 2+1 (x >0)的图象有两个公共点,即方程mx =12x 2+1在x >0时有两个不相等的实数根,即方程x 2-2mx +2=0的判别式Δ=4m 2-4×2>0,解得m > 2.故所求实数m 的取值范围是(2,+∞). 二、填空题9. 设函数f (x )=x (e x +a e -x)(x ∈R )是偶函数,则实数a 的值为________.答案 -1解析 因为f (x )是偶函数,所以恒有f (-x )=f (x ),即-x (e -x+a e x )=x (e x +a e -x),化简得x (e -x+e x)(a +1)=0.因为上式对任意实数x 都成立,所以a =-1. 10.(2012·安徽)若函数f (x )=|2x +a |的单调递增区间是[3,+∞),则a =________.答案 -6解析 利用函数图象确定单调区间.f (x )=|2x +a |=⎩⎪⎨⎪⎧2x +a ,x ≥-a2,-2x -a ,x <-a2.作出函数图象,由图象知:函数的单调递增区间为⎣⎢⎡⎭⎪⎫-a2,+∞, ∴-a2=3,∴a =-6.11.已知函数f (x )=a sin x +bx 3+5,且f (1)=3,则f (-1)=________.答案 7解析 因为f (1)=3,所以f (1)=a sin 1+b +5=3, 即a sin 1+b =-2.所以f (-1)=-a sin 1-b +5=-(-2)+5=7.12.已知奇函数f (x )=⎩⎪⎨⎪⎧x 2-2x x ≥0,ax 2+bx x <0,给出下列结论:①f (f (1))=1;②函数y =f (x )有三个零点; ③f (x )的递增区间是[1,+∞);④直线x =1是函数y =f (x )图象的一条对称轴; ⑤函数y =f (x +1)+2图象的对称中心是点(1,2).其中,正确结论的序号是________.(写出所有正确结论的序号). 答案 ①②解析 因为f (x )是奇函数, 所以x <0时,f (-x )=x 2+2x , 即f (x )=-x 2-2x . 可求得a =-1,b =-2.即f (x )=⎩⎪⎨⎪⎧x 2-2x , x ≥0,-x 2-2x , x <0.①f (f (1))=f (-1)=-f (1)=1,①正确;②易知f (x )的三个零点是-2,0,2,②正确;③当x ∈(-∞,-1]时,f (x )也单调递增,③错误;④由奇函数图象的特点知,题中的函数f (x )无对称轴,④错误;⑤奇函数f (x )图象关于原点对称,故函数y =f (x +1)+2图象的对称中心应是点(-1,2),⑤错误.故填①②. 13.给出下列四个函数:①y =2x;②y =log 2x ;③y =x 2;④y =x .当0<x 1<x 2<1时,使f ⎝ ⎛⎭⎪⎫x 1+x 22>f x 1+f x 22恒成立的函数的序号是________. 答案 ②④解析 由题意知满足条件的图象形状为:故符合图象形状的函数为y =log 2x ,y =x .14.已知定义在R 上的偶函数满足:f (x +4)=f (x )+f (2),且当x ∈[0,2]时,y =f (x )单调递减,给出以下四个命题: ①f (2)=0;②x =-4为函数y =f (x )图象的一条对称轴; ③函数y =f (x )在[8,10]上单调递增;④若方程f (x )=m 在[-6,-2]上的两根为x 1,x 2,则x 1+x 2=-8. 则所有正确命题的序号为________. 答案 ①②④解析 令x =-2,得f (2)=f (-2)+f (2), 又函数f (x )是偶函数,故f (2)=0;根据①可得f (x +4)=f (x ),可得函数f (x )的周期是4, 由于偶函数的图象关于y 轴对称,故x =-4也是函数y =f (x )图象的一条对称轴;根据函数的周期性可知,函数f (x )在[8,10]上单调递减,③不正确; 由于函数f (x )的图象关于直线x =-4对称,故如果方程f (x )=m 在区间[-6,-2]上的两根为x 1,x 2,则x 1+x 22=-4,即x 1+x 2=-8.故正确命题的序号为①②④.。
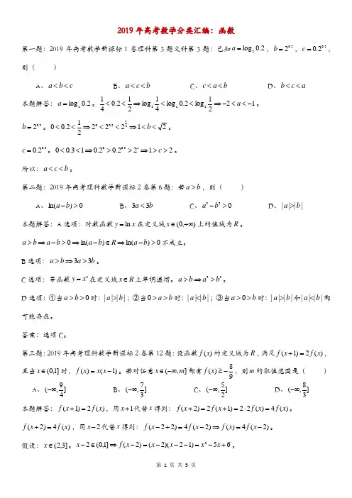
2019年高考数学分类汇编:函数第一题:2019年高考数学新课标1卷理科第3题文科第3题:已知2.0log 2=a ,2.02=b ,3.02.0=c ,则( )A 、c b a <<B 、b c a <<C 、b a c <<D 、a c b << 本题解答:2.0log 2=a 。
1221log 2.0log 41log 212.041222-<<-⇒<<⇒<<a 。
2.02=b 。
21222212.00212.00<<⇒<<⇒<<b 。
3.02.0=c 。
2122.02.013.0013.00>>⇒>>⇒<<c 。
所以:b c a <<。
第二题:2019年高考理科数学新课标2卷第6题:若b a >,则( )A 、0)ln(>-b aB 、b a 33<C 、033>-b aD 、||||b a > 本题解答:A 选项:对数函数x y ln =在定义域),0(+∞∈x 上的值域为R 。
0)ln()ln(0>-⇒∈-⇒>-⇒>b a R b a b a b a 不成立。
B 选项:b a b a 33>⇒>。
C 选项:幂函数3x y =在定义域R x ∈上单调递增。
33b a b a >⇒>。
D 选项:①当0>>b a 时:||||b a >;②当b a >>0时:||||b a <;③当b a >>0时:||||b a >和||||b a <都可能存在。
答案:选项C 。
第三题:2019年高考理科数学新课标2卷第12题:设函数)(x f 的定义域为R ,满足)(2)1(x f x f =+,且当]1,0(∈x 时,)1()(-=x x x f 。
函数的性质(奇偶性、单调性、周期性、对称性)“定义域优先”的思想是研究函数的前提,在求值域、奇偶性、单调性、周期性、换元时易忽略定义域,所以必须先考虑函数的定义域,离开函数的定义域去研究函数的性质没有任何意义。
1. 奇偶性奇偶性的判定法:首先考察定义域是否关于原点对称,再计算f(-x)与f(x)之间的关系:①f(-x)=f(x)为偶函数;f(-x)=-f(x)为奇函数; ②f(-x)-f(x)=0为偶;f(x)+f(-x)=0为奇; ③f(-x)÷f(x)=1是偶;f(x)÷f(-x)=-1为奇函数. (1)若定义域关于原点对称(2)若定义域不关于原点对称 非奇非偶 例如:3x y =在)1,1[-上不是奇函数 常用性质:1.0)(=x f 是既奇又偶函数;2.奇函数若在0=x 处有定义,则必有0)0(=f ; 3.偶函数满足)()()(x f x f x f =-=;4.奇函数图象关于原点对称,偶函数图象关于y 轴对称;5.0)(=x f 除外的所有函数的奇偶性满足:(1)奇函数±奇函数=奇函数 偶函数±偶函数=偶函数 奇函数±偶函数=非奇非偶(2) 奇函数×奇函数=偶函数 偶函数×偶函数=偶函数 奇函数×偶函数=奇函数6.任何函数)(x f 可以写成一个奇函数2)()()(x f x f x --=ϕ和一个偶函数2)()()(x f x f x -+=ψ的和。
2. 单调性 定义:函数定义域为A ,区间,若对任意且①总有则称在区间M 上单调递增②总有则称在区间M 上单调递减应用:(一)常用定义法来证明一个函数的单调性一般步骤:(1)设值(2)作差(3)变形(4)定号(5)结论 (二)求函数的单调区间定义法、图象法、复合函数法、导数法(以后学) 注:常用结论(1) 奇函数在对称区间上的单调性相同 (2) 偶函数在对称区间上的单调性相反 (3) 复合函数单调性-------同增异减3. 周期性(1)一般地对于函数,若存在一个不为0的常数T ,使得一切值时总有,那么叫做周期函数,T 叫做周期,kT (T 的整数倍)也是它的周期(2)如果周期函数在所有周期中存在一个最小正数,就把这个最小正数叫最小正周期。
【三年高考全收录】1.【2014高考北京版理第2题】下列函数中,在区间(0,)+∞为增函数的是( ) A .1y x =+B .2(1)y x =- C .2xy -= D .0.5log(1)y x =+2.【2014高考福建卷第7题】已知函数()⎩⎨⎧≤>+=0,cos 0,12x x x x x f 则下列结论正确的是A.()x f 是偶函数 B 。
()x f 是增函数 C.()x f 是周期函数 D 。
()x f 的值域为[)+∞-,13.【2014高考湖北卷理第10题】已知函数)(x f 是定义在R 上的奇函数,当0≥x 时,)3|2||(|21)(222a a x ax x f --+-=,若R ∈∀x ,)()1(x f x f ≤-,则实数a 的取值范围为( )A.]61,61[- B.]66,66[-C. ]31,31[- D 。
]33,33[-4.【2014高考湖南卷第3题】已知)(),(x g x f 分别是定义在R 上的偶函数和奇函数,且1)()(23++=-x x x g x f ,则=+)1()1(g f ( )A 。
3-B 。
1- C. 1 D 。
35.【2014高考湖南卷第10题】已知函数())0(212<-+=x e xx f x 与())ln(2a x x x g ++=图象上存在关于y 轴对称的点,则a 的取值范围是( ) A.)1,(e-∞ B. ),(e -∞ C.),1(e e-D.)1,(ee -6.【2014高考江苏卷第13题】已知()f x 是定义在R 上且周期为3的函数,当[)0,3x ∈时,21()22f x x x =-+,若函数()y f x a =-在区间[]3,4-上有10个零点(互不相同),则实数a 的取值范围是 .7. 【2014全国1高考理第3题】设函数)(),(x g x f 的定义域为R ,且)(x f 是奇函数,)(x g 是偶函数,则下列结论中正确的是( )A .)()(x g x f 是偶函数B .)(|)(|x g x f 是奇函数 C..|)(|)(x g x f 是奇函数 D .|)()(|x g x f 是奇函数8。
函数的基本性质基础知识:1.奇偶性(1)定义:如果对于函数f (x )定义域内的任意x 都有f (-x )=-f (x ),则称f (x )为奇函数;如果对于函数f (x )定义域内的任意x 都有f (-x )=f (x ),则称f (x )为偶函数。
为偶函数。
如果函数f (x )不具有上述性质,则f (x )不具有奇偶性.如果函数同时具有上述两条性质,则f (x )既是奇函数,又是偶函数。
既是奇函数,又是偶函数。
注意:○1 函数是奇函数或是偶函数称为函数的奇偶性,函数的奇偶性是函数的整体性质;函数是奇函数或是偶函数称为函数的奇偶性,函数的奇偶性是函数的整体性质; ○2 由函数的奇偶性定义可知,函数具有奇偶性的一个必要条件是,对于定义域内的任意一个x ,则-x 也一定是定义域内的一个自变量(即定义域关于原点对称)。
(2)利用定义判断函数奇偶性的格式步骤:)利用定义判断函数奇偶性的格式步骤:○1 首先确定函数的定义域,并判断其定义域是否关于原点对称;首先确定函数的定义域,并判断其定义域是否关于原点对称; ○2 确定f (-x )与f (x )的关系;的关系;○3 作出相应结论:作出相应结论:若f (-x ) = f (x ) 或 f (-x )-f (x ) = 0,则,则f (x )是偶函数;是偶函数;若f (-x ) =-f (x ) 或 f (-x )+f (x ) = 0,则,则f (x )是奇函数。
是奇函数。
(3)简单性质:)简单性质:①图象的对称性质:一个函数是奇函数的充要条件是它的图象关于原点对称;一个函数是偶函数的充要条件是它的图象关于y 轴对称;轴对称;②设()f x ,()g x 的定义域分别是12,D D ,那么在它们的公共定义域上:,那么在它们的公共定义域上: 奇+奇=奇,奇´奇=偶,偶+偶=偶,偶´偶=偶,奇´偶=奇2.单调性(1)定义:一般地,设函数y =f (x )的定义域为I , 如果对于定义域I 内的某个区间D 内的任意两个自变量x 1,x 2,当x 1<x 2时,都有f (x 1)<f (x 2)(f (x 1)>f (x 2)),那么就说f (x )在区间D 上是增函数(减函数);注意:○1 函数的单调性是在定义域内的某个区间上的性质,是函数的局部性质;函数的单调性是在定义域内的某个区间上的性质,是函数的局部性质; ○2 必须是对于区间D 内的任意两个自变量x 1,x 2;当x 1<x 2时,总有f (x 1)<f (x 2) (2)如果函数y =f (x )在某个区间上是增函数或是减函数,在某个区间上是增函数或是减函数,那么就说函数那么就说函数y =f (x )在这一区间具有(严格的)单调性,区间D 叫做y =f (x )的单调区间。
高考函数函数知识点总结高考函数知识点总结导语:高考数学中的函数是一个非常重要的知识点,它涉及到数学的各个领域,也是后续学习的基石。
下面将从函数的定义、性质、特殊函数以及函数的应用等几个方面总结高考数学中的函数知识点。
一、函数的定义与性质:1.1 函数的定义:函数是一个对应关系,是一种特殊的关系。
对于任意一个自变量,函数都能唯一确定一个函数值。
在数学上,表示为:y = f(x)。
其中,x是自变量,y是函数值,f是函数的符号。
1.2 函数的性质:(1)定义域和值域:函数的定义域是自变量的取值范围,值域是函数值的可能范围。
(2)奇偶性:若对于函数中的任意一个x,有f(x) = f(-x),则函数是偶函数;若对于函数中的任意一个x,有f(x) = -f(-x),则函数是奇函数。
(3)单调性:若对于函数中的任意两个x1和x2,当x1 < x2时,有f(x1) < f(x2),则函数是单调增加的;若对于函数中的任意两个x1和x2,当x1 < x2时,有f(x1) > f(x2),则函数是单调减少的。
二、特殊函数:2.1 幂函数:y = x^k (k为常数)幂函数是一种重要的函数类型,其中,k可以是任意实数。
当k>0时,函数是递增的;当k<0时,函数是递减的;当k=0时,函数是常数函数。
2.2 三角函数:y = sinx、cosx、tanx等三角函数是解决三角关系问题的重要工具,具有周期性和奇偶性。
其中,sinx和cosx的定义域为实数集,而tanx的定义域为实数集去除不是π/2的倍数的点。
2.3 指数函数与对数函数:y = a^x、y = loga(x) (a为常数)指数函数和对数函数是函数中的重要类型,指数函数是反映指数规律的函数,其中a>0且a≠1;对数函数是与指数函数互逆的函数,其中a>0且a≠1。
三、函数的应用:3.1 函数与方程:通过函数的性质可以解决方程的问题。
2014-2019年高考数学真题分类汇编专题2:函数(基本函数)(一)二次函数、二次方程和二次不等式选择题1.(2014•北京文)加工爆米花时,爆开且不糊的粒数占加工总粒数的百分比称为“可食用率”,在特定条件下,可食用率p 与加工时间t (单位:分钟)满足函数关系2(p at bt c a =++,b ,c 是常数),如图记录了三次实验的数据,根据上述函数模型和实验数据,可以得到最佳加工时间为( B )A .3.50分钟B .3.75分钟C .4.00分钟D .4.25分钟2.(2015•陕西理)对二次函数2()(f x ax bx c a =++为非零整数),四位同学分别给出下列结论,其中有且只有一个结论是错误的,则错误的结论是( A ) A .1-是()f x 的零点 B .1是()f x 的极值点C .3是()f x 的极值D .点(2,8)在曲线()y f x =上3.(2016•浙江文)已知函数2()f x x bx =+,则“0b <”是“(()f f x 的最小值与()f x 的最小值相等”的(A ) A .充分不必要条件 B .必要不充分条件 C .充分必要条件D .既不充分也不必要条件4.(2017•浙江)若函数2()f x x ax b =++在区间[0,1]上的最大值是M ,最小值是m ,则(M m - B ) A .与a 有关,且与b 有关 B .与a 有关,但与b 无关C .与a 无关,且与b 无关D .与a 无关,但与b 有关 填空题1.(2014•江苏)已知函数2()1f x x mx =+-,若对于任意[x m ∈,1]m +,都有()0f x <成立,则实数m 的取值范围是 (,0) .2.(2014•浙江文)设函数2222,0(),0x x x f x x x ⎧++=⎨->⎩…,若(f f (a ))2=,则a =3.(2014•浙江文)已知实数a ,b ,c 满足0a b c ++=,2221a b c ++=,则a 的最大值是.4.(2014•浙江理)设函数22,0(),0x x x f x x x ⎧+<=⎨-⎩…,若(f f (a ))2…,则实数a 的取值范围是 ( .5.(2015•广东文)不等式2340x x --+>的解集为 (4,1)- .(用区间表示)6.(2015•湖北文)a 为实数,函数2()||f x x ax =-在区间[0,1]上的最大值记为g (a ).当a = 2 时,g (a )的值最小.7.(2016•江苏)函数y =的定义域是 [3-,1] .8.(2017•北京文11)已知0x …,0y …,且1x y +=,则22x y +的取值范围是 1[2,1] .9.(2019江苏4)函数y =的定义域是 [1-,7] .10.(2019•天津文10)设x R ∈,使不等式2320x x +-<成立的x 的取值范围为 2(1,)3- .11.(2019•浙江)已知a R ∈,函数3()f x ax x =-.若存在t R ∈,使得2|(2)()|3f t f t +-…,则实数a 的最大值是43. 解答题1.(2015•浙江文)设函数2()(,)f x x ax b a b R =++∈.(Ⅰ)当214a b =+时,求函数()f x 在[1-,1]上的最小值g (a )的表达式.(Ⅱ)已知函数()f x 在[1-,1]上存在零点,021b a -剟,求b 的取值范围. 2.(2015•浙江理)已知函数2()(,)f x x ax b a b R =++∈,记(,)M a b 是|()|f x 在区间[1-,1]上的最大值. (1)证明:当||2a …时,(,)2M a b …;(2)当a ,b 满足(,)2M a b …时,求||||a b +的最大值. (二)指数运算与指数函数选择题1.(2014•湖南理)某市生产总值连续两年持续增加,第一年的增长率为p ,第二年的增长率为q ,则该市这两年生产总值的年平均增长率为( D )A .2p q+ B .(1)(1)2p q ++C .pqD 12.(2014•陕西文理)下列函数中,满足“()()()f x y f x f y +=”的单调递增函数是( B ) A .3()f x x =B .()3xf x =C .12()f x x =D .1()()2x f x =3.(2015•山东文)设0.60.6a =, 1.50.6b =,0.61.5c =,则a ,b ,c 的大小关系( C ) A .a b c <<B .a c b <<C .b a c <<D .b c a <<4.(2015•四川文)某食品保鲜时间y (单位:小时)与储藏温度x (单位:C)︒满足函数关系( 2.718kx b y e e +==⋯为自然对数的底数,k ,b 为常数).若该食品在0C ︒的保鲜时间是192小时,在22C ︒的保鲜时间是48小时,则该食品在33C ︒的保鲜时间是( C ) A .16小时B .20小时C .24小时D .28小时5.(2015•安徽理)设:12p x <<,:21x q >,则p 是q 成立的( A ) A .充分不必要条件 B .必要不充分条件 C .充分必要条件D .既不充分也不必要条件6.(2016•浙江文)已知函数()f x 满足:()||f x x …且()2x f x …,x R ∈.( B ) A .若f (a )||b …,则a b … B .若f (a )2b …,则a b … C .若f (a )||b …,则a b …D .若f (a )2b …,则a b …7.(2016•山东理)设集合{|2x A y y ==,}x R ∈,2{|10}B x x =-<,则(A B = C )A .(1,1)-B .(0,1)C .(1,)-+∞D .(0,)+∞8.(2017•新课标Ⅰ理)已知集合{|1}A x x =<,{|31}x B x =<,则( A ) A .{|0}AB x x =< B .AB R =C .{|1}A B x x =>D .A B =∅9.(2018•新课标Ⅰ文)设函数2,0()1,0x x f x x -⎧=⎨>⎩…,则满足(1)(2)f x f x +<的x 的取值范围是( D )A .(-∞,1]-B .(0,)+∞C .(1,0)-D .(,0)-∞填空题1.(2014•上海文理)若2132()f x x x-=-,则满足()0f x <的x 的取值范围是 (0,1) .2.(2015•四川理)某食品的保鲜时间y (单位:小时)与储藏温度x (单位:C)︒满足函数关系( 2.718kx b y e e +==⋯为自然对数的底数,k 、b 为常数).若该食品在0C ︒的保鲜时间是192小时,在22C ︒的保鲜时间是48小时,则该食品在33C ︒的保鲜时间是 24 小时. 3.(2015•江苏)不等式224xx-<的解集为 (1,2)- .(三)对数运算与对数函数选择题1.(2014•四川文)已知0b >,5log b a =,lgb c =,510d =,则下列等式一定成立的是( B ) A .d ac =B .a cd =C .c ad =D .d a c =+2.(2015•新课标Ⅰ文)已知函数1222,1()(1),1x x f x log x x -⎧-⎪=⎨-+>⎪⎩…,且f (a )3=-,则(6)(f a -= A )A .74-B .54-C .34-D .14-3.(2015•新课标Ⅱ理)设函数211(2),1()2,1x log x x f x x -+-<⎧=⎨⎩…,则2(2)(log 12)(f f -+= C )A .3B .6C .9D .124.(2017•北京文理)根据有关资料,围棋状态空间复杂度的上限M 约为3613,而可观测宇宙中普通物质的原子总数N 约为8010,则下列各数中与MN最接近的是( D ) (参考数据:30.48)lg ≈ A .3310B .5310C .7310D .93105.(2014•安徽文)设3log 7a =, 3.32b =, 1.10.8c =,则( B ) A .b a c <<B .c a b <<C .c b a <<D .a c b <<6.(2014•安徽理)“0x <”是“(1)0ln x +<”的( B ) A .充分不必要条件 B .必要不充分条件 C .充分必要条件D .既不充分也不必要条件7.(2014•福建文理)若函数log (0,1)a y x a a =>≠的图象如图所示,则下列函数图象正确的是( B )A .B .CD .8.(2014•山东文)函数()f x =的定义域为( C )A .(0,2)B .(0,2]C .(2,)+∞D .[2,)+∞9.(2014•山东文)已知函数log ()(a y x c a =+,c 为常数,其中0a >,1)a ≠的图象如图所示,则下列结论成立的是( D )A .1a >,1c >B .1a >,01c <<C .01a <<,1c >D .01a <<,01c <<10.(2014•山东理)函数()f x =的定义域为( C )A .1(0,)2B .(2,)+∞C .(0,1)(22⋃,)+∞D .(0,1][22,)+∞11.(2014•辽宁文理)已知132a -=,21log 3b =,121log 3c =,则( D ) A .a b c >>B .a c b >>C .c b a >>D .c a b >>12.(2014•江西理)函数2()()f x ln x x =-的定义域为( C ) A .(0,1)B .[0,1]C .(-∞,0)(1⋃,)+∞D .(-∞,0][1,)+∞13.(2014•四川理)已知()(1)(1)f x ln x ln x =+--,(1,1)x ∈-.现有下列命题: ①()()f x f x -=-;②22()2()1xf f x x =+③|()|2||f x x …其中的所有正确命题的序号是( A ) A .①②③B .②③C .①③D .①②14.(2014•天津文)设2log a π=,12log b π=,2c π-=,则( C ) A .a b c >>B .b a c >>C .a c b >>D .c b a >>15.(2014•浙江文理)在同一直角坐标系中,函数()(0)a f x x x =>,()log a g x x =的图象可能是( D )A .B .C .D .16.(2015•湖北文)函数256()3x x f x lg x -+=-的定义域为( C )A .(2,3)B .(2,4]C .(2,3)(3⋃,4]D .(1-,3)(3⋃,6]17.(2015•陕西文理)设()f x lnx =,0a b <<,若p f =,()2a bq f +=,1(2r f =(a )f +(b )),则下列关系式中正确的是( B ) A .q r p =<B .p r q =<C .q r p =>D .p r q => 18.(2015•陕西文理)设集合2{|}M x x x ==,{|0}N x lgx =…,则(M N = A )A .[0,1]B .(0,1]C .[0,1)D .(-∞,1]19.(2015•四川文)设a ,b 为正实数,则“1a b >>”是“22log log 0a b >>”的( A ) A .充要条件 B .充分不必要条件 C .必要不充分条件D .既不充分也不必要条件20.(2015•四川理)设a 、b 都是不等于1的正数,则“333a b >>”是“log 3log 3a b <”的( B ) A .充要条件 B .充分不必要条件 C .必要不充分条件D .既不充分也不必要条件21.(2015•重庆文)函数22()log (23)f x x x =+-的定义域是( D ) A .[3-,1]B .(3,1)-C .(-∞,3][1-,)+∞D .(-∞,3)(1-⋃,)+∞22.(2015•重庆理)“1x >”是“12(2)0log x +<”的( B )A .充要条件B .充分而不必要条件C .必要而不充分条件D .既不充分也不必要条件23.(2016•新课标Ⅰ文)若0a b >>,01c <<,则( B ) A .log log a b c c <B .log log c c a b <C .c c a b <D .a b c c >24.(2016•新课标Ⅰ理)若1a b >>,01c <<,则( C ) A .c c a b < B .c c ab ba <C .log log b a a c b c <D .log log a b c c <25.(2016•新课标Ⅱ文)下列函数中,其定义域和值域分别与函数10lgx y =的定义域和值域相同的是(D ) A .y x =B .y lgx =C .2x y =D.y =26.(2016•浙江文)已知a ,0b >且1a ≠,1b ≠,若log 1a b >,则( D ) A .(1)(1)0a b --< B .(1)()0a a b -->C .(1)()0b b a --<D .(1)()0b b a -->27.(2017•新课标Ⅰ理)设x 、y 、z 为正数,且235x y z ==,则( D ) A .235x y z <<B .523z x y <<C .352y z x <<D .325y x z <<28.(2017•山东理)设函数y =A ,函数(1)y ln x =-的定义域为B ,则(A B =D )A .(1,2)B .(1,2]C .(2,1)-D .[2-,1)29.(2018•新课标Ⅲ理12)设0.2log 0.3a =,2log 0.3b =,则( B ) A .0a b ab +<<B .0ab a b <+<C .0a b ab +<<D .0ab a b <<+30.(2018•天津文5)已知372a log =,131()4b =,1315c log =,则a ,b ,c 的大小关系为( D )A .a b c >>B .b a c >>C .c b a >>D .c a b >>31.(2018•天津理5)已知2log a e =,2b ln =,121log 3c =,则a ,b ,c 的大小关系为( D ) A .a b c >> B .b a c >> C .c b a >> D .c a b >>32.(2019•新课标Ⅰ文理)已知2log 0.2a =,0.22b =,0.30.2c =,则( B ) A .a b c <<B .a c b <<C .c a b <<D .b c a <<33.(2019•天津文5)已知2log 7a =,3log 8b =,0.20.3c =,则a ,b ,c 的大小关系为( A ) A .c b a <<B .a b c <<C .b c a <<D .c a b <<34.(2019•天津理)已知5log 2a =,0.5log 0.2b =,0.20.5c =,则a ,b ,c 的大小关系为( A ) A .a c b <<B .a b c <<C .b c a <<D .c a b <<35.(2019•浙江理6)在同一直角坐标系中,函数1xy a =,11()2ay og x =+,(0a >且1)a ≠的图象可能是(D ) A .B . C .D .填空题1.(2014•安徽文)34331654()log log 8145-++=278. 2.(2014•陕西文理)已知42a =,lgx a =,则x3.(2014•重庆理)函数22()log log (2)f x x =的最小值为 14- .4.(2015•上海文理)方程1122log (95)log (32)2x x ---=-+的解为 2x = . 5.(2015•四川文)20.01log 16lg +的值是 2. 6.(2015•浙江文)计算:2log = 12- ,24332log log +=7.(2015•浙江理)若4log 3a =,则22a a -+= . 8.(2015•安徽文)15122()22lglg -+-= 1- . 9.(2016•浙江理)已知1a b >>,若5log log 2a b b a +=,b a a b =,则a = 4 ,b = 2 . 10.(2018•新课标Ⅰ文)已知函数22()log ()f x x a =+,若f (3)1=,则a = 7- .11.(2019新课标Ⅱ理14)已知()f x 是奇函数,且当0x <时,()ax f x e =-.若(2)8f ln =,则a = 3- . 12.(2015•北京文)32-,123,2log 5三个数中最大数的是 2log 5 .13.(2015•福建理)若函数6,2()(03log ,2a x x f x a x x -+⎧=>⎨+>⎩…且1)a ≠的值域是[4,)+∞,则实数a 的取值范围是 (1,2].14.(2018•江苏5)函数()f x =的定义域为 [2,)+∞ .(四)幂函数1.(2016•新课标Ⅲ文理)已知432a =,233b =,1325c =,则( A ) A .b a c <<B .a b c <<C .b c a <<D .c a b <<2.(2017•上海)已知四个函数:①y x =-,②1y x=-,③3y x =,④12y x =,从中任选2个,则事件“所选2个函数的图象有且仅有一个公共点”的概率为 13 .3.(2018•上海)已知{2α∈-,1-,11,22-,1,2,3},若幂函数()f x x α=为奇函数,且在(0,)+∞上递减,则α= 1- .。
函数的基本性质知识点总结函数的基本性质基础知识:1.奇偶性1)定义:如果对于函数 $f(x)$ 定义域内的任意 $x$ 都有$f(-x)=-f(x)$,则称 $f(x)$ 为奇函数;如果对于函数 $f(x)$ 定义域内的任意 $x$ 都有 $f(-x)=f(x)$,则称 $f(x)$ 为偶函数。
如果函数 $f(x)$ 不具有上述性质,则 $f(x)$ 不具有奇偶性。
如果函数同时具有上述两条性质,则 $f(x)$ 既是奇函数,又是偶函数。
注意:①函数是奇函数或是偶函数称为函数的奇偶性,函数的奇偶性是函数的整体性质;②由函数的奇偶性定义可知,函数具有奇偶性的一个必要条件是,对于定义域内的任意一个 $x$,则 $-x$ 也一定是定义域内的一个自变量(即定义域关于原点对称)。
2)利用定义判断函数奇偶性的格式步骤:①首先确定函数的定义域,并判断其定义域是否关于原点对称;②确定 $f(-x)$ 与 $f(x)$ 的关系;③作出相应结论:若 $f(-x) =f(x)$ 或 $f(-x)-f(x) = 0$,则 $f(x)$ 是偶函数;若 $f(-x)=-f(x)$ 或 $f(-x)+f(x) = 0$,则 $f(x)$ 是奇函数。
3)简单性质:①图象的对称性质:一个函数是奇函数的充要条件是它的图象关于原点成中心对称;一个函数是偶函数的充要条件是它的图象关于 $y$ 轴成轴对称;②设 $f(x)$,$g(x)$ 的定义域分别是 $D_1$,$D_2$,那么在它们的公共定义域上:奇+奇=奇,奇×奇=偶,偶+偶=偶,偶×偶=偶,奇×偶=奇2.单调性1)定义:一般地,设函数 $y=f(x)$ 的定义域为 $I$,如果对于定义域 $I$ 内的某个区间 $D$ 内的任意两个自变量$x_1$,$x_2$,当 $x_1f(x_2)$),那么就说 $f(x)$ 在区间$D$ 上是增函数(减函数);注意:①函数的单调性是在定义域内的某个区间上的性质,是函数的局部性质;②必须是对于区间 $D$ 内的任意两个自变量 $x_1$,$x_2$;当 $x_1<x_2$ 时,总有 $f(x_1)<f(x_2)$。
2014-2019年高考数学真题分类汇编专题2:函数(函数的基本性质)(一)函数的单调性及最值选择题1.(2014•北京文)下列函数中,定义域是R 且为增函数的是( ) A .x y e -=B .y x =C .y lnx =D .||y x =【考点】函数单调性的性质与判断【分析】根据函数单调性的性质和函数成立的条件,即可得到结论. 【解答】解:A .函数的定义域为R ,但函数为减函数,不满足条件.B .函数的定义域为R ,函数增函数,满足条件.C .函数的定义域为(0,)+∞,函数为增函数,不满足条件.D .函数的定义域为R ,在(0,)+∞上函数是增函数,在(,0)-∞上是减函数,不满足条件.故选:B .【点评】本题主要考查函数定义域和单调性的判断,比较基础. 2.(2014•北京理)下列函数中,在区间(0,)+∞上为增函数的是( )A .y =B .2(1)y x =-C .2x y -=D .0.5log (1)y x =+【考点】对数函数的单调性与特殊点【分析】根据基本初等函数的单调性,判断各个选项中函数的单调性,从而得出结论.【解答】解:由于函数y =(1,)-+∞上是增函数,故满足条件, 由于函数2(1)y x =-在(0,1)上是减函数,故不满足条件, 由于函数2x y -=在(0,)+∞上是减函数,故不满足条件, 由于函数0.5log (1)y x =+在(1,)-+∞上是减函数,故不满足条件, 故选:A .【点评】本题主要考查函数的单调性的定义和判断,基本初等函数的单调性,属于基础题. 3.(2014•天津理)函数212()log (4)f x x =-的单调递增区间为( )A .(0,)+∞B .(,0)-∞C .(2,)+∞D .(,2)-∞-【考点】复合函数的单调性【分析】令240t x =->,求得函数()f x 的定义域为(-∞,2)(2-⋃,)+∞,且函数12()()log f x g t t ==.根据复合函数的单调性,本题即求函数t 在(-∞,2)(2-⋃,)+∞ 上的减区间.再利用二次函数的性质可得,函数t 在(-∞,2)(2-⋃,)+∞ 上的减区间. 【解答】解:令240t x =->,可得2x >,或2x <-, 故函数()f x 的定义域为(-∞,2)(2-⋃,)+∞,当(,2)x ∈-∞-时,t 随x 的增大而减小,12log y t =随t 的减小而增大,所以212log (4)y x =-随x 的增大而增大,即()f x 在(,2)-∞-上单调递增.故选:D .【点评】本题主要考查复合函数的单调性,二次函数的性质,体现了转化的数学思想,属于中档题. 4.(2016•北京文)下列函数中,在区间(1,1)-上为减函数的是( ) A .11y x=- B .cos y x = C .(1)y ln x =+D .2x y -=【考点】函数单调性的性质与判断【分析】根据函数单调性的定义,余弦函数单调性,以及指数函数的单调性便可判断每个选项函数在(1,1)-上的单调性,从而找出正确选项.【解答】解:A .x 增大时,x -减小,1x -减小,∴11x-增大; ∴函数11y x=-在(1,1)-上为增函数,即该选项错误; B .cos y x =在(1,1)-上没有单调性,∴该选项错误;C .x 增大时,1x +增大,(1)ln x +增大,(1)y ln x ∴=+在(1,1)-上为增函数,即该选项错误;1.2()2x x D y -==;∴根据指数函数单调性知,该函数在(1,1)-上为减函数,∴该选项正确.故选:D .【点评】考查根据单调性定义判断函数在一区间上的单调性的方法,以及余弦函数和指数函数的单调性,指数式的运算.5.(2016•北京理)已知x ,y R ∈,且0x y >>,则( ) A .110x y-> B .sin sin 0x y -> C .11()()022x y -<D .0lnx lny +>【考点】不等关系与不等式【分析】x ,y R ∈,且0x y >>,可得:11x y <,sin x 与sin y 的大小关系不确定,11()()22x y <,lnx lny+与0的大小关系不确定,即可判断出结论. 【解答】解:x ,y R ∈,且0x y >>,则11x y <,sin x 与sin y 的大小关系不确定,11()()22x y <,即11()()022x y -<,lnx lny +与0的大小关系不确定. 故选:C .【点评】本题考查了不等式的性质、函数的单调性,考查了推理能力与计算能力,属于中档题. 6.(2017•新课标Ⅱ文)函数2()(28)f x ln x x =--的单调递增区间是( ) A .(,2)-∞-B .(,1)-∞-C .(1,)+∞D .(4,)+∞【考点】复合函数的单调性【分析】由2280x x -->得:(x ∈-∞,2)(4-⋃,)+∞,令228t x x =--,则y lnt =,结合复合函数单调性“同增异减”的原则,可得答案.【解答】解:由2280x x -->得:(x ∈-∞,2)(4-⋃,)+∞, 令228t x x =--,则y lnt =,(,2)x ∈-∞-时,228t x x =--为减函数; (4,)x ∈+∞时,228t x x =--为增函数; y lnt =为增函数,故函数2()(28)f x ln x x =--的单调递增区间是(4,)+∞, 故选:D .【点评】本题考查的知识点是复合函数的单调性,对数函数的图象和性质,二次数函数的图象和性质,难度中档.7.(2017•山东文)若函数()( 2.71828x e f x e =⋯是自然对数的底数)在()f x 的定义域上单调递增,则称函数()f x 具有M 性质,下列函数中具有M 性质的是( ) A .()2x f x -=B .2()f x x =C .()3x f x -=D .()cos f x x =【考点】函数单调性的性质与判断【分析】根据已知中函数()f x 具有M 性质的定义,可得()2x f x -=时,满足定义. 【解答】解:当()2x f x -=时,函数()()2x x ee f x =在R 上单调递增,函数()f x 具有M 性质,故选:A .【点评】本题考查的知识点是函数单调性的性质,难度不大,属于基础题. 8.(2019北京文科3)下列函数中,在区间(0,)+∞上单调递增的是( ) A .12y x =B .2x y -=C .12log y x =D .1y x=【考点】函数单调性的性质与判断【分析】判断每个函数在(0,)+∞上的单调性即可.【解答】解:12y x =在(0,)+∞上单调递增,122,x y y log x -==和1y x=在(0,)+∞上都是减函数. 故选:A .【点评】考查幂函数、指数函数、对数函数和反比例函数的单调性. 9.(2019•上海)下列函数中,值域为[0,)+∞的是( ) A .2xy = B .12y x =C .tan y x =D .cos y x =【考点】函数的值域【分析】此题考查求函数的定义域与值域,对应求出值域即可确定正确答案为B 【解答】解:A ,2x y =的值域为(0,)+∞,故A 错B ,y =的定义域为[0,)+∞,值域也是[0,)+∞,故B 正确.C ,tan y x =的值域为(,)-∞+∞,故C 错D ,cos y x =的值域为[1-,1]+,故D 错. 故选:B .【点评】本题目属于基础题型,准确求出每一个函数的值域,即可确定正确答案,考查学生的基础解题能 力.填空题1.(2014•天津文)函数2()f x lgx =的单调递减区间是 (,0)-∞ . 【考点】复合函数的单调性【分析】先将()f x 化简,注意到0x ≠,即()2||f x lg x =,再讨论其单调性,从而确定其减区间;也可以函数看成由2t x y lgt⎧=⎨=⎩复合而成,再分别讨论内层函数和外层函数的单调性,根据“同増异减”再来判断.【解答】解:方法一:22||y lgx lg x ==,∴当0x >时,()2f x lgx =在(0,)+∞上是增函数;当0x <时,()2()f x lg x =-在(,0)-∞上是减函数.∴函数2()f x lgx =的单调递减区间是(,0)-∞.故答案为:(,0)-∞.方法二:原函数是由2t x y lgt ⎧=⎨=⎩复合而成,2t x =在(,0)-∞上是减函数,在(0,)+∞为增函数;又y lgt =在其定义域上为增函数,2()f x lgx ∴=在(,0)-∞上是减函数,在(0,)+∞为增函数,∴函数2()f x lgx =的单调递减区间是(,0)-∞.故答案为:(,0)-∞.【点评】本题是易错题,学生在方法一中,化简时容易将22||y lgx lg x ==中的绝对值丢掉,方法二对复合函数的结构分析也是最常用的方法,此外,本题还可以利用数形结合的方式,即画出2||y lg x =的图象,得到函数的递减区间.2.(2015•山东理)已知函数()(0,1)x f x a b a a =+>≠的定义域和值域都是[1-,0],则a b += 32- .【考点】34:函数的值域 【专题】函数的性质及应用【解答】解:当1a >时,函数()x f x a b =+在定义域上是增函数,所以1101b a b -+=⎧⎨+=-⎩,解得1b =-,10a=不符合题意舍去; 当01a <<时,函数()x f x a b =+在定义域上是减函数,所以1110b a b -+=-⎧⎨+=⎩,解得2b =-,12a =,综上32a b +=-, 故答案为:32-【点评】本题考查指数函数的单调性的应用,以及分类讨论思想,属于中档题. 3.(2016•北京文)函数()(2)1xf x x x =-…的最大值为 2 . 【考点】函数的值域【分析】分离常数便可得到1()11f x x =+-,根据反比例函数的单调性便可判断该函数在[2,)+∞上为减函数,从而2x =时()f x 取最大值,并可求出该最大值. 【解答】解:111()1111x x f x x x x -+===+---; ()f x ∴在[2,)+∞上单调递减; 2x ∴=时,()f x 取最大值2.故答案为:2.【点评】考查函数最大值的概念及求法,分离常数法的运用,以及反比例函数的单调性,根据函数单调性求最值的方法.4.(2018•北京理13)能说明“若()(0)f x f >对任意的(0x ∈,2]都成立,则()f x 在[0,2]上是增函数”为假命题的一个函数是 ()sin f x x = . 【考点】2J :命题的否定;函数的性质及应用 【分析】本题答案不唯一,符合要求即可. 【解答】解:例如()sin f x x =,尽管()(0)f x f >对任意的(0x ∈,2]都成立,当[0x ∈,)2π上为增函数,在(2π,2]为减函数,故答案为:()sin f x x =.【点评】本题考查了函数的单调性,属于基础题. (二)函数的奇偶性选择题1.(2014•新课标Ⅰ文理)设函数()f x ,()g x 的定义域都为R ,且()f x 是奇函数,()g x 是偶函数,则下列结论正确的是( ) A .()()f x g x 是偶函数 B .|()|()f x g x 是奇函数 C .()|()|f x g x 是奇函数 D .|()()|f x g x 是奇函数【考点】函数奇偶性的性质与判断【分析】根据函数奇偶性的性质即可得到结论. 【解答】解:()f x 是奇函数,()g x 是偶函数,()()f x f x ∴-=-,()()g x g x -=,()()()()f x g x f x g x --=-,故函数是奇函数,故A 错误, |()|()|()|()f x g x f x g x --=为偶函数,故B 错误, ()|()|()|()|f x g x f x g x --=-是奇函数,故C 正确.|()()||()()|f x g x f x g x --=为偶函数,故D 错误,故选:C .2.(2014•广东文)下列函数为奇函数的是( ) A .122x x-B .3sin x xC .2cos 1x +D .22x x +【考点】函数奇偶性的性质与判断【分析】根据函数的奇偶性的定,对各个选项中的函数进行判断,从而得出结论. 【解答】解:对于函数1()22x x f x =-,由于11()22()22xx x x f x f x ---=-=-=-,故此函数为奇函数. 对于函数3()sin f x x x =,由于33()(sin )sin ()f x x x x x f x -=--==,故此函数为偶函数. 对于函数()2cos 1f x x =+,由于()2cos()12cos 1()f x x x f x -=-+=+=,故此函数为偶函数. 对于函数2()2x f x x =+,由于22()()22()x x f x x x f x ---=-+=+≠-,且()()f x f x -≠, 故此函数为非奇非偶函数. 故选:A .【点评】本题主要考查函数的奇偶性的判断方法,属于基础题.3.(2014•湖南理)已知()f x ,()g x 分别是定义在R 上的偶函数和奇函数,且32()()1f x g x x x -=++,则f (1)g +(1)(= )A .3-B .1-C .1D .3【考点】函数奇偶性的性质与判断【分析】将原代数式中的x 替换成x -,再结合着()f x 和()g x 的奇偶性可得()()f x g x +,再令1x =即可. 【解答】解:由32()()1f x g x x x -=++,将所有x 替换成x -,得32()()1f x g x x x ---=-++,根据()()f x f x =-,()()g x g x -=-,得32()()1f x g x x x +=-++,再令1x =,计算得, f (1)g +(1)1=.故选:C .【点评】本题属于容易题,是对函数奇偶性的考查,在高考中,函数奇偶性的考查一般相对比较基础,学生在掌握好基础知识的前提下,做题应该没有什么障碍.本题中也可以将原代数式中的x 直接令其等于1-也可以得到计算结果.4.(2014•重庆文)下列函数为偶函数的是( )A .()1f x x =-B .2()f x x x =+C .()22x x f x -=-D .()22x x f x -=+【考点】函数奇偶性的性质与判断【分析】根据偶函数的定义,依次分析选项,先分析函数的定义域,再分析()()f x f x -=是否成立,即可得答案.【解答】解:根据题意,依次分析选项:A 、()1f x x =-,其定义域为R ,()1f x x -=--,()()f x f x -≠,不是偶函数,不符合题意;B 、2()f x x x =+,其定义域为R ,2()f x x x -=-,()()f x f x -≠,不是偶函数,不符合题意;C 、()22x x f x -=-,其定义域为R ,()22x x f x --=-,()()f x f x -=-,是奇函数不是偶函数,不符合题意;D 、()22x x f x -=+,其定义域为R ,()22x x f x --=+,()()f x f x -=,是偶函数,符合题意;故选:D .【点评】本题考查函数奇偶性的判断,注意要先分析函数的定义域. 5.(2015•北京文理)下列函数中为偶函数的是( ) A .2sin y x x =B .2cos y x x =C .||y lnx =D .2x y -=【考点】函数奇偶性的性质与判断【分析】首先从定义域上排除选项C ,然后在其他选项中判断x -与x 的函数值关系,相等的就是偶函数. 【解答】解:对于A ,22()sin()sin x x x x --=-;是奇函数; 对于B ,22()cos()cos x x x x --=;是偶函数; 对于C ,定义域为(0,)+∞,是非奇非偶的函数;对于D ,定义域为R ,但是()222x x x ---=≠,22x x -≠-;是非奇非偶的函数; 故选:B .【点评】本题考查了函数奇偶性的判断;首先判断定义域是否关于原点对称;如果不对称,函数是非奇非偶的函数;如果对称,再判断()f x -与()f x 关系,相等是偶函数,相反是奇函数. 6.(2015•福建文理)下列函数为奇函数的是( )A .y =B .x y e =C .cos y x =D .x x y e e -=-【考点】函数奇偶性的性质与判断;余弦函数的对称性 【分析】根据函数奇偶性的定义进行判断即可.【解答】解:A .函数的定义域为[0,)+∞,定义域关于原点不对称,故A 为非奇非偶函数.B .函数x y e =单调递增,为非奇非偶函数.C .cos y x =为偶函数.D .()()()x x x x f x e e e e f x ---=-=--=-,则()f x 为奇函数,故选:D .【点评】本题主要考查函数奇偶性的判断,根据函数奇偶性定义是解决本题的关键. 7.(2015•广东文)下列函数中,既不是奇函数,也不是偶函数的是( ) A .sin 2y x x =+B .2cos y x x =-C .122x xy =+D .2sin y x x =+【考点】函数奇偶性的性质与判断【分析】利用函数奇偶性的判断方法对选项分别分析选择. 【解答】解:四个选项中,函数的定义域都是R , 对于A ,sin(2)(sin 2)x x x x -+-=-+;是奇函数; 对于B ,22()cos()cos x x x x ---=-;是偶函数; 对于C ,112222x x x x --+=+,是偶函数; 对于D ,222()sin()sin sin x x x x x x -+-=-≠+,22sin (sin )x x x x -≠-+;所以是非奇非偶的函数; 故选:D .【点评】本题考查了函数奇偶性的判断,在定义域关于原点对称的前提下,判断()f x -与()f x 的关系,相等就是偶函数,相反就是奇函数.8.(2015•广东理)下列函数中,既不是奇函数,也不是偶函数的是( )A .y =B .1y x x=+C .122x xy =+D .x y x e =+【考点】函数奇偶性的性质与判断【分析】直接利用函数的奇偶性判断选项即可.【解答】解:对于A ,y =A 不正确; 对于B ,1y x x=+函数是奇函数,所以B 不正确; 对于C ,122x xy =+是偶函数,所以C 不正确; 对于D ,不满足()()f x f x -=也不满足()()f x f x -=-,所以函数既不是奇函数,也不是偶函数,所以D 正确. 故选:D .【点评】本题考查函数的奇偶性的判断,基本知识的考查.9.(2019新课标Ⅱ文6)设()f x 为奇函数,且当0x …时,()1x f x e =-,则当0x <时,()(f x = ) A .1x e --B .1x e -+C .1x e ---D .1x e --+【考点】函数解析式的求解及常用方法;函数奇偶性的性质与判断【分析】设0x <,则0x ->,代入已知函数解析式,结合函数奇偶性可得0x <时的()f x . 【解答】解:设0x <,则0x ->,()1x f x e -∴-=-,设()f x 为奇函数,()1x f x e -∴-=-, 即()1x f x e -=-+. 故选:D .【点评】本题考查函数的解析式即常用求法,考查函数奇偶性性质的应用,是基础题.填空题1.(2014•湖南文)若3()(1)x f x ln e ax =++是偶函数,则a = 32- .【考点】函数奇偶性的性质与判断【分析】根据函数奇偶性的定义,建立方程关系即可得到结论. 【解答】解:若3()(1)x f x ln e ax =++是偶函数, 则()()f x f x -=,即33(1)(1)x x ln e ax ln e ax -++=+-,即333333331(1)2(1)(1)()311x x x xxx x xe e e ax ln e ln e ln ln lne x e e----++=+-+====-++, 即23a =-,解得32a =-,故答案为:32-,【点评】本题主要考查函数奇偶性的应用,根据偶函数的定义得到()()f x f x -=是解决本题的关键.2.(2015•新课标Ⅰ理)若函数()(f x xln x =+为偶函数,则a = 1 . 【考点】函数奇偶性的性质与判断【分析】由题意可得,()()f x f x -=,代入根据对数的运算性质即可求解.【解答】解:()(f x xln x =+为偶函数,()()f x f x ∴-=,()((x ln x xln x ∴--+=+,((ln x ln x ∴--+=+,((0ln x ln x ∴-+++=,)0ln x x ∴+=,0lna ∴=, 1a ∴=.故答案为:1.【点评】本题主要考查了偶函数的定义及对数的运算性质的简单应用,属于基础试题.3.(2017•新课标Ⅱ文)已知函数()f x 是定义在R 上的奇函数,当(,0)x ∈-∞时,32()2f x x x =+,则f (2)= 12 .【考点】函数奇偶性的性质与判断;抽象函数及其应用【分析】由已知中当(,0)x ∈-∞时,32()2f x x x =+,先求出(2)f -,进而根据奇函数的性质,可得答案. 【解答】解:当(,0)x ∈-∞时,32()2f x x x =+, (2)12f ∴-=-,又函数()f x 是定义在R 上的奇函数, f ∴(2)12=,故答案为:12【点评】本题考查的知识点是函数奇偶性的性质,函数求值,难度不大,属于基础题.4.(2018•新课标Ⅲ文16)已知函数())1f x ln x =+,f (a )4=,则()f a -= 2- . 【考点】函数奇偶性的性质与判断【分析】利用函数的奇偶性的性质以及函数值,转化求解即可.【解答】解:函数())g x ln x =满足()))()g x ln x ln x g x -===-=-,所以()g x 是奇函数.函数())1f x ln x =+,f (a )4=,可得f (a )4)1ln a ==+,可得)3ln a =,则())1312f a ln a -=-+=-+=-. 故答案为:2-.【点评】本题考查奇函数的简单性质以及函数值的求法,考查计算能力.5.(2019新课标Ⅱ理14)已知()f x 是奇函数,且当0x <时,()ax f x e =-.若(2)8f ln =,则a = . 【考点】函数奇偶性的性质与判断;对数的运算 【分析】奇函数的定义结合对数的运算可得结果 【解答】解:()f x 是奇函数,(2)8f ln ∴-=-,又当0x <时,()ax f x e =-,2(2)8aln f ln e -∴-=-=-, 28aln ln ∴-=,3a ∴=-.故答案为:3-【点评】本题主要考查函数奇偶性的应用,对数的运算性质,属于基础题. (三)函数的周期性填空题1.(2014•四川文理)设()f x 是定义在R 上的周期为2的函数,当[1x ∈-,1)时,242,10(),01x x f x x x ⎧-+-<=⎨<⎩……,则3()2f = 1 .【考点】函数的周期性【分析】由函数的周期性(2)()f x f x +=,将求3()2f 的值转化成求1()2f 的值.【解答】解:()f x 是定义在R 上的周期为2的函数,∴2311()()4()21222f f =-=-⨯-+=.故答案为:1.【点评】本题属于容易题,是考查函数周期性的简单考查,学生在计算时只要计算正确,往往都能把握住,在高考中,属于“送分题”.2.(2016•江苏)设()f x 是定义在R 上且周期为2的函数,在区间[1-,1)上,,10()2||,015x a x f x x x +-<⎧⎪=⎨-<⎪⎩……,其中a R ∈,若59()()22f f -=,则(5)f a 的值是 25- .【考点】周期函数;分段函数的应用【分析】根据已知中函数的周期性,结合59()()22f f -=,可得a 值,进而得到(5)f a 的值.【解答】解:()f x 是定义在R 上且周期为2的函数,在区间[1-,1)上,,10()2||,015x a x f x x x +-<⎧⎪=⎨-<⎪⎩……,511()()222f f a ∴-=-=-+,91211()()||225210f f ==-=, 35a ∴=, (5)f a f ∴=(3)32(1)155f =-=-+=-, 故答案为:25-【点评】本题考查的知识点是分段函数的应用,函数的周期性,根据已知求出a 值,是解答的关键. 3.(2018•江苏9)函数()f x 满足(4)()()f x f x x R +=∈,且在区间(2-,2]上,cos ,022()1||,202x x f x x x π⎧<⎪⎪=⎨⎪+-<⎪⎩……,则((15))f f 的值为. 【考点】函数的值【分析】根据函数的周期性,进行转化求解即可.【解答】解:由(4)()f x f x +=得函数是周期为4的周期函数, 则11(15)(161)(1)|1|22f f f =-=-=-+=,11()cos()cos 2224f ππ=⨯=,即((15))2f f =,【点评】本题主要考查函数值的计算,根据函数的周期性结合分段函数的表达式利用转化法是解决本题的关键.(四)函数的对称性选择题1.(2014•山东文)对于函数()f x ,若存在常数0a ≠,使得x 取定义域内的每一个值,都有()(2)f x f a x =-,则称()f x 为准偶函数,下列函数中是准偶函数的是( ) A.()f x =B .2()f x x =C .()tan f x x =D .()cos(1)f x x =+【考点】抽象函数及其应用【分析】由题意判断()f x 为准偶函数的对称轴,然后判断选项即可.【解答】解:对于函数()f x ,若存在常数0a ≠,使得x 取定义域内的每一个值,都有()(2)f x f a x =-,则称()f x 为准偶函数,∴函数的对称轴是x a =,0a ≠,选项A 函数没有对称轴;选项B 、函数的对称轴是0x =,选项C ,函数没有对称轴. 函数()cos(1)f x x =+,有对称轴,且0x =不是对称轴,选项D 正确. 故选:D .【点评】本题考查函数的对称性的应用,新定义的理解,基本知识的考查.2.(2015•新课标Ⅰ文)设函数()y f x =的图象与2x a y +=的图象关于y x =-对称,且(2)(4)1f f -+-=,则(a = ) A .1-B .1C .2D .4【考点】函数的图象与图象的变换【分析】先求出与2x a y +=的反函数的解析式,再由题意()f x 的图象与2x a y +=的反函数的图象关于原点对称,继而求出函数()f x 的解析式,问题得以解决.【解答】解:与2x a y +=的图象关于y x =对称的图象是2x a y +=的反函数, 2log (0)y x a x =->,即2()log g x x a =-,(0)x >.函数()y f x =的图象与2x a y +=的图象关于y x =-对称, 2()()log ()f x g x x a ∴=--=--+,0x <,(2)(4)1f f -+-=, 22log 2log 41a a ∴-+-+=,解得,2a =, 故选:C .【点评】本题考查反函数的概念、互为反函数的函数图象的关系、求反函数的方法等相关知识和方法,属于基础题3.(2016•新课标Ⅱ文)已知函数()()f x x R ∈满足()(2)f x f x =-,若函数2|23|y x x =--与()y f x =图象的交点为1(x ,1)y ,2(x ,2)y ,⋯,(m x ,)m y ,则1(mi i x ==∑ )A .0B .mC .2mD .4m【考点】带绝对值的函数;函数迭代;二次函数的性质与图象【分析】根据已知中函数函数()()f x x R ∈满足()(2)f x f x =-,分析函数的对称性,可得函数2|23|y x x =--与()y f x = 图象的交点关于直线1x =对称,进而得到答案. 【解答】解:函数()()f x x R ∈满足()(2)f x f x =-, 故函数()f x 的图象关于直线1x =对称,函数2|23|y x x =--的图象也关于直线1x =对称,故函数2|23|y x x =--与()y f x = 图象的交点也关于直线1x =对称, 故122mi i mx m ==⨯=∑, 故选:B .【点评】本题考查的知识点是二次函数的图象和性质,函数的对称性质,难度中档. 4.(2016•新课标Ⅱ理)已知函数()()f x x R ∈满足()2()f x f x -=-,若函数1x y x+=与()y f x =图象的交点为1(x ,1)y ,2(x ,2)y ,⋯,(m x ,)m y ,则1()(mi i i x y =+=∑ )A .0B .mC .2mD .4m【考点】抽象函数及其应用【分析】由条件可得()()2f x f x +-=,即有()f x 关于点(0,1)对称,又函数1x y x +=,即11y x=+的图象关于点(0,1)对称,即有1(x ,1)y 为交点,即有1(x -,12)y -也为交点,计算即可得到所求和. 【解答】解:函数()()f x x R ∈满足()2()f x f x -=-, 即为()()2f x f x +-=, 可得()f x 关于点(0,1)对称, 函数1x y x +=,即11y x=+的图象关于点(0,1)对称, 即有1(x ,1)y 为交点,即有1(x -,12)y -也为交点, 2(x ,2)y 为交点,即有2(x -,22)y -也为交点,⋯则有11221()()()()mi i m m i x y x y x y x y =+=++++⋯++∑111122221[()(2)()(2)()(2)]2m m m m x y x y x y x y x y x y =++-+-+++-+-+⋯+++-+- m =.故选:B .【点评】本题考查抽象函数的运用:求和,考查函数的对称性的运用,以及化简整理的运算能力,属于中档题.5.(2018•新课标Ⅲ文7)下列函数中,其图象与函数y lnx =的图象关于直线1x =对称的是( ) A .(1)y ln x =-B .(2)y ln x =-C .(1)y ln x =+D .(2)y ln x =+【考点】函数的图象与图象的变换【分析】直接利用函数的图象的对称和平移变换求出结果. 【解答】解:首先根据函数y lnx =的图象,则:函数y lnx =的图象与()y ln x =-的图象关于y 轴对称. 由于函数y lnx =的图象关于直线1x =对称.则:把函数()y ln x =-的图象向右平移2个单位即可得到:(2)y ln x =-. 即所求得解析式为:(2)y ln x =-. 故选:B .【点评】本题考查的知识要点:函数的图象的对称和平移变换.6.(2019新课标Ⅱ理12)设函数()f x 的定义域为R ,满足(1)2()f x f x +=,且当(0x ∈,1]时,()(1)f x x x =-.若对任意(x ∈-∞,]m ,都有8()9f x -…,则m 的取值范围是( ) A .(-∞,9]4B .(-∞,7]3C .(-∞,5]2D .(-∞,8]3【考点】函数与方程的综合运用【分析】因为(1)2()f x f x +=,()2(1)f x f x ∴=-,分段求解析式,结合图象可得. 【解答】解:因为(1)f x f x +=,()2(1)f x f x ∴=-,(0x ∈,1]时,1()(1)[4f x x x =-∈-,0],(1x ∴∈,2]时,1(0x -∈,1],1()2(1)2(1)(2)[2f x f x x x =-=--∈-,0];(2x ∴∈,3]时,1(1x -∈,2],()2(1)4(2)(3)[1f x f x x x =-=--∈-,0], 当(2x ∈,3]时,由84(2)(3)9x x --=-解得73m =或83m =,若对任意(x ∈-∞,]m ,都有8()9f x -…,则73m ….故选:B .【点评】本题考查了函数与方程的综合运用,属中档题.填空题1.(2014•山东理)已知函数()()y f x x R =∈,对函数()()y g x x R =∈,定义()g x 关于()f x 的“对称函数”为函数()()y h x x R =∈,()y h x =满足:对任意x R ∈,两个点(x ,())h x ,(x ,())g x 关于点(x ,())f x对称.若()h x 是()g x =()3f x x b =+的“对称函数”,且()()h x g x >恒成立,则实数b 的取值范围是 ) .【考点】奇偶函数图象的对称性;函数恒成立问题【分析】根据对称函数的定义,将不等式恒成立转化为直线和圆的位置关系,即可得到结论.【解答】3x b =+,即()62h x x b =+- 若()()h x g x >恒成立,则等价为62x b +即3x b +>恒成立,设13y x b =+,2y = 作出两个函数对应的图象如图,当直线和上半圆相切时,圆心到直线的距离2d ===,即||b =b ∴=-(舍去), 即要使()()h x g x >恒成立,则b >即实数b 的取值范围是)+∞,故答案为:)+∞【点评】本题主要考查对称函数的定义的理解,以及不等式恒成立的证明,利用直线和圆的位置关系是解决本题的关键.2.(2018•上海)设常数a R ∈,函数2()1()f x og x a =+.()f x 的图象与()g x 的图像关于y x =对称,若()g x 的图象经过点(3,1),则a = 7 . 【考点】对称性【分析】由反函数的性质得函数2()1()f x og x a =+的图象经过点(1,3),由此能求出a . 【解答】解:常数a R ∈,函数2()1()f x og x a =+. ()f x 的反函数的图象经过点(3,1),∴函数2()1()f x og x a =+的图象经过点(1,3),2log (1)3a ∴+=,解得7a =. 故答案为:7.【点评】本题考查实数值的求法,考查函数的性质等基础知识,考查运算求解能力,考查函数与方程思想,是基础题.(五)函数的性质(综合)1.(2014•大纲版文)奇函数()f x 的定义域为R ,若(2)f x +为偶函数,且f (1)1=,则f (8)f +(9)(= )A .2-B .1-C .0D .1【考点】函数奇偶性的性质与判断【分析】根据函数的奇偶性的性质,得到(8)()f x f x +=,即可得到结论. 【解答】解:(2)f x +为偶函数,()f x 是奇函数,∴设()(2)g x f x =+,则()()g x g x -=, 即(2)(2)f x f x -+=+, ()f x 是奇函数,(2)(2)(2)f x f x f x ∴-+=+=--,即(4)()f x f x +=-,(8)(44)(4)()f x f x f x f x +=++=-+=, 则f (8)(0)0f ==,f (9)f =(1)1=, f ∴(8)f +(9)011=+=,故选:D .【点评】本题主要考查函数值的计算,利用函数奇偶性的性质,得到函数的对称轴是解决本题的关键. 2.(2014•福建理)已知函数21,0()cos ,0x x f x x x ⎧+>=⎨⎩…,则下列结论正确的是( )A .()f x 是偶函数B .()f x 是增函数C .()f x 是周期函数D .()f x 的值域为[1-,)+∞【考点】分段函数的应用【分析】由三角函数和二次函数的性质,分别对各个选项判断即可. 【解答】解:由解析式可知当0x …时,()cos f x x =为周期函数,当0x >时,2()1f x x =+,为二次函数的一部分, 故()f x 不是单调函数,不是周期函数,也不具备奇偶性, 故可排除A 、B 、C ,对于D ,当0x …时,函数的值域为[1-,1], 当0x >时,函数的值域为(1,)+∞, 故函数()f x 的值域为[1-,)+∞,故正确. 故选:D .【点评】本题考查分段函数的性质,涉及三角函数的性质,属基础题.3.(2014•湖北文)已知()f x 是定义在R 上的奇函数,当0x …时,2()3f x x x =-,则函数()()3g x f x x =-+的零点的集合为( )A .{1,3}B .{3-,1-,1,3}C .{21,3}D .{2-,1,3}【考点】函数奇偶性的性质与判断【分析】首先根据()f x 是定义在R 上的奇函数,求出函数在R 上的解析式,再求出()g x 的解析式,根据函数零点就是方程的解,问题得以解决. 【解答】解:()f x 是定义在R 上的奇函数,当0x …时,2()3f x x x =-, 令0x <,则0x ->,2()3()f x x x f x ∴-=+=-2()3f x x x ∴=--, ∴223,0()3,0x x x f x x x x ⎧-=⎨--<⎩…()()3g x f x x =-+2243,0()43,0x x x g x x x x ⎧-+∴=⎨--+<⎩… 令()0g x =,当0x …时,2430x x -+=,解得1x =,或3x =,当0x <时,2430x x --+=,解得2x =-∴函数()()3g x f x x =-+的零点的集合为{2-,1,3}故选:D .【点评】本题考查函数的奇偶性及其应用,考查函数的零点,函数方程思想.4.(2014•湖北理)已知函数()f x 是定义在R 上的奇函数,当0x …时,2221()(|||2|3)2f x x a x a a =-+--,若x R ∀∈,(1)()f x f x -…,则实数a 的取值范围为( ) A .1[6-,1]6B.[C .1[3-,1]3D.[【考点】函数奇偶性的性质与判断;函数恒成立问题;函数最值的应用【分析】把0x …时的()f x 改写成分段函数,求出其最小值,由函数的奇偶性可得0x <时的函数的最大值,由对x R ∀∈,都有(1)()f x f x -…,可得222(4)1a a --…,求解该不等式得答案. 【解答】解:当0x …时,2222223,2(),2,0x a x a f x a a x a x x a ⎧->⎪=-<⎨⎪-⎩…剟,由2()3f x x a =-,22x a >,得2()f x a >-; 当222a x a <…时,2()f x a =-;由()f x x =-,20x a 剟,得2()f x a -….∴当0x >时,2()min f x a =-. 函数()f x 为奇函数,∴当0x <时,2()max f x a =.对x R ∀∈,都有(1)()f x f x -…,222(4)1a a ∴--…,解得:a . 故实数a的取值范围是[. 故选:B .【点评】本题考查了恒成立问题,考查了函数奇偶性的性质,运用了数学转化思想方法,解答此题的关键是由对x R ∀∈,都有(1)()f x f x -…得到不等式222(4)1a a --…,是中档题.5.(2014•湖南理)若函数21()(0)2x f x x e x =+-<与2()()g x x ln x a =++图象上存在关于y 轴对称的点,则a 的取值范围是( ) A.(-∞B.(-∞C.( D.(【考点】函数的图象与图象的变换 【分析】由题意可得_001()02x e ln x a ---+=有负根,函数1()()2x h x e ln x a =---+为增函数,由此能求出a 的取值范围.【解答】解:由题意可得:存在0(,0)x ∈-∞,满足2_020001()()2x x e x ln x a +-=-+-+, 即_001()02x e ln x a ---+=有负根, 当x 趋近于负无穷大时,_001()2x e ln x a ---+也趋近于负无穷大, 且函数1()()2x h x e ln x a =---+为增函数, 01(0)02h e lna ∴=-->,lna ∴<,a ∴a ∴的取值范围是(-∞,故选:A .【点评】本题考查的知识点是函数的图象和性质,函数的零点,函数单调性的性质,函数的极限,是函数图象和性质较为综合的应用.6.(2014•湖南文)下列函数中,既是偶函数又在区间(,0)-∞上单调递增的是( ) A .21()f x x =B .2()1f x x =+C .3()f x x =D .()2x f x -=【考点】函数单调性的性质与判断;函数奇偶性的性质与判断【分析】本题利用函数的奇偶性和单调性的定义或者利用图象的特征加以判断,判断函数是偶函数又在区间(,0)-∞上单调递增,得到本题结论. 【解答】解:选项A ,21()f x x =,2211()()()f x f x x x -===-,()f x ∴是偶函数,图象关于y 轴对称. 2()f x x -=,20-<,()f x ∴在(0,)+∞单调递减,∴根据对称性知,()f x 在区间(,0)-∞上单调递增; 适合题意.选项B ,2()1f x x =+,是偶函数,在(0,)+∞上单调递增,在区间(,0)-∞上单调递减,不合题意. 选项C ,3()f x x =是奇函数,不是偶函数,不合题意.选项D ,()2x f x -=在(,)-∞+∞单调递减,不是奇函数,也不是偶函数,不合题意. 故选:A .【点评】本题考查了函数的奇偶性和单调性、函数图象与性质,本题难度不大,属于基础题. 7.(2014•辽宁理)已知定义在[0,1]上的函数()f x 满足:①(0)f f =(1)0=;②对所有x ,[0y ∈,1],且x y ≠,有1|()()|||2f x f y x y -<-. 若对所有x ,[0y ∈,1],|()()|f x f y m -<恒成立,则m 的最小值为( ) A .12B .14C .12π D .18【考点】函数恒成立问题;绝对值不等式的解法【分析】依题意,构造函数1,012()(0)12,12kx x f x k k kx x ⎧⎪⎪=<<⎨⎪-⎪⎩剟剟,分[0x ∈,1]2,且[0y ∈,1]2;[0x ∈,1]2,且1[2y ∈,1];[0x ∈,1]2,且1[2y ∈,1];及当1[2x ∈,1],且1[2y ∈,1]时,四类情况讨论,可证得对所有x ,[0y ∈,1],1|()()|4f x f y -<恒成立,从而可得14m …,继而可得答案.【解答】解:依题意,定义在[0,1]上的函数()y f x =的斜率1||2k <, 依题意可设0k >,构造函数1,012()(0)12,12kx x f x k k kx x ⎧⎪⎪=<<⎨⎪-⎪⎩剟剟,满足(0)f f =(1)0=,1|()()|||2f x f y x y -<-. 当[0x ∈,1]2,且[0y ∈,1]2时,111|()()||||||0|224f x f y kx ky k x y k k -=-=--=⨯<…;当[0x ∈,1]2,且1[2y ∈,1],11|()()||()||()||(1)|224k f x f y kx k ky k x y k k k -=--=+-+-=<…;当[0y ∈,1]2,且1[2x ∈,1]时,同理可得,1|()()|4f x f y -<;当1[2x ∈,1],且1[2y ∈,1]时,11|()()||()()|||(1)224k f x f y k kx k ky k x y k -=---=-⨯-=<…;综上所述,对所有x ,[0y ∈,1],1|()()|4f x f y -<, 对所有x ,[0y ∈,1],|()()|f x f y m -<恒成立, 14m ∴…,即m 的最小值为14.故选:B .【点评】本题考查函数恒成立问题,着重考查构造函数思想、分类讨论思想、函数方程思想与等价转化思想的综合运用,考查分析、推理及运算能力,属于难题.8.(2014•浙江理)设函数21()f x x =,22()2()f x x x =-,31()|sin 2|3f x x π=,99i i a =,0i =,1,2,⋯,99.记10219998|()()||()()||()()|k k k k k k k I f a f a f a f a f a f a =-+-+⋯+-,1k =,2,3,则( )。