线性代数期中考试试题+答案
- 格式:doc
- 大小:459.00 KB
- 文档页数:18
一.计算题(共50分)1.(6分)设200111313A⎡⎤⎢⎥=-⎢⎥⎢⎥-⎣⎦,计算(1)TAA,(2)T A A.2. (6分)计算行列式100 010 000 5432 xxxx+.3.(6分)计算行列式12222 22222 2232222212 2222nn-.《线性代数》课程期中考试卷学院___年级__姓名____学号____主考教师:试卷类型:(A卷)4. (6分)设1231212011311042025k A ⎡⎤⎢⎥-⎢⎥⎢⎥=⎢⎥-⎢⎥⎢⎥⎣⎦,()3R A =,求k .. 5.(6分)设123,,,,αβγγγ都是4维列向量,矩阵123,,,5,A αγγγ==矩阵123,,,2B βγγγ==-,求2A B +.6. (10分)设A,B,C,D 均为n 阶矩阵,E 为n 阶单位矩阵,A 是可逆矩阵. 如果分块矩阵110,,0E A B E A B P Q R CA E C D E --⎡⎤-⎡⎤⎡⎤===⎢⎥⎢⎥⎢⎥-⎣⎦⎣⎦⎣⎦, (1)计算PQR,(2)证明矩阵Q 可逆的充分必要条件是1D CA B --是可逆的.7(10分)已知矩阵11101123351Aa⎡⎤⎢⎥-⎢⎥=⎢⎥⎢⎥⎣⎦与矩阵11101023151Baa⎡⎤⎢⎥⎢⎥=⎢⎥⎢⎥-⎣⎦等价,确定常数a的取值范围.二. (10分)证明cos112cos1cos12cos112cosnD nααααα==.三.(15分)设A,B,C 为4阶矩阵,满足1132TA BC AB --+=,其中0100101100101101,0001111010000111B C ⎡⎤⎡⎤⎢⎥⎢⎥⎢⎥⎢⎥==⎢⎥⎢⎥⎢⎥⎢⎥⎣⎦⎣⎦, 求A .四. (20分)设1012,2,211aαβγ⎡⎤⎡⎤⎡⎤⎢⎥⎢⎥⎢⎥===⎢⎥⎢⎥⎢⎥⎢⎥⎢⎥⎢⎥-⎣⎦⎣⎦⎣⎦,若,T TA Bαββα==,求解方程22A x Bxγ=+.五.(5分) 设 []12,,,n A ααα=是n 阶矩阵,满足T A A E =且1A =,又[]12,,,Tn c c c β=满足1T n βα=,证明[]121,,,,n B αααβ-=可逆,并求B .二. 计算题(共50分)1.(6分)设200111313A ⎡⎤⎢⎥=-⎢⎥⎢⎥-⎣⎦,计算(1)T AA ,(2)T A A . 解(1)T AA =4264228210-⎡⎤⎢⎥--⎢⎥⎢⎥-⎣⎦,(2)T A A =14484228210-⎡⎤⎢⎥--⎢⎥⎢⎥-⎣⎦。
浙江大学2007-2008学年《线性代数I 》期中试卷1.设是集合,是映射。
在Y X ,Y X f →:X 中定义关系R 如下:)()(2121x f x f Rx x =⇔。
证明R 是X 中的等价关系。
证明:(1)自反性:对于x X ∀∈,显然有()()f x f x =,即xRx 。
(2)对称性:设12x Rx ,其中12,x x X ∈。
显然有21()()f x f x =,即21x Rx 。
(3)传递性:设122,3x Rx x Rx ,其中123,,x x x X ∈。
则有12()()()3f x f x f x ==,即13x Rx 。
所以R 是X 中的等价关系。
2.设映射是由2:f → 3),,(),(y x y x x y x f −+=定义。
(a ) 证明是线性映射。
f (b ) 确定是否(i)单射;(ii)满射;(iii)双射;并给出理由。
f 证明:(a )对21122(,),(,),x y x y λ∀∈∀∈ ,我们有112212121122111111((,)(,))(,)(,)(,),((,))(,)(,)f x y x y f x x y y f x y f x y f x y f x y f x y λλλλ+=++==+===(其中省略号按题设中的定义即可得) 所以是线性映射。
f (b )(i)因为,所以,即是单射;(,)(,,)0f x y x x y x y x y =+−=⇔==0ker {(0,0)}f =f (ii)因为,所以,所以不是满射; 2dim 2= 3dim Im 23dim f ≤<= f (iii)因为不是满射,所以不是双射。
f f 3.求中向量关于有序基3ℜ)1,1,1()}2,0,1(),0,1,1(),1,1,0({321==−=v v v 的坐标。
解:设其坐标为123(,,)x x x ,则有123(1,1,1)(0,1,1)(1,1,0)(1,0,2)x x x =−++,即有方程组,解之得2312131121x x x x x x +=⎧⎪+=⎨⎪−+=⎩1231,0,1x x x ===。
课程《线性代数(A ) 》・A 卷□ B 卷 任课教师 ____________一、选择题(本题20分〉1. 设A 为加XA ?矩阵,B 为EX #矩阵,C 为pxm 矩阵,m,n,p 互不相等,则下 列运算没有意义的是(D )(A)C + (AB)Z9、(B)ABC (C)(BC)‘ - A (D) BC-Ar 6 2.令 A = -2 57 的第三行元素的代数余子式分别为每,錢‘绻,则―yz 丿Al + 2人32 + 3^3 =〔 B)(A)-l(B)0(C)l (D)不确定3•设A 和B 均为n 阶矩阵,(AB『=E (E 为n 阶单位矩阵),则下列式子中必成 立的是(A )(A ) AB = B-]A-] (B ) AB = -E (C ) AB = E (D ) AB = ±E4.设A 为斤阶矩阵,B 是A 经过若干次矩阵初等变换后得到的矩阵,则有 (C )(A )|A | = |B |(B )|A |H |B |(C)若\A\ = 0,则一定有|B| = 0(D)若|A|>0,则一定有|B| > 0Q 人了衣京了悅试卷成 绩2010-2011学年第一学期考试时长:120分钟f ■闭卷】5.四阶行列式°b3b2 0h\°的值等于(D )(A) a }a 2a 3a 4 -b }b 2b 3b 4 . (B) a x a 2a 3a 4 +/?為伏乞•(C) (。
禺2 一 妙2 ) ( a 3a4 一 側4 ) • (D) (a 2a 3 - b 2b 3)(a y a 4 -)二、填空题(本题20分〉厂-8 2 -2、2.设4= 2 x -4不可逆,则兀二_______-2 -4 x ;\(() A \3.设A为分块矩阵,其中人2,人|均为可逆矩阵,则lAi ° 丿l ( 0每A = .E 0丿4.设是四维向量,已知,|人| = |%%,匕,人| = 5, 0| = |0,了2,匕,%| = 2贝iJ|A+ B\二56 ________‘0 1 1 ••• 1 P1 0 1 ••• 1 11 1 0 ••• 1 15.,2阶矩阵. ! ..,则內=(一1广匕7-1)•••••三、(10分)若力是3阶矩阵,|A| 解(3矿-2A”1.设A = (l,0,3,5)r,B = (-2,8,6,9)丁,则咼=61 , AB T< -2-6<-io824406183092745四、(10分)计算行列式D2354-57-961-1212472的值2354-57-96-12124721-121-57-96235424721-521112512263五、六、2111= -99.Q]+1(10分)计算n阶行列式a2a2d] +1-1••2•■… 色一]…0••••5•••-1■• •…(/1-1)•-1 0 … 0n+ 1 + 守+D -q-LiGT% + S -1)a n-X:的值l n4-/7斤+尹4+斗汕n-114+一7n-n\ 1 + ® +(10分)设人=…+心-431+他72)0、3,…(«-1) 0解 原关系式可化为(A-2E )B = A.由于<2 2 3 1 0 0、<1 0 0 1-4 -3、(A-2E £)= 1 -1 0 0 1 0 T 0 1 0 1-5 -3<-1 2 1 \ 0 0<0 0 1 -1 6 4丿故A-2E 是可逆的,H< 1 -4 -3、(A-2E)'1 = 1 -5 —3 .<-1 64 )/因此矩阵方程的解厂 1 -4 -3、 ‘ 4 2 3、‘3-8 -6B = (A-2E 『A =1 -5 -3 1 1 0 —2-9-6<-1 6 4 丿,一1 2 3,,-2 129(法 2:利用(A-2E|A ),求(A-2E )~l A,略)八、(10分)设方阵A 满足“―A — 2E = 0,证明矩阵A + 3E 可逆,并求其逆矩 阵。
2011级材料 学院《线性代数》期中考试试卷时间:120分钟 满分:100分一、单项选择题 (共10小题,每小题3分,共30分)1. 在下列构成5阶行列式展开式的各项中,取“-”的为 ( )(A) 5144322315a a a a a (B) 5344322511a a a a a (C) 3442155321a a a a a (D) 2544133251a a aa a2. 已知矩阵34 6 2 4 2 1 6 3 1 1 2 3- 0 21 1 1 1 1 =A ,则.)(=A r;1 )(A;2 )(B;3 )(C5 )(D3. 设四阶行列式111201110011111------=x D ,则其中x 的一次项的系数为 ( )(A) 1 (B) -1 (C) 2 (D) -24. 行列式0=nD 的一个必要条件是 ( )(A) D n 中各行元素之和等于零 (B) D n 中有一行(列)元素全为零(C) D n 中有两行(列)元素对应成比例 (D) 系数行列式为D n 的齐次线性方程组有非零解5. 设A , B 皆为n 阶方阵,且A 可逆,则下列运算一定正确的是 ( ) (A)kk kBA AB =)( (B)AA -=- (C)))((22A B A B AB-+=- (D)1**1)()(--=A A6. 设A , B 皆为n 阶方阵,则必有 ( )(A)BAAB = (B)AB B A -=- (C)BA B A +=+ (D)BA B A ⋅=⋅7. 设分块矩阵⎪⎪⎭⎫ ⎝⎛=231A AO AA ,其中的子块A 1, A 2为方阵,O 为零矩阵,若A 可逆,则 ( )(A) A 1可逆,A 2不一定可逆 (B) A 2可逆,A 1不一定可逆 (C) A 1,A 2都可逆(D) A 1,A 2都不一定可逆 8. 用初等矩阵⎪⎪⎪⎭⎫ ⎝⎛01100001左乘矩阵⎪⎪⎪⎭⎫ ⎝⎛=642113112A ,相当于对A 进行如下何种初等变换( )(A)21r r ↔ (B)32r r ↔ (C)21c c ↔ (D)32c c ↔9. 设A 为5×3矩阵,且2)(=A R ,下三角矩阵⎪⎪⎪⎪⎪⎪⎭⎫ ⎝⎛=424212347437221P ,则)(PA R 等于 ( )(A) 1 (B) 2 (C) 3 (D) 5 10. 非齐次线性方程组bx A=⨯55在以下哪种情形下有无穷多解. ( )(A)5),( ,4)(==b A A R R (B)4),( ,3)(==b A A R R (C)4),( ,4)(==b A A R R (D)5),( ,5)(==b A A R R二、填空题 (共5小题,每空3分,共15分)1. 设x 1,x 2,x 3,x 4是四次方程0234=+++c bxaxx的根,则行列式=0752340000014321x x x x ________.2. 若n 阶下三角行列式1111111111=nD)2(≥n ,则所有..元素的代数余子式之和等于_____.3. 设A , B 皆为n 阶方阵,2=A ,3=B,则=-1*3BA_____.4. 设⎪⎪⎪⎪⎪⎭⎫⎝⎛=004300002000010A ,则=-1A.5. 设⎪⎪⎪⎪⎪⎭⎫⎝⎛=n n n n n n b a b a b a b a b a b a b a b a b a212221212111A ,且02121≠n n b b b a aa ,则________)(=A R .三、计算题 (共5小题,每小题6分,共30分)1.yy x x x y y xyy x =+++x2. 设五次多项式1111111111111111111111111)(+++++=x x x x x x f ,求:①x 5的系数;②x 4的系数;③常数项.3. 设四阶矩阵⎪⎪⎪⎪⎪⎭⎫⎝⎛=1612841296386424321A ,求A 99=__________4. 设⎪⎪⎪⎭⎫ ⎝⎛--=21110001A ,⎪⎪⎪⎭⎫ ⎝⎛-=322154B ,利用矩阵的初等变换.......求矩阵X ,使得AX =B .5. 已知矩阵⎪⎪⎪⎭⎫ ⎝⎛---=k k 12115210611A 的秩等于2,求k 的值.四、证明题 (共2小题,每小题6分,共12分)1. 已知TTA ααββ=+,Tα为α的转置,Tβ为β的转置.(1)求证2≤)(A R ;(2)若,αβ线性相关,则2<)(A R .2. 设A 为n 阶矩阵,且AA =2,证明:n R R =-+)()(A E A .五、解答题 (13分)用克莱姆法则解方程组⎪⎪⎩⎪⎪⎨⎧=+++-=----=+-+=+++01123253224254321432143214321x xx x x x x x x x x x x x x x一、单项选择题 (10×3=30分) 1. (D);解:选项(A)和(B)的行标排列为标准次序,列标排列的逆序数分别为8和4(偶排列);选项(C)的行标、列标排列都不是标准次序,调整相乘元素的次序,使行标排列为标准次序,则列标排列的逆序数为6(偶排列);选项(D)的列标排列为标准次序,行标排列的逆序数分别为7(奇排列),故选项(D)正确。
线性代数期中考试试题+答案.⼀、填空题(共30分,每填对⼀空得3分)1、函数23u xy z =在点(1,1,1)P 处沿⽅向(1,2,3)有最⼤⽅向导数,最⼤⽅向导数等于.2、设arctan x y z x y -=+,则 z x ?=?22y x y+, 22z x ?=?()2222xyx y -+..3、函数(,)z z x y =由⽅程230zx y z e ++-=确定;则 z x ?=?21z x e -, z y ?=?231z y e -.4、微分⽅程d 2d y xy x=的通解为2x y ce =;0d ()d yx y x xx -=>的通解为 ln y x x cx =+..5、设函数(,)f x y 连续,(,)(,)d d Df x y xy f u v u v =+??,其中D 由直线0y =,1x =和y x =所围,则(,)d d Df u v u v =??14,(,)f x y =14xy +.⼆、单项选择题(共20分,每题4分)=+,则点=的全微分d d dz f x yO(D) .(0,0)(A) 不是(,)f x y的连续点;(B) 不是(,)f x y的极值点;(C) 是(,)f x y的极⼤值点;(D) 是(,)f x y的极⼩值点...2、设函数(,)f x y =,则 (B) .(A) (0,0)x f '存在,(0,0)y f '不存在; (B) (0,0)x f '不存在,(0,0)y f '存在; (C) (0,0)x f '和(0,0)y f '都存在; (D) (0,0)x f '和(0,0)y f '都不存在..3、设积分域D :221x y +≤,221sin()d d DI x y x y =+??,332sin()d d DI x y x y =+??,443sin()d d DI x y x y =+??,则 (B) . (A) 123I I I >>; (B) 132I I I >>; (C) 213I I I >>; (D) 231I I I >>..4、设函数()f u 连续,D ={}22(,)2x y x y y +≤,则()d d D.(A)11d ()d x f xy y -??; (B) 2002d ()d y f xy x ??;(C) 2sin 20d (sin cos )d f r r πθθθθ??; (D)2sin 2d (sin cos )d r f r r πθθθθ??..5、函数(,)f x y 在点(0,0)O 处可微的⼀个充分条件是 (D) . (A) (,)(0,0)lim(,)(0,0)x y f x y f →=;(B) 0(,0)(0,0)lim 0x f x f x →-=, 0(0,)(0,0)lim 0y f y f y→-=;(C) 0lim (,0)(0,0)x x x f x f →''= 且 0lim (0,)(0,0)y y y f y f →''=;(D) (,)(0,0)(,)(0,0)0x y f x y f →-=..三、(10分)求微分⽅程 2(34)xy y x e ''-=+ 通解.解特征⽅程 210λ-=,特征根 121,1λλ=-=;------2分对应的齐次⽅程的通解 12x xy c e c e -=+ -----5分设原⽅程的特解* 2()xy ax b e =+并代⼊原⽅程,解得: *2xy xe = -----9分原⽅程的通解: 212xxxy c e c e xe -=++ -----10分四、(10分)求曲线L:2226x y zx y z++=++=在点(1,2,1)P-处的切线和法平⾯⽅程.解对x求导,得2220 10x yy zzy z''++=?''在点(1,2,1)P-处,211y zy z''-+=-''+=-,得0y'=,1z'=-------6分切线⽅程:121101x y z-+-==------8分法平⾯⽅程:0x z-=-----10分..五、(10分)计算⼆重积分 2(3)d d DI x y x y =+??,其中D :221x y +≤.22(96)d d (9)d d DDI x y xy x y x y x y =++=+(奇偶性+对称性)-------2分2222221(9)(9)d d 5()d d 2D Dx y x y x y x y x y ??=+++=+ (轮换对称性) -------4分213055d d 2r r πθπ==?------10分.六、(10分)在曲⾯S :22221x y z ++=上求距离平⾯26x y z +-=的最近点、最远点.解点(,,)x y z 到平⾯的距离26x y z +--,---2分设 2222(,,,)(26)(21)L x y z x y z x y z λλ=+--+++-------2分.令 2224(26)402(26)202(26)20210xyz L x y z x L x y z y L x y z z L x y z λλλλ'=+--+=??'=+--+=??'=-+--+=??'=++-=? ------6分解得最近点1111(,,)222P -,最远点2111(,,)222P -- -----10分.六、(10分)在曲⾯S :22221x y z ++=上求距离平⾯∏:26x y z +-=的最近点、最远点.解令 0000(,,)P x y z S ∈, 椭球⾯S 过0P 切平⾯⽅程1000:2 1.x x y y z z ∏++=令12//∏∏,有:0002211x y z ==-, (1)⼜: 22221x y z ++=, (2)解得最近点1111(,,)222P -,最远点2111(,,)222P --.定理设0000(,,)P x y z S ∈,⽽S 为实⼆次曲⾯22222 2 A x B xy C x z Dy E y z F z +++++2 2 20,G x H y I z J ++++=若 Ax 0 + By 0 + Cz 0 + G,Bx 0 + Dy 0 + Ez 0 + H, Cx 0 + Ey 0 + Fz 0 + I ,不全为零, P 0 称为S 的寻常点. 则⼆次曲⾯S 在0000(,,)P x y z 处的切平⾯⽅程为:()()()00000000 A x x B x y xy C x z x z Dy y E y z y z +++++++()()()0000 0.F z z G x x H y y I z z J ++++++++=.七、(10分)设函数()f u 在(0,)+∞内⼆阶连续可微,(1)0f =,(1)1f '=,且z f =满⾜22220z zx y+=,求()f u .解u =,则()z xf u x u'=,222232()()z y x f u f u x u u ?'''=+?; ()z y f u y u'=,222232()()z x y f u f u y u u ?'''=+?. --4分.代⼊原⽅程并化简,得 1()()0f u f u u'''+=,即()()(())0u f u f u u f u '''''+==, ------5分从⽽ 1()u f u c '=。
线性代数考试题及答案一、单项选择题(每题2分,共10分)1. 矩阵A的行列式为0,则矩阵A是:A. 可逆的B. 不可逆的C. 正定的D. 负定的答案:B2. 若向量组\( \alpha_1, \alpha_2, \ldots, \alpha_n \)线性相关,则:A. 存在不全为0的实数k1, k2, ..., kn,使得k1\( \alpha_1 +k2\alpha_2 + \ldots + k_n\alpha_n = 0 \)B. 所有向量都为零向量C. 存在不全为0的实数k1, k2, ..., kn,使得k1\( \alpha_1 +k2\alpha_2 + \ldots + k_n\alpha_n \)是零向量D. 所有向量都为非零向量答案:A3. 矩阵A和B的乘积AB等于零矩阵,则:A. A和B都是零矩阵B. A和B中至少有一个是零矩阵C. A和B的秩之和小于A的列数D. A和B的秩之和小于B的行数答案:C4. 向量组\( \beta_1, \beta_2, \ldots, \beta_m \)可以由向量组\( \alpha_1, \alpha_2, \ldots, \alpha_n \)线性表示,则:A. m > nB. m ≤ nC. m ≥ nD. m < n答案:B5. 若矩阵A和B合同,则:A. A和B具有相同的行列式B. A和B具有相同的秩C. A和B具有相同的特征值D. A和B具有相同的迹答案:B二、填空题(每题3分,共15分)1. 若矩阵A的特征值为λ,则矩阵A^T的特征值为______。
答案:λ2. 若矩阵A可逆,则矩阵A的行列式|A|与矩阵A^-1的行列式|A^-1|满足关系|A^-1|=______。
答案:1/|A|3. 若向量组\( \alpha_1, \alpha_2 \)线性无关,则由这两个向量构成的矩阵的秩为______。
答案:24. 矩阵A的秩为r,则矩阵A的零空间的维数为______。
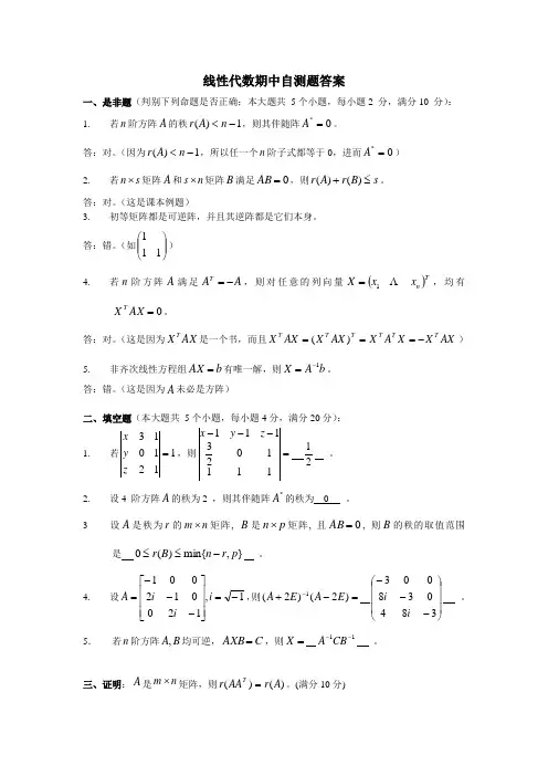
线性代数期中自测题答案一、是非题(判别下列命题是否正确;本大题共 5个小题,每小题2 分,满分10 分): 1. 若n 阶方阵A 的秩1)(-<n A r ,则其伴随阵0*=A 。
答:对。
(因为1)(-<n A r ,所以任一个n 阶子式都等于0,进而0*=A ) 2. 若s n ⨯矩阵A 和n s ⨯矩阵B 满足0=AB ,则s B r A r ≤+)()(。
答:对。
(这是课本例题)3. 初等矩阵都是可逆阵,并且其逆阵都是它们本身。
答:错。
(如⎪⎪⎭⎫⎝⎛111) 4. 若n 阶方阵A 满足A A T-=,则对任意的列向量()Tn x x X 1=,均有0=AX X T 。
答:对。
(这是因为AX X T是一个书,而且AX X X A X AX X AX X TTTTTT-===)()5. 非齐次线性方程组b AX =有唯一解,则b A X 1-=。
答:错。
(这是因为A 未必是方阵)二、填空题(本大题共 5个小题,每小题4分,满分20分):1. 若1121013=z y x ,则=---1111023111z y x 21__ 。
2. 设4 阶方阵A 的秩为2 ,则其伴随阵*A 的秩为 0 。
3 设A 是秩为r 的n m ⨯矩阵, B 是p n ⨯矩阵, 且0=AB , 则B 的秩的取值范围是 },min{)(0p r n B r -≤≤ 。
4. 设1,120012001-=⎥⎥⎥⎦⎤⎢⎢⎢⎣⎡---=i i i A ,则=-+-)2()2(1E A E A ⎪⎪⎪⎭⎫ ⎝⎛---384038003i i 。
5. 若n 阶方阵B A ,均可逆,C AXB =,则=X 11--CB A 。
三、证明:A 是n m ⨯矩阵,则)()(A r AA r T=。
(满分10分)证:)()(A r AA r T≤显然成立。
下面只需证明)()(A r AA r T≥,即)()()(TTA r m A r m AA r m -=-≤-。
2012《线性代数》期中考试试卷及答案详解一、单项选择题 (每小题4分,共20分) 1. 下列各式中,哪个是5阶行列式det (a ij )的项( B )(A) 5541342312a a a a a (B) 2451421533a a a a a (C) 4124335215a a a a a (D) 5433451122a a a a a解 根据n 阶行列式的定义,行列式的算式中,每一项都是不同行、不同列的n 个数的乘积,并且带有符号:(1) 若行标排列是标准排列,则该项的符号取决于列标排列的逆序数的奇偶性;(2) 若列标排列是标准排列,则符号取决于行标排列的逆序数的奇偶性;(3) 若行标、列标排列都不是标准排列,则符号取决于行标排列与列标排列的逆序数之和的奇偶性(或者,交换一般项中的元素,使行标成为标准排列,再根据列标排列的逆序数判断).题中每个选项都是5阶行列式不同行、不同列的5个数的乘积,因此,需进一步判断各项是否带有正确的符号.选项(A)错误。
其行标排列是标准排列,列标排列的逆序数为t (23415)=3, 故,列标排列为奇排列,(或者,由于将列标排列23415变成标准排列12345需要进行奇数次对换,也可得23415为奇排列)。
所以选项(A)缺少“-”.选项(B)正确。
其行标和列标排列都不是标准排列,方法一:行标排列和列标排列的逆序数之和t (31452)+t (35214)=4+6=10,得符号为“+”;方法二,交换相乘的元素,使行标成为标准排列,得a 15a 24a 33a 42a 51,此时列标排列54321为偶排列,故取“+”.同理,选项(C)和(D)错误,都应带“-”.2. 已知n 阶行列式D =1,将D 逆时针旋转90o ,得行列式D ~,则D ~的值为( C )(A) 1 (B) -1 (C) (-1)n (n -1)/2 (D) (-1)n /2解 将D 逆时针旋转90o ,相当于对D 先作转置(这不会改变行列式的值),再作上下翻转[即交换n (n -1)/2次相邻行的位置,每次交换都改变行列式的符号],因此,应选(C).参见“行列式的性质”布置的思考题,或者教材习题一第7题的解答.3. n 阶行列式D n =0的必要条件是( D )(A) 有一行(列)元素全为零 (B) 有两行(列)元素对应成比例 (C) 各列元素之和皆为零(D) 以D n 为系数行列式的齐次线性方程组有非零解解 选项(A)(B)(C)都是D n =0的充分条件(但不是必要条件). 只有选项(D)为充分必要条件.4. 已知A , B 均为n 阶方阵,E 是n 阶单位矩阵,则下列命题中正确的是( D ) (A) 若AB ,则A B(B) 若(A -E )(B -E )=O ,则A =E 或B =E (C) A 2-B 2=( A +B )( A -B ) (D) A 2-E =( A +E )( A -E )解 答案为(D).选项(A)错误,反例:⎪⎪⎭⎫ ⎝⎛=1001A , ⎪⎪⎭⎫⎝⎛=1112B 选项(B)错误。
浙江财经学院2011~2012学年第一学期 《 线性代数 》课程期中考试试卷 ( A 试卷)适用专业、班级:一.填空题 (每题3分)1 .若1112132122233132331a a a D a a a a a a ==则 1111121312121222331313233423423423a a a a D a a a a a a a a -=-=-12)3(4333231232221131211-=-⨯a a a a a a a a a 2. 由数码1,2,,1,2n n n + 构成的一个排列2,1,21,2,1,n n n n -+ 的逆序数是 (2n-1)+(2n-3)+…+1=n 23.11 n n i i x a aa x aD A a a x===∑ 则1)(0000001111--=--=n a x ax a x a a a x a a a a x a a a (其中11i i A D a 是中元素的代数余子式1,2,i n = )4. 若方程组123123230020x x x x x x x x x λλ++=⎧⎪+-=⎨⎪-+=⎩有非零解,则λ=-1或4 0)4)(1(1121111=-+=--λλλλ5 ()()()3 1,1,0,1,3,1,5,3,t ααα==-=12若向量组线性相关,则t =1 035131011=-t()()()3 1,2,1,1,2,0,,0, 2t ααα=-=126. 若向量组=0,-4,5,-2的秩为,则t=37.若向量组123,,ααα与向量组12ββ,等价,则向量组123, , ααα线性 相关8.若 m n ⨯矩阵A 的n 个列向量线性无关,则r(A)= n9 3,,ααα12设是某四元非齐次线性方程组的三个解向量,方程组的系数矩阵为A ,()()122330123T αααα+=+=T r(A)=3,1,0,1,,,,,,则该方程组的全部解为T T c c )0,1,1,1()23,21,0,21()(23121--+=-++αααα10.设矩阵34()ij A a ⨯=,()2r A =且则它在初等变换下的等价标准形为⎪⎪⎭⎫⎝⎛000000100001⎪⎪⎪⎭⎫ ⎝⎛--↓⎪⎪⎪⎭⎫ ⎝⎛---00030011020120151402021t t二.计算行列式(每题6分)22404135 D=31232051-----71305100461211203840553002112-----=-----= 2707135102-=----==n 111222D a an nn a++=+ a n nn a a n n a n n a n n ++++++++=2222)1(2)1(2)1( 12)1(00001112)1(2221112)1(-⎥⎦⎤⎢⎣⎡++=⎥⎦⎤⎢⎣⎡++=++⎥⎦⎤⎢⎣⎡++=n a a n n aa a n n a n n n a a n n122110000100000001nn n xx x xa a a a a x----=-+n D nn n n n n n n n n nn n n nn n n n n nn n n n n a x a x a x a x a x a x a x a x a x x a a x a x a D x a x a D x a a xD x a xD a D x ++++++=++++++=++++=++=++=+=--+-=----------------+-12322111232221133221221211112)(][)1()1()1(nn n n n nn n n n n a x a x a x a x xx x x x a xx x a x x x a x xx a +++++=---++----++---+----=----+-+122112112221100000010001)1)((1000000010001)1(1000000010000)1(1000000010001)1(三.确定向量间线性关系(每题8分)1.设向量组()()()()1231,4,0,2, 2,7,1,3, 0,1,1,, =3,10,b,4a αααβ===- 问(1)当, b a 取何值时,β不能由123,,ααα线性表示。
试卷答案及提示一、试卷一答案及提示1)(1)⎥⎥⎥⎦⎤⎢⎢⎢⎣⎡1451551111;(2)⎥⎦⎤⎢⎣⎡--11B C ;(3)1;(4)⎥⎦⎤⎢⎣⎡-80232;(5)1,2,-2 2)(1)C ;(2)B ;(3)D ;(4)D ;(5)B3)(1)22y x ;(2)⎥⎥⎥⎦⎤⎢⎢⎢⎣⎡-=121613q 4)1-≠a 时,β可唯一表示成4321,,,αααα的线性组合,这时43210111212ααααβ⋅+++++++-=a a a a 5)0=+y x 。
提示:12,1=λ,要使A 可对角化必须1)(=-I A r ,求得0=+y x 。
6)(1)无解。
因为0))()()()()((111134241423131234244332333222231211≠------=a a a a a a a a a a a a a a a a a a a a a a a a ,故)()(A r b A r ≠ 。
(2)2)(=A r ,3=n ,1)(dim =A N ,故通解)(,111202)(112R t t t x ∈⎥⎥⎥⎦⎤⎢⎢⎢⎣⎡-+⎥⎥⎥⎦⎤⎢⎢⎢⎣⎡-=+-=ξξξ7)(1)2=a 。
提示:321λλλ=A ,即10521303002=••=a a 。
(2)⎥⎥⎥⎥⎥⎥⎦⎤⎢⎢⎢⎢⎢⎢⎣⎡-=2102121021010Q(3)q 为正定二次型,因为特征值全大于零。
8)提示:取j i e y e x ==,,由0=Ay x T 可求得),,2,1,,,2,1(0n j n i a ij ⋅⋅⋅=⋅⋅⋅==。
二、试卷二答案及提示1) (1)I ;(2)0;(3)63;(4)a =2,b =-1;(5)0 2)(1)C; (2)C; (3)B; (4)C; (5)D3)01≠≠b a 且时,方程组有唯一解;0=b 时,方程组无解;211≠=b a 且时,方程组无解;211=且b a =时,方程组有无穷多解,解为⎥⎥⎥⎦⎤⎢⎢⎢⎣⎡+⎥⎥⎥⎦⎤⎢⎢⎢⎣⎡-=222101t x ,()R t ∈。
线性代数考试题及答案一、选择题(每题2分,共20分)1. 向量空间中,向量组的线性相关性指的是:A. 向量组中的向量可以相互表示B. 向量组中存在非零向量可以表示为其他向量的线性组合C. 向量组中的向量线性无关D. 向量组中的向量可以线性独立答案:B2. 矩阵A的秩是指:A. A的行向量组的极大线性无关组所含向量个数B. A的列向量组的极大线性无关组所含向量个数C. A的行数D. A的列数答案:B3. 对于矩阵A,若存在矩阵B,使得AB=BA=I,则B是A的:A. 逆矩阵B. 伴随矩阵C. 转置矩阵D. 正交矩阵答案:A4. 线性变换的特征值是指:A. 变换后向量的长度B. 变换后向量的方向C. 变换后向量与原向量的比值D. 变换后向量与原向量的夹角答案:C5. 一个矩阵的特征多项式是:A. 矩阵的行列式B. 矩阵的逆矩阵C. 矩阵的伴随矩阵D. 矩阵的迹答案:A6. 线性方程组有唯一解的条件是:A. 系数矩阵的秩等于增广矩阵的秩B. 系数矩阵的秩小于增广矩阵的秩C. 系数矩阵的秩大于增广矩阵的秩D. 系数矩阵的行列式不为零答案:D7. 矩阵的迹是:A. 矩阵的对角线元素之和B. 矩阵的行列式C. 矩阵的逆矩阵D. 矩阵的伴随矩阵答案:A8. 矩阵的伴随矩阵是:A. 矩阵的转置矩阵B. 矩阵的逆矩阵C. 矩阵的对角线元素的乘积D. 矩阵的行列式答案:B9. 向量空间的基是指:A. 向量空间中的一组向量B. 向量空间中线性无关的一组向量C. 向量空间中线性相关的一组向量D. 向量空间中任意一组向量答案:B10. 矩阵的转置是:A. 矩阵的行列互换B. 矩阵的行列互换C. 矩阵的行向量变成列向量D. 矩阵的列向量变成行向量答案:A二、填空题(每空2分,共20分)1. 一个向量空间的维数是指该空间的_________。
答案:基的向量个数2. 矩阵A的行列式表示为_________。
答案:det(A)3. 线性变换的矩阵表示是_________。
线性代数期中考试试卷一、判断下列各题是否正确1. 若A 、B 是同阶方阵,则(A +B )2 =A +2AB +B 2。
( × ) 2. 矩阵A 、B 的积AB =0,则A =0或B =0。
( × ) 3. 设n 阶方阵A 、B 、C 满足关系式ABC =E ,则BCA =E 。
( √ ) 4. 设A 为一任意矩阵,则A +A T ,AA T 均为对称矩阵。
( √ ) 5. 设对矩阵A 施行初等变换得到矩阵B ,且已知秩(A )=r ,秩(B )=s ,则r = s 。
( √ )二、选择题(单选,括号中填所选项前的字母)1.若方程组⎪⎩⎪⎨⎧=+=+-=++020209873232321x t x x x x x x 存在非零解,则常数t = [ D ]。
(A ) 2 (B ) 4 (C ) -2 (D ) -42.设有n 阶方阵A 与B 等价,则 [ C ]。
(A) | A | = | B | (B) | A | ≠ | B | (C) 若| A |≠0,则必有| B |≠0 (D) | A | = -| B | 3.若A 为n 阶可逆矩阵,下列各式正确的是 [ D ]。
(A )(2A )-1= 2 A -1(B) |2A | = 2 | A | (C) ()AA A11*--= (D) (A -1 )T = ( A T )-1 4.设6115210112344321--=A ,则4A 41+3A 42+2A 43+A 44 = [ A ] (A) 0 (B) 1 (C) 2 (D) 3 5.已知可逆方阵⎥⎦⎤⎢⎣⎡--=-21731A,则A = [ B ]。
(A )⎥⎦⎤⎢⎣⎡--3172 (B )⎥⎦⎤⎢⎣⎡3172 (C )⎥⎦⎤⎢⎣⎡--2173 (D )⎥⎦⎤⎢⎣⎡--2173 6.设矩阵A 、B 、C 满足AB =AC ,则B =C 成立的一个充分条件是 [ C ]。
. .word 资料. ..一、填空题(共30分,每填对一空得3分)1、函数23u xy z =在点(1,1,1)P 处沿方向(1,2,3)有最大方向导数,最大方向导数等于.2、设arctan x y z x y -=+,则 z x ∂=∂22y x y+,. .word 资料. ..22z x ∂=∂()2222xyx y -+.3、函数(,)z z x y =由方程230zx y z e ++-=确定;则 z x ∂=∂21z x e -, z y ∂=∂231z y e -.. .word 资料. ..4、微分方程d 2d y xy x=的通解为2x y ce =;0d ()d yx y x xx -=>的通解为 ln y x x cx =+.5、设函数(,)f x y 连续,(,)(,)d d Df x y xy f u v u v =+⎰⎰,其中D 由直线0y =,1x =和y x =所围,则(,)d d Df u v u v =⎰⎰14,(,)f x y =14xy +.. .word 资料. ..二、单项选择题(共20分,每题4分) 1、设函数(,)z f x y =的全微分d d d z x x y y =+,则点. .word 资料. ..(0,0)O (D) .(A) 不是(,)f x y 的连续点; (B) 不是(,)f x y 的极值点;(C) 是(,)f x y 的极大值点; (D) 是(,)f x y 的极小值点.2、设函数(,)f x y =,则 (B) .(A) (0,0)x f '存在,(0,0)y f '不存在;. .word 资料. ..(B) (0,0)x f '不存在,(0,0)y f '存在; (C) (0,0)x f '和(0,0)y f '都存在; (D) (0,0)x f '和(0,0)y f '都不存在.3、设积分域D :221x y +≤,221sin()d d DI x y x y =+⎰⎰,. .word 资料. ..332sin()d d DI x y x y =+⎰⎰,443sin()d d DI x y x y =+⎰⎰,则 (B) . (A) 123I I I >>; (B) 132I I I >>; (C) 213I I I >>; (D) 231I I I >>.4、设函数()f u 连续,D ={}22(,)2x y x y y +≤,则. .word 资料. ..()d d Df xy x y ⎰⎰等于 (D) .(A)11d ()d x f xy y -⎰⎰;(B) 2002d ()d y f xy x ⎰⎰;(C) 2sin 20d (sin cos )d f r r πθθθθ⎰⎰; (D)2sin 2d (sin cos )d r f r r πθθθθ⋅⎰⎰.5、函数(,)f x y 在点(0,0)O 处可微的一个充分条件. .word 资料. ..是 (D) . (A)(,)(0,0)lim(,)(0,0)x y f x y f →=;(B) 0(,0)(0,0)lim 0x f x f x →-=, 0(0,)(0,0)lim 0y f y f y→-=;(C) 0lim (,0)(0,0)x x x f x f →''= 且 0lim (0,)(0,0)y y y f y f →''=;(D) (,)(0,0)(,)(0,0)lim0x y f x y f →-=.三、(10分)求微分方程 2(34)xy y x e ''-=+ 通解.. .word 资料. ..解 特征方程 210λ-=,特征根 121,1λλ=-=;------2分对应的齐次方程的通解 12x xy c e c e -=+ -----5分 设原方程的特解*2()xy ax b e =+并代入原方程,解得: *2xy xe = -----9分 原方程的通解: 212x x xy c e c e xe -=++ -----10分四、(10分)求曲线L :22260x y z x y z ⎧++=⎨++=⎩ 在点(1,2,1)P -处的切线和法平面方程.. .word 资料. .. 解 对x 求导,得 222010x yy zz y z ''++=⎧⎨''++=⎩ 在点(1,2,1)P -处,211y z y z ''-+=-⎧⎨''+=-⎩,得 0y '=,1z '=- ------6分切线方程: 121101x y z -+-==- -----8分 法平面方程: 0x z -= -----10分五、(10分)计算二重积分 2(3)d d D I x y x y =+⎰⎰,其中D :221x y +≤.. .word 资料. .. 解 2222(96)d d (9)d d D D I x y xy x y x y x y =++=+⎰⎰⎰⎰(奇偶性+对称性)-------2分2222221(9)(9)d d 5()d d 2D Dx y x y x y x y x y ⎡⎤=+++=+⎣⎦⎰⎰⎰⎰ (轮换对称性) -------4分2130055d d 2r r πθπ==⎰⎰ ------10分 六、(10分)在曲面S :22221x y z ++=上求距离平面26x y z +-=的最近点、最远点.. .word 资料. ..解 点(,,)x y z 到平面的距离26x y z +--,---2分 设 2222(,,,)(26)(21)L x y z x y z x y z λλ=+--+++-------2分令 2224(26)402(26)202(26)20210x y z L x y z x L x y z y L x y z z L x y z λλλλ'=+--+=⎧⎪'=+--+=⎪⎨'=-+--+=⎪⎪'=++-=⎩ ------6分 解得 最近点1111(,,)222P -,最远点2111(,,)222P --. .word 资料. .. -----10分六、(10分)在曲面S :22221x y z ++=上求距离平面∏:26x y z +-=的最近点、最远点.解令 0000(,,)P x y z S ∈, 椭球面S 过0P 切平面方程. .word 资料. .. 1000:2 1.x x y y z z ∏++=令12//∏∏,有: 0002211x y z ==-, (1) 又: 22200021x y z ++=, (2) 解得最近点1111(,,)222P -,最远点2111(,,)222P --定理 设0000(,,)P x y z S ∈,而S 为实二次曲面22222 2 A x B xy C x z Dy E y z F z +++++2 2 20,G x H y I z J ++++=. .word 资料. .. 若 Ax 0 + By 0 + Cz 0 + G,Bx 0 + Dy 0 + Ez 0 + H,Cx 0 + Ey 0 + Fz 0 + I ,不全为零, P 0 称为S 的寻常点. 则二次曲面S 在0000(,,)P x y z 处的切平面方程为:()()()00000000 A x x B x y xy C x z x z Dy y E y z y z +++++++()()()0000 0.F z z G x x H y y I z z J ++++++++=七、(10分)设函数()f u 在(0,)+∞二阶连续可微,(1)0f =,(1)1f '=,且z f =. .word 资料. .. 满足22220z z x y ∂∂+=∂∂,求()f u . 解u =,则 ()z x f u x u∂'=∂,222232()()z y x f u f u x u u ∂'''=+∂; ()z y f u y u∂'=∂,222232()()z x y f u f u y u u ∂'''=+∂. --4分 代入原方程并化简,得 1()()0f u f u u'''+=,即 ()()(())0u f u f u u f u '''''+==, ------5分. .word 资料. .. 从而 1()u f u c '=。
由(1)1f '=,得11c =,故:1()f u u'=。
2()ln f u u c =+,再由(1)0f =,得20c =,所以 ()ln f u u =. ------10分。