量子力学导论习题答案(曾谨言)
- 格式:doc
- 大小:484.00 KB
- 文档页数:11
曾谨言量子力学练习题答案曾谨言量子力学练习题答案量子力学是现代物理学的重要分支之一,其研究对象是微观粒子的行为规律。
曾谨言是一位著名的物理学家,他在量子力学领域有着杰出的贡献。
在学习量子力学的过程中,我们常常会遇到一些练习题,以下是曾谨言量子力学练习题的答案。
1. 问题:在双缝干涉实验中,光子通过两个狭缝后,在屏幕上形成干涉条纹。
如果将其中一个狭缝完全堵住,干涉条纹会发生什么变化?答案:当一个狭缝被堵住时,干涉条纹会消失,屏幕上只会出现一个单缝的衍射图样。
这是因为双缝干涉实验中,光子通过两个狭缝后会形成波的叠加,产生干涉现象。
而当一个狭缝被堵住时,只有一个光子通过,无法产生干涉。
2. 问题:在量子力学中,什么是波函数?答案:波函数是量子力学中描述微观粒子状态的数学函数。
它可以用来计算粒子在空间中的位置、动量等物理量的概率分布。
波函数的平方模的积分表示了粒子在某一位置的概率密度。
3. 问题:什么是量子纠缠?答案:量子纠缠是量子力学中一种特殊的现象,当两个或多个粒子发生相互作用后,它们的状态将无法被单独描述,而是成为一个整体系统的状态。
即使这些粒子之间距离很远,它们的状态仍然是相互关联的。
这种关联关系在量子通信和量子计算中有着重要的应用。
4. 问题:什么是量子隧穿?答案:量子隧穿是指微观粒子在经典力学中无法通过的势垒或势阱,在量子力学中却有一定概率穿越的现象。
这是由于量子力学中粒子的波粒二象性,粒子具有波动性质,可以在势垒或势阱的两侧存在一定的概率分布。
5. 问题:什么是量子比特?答案:量子比特,简称量子位或qubit,是量子计算中的基本单位。
与经典计算中的比特不同,量子比特可以同时处于多个状态的叠加态,这种叠加态可以通过量子门操作进行处理和控制,从而实现量子计算的优势。
以上是曾谨言量子力学练习题的答案。
量子力学作为一门复杂而又精密的学科,需要我们通过理论和练习来加深对其原理和应用的理解。
希望这些答案能够帮助大家更好地掌握量子力学的知识,并在学习和研究中取得更进一步的突破。
曾谨言量子力学练习题答案量子力学是物理学中描述微观粒子行为的一门基础理论,它在20世纪初由普朗克、爱因斯坦、波尔、薛定谔、海森堡等科学家共同发展起来。
曾谨言教授的量子力学练习题是帮助学生深入理解量子力学概念和计算方法的重要工具。
以下是一些练习题及其答案的示例:练习题1:波函数的归一化某粒子的波函数为 \( \psi(x) = A \sin(kx) \),其中 \( A \) 和\( k \) 是常数。
求波函数的归一化常数 \( A \)。
答案:波函数的归一化条件为 \( \int |\psi(x)|^2 dx = 1 \)。
将\( \psi(x) \) 代入归一化条件中,得到:\[ \int |A \sin(kx)|^2 dx = 1 \]\[ A^2 \int \sin^2(kx) dx = 1 \]利用三角恒等式 \( \sin^2(kx) = \frac{1 - \cos(2kx)}{2} \),积分变为:\[ A^2 \int \frac{1 - \cos(2kx)}{2} dx = 1 \]\[ A^2 \left[ \frac{x}{2} - \frac{\sin(2kx)}{4k} \right] = 1 \]由于波函数在 \( x = 0 \) 到 \( x = \frac{\pi}{k} \) 之间归一化,所以:\[ A^2 \left[ \frac{\pi}{2k} - 0 \right] = 1 \]\[ A = \sqrt{\frac{2k}{\pi}} \]练习题2:薛定谔方程的解考虑一个一维无限深势阱,其势能 \( V(x) = 0 \) 当 \( 0 < x < a \),\( V(x) = \infty \) 其他情况下。
求粒子的能级。
答案:在无限深势阱中,薛定谔方程为:\[ -\frac{\hbar^2}{2m} \frac{d^2\psi(x)}{dx^2} = E\psi(x) \]设 \( \psi(x) = \sin(kx) \),其中 \( k = \frac{n\pi}{a} \),\( n \) 为正整数。
第一章 量子力学的诞生1.1设质量为m 的粒子在一维无限深势阱中运动, ⎩⎨⎧<<><∞=ax ax x x V 0,0,0,)(试用de Broglie 的驻波条件,求粒子能量的可能取值。
解:据驻波条件,有 ),3,2,1(2=⋅=n n a λn a /2=∴λ (1)又据de Broglie 关系 λ/h p = (2) 而能量(),3,2,12422/2/2222222222==⋅===n ma n a m n h m m p E πλ (3)1.2设粒子限制在长、宽、高分别为c b a ,,的箱内运动,试用量子化条件求粒子能量的可能取值。
解:除了与箱壁碰撞外,粒子在箱内作自由运动。
假设粒子与箱壁碰撞不引起内部激发,则碰撞为弹性碰撞。
动量大小不改变,仅方向反向。
选箱的长、宽、高三个方向为z y x ,,轴方向,把粒子沿z y x ,,轴三个方向的运动分开处理。
利用量子化条件,对于x 方向,有()⎰==⋅ ,3,2,1,x x xn h n dx p即 h n a p x x =⋅2 (a 2:一来一回为一个周期)a h n p x x 2/=∴,同理可得, b h n p y y 2/=, c h n p z z 2/=,,3,2,1,,=z y x n n n粒子能量 ⎪⎪⎭⎫ ⎝⎛++=++=222222222222)(21c n b n a n mp p p m E z y x z y x n n n zy x π ,3,2,1,,=z y x n n n1.3设质量为m 的粒子在谐振子势2221)(x m x V ω=中运动,用量子化条件求粒子能量E 的可能取值。
提示:利用 )]([2,,2,1,x V E m p n nh x d p -===⋅⎰)(x V解:能量为E 的粒子在谐振子势中的活动范围为 a x ≤ (1) 其中a 由下式决定:221()2x a E V x m a ω===。
第六章 中心力场6.1) 利用6.1.3节中式(17)、(18),证明下列关系式相对动量 ()21121p m p m M r p-==∙μ (1) 总动量 21p p R M P+==∙ (2)总轨迹角动量p r P R p r p r L L L⨯+⨯=⨯+⨯=+=221121 (3)总动能 μ222222222121M P m p m p T +=+= (4)反之,有 ,11r m R rμ+= r m R r22μ-= (5) p P m p +=21μ,p P m p -=12μ(6)以上各式中,()212121 ,m m m m m m M +=+=μ证: 212211m m r m r m ++=, (17) 21r r r -=, (18)相对动量 ()21122121211p m p m M r r m m m m r p-=⎪⎪⎭⎫ ⎝⎛-+==∙∙∙μ (1’) 总动量 ()2121221121p p m m r m r m m m R M P+=+++==∙∙∙ (2’)总轨迹角动量 221121p r p r L L L⨯+⨯=+=)5(2211p r m uR p r m u R ⨯⎪⎪⎭⎫⎝⎛-+⨯⎪⎪⎭⎫ ⎝⎛+= ()()2112211p m p m Mr p p R -⨯++⨯= )2)(1(⨯+⨯=由(17)、(18)可解出21,r r,即(5)式;由(1’)(2’)可解出(6)。
总动能()22112262221212222m p P m m p P m m p m p T ⎪⎪⎭⎫⎝⎛-+⎪⎪⎭⎫ ⎝⎛+=+=μμ2122222122112222122222m m pP u m p m m u m m p P u m p m m u⋅-++⋅++=()()⎪⎪⎭⎫⎝⎛+++++=2122221222211112122m m p P m m m P m m m μ2222M P += (4’) [从(17),(18)式可解出(5)式;从(1),(2)式可解出(6)式].6.2) 同上题,求坐标表象中p 、和的算术表示式r i ∇-= R i ∇-= ,p r P R L⨯+⨯=解: ()()211221121r r m m Mi p m p m M p ∇-∇-=-=(1) 其中 1111z y x r ∂∂+∂∂+∂∂=∇, 而x X M m x x x X x X x ∂∂+∂∂=∂∂∂∂+∂∂∂∂=∂∂1111, 同理,y Y M m y ∂∂+∂∂=∂∂11zZ M m z ∂∂+∂∂=∂∂11; (利用上题(17)(18)式。
曾谨言量子力学第五版答案【篇一:量子力学第四版卷一 (曾谨言著)习题答案】量子力学的诞生1m?2x2中运动,用量子化条件求粒子能量e的可能取值。
2p?2m[e?v(x)]v()n?1,2,?,解:能量为e的粒子在谐振子势中的活动范围为 x?a(1)其中a 由下式决定:e?v(x)x?a?由此得a?1m?2a2。
?a 0 a x 22e/m?2 ,(2)x??a即为粒子运动的转折点。
有量子化条件p?得a?2a2?nh代入( enx,y,z轴三个xxx即 px?2a?nxh(2a:一来一回为一个周期)pxnxh/2a,同理可得, py?nyh/2b, pz?nzh/2c,nx,ny,nz?1,2,3,?粒子能量enxnynz1?2?2222?(px?py?pz)?2m2m222??nxnyn?? ?2?z22??abc??nx,ny,nz?1,2,3,?1.3设一个平面转子的转动惯量为i,求能量的可能取值。
提示:利用2?2p?d??nh,n?1,2,?, p?是平面转子的角动量。
转子的能量e?p?/2i。
解:平面转子的转角(角位移)记为?。
它的角动量p??i?(广义动量),p?是运动惯量。
按量子化条件 .2?p?dx?2?p?mh,m1,2,3,因而平面转子的能量p??mh,2em?p?/2i?m2?2/2i,m?1,2,3,?1.4有一带电荷e质量m的粒子在平面内运动,b,求粒子能量允许值.,设圆半径是r,线速度是v,用高斯制单bevc又利用量子化条件,令电荷角动量转角2?pdq??mrvd??2?mrv?nh (2)12be?nmv? 22mc即 mrv?nh(3) 由(1)(2)求得电荷动能=再求运动电荷在磁场中的磁势能,按电磁学通电导体在磁场中的势能 v磁矩*场强电流*线圈面积*场强ev*?r2*b=,v是电荷的旋转频率, v?,代入前式得2?rcccbe?n(符号是正的) 2mcbe?n点电荷的总能量=动能+磁势能=e= ( n?1,2,3)2mc运动电荷的磁势能=1.5,1.6未找到答案1.7(1)试用fermat最小光程原理导出光的折射定律nsin??nsin?112(2)光的波动论的拥护者曾向光的微粒论者提出下述非难:如认为光是粒子,则其运动遵守最小作用量原理射定律0这将导得下述折nsin??nsin?1331媒质到另一种媒质e仍不变,仍有?e是粒子能量,从一种?pdl?0a到定点b的i?n设ai?n1122又ab沿界面的投影c也是常数,因而,?12存在约束条件:atg?1?btg?2?c(2)求(1)的变分,而将,12看作能独立变化的,有以下极值条件in1asec1tg1d1n2bsec2tg2d20 (3)再求(2)的变分asec22bsec1d12d2c0(3)与(4)消去d和d?1222得nsin??nsin?1(5)[乙法]见同一图,取x为变分参数,取0为原点,则有: i?n1a2?x2?n2b2?(c?x2)求此式变分,令之为零,有: ?i?x?x1a?x22(c?x)?x2(cx)22这个式子从图中几何关系得知,就是(5).(2)按前述论点光若看作微粒则粒子速度v应等于光波的群速度 vg光程原理作?,依前题相速vpc2v,而vgc2gvcn,n是折射率,n是波前阵面更引起的,vp,这样最小作用p量原理仍可以化成最小光程原理.ndl?0前一非难是将光子的传播速度v看作相速度vp的误解.1.8对高速运动的粒子(静质量m)(3).计算速度并证明它大于光速.(解)根据(3)式来组成哈氏正则方程式组:qih,本题中iqiv,p?p,因而im2c4?c2p2?v??pc2pmc?cp2422(4)从前式解出p(用v表示)即得到(2).又若将(2)代入(3),就可得到(1)式. 其次求粒子速度v和它的物质波的群速度vg间的关系.运用德氏的假设: p??k于(3)式右方, 又用e于(3)式左方,遍除h:m2c422ck??(k) 2按照波包理论,波包群速度vg是角频率丢波数的一阶导数:vg?k=m2c422ck 2c2kmc22ck224c2pmc?cp2422最后一式按照(4)式等于粒子速度v,因而又按一般的波动理论,波的相速度vgv。
第四章 力学量用算符表达与表象变换 4.1)设A 与B 为厄米算符,则()BA AB +21和()BA AB i-21也是厄米算符。
由此证明,任何一个算符F 均可分解为-++=iF F F ,+F 与-F 均为厄米算符,且()()+++-=+=F F iF F F F 21 ,21 证:ⅰ)()()()()BA AB AB BA B A A B BA AB +=+=+=⎥⎦⎤⎢⎣⎡++++++21212121()BA AB +∴21为厄米算符。
ⅱ)()()()()BA AB i AB BA i B A A B i BA AB i -=--=--=⎥⎦⎤⎢⎣⎡-+++++21212121()BA AB i-∴21也为厄米算符。
ⅲ)令AB F =,则()BA A B AB F ===++++,且定义 ()()+++-=+=F F iF F F F 21 ,21 (1) 由ⅰ),ⅱ)得-+-+++==F F F F ,,即+F 和-F 皆为厄米算符。
则由(1)式,不难解得 -++=iF F F4.2)设),(p x F 是p x ,的整函数,证明[][]F ,F,,pi F x x i F p ∂∂=∂∂-=整函数是指),(p x F 可以展开成∑∞==,),(n m n m mnp x Cp x F 。
证: (1)先证[][]11, ,,--=-=n n m mp ni p x xmi xp 。
[][][][][][][][]()()[]()111111331332312221111,1,3,,2,,,,,------------------=---=+--==+-=++-=++-=+=m m m m m m m m m m m m m m m m m mx m i x i x i m xxp x i m x x p x i x x p x x p x x i x x p x x p x x i xx p x p x x p同理,[][][][][][]1221222111,2,,,,,--------==+=++=+=n n n n n n n n np ni ppx pi p p x p p x p p i pp x p x p p x现在,[][]()∑∑∑∞=-∞=∞=-==⎥⎦⎤⎢⎣⎡=0,1,0,,,,n m nm mnn m n m mn n m n m mn px m i C p x p C p x C p F p而 ()∑∞=--=∂∂-0,1n m n m mn p x mi C x Fi 。
曾谨言量子力学练习题答案曾谨言量子力学练习题答案量子力学作为现代物理学的重要分支,是研究微观世界的基本理论。
在学习量子力学的过程中,练习题是不可或缺的一部分。
本文将为大家提供一些曾谨言量子力学练习题的答案,希望能对大家的学习有所帮助。
1. 考虑一个自旋1/2的粒子,其自旋矢量可以表示为:S = (h/2π) * σ其中,h为普朗克常数,σ为泡利矩阵。
对于自旋1/2的粒子,其泡利矩阵可以表示为:σx = |0 1||1 0|σy = |0 -i||i 0|σz = |1 0||0 -1|其中,i为虚数单位。
根据这些泡利矩阵,我们可以计算自旋矢量在不同方向上的期望值。
2. 对于一个自旋1/2的粒子,其自旋矢量的模长可以表示为:|S| = √(S·S)其中,S·S表示自旋矢量的内积。
根据泡利矩阵的定义,可以计算出自旋矢量在不同方向上的内积。
3. 考虑一个自旋1/2的粒子,其自旋矩阵可以表示为:J = (h/2π) * σ其中,h为普朗克常数,σ为泡利矩阵。
对于自旋1/2的粒子,其泡利矩阵可以表示为:σx = |0 1||1 0|σy = |0 -i||i 0|σz = |1 0||0 -1|根据这些泡利矩阵,我们可以计算自旋矩阵在不同方向上的期望值。
4. 对于一个自旋1/2的粒子,其自旋矩阵的模长可以表示为:|J| = √(J·J)其中,J·J表示自旋矩阵的内积。
根据泡利矩阵的定义,可以计算出自旋矩阵在不同方向上的内积。
5. 考虑一个自旋1/2的粒子,其自旋算符可以表示为:S = (h/2π) * σ其中,h为普朗克常数,σ为泡利矩阵。
对于自旋1/2的粒子,其泡利矩阵可以表示为:σx = |0 1||1 0|σy = |0 -i||i 0|σz = |1 0||0 -1|根据这些泡利矩阵,我们可以计算自旋算符在不同方向上的期望值。
6. 对于一个自旋1/2的粒子,其自旋算符的模长可以表示为:|S| = √(S·S)其中,S·S表示自旋算符的内积。
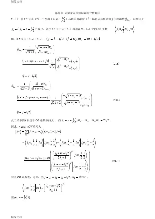
第九章 力学量本征值问题的代数解法9—1) 在8.2节式(21)中给出了自旋(21)与轨迹角动量(l )耦合成总角动量j 的波函数j ljm φ,这相当于21,21===s j l j 的耦合。
试由8.2节中式(21)写出表9.1(a )中的CG 系数jm m m j 21121解:8.2节式(21a )(21b ):()21),0( 21+=≠-=m ml l j jjljm φ⎪⎪⎭⎫ ⎝⎛-+++=+11121lm lm Y m l Y m l l ()⎪⎪⎪⎭⎫⎝⎛-++---+=+=21,2121,212121,21j j m j j m j j Y m j Y m j j m j m l j (21a )()21-=j ljljm φ⎪⎪⎭⎫⎝⎛++---=+11121lm lm Y m l Y m l l ()⎪⎪⎪⎭⎫⎝⎛+++--+++-++=≠-=21,2121,211122121),0( 21j j m j j m j j Y m j Y m j j m j m l l j (21b )()21++j l此二式中的l 相当于CG 系数中的1j ,而212==s j ,21,~,,~21±=m m m m j 。
因此,(21a )式可重写为jm ∑=222112211m jm m j m jm j m j212121212121212111111111--+=m j jm m j m j jm m j ⎪⎪⎪⎪⎪⎪⎭⎫⎝⎛-⎪⎪⎭⎫ ⎝⎛++-⎪⎪⎭⎫ ⎝⎛++++=+=212112212121122111211111211121121),21(m j j m j m j j m j j l j a (21a ’) 对照CG 系数表,可知:当21121+=+=j j j j ,212=m时 ,21111112212121⎪⎪⎭⎫ ⎝⎛++=+j m j jm m j 而212-=m 时,21111112212121⎪⎪⎭⎫ ⎝⎛+-=-+j m j jm m j 对于21211-=-=j l j 的(21b )式,有21111111221,212121⎪⎪⎭⎫ ⎝⎛+--=-+j m j m j m j21111111221,212121⎪⎪⎭⎫ ⎝⎛++=--+j m j m j m j9-2)设两个全同粒子角动量21j j j ==,耦合成总角动量J ,JMj2ψ()()21212121jm jm m m JM m j jm ψψ∑=(1)利用CG 系数的对称性,证明()JMjJj JM j p 22212ψψ--=由此证明,无论是Bose 子或Fermi 子,J 都必须取偶数证:由式(1),JM j p 212ψ()()12212121jm jm m m JM jm jm ψψ∑=把21m m ↔, ()()12122112jm jm m m JM jm jm ψψ∑=利用CG 系数的对称性 ()()()21212112212jm jm m m Jj JM m j m j ψψ∑--=()JMjJj 22ψ--= (2)对于Fermi 子,=j 半奇数,=j 2奇数,但要求ψψ-=12p , 即要求()12-=--Jj ,所以J 必须为偶数。
量子力学曾谨言练习题答案量子力学是一门研究微观粒子行为的物理学分支,它与经典力学有着根本的不同。
曾谨言教授的《量子力学》教材是许多学生和学者学习量子力学的重要参考书籍。
以下是一些量子力学练习题的答案,供参考:1. 波函数的归一化条件:波函数的归一化条件是为了保证概率的守恒。
一个归一化的波函数满足以下条件:\[ \int |\psi(x)|^2 dx = 1 \]这意味着粒子在空间中任意位置出现的概率之和等于1。
2. 薛定谔方程:薛定谔方程是量子力学中描述粒子波函数随时间演化的基本方程。
对于一个非相对论性的单粒子系统,薛定谔方程可以写为:\[ i\hbar \frac{\partial \psi}{\partial t} = -\frac{\hbar^2}{2m}\nabla^2 \psi + V\psi \]其中,\( \hbar \) 是约化普朗克常数,\( m \) 是粒子质量,\( V \) 是势能,\( \nabla^2 \) 是拉普拉斯算子。
3. 不确定性原理:海森堡不确定性原理表明,粒子的位置和动量不能同时被精确测量。
其数学表达式为:\[ \Delta x \cdot \Delta p \geq \frac{\hbar}{2} \]这里,\( \Delta x \) 和 \( \Delta p \) 分别是位置和动量的不确定性。
4. 氢原子的能级:氢原子的能级是量子化的,并且可以用以下公式表示:\[ E_n = -\frac{13.6 \text{ eV}}{n^2} \]其中,\( n \) 是主量子数,\( E_n \) 是对应于 \( n \) 能级的能级能量。
5. 泡利不相容原理:泡利不相容原理指出,一个原子中的两个电子不能具有完全相同的四个量子数。
这意味着在同一个原子中,没有两个电子可以同时具有相同的主量子数、角量子数、磁量子数和自旋量子数。
6. 量子隧道效应:量子隧道效应是指粒子在经典力学中不可能穿越的势垒下,由于量子效应,粒子有一定的概率穿越势垒。
第十章 定态问题的常用近似方法10-1) 设非简谐振子的Hamilton 量表为'0H H H +=222220212x u dx d u H ω+-= 3'x H β=(β为实常数)用微扰论求其能量本征值(准到二级近似)和本征函数(准到一级近似)。
解:已知)0()0(0n n n E H ψψ=,()x H e N n x n n αψα2)0(22-=,()ω 21)0(+=n E n ,ωαu =()[]11121+-++=n n n n n x x ψψαψ ()()()()()[]22222112121+-++++++=n n n n n n n n n x x ψψψαψ()()()()()()()[]311333321113321221++--++++++++--=n n n n n n n n n n n n n n n x x ψψψψαψ计算一级微扰:n n n H E ψψ')1(=03==n n x ψψβ。
(也可由()⎰+∞∞-⋅==dx x x H En nn n32')1(βψ0=(奇)直接得出)计算二级微扰,只有下列四个矩阵元不为0:()()',33332122n n n n H n n n x --=--=αβψβψ',1331322n n n n H n n x --=⋅=αβψβψ ()',133111322n n n n H n n x ++=++⋅=αβψβψ ()()()',333332122n n n n H n n n x ++=+++⋅=αβψβψ计算2'knH:()()622',3821αβ--=-n n n Hnn6232',19αβn H n n =- 6232',189αβn H nn =+()()()622',38321αβ+++=+n n n Hnn又ω 3)0(3)0(=--n n E E ,ω =--)0(1)0(n n E E , ω -=-+)0(1)0(n n E E ,ω 3)0(3)0(-=-+n n E E ,∑-++=++=∴kk n knnnnnnnn E E HHEEEEE )0()0(2''')0()2()1()0(43222811303021ωβωu n n n ⋅++-⎪⎭⎫ ⎝⎛+=)0()0()0('')0()1()0(k kkn knnnnn E E H ψψψψψ∑-+=+=()()()()()()⎥⎦⎤⎢⎣⎡+++-+--+---=++--)0(3)0(1)0(1)0(33)0(321311133213122n n n n n n n n n n n n n n n ψψψψωαβψ10-2) 考虑耦合振子,'0H H H += 参 书.下册§9.2()2221222221220212x x u x x u H ++⎪⎪⎭⎫ ⎝⎛∂∂+∂∂-=ω 21'x x H λ-=(λ为实常数,刻画耦合强度) (a )求出0H 的本征值及能级简并度。
第八章 自旋8.1) 在z σ表象中,求x σ的本征态。
解:在z σ表象中,x σ的矩阵表示为:x σ⎪⎪⎭⎫⎝⎛=0110 设x σ的本征矢(在z σ表象中)为⎪⎪⎭⎫⎝⎛b a ,则有⎪⎪⎭⎫ ⎝⎛=⎪⎪⎭⎫ ⎝⎛⎪⎪⎭⎫⎝⎛b a b a λ0110 可得a b λ=及b a λ= 1,12±==∴λλ 。
,1=λ 则;b a = ,1-=λ 则b a -=利用归一化条件,可求出x σ的两个本征态为,1=λ;1121⎪⎪⎭⎫ ⎝⎛ ,1-=λ ⎪⎪⎭⎫ ⎝⎛-1121 。
8.2) 在z σ表象中,求⋅的本征态,()ϕϕθϕθcos ,sin sin ,cos sin n是()ϕθ,方向的单位矢. 解:在z δ表象中,δ的矩阵表示为x σ⎪⎪⎭⎫⎝⎛=0110, y σ⎪⎪⎭⎫ ⎝⎛-=00i i , z σ⎪⎪⎭⎫⎝⎛-=1001 (1) 因此, z z y y x x n n n n n σσσσ++=⋅=⎪⎪⎭⎫⎝⎛-=⎪⎪⎭⎫ ⎝⎛-+-=-θθθθϕϕcos sin sin cos i i z y x y x ze e n inn in n n (2)设n σ的本征函数表示为Φ⎪⎪⎭⎫⎝⎛=b a ,本征值为λ,则本征方程为()0=-φλσn ,即 0cos sin sin cos =⎪⎪⎭⎫⎝⎛⎪⎪⎭⎫ ⎝⎛----b a e e i i λθθθλθϕϕ (3) 由(3)式的系数行列式0=,可解得1±=λ。
对于1=λ,代回(3)式,可得x y x y x x i i n in n in n n e e b a --=++==-=--112sin 2cos cos 1sin ϕϕθθθθ 归一化本征函数用()ϕθ,表示,通常取为()⎪⎪⎭⎫ ⎝⎛=ϕθθϕθφi e 2sin 2cos ,1或⎪⎪⎪⎭⎫⎝⎛-222sin 2cos ϕϕθθi i ee (4)后者形式上更加对称,它和前者相差因子2ϕi e-,并无实质差别。
量子力学常用积分公式 (1)dx e x an e x a dx e x axn ax n ax n ⎰⎰--=11 )0(>n (2) )cos sin (sin 22bx b bx a ba e bxdx e axax-+=⎰ (3) =⎰axdx e axcos )sin cos (22bx b bx a ba e ax++ (4)ax x a ax aaxdx x cos 1sin 1sin 2-=⎰ (5) =⎰axdx x sin 2ax a xaax a x cos )2(sin 2222-+(6)ax a xax aaxdx x sin cos 1cos 2+=⎰ (7ax a a x ax ax axdx x sin )2(cos 2cos 3222-+=⎰))ln(2222c ax x a ac c ax x ++++ (0>a ) (8)⎰=+dx c ax 2)arcsin(222x c a ac c ax x --++ (a<0) ⎰20sin πxdx n2!!!)!1(πn n - (=n 正偶数)(9) =⎰20cos πxdx n!!!)!1(n n - (=n 正奇数) 2π(0>a ) (10)⎰∞=0sin dx xax2π- (0<a )(11))1!+∞-=⎰n n ax a n dx x e (0,>=a n 正整数) (12)adx e ax π2102=⎰∞-(13) 121022!)!12(2++∞--=⎰n n ax n an dx e x π(14)1122!2+∞-+=⎰n ax n an dx e x (15)2sin 022adx xax π⎰∞= (16)⎰∞-+=222)(2sin b a abbxdx xe ax (0>a )⎰∞-+-=022222)(c o s b a b a b x d x xeax(0>a )第二章:函数与波动方程[1] 试用量子化条件,求谐振子的能量[谐振子势能2221)(x m x V ω=] (解)(甲法)可以用Wilson-Sommerfeld 的量子化条件式:⎰=nh pdq在量子化条件中,令⋅=x m p 为振子动量,x q = 为振子坐标,设总能量E则 22222x m m P E ω+= )2(222x m E m p ω-=代入公式得:nh dx x m E m =-⎰)2(222ω量子化条件的积分指一个周期内的位移,可看作振幅OA 的四倍,要决定振幅a ,注意在A 或B 点动能为0,2221a m E ω=,(1)改写为:nh dx x a m aa=-⎰-222ω (2)积分得:nh a m =πω2遍乘πω21得 ωπω n h E ==2[乙法]也是利用量子化条件,大积分变量用时间t 而不用位移x ,按题意振动角频率为ω,直接写出位移x ,用t 的项表示:t a x q ωsin ==求微分:tdt a dx dq ωωcos == (4) 求积分:t ma x m p ωωcos ==⋅(5) 将(4)(5)代量子化条件:nh tdt ma pdq T==⎰⎰0222cos ωω T 是振动周期,T=ωπ2,求出积分,得 nh a m =πω2 ωπωn n h E ==2 3,2,1=n 正整数#[2]用量子化条件,求限制在箱内运动的粒子的能量,箱的长宽高分别为.,,c b a(解)三维问题,有三个独立量子化条件,可设想粒子有三个分运动,每一分运动是自由运动.设粒子与器壁作弹性碰撞,则每碰一次时,与此壁正交方向的分动量变号(如ppxx-→),其余分动量不变,设想粒子从某一分运动完成一个周期,此周期中动量与位移同时变号,量子化条件:p p n q p xax xxxadx h d 220===⎰⎰ (1)ppn q p yby y yyb dy h d 220===⎰⎰ (2)p pn q p zcz z zzc dz hd 220===⎰⎰(3)p p p zyx,,都是常数,总动量平方222z y x p p p p ++=总能量是:)(2122222z y x p p p mm p E ++===])2()2()2[(21222ch b h a h m n n n z y x ++ =])()()[(82222cb a m h n n n z y x ++ 但3,2,1,,=n n n z y x 正整数.#[3] 平面转子的转动惯量为I ,求能量允许值.(解)解释题意:平面转子是个转动体,它的位置由一坐标(例如转角ϕ)决定,它的运动是一种刚体的平面平行运动.例如双原子分子的旋转.按刚体力学,转子的角动量I ω,但⋅=ϕω是角速度,能量是221ωI =E 利用量子化条件,将p 理解成为角动量,q 理解成转角ϕ,一个周期内的运动理解成旋转一周,则有nh d pdq =I =I =⎰⎰ωπϕωπ220(1)(1) 说明ω是量子化的(2) I=I =n nh πω2 (3,2,1=n ……..) (2) (3) 代入能量公式,得能量量子化公式:I=I I =I =2)(2212222 n n E ω (3)#[4]有一带电荷e 质量m 的粒子在平面内运动,垂直于平面方向磁场是B,求粒子能量允许值.(解)带电粒子在匀强磁场中作匀速圆周运动,设圆半径是r ,线速度是v ,用高斯制单位,洛伦兹与向心力平衡条件是:rm v c Bev 2= (1) 又利用量子化条件,令=p 电荷角动量 =q 转角ϕnh mrv mrvd pdq ===⎰⎰πϕπ220(2)即 nh mrv = (3) 由(1)(2)求得电荷动能=mcnBe mv 2212 = 再求运动电荷在磁场中的磁势能,按电磁学通电导体在磁场中的势能=cBr ev c c *****2π==场强线圈面积电流场强磁矩,v 是电荷的旋转频率, r v v π2=,代入前式得运动电荷的磁势能=mcnBe 2 (符号是正的) 点电荷的总能量=动能+磁势能=E=mcnBe 2 ( 3,2,1=n )#[5]对高速运动的粒子(静质量m )的能量和动量由下式给出:2221c v mc E -=(1)2221c v mv p -=(2)试根据哈密顿量 2242p c c m E H +== (3)及正则方程式来检验以上二式.由此得出粒子速度和德布罗意的群速度相等的关系.计算速度并证明它大于光速.(解)根据(3)式来组成哈氏正则方程式组:pqiiH ∂∂=⋅,本题中v qi=⋅,p p i=,因而224222242pc c m p c p c c m pv +=+∂∂= (4)从前式解出p (用v 表示)即得到(2).又若将(2)代入(3),就可得到(1)式. 其次求粒子速度v 和它的物质波的群速度vG间的关系.运用德氏的假设: k p =于(3)式右方, 又用ω =E 于(3)式左方,遍除h :)(22242k k c c m ωω=+=按照波包理论,波包群速度vG是角频率丢波数的一阶导数:22242k c c m kv G +∂∂==22422222422pc c m p c k c c m k c +=+最后一式按照(4)式等于粒子速度v ,因而v vG=。
第三章一维定态问题3.1)设粒子处在二维无限深势阱中,⎩⎨⎧∞<<<<=其余区域,0,0 ,0),(b y a x y x V 求粒子的能量本征值和本征波函数。
如b a = ,能级的简并度如何?解:能量的本征值和本征函数为mE yx n n 222π =)(2222b n a n yx +,2,1, ,sinsin2==y x y x n n n n byn axn abyxππψ若b a =,则 )(222222y x n n n n maE yx +=π ay n a x n a y x nn yxππψsin sin 2= 这时,若y x n n =,则能级不简并;若y x n n ≠,则能级一般是二度简并的(有偶然简并情况,如5,10==y x n n 与2,11''==y x n n )3.2)设粒子限制在矩形匣子中运动,即⎩⎨⎧∞<<<<<<=其余区域 ,0,0,0 ,0),,(c z b y a x z y x V 求粒子的能量本征值和本征波函数。
如c b a ==,讨论能级的简并度。
解:能量本征值和本征波函数为)(222222222cn b n an m n n n E zyxzy x ++=π ,,3,2,1,, ,sin sin sin 8==z y x z y x n n n c z n b y n a x n abc n n n zy x πππψ当c b a ==时,)(2222222z y x n n n man n n E z y x ++=π ay n a y n a x n a n n n z y x z y x πππψsinsin sin 223⎪⎭⎫ ⎝⎛= z y x n n n ==时,能级不简并;z y x n n n ,,三者中有二者相等,而第三者不等时,能级一般为三重简并的。
z y x n n n ,,三者皆不相等时,能级一般为6度简并的。
如 ⎩⎨⎧→++=++→++=++)9,6,3()10,5,1(2086161210)11,3,1()9,7,1(10438652222222222223.3)设粒子处在一维无限深方势阱中,⎩⎨⎧><∞<<=ax 0, ,0 ,0),(x a x y x V 证明处于定态)(x n ψ的粒子)61(12)x -(x ,22222πn a a x -==讨论∞→ n 的情况,并于经典力学计算结果相比较。
证:设粒子处于第n 个本征态,其本征函数x an a x n πψsin 2)(=. 2sin 20220a xdx a n x a dx x x a an分部⎰⎰==πψ (1)4)(222222a dx x x x x x na-=-=-⎰ψ4)2cos 1(212202a dx a x n x a a --⋅=⎰π)61(12222πn a -= (2) 在经典情况下,在()a ,0区间粒子除与阱壁碰撞(设碰撞时间不计,且为弹性碰撞,即粒子碰撞后仅运动方向改变,但动能、速度不变)外,来回作匀速运动,因此粒子处于x x dx →+范围的几率为adx ,故2aa dx x x a=⋅=⎰ , (3) 32022a a dx x x a=⋅=⎰,43)(22222a a x x x x -=-=- (4)当∞→n 时,量子力学的结果与经典力学结果一致。
3.4)设粒子处在一维无限深方势阱中,⎩⎨⎧<∞<=2,2,0),(a x a x y x V 处于基态)1(=n ,求粒子的动量分布。
解:基态波函数为 axa πψcos 21=, (参P57,(12))2cos22cos 12cos 112121121)(211cos 221)(22223222222)()(2222pap a q pa p a pa p a a e e p a i e e p a i a dx e e a dx e e ea dx ax a e p a p a i a p a i a p a i a p a i aap a i p a i a xi a x i aa ipxaa ipx-=⎪⎪⎭⎪⎪⎬⎫⎪⎪⎩⎪⎪⎨⎧++-=⎪⎪⎭⎪⎪⎬⎫⎪⎪⎩⎪⎪⎨⎧⎥⎥⎦⎤⎢⎢⎣⎡-⋅⎪⎭⎫ ⎝⎛+-+⎥⎥⎦⎤⎢⎢⎣⎡-⋅⎪⎭⎫ ⎝⎛-=⎥⎦⎤⎢⎣⎡+=+⋅=⋅=∴⎪⎭⎫ ⎝⎛+⎪⎭⎫ ⎝⎛+-⎪⎭⎫ ⎝⎛--⎪⎭⎫ ⎝⎛--+-------⎰⎰⎰ππππππππππππφππππππππ动量的几率分布()2cos 4)()(22222232pa p a a p p -==ππϕρ 3.5)设粒子处于半壁高的势场中⎪⎩⎪⎨⎧><<-<∞=ax a x V x V ,00,x ,)(0 (1) 求粒子的能量本征值。
求至少存在一条束缚能级的体积。
解:分区域写出eq s .:ax ,0)()(a x 0 ,0)()(22"212'"1>=-<<=+x k x x k x ψψψψ (2)其中 ()'2202222, k Ek V E μμ=+=(3)方程的解为kxkxx ik x ik DeCe x Be Ae x --+=+=)()(21''ψψ (4)根据对波函数的有限性要求,当∞→x 时,)(2x ψ有限,则0=C当0=x 时,0)(1=x ψ,则0=+B A 于是ax , )(x 0 ,sin )(2'1>=<<=-kxDe x a x k F x ψψ (5)在a x =处,波函数及其一级导数连续,得ka ka kDe a k F k De a k F ---=='''cos ,sin (6)上两方程相比,得 kk a k tg ''-= (7)即 ()E EV E V a tg +--=⎥⎦⎤⎢⎣⎡+0022 μ (7’) 若令 ηξ==a a k k ,'(8) 则由(7)和(3),我们将得到两个方程:22202( 9)(10)2 ctg V a ηξξμξη=-⎧⎪⎨+=⎪⎩(10)式是以a V r 202 μ=为半径的圆。
对于束缚态来说,00<<-E V ,结合(3)、(8)式可知,ξ和η都大于零。
(10)式表达的圆与曲线ξξηctg -=在第一象限的交点可决定束缚态能级。
当2π≥r ,即2220πμ≥a V,亦即 82220 πμ≥a V (11)时,至少存在一个束缚态能级。
这是对粒子质量,位阱深度和宽度的一个限制。
3—6)求不对称势阱中粒子的能量本征值。
解:仅讨论分立能级的情况,即20V E <<,()ψψ E V m dx d -=∴222当±∞→x 时,0→ψ,故有()()()()⎪⎩⎪⎨⎧-=<<=<<+-=<=-E V m k x a e A mE k a x kx A E V m k x e A xk x k 2221112,,2,0,sin 2,0,21πδδψ 由dx d ψln 在0=x 、a x =处的连续条件,得()δδ+-==ka kctg kctg k 21k , (1)由(1a )可得 12sin mV k =δ (2)由于k k k ,,21皆为正值,故由(1b ),知δ+ka 为二,四象限的角。
因而 ()22sin mV k ka ±=+δ (3)又由(1),余切函数()ctg 的周期为π,故由(2)式,1112sin mV k n -+=πδ (4)由(3),得 212sin mV k n ka --=+πδ (5)结合(4),(5),得 1112122sin 2sin mV k n mV k n ka -----=ππ或 21112sin 2sin mV k mV k n ka ----=π (6),3,2,1=n一般而言,给定一个n 值,有一个解n k ,相当于有一个能级:mk E nn 222 = (7)当12V V ≠时,仅当1212sin 22V V mV a --≥π才有束缚态 ,故21,V V 给定时,仅当 ⎪⎪⎭⎫ ⎝⎛-≥-1212sin 22V V mV a π(8) 时才有束缚态(若V V V ==21,则无论V 和a 的值如何,至少总有一个能级) 当a V V ,,21给定时,由(7)式可求出n 个能级(若有n 个能级的话)。
相应的波函数为:()()()()()⎪⎪⎪⎩⎪⎪⎪⎨⎧-=>-<<+-=<=---E V m k a x e mV k A a x x k A E V m k x e mV k A n a x k n n nn n n n x k nn n n 222211112,, 21,0, sin 2, 0, 22δψ其中 ()n n n k k a A 21112++=3—7)设粒子(能量0>E )从左入射,碰到下列势阱(图),求阱壁处的反射系数。
解:势阱为 ⎩⎨⎧><-=.0,0,0,)(0x x V x V在区域Ⅰ上有入射波与反射波,在区域Ⅱ上仅有透射波。
故()mE k Ce E V m k Be Ae xik x ik x ik 2,2,22011211==+=+=-ψψ 由)0()0(21ψψ=,得 C B A =+。
由)0()0('2'1ψψ=,得 ()C k B A k 21=-。
从上二式消去c, 得 ()()B k k A k k 2121+=-。
反射系数 ()()221221222k k k k A B r R +-=== 将21,k k 代入运算,可得()⎩⎨⎧<<->>=++=00220420,41,16V E V E V E E V EE VV R3—8)利用Hermite 多项式的递推关系(附录A3。
式(11)),证明 谐振子波函数满足下列关系()()()()[])(21)(12)(121)()(21)(21)(222211x n n x n x n n x x x n x n x x n n n n n n n +-+-+++++-=⎥⎦⎤⎢⎣⎡++=ψψψαψψψαψ并由此证明,在n ψ态下, 2 ,0n E V x == 证:谐振子波函数 )()(222x H e A x n x n n αψα-= (1)其中,归一化常数 ωαπαm ,!2=⋅⋅=n A nn (2))(x H n α的递推关系为 .0)(2)(2)(11=+--+x nH x xH x H n n n αααα (3)[]()()⎥⎦⎤⎢⎣⎡++=⋅⋅+⋅+⋅⋅⋅+⋅⋅⋅-⋅⋅⋅=⋅⋅⋅⋅⋅+⋅⋅⋅⋅⋅=+=⋅=⋅=∴+-+-+---+----+---)(21)(21)(21!121)(2!121)(!221)(!21)(2)(21)(221)()(1112112112121122222222222222222x n x n x H e n n x H e n n x H e n x nH e n x nH x H e A x x xH e A x xH e A x x n n n x n n x n n x nn x nn n x n n x n n x n n ψψααπαααπαααπαααπαααααααααψααααααα()()()()[])(21)(12)(121)(22)(2121)(2)(2121)(21)(21)(222222112x n n x n x n n x n x n n x n x n n x x n x x n x x n n n n n n n n n n +-+-+-+++++-=⎪⎭⎪⎬⎫⎪⎩⎪⎨⎧⎥⎦⎤⎢⎣⎡+++++⎥⎦⎤⎢⎣⎡+-=⎥⎦⎤⎢⎣⎡++=∴ψψψαψψψψαψψαψ0)(21)(21)(11**=⎥⎦⎤⎢⎣⎡++⋅==+-+∞∞-+∞∞-⎰⎰dx x n x n x dx x x n n n n nψψαψψψ ()()22121122121)(122121)()(21)(2222*22*n n n n n E n n m dxx n m x dxx x m x V =⎪⎭⎫⎝⎛+=+⋅⋅=+⋅⋅⋅=⋅⋅=⎰⎰+∞∞-ωαωψαωψψωψ3—9)利用Hermite 多项式的求导公式。