应付账龄分析表
- 格式:doc
- 大小:903.50 KB
- 文档页数:6
SAPABAP应付账款账龄分析表*&---------------------------------------------------------------------**& Report ZRP_FI_011*&*&---------------------------------------------------------------------**&*&*& 0001 2012.01.03 MINGOS 由于取余额函数取数出错,自己写FM*&---------------------------------------------------------------------*REPORT zrp_fi_011 LINE-SIZE 800 NO STANDARD PAGE HEADING.TABLES: lfa1, bsik, LFB1.* Global data declarationTYPE-POOLS: slis.TYPES:BEGIN OF gt_vend,bukrs LIKE bsid-bukrs,lifnr LIKE lfa1-lifnr,name1 LIKE lfa1-name1,gjahr LIKE bsid-gjahr,monat LIKE bsid-monat,waers LIKE fdbl_header-waers,bgber LIKE fdbl_balance_line-balance, "期初余额arber LIKE fdbl_balance_line-balance, "本期销售pyber LIKE fdbl_balance_line-balance, "本期收款blber LIKE fdbl_balance_line-balance, "本期余额END OF gt_vend.TYPES:BEGIN OF gt_bsik.INCLUDE STRUCTURE bsik.TYPES:END OF gt_bsik.* GLOBAL STRUCTURE OF LISTTYPES:BEGIN OF t_outtab,bukrs LIKE bsid-bukrs,lifnr LIKE lfa1-lifnr,name1 LIKE lfa1-name1,gjahr LIKE bsid-gjahr,monat LIKE bsid-monat,waers LIKE fdbl_header-waers,bgber LIKE fdbl_balance_line-balance, "期初余额arber LIKE fdbl_balance_line-balance, "本期销售pyber LIKE fdbl_balance_line-balance, "本期收款blber LIKE fdbl_balance_line-balance, "本期余额bera0 LIKE fdbl_balance_line-balance, "账龄<0天bera1 LIKE fdbl_balance_line-balance, "账龄0~30天bera2 LIKE fdbl_balance_line-balance, "账龄31~60天bera3 LIKE fdbl_balance_line-balance, "账龄61~90天bera4 LIKE fdbl_balance_line-balance, "账龄91~120天bera5 LIKE fdbl_balance_line-balance, "账龄121~180天bera6 LIKE fdbl_balance_line-balance, "账龄181~360天bera7 LIKE fdbl_balance_line-balance, "账龄>360天END OF t_outtab.* Data variable for use of ALVDATA: i_gt_fieldcat TYPE slis_t_fieldcat_alv.DATA: i_gt_outtab TYPE t_outtab OCCURS 0 WITH HEADER LINE.DATA: i_gt_excluding TYPE slis_t_extab.DATA: v_gt_repid LIKE sy-repid.DATA: i_gt_events TYPE slis_t_event.DATA: v_gt_variant LIKE disvariant.DATA: i_gs_layout TYPE slis_layout_alv,g_val like lfa1-lifnr.DATA: lt_vend TYPE gt_vend OCCURS 0 WITH HEADER LINE.DATA: lt_bsik TYPE gt_bsik OCCURS 0 WITH HEADER LINE.*---------------------------------------------------------------------** SELECTION SCREEN **---------------------------------------------------------------------*SELECTION-SCREEN BEGIN OF BLOCK b1 WITH FRAME TITLE text-001.SELECT-OPTIONS: s_bukrsFOR bsik-bukrs NO INTERVALS OBLIGATORY,s_lifnr FOR bsik-lifnr,s_ktokk FOR lfa1-ktokk,s_akont FOR lfb1-akont.PARAMETERS: p_gjahr LIKE bsid-gjahr,p_monat LIKE bsid-monat.SELECTION-SCREEN SKIP.PARAMETERS: cb_zero AS CHECKBOX DEFAULT 'X'.SELECTION-SCREEN END OF BLOCK b1.*---------------------------------------------------------------------** INITIALIZATION **---------------------------------------------------------------------** Initialization fieldcatalogINITIALIZATION.v_gt_repid = sy-repid.REFRESH: s_bukrs.s_bukrs-sign = 'I'.s_bukrs-option = 'EQ'.s_bukrs-low = '1000'.APPEND s_bukrs.GET parameter id 'GSLIF' field g_val.GET parameter id 'GSHR' field p_gjahr.GET parameter id 'GSMO' field p_monat.IF g_val is NOT INITIAL.REFRESH: s_lifnr.s_lifnr-sign = 'I'.s_lifnr-option = 'EQ'.s_lifnr-low = g_val.APPEND s_lifnr.ENDIF.IF p_gjahr is INITIAL .p_gjahr = sy-datum+0(4).p_monat = sy-datum+4(2).ENDIF.AT SELECTION-SCREEN.*---------------------------------------------------------------------** START-OF-SELECTION **---------------------------------------------------------------------** Start of SelectionSTART-OF-SELECTION.PERFORM get_data.*---------------------------------------------------------------------** END-OF-SELECTION **---------------------------------------------------------------------*END-OF-SELECTION.PERFORM fieldcat_init.PERFORM eventtab_build.PERFORM call_alv.*&---------------------------------------------------------------------**& Form GET_DATA*&---------------------------------------------------------------------** text*----------------------------------------------------------------------** --> p1 text* <-- p2 text*----------------------------------------------------------------------*FORM get_data .DATA: lt_bala LIKE bapi3008_7 OCCURS 0 WITH HEADER LINE, lt_spec LIKE bapi3008_a OCCURS 0 WITH HEADER LINE.DATA: lv_days LIKE sy-index.DATA: lv_budat LIKE sy-datum.REFRESH: lt_vend.SELECT a~bukrs a~lifnr a~gjahr b~name1INTO CORRESPONDING FIELDS OF TABLE lt_vendFROM lfc1 AS aINNER JOIN lfa1 AS b ON b~lifnr = a~lifnrINNER JOIN lfb1 AS c ON c~lifnr = a~lifnr AND c~bukrs = a~bukrsWHERE a~lifnr IN s_lifnrAND a~bukrs IN s_bukrsAND a~gjahr EQ p_gjahrAND b~ktokk IN s_ktokkAND c~akont IN s_akont.LOOP AT lt_vend.REFRESH: lt_bala, lt_spec.lt_vend-monat = p_monat.* CALL FUNCTION 'BAPI_AP_ACC_GETPERIODBALANCES'* EXPORTING* companycode = lt_vend-bukrs* vendor= lt_vend-lifnr* TABLES* creditor_balances = lt_bala* creditor_special_balances = lt_spec.* READ TABLE lt_bala WITH KEY vendor = lt_vend-lifnr* comp_code = lt_vend-bukrs* fisc_year = lt_vend-gjahr* fis_period = lt_vend-monat.* IF sy-subrc = 0.* lt_vend-arber = lt_bala-credit_mth.* lt_vend-pyber = lt_bala-debits_mth.* lt_vend-blber = lt_bala-balance.* lt_vend-bgber = lt_vend-blber - ( lt_vend-arber + lt_vend-pyber ).* lt_vend-waers = lt_bala-currency.* ELSE.* lt_vend-arber = 0.* lt_vend-pyber = 0.* lt_vend-blber = 0.* lt_vend-bgber = 0.* lt_vend-waers = 'CNY'.* ENDIF.CALL FUNCTION 'ZFM_FI_VENDOR_DATA'EXPORTINGIN_BUKRS = lt_vend-bukrsIN_LIFNR = lt_vend-lifnrIN_GJAHR = p_gjahrTABLEScreditor_balances = lt_bala.READ TABLE lt_bala WITH KEY vendor = lt_vend-lifnrcomp_code = lt_vend-bukrsfisc_year = lt_vend-gjahrfis_period = lt_vend-monat.IF sy-subrc = 0.lt_vend-arber = lt_bala-credit_mth. "期间借方发生额lt_vend-pyber = lt_bala-debits_mth. "期间贷方发生额lt_vend-blber = lt_bala-balance. "期末lt_vend-bgber = lt_bala-MNTH_SALES. "期初余额lt_vend-waers = lt_bala-currency.ELSE.lt_vend-arber = 0.lt_vend-pyber = 0.lt_vend-blber = 0.lt_vend-bgber = 0.lt_vend-waers = 'CNY'.ENDIF.MODIFY lt_vend.ENDLOOP.IF NOT lt_vend[] IS INITIAL.CONCATENATE p_gjahr p_monat '01' INTO lv_budat. CALL FUNCTION 'DATE_GET_MONTH_LASTDAY' EXPORTINGi_date = lv_budatIMPORTINGe_date = lv_budat.SELECT * INTO CORRESPONDING FIELDS OF TABLE lt_bsik FROM bsikFOR ALL ENTRIES IN lt_vendWHERE bukrs = lt_vend-bukrsAND lifnr = lt_vend-lifnrAND umsks = spaceAND budat <= lv_budat.ENDIF.LOOP AT lt_vend.CLEAR: i_gt_outtab.MOVE-CORRESPONDING lt_vend TO i_gt_outtab. LOOP AT lt_bsik WHERE bukrs = lt_vend-bukrsAND lifnr = lt_vend-lifnr.lv_days = sy-datum - ( lt_bsik-zfbdt + lt_bsik-zbd1t ). IF lv_days < 0.IF lt_bsik-shkzg = 'S'.i_gt_outtab-bera0 = i_gt_outtab-bera0 + lt_bsik-dmbtr. ELSE.i_gt_outtab-bera0 = i_gt_outtab-bera0 - lt_bsik-dmbtr. ENDIF.ELSEIF lv_days >= 0 AND lv_days <= 30.IF lt_bsik-shkzg = 'S'.i_gt_outtab-bera1 = i_gt_outtab-bera1 + lt_bsik-dmbtr. ELSE.i_gt_outtab-bera1 = i_gt_outtab-bera1 - lt_bsik-dmbtr. ENDIF.ELSEIF lv_days >= 31 AND lv_days <= 60.IF lt_bsik-shkzg = 'S'.i_gt_outtab-bera2 = i_gt_outtab-bera2 + lt_bsik-dmbtr. ELSE.i_gt_outtab-bera2 = i_gt_outtab-bera2 - lt_bsik-dmbtr. ENDIF.ELSEIF lv_days >= 61 AND lv_days <= 90.IF lt_bsik-shkzg = 'S'.i_gt_outtab-bera3 = i_gt_outtab-bera3 + lt_bsik-dmbtr. ELSE.i_gt_outtab-bera3 = i_gt_outtab-bera3 - lt_bsik-dmbtr. ENDIF.ELSEIF lv_days >= 91 AND lv_days <= 120.IF lt_bsik-shkzg = 'S'.i_gt_outtab-bera4 = i_gt_outtab-bera4 + lt_bsik-dmbtr. ELSE.i_gt_outtab-bera4 = i_gt_outtab-bera4 - lt_bsik-dmbtr. ENDIF.ELSEIF lv_days >= 121 AND lv_days <= 180.IF lt_bsik-shkzg = 'S'.i_gt_outtab-bera5 = i_gt_outtab-bera5 + lt_bsik-dmbtr. ELSE.i_gt_outtab-bera5 = i_gt_outtab-bera5 - lt_bsik-dmbtr. ENDIF.ELSEIF lv_days >= 181 AND lv_days <= 360.IF lt_bsik-shkzg = 'S'.i_gt_outtab-bera6 = i_gt_outtab-bera6 + lt_bsik-dmbtr. ELSE.i_gt_outtab-bera6 = i_gt_outtab-bera6 - lt_bsik-dmbtr. ENDIF.ELSEIF lv_days > 360.IF lt_bsik-shkzg = 'S'.i_gt_outtab-bera7 = i_gt_outtab-bera7 + lt_bsik-dmbtr. ELSE.i_gt_outtab-bera7 = i_gt_outtab-bera7 - lt_bsik-dmbtr.ENDIF.ENDIF.IF cb_zero = 'X'.CHECK i_gt_outtab-arber <> 0 OR i_gt_outtab-pyber <> 0 ORi_gt_outtab-blber <> 0 OR i_gt_outtab-bgber <> 0 ORi_gt_outtab-bera0 <> 0 OR i_gt_outtab-bera1 <> 0 ORi_gt_outtab-bera2 <> 0 OR i_gt_outtab-bera3 <> 0 ORi_gt_outtab-bera4 <> 0 OR i_gt_outtab-bera5 <> 0 ORi_gt_outtab-bera6 <> 0 OR i_gt_outtab-bera7 <> 0 .ENDIF.ENDLOOP.shift i_gt_outtab-LIFNR left deleting leading '0'. "去前导空格APPEND i_gt_outtab.ENDLOOP.FREE: lt_vend, lt_bsik.SORT i_gt_outtab BY bukrs lifnr.ENDFORM. " GET_DATA*&---------------------------------------------------------------------**& Form FIELDCAT_INIT*&---------------------------------------------------------------------** Initialization fieldcatalog DEFINITION OF HEADING.* Fieldnames and ref_fieldnames MUST be UPPER CASE !!*----------------------------------------------------------------------** --> p1 text* <-- p2 text*----------------------------------------------------------------------*FORM fieldcat_init.DATA: l_fieldcat TYPE slis_fieldcat_alv.*---------------------------------------------------------------------** general fields selected **---------------------------------------------------------------------*DEFINE alv_fieldcat.l_fieldcat-tabname = &1.l_fieldcat-fieldname = &2.l_fieldcat-key = &3.l_fieldcat-ref_fieldname = &4.l_fieldcat-ref_tabname = &5.l_fieldcat-reptext_ddic = &6.l_fieldcat-no_out = &7.l_fieldcat-no_zero = &8.l_fieldcat-outputlen = &9.append l_fieldcat to i_gt_fieldcat.END-OF-DEFINITION.alv_fieldcat 'I_GT_OUTTAB' 'BUKRS' ' ' ' ' ' ' '公司' ' ' ' ' 4.alv_fieldcat 'I_GT_OUTTAB' 'LIFNR' ' ' ' ' ' ' '供应商' ' ' ' ' 10.alv_fieldcat 'I_GT_OUTTAB' 'NAME1' ' ' ' ' ' ' '供应商名称' ' ' ' ' 36.alv_fieldcat 'I_GT_OUTTAB' 'GJAHR' ' ' ' ' ' ' '年度' ' ' ' ' 4.alv_fieldcat 'I_GT_OUTTAB' 'MONAT' ' ' ' ' ' ' '月度' ' ' ' ' 4.alv_fieldcat 'I_GT_OUTTAB' 'WAERS' ' ' ' ' ' ' '币种' ' ' ' ' 4.alv_fieldcat 'I_GT_OUTTAB' 'BGBER' ' ' ' ' ' ' '期初余额' ' ' ' ' 15.alv_fieldcat 'I_GT_OUTTAB' 'ARBER' ' ' ' ' ' ' '本期贷方' ' ' ' ' 15.alv_fieldcat 'I_GT_OUTTAB' 'PYBER' ' ' ' ' ' ' '本期借方' ' ' ' ' 15.alv_fieldcat 'I_GT_OUTTAB' 'BLBER' ' ' ' ' ' ' '本期余额' ' ' ' ' 15.alv_fieldcat 'I_GT_OUTTAB' 'BERA0' ' ' ' ' ' ' '账龄(<0)天' ' ' ' ' 15.alv_fieldcat 'I_GT_OUTTAB' 'BERA1' ' ' ' ' ' ' '账龄(0~30)天' ' ' ' ' 15.alv_fieldcat 'I_GT_OUTTAB' 'BERA2' ' ' ' ' ' ' '账龄(31~60)天' ' ' ' ' 15.alv_fieldcat 'I_GT_OUTTAB' 'BERA3' ' ' ' ' ' ' '账龄(61~90)天' ' ' ' ' 15.alv_fieldcat 'I_GT_OUTTAB' 'BERA4' ' ' ' ' ' ' '账龄(91~120)天' ' ' ' ' 15.alv_fieldcat 'I_GT_OUTTAB' 'BERA5' ' ' ' ' ' ' '账龄(121~180)天' ' ' ' ' 15.alv_fieldcat 'I_GT_OUTTAB' 'BERA6' ' ' ' ' ' ' '账龄(181~360)天' ' ' ' ' 15.alv_fieldcat 'I_GT_OUTTAB' 'BERA7' ' ' ' ' ' ' '账龄(>360)天' ' ' ' ' 15.ENDFORM. "FIELDCAT_INIT*&---------------------------------------------------------------------**& Form EVENTTAB_BUILD*&---------------------------------------------------------------------** text*----------------------------------------------------------------------** --> p1 text* <-- p2 text*----------------------------------------------------------------------*FORM eventtab_build.DATA: l_ls_event TYPE slis_alv_event.CALL FUNCTION 'REUSE_ALV_EVENTS_GET'EXPORTINGi_list_type = 0IMPORTINGet_events = i_gt_events.*........ADD EVENT AT-USER-COMMAND .....................................READ TABLE i_gt_events WITH KEY name = slis_ev_user_commandINTO l_ls_event.IF sy-subrc = 0.MOVE slis_ev_user_command TO l_ls_event-form.APPEND l_ls_event TO i_gt_events.ENDIF.ENDFORM. "EVENTTAB_BUILD*&---------------------------------------------------------------------**& Form USER_COMMAND*&---------------------------------------------------------------------** DYNAMIC CALL FROM THE ALV*----------------------------------------------------------------------** --> p1 text* <-- p2 text*----------------------------------------------------------------------*FORM user_command USING r_ucomm LIKE sy-ucommrs_selfield TYPE slis_selfield.DATA: l_index LIKE sy-index,l_colno TYPE slis_sel_tab_field.DATA: rspar_tab TYPE rsparams OCCURS 0 WITH HEADER LINE.l_index = rs_selfield-tabindex. "LINE IN LISTl_colno = rs_selfield-sel_tab_field. "COLUMN HEADER*........POSITION THE CURSOR ON A LINE IN THE LIST......................IF l_index LE 0.* MESSAGE .........ENDIF.READ TABLE i_gt_outtab INDEX l_index.CASE l_colno.*........CUSTOMER DISPLAY..............................................*WHEN 'I_GT_OUTTAB-LIFNR'.SET PARAMETER ID 'LIF' FIELD i_gt_outtab-lifnr.CALL TRANSACTION 'XK03'.WHEN 'I_GT_OUTTAB-BGBER' OR 'I_GT_OUTTAB-ARBER' OR 'I_GT_OUTTAB-PYBER' OR 'I_GT_OUTTAB-BLBER'.CLEAR rspar_tab. REFRESH rspar_tab.CALL FUNCTION 'RS_REFRESH_FROM_SELECTOPTIONS' EXPORTINGcurr_report = 'RFAPBALANCE'TABLESselection_table = rspar_tabEXCEPTIONSnot_found = 01no_report = 02.LOOP AT rspar_tab.CASE rspar_tab-selname.WHEN 'SO_LIFNR'.rspar_tab-sign = 'I'.rspar_tab-option = 'EQ'.rspar_tab-low = i_gt_outtab-lifnr.rspar_tab-high = space.WHEN 'SO_BUKRS'.rspar_tab-sign = 'I'.rspar_tab-option = 'EQ'.rspar_tab-low = i_gt_outtab-bukrs.rspar_tab-high = space.WHEN 'GP_GJAHR'.rspar_tab-sign = 'I'.rspar_tab-option = 'EQ'.rspar_tab-low = i_gt_outtab-gjahr.rspar_tab-high = space.ENDCASE.MODIFY rspar_tab.ENDLOOP.IF NOT i_gt_outtab-lifnr IS INITIAL.SUBMIT rfapbalance USING SELECTION-SCREEN '1000' WITH SELECTION-TABLE rspar_tabAND RETURN.ENDIF.WHEN 'I_GT_OUTTAB-BERA0' OR 'I_GT_OUTTAB-BERA1' OR 'I_GT_OUTTAB-BERA2' OR 'I_GT_OUTTAB-BERA3' OR'I_GT_OUTTAB-BERA4' OR 'I_GT_OUTTAB-BERA5' OR'I_GT_OUTTAB-BERA6' OR 'I_GT_OUTTAB-BERA7'. CLEAR rspar_tab. REFRESH rspar_tab.CALL FUNCTION 'RS_REFRESH_FROM_SELECTOPTIONS' EXPORTINGcurr_report = 'RFITEMAP'TABLESselection_table = rspar_tabEXCEPTIONSnot_found = 01no_report = 02.LOOP AT rspar_tab.CASE rspar_tab-selname.WHEN 'KD_LIFNR'.rspar_tab-sign = 'I'.rspar_tab-option = 'EQ'.rspar_tab-low = i_gt_outtab-lifnr.rspar_tab-high = space.WHEN 'KD_BUKRS'.rspar_tab-sign = 'I'.rspar_tab-option = 'EQ'.rspar_tab-low = i_gt_outtab-bukrs.rspar_tab-high = space.WHEN 'X_OPSEL'.rspar_tab-sign = 'I'.rspar_tab-option = 'EQ'.rspar_tab-low = 'X'.rspar_tab-high = space.WHEN 'X_NORM'.rspar_tab-sign = 'I'.rspar_tab-option = 'EQ'.rspar_tab-low = 'X'.rspar_tab-high = space.ENDCASE.MODIFY rspar_tab.ENDLOOP.IF NOT i_gt_outtab-lifnr IS INITIAL.SUBMIT rfitemap USING SELECTION-SCREEN '1000'WITH SELECTION-TABLE rspar_tabAND RETURN.ENDIF.ENDCASE.ENDFORM. "USER_COMMAND*&---------------------------------------------------------------------**& Form CALL_ALV*&---------------------------------------------------------------------** text*----------------------------------------------------------------------** --> p1 text* <-- p2 text*----------------------------------------------------------------------*FORM call_alv.DATA: l_excluding TYPE slis_extab.i_gs_layout-colwidth_optimize = 'X'.* l_excluding-fcode = '&OUP'.* APPEND l_excluding TO i_gt_excluding.* l_excluding-fcode = '&ODN'.* APPEND l_excluding TO i_gt_excluding.CALL FUNCTION 'REUSE_ALV_GRID_DISPLAY'EXPORTING* I_INTERFACE_CHECK = ' '* I_BYPASSING_BUFFER = ' '* I_BUFFER_ACTIVE = ' 'i_callback_program = v_gt_repid* I_CALLBACK_PF_STATUS_SET = ' '* I_CALLBACK_USER_COMMAND = ' '* I_CALLBACK_TOP_OF_PAGE = ' '* I_CALLBACK_HTML_TOP_OF_PAGE = ' '* I_CALLBACK_HTML_END_OF_LIST = ' '* I_STRUCTURE_NAME =* I_BACKGROUND_ID = ' '* I_GRID_TITLE =* I_GRID_SETTINGS =is_layout = i_gs_layoutit_fieldcat = i_gt_fieldcatit_excluding = i_gt_excluding* IT_SPECIAL_GROUPS =* IT_SORT =* IT_FILTER =* IS_SEL_HIDE =i_default = 'X'i_save = 'A'is_variant = v_gt_variantit_events = i_gt_events* IT_EVENT_EXIT =* IS_PRINT =* IS_REPREP_ID =* I_SCREEN_START_COLUMN = 0* I_SCREEN_START_LINE = 0* I_SCREEN_END_COLUMN = 0* I_SCREEN_END_LINE = 0* I_HTML_HEIGHT_TOP= 0* I_HTML_HEIGHT_END = 0* IT_ALV_GRAPHICS =* IT_HYPERLINK =* IT_ADD_FIELDCAT =* IT_EXCEPT_QINFO =* IR_SALV_FULLSCREEN_ADAPTER = * IMPORTING* E_EXIT_CAUSED_BY_CALLER =* ES_EXIT_CAUSED_BY_USER =TABLESt_outtab = i_gt_outtab EXCEPTIONS program_error = 1 OTHERS = 2.ENDFORM. " CALL_ALV。
核对应付账龄分析表1.首先核算到票的(启用业务应付的情况下)总账用【核算项目余额表】【账龄分析表】(不包括业务应付)然后导出到分别导出到Excel,通过排序等等之类的操作进行核对,发现有下列差异:衡阳建滔运输有限公司——N区域应改为K区域。
分析:1.东莞市正一大同德轴承有限公司查询【应付明细表】发现应付明细表与总账是一致的,差异实际上就是那一条标红的,原因就是没有做结算。
联查到应付单看看:做了结算之后就应该相等了。
2.河北汇海化工有限公司发现余额是负数,即做了付款单。
然后查总账结果发现没有预付账款余额,只有应付账款余额。
直接点击【辅助核算明细表】并与【应付明细表】进行核对。
结果发现【应付明细表】比【辅助核算明细表】多了一笔数据。
联查到单据,下查凭证发现:该付款单是手工新增的,所生成的凭证是费用类科目,而不是往来科目。
而付款类型为“费用付款”的却属于采购付款类别。
3.惠州市通用机电设备有限公司情况同24.岳阳淡澳机电安装有限公司对比一下应付明细表与辅助核算明细表,差异见红色标记为什么账龄分析表比总账报表多呢?原因查明细可发现:该应付单是属于暂估类的,但是单据上有没有勾选“业务应付”。
后发现该单据是手工做的,正确做法如下:应该是先做订单然后下推应付单,鉴于系统还未完善业务应付多种源单据支持的方案欠缺,应将应付管理中业务应付处理时点的参数修改为“平时处理”,并在做该应付单是将“业务应付”手工勾选。
5.惠州市石松化工有限公司总账比账龄少,怀疑是没有完全结算的问题通过查询【应付明细表】然后到付款单,果然发现没有结算6.深圳深岩燃气有限公司也是未做结算的问题。
在此可以总结出结论:1.【应付明细表】与【核算项目余额表】相等,而账龄不等并大于的,都是未做结算。
2.【账龄分析表】有数而【核算项目余额表】无的,可能是应付单做的是暂估,而未勾选“业务应付”。
3.【应付明细表】比【辅助核算明细表】多的,可能是做了付款类型属于应付系统的单据,但是生成的凭证又与往来科目无关的。
核对应付账龄分析表1.首先核算到票的(启用业务应付的情况下)总账用【核算项目余额表】【账龄分析表】(不包括业务应付)然后导出到分别导出到Excel,通过排序等等之类的操作进行核对,发现有下列差异:衡阳建滔运输有限公司——N区域应改为K区域。
分析:1.东莞市正一大同德轴承有限公司查询【应付明细表】发现应付明细表与总账是一致的,差异实际上就是那一条标红的,原因就是没有做结算。
联查到应付单看看:2.河北汇海化工有限公司然后查总账明细表】进行核对。
结果发现【应付明细表】比【辅助核算明细表】多了一笔数据。
联查到单据,下查凭证发现:该付款单是手工新增的,所生成的凭证是费用类科目,而不是往来科目。
而付款类型为“费用付款”的却属于采购付款类别。
3.惠州市通用机电设备有限公司情况同2对比一下应付明细表与辅助核算明细表,差异见红色标记为什么账龄分析表比总账报表多呢?原因查明细可发现:该应付单是属于暂估类的,但是单据上有没有勾选“业务应付”。
后发现该单据是手工做的,正确做法如下:应该是先做订单然后下推应付单,鉴于系统还未完善业务应付多种源单据支持的方案欠缺,应将应付管理中业务应付处理时点的参数修改为“平时处理”,并在做该应付单是将“业务应付”手工勾选。
5.惠州市石松化工有限公司总账比账龄少,怀疑是没有完全结算的问题通过查询【应付明细表】然后到付款单,果然发现没有结算6.深圳深岩燃气有限公司也是未做结算的问题。
在此可以总结出结论:1.【应付明细表】与【核算项目余额表】相等,而账龄不等并大于的,都是未做结算。
2.【账龄分析表】有数而【核算项目余额表】无的,可能是应付单做的是暂估,而未勾选“业务应付”。
3.【应付明细表】比【辅助核算明细表】多的,可能是做了付款类型属于应付系统的单据,但是生成的凭证又与往来科目无关的。
同样的道理可以用来核对应付暂估,与预付款的。
出师表两汉:诸葛亮先帝创业未半而中道崩殂,今天下三分,益州疲弊,此诚危急存亡之秋也。
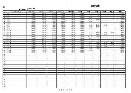
应付账款aging分析表设计账龄分类应付金额计算应付账款 Aging分析表设计--账龄分类应付金额计算在企业的财务管理中,应付账款是一项重要的指标,用于反映企业与供应商之间的交易关系和资金流动情况。
为了更好地管理和掌握应付账款的情况,企业需要设计一个有效的应付账款Aging分析表。
Aging分析表是一种按账龄分类的应付账款报表,通过对账龄分类后的应付金额进行计算和分析,可以帮助企业及时发现账款逾期和老账款,进而采取相应措施催收和管理账款。
一、账龄分类的设定为了准确反映应付账款的情况,我们可以将账龄划分为几个不同的分类,例如:当前账龄(0-30天)、逾期账龄(31-60天)、迟缓账龄(61-90天)和老旧账龄(91天及以上)。
根据企业自身的情况和需求,也可以对账龄进行更细致的分类,例如增加15天一个分类。
二、应付金额的计算1. 当前账龄:即应付账款在0-30天内的金额。
可以通过查询企业的账务系统或与供应商进行确认,获取当前账龄的应付金额。
2. 逾期账龄:即应付账款在31-60天内的金额。
同样地,通过查询账务系统或与供应商确认,获取逾期账龄的应付金额。
3. 迟缓账龄:即应付账款在61-90天内的金额。
同样地,通过查询账务系统或与供应商确认,获取迟缓账龄的应付金额。
4. 老旧账龄:即应付账款在91天及以上的金额。
同样地,通过查询账务系统或与供应商确认,获取老旧账龄的应付金额。
三、Aging分析表的编制设计Aging分析表时,可以按照如下的形式展示:------------------------------------------------------------------账龄分类 | 应付金额 | 占总应付比例(%) | 逾期利息计提------------------------------------------------------------------当前账龄 | xxxxxxx | xxxxx | xxxxxxx------------------------------------------------------------------逾期账龄 | xxxxxxx | xxxxx | xxxxxxx------------------------------------------------------------------迟缓账龄 | xxxxxxx | xxxxx | xxxxxxx------------------------------------------------------------------老旧账龄 | xxxxxxx | xxxxx | xxxxxxx------------------------------------------------------------------总计 | xxxxxxx | 100% | xxxxxxx------------------------------------------------------------------在Aging分析表中,除了明确显示各个账龄分类的应付金额之外,还要计算每个分类的占总应付比例,以便更好地了解各个分类在总应付款项中的比例。
SAP ABAP应付账款账龄分析表*&---------------------------------------------------------------------**&Report ZRP_FI_011*&*&---------------------------------------------------------------------**&*&*&00012012.01.03MINGOS由于取余额函数取数出错,自己写FM *&---------------------------------------------------------------------*REPORT zrp_fi_011LINE-SIZE800NO STANDARD PAGE HEADING.TABLES:lfa1,bsik,LFB1.*Global data declarationTYPE-POOLS:slis.TYPES:BEGIN OF gt_vend,bukrs LIKE bsid-bukrs,lifnr LIKE lfa1-lifnr,name1LIKE lfa1-name1,gjahr LIKE bsid-gjahr,monat LIKE bsid-monat,waers LIKE fdbl_header-waers,bgber LIKE fdbl_balance_line-balance,"期初余额arber LIKE fdbl_balance_line-balance,"本期销售pyber LIKE fdbl_balance_line-balance,"本期收款blber LIKE fdbl_balance_line-balance,"本期余额END OF gt_vend.TYPES:BEGIN OF gt_bsik.INCLUDE STRUCTURE bsik.TYPES:END OF gt_bsik.*GLOBAL STRUCTURE OF LISTTYPES:BEGIN OF t_outtab,bukrs LIKE bsid-bukrs,lifnr LIKE lfa1-lifnr,name1LIKE lfa1-name1,gjahr LIKE bsid-gjahr,monat LIKE bsid-monat,waers LIKE fdbl_header-waers,bgber LIKE fdbl_balance_line-balance,"期初余额arber LIKE fdbl_balance_line-balance,"本期销售pyber LIKE fdbl_balance_line-balance,"本期收款blber LIKE fdbl_balance_line-balance,"本期余额bera0LIKE fdbl_balance_line-balance,"账龄<0天bera1LIKE fdbl_balance_line-balance,"账龄0~30天bera2LIKE fdbl_balance_line-balance,"账龄31~60天bera3LIKE fdbl_balance_line-balance,"账龄61~90天bera4LIKE fdbl_balance_line-balance,"账龄91~120天bera5LIKE fdbl_balance_line-balance,"账龄121~180天bera6LIKE fdbl_balance_line-balance,"账龄181~360天bera7LIKE fdbl_balance_line-balance,"账龄>360天END OF t_outtab.*Data variable for use of ALVDATA:i_gt_fieldcat TYPE slis_t_fieldcat_alv.DATA:i_gt_outtab TYPE t_outtab OCCURS0WITH HEADER LINE.DATA:i_gt_excluding TYPE slis_t_extab.DATA:v_gt_repid LIKE sy-repid.DATA:i_gt_events TYPE slis_t_event.DATA:v_gt_variant LIKE disvariant.DATA:i_gs_layout TYPE slis_layout_alv,g_val like lfa1-lifnr.DATA:lt_vend TYPE gt_vend OCCURS0WITH HEADER LINE.DATA:lt_bsik TYPE gt_bsik OCCURS0WITH HEADER LINE.*---------------------------------------------------------------------* *SELECTION SCREEN**---------------------------------------------------------------------* SELECTION-SCREEN BEGIN OF BLOCK b1WITH FRAME TITLE text-001.SELECT-OPTIONS:s_bukrsFOR bsik-bukrs NO INTERVALS OBLIGATORY,s_lifnr FOR bsik-lifnr,s_ktokk FOR lfa1-ktokk,s_akont FOR lfb1-akont.PARAMETERS:p_gjahr LIKE bsid-gjahr,p_monat LIKE bsid-monat.SELECTION-SCREEN SKIP.PARAMETERS:cb_zero AS CHECKBOX DEFAULT'X'. SELECTION-SCREEN END OF BLOCK b1.*---------------------------------------------------------------------* *INITIALIZATION**---------------------------------------------------------------------* *Initialization fieldcatalogINITIALIZATION.v_gt_repid=sy-repid.REFRESH:s_bukrs.s_bukrs-sign='I'.s_bukrs-option='EQ'.s_bukrs-low='1000'.APPEND s_bukrs.GET parameter id'GSLIF'field g_val.GET parameter id'GSHR'field p_gjahr.GET parameter id'GSMO'field p_monat.IF g_val is NOT INITIAL.REFRESH:s_lifnr.s_lifnr-sign='I'.s_lifnr-option='EQ'.s_lifnr-low=g_val.APPEND s_lifnr.ENDIF.IF p_gjahr is INITIAL.p_gjahr=sy-datum+0(4).p_monat=sy-datum+4(2).ENDIF.AT SELECTION-SCREEN.*---------------------------------------------------------------------* *START-OF-SELECTION**---------------------------------------------------------------------* *Start of SelectionSTART-OF-SELECTION.PERFORM get_data.*---------------------------------------------------------------------* *END-OF-SELECTION**---------------------------------------------------------------------*END-OF-SELECTION.PERFORM fieldcat_init.PERFORM eventtab_build.PERFORM call_alv.*&---------------------------------------------------------------------**&Form GET_DATA*&---------------------------------------------------------------------**text*----------------------------------------------------------------------* *-->p1text*<--p2text*----------------------------------------------------------------------* FORM get_data.DATA:lt_bala LIKE bapi3008_7OCCURS0WITH HEADER LINE,lt_spec LIKE bapi3008_a OCCURS0WITH HEADER LINE.DATA:lv_days LIKE sy-index.DATA:lv_budat LIKE sy-datum.REFRESH:lt_vend.SELECT a~bukrs a~lifnr a~gjahr b~name1INTO CORRESPONDING FIELDS OF TABLE lt_vendFROM lfc1AS aINNER JOIN lfa1AS b ON b~lifnr=a~lifnrINNER JOIN lfb1AS c ON c~lifnr=a~lifnr AND c~bukrs=a~bukrsWHERE a~lifnr IN s_lifnrAND a~bukrs IN s_bukrsAND a~gjahr EQ p_gjahrAND b~ktokk IN s_ktokkAND c~akont IN s_akont.LOOP AT lt_vend.REFRESH:lt_bala,lt_spec.lt_vend-monat=p_monat.*CALL FUNCTION'BAPI_AP_ACC_GETPERIODBALANCES'*EXPORTING*companycode=lt_vend-bukrs*vendor=lt_vend-lifnr*TABLES*creditor_balances=lt_bala*creditor_special_balances=lt_spec.*READ TABLE lt_bala WITH KEY vendor=lt_vend-lifnr*comp_code=lt_vend-bukrs*fisc_year=lt_vend-gjahr*fis_period=lt_vend-monat.*IF sy-subrc=0.*lt_vend-arber=lt_bala-credit_mth.*lt_vend-pyber=lt_bala-debits_mth.*lt_vend-blber=lt_bala-balance.*lt_vend-bgber=lt_vend-blber-(lt_vend-arber+lt_vend-pyber). *lt_vend-waers=lt_bala-currency.*ELSE.*lt_vend-arber=0.*lt_vend-pyber=0.*lt_vend-blber=0.*lt_vend-bgber=0.*lt_vend-waers='CNY'.*ENDIF.CALL FUNCTION'ZFM_FI_VENDOR_DATA'EXPORTINGIN_BUKRS=lt_vend-bukrsIN_LIFNR=lt_vend-lifnrIN_GJAHR=p_gjahrTABLEScreditor_balances=lt_bala.READ TABLE lt_bala WITH KEY vendor=lt_vend-lifnrcomp_code=lt_vend-bukrsfisc_year=lt_vend-gjahrfis_period=lt_vend-monat.IF sy-subrc=0.lt_vend-arber=lt_bala-credit_mth."期间借方发生额lt_vend-pyber=lt_bala-debits_mth."期间贷方发生额lt_vend-blber=lt_bala-balance."期末lt_vend-bgber=lt_bala-MNTH_SALES."期初余额lt_vend-waers=lt_bala-currency.ELSE.lt_vend-arber=0.lt_vend-pyber=0.lt_vend-blber=0.lt_vend-bgber=0.lt_vend-waers='CNY'.ENDIF.MODIFY lt_vend.ENDLOOP.IF NOT lt_vend[]IS INITIAL.CONCATENATE p_gjahr p_monat'01'INTO lv_budat. CALL FUNCTION'DATE_GET_MONTH_LASTDAY' EXPORTINGi_date=lv_budatIMPORTINGe_date=lv_budat.SELECT*INTO CORRESPONDING FIELDS OF TABLE lt_bsik FROM bsikFOR ALL ENTRIES IN lt_vendWHERE bukrs=lt_vend-bukrsAND lifnr=lt_vend-lifnrAND umsks=spaceAND budat<=lv_budat.ENDIF.LOOP AT lt_vend.CLEAR:i_gt_outtab.MOVE-CORRESPONDING lt_vend TO i_gt_outtab.LOOP AT lt_bsik WHERE bukrs=lt_vend-bukrsAND lifnr=lt_vend-lifnr.lv_days=sy-datum-(lt_bsik-zfbdt+lt_bsik-zbd1t).IF lv_days<0.IF lt_bsik-shkzg='S'.i_gt_outtab-bera0=i_gt_outtab-bera0+lt_bsik-dmbtr. ELSE.i_gt_outtab-bera0=i_gt_outtab-bera0-lt_bsik-dmbtr. ENDIF.ELSEIF lv_days>=0AND lv_days<=30.IF lt_bsik-shkzg='S'.i_gt_outtab-bera1=i_gt_outtab-bera1+lt_bsik-dmbtr. ELSE.i_gt_outtab-bera1=i_gt_outtab-bera1-lt_bsik-dmbtr. ENDIF.ELSEIF lv_days>=31AND lv_days<=60.IF lt_bsik-shkzg='S'.i_gt_outtab-bera2=i_gt_outtab-bera2+lt_bsik-dmbtr.ELSE.i_gt_outtab-bera2=i_gt_outtab-bera2-lt_bsik-dmbtr.ENDIF.ELSEIF lv_days>=61AND lv_days<=90.IF lt_bsik-shkzg='S'.i_gt_outtab-bera3=i_gt_outtab-bera3+lt_bsik-dmbtr.ELSE.i_gt_outtab-bera3=i_gt_outtab-bera3-lt_bsik-dmbtr.ENDIF.ELSEIF lv_days>=91AND lv_days<=120.IF lt_bsik-shkzg='S'.i_gt_outtab-bera4=i_gt_outtab-bera4+lt_bsik-dmbtr.ELSE.i_gt_outtab-bera4=i_gt_outtab-bera4-lt_bsik-dmbtr.ENDIF.ELSEIF lv_days>=121AND lv_days<=180.IF lt_bsik-shkzg='S'.i_gt_outtab-bera5=i_gt_outtab-bera5+lt_bsik-dmbtr.ELSE.i_gt_outtab-bera5=i_gt_outtab-bera5-lt_bsik-dmbtr.ENDIF.ELSEIF lv_days>=181AND lv_days<=360.IF lt_bsik-shkzg='S'.i_gt_outtab-bera6=i_gt_outtab-bera6+lt_bsik-dmbtr.ELSE.i_gt_outtab-bera6=i_gt_outtab-bera6-lt_bsik-dmbtr.ENDIF.ELSEIF lv_days>360.IF lt_bsik-shkzg='S'.i_gt_outtab-bera7=i_gt_outtab-bera7+lt_bsik-dmbtr.ELSE.i_gt_outtab-bera7=i_gt_outtab-bera7-lt_bsik-dmbtr.ENDIF.ENDIF.IF cb_zero='X'.CHECK i_gt_outtab-arber<>0OR i_gt_outtab-pyber<>0OR i_gt_outtab-blber<>0OR i_gt_outtab-bgber<>0ORi_gt_outtab-bera0<>0OR i_gt_outtab-bera1<>0ORi_gt_outtab-bera2<>0OR i_gt_outtab-bera3<>0ORi_gt_outtab-bera4<>0OR i_gt_outtab-bera5<>0ORi_gt_outtab-bera6<>0OR i_gt_outtab-bera7<>0. ENDIF.ENDLOOP.shift i_gt_outtab-LIFNR left deleting leading'0'."去前导空格APPEND i_gt_outtab.ENDLOOP.FREE:lt_vend,lt_bsik.SORT i_gt_outtab BY bukrs lifnr.ENDFORM."GET_DATA*&---------------------------------------------------------------------**&Form FIELDCAT_INIT*&---------------------------------------------------------------------**Initialization fieldcatalog DEFINITION OF HEADING.*Fieldnames and ref_fieldnames MUST be UPPER CASE!!*----------------------------------------------------------------------* *-->p1text*<--p2text*----------------------------------------------------------------------* FORM fieldcat_init.DATA:l_fieldcat TYPE slis_fieldcat_alv.*---------------------------------------------------------------------* *general fields selected**---------------------------------------------------------------------* DEFINE alv_fieldcat.l_fieldcat-tabname=&1.l_fieldcat-fieldname=&2.l_fieldcat-key=&3.l_fieldcat-ref_fieldname=&4.l_fieldcat-ref_tabname=&5.l_fieldcat-reptext_ddic=&6.l_fieldcat-no_out=&7.l_fieldcat-no_zero=&8.l_fieldcat-outputlen=&9.append l_fieldcat to i_gt_fieldcat.END-OF-DEFINITION.alv_fieldcat'I_GT_OUTTAB''BUKRS''''' '''公司'''''4.alv_fieldcat'I_GT_OUTTAB''LIFNR''''''''供应商'''''10.alv_fieldcat'I_GT_OUTTAB''NAME1''''' '''供应商名称'''''36.alv_fieldcat'I_GT_OUTTAB''GJAHR''''' '''年度'''''4.alv_fieldcat'I_GT_OUTTAB''MONAT''''' '''月度'''''4.alv_fieldcat'I_GT_OUTTAB''WAERS''''' '''币种'''''4.alv_fieldcat'I_GT_OUTTAB''BGBER''''' '''期初余额'''''15.alv_fieldcat'I_GT_OUTTAB''ARBER''''' '''本期贷方'''''15.alv_fieldcat'I_GT_OUTTAB''PYBER''''' '''本期借方'''''15.alv_fieldcat'I_GT_OUTTAB''BLBER''''' '''本期余额'''''15.alv_fieldcat'I_GT_OUTTAB''BERA0''''' '''账龄(<0)天'''''15.alv_fieldcat'I_GT_OUTTAB''BERA1''''' '''账龄(0~30)天'''''15.alv_fieldcat'I_GT_OUTTAB''BERA2''''' '''账龄(31~60)天'''''15.alv_fieldcat'I_GT_OUTTAB''BERA3''''' '''账龄(61~90)天'''''15.alv_fieldcat'I_GT_OUTTAB''BERA4''''' '''账龄(91~120)天'''''15.alv_fieldcat'I_GT_OUTTAB''BERA5''''' '''账龄(121~180)天'''''15.alv_fieldcat'I_GT_OUTTAB''BERA6''''' '''账龄(181~360)天'''''15.alv_fieldcat'I_GT_OUTTAB''BERA7''''' '''账龄(>360)天'''''15. ENDFORM."FIELDCAT_INIT*&---------------------------------------------------------------------**&Form EVENTTAB_BUILD*&---------------------------------------------------------------------**text*----------------------------------------------------------------------* *-->p1text*<--p2text*----------------------------------------------------------------------* FORM eventtab_build.DATA:l_ls_event TYPE slis_alv_event.CALL FUNCTION'REUSE_ALV_EVENTS_GET'EXPORTINGi_list_type=0IMPORTINGet_events=i_gt_events.*........ADD EVENT AT-USER-COMMAND.....................................READ TABLE i_gt_events WITH KEY name=slis_ev_user_commandINTO l_ls_event.IF sy-subrc=0.MOVE slis_ev_user_command TO l_ls_event-form.APPEND l_ls_event TO i_gt_events.ENDIF.ENDFORM."EVENTTAB_BUILD*&---------------------------------------------------------------------**&Form USER_COMMAND*&---------------------------------------------------------------------**DYNAMIC CALL FROM THE ALV*----------------------------------------------------------------------* *-->p1text*<--p2text*----------------------------------------------------------------------* FORM user_command USING r_ucomm LIKE sy-ucommrs_selfield TYPE slis_selfield.DATA:l_index LIKE sy-index,l_colno TYPE slis_sel_tab_field.DATA:rspar_tab TYPE rsparams OCCURS0WITH HEADER LINE.l_index=rs_selfield-tabindex."LINE IN LISTl_colno=rs_selfield-sel_tab_field."COLUMN HEADER*........POSITION THE CURSOR ON A LINE IN THE LIST......................IF l_index LE0.*MESSAGE.........ENDIF.READ TABLE i_gt_outtab INDEX l_index.CASE l_colno.*........CUSTOMER DISPLAY..............................................*WHEN'I_GT_OUTTAB-LIFNR'.SET PARAMETER ID'LIF'FIELD i_gt_outtab-lifnr.CALL TRANSACTION'XK03'.WHEN'I_GT_OUTTAB-BGBER'OR'I_GT_OUTTAB-ARBER'OR 'I_GT_OUTTAB-PYBER'OR'I_GT_OUTTAB-BLBER'. CLEAR rspar_tab.REFRESH rspar_tab.CALL FUNCTION'RS_REFRESH_FROM_SELECTOPTIONS' EXPORTINGcurr_report='RFAPBALANCE'TABLESselection_table=rspar_tabEXCEPTIONSnot_found=01no_report=02.LOOP AT rspar_tab.CASE rspar_tab-selname.WHEN'SO_LIFNR'.rspar_tab-sign='I'.rspar_tab-option='EQ'.rspar_tab-low=i_gt_outtab-lifnr.rspar_tab-high=space.WHEN'SO_BUKRS'.rspar_tab-sign='I'.rspar_tab-option='EQ'.rspar_tab-low=i_gt_outtab-bukrs.rspar_tab-high=space.WHEN'GP_GJAHR'.rspar_tab-sign='I'.rspar_tab-option='EQ'.rspar_tab-low=i_gt_outtab-gjahr.rspar_tab-high=space.ENDCASE.MODIFY rspar_tab.ENDLOOP.IF NOT i_gt_outtab-lifnr IS INITIAL.SUBMIT rfapbalance USING SELECTION-SCREEN'1000'WITH SELECTION-TABLE rspar_tabAND RETURN.ENDIF.WHEN'I_GT_OUTTAB-BERA0'OR'I_GT_OUTTAB-BERA1'OR 'I_GT_OUTTAB-BERA2'OR'I_GT_OUTTAB-BERA3'OR'I_GT_OUTTAB-BERA4'OR'I_GT_OUTTAB-BERA5'OR'I_GT_OUTTAB-BERA6'OR'I_GT_OUTTAB-BERA7'. CLEAR rspar_tab.REFRESH rspar_tab.CALL FUNCTION'RS_REFRESH_FROM_SELECTOPTIONS' EXPORTINGcurr_report='RFITEMAP'TABLESselection_table=rspar_tabEXCEPTIONSnot_found=01no_report=02.LOOP AT rspar_tab.CASE rspar_tab-selname.WHEN'KD_LIFNR'.rspar_tab-sign='I'.rspar_tab-option='EQ'.rspar_tab-low=i_gt_outtab-lifnr.rspar_tab-high=space.WHEN'KD_BUKRS'.rspar_tab-sign='I'.rspar_tab-option='EQ'.rspar_tab-low=i_gt_outtab-bukrs.rspar_tab-high=space.WHEN'X_OPSEL'.rspar_tab-sign='I'.rspar_tab-option='EQ'.rspar_tab-low='X'.rspar_tab-high=space.WHEN'X_NORM'.rspar_tab-sign='I'.rspar_tab-option='EQ'.rspar_tab-low='X'.rspar_tab-high=space.ENDCASE.MODIFY rspar_tab.ENDLOOP.IF NOT i_gt_outtab-lifnr IS INITIAL.SUBMIT rfitemap USING SELECTION-SCREEN'1000'WITH SELECTION-TABLE rspar_tabAND RETURN.ENDIF.ENDCASE.ENDFORM."USER_COMMAND*&---------------------------------------------------------------------**&Form CALL_ALV*&---------------------------------------------------------------------**text*----------------------------------------------------------------------* *-->p1text*<--p2text*----------------------------------------------------------------------* FORM call_alv.DATA:l_excluding TYPE slis_extab.i_gs_layout-colwidth_optimize='X'.*l_excluding-fcode='&OUP'.*APPEND l_excluding TO i_gt_excluding.*l_excluding-fcode='&ODN'.*APPEND l_excluding TO i_gt_excluding.CALL FUNCTION'REUSE_ALV_GRID_DISPLAY'EXPORTING*I_INTERFACE_CHECK=''*I_BYPASSING_BUFFER=''*I_BUFFER_ACTIVE=''i_callback_program=v_gt_repid*I_CALLBACK_PF_STATUS_SET=''*I_CALLBACK_USER_COMMAND=''*I_CALLBACK_TOP_OF_PAGE=''*I_CALLBACK_HTML_TOP_OF_PAGE=''*I_CALLBACK_HTML_END_OF_LIST=''*I_STRUCTURE_NAME=*I_BACKGROUND_ID=''*I_GRID_TITLE=*I_GRID_SETTINGS=is_layout=i_gs_layoutit_fieldcat=i_gt_fieldcatit_excluding=i_gt_excluding *IT_SPECIAL_GROUPS=*IT_SORT=*IT_FILTER=*IS_SEL_HIDE=i_default='X' i_save='A' is_variant=v_gt_variant it_events=i_gt_events *IT_EVENT_EXIT=*IS_PRINT=*IS_REPREP_ID=*I_SCREEN_START_COLUMN=0 *I_SCREEN_START_LINE=0*I_SCREEN_END_COLUMN=0 *I_SCREEN_END_LINE=0*I_HTML_HEIGHT_TOP=0*I_HTML_HEIGHT_END=0 *IT_ALV_GRAPHICS=*IT_HYPERLINK=*IT_ADD_FIELDCAT=*IT_EXCEPT_QINFO=*IR_SALV_FULLSCREEN_ADAPTER=*IMPORTING*E_EXIT_CAUSED_BY_CALLER=*ES_EXIT_CAUSED_BY_USER= TABLESt_outtab=i_gt_outtab EXCEPTIONSprogram_error=1 OTHERS=2.ENDFORM."CALL_ALV。
核对应付账龄分析表
1.首先核算到票的(启用业务应付的情况下)
总账用【核算项目余额表】
【账龄分析表】(不包括业务应付)
然后导出到分别导出到Excel,通过排序等等之类的操作进行核对,发现有下列差异:
衡阳建滔运输有限公司——N区域应改为K区域。
分析:
1.东莞市正一大同德轴承有限公司
查询【应付明细表】
发现应付明细表与总账是一致的,差异实际上就是那一条标红的,原因就是没有做结算。
联查到应付单看看:
做了结算之后就应该相等了。
2.河北汇海化工有限公司
发现余额是负数,即做了付款单。
然后查总账
结果发现没有预付账款余额,只有应付账款余额。
直接点击【辅助核算明细表】并与【应付明细表】进行核对。
结果发现【应付明细表】比【辅助核算明细表】多了一笔数据。
联查到单据,下查凭证发现:
该付款单是手工新增的,所生成的凭证是费用类科目,而不是往来科目。
而付款类型为“费用付款”的却属于采购付款类别。
3.惠州市通用机电设备有限公司情况同2
4.岳阳淡澳机电安装有限公司
对比一下应付明细表与辅助核算明细表,差异见红色标记
为什么账龄分析表比总账报表多呢?原因查明细可发现:该应付单是属于暂估类的,但是单据上有没有勾选“业务应付”。
后发现该单据是手工做的,正确做法如下:应该是先做订单然后下推应付单,鉴于系统还未完善业务应付多种源单据支持的方案欠缺,应将应付管理中业务应付处理时点的参数修改为“平时处理”,并在做该应付单是将“业务应付”手工勾选。
5.惠州市石松化工有限公司
通过查询【应付明细表】然后到付款单,果然发现没有结算
6.深圳深岩燃气有限公司
也是未做结算的问题。
在此可以总结出结论:
1.【应付明细表】与【核算项目余额表】相等,而账龄不等并大于的,都是未做结算。
2.【账龄分析表】有数而【核算项目余额表】无的,可能是应付单做的是暂估,而未勾选“业务应付”。
3.【应付明细表】比【辅助核算明细表】多的,可能是做了付款类型属于应付系统的单据,但是生成的凭证又与往来科目无关的。
同样的道理可以用来核对应付暂估,与预付款的。