微分几何测试题集锦有答案
- 格式:docx
- 大小:43.03 KB
- 文档页数:2
《微分几何》复习题与参考答案一、填空题1.极限232lim[(31)i j k]t t t →+-+=138i j k -+.2.设f ()(sin )i j t t t =+,2g()(1)i j t t t e =++,求0lim(()())t f t g t →⋅= 0 .3.已知{}42r()d =1,2,3t t -⎰, {}64r()d =2,1,2t t -⎰,{}2,1,1a =,{}1,1,0b =-,则4622()()a r t dt+b a r t dt=⨯⋅⋅⎰⎰{}3,9,5-.4.已知()r t a '=(a 为常向量),则()r t =ta c +. 5.已知()r t ta '=,(a 为常向量),则()r t =212t a c +. 6. 最“贴近”空间曲线的直线和平面分别是该曲线的___ 切线___和 密切平面____. 7. 曲率恒等于零的曲线是_____ 直线____________ . 8. 挠率恒等于零的曲线是_____ 平面曲线________ .9. 切线(副法线)和固定方向成固定角的曲线称为 一般螺线 . 10. 曲线()r r t =在t = 2处有3αβ=,则曲线在t = 2处的曲率k = 3 . 11. 若在点00(,)u v 处v 0u r r ⨯≠,则00(,)u v 为曲面的_ 正常______点. 12. 已知()(2)(ln )f t t j t k =++,()(sin )(cos )g t t i t j =-,0t >,则4()df g dt dt ⋅=⎰4cos 62-.13.曲线{}3()2,,t r t t t e =在任意点的切向量为{}22,3,t t e . 14.曲线{}()cosh ,sinh ,r t a t a t at =在0t =点的切向量为{}0,,a a . 15.曲线{}()cos ,sin ,r t a t a t bt =在0t =点的切向量为{}0,,a b .16.设曲线2:,,t t C x e y e z t -===,当1t =时的切线方程为2111-=--=-z ee y e e x . 17.设曲线t t t e z t e y t e x ===,sin ,cos ,当0t =时的切线方程为11-==-z y x . 18. 曲面的曲纹坐标网是曲率线网的充要条件是____F =M =0_ ______________. 19. u -曲线(v -曲线)的正交轨线的微分方程是 _____ E d u +F d v =0(F d u +G d v =0)__. 20. 在欧拉公式2212cos sin n k k k θθ=+中,θ是 方向(d) 与u -曲线 的夹角.21. 曲面的三个基本形式,,I II III 、高斯曲率K 、平均曲率H 之间的关系是20H K III -II +I = . 22.已知{}r(,),,u v u v u v uv =+-,其中2,sin u t v t ==,则drd t={}2cos ,2cos ,2cos t t t t vt u t +-+.23.已知{}r(,)cos cos ,cos sin ,sin a a a ϕθϕθϕθϕ=,其中t =ϕ,2t =θ,则dr(,)d tϕθ={}sin cos 2cos sin ,sin sin 2cos cos ,cos a at a at a ϕθϕθϕθϕθϕ---+.24.设(,)r r u v =为曲面的参数表示,如果0u v r r ⨯≠,则称参数曲面是正则的;如果:()r G r G → 是 一一对应的 ,则称曲面是简单曲面.25.如果u -曲线族和v -曲线族处处不相切,则称相应的坐标网为 正规坐标网 . 26.平面{}r(,),,0u v u v =的第一基本形式为22d d u v +,面积微元为d d u v .27.悬链面{}r(,)cosh cos ,cosh sin ,u v u v u v u =第一基本量是22cosh 0,cosh E u F G u ===,. 28.曲面z axy =上坐标曲线0x x =,0y y =的交角的余弦值是200222200(1)(1)a x a y ++.29.正螺面{}(,)cos ,sin ,r u v u v u v bv =的第一基本形式是2222d ()d u u b v ++. 30.双曲抛物面{}r(,)(),(),2u v a u v b u v uv =+-的第一基本形式是2222222222(4)d 2(4)d d (4)d a b v u a b uv u v a b u v +++-++++.31.正螺面{}(,)cos ,sin ,r u v u v u v bv =的平均曲率为 0 .32.方向(d)d :d u v =是渐近方向的充要条件是22()020n k d Ldu Mdudv Ndv =++=或. 33. 方向(d)d :d u v =和(δ)δ:δu v =共轭的充要条件是(,)0()0dr δr Ldu δu M du δv dv δu Ndv δv =+++=II 或.34.λ是主曲率的充要条件是0E L F MF MG Nλλλλ--=--.35.(d)d :d u v =是主方向的充要条件是22d d d d 00d d d d dv dudv du E u F v L u M vE F G F u G v M u N vL MN-++==++或. 36. 根据罗德里格斯定理,如果方向(d)(d :d )u v =是主方向,则n n dn k dr k =-,其中是沿方向(d)的法曲率.37.旋转曲面中的极小曲面是平面 或悬链面.38.测地曲率的几何意义是曲面S 上的曲线在P 点的测地曲率的绝对值等于(C )在P 点的切平面上的正投影曲线(C*)的曲率.39.,,g n k k k 之间的关系是222g n k k k =+.40.如果曲面上存在直线,则此直线的测地曲率为 0 . 41.正交网时测地线的方程为d ds du dsdv dsθθθ⎧⎪⎪⎪⎨⎪⎪⎪⎩. 42.曲线是曲面的测地线,曲线(C )上任一点在其切平面的正投影曲线是 直线 . 二、单项选择题1.已知{}(),,t t r t e t e -=,则r (0)''为( A ).A. {}1,0,1;B. {}1,0,1-;C. {}0,1,1;D. {}1,0,1-. 2.已知()()r t r t λ'=,λ为常数,则()r t 为( C ).A. ta λ;B. a λ;C. t e a λ;D. e a λ. 其中a 为常向量.3. 曲线(C)是一般螺线,以下命题不正确的是( D ).A .切线与固定方向成固定角;B .副法线与固定方向成固定角;C .主法线与固定方向垂直;D .副法线与固定方向垂直. 4. 曲面在每一点处的主方向( A )A .至少有两个;B .只有一个;C .只有两个;D .可能没有. 5.球面上的大圆不可能是球面上的( D )A .测地线;B .曲率线;C .法截线;D .渐近线.. 6. 已知{}r(,),,x y x y xy =,求(1,2)dr 为( D ).A. {}d ,d ,d 2d x y x y +;B. {}d d ,d d ,0x y x y +-;C. {}d -d ,d +d ,0x y x y ;D. {}d ,d ,2d d x y x y +. 7.圆柱螺线{}cos ,sin ,r t t t =的切线与z 轴( C ).A. 平行;B. 垂直;C. 有固定夹角4π; D. 有固定夹角3π. 8.设平面曲线:()C r r s =,s 为自然参数,αβ,是曲线的基本向量.叙述错误的是( C ).A. α为单位向量;B. αα⊥;C. k αβ=-;D. k βατγ=-+. 9.直线的曲率为( B ).A. -1;B. 0;C. 1;D. 2.10.关于平面曲线的曲率:()C r r s =不正确的是( D ).A. ()()k s s α=;B. ()()k s s ϕ=,ϕ为()s α的旋转角;C. ()k s αβ=-⋅;D. ()|()|k s r s =.11.对于曲线,“曲率恒等于0”是“曲线是直线”的( D ).A. 充分不必要条件;B. 必要不充分条件;C. 既不充分也不必要条件;D. 充要条件. 12.下列论述不正确的是( D ).A. ,αβγ,均为单位向量;B. αβ⊥;C. βγ⊥;D. αβ. 13.对于空间曲线C ,“挠率为零”是“曲线是直线”的(B ).A. 充分不必要条件;B. 必要不充分条件;C. 既不充分也不必要条件;D. 充要条件. 14.2sin4),cos 1(),sin (t a z t a y t t a x =-=-=在点2π=t 的切线与z 轴关系为( D ). A. 垂直; B. 平行; C. 成3π的角; D. 成4π的角. 15.椭球面2222221x y z a b c++=的参数表示为( C ).A. {}{},,cos cos ,cos sin ,sin x y z ϕθϕθϕ=;B. {}{},,cos cos ,cos sin ,sin x y z a b ϕθϕθϕ=;C. {}{},,cos cos ,cos sin ,sin x y z a b c ϕθϕθϕ=;D. {}{},,cos cos ,sin cos ,sin 2x y z a b c ϕθϕθθ=.16.曲面{}2233(,)2,,r u v u v u v u v =-+-在点(3,5,7)M 的切平面方程为( B ).A. 2135200x y z +-+=;B. 1834410x y z +--=;C. 756180x y z +--=;D. 1853160x y z +-+=.17.球面{}(,)cos cos ,cos sin ,sin r u v R u v R u v R u =的第一基本形式为( D ).A. 2222(d sin d )R u u v +;B. 2222(d cosh d )R u u v +;C. 2222(d sinh d )R u u v +;D. 2222(d cos d )R u u v +. 18.正圆柱面{}(,)cos ,sin ,r u v R v R v u =的第一基本形式为( C ).A. 22d d u v +;B. 22d d u v -; C 222d d u R v +; D. 222d d u R v -.19.在第一基本形式为222(d ,d )d sinh d u v u u v =+I 的曲面上,方程为12()u v v v v =≤≤的曲线段的弧长为( B ).A . 21cosh cosh v v -;B . 21sinh sinh v v -;C . 12cosh cosh v v -;D . 12sinh sinh v v -.20.设M 为正则曲面,则M 的参数曲线网为正交曲线网的充要条件是( B ).A . 0E =;B . 0F =;C . 0G =;D . 0M =. 21.高斯曲率为零的的曲面称为( A ).A .极小曲面;B .球面;C .常高斯曲率曲面;D .平面. 22.曲面上直线(如果存在)的测地曲率等于( A ).A . 0;B . 1;C .2;D . 3. 23.当参数曲线构成正交网时,参数曲线u-曲线的测地曲率为( B ).A .B .C .D . 24.如果测地线同时为渐近线,则它必为( A ).A . 直线;B . 平面曲线;C . 抛物线;D . 圆柱螺线. 三、判断题(正确打√,错误打×)1. 向量函数()r r t =具有固定长度,则()()r t r t '⊥. √2. 向量函数()r r t =具有固定方向,则()()r t r t '. √3. 向量函数()r t 关于t 的旋转速度等于其微商的模()r t '. ×4. 曲线Γ的曲率、挠率都为常数,则曲线Γ是圆柱螺线. ×5. 若曲线Γ的曲率、挠率都为非零常数,则曲线Γ是圆柱螺线. √6. 圆柱面{cos ,sin ,},r R R z θθ=z -线是渐近线. √7. 两个曲面间的变换等距的充要条件是它们的第一基本形式成比例. × 8. 两个曲面间的变换等角的充要条件是它们的第一基本形式成比例. √ 9. 等距变换一定是保角变换. √10. 保角变换一定是等距变换. × 11. 空间曲线的位置和形状由曲率与挠率唯一确定. × 12. 在光滑曲线的正常点处,切线存在但不唯一. × 13. 若曲线的所有切线都经过定点,则该曲线一定是直线.√ 14. 在曲面的非脐点处,有且仅有两个主方向. √ 15. 高斯曲率与第二基本形式有关,不是内蕴量. × 16. 曲面上的直线一定是测地线.√17. 微分方程A(,)B(,)0u v du u v dv +=表示曲面上曲线族. ×18. 二阶微分方程22(,)2(,)(,)0A u v du B u v dudv C u v dv ++=总表示曲面上两族曲线. × 19. 坐标曲线网是正交网的充要条件是0F =,这里F 是第一基本量. √ 20. 高斯曲率恒为零的曲面必是可展曲面. √ 21. 连接曲面上两点的所有曲线段中,测地线一定是最短的. × 22. 球面上的圆一定是测地线. × 23. 球面上经线一定是测地线. √ 24. 测地曲率是曲面的内蕴量. √ 四、计算题1.求旋轮线)cos 1(),sin (t a y t t a x -=-=的π20≤≤t 一段的弧长.解 旋轮线{}()(sin ),(1cos )r t a t t a t =--的切向量为{}()cos ,sin r t a a t a t '=-,则在π20≤≤t 一段的弧长为:220()d 8s r t t t a ππ'===⎰⎰.2.求曲线t te z t t y t t x ===,cos ,sin 在原点的切向量、主法向量、副法向量. 解 由题意知 {}()sin cos ,cos sin ,t t r t t t t t t t e te '=+-+, {}()2cos sin ,2sin cos ,2t t r t t t t t t t e te ''=---+,在原点,有 (0)(0,1,1),(0)(2,0,2)r r '''==, 又 ()(), r r r r r r r r r r r αβ'''''''''⋅-⋅=='''''⋅⨯,r r r r γ'''⨯='''⨯, 所以有22666333(0,,),(,,),(,,)3αβγ==-=-. 3.圆柱螺线为{}()cos ,sin ,r t a t a t bt =,①求基本向量,,αβγ; ②求曲率k 和挠率τ.解 ①{}()sin ,cos ,r t a t a t b '=-,{}()cos ,sin ,0r t a t a t ''=--,又由公式()(), ,r r r r r r r r r r r r r r r αβγ''''''''''''⋅-⋅⨯===''''''''⋅⨯⨯ {}{}{}2222sin ,cos ,,cos ,sin ,0,sin ,cos ,a t a t b t t b t b t a a ba bαβγ∴=-=--=-++②由一般参数的曲率公式3()r r k t r '''⨯='及挠率公式2(,,)()r r r t r r τ''''''='''⨯ 有22a k a b =+,22b a b +=τ. 4.求正螺面{}(,)cos ,sin ,r u v u v u v bv =的切平面和法线方程. 解 {}cos ,sin ,0u r v v =,{}sin ,cos ,v r u v u v b =-,切平面方程为cos sin cos sin 00sin cos x u v y u v z bv v v u vu vb---=-,sin cos 0,b v x b u y uz buv ⇒⋅-⋅+-=法线方程为cos sin sin cos x u v y u v z bvb v b v u---==-. 5.求球面{}(,)cos cos ,cos sin ,sin r a a a ϕθϕθϕθϕ=上任一点处的切平面与法线方程. 解 {}sin cos ,sin sin ,cos r a a a ϕϕθϕθϕ=--, {}cos sin ,cos cos ,0r a a θϕθϕθ=-,312sin cos sin sin cos cos sin cos cos 0e e e r r a a a a a ϕθϕθϕθϕϕθϕθ⨯=--- {}2cos cos cos ,cos sin ,sin a ϕϕθϕθϕ=---∴ 球面上任意点的切平面方程为{}{}2cos cos ,cos sin ,sin cos cos cos ,cos sin ,sin 0,x a y a z a a ϕθϕθϕϕϕθϕθϕ---⋅---=即cos cos cos sin sin 0x y z a θϕϕθϕ⋅+⋅+⋅-=, 法线方程为2(cos cos ,cos sin ,sin )cos (cos cos ,cos sin ,sin ),x a y a z a a ϕθϕθϕλϕϕθϕθϕ---=⋅---即cos cos cos sin sin cos cos cos sin sin x a y a z a ϕθϕθϕϕθϕθϕ---==.6.求圆柱螺线cos ,sin ,x a t y a t z t ===在点(,0,0)a 处的密切平面. 解 (){sin ,cos ,1},r t a t a t '=-(){cos ,sin ,0},r t a t a t ''=--所以曲线在原点的密切平面的方程为00sin cos 10cos sin 0x a y z a t a t =a ta t------, 即sin )(cos )sin 0t x t y az a t -+-=(.7.求旋转抛物面22()z a x y =+的第一基本形式.解 参数表示为{}22(,),,()r x y x y a x y =+,{}1,0,2x r ax =,{}0,1,2y r ay =,2214x x E r r a x =⋅=+,24x y F r r a xy =⋅=,2214y y G r r a y =⋅=+,2222222(d ,d )(14)d 8d d (14)d x y a x x a xy x y a y y ∴=++++I .8.求正螺面{}(,)cos ,sin ,r u v u v u v bv =的第一基本形式. 解 {}cos ,sin ,0u r v v =,{}sin ,cos ,v r u v u v b =-,1u u E r r =⋅=,0u v F r r =⋅=,22v v G r r u b =⋅=+,2222(d ,d )d ()d u v u u b v ∴=++I .9.计算正螺面{}(,)cos ,sin ,r u v u v u v bv =的第一、第二基本量. 解 {}cos ,sin ,0u r v v =,{}sin ,cos ,v r u v u v b =-,{}0,0,0uu r =,{}sin ,cos ,0uv r v v =-,{}cos ,sin ,0vv r u v u v =--,{}cos sin 0sin ,cos ,sin cos u v i j k r r v v b v b v u u v u v b⨯==--,sin ,cos ,u v u v b v b v u r r n r r -⨯==⨯, 1u u E r r =⋅=,0u v F r r =⋅=,22v v G r r u b =⋅=+, 0uu L r n =⋅=,2uv M r n b =⋅=-+,0vv N r n =⋅=.10.计算抛物面22z x y =+的高斯曲率和平均曲率.解 设抛物面的参数表示为{}22(,),,r x y x y x y =+,则{}1,0,2x r x =,{}0,1,2y r y =,{}0,0,2xx r =,{}0,0,0xy yx r r ==,{}002yy r =,,,{}1022,2,1012x y i j kr r x x y y⨯==--,22,2,1||4x y x y r r x y n r r x ⨯--==⨯214x x E r r x =⋅=+, 4x y F r r xy =⋅=, 214y y G r r y =⋅=+,24xx L r n x =⋅=+, 0xy M r n =⋅=, 24yy N r n x =⋅=+,2222222222404441(14)(14)(4)(441)LN M x y K EG F x y xy x y --++===-++-++,2232222124422(441)GL FM EN x y HEG Fx y -+++=⋅=-++. 11. 计算正螺面{}(,)cos ,sin ,r u v u v u v av =的高斯曲率. 解 直接计算知1E =,0F =,22G u a =+,0L =,M =,0N =,222222()LN M a K EG F u a -∴==--+.12. 求曲面2z xy =的渐近线.解 2z xy =,则2z p y x∂==∂,2z q xy y ∂==∂,220zr x ∂==∂,22z s y x y ∂==∂∂,222zt x y ∂==∂ 所以,L =0, M =,N =20=,化简得(2)0dy ydx xdy +=, 020dy ydx xdy =+=或 渐近线为y=C 1,x 2y =C 213. 求螺旋面{}cos ,sin ,r u v u v bv =上的曲率线. 解 u v r {cos ,sin v,0},r {u sin v,u cos v,b}v ==-2222u u v v E r 1,F r r 0,G r u b ,===⋅===+{}{}u vu v bsin v,bcos v,u bsin v,bcos v,u r r n r r bsin v,bcos v,u--⨯===⨯- {}{}{}uu uv vv r=0,0,0,r =sin v,cos v,0,r ucos v,usin v,0-=--,L 0,M N 0===曲率线的微分方程为:2222dv dudv du 10u b =00-+ 或du bu dv 221+±=积分得两族曲率线方程:12v ln(u c v u)c .=+=+和14. 求马鞍面22{,,}r u v u v =-在原点处沿任意方向的法曲率. 解 {1,0,2},{0,1,2}==-u v r u r v ,22214,4,14==+==-=+u u v E r u F r r uv G v2222(14)8(14)=+-++u du uvdudv v dv Ⅰu v 2u v 2u,2v,1r r n r r 4u -⨯==⨯ uu 2L nr 4u ==uv M n r 0,== vv 2N n r 4u ==22=-Ⅱ, n k =ⅡⅠ. 15. 求抛物面22()z a x y =+在(0,0)点的主曲率. 解 曲面方程即22{,,()},=+r x y a x y{1,0,2},{0,1,2},==x y r ax r ay E(0,0)F(0,0)G(0,0)=1,=0,=1,{0,0,2},{0,0,0},{0,0,2}===xx xy yy r a r r a ,L(0,0)a M(0,0)N(0,0)=2,=0,=2a,代入主曲率公式,NN2a k 0002a k -=-,所以两主曲率分别为 12k k 2a == .16. 求曲面22{,,}r u v u v =+在点(1,1)的主方向.解 {}u r =,u 1,02,{},v r ,v =01,22214,4,14E u F uv G v =+==+(1,)5(1,)4(1,)5;E F G 1=,1=,1= 0,L M N ===2(1,1)(1,1),(1,1)0,3L N M === 代入主方向方程,得()()0du dv du dv +-=,即在点(1,1)主方向:1:1;:1:1du dv u v δδ=-=.17. 求曲面23(,){,,}r u v u v u v =+上的椭圆点,双曲点和抛物点. 解 由23{,,},r u v u v =+ 得{}u r =,u 1,02,{}2,v r ,v =01,3{}{}{}u u u v v v r =,r =,r =,v 0,02,0,00,0,06, 0,L M N ===2241241vLN M .u +9v +-=①v >0时,是椭圆点;②v <0时,是双曲点;③v =0时,是抛物点. 18. 求曲面32(,){,,}r u v v u u v =+上的抛物点的轨迹方程. 解 由32(,){,,},r u v v u u v =+ 得{}u r =u,0,21,{}2,v r v ,=30,1{}{}{}u u u v v v r =,r =,r =v ,0,20,0,00,6,00, 20,L M N ===令320LN M .-=得u =0 或v =0所以抛物点的轨迹方程为 {}r=v ,,v 30或{}0r=,u ,u 2. 19.求圆柱螺线(){cos ,sin ,}r t a t a t bt =自然参数表示.解 由(){cos ,sin ,},r t a t a t bt =得{sin ,cos ,}r a t a t b '=-, 2()r t a '=弧长(),t s t =⎰t =曲线的自然参数表示为(){sinr s a a =20. 求挠曲线的主法线曲面的腰曲线.解 设挠曲线为a a s =(),则主法线曲面为:r=a s v s ,β()+() 则,a =a=α',b ==-k βατγ'+a b =k,''-2,22b =k +τ' 所以腰曲线是222a b kr=a s s =a s s k b ββτ'''()-()()+()+ 21.求位于正螺面cos ,sin ,x u v y u v z av ===上的圆柱螺线00cos ,sin ,x u v y u v z av ===(0u =常数)的测地曲率.解 因为正螺面的第一基本形式为2222d ()d u u a v =++Ι,螺旋线是正螺面的v -曲线0u u =,由2πθ=得d 0d s θ=.由正交网的坐标曲线的测地曲率得0220g u k u a==+. 五、证明题1. 设曲线:(s),r r =证明:2()k -;r ,r ,r =k .ταγτ=⋅⑴⑵证明 ⑴由伏雷内公式,得=k =-,αβγτβ,两式作点积,得=-k =-k,αγτββτ⋅⋅k =-.ταγ∴⋅⑵r=r==k ,ααβ, 2()r=k +k =k +k -k +=-k +k +k βββατγαβτγ22()()()r ,r ,r =,k ,-k +k +k =,k ,k =k .αβαβτγαβτγτ∴2. 设曲线:(s),r r = 证明:3()()r ,r ,r =k k -k .ττ证明 由伏雷内公式,得r==k αβ, 2()r=k +k =k +k -k +=-k +k +k βββατγαβτγ323()(2)r =-kk +-k +k-k +k +k ατβττγ232()(())(3()(2))r ,r ,r =k -k +k +k -kk +-k +k-k +k +k βαβτγατβττγ⨯3232()(3()(2))=k +k -kk +-k +k-k +k +k γταατβττγ33432=-k k +k k +k τττ3()=k k -k ττ3. 曲线()r r s =是一般螺线,证明1:r R ds αβΓ=-⎰也是一般螺线(R 是曲线的曲率半径). 证明 1r R ds αβ=-⎰, 两边关于s 微商,得 11ds R R ds αααβ=+-1R R R αββ=+-R α=, 1αα∴,由于Γ是一般螺线,所以Γ也是一般螺线.4. 证明曲线(){sin (),s (),}(r t a t dt a co t dt bt a,b ϕϕ=⎰⎰是常数)是一般螺线.证明 (){sin (),cos (),},r t a t a t b ϕϕ'=(){()cos (),()sin (),0},r t a t t a t t ϕϕϕϕ''''=-2()(){cos (),sin (),0}(){sin ()cos ()0}r t a t t t a t t t ϕϕϕϕϕϕ''''''=-+-,,22(),r r a t a b ϕ''''⨯=+32()()r r r a b t ϕ'''''''=-,,,322(),r r a k t a b r ϕ'''⨯'==+'()222(),r r r b t a b r r τϕ'''''''==-+'''⨯,, k a bτ∴=- . 5.曲面S 上一条曲线(C), P 是曲线(C)上的正常点,n g k ,k ,k 分别是曲线(C)在点P 的曲率、法曲率与测地曲率,证明222n g k =k +k .证明 测地曲率()g k k k n βεβα=⋅=⋅⨯(,,)k n k n αβγ==⋅sin k .θ=± (θ是主法向量β与法向量n 的夹角)法曲率cos n k k n k βθ=⋅=,222n g k =k +k .∴6. 证明曲线{}cos ,sin ,0t t r e t e t =的切向量与曲线的位置向量成定角.证明 对曲线上任意一点,曲线的位置向量为{}cos ,sin ,0t t r e t e t =,该点切线的切向量为:{}(cos sin ),(sin cos ),0t t r e t t e t t '=-+,则有:2cos 22t t r r r r e θ'⋅==='4π. 由所取点的任意性可知,该曲线与曲线的切向量成定角.7.证明:若r '和r ''对一切t 线性相关,则曲线是直线.证明 若r '和r ''对一切t 线性相关,则存在不同时为0的(),()f t g t 使()()()()0f t r t g t r t '''+=, 则 ,()()0, t r t r t '''∀⨯= 又3()r r k t r '''⨯=',故t ∀有()0k t =.于是该曲线是直线.8. 证明圆柱螺线bt z t a y t a x ===,sin ,cos 的主法线和z 轴垂直相交.证明 由题意有{}{}()sin ,cos ,,()cos ,sin ,0r t a t a t b r t a t a t '''=-=--,由()()r r r r r r r r r β''''''''⋅-⋅=''''⋅⨯知{}cos ,sin ,0t t β=--. 另一方面z 轴的方向向量为{}0,0,1a =,而0a β⋅=,故a β⊥,即主法线与z 轴垂直.9.证明曲线t a z t t a y t a x cos ,cos sin ,sin 2===的所有法平面皆通过坐标原点.证明 由题意可得{}()sin 2,cos2,sin r t a t a t a t '=-,则任意点的法平面为0)cos (sin )cos sin (2cos )sin (2sin 00000020=---+-t a z t a t t a y t a t a x t a 将点(0,0,0)代入上述方程有左边)cos 0(sin )cos sin 0(2cos )sin 0(2sin 00000020t a t a t t a t a t a t a ---+-===0右边, 故结论成立.10.证明曲线222132225,1x t+t ,y t t z t =+=-+=-为平面曲线,并求出它所在的平面方程. 证明 {}222132225,1r t+t ,t t t =+-+-,{}34210,2r +t,t t '=-+-,{}410,2r ,''=-,{}00,0r ,'''=(,,)0r r r ,''''''= 0τ=,所以曲线是平面曲线. 它所在的平面就是密切平面{}(0)32,0r ,'=-, {}(0)410,2r ,''=-密切平面方程为12132004102x y z -=----, 化简得其所在的平面方程是2x +3y +19z –27=0.11. 证明如果曲线的所有切线都经过一个定点,那么它是直线.证明 设曲线方程()r r s =,定点的向径为0R ,则0()()r s R s λα-=两边求微商,得()()()()s s s s k αλαλαλαλβ=+=+(1())()0s s k λαλβ--= 由于,αβ线性无关,∴100k λλ⎧-⎨⎩==∴ k =0曲线是直线.12. 证明如果曲线的所有密切平面都经过一个定点,那么它是平面曲线.证明 取定点为坐标原点,曲线的方程为 ()r r t =,则曲面在任一点的密切平面方程为 ((),(),())0r t r t r t ρ'''-=因任一点的密切平面过定点,所以((),(),())0o r t r t r t '''-=, 即 ((),(),())0r t r t r t '''=所以 ()r r t =平行于固定平面, 所以 ()r r t =是平面曲线. 13. 若一条曲线的所有法平面包含非零常向量e ,证明曲线是直线或平面曲线.证明 根据已知条件,得0.............e α⋅=①,①两边求导,得 0e α⋅=,由伏雷内公式得 0k e β⋅=,ⅰ)0k =,则曲线是直线;ⅱ)0e β⋅= 又有①可知 γ‖e因e 是常向量,所以γ是常向量,于是 ||||0,τγ== 所以0τ= ,所以曲线为平面曲线.14. 设在两条挠曲线,ΓΓ的点之间建立了一一对应关系,使它们在对应的点的副法线互相平行,证明它们在对应点的切线和主法线也分别平行.证明 γγ±12= , 21ds ds γγ±12= 由伏雷内公式得211ds ds τβτβ±122=12ββ∴±= 进而12αα=± 15. 证明挠曲线(0τ≠)的主法线曲面是不可展曲面.证明 设挠曲线为()r r s =,则挠率0τ≠,其主法线曲面的方程是:()()r s t s ρβ=+ 取(),()a r s b s β==,则(),()k a s b s αβατγ''===-+所以, (,,)((),(),k )((),(),k )((),(),)0a b b s s s s s s αβατγαβααβτγτ''=-=-≠++=所以挠曲线的主法线曲面不是可展曲面.16. 证明挠曲线(0τ≠)的副法线曲面是不可展曲面.证明 设挠曲线为()r r s =,则挠率0τ≠,其副法线曲面的方程是:()()r s t s ργ=+取(),()a r s b s γ==,则(),()a s b s αγτβ''===-所以, (,,)((),(),)0a b b s s αγτβτ''=-=≠,所以挠曲线的副法线曲面不是可展曲面.17. 证明每一条曲线在它的主法线曲面上是渐近线.证明 设曲线r r(s),=则曲线的主法线曲面为r r s +v s β=()() ,s r v k vk v αατγατγ++=+(-)=(1-) ()v r =s β,s v s v r r n==r r vk ⨯⨯(1-)-(1- 沿曲线(v =0)n=γ, 所以主法向量与曲面的法向量夹角,2πθ=n cos 0,k k θ==所以曲线是它的主法线曲面上的渐近线.18. 证明二次锥面{cos ,sin ,}r au bu cu θθ=沿每一条直母线只有一个切平面.证明 {cos ,sin ,}{cos ,sin ,}0()θθθθϕθ===+r au bu cu u a b c u 为直纹面(0,(),()0ϕθϕθ'=), 所以,曲面可展,即沿每一条直母线只有一个切平面.也可以用高斯曲率K =0证明. 19. 给出曲面上一条曲率线Γ,设Γ上每一处的副法向量和曲面在该点处的法向量成定角,求证Γ是一平面曲线. 证明 设副法向量和曲面在该点处的法向量成定角θ0,则cos γθ0n=两边求微商,得 0γγn+n= 由于曲线Γ是曲率线,所以αn,进而0γn=,由伏雷内公式得0τβ-n=⑴0τ=时,Γ是一平面曲线⑵n 0β=,即n β⊥,n kcos =0k θ=,又因为Γ是曲率线,所以0n dn k dr =-=即n 是常向量,所以Γ是平面曲线.20.求证正螺面上的坐标曲线(即u -曲线族v -曲线族)互相垂直.证明 设正螺面的参数表示是{}(,)cos ,sin ,r u v u v u v bv =,则{}cos ,sin ,0u r v v =,{}sin ,cos ,v r u v u v b =-,{}{}cos ,sin ,0sin ,cos ,0u v r r v v u v u v b ⇒⋅=⋅-=,故正螺面上的坐标曲线互相垂直.21. 证明在曲面上的给定点处,沿互相垂直的方向的法曲率之和为常数.证明 由欧拉公式2212cos sin θθ=+n k k k*n 1in ππθθ=±-±-k k 222cos ()+k s ()221in cos k θθ=222s +k 所以*n n 12k k k k +=+=常数.22. 如果曲面上非直线的测地线Γ均为平面曲线,则Γ必是曲率线.证明 因为曲线Γ是非直线的测地线,所以沿此曲线有,β=±n从而(),κατγ=±-+n 又因为曲线是平面曲线,所以0,τ=进一步n κα=±.由罗德里格斯定理可知曲线的切线方向为主方向,故所给曲线为曲率线.23. 证明在曲面()()z f x f y =+上曲线族x =常数,y =常数构成共轭网.证明 曲面的向量表示为 {}(,),,()(),r x y x y f x f y =+x =常数,y =常数是两族坐标曲线.{1,0,}x r f '=,{0,1,}y r g '=.{0,0,},{0,0,0},{0,0,},xx xy yy r f r r g ''''=== 因为0xy r r M r EG ⨯=⋅=-,所以坐标曲线构成共轭网,即曲线族 x =常数, y =常数构成共轭网.24.证明马鞍面z xy =上所有点都是双曲点.证明 参数表示为{}(,),,r x y x y xy =,则{}1,0,x r y =,{}0,1,y r x =,{}0,0,0xx r =,{}0,0,1xy r =,{}0,0,0yy r =,{},,1x y r r y x ⨯=--,2,,1||x yx y r r y x n r r x ⨯--==⨯+ 0xx L r n =⋅=, 2xy M r n x =⋅=+0yy N r n =⋅=, 222221100011LN M x y x y ∴-=⨯-=-<++++, 故马鞍面z xy =上所有点都是双曲点. 25.如果曲面上某点的第一与第二基本形式成比例,即(d ,d )(d ,d )u v u v II I 与方向无关,则称该点是曲面的脐点;如果曲面上所有点都是脐点,则称曲面是全脐的.试证球面是全脐的. 证明 设球面的参数表示为{}(,)cos cos ,cos sin ,sin r u v R v u R v u R v =,则{}cos sin ,cos cos ,0u r R v u R v u =-,{}sin cos ,sin sin ,cos v r R v u R v u R v =--,{}cos cos ,cos sin ,0uu r R v u R v u =--,{}sin sin ,sin cos ,0uv vu r r R v u R v u ==-,{}cos cos ,cos sin ,sin vv r R v u R v u R v =---,22cosu u E r r R v =⋅=,0u v F r r =⋅=,2v v G r r R =⋅=,2cos L Rv ==-,0M ==,N R ==-, 1(,,)(,,)L M N E F G R∴=-,故球面是全脐的. 26.证明平面是全脐的.证明 设平面的参数表示为{}(,),,0r x y x y =,则{}1,0,0x r =,{}0,1,0y r =,{}0,0,0xx r =,{}0,0,0xy r =,{}0,0,0yy r =, 1x x E r r =⋅=,0x y F r r =⋅=,1y y G r r =⋅=,0xx L r n =⋅=,0xy M r n =⋅=,0yy N r n =⋅=(,,)0(,,)L M N E F G ∴=,故平面是全脐的.27.证明曲面3x y z +=的所有点为抛物点.证明 曲面的参数表示为{}1/3(,),,()r x y x y x y =+,则{}2/3131,0,()x r x y -=+, {}2/3130,1,()y r x y -=+, {}5/3230,0,()xx r x y -=-+,{}5/3290,0,()xy r x y -=-+, {}5/3290,0,()yy r x y -=-+, {}2/32/31133(),(),1x y r r x y x y --⨯=-+-+, ||x y x y r r n r r ⨯=⨯,{}5/3290,0,()xx L r n x y n -=⋅=-+⋅,{}5/3290,0,()xy M r n x y n -=⋅=-+⋅, {}5/3290,0,()yy N r n x y n -=⋅=-+⋅ 20LN M ⇒-=, ∴曲面3x y z +=的所有点为抛物点.28.求证正螺面{}(,)cos ,sin ,r u v u v u v av =是极小曲面. 证明 {}cos ,sin ,0u r v v =,{}sin ,cos ,v r u v u v a =-, {}0,0,0uu r =,{}sin ,cos ,0uv r v v =-,{}cos ,sin ,0vv r u v u v =--,{}cos sin 0sin ,cos ,sin cos u v i j kr r v v a v a v u u v u v a⨯==--, 22sin ,cos ,||u v u v a v a v u r r n r r a u -⨯==⨯+, 1u u E r r =⋅=,0u v F r r =⋅=,22v v G r r a u=⋅=+, 0uu L r n =⋅=,2uv M r n a =⋅=-,0vv N r n =⋅=,21210,22EN FM GL H EG F -+∴=⋅==-故正螺面是极小曲面. 29. 圆柱面{cos ,sin ,}r a u a u v =上的纬线是测地线. 证明由{cos ,sin ,},r a u a u v ={sin ,cos ,0}u r -a u a u =,{0,0,1}v r =,2,0, 1.E a F G ===g d k ds θθθ=-, 纬线是u -线,此时0θπ=或, 0.g k ∴= 所以,纬线是测地线.30.证明极小曲面上的点都是双曲点或平点.证明 1202k k H +==, 12k k ∴=-, 21220K k k k ∴=⋅=-≤ 当0K =时,120k k ==, ∴极小曲面的点都是平点; 当0K <时,极小曲面的点都是双曲点.31. 证明 (1)如果测地线同时是渐近线,则它是直线;(2)如果测地线同时是曲率线,则它一定是平面曲线. 证明 (1) 因为曲线是测地线,所以0=g k , 曲线又是渐近线,所以,0=n k ,而222=+n g k k k ,所以k=0,故所给曲线是直线. (2) 证法1 因曲线是测地线,所以沿此曲线有βn ,所以βdn , 又曲线是曲率线,所以αdn dr , 所以(k )ατγα-+,所以0τ=,故所给曲线是平面曲线. 证法2 因所给曲线既是测地线又为曲率线,所以沿此曲线有,,n n βα 而γαβ=⨯,所以,n γα=±⨯从而()(0)0n n k n γααβ=±⨯+⨯=±-⨯+=, 又γτβ=-,所以0τ=,故所给曲线是平面曲线.。
微分几何期末试题及答案一、选择题(每题3分,共30分)1. 以下哪一项不是微分几何的研究对象?A. 流形B. 曲线C. 曲面D. 代数方程2. 在微分几何中,下列哪个概念是用来描述曲线的弯曲程度?A. 切线B. 曲率C. 法向量D. 微分3. 给定一个曲面上的点,其邻域内的所有点都可以通过该点的哪种向量场来到达?A. 切向量B. 法向量C. 零向量D. 任意向量4. 以下哪个是微分几何中研究曲面局部性质的重要概念?A. 拓扑B. 度量C. 群论D. 线性代数5. 在曲面上,高斯曲率的计算公式是什么?A. K = R/(2π)B. K = R^2/(2π)C. K = det(II - e^(-2u) * I)D. K = det(I - e^(-2u) * II)6. 以下哪个是微分几何中研究曲面全局性质的重要概念?A. 曲率B. 度量C. 测地线D. 向量场7. 给定一个流形,其上的每一个点都有一组局部坐标,这组坐标被称为该点的什么?A. 切向量B. 法向量C. 坐标图D. 邻域8. 在微分几何中,哪种类型的曲面可以通过一个平面曲线的旋转来生成?A. 圆柱面B. 抛物面C. 双曲面D. 椭球面9. 以下哪个是微分几何中研究曲面上最短路径的概念?A. 测地线B. 切线C. 法线D. 曲率10. 微分几何中的“黎曼几何”主要研究的是什么类型的几何结构?A. 欧几里得空间B. 黎曼流形C. 仿射空间D. 射影空间二、简答题(每题10分,共40分)11. 请简述什么是流形,并给出一个具体的例子。
12. 解释什么是度量张量,并说明它在微分几何中的作用。
13. 描述一下什么是测地线,并说明它在曲面上的性质。
14. 阐述高斯绝妙定理(Gauss's Theorema Egregium)的意义及其在微分几何中的重要性。
三、解答题(每题15分,共30分)15. 给定一个曲面上的两点A和B,证明通过A点的任意一条测地线都可以延伸到B点。
《微积分几何》复习题 本科 第一局部:练习题库与答案一、填空题〔每题后面附有关键词;难易度;答题时长〕第一章1.(1,1,1),(1,0,1)=-=-a b ,如此这两个向量的夹角的余弦θcos =36 2.(0,1,1),(1,0,1)=-=-a b ,求这两个向量的向量积⨯=a b (-1,-1,-1). 3.过点)1,1,1(P 且与向量(1,0,1)=-a 垂直的平面方程为X-Z=04.求两平面0:1=++z y x π与12:2=+-z y x π的交线的对称式方程为21131--=-=+z y x 5.计算232lim[(31)]t t t →+-+=i j k 138-+i j k .6.设()(sin )t t t =+f i j ,2()(1)tt t e =++g i j ,求0lim(()())t t t →⋅=f g 0.7.(,)(,,)u v u v u v uv =+-r ,其中2t u =,t v sin =,如此d d t=r(2cos ,2cos ,2cos )t t t t vt u t +-+ 8.t =ϕ,2t =θ,如此d (,)d tϕθ=r (sin cos 2cos sin ,sin sin 2cos cos ,cos )a at a at a ϕθϕθϕθϕθϕ---+ 9.42()d (1,2,3)t t =-⎰r ,64()d (2,1,2)t t =-⎰r ,求4622()d ()d t t t t ⨯+⋅⋅=⎰⎰a r b a r )5,9,3(-,其中(2,1,1)=a ,(1,1,0)=-b10.()t '=r a 〔a 为常向量〕,求()t =r t +a c 11.()t t '=r a ,〔a 为常向量〕,求()t =r 212t +a c 12.()(2)(log )t t t =++f j k ,()(sin )(cos )t t t =-g i j ,0t >,如此4d()d d t t ⋅=⎰f g 4cos 62-. 第二章13.曲线3()(2,,)tt t t e =r 在任意点的切向量为2(2,3,)tt e14.曲线()(cosh ,sinh ,)t a t a t at =r 在0t =点的切向量为(0,,)a a 15.曲线()(cos ,sin ,)t a t a t bt =r 在0t =点的切向量为(0,,)a b16.设有曲线2:,,t t C x e y e z t -===,当1t =时的切线方程为2111-=--=-z ee y e e x 17.设有曲线t t t e z t e y t e x ===,sin ,cos ,当0t =时的切线方程为11-==-z y x 第三章18.设(,)u v =r r 为曲面的参数表示,如果u v ⨯≠r r 0,如此称参数曲面是正如此的;如果:()G G →r r 是一一的,如此称参数曲面是简单的.19.如果u -曲线族和v -曲线族处处不相切,如此称相应的坐标网为正规坐标网.(坐标网;易;3分钟) 20.平面(,)(,,0)u v u v =r 的第一根本形式为22d d u v +,面积元为d d u v21.悬链面(,)(cosh cos ,cosh sin ,)u v u v u v u =r 的第一类根本量是2cosh E u =,0F =,2cosh G u =22.曲面z axy =上坐标曲线0x x =,0y y =223.正螺面(,)(cos ,sin ,)u v u v u v bv =r 的第一根本形式是2222d ()d u u b v ++. 24.双曲抛物面(,)((),(),2)u v a u v b u v uv =+-r 的第一根本形式是2222222222(4)d 2(4)d d (4)d a b v u a b uv u v a b u v +++-++++25.正螺面(,)(cos ,sin ,)u v u v u v bv =r 的平均曲率为0.〔正螺面、第一根本量、第二根本量;中;3分钟〕26.方向(d)d :d u v =是渐近方向的充要条件是(d)0n κ=或22d 2d d d 0L u M u v N v ++=27.两个方向(d)d :d u v =和(δ)δ:δu v =共轭的充要条件是(d ,δ)0=II r r 或d δ(d δd δ)d δ0L u u M u v v u N v v +++=28.函数λ29.方向(d)d :d u v =是主方向的充要条件是d d d d 0d d d d E u F vL u M vF uG v M u N v++=++30.根据罗德里格定理,如果方向(d)(d :d )u v =是主方向,如此d d n κ=-n r ,其中n κ是沿(d)方向的法曲率 31.旋转极小曲面是平面或悬链面 第四章32.高斯方程是k ij ij kij kL =Γ+∑r rn ,,1,2i j =,魏因加尔吞方程为,kj i ik i j kL g =-∑n r ,,1,2i j =33.ij g 用ij g 表示为221212111()det()ijij g g g g g g -⎛⎫=⎪-⎝⎭. 34.测地曲率的几何意义是曲面S 上的曲线()C 在P 点的测地曲率的绝对值等于()C 在P 点的切平面∏上的正投影曲线()C *的曲率35.,,g n κκκ之间的关系是222g n κκκ=+.36.如果曲面上存在直线,如此此直线的测地曲率为 0.37.测地线的方程为22,d d d 0,1,2d d d k i jk ij i j u u u k s s s+Γ==∑ 38.高斯-波涅公式为1d d ()2kgii GGK s σκπαπ=∂++-=∑⎰⎰⎰39.如果G ∂是由测地线组成,如此高斯-波涅公式为1d ()2kii GK σπαπ=+-=∑⎰⎰.二、单项选择题第一章40.(1,0,1)=--a ,(1,2,1)=-b ,如此这两个向量的内积⋅a b 为〔 C 〕.〔内积;易;2分钟〕 A 2 B 1- C 0 D 141.求过点(1,1,1)P 且与向量(1,0,1)=--a 平行的直线的方程是〔 A 〕.〔直线方程;易;2分钟〕A ⎩⎨⎧==1y z x B 1321+==-z yx C 11+==+z y x D ⎩⎨⎧==1z yx42.(1,1,1),(1,0,1),(1,1,1)=-=-=a b c ,如此混合积为〔 D 〕.〔混合积;较易;2分钟〕 A 2 B 1- C 1 D 2-43.()(,,)ttt e t e -=r ,如此(0)''r 为〔 A 〕.〔导数;易;2分钟〕 A (1,0,1) B (-1,0,1) C (0,1,1) D (1,0,-1)44.()()t t λ'=r r ,λ为常数,如此()t r 为〔 C 〕.〔导数;易;2分钟〕A t λa B λa C t e λa D e λa上述a 为常向量.45.(,)(,,)x y x y xy =r ,求d (1,2)r 为〔 D 〕.〔微分;较易;2分钟〕 A (d ,d ,d 2d )x y x y + B (d d ,d d ,0)x y x y +- 第二章46.圆柱螺线(cos ,sin ,)t t t =r 的切线与z 轴〔 C 〕.(螺线、切向量、夹角;较易、2分钟) A 平行 B 垂直C 有固定夹角4π D 有固定夹角3π 47.设有平面曲线:()C s =r r ,s 为自然参数,α,β是曲线的根本向量.如下表示错误的答案是〔C 〕. Aα为单位向量 B ⊥ααC κ=-αβ D κ=-βα 48.直线的曲率为〔 B 〕.〔曲率;易;2分钟〕A –1 B 0 C 1 D 249.关于平面曲线的曲率:()C s =r r 不正确的答案是〔 D 〕.〔伏雷内公式;较易;2分钟〕 A ()()s s κ=α B ()()s s κϕ=,ϕ为()s α的旋转角 C()s κ=-⋅αβ D ()|()|s s κ=r50.对于平面曲线,“曲率恒等于0”是“曲线是直线〞的〔 D 〕.〔曲率;易;2分钟) A 充分不必要条件 B 必要不充分条件 C 既不充分也不必要条件 D 充要条件 51.如下论述不正确的答案是〔 D 〕.〔根本向量;易;2分钟〕 A α,β,γ均为单位向量 B ⊥αβ C ⊥βγ D //αβ52.对于空间曲线C,“曲率为零〞是“曲线是直线〞的〔 D 〕.〔曲率;易;2分钟) A 充分不必要条件 B 必要不充分条件 C 既不充分也不必要条件 D 充要条件 53.对于空间曲线C ,“挠率为零〞是“曲线是直线〞的〔 D 〕.〔挠率;易;2分钟) A 充分不必要条件 B 必要不充分条件 C 既不充分也不必要条件 D 充要条件 54.2sin4),cos 1(),sin (t a z t a y t t a x =-=-=在点2π=t 的切线与z 轴关系为〔 D 〕. A 垂直 B 平行 C 成3π的角 D 成4π的角 第三章55.椭球面2222221x y z a b c++=的参数表示为〔C 〕.〔参数表示;易;2分钟〕A (,,)(cos cos ,cos sin ,sin )x y z ϕθϕθϕ=B (,,)(cos cos ,cos sin ,sin )x y z a b ϕθϕθϕ=C (,,)(cos cos ,cos sin ,sin )x y z a b c ϕθϕθϕ=D (,,)(cos cos ,sin cos ,sin 2)x y z a b c ϕθϕθθ=56.以下为单叶双曲面2222221x y z a b c+-=的参数表示的是〔D 〕.〔参数表示;易;2分钟〕A (,,)(cosh sin ,cosh cos ,sinh )x y z a u v b u v u =B (,,)(cosh cos ,cosh sin ,sinh )x y z u v u v u =C (,,)(sinh cos ,sinh sin ,cosh )x y z a u v b u v c u =D (,,)(cosh cos ,cosh sin ,sinh )x y z a u v b u v c u =57.以下为双叶双曲面2222221x y z a b c+-=-的参数表示的是〔A 〕.〔参数表示;易;2分钟〕A (,,)(sinh cos ,sinh sin ,cosh )x y z a u v b u v c u =B (,,)(cosh cos ,sinh sin ,cosh )x y z a u v b u v c u =C (,,)(cosh cos ,cosh sin ,sinh )x y z a u v b u v c u =D (,,)(cosh cos ,cosh sin ,sinh )x y z u v u v u =58.以下为椭圆抛物面22222x y z a b+=的参数表示的是〔B 〕.〔参数表示;易;2分钟〕A 2(,,)(cos ,sin ,)2u x y z u v u v =B 2(,,)(cos ,sin ,)2u x y z au v bu v =C 2(,,)(cosh ,sinh ,)2u x y z au v bu v = D (,,)(cos ,sin ,)x y z a v b v v =59.以下为双曲抛物面22222x y z a b-=的参数表示的是〔C 〕.〔参数表示;易;2分钟〕A (,,)(cosh ,sinh ,)x y z a u b u u =B (,,)(cosh ,sinh ,)x y z u u u =C (,,)((),(),2)x y z a u v b u v uv =+-D (,,)(,,)x y z au bv u v =-60.曲面2233(,)(2,,)u v u v u v u v =-+-r 在点(3,5,7)M 的切平面方程为〔B 〕.〔切平面方程;易;2分钟〕A 2135200x y z +-+=B 1834410x y z +--=C 756180x y z +--=D 1853160x y z +-+=61.球面(,)(cos cos ,cos sin ,sin )u v R u v R u v R u =r 的第一根本形式为〔D 〕.〔第一根本形式;中;2分钟〕A 2222(d sin d )R u u v +B 2222(d cosh d )R u u v + C 2222(d sinh d )R u u v + D 2222(d cos d )R u u v +62.正圆柱面(,)(cos ,sin ,)u v R v R v u =r 的第一根本形式为〔 C 〕.〔第一根本形式;中;2分钟〕A 22d d u v +B 22d d u v -C 222d d u R v +D 222d d u R v -63.在第一根本形式为222(d ,d )d sinh d u v u u v =+I 的曲面上,方程为12()u v v v v =≤≤的曲线段的弧长为〔B 〕.〔弧长;中;2分钟〕A 21cosh cosh v v -B 21sinh sinh v v -C 12cosh cosh v v -D 12sinh sinh v v -64.设M 为3R 中的2维2C 正如此曲面,如此M 的参数曲线网为正交曲线网的充要条件是〔 B 〕. A 0E = B 0F = C 0G =D 0M = 65.以下正确的答案是〔 D 〕.〔魏因加尔吞变换;较易;2分钟〕A d (d )=n rB d (d )u =n rC d (d )u v =n r D d (d )=-n r66.以下正确的答案是〔 C 〕.〔魏因加尔吞变换;较易;2分钟〕 A (d ,(δ))(d ,δ)=-I r r II r r B (d ,(δ))((δ),d )=-I r r I r r C (d ,(δ))((d ),δ)=I r r I r r D (d ,(δ))((d ),δ)=I r r II r r67.以下正确的答案是〔A 〕.〔魏因加尔吞变换;较易;2分钟〕 A (d ,(δ))(d ,δ)=I r r II r r B (d ,(δ))((d ),δ)=I r r II r r C (d ,(δ))((d ),δ)=-I r r I r r D (d ,(δ))((d ),δ)=II r r II r r68.高斯曲率为常数的的曲面叫〔C 〕.〔高斯曲率;易;2分钟〕 A 极小曲面 B 球面 C 常高斯曲率曲面 D 平面 第四章 B 69.,___________ijji i jgg =∑.〔第一根本形式;易;2分钟〕 A 1 B 2 C 0 D -1 B 70.______j kjl jgδ=∑.〔第一根本形式;易;2分钟〕 A kj g B kl g C ki g D ij gA 71.________kij Γ=.〔克氏符号;较易;2分钟〕 A1()2jl ijkl il j il i g g g g u u u ∂∂∂+-∂∂∂∑ B 1()2jl ijkl il j il i g g g g u u u ∂∂∂--∂∂∂∑ C 1()2jl ijkl il j il ig g g g u u u ∂∂∂++∂∂∂∑ D 1()2jl ij kl il j i l ig g g g u u u ∂∂∂-+∂∂∂∑ A 72.曲面上直线〔如果有的话〕的测地曲率等于_____.A 0B 1C 2D 3B 73.当参数曲线构成正交网时,参数曲线u-曲线的测地曲率为_____.〔X 维尔定理、测地曲率;中;4分钟〕ABCD A 74.如果测地线同时为渐进线,如此它必为_____.〔测地曲率、法曲率、曲率;中;2分钟〕 A 直线 B 平面曲线 C 抛物线 D 圆柱螺线B 75.在伪球面(1)K ≡-上,任何测地三角形的内角之和____.〔高斯-波涅定理;中;4分钟〕A 等于πB 小于πC 大于πD 不能确定三、多项选择题第一章76.假如()((),(),()),1,2,3i i i i t x t y t z t i ==r 为向量函数,如此如下论述正确的答案是〔 AD 〕.〔导数;易;4分钟〕A 1111()((),(),())t x t y t z t ''''=r B 1111111111()((),(),())((),(),())((),(),())t x t y t z t x t y t z t x t y t z t ''''=++r C 123123((),(),())((),(),())t t t t t t ''''=r r r r r r D 123((),(),())t t t 'r r r 123123123((),(),())((),(),())((),(),())t t t t t t t t t '''=++r r r r r r r r r E 123123((),(),())((),(),())t t t t t t ''=r r r r r r77.m,n 为常向量,()t r 为向量函数,如此下述正确的答案是〔 ABC 〕.〔积分的性质;中;4分钟〕A()d ()d bbaat t t t ⋅=⋅⎰⎰m r m r B ()d ()d bbaat t t t ⨯=⨯⎰⎰m r m rC(,,())d ()()d bbaat t t t =⨯⎰⎰m n r m n r D (,,())d ()()d bbaat t t t =⋅⎰⎰m n r m n rE(,,())d ()()d bbaat t t t =⨯⨯⎰⎰m n r m n r第二章78.如下曲线中为正如此曲线的有〔ACDE 〕。
《微分几何》测试题(一)一.填空题:(每小题2分,共20分)⒈ 向量{}(),3,r t t t a =具有固定方向,则a =___t__。
⒉ 非零向量()r t 满足(),,0r r r '''=的充要条件是以该向量为切方向的曲线为平面曲线⒊ 设曲线在P 点的切向量为α,主法向量为β,则过P 由,αβ确定的平面是曲线在P 点的___密切平面__________。
⒋ 曲线()r r t =在点0()r t 的单位切向量是α,则曲线在0()r t 点的法平面方程是__________________________。
⒌ 曲线()r r t =在t = 1点处有2γβ=,则曲线在 t = 1对应的点处其挠率(1)τ=_ -2_____。
⒍ 主法线与固定方向垂直的曲线是__ 一般螺线_ _⒎ 如果曲线的切向与一固定方向成固定角,则这曲线的曲率与挠率的比是___常数_________________。
⒐ 曲面(,)z z x y =在点000(,,)x y z 的法线方程是_____________________。
二.选择填空题:(每小题3分,共30分)11、若曲线的所有密切平面经过一定点,则此曲线是___C___。
A 、 直线B 、平面曲线C 、球面曲线D 、圆柱螺线12、曲线()r r t =在P(t)点的曲率为k , 挠率为τ,则下列式子___A___不正确。
A 、2r r k r '''⨯=' B 、3r r k r '''⨯=' C 、k r = D 、()()2r r r r r τ''''''='''⨯ 13、对于曲面的第一基本形式2222,I Edu Fdudv Gdv EG F =++-__D___。
A 、0>B 、0<C 、0≤D 、0≥三.计算与证明题:(22题14分,其余各9分)21、已知圆柱螺线{}cos ,sin ,r t t t =,试求⑴ 在点0,1,2π⎛⎫ ⎪⎝⎭的切线和法平面。
《微分几何》测试题(一)一.填空题:(每小题2分,共20分)⒈ 向量{}(),3,r t t t a =具有固定方向,则a =___t__。
⒉ 非零向量()r t 满足(),,0r r r '''=的充要条件是以该向量为切方向的曲线为平面曲线⒊ 设曲线在P 点的切向量为α,主法向量为β,则过P 由,αβ确定的平面是曲线在P 点的___密切平面__________。
⒋ 曲线()r r t =在点0()r t 的单位切向量是α,则曲线在0()r t 点的法平面方程是__________________________。
⒌ 曲线()r r t =在t = 1点处有2γβ=,则曲线在 t = 1对应的点处其挠率(1)τ=_ -2_____。
⒍ 主法线与固定方向垂直的曲线是__ 一般螺线_ _⒎ 如果曲线的切向与一固定方向成固定角,则这曲线的曲率与挠率的比是___常数_________________。
⒐ 曲面(,)z z x y =在点000(,,)x y z 的法线方程是_____________________。
二.选择填空题:(每小题3分,共30分)11、若曲线的所有密切平面经过一定点,则此曲线是___C___。
A 、 直线B 、平面曲线C 、球面曲线D 、圆柱螺线12、曲线()r r t =在P(t)点的曲率为k , 挠率为τ,则下列式子___A___不正确。
A 、2r r k r '''⨯=' B 、3r r k r '''⨯=' C 、k r = D 、()()2r r r r r τ''''''='''⨯ 13、对于曲面的第一基本形式2222,I Edu Fdudv Gdv EG F =++-__D___。
A 、0>B 、0<C 、0≤D 、0≥三.计算与证明题:(22题14分,其余各9分)21、已知圆柱螺线{}cos ,sin ,r t t t =,试求⑴ 在点0,1,2π⎛⎫ ⎪⎝⎭的切线和法平面。
微分几何试题及答案1. 曲线的微分几何描述- 给定曲线 \( r(t) = (x(t), y(t), z(t)) \),求其速度向量\( \mathbf{v}(t) \) 和加速度向量 \( \mathbf{a}(t) \)。
2. 曲面的第一基本形式- 已知曲面 \( S \) 由参数方程 \( x(u,v), y(u,v), z(u,v) \) 给出,求曲面 \( S \) 的第一基本形式。
3. 高斯曲率和平均曲率- 对于曲面 \( S \),给出其高斯曲率 \( K \) 和平均曲率 \( H \) 的定义,并说明它们之间的关系。
4. 测地线的性质- 解释什么是测地线,并给出测地线在曲面上的性质。
5. 曲面的第二基本形式- 已知曲面 \( S \) 的法向量场 \( \mathbf{n}(u,v) \),求曲面 \( S \) 的第二基本形式。
6. 曲面的高斯映射- 给出曲面 \( S \) 的高斯映射的定义,并解释其几何意义。
7. 曲面的内蕴几何与外蕴几何- 描述曲面的内蕴几何与外蕴几何的区别,并给出一个例子。
8. 微分几何在物理学中的应用- 简述微分几何在广义相对论中的应用。
答案1. 曲线的微分几何描述- 速度向量 \( \mathbf{v}(t) = \frac{dr(t)}{dt} = (x'(t),y'(t), z'(t)) \),其中 \( x'(t), y'(t), z'(t) \) 分别是\( x(t), y(t), z(t) \) 的导数。
- 加速度向量 \( \mathbf{a}(t) = \frac{d\mathbf{v}(t)}{dt} = (x''(t), y''(t), z''(t)) \)。
2. 曲面的第一基本形式- 第一基本形式由曲面的度量张量给出,即 \( g_{ij} =\frac{\partial \mathbf{r}}{\partial u_i} \cdot \frac{\partial \mathbf{r}}{\partial u_j} \)。
微分几何复习题及答案
1. 曲面上的切向量和法向量有何区别?
切向量是沿着曲面的局部方向,而法向量垂直于曲面的局部方向。
切向量位于曲面的切平面内,法向量则垂直于切平面。
2. 什么是高斯曲率?
高斯曲率是描述曲面在某一点处弯曲程度的量,它由该点的主曲率的乘积给出。
3. 曲面上的测地线有何特性?
曲面上的测地线是局部最小化曲面上两点间距离的曲线,它在每一点都与曲面相切,且其曲率向量与曲面的法向量平行。
4. 什么是黎曼曲率张量?
黎曼曲率张量是描述流形曲率的数学对象,它通过测量流形上无限接近两点之间的平行移动向量之间的差异来定义。
5. 微分几何中的联络是什么?
联络是微分几何中描述向量场沿曲线平行移动的一种数学结构,它允许定义向量场的协变导数。
6. 什么是度量张量?
度量张量是定义在流形上的对称正定张量,它允许在流形上测量长度和角度。
7. 曲面的第一基本形式和第二基本形式有何不同?
第一基本形式描述了曲面的内在几何,涉及切向量之间的内积,而第二基本形式描述了曲面的外在几何,涉及曲面的法向量和切向量的
内积。
8. 什么是平行移动?
平行移动是一种沿着曲线移动向量场的方法,使得向量场在曲线的每一点都保持与曲线相切,且其协变导数为零。
9. 什么是克利斯托费尔符号?
克利斯托费尔符号是描述在曲面上沿曲线平行移动向量场时,向量场分量变化的系数,它们依赖于曲面的度量张量和其二阶导数。
10. 微分几何中如何定义曲率?
曲率在微分几何中可以通过多种方式定义,例如高斯曲率、平均曲率、黎曼曲率张量等,它们描述了流形或曲面在不同方面的弯曲程度。
微分几何期末试题及答案一、选择题(每题3分,共30分)1. 曲线在点处的切线方程为,若,则该点处的曲率是()。
A. 0B. 1C. 2D. 3答案:B2. 若函数在点处可微,则在该点处的切平面方程为()。
A.B.C.D.答案:D3. 曲面在点处的法向量为,若,则该点处的高斯曲率是()。
A. 0B. 1C. 2D. 3答案:C4. 给定曲线的参数方程为,则曲线在点处的曲率是()。
A.B.C.D.答案:A5. 若函数在点处的梯度为,则在该点处的方向导数是()。
A.B.C.D.答案:B6. 曲面在点处的主曲率分别为,则该点处的平均曲率是()。
A.B.C.D.答案:A7. 给定曲线的参数方程为,则曲线在点处的挠率是()。
A.B.C.D.答案:B8. 若函数在点处的Hessian矩阵为,则在该点处的二阶偏导数是()。
A.B.C.D.答案:D9. 曲面在点处的切平面方程为,则该点处的法向量是()。
A.B.C.D.答案:C10. 若函数在点处的Jacobi矩阵为,则在该点处的偏导数是()。
A.B.C.D.答案:A二、填空题(每题4分,共20分)1. 曲线在点处的挠率定义为______。
答案:曲线在点处的挠率定义为。
2. 若函数在点处的偏导数为0,则称该点为函数的______。
答案:临界点。
3. 曲面在点处的高斯曲率定义为______。
答案:曲面在点处的高斯曲率定义为。
4. 给定曲线的参数方程为,则曲线在点处的切向量为______。
答案:曲线在点处的切向量为。
5. 若函数在点处的梯度为,则在该点处的方向导数为______。
答案:函数在点处的方向导数为。
三、解答题(每题10分,共50分)1. 已知曲线的参数方程为,求曲线在点处的切线方程。
答案:首先求出曲线的导数,然后利用点斜式方程求得切线方程。
2. 已知函数在点处的梯度为,求在该点处沿向量方向的方向导数。
答案:首先求出向量的单位向量,然后利用方向导数的定义求得结果。
微分几何试题及答案一、选择题1. 曲线在某点的曲率是该点处曲线的:A. 切线斜率B. 切线方向C. 法线方向D. 切线与法线夹角的正弦值答案:D2. 曲面在某点的第一基本形式是:A. 曲面的高斯曲率B. 曲面的平均曲率C. 曲面的法向量D. 曲面在该点的切平面答案:D二、填空题1. 给定曲线 \( y = x^2 \) ,求其在点 \( x = 1 \) 处的曲率。
答案:\( \kappa = 4 \) (在 \( x = 1 \) 处)2. 曲面 \( z = x^2 + y^2 \) 在点 \( (1, 1, 2) \) 处的高斯曲率\( K \) 是:答案:\( K = 4 \) (在点 \( (1, 1, 2) \) 处)三、简答题1. 简述微分几何中“切空间”的概念。
答案:切空间是微分几何中描述曲面或流形上某一点处所有可能的切向量的集合,它是一个线性空间,可以看作是曲面或流形在某一点的局部线性近似。
2. 解释什么是高斯映射,并说明其几何意义。
答案:高斯映射是曲面上每一点处法向量的映射,它将曲面的每一点映射到其对应的法线方向。
几何意义上,高斯映射描述了曲面在某一点处的局部弯曲程度。
四、计算题1. 给定曲线 \( \vec{r}(t) = (t, t^2, t^3) \) ,求其在 \( t =1 \) 处的曲率。
答案:首先求导得到速度向量 \( \vec{r'}(t) = (1, 2t, 3t^2) \)和加速度向量 \( \vec{r''}(t) = (0, 2, 6t) \) 。
在 \( t = 1 \) 处,速度向量为 \( (1, 2, 3) \) ,加速度向量为 \( (0, 2, 6)\) 。
曲率 \( \kappa \) 由公式 \( \kappa = \frac{||\vec{r'}\times \vec{r''}||}{||\vec{r'}||^3} \) 计算得到,代入数值得到\( \kappa = \frac{12}{27} = \frac{4}{9} \) 。
微分几何试题及答案【篇一:微分几何试题】有曲线x?etcost,y?etsint,z?et,则当t?0时的切线方程为x?1?y?z?1。
2.设曲面s:r?r(u,v)的第一基本形式为i?du?sinhudv,则其上的曲线u?v从222et?e?t(这里sinht?) v?v1到v?v2的弧长为|sinhv1?sinhv2|。
23.设曲面s:r?r(u,v)在某点处的第一基本量为e?g?1,f?0,第二基本量为,则曲面在该点沿方向(d)?(1:2)的法曲率为kn?l?a,m?0,n?b a?4b。
54.设曲面s:r?r(u,v)在某点处的第一类基本量为e?1,g?1,且曲面在该点的切向量ru,rv相互平行,则f在该点等于 5.设曲面s:r?r(u,v)在某点处的第二基本量为l?1,m?0,n??1,则曲面在该点的渐近方向为(d)?(1:?1)。
6.设曲面的参数表示为r?r(u,v),则|ru?rv| 7.曲线x?tsin?(0,t,主法向量为221.圆柱螺线的参数表示为r?(cost,sint,t)。
计算它在(1,0,0)点的切线、密切平面、法平面方程以及在任意点处的曲率和挠率。
(35分)解:r(0)?{1,0,0},r?(0)?{0,1,1},r??(0)?{?1,0,0},所以切线:?x?1?0x?1y?0z?0??,即? 011?y?z?0法平面:(x?1)?0?(y?0)?1?(z?0)?1?0,即y?z?0x?1y密切平面:z1?0,即?y?z?00?110t?,r}?,t?() r(t)?{cots,stin{tsin t,r??(t)?{?cost,?sint,0},r???(t)?{sint,?cost,0}。
|r?| k??1}r,??r???{sitn?,ctos,r?,r |2??)1|r??r??|1(r?,r??,?r ???? 32(r??r??)2|r?|22.计算抛物面z?x2?y2的第一基本形式、第二基本形式、高斯曲率、平均曲率、脐点。
《微分几何》结业考试试卷一、判断题:(正确打√,错误打×。
每题2分,共10分))1、等距变换一定是保角变换. ( )2、空间曲线的形状由曲率与挠率唯一确定. ( )3、二阶微分方程22A(,)2B(,)B(,)0u v du u v dudv u v dv ++=总表示曲面上两族曲线. ( ) 4、连接曲面上两点的所有曲线段中,测地线一定是最短的. ( )5、坐标曲线网是正交网的充要条件是0F =,这里F 是第一基本量. ( )二、填空题:(每空3分,共33分)1、 已知33{cos ,sin ,cos 2}r x x x =,02x π<<,则α= ,β= ,γ= ,κ= ,τ= .2、已知曲面{c o s ,s i n ,6}r u v u v v =,0u >,02v π≤<,则它的第一基本形式为 ,第二基本形式为 ,高斯曲率K = ,平均曲率 H = ,点(1,0,0)处沿方向:2du dv =的法曲率 ,点(1,0,0)处的两个主曲率分别为 。
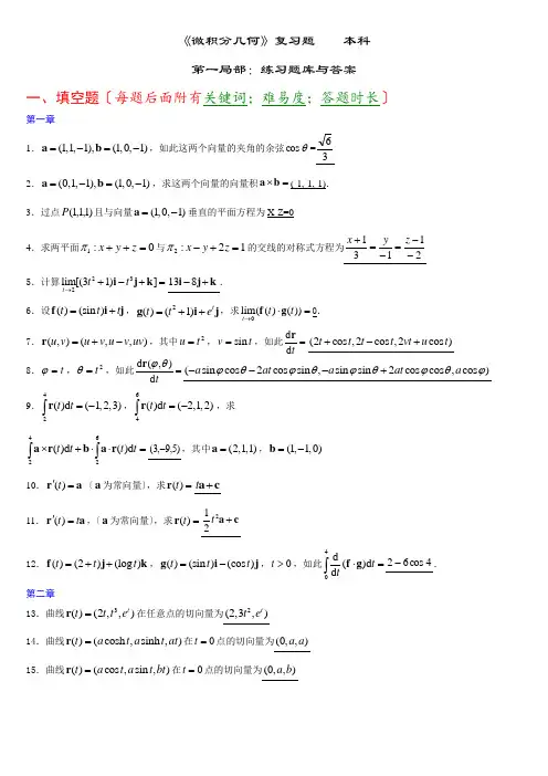
三、计算题(每小题12分,共24分) 1、求曲面33z x y =-的渐近曲线.2、已知曲面的第一基本形式为22()I v du dv =+,0v >,求坐标曲线的测地曲率.密线封层次报读学校专业姓名四、综合题:(每小题11分,共33分)1、设空间两条曲线Γ和C的曲率处处不为零,若曲线Γ和C可以建立一一对应,且在对应点的主法线互相平行,求证曲线Γ和C在对应点的切线夹固定角.2、给出曲面上一条曲率线Γ,设Γ上每一点处的副法向量和曲面在该点的法向量成定角. 求证Γ是一条平面曲线.3、问曲面上曲线Γ的切向量沿曲线Γ本身平行移动的充要条件是曲面上的曲线Γ是测地线吗?为什么?《微分几何》参考答案一、判断题:1. √ 2. √ 3. ⨯ 4. ⨯ 5. √ 二、填空题:① 1{3cos ,3sin ,4}5x x -- ②{sin ,cos ,0}x x③1{4cos ,4sin ,3}5x x -- ④625sin 2x⑤825sin 2x⑥ 222(36)du u dv ++⑦du dv⑧2236(36)u -+ ⑨ 0⑩○11 66,3737- 三、计算题:1、求曲面33z x y =-的渐近曲线.解 设33{,,}r u v u v =-则 2{1,0,3}u r u =,2{0,1,3}v r v =-,2243,3,1}||9u v u v r r n u v r r u ⨯==-⨯{0,0,6}uu r u =,0uv r =,{0,0,6}vv r v =-uu L n r =⋅=0uv M n r =⋅=,vv N n r =⋅=(6分)因渐近曲线的微分方程为2220Ldu Mdu dv Ndv ++=即22udu vdv =0=∴ 渐近曲线为33221u v C =+或33222()u v C -=+ (12分)2、已知曲面的第一基本形式为22()I v du dv =+,0v >,求坐标曲线的测地 曲率.解 E G v ==,0F =,0u G =,1v E =(4分)u-线的测地曲率ug κ==(8分)v-线的测地曲率0vg κ== (12分)四、综合题:1. 设空间两条曲线Γ和C 的曲率处处不为零,若曲线Γ和C 可以建立一一 对应,且在对应点的主法线互相平行,求证曲线Γ和C 在对应点的切线夹固定角.证 设 :()r r s Γ=,:()r r s **Γ=,则由//ββ*知ββ*=±,从而0αβ*⋅=,0αβ*⋅=,()0d ds ds dsαακβακαβ*****⋅=⋅+⋅= ∴ constant αα*⋅=,即 cos ,C α*=这表明曲线Γ和C 在对应点的切线夹固定角. (11分)2. 给出曲面上一条曲率线Γ,设Γ上每一点处的副法向量和曲面在该点的 法向量成定角. 求证Γ是一条平面曲线.证 设 :(,)r r u v ∑=,:(),()u u s v v s Γ==,其中s 是Γ的自然参数,记,r n θ=,则cos r n θ⋅=,两边求导,得d 0d nn rsτβ-⋅+=, (4分) 由Γ为曲率线知d //d n r ,即d d //d d n r s s α=, 因此d d 0d d n n rn r r s sτβκ⋅=⋅=-⋅= 。
微分几何试题及答案一、选择题(每题5分,共20分)1. 以下哪个概念不是微分几何中的概念?A. 流形B. 向量场C. 拓扑空间D. 黎曼曲率答案:C2. 在微分几何中,一个流形的局部坐标系是:A. 一组线性无关的向量B. 一组线性无关的函数C. 一组局部坐标函数D. 一组局部坐标点答案:C3. 微分几何中,一个向量场在点p的切空间中的表示为:A. 一个点B. 一个函数C. 一个向量D. 一个切平面答案:C4. 黎曼曲率张量R^i_jkl在微分几何中表示:A. 一个流形的局部性质B. 一个流形的全局性质C. 一个向量场的局部性质D. 一个向量场的全局性质答案:A二、填空题(每题5分,共20分)1. 一个n维流形上的切向量空间的维数是______。
答案:n2. 微分几何中,联络(connection)是定义在切空间上的一个______。
答案:线性映射3. 黎曼度量g_ij定义了一个流形上的______。
答案:长度和角度4. 一个流形的测地线是该流形上使得______取极值的曲线。
答案:弧长三、简答题(每题10分,共30分)1. 简述流形的概念。
答案:流形是一个拓扑空间,每一点都有一个邻域,这些邻域与欧几里得空间中的开集同胚。
2. 什么是联络形式?答案:联络形式是定义在切空间上的一组线性映射,它们满足特定的性质,如与坐标无关,并且可以用于描述流形上的平行性。
3. 黎曼曲率张量在广义相对论中有什么物理意义?答案:黎曼曲率张量在广义相对论中描述了时空的曲率,它与引力场的强度和方向有关。
四、计算题(每题15分,共30分)1. 给定一个二维流形上的度量张量g_ij,其中g_11 = 1, g_22 = 1, g_12 = g_21 = 0,计算该流形上的Christoffel符号。
答案:Christoffel符号为Γ^1_11 = 0, Γ^1_12 = 0, Γ^1_21 = 0, Γ^1_22 = 0, Γ^2_11 = 0, Γ^2_12 = 0, Γ^2_21 = 0, Γ^2_22 = 0。
《微分几何》结业考试试卷一、判断题:(正确打√,错误打×。
每题2分,共10分))1、等距变换一定是保角变换. ( )2、空间曲线的形状由曲率与挠率唯一确定. ( )3、二阶微分方程22A(,)2B(,)B(,)0u v du u v dudv u v dv ++=总表示曲面上两族曲线. ( )4、连接曲面上两点的所有曲线段中,测地线一定是最短的. ( )5、坐标曲线网是正交网的充要条件是0F =,这里F 是第一基本量. ( )二、填空题:(每空3分,共33分)1、 已知33{cos ,sin ,cos2}r x x x =,02x π<<,则α= ,β= ,γ= ,κ= ,τ= .2、已知曲面{c o s ,s i n ,6}r u v u v v =,0u >,02v π≤<,则它的第一基本形式为 ,第二基本形式为 ,高斯曲率K = ,平均曲率 H = ,点(1,0,0)处沿方向:2du dv =的法曲率 ,点(1,0,0)处的两个主曲率分别为 。
三、计算题(每小题12分,共24分) 1、求曲面33z x y =-的渐近曲线.2、已知曲面的第一基本形式为22()I v du dv =+,0v >,求坐标曲线的测地曲率.密线封层次报读学校专业姓名四、综合题:(每小题11分,共33分)1、设空间两条曲线Γ和C的曲率处处不为零,若曲线Γ和C可以建立一一对应,且在对应点的主法线互相平行,求证曲线Γ和C在对应点的切线夹固定角.2、给出曲面上一条曲率线Γ,设Γ上每一点处的副法向量和曲面在该点的法向量成定角. 求证Γ是一条平面曲线.3、问曲面上曲线Γ的切向量沿曲线Γ本身平行移动的充要条件是曲面上的曲线Γ是测地线吗?为什么?《微分几何》参考答案一、判断题:1. √ 2. √ 3. ⨯ 4. ⨯ 5. √ 二、填空题:① 1{3cos ,3sin ,4}5x x -- ②{sin ,cos ,0}x x③1{4cos ,4sin ,3}5x x -- ④625sin 2x⑤825sin 2x⑥ 222(36)du u dv ++⑦dv⑧2236(36)u -+ ⑨ 0⑩○11 66,3737- 三、计算题:1、求曲面33z x y =-的渐近曲线.解 设33{,,}r u v u v =-则 2{1,0,3}u r u =,2{0,1,3}v r v =-,2243,3,1}||9u v u v r r n u v r r u ⨯==-⨯{0,0,6}uu r u =,0uv r =,{0,0,6}vv r v =-uu L n r =⋅=0uv M n r =⋅=,vv N n r =⋅=(6分)因渐近曲线的微分方程为2220Ldu Mdu dv Ndv ++=即22udu vdv =0=∴ 渐近曲线为331u v C =+或332()u v C -=+ (12分)2、已知曲面的第一基本形式为22()I v du dv =+,0v >,求坐标曲线的测地 曲率.解 E G v ==,0F =,0u G =,1v E=(4分)u-线的测地曲率ug κ==(8分) v-线的测地曲率0vg κ== (12分)四、综合题:1. 设空间两条曲线Γ和C 的曲率处处不为零,若曲线Γ和C 可以建立一一 对应,且在对应点的主法线互相平行,求证曲线Γ和C 在对应点的切线夹固定角.证 设 :()r r s Γ=,:()r r s **Γ=,则由//ββ*知ββ*=±,从而0αβ*⋅=,0αβ*⋅=,()0d ds ds dsαακβακαβ*****⋅=⋅+⋅= ∴ constant αα*⋅=,即 cos ,C αα*=这表明曲线Γ和C 在对应点的切线夹固定角. (11分)2. 给出曲面上一条曲率线Γ,设Γ上每一点处的副法向量和曲面在该点的 法向量成定角. 求证Γ是一条平面曲线.证 设 :(,)r r u v ∑=,:(),()u u s v v s Γ==,其中s 是Γ的自然参数,记,r n θ=,则cos r n θ⋅=,两边求导,得d 0d nn rsτβ-⋅+=, (4分) 由Γ为曲率线知d //d n r ,即d d //d d n r s s α=, 因此d d 0d d n n r n r r s sτβκ⋅=⋅=-⋅= 。
微分几何测试题集锦(含答案)仅供学习与交流,如有侵权请联系网站删除 谢谢2《微分几何》测试题(一)一.填空题:(每小题2分,共20分)⒈ 向量{}(),3,r t t t a =具有固定方向,则a =___t__。
⒉ 非零向量()r t 满足(),,0r r r '''=的充要条件是以该向量为切方向的曲线为平面曲线⒊ 设曲线在P 点的切向量为α,主法向量为β,则过P 由,αβ确定的平面是曲线在P 点的___密切平面__________。
⒋ 曲线()r r t =在点0()r t 的单位切向量是α,则曲线在0()r t 点的法平面方程是__________________________。
⒌ 曲线()r r t =在t = 1点处有2γβ=,则曲线在 t = 1对应的点处其挠率(1)τ=_ -2_____。
⒍ 主法线与固定方向垂直的曲线是__ 一般螺线_ _⒎ 如果曲线的切向与一固定方向成固定角,则这曲线的曲率与挠率的比是___常数_________________。
⒐ 曲面(,)z z x y =在点000(,,)x y z 的法线方程是_____________________。
仅供学习与交流,如有侵权请联系网站删除 谢谢3二.选择填空题:(每小题3分,共30分)11、若曲线的所有密切平面经过一定点,则此曲线是___C___。
A 、 直线B 、平面曲线C 、球面曲线D 、圆柱螺线12、曲线()r r t =在P(t)点的曲率为k , 挠率为τ,则下列式子___A___不正确。
A 、2r r k r '''⨯='B 、3r r k r '''⨯=' C 、k r = D 、()()2r r r r r τ''''''='''⨯13、对于曲面的第一基本形式2222,I Edu Fdudv Gdv EG F =++-__D___。
微分几何试题及答案试题1.设曲线 C 的参数方程为x = \\cos t, y = \\sin t, z = t其中,\(0 \leq t \leq 2\pi\)。
求曲线 C 上一点 P 的切向量和法向量。
2.给定曲线 C:\(x = t^2, y = t^3\),其中 \(t\) 是参数。
求曲线 C 在点 (4, 8) 处的切线方程。
3.设平面曲线 C 的参数方程为x = \\cos t, y = \\sin t, z = t其中,\(0 \leq t \leq 2\pi\)。
求曲线 C 上一点 P 的切平面方程。
4.设曲面 S 的方程为 \(x^2 + y^2 + z^2 = 9\),点 P 的坐标为 (1, 1, -1)。
求曲面 S 上点 P 的切平面方程。
5.已知曲面 S 的方程为 \(x^2 + y^2 - 2z = 0\),点 P 的坐标为 (1, 1, 1)。
求曲面 S 上点 P 的法向量。
答案1.切向量的计算:曲线 C 上一点 P 的切向量为曲线的导数:\[ \begin{align} \frac{{d\mathbf{r}}}{{dt}} & =\frac{{dx}}{{dt}}\mathbf{i} + \frac{{dy}}{{dt}}\mathbf{j} + \frac{{dz}}{{dt}}\mathbf{k} \\ & = -\sin t \mathbf{i} + \cos t \mathbf{j} + \mathbf{k} \end{align} \]所以,曲线 C 上一点 P 的切向量为 \(-\sin t\mathbf{i} + \cos t \mathbf{j} + \mathbf{k}\)。
法向量的计算:曲线 C 上一点 P 的法向量垂直于切向量,可以选择切向量既是切线上的,也是切平面上的。
所以,曲线 C 上一点 P 的法向量为 \(-\sin t \mathbf{i} + \cos t \mathbf{j} + \mathbf{k}\)。
《微分几何》测试题(一)
一.填空题:(每小题2分,共20分)
⒈ 向量{}(),3,r t t t a =具有固定方向,则a =___t__。
⒉ 非零向量()r t 满足(
),,0r r r '''=的充要条件是以该向量为切方向的曲线为平面曲
线
⒊ 设曲线在P 点的切向量为α,主法向量为β,则过P 由,αβ确定的平面 是曲线在P 点的___密切平面__________。
⒋ 曲线()r r t =在点0()r t 的单位切向量是α,则曲线在0()r t 点的法平面方 程是__________________________。
⒌ 曲线()r r t =在t = 1点处有2γβ=,则曲线在 t = 1对应的点处其挠率 (1)τ=_ -2_____。
⒍ 主法线与固定方向垂直的曲线是__ 一般螺线_ _
⒎ 如果曲线的切向与一固定方向成固定角,则这曲线的曲率与挠率的比是___常数_________________。
⒐ 曲面(,)z z x y =在点000(,,)x y z 的法线方程是_____________________。
二.选择填空题:(每小题3分,共30分)
11、若曲线的所有密切平面经过一定点,则此曲线是___C___。
A 、 直线
B 、平面曲线
C 、球面曲线
D 、圆柱螺线
12、曲线()r r t =在P(t)点的曲率为k , 挠率为τ,则下列式子___A___不正确。
A 、2r r k r '''⨯='
B 、3r r k r '''⨯='
C 、k r =
D 、()()
2r r r r r τ''''''='''⨯ 13、对于曲面的第一基本形式2222,I Edu Fdudv Gdv EG F =++-__D___。
A 、0>
B 、0<
C 、0≤
D 、0≥。