高等数学函数极限练习试题
- 格式:doc
- 大小:5.11 MB
- 文档页数:16
高等数学第一章函数与极限试题一. 选择题1.设F(x)是连续函数f(x)的一个原函数,""N M ⇔表示“M 的充分必要条件是N ”,则必有(A ) F(x)是偶函数⇔f(x)是奇函数. (B ) F(x)是奇函数⇔f(x)是偶函数.(C ) F(x)是周期函数⇔f(x)是周期函数. (D ) F(x)是单调函数⇔f(x)是单调函数 2.设函数,11)(1-=-x x ex f 则 (A ) x=0,x=1都是f(x)的第一类间断点. (B ) x=0,x=1都是f(x)的第二类间断点(C ) x=0是f(x)的第一类间断点,x=1是f(x)的第二类间断点. (D ) x=0是f(x)的第二类间断点,x=1是f(x)的第一类间断点.3.设f (x)=xx 1-,x ≠0,1,则f [)(1x f ]= ( )A ) 1-xB ) x-11C ) X1 D ) x4.下列各式正确的是 ( )A )lim 0+→x )x1+1(x=1 B )lim 0+→x )x1+1(x=eC )lim ∞→x )x11-(x=-e D )lim ∞→x )x1+1(x-=e5.已知9)(lim =-+∞→xx ax a x ,则=a ( )。
A.1;B.∞;C.3ln ;D.3ln 2。
6.极限:=+-∞→xx x x )11(lim ( )A.1;B.∞;C.2-e ; D.2e7.极限:∞→x lim 332x x +=( ) A.1; B.∞; C.0; D.2.8.极限:xx x 11lim-+→=( ) A.0; B.∞; C 21; D.2.9. 极限:)(lim 2x x x x -+∞+→=( )A.0;B.∞;C.2;D. 21.10.极限: xxx x 2sin sin tan lim30-→=( )A.0;B.∞;C. 161; D.16.二. 填空题 11.极限12sinlim 2+∞→x xx x = . 12.lim→x xarctanx =_______________.13. 若)(x f y =在点0x 连续,则)]()([lim 0→-0x f x f x x =_______________;14. =→xxx x 5sin lim0___________;15. =-∞→nn n)21(lim _________________;16. 若函数23122+--=x x x y ,则它的间断点是___________________17. 绝对值函数 ==x x f )(⎪⎩⎪⎨⎧<-=>.0,;0,0;0,x x x x x x 其定义域是 ,值域是18. 符号函数 ==x x f sgn )(⎪⎩⎪⎨⎧<-=>.0,1;0,0;0,1x x x其定义域是 ,值域是三个点的集合19. 无穷小量是20. 函数)(x f y =在点x0 连续,要求函数y f (x) 满足的三个条件是 三. 计算题 21.求).111(lim 0x ex xx --+-→ 22.设f(e1-x )=3x-2,求f(x)(其中x>0);23.求lim 2x →(3-x)25--x x ;()()x x x x f 25lg 12-+-+=24.求lim ∞→x (11-+x x )x; 25.求lim 0x →)3(2tan sin 22x x x x + 26. 已知9)(lim =-+∞→xx ax a x ,求a 的值; 27. 计算极限nnnn 1)321(lim ++∞→28.求它的定义域。
高数函数与极限练习题一、函数的基本概念1. 判断下列函数的单调性:(1) f(x) = 3x + 4(2) g(x) = 2x^2 + 5x + 1(3) h(x) = e^x x2. 求下列函数的定义域:(4) f(x) = √(x^2 9)(5) g(x) = 1 / (x 2)(6) h(x) = ln(x^2 4)3. 判断下列函数的奇偶性:(7) f(x) = x^3 3x(8) g(x) = sin(x) + cos(x)(9) h(x) = e^x e^(x)二、极限的计算4. 计算下列极限:(10) lim(x→0) (sin(x) / x)(11) lim(x→1) (x^2 1) / (x 1)(12) lim(x→+∞) (1 / x^2 1 / x)5. 讨论下列极限的存在性:(13) lim(x→0) (sin(1/x))(14) lim(x→0) (x^2 / sin(x))(15) lim(x→+∞) (x ln(x))6. 计算下列极限:(16) lim(x→0) (e^x 1) / x(17) lim(x→+∞) (x^2 + x + 1) / (2x^2 + 3x 1)(18) lim(x→∞) (x^3 + 3x^2 + 2x + 1) / (x^4 + 4x^3 + 3x^2)三、无穷小与无穷大7. 判断下列表达式的无穷小性质:(19) sin(x) x(20) 1 cos(x)(21) e^x 1 x8. 判断下列表达式的无穷大性质:(22) 1 / (x 1)(23) ln(1 / x)(24) x^2 e^x (x > 0)四、连续性与间断点9. 讨论下列函数的连续性:(25) f(x) = |x 1|(26) g(x) = { x^2, x < 0; 1, x ≥ 0 }(27) h(x) = { sin(x), x ≠ 0; 1, x = 0 }10. 求下列函数的间断点:(28) f(x) = 1 / (x^2 1)(29) g(x) = √(1 cos(x))(30) h(x) = ln|x^2 4|五、综合题11. 设函数f(x) = x^2 2x + 3,求lim(x→+∞) f(x)。
1、函数()12++=x x x f 与函数()113--=x x x g 相同.错误 ∵当两个函数的定义域和函数关系相同时,则这两个函数是相同的。
∴()12++=x x x f 与()113--=x x x g 函数关系相同,但定义域不同,所以()x f 与()x g 是不同的函数。
2、如果()M x f >(M 为一个常数),则()x f 为无穷大. 错误 根据无穷大的定义,此题是错误的。
3、如果数列有界,则极限存在.错误 如:数列()nn x 1-=是有界数列,但极限不存在4、a a n n =∞→lim ,a a n n =∞→lim .错误 如:数列()nn a 1-=,1)1(lim =-∞→nn ,但n n )1(lim -∞→不存在。
5、如果()A x f x =∞→lim ,则()α+=A x f (当∞→x 时,α为无穷小). 正确 根据函数、极限值、无穷小量的关系,此题是正确的。
6、如果α~β,则()α=β-αo .正确 ∵1lim=αβ,是 ∴01lim lim =⎪⎭⎫⎝⎛-=-αβαβα,即βα-是α的高阶无穷小量。
7、当0→x 时,x cos 1-与2x 是同阶无穷小.正确 ∵2122sin 412lim 2sin 2lim cos 1lim2022020=⎪⎪⎪⎪⎭⎫ ⎝⎛⋅⋅==-→→→x x x x x x x x x 8、 01sin lim lim 1sin lim 000=⋅=→→→xx x x x x x .错误 ∵xx 1sin lim 0→不存在,∴不可利用两个函数乘积求极限的法则计算。
9、 e x xx =⎪⎭⎫⎝⎛+→11lim 0.错误 ∵e x xx =⎪⎭⎫⎝⎛+∞→11lim10、点0=x 是函数xxy =的无穷间断点.错误 =-→x x x 00lim 1lim 00-=--→x x x ,=+→x x x 00lim 1lim 00=+→xx x ∴点0=x 是函数xxy =的第一类间断点.11、函数()x f x1=必在闭区间[]b a ,取得最大值、最小值.错误 ∵根据连续函数在闭区间上的性质,()x f x1=在0=x 处不连续 ∴函数()x f x1=在闭区间[]b a ,不一定取得最大值、最小值 二、填空题:1、设()x f y =的定义域是()1,0,则 (1)()xef 的定义域是( (,0)-∞ );(2)()x f 2sin 1-的定义域是( ,()2x x k x k k Z πππ⎧⎫≠≠+∈⎨⎬⎩⎭);(3)()x f lg 的定义域是( (1,10) ). 答案:(1)∵10<<xe (2)∵1sin 102<-<x (3)∵1lg 0<<x2、函数()⎪⎩⎪⎨⎧≤<-=<<-+=403000222x x x x x x f 的定义域是( (]4,2- ).3、设()2sin x x f =,()12+=ϕx x ,则()[]=ϕx f ( ()221sin +x ).4、nxn n sinlim ∞→=( x ).∵x x n x n x n n x n x n n n n =⋅==∞→∞→∞→sinlim 1sin limsin lim 5、设()11cos 11211xx x f x x x x π-<-⎧⎪⎪=-≤≤⎨⎪->⎪⎩,则()10lim x f x →--=( 2 ),()=+→x f x 01lim ( 0 ). ∵()1010lim lim (1)2x x f x x →--→--=-=,()()01lim lim 0101=-=+→+→x x f x x6、设()⎪⎩⎪⎨⎧=≠-=00cos 12x ax x x x f ,如果()x f 在0=x 处连续,则=a ( 21 ).∵21cos 1lim 20=-→x x x ,如果()x f 在0=x 处连续,则()a f xx x ===-→021cos 1lim 20 7、设0x 是初等函数()x f 定义区间的点,则()=→x f x x 0lim ( ()0x f ).∵初等函数()x f 在定义区间连续,∴()=→x f x x 0lim ()0x f8、函数()211-=x y 当x →( 1 )时为无穷大,当x →( ∞ )时为无穷小.∵()∞=-→2111limx x ,()011lim2=-∞→x x9、若()01lim2=--+-+∞→b ax x x x ,则=a ( 1 ),=b ( 21-). ∵()b ax x xx --+-+∞→1lim2()()()bax x x bax x x b ax x x x +++-+++---+-=+∞→111lim 222()()b ax x x b ax x x x +++-+-+-=+∞→11lim 222()()()b ax x x b x ab x a x +++--++--=+∞→11211lim 2222欲使上式成立,令012=-a ,∴1a =±,上式化简为()()()2211212112lim lim lim1x x x bab ab x b ab a →+∞→+∞→+∞--++-++--+==+∴1a =,021=+ab ,12b =-10、函数()x x f 111+=的间断点是( 1,0-==x x ). 11、()34222+--+=x x x x x f 的连续区间是( ()()()+∞∞-,3,3,1,1, ).12、若2sin 2lim =+∞→x xax x ,则=a ( 2 ). ()200lim sin 2lim sin 2lim =+=+=⎪⎭⎫ ⎝⎛+=+∞→∞→∞→a a x x a x x ax x x x ∴2=a13、=∞→x x x sin lim( 0 ),=∞→xx x 1sin lim ( 1 ), ()=-→xx x 11lim ( 1-e ),=⎪⎭⎫ ⎝⎛+∞→kxx x 11lim ( ke ). ∵0sin 1lim sin lim=⋅=∞→∞→x x xx x x 111sin lim1sin lim ==∞→∞→xx x x x x()[]1)1(110)(1lim 1lim --⋅-→→=-+=-e x x xx x x k kx x kxx e x x =⎥⎦⎤⎢⎣⎡+=⎪⎭⎫ ⎝⎛+∞→∞→)11(lim 11lim14、limsin(arctan )x x →∞=( 不存在 ),lim sin(arccot )x x →+∞=( 0 )三、选择填空:1、如果a x n n =∞→lim ,则数列n x 是( b )a.单调递增数列 b .有界数列 c .发散数列2、函数()()1log 2++=x x x f a 是( a )a .奇函数b .偶函数c .非奇非偶函数 ∵()()11log 1)(log 22++=+-+-=-x x x x x f aa()()x f x x a -=++-=1log 23、当0→x 时,1-xe 是x 的( c )a .高阶无穷小b .低阶无穷小c .等价无穷小4、如果函数()x f 在0x 点的某个邻域恒有()M x f ≤(M 是正数),则函数()x f 在该邻域( c )a .极限存在b .连续c .有界5、函数()x f x-=11在( c )条件下趋于∞+. a .1→x b .01+→x c .01-→x6、设函数()x f xxsin =,则()=→x f x 0lim ( c )a .1b .-1c .不存在 ∵1sin lim sin limsin lim000000-=-=-=-→-→-→xx x x x xx x x1sin lim sin lim 0000==-→+→xx x x x x 根据极限存在定理知:()x f x 0lim →不存在。
1、函数()12++=x x x f 与函数()113--=x x x g 相同.错误 ∵当两个函数的定义域和函数关系相同时,则这两个函数是相同的。
∴()12++=x x x f 与()113--=x x x g 函数关系相同,但定义域不同,所以()x f 与()x g 是不同的函数。
2、如果()M x f >(M 为一个常数),则()x f 为无穷大. 错误 根据无穷大的定义,此题是错误的。
3、如果数列有界,则极限存在.错误 如:数列()nn x 1-=是有界数列,但极限不存在4、a a n n =∞→lim ,a a n n =∞→lim .错误 如:数列()nn a 1-=,1)1(lim =-∞→nn ,但n n )1(lim -∞→不存在。
5、如果()A x f x =∞→lim ,则()α+=A x f (当∞→x 时,α为无穷小). 正确 根据函数、极限值、无穷小量的关系,此题是正确的。
6、如果α~β,则()α=β-αo .正确 ∵1lim=αβ,是 ∴01lim lim =⎪⎭⎫⎝⎛-=-αβαβα,即βα-是α的高阶无穷小量。
7、当0→x 时,x cos 1-与2x 是同阶无穷小.正确 ∵2122sin 412lim 2sin 2lim cos 1lim2022020=⎪⎪⎪⎪⎭⎫ ⎝⎛⋅⋅==-→→→x x x x x x x x x 8、 01sin lim lim 1sin lim 000=⋅=→→→xx x x x x x .错误 ∵xx 1sin lim 0→不存在,∴不可利用两个函数乘积求极限的法则计算。
9、 e x xx =⎪⎭⎫⎝⎛+→11lim 0.错误 ∵e x xx =⎪⎭⎫⎝⎛+∞→11lim10、点0=x 是函数xxy =的无穷间断点.错误 =-→x x x 00l i m 1lim 00-=--→x x x ,=+→x x x 00lim 1lim 00=+→xx x ∴点0=x 是函数xxy =的第一类间断点.11、函数()x f x1=必在闭区间[]b a ,内取得最大值、最小值.错误 ∵根据连续函数在闭区间上的性质,()x f x1=在0=x 处不连续 ∴函数()x f x1=在闭区间[]b a ,内不一定取得最大值、最小值 二、填空题:1、设()x f y =的定义域是()1,0,则 (1)()xef 的定义域是( (,0)-∞ );(2)()x f 2sin 1-的定义域是( ,()2x xk x k k Z πππ⎧⎫≠≠+∈⎨⎬⎩⎭);(3)()x f lg 的定义域是( (1,10) ). 答案:(1)∵10<<xe (2)∵1sin 102<-<x(3)∵1lg 0<<x2、函数()⎪⎩⎪⎨⎧≤<-=<<-+=403000222x x x x x x f 的定义域是( (]4,2- ).3、设()2sin x x f =,()12+=ϕx x ,则()[]=ϕx f ( ()221sin +x ).4、nxn n sinlim ∞→=( x ).∵x x n x n x n n x n x n n n n =⋅==∞→∞→∞→sinlim 1sin limsin lim 5、设()11cos 11211xx x f x x x x π-<-⎧⎪⎪=-≤≤⎨⎪->⎪⎩,则()10lim x f x →--=( 2 ),()=+→x f x 01l i m ( 0 ). ∵()1010lim lim (1)2x x f x x →--→--=-=,()()01lim lim 0101=-=+→+→x x f x x6、设()⎪⎩⎪⎨⎧=≠-=00cos 12x ax x x x f ,如果()x f 在0=x 处连续,则=a ( 21 ).∵21cos 1lim 20=-→x x x ,如果()x f 在0=x 处连续,则()a f xx x ===-→021cos 1lim 20 7、设0x 是初等函数()x f 定义区间内的点,则()=→x f x x 0lim ( ()0x f ).∵初等函数()x f 在定义区间内连续,∴()=→x f x x 0lim ()0x f8、函数()211-=x y 当x →( 1 )时为无穷大,当x →( ∞ )时为无穷小.∵()∞=-→2111limx x ,()011lim2=-∞→x x9、若()01lim2=--+-+∞→b ax x x x ,则=a ( 1 ),=b ( 21-). ∵()b ax x xx --+-+∞→1lim2()()()bax x x bax x x b ax x x x +++-+++---+-=+∞→111lim 222()()b ax x x b ax x x x +++-+-+-=+∞→11lim 222()()()b ax x x b x ab x a x +++--++--=+∞→11211lim 2222欲使上式成立,令012=-a ,∴1a =±,上式化简为()()()2211212112lim lim lim1x x x bab ab x b ab a →+∞→+∞→+∞--++-++--+==+∴1a =,021=+ab ,12b =-10、函数()x x f 111+=的间断点是( 1,0-==x x ). 11、()34222+--+=x x x x x f 的连续区间是( ()()()+∞∞-,3,3,1,1, ).12、若2sin 2lim =+∞→x xax x ,则=a ( 2 ). ()200lim sin 2lim sin 2lim =+=+=⎪⎭⎫ ⎝⎛+=+∞→∞→∞→a a x x a x x ax x x x ∴2=a13、=∞→xxx sin lim( 0 ),=∞→xx x 1s in lim ( 1 ), ()=-→xx x 11lim ( 1-e ),=⎪⎭⎫ ⎝⎛+∞→kxx x 11lim ( ke ). ∵0sin 1lim sin lim=⋅=∞→∞→x x xx x x 111sin lim1sin lim ==∞→∞→xx x x x x()[]1)1(110)(1lim 1lim --⋅-→→=-+=-e x x xx x x k kx x kxx e x x =⎥⎦⎤⎢⎣⎡+=⎪⎭⎫ ⎝⎛+∞→∞→)11(lim 11lim14、limsin(arctan )x x →∞=( 不存在 ),l i m s i n (a r c c o t )x x →+∞=( 0 )三、选择填空:1、如果a x n n =∞→lim ,则数列n x 是( b )a.单调递增数列 b .有界数列 c .发散数列2、函数()()1log 2++=x x x f a 是( a )a .奇函数b .偶函数c .非奇非偶函数 ∵()()11log 1)(log 22++=+-+-=-x x x x x f aa()()x f x x a -=++-=1log 23、当0→x 时,1-xe 是x 的( c )a .高阶无穷小b .低阶无穷小c .等价无穷小4、如果函数()x f 在0x 点的某个邻域内恒有()M x f ≤(M 是正数),则函数()x f 在该邻域内( c )a .极限存在b .连续c .有界5、函数()x f x-=11在( c )条件下趋于∞+. a .1→x b .01+→x c .01-→x6、设函数()x f xxsin =,则()=→x f x 0lim ( c )a .1b .-1c .不存在 ∵1sin lim sin limsin lim000000-=-=-=-→-→-→xx x x x xx x x1sin lim sin lim 0000==-→+→xx x x x x 根据极限存在定理知:()x f x 0lim →不存在。
函数的极限练习题一、选择题1. 函数\( f(x) = \frac{3x^2 - 2x + 1}{x - 1} \)在\( x \to 1 \)时的极限是:A. 3B. 2C. 1D. 02. 函数\( g(x) = x^2 \sin(\frac{1}{x}) \)在\( x \to 0 \)时的极限是否存在?如果存在,求其值。
A. 存在,值为0B. 存在,值为1C. 不存在D. 存在,值为无穷大3. 函数\( h(x) = \frac{\sin(x)}{x} \)在\( x \to 0 \)时的极限是:A. 1B. -1C. 0D. 不存在二、填空题4. 计算极限\( \lim_{x \to 0} \frac{\sin(x)}{x} \)的值为______。
5. 若\( \lim_{x \to 2} (3x - 1) = 5 \),则函数\( f(x) = 3x -1 \)在\( x \to2 \)时的极限为______。
6. 函数\( f(x) = x^3 - 3x \)在\( x \to ∞ \)时的极限为______。
三、解答题7. 求函数\( f(x) = \frac{\ln(x)}{x} \)在\( x \to ∞ \)时的极限,并证明你的结论。
8. 利用夹逼定理证明函数\( g(x) = x - \sin(x) \)在\( x \to 0 \)时的极限为0。
9. 给定函数\( h(x) = \frac{1}{1 + x^2} \),证明其在\( x \to∞ \)时的极限为0。
四、证明题10. 证明当\( x \)趋近于正无穷时,\( (1 + \frac{1}{n})^n \)的极限为\( e \)。
11. 证明函数\( f(x) = \frac{\sin(x)}{x} \)在\( x \to 0 \)时的极限存在,并且等于1。
12. 证明函数\( g(x) = x^n \)在\( x \to 0 \)时的极限为0,其中\( n > 0 \)。
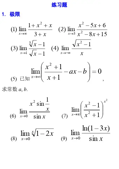
练习题1. 极限xx x x x x x x xx x x x x x 1lim)4(11lim)3(15865lim )2(31lim )1(2312232---+-+-+++-∞→→→∞→(5) 已知011lim 2=⎪⎪⎭⎫⎝⎛--++∞→b ax x x x , 求常数a , b .(6) x x x x sin 1sin lim 20→ (7) 211lim 22x x x x ⎪⎪⎭⎫⎝⎛+-∞→(8) xx x21lim 0-→ (9)x x x sin )31ln(lim 0-→(10)⎪⎪⎭⎫⎝⎛-∞→1lim 1xx e x2. 函数的连续性(1) 确定b 的值, 使函数⎩⎨⎧<≥+==-002)(1x e x b x x f y x 在x =0点连续.(2) 确定a , b 的值, 使函数1lim)(2212+-+==-∞→nn n x bxax xx f y 在整个实数轴上连续.(3) 讨论下列函数的连续性, 并判断其间断点的类型.①x xx f sin )(=② ⎪⎪⎩⎪⎪⎨⎧=≠+-=0001212)(11x x x f xx3. 连续函数的性质 (1) 设1)(1-+++=-x xx x f n n ,证明:)(x f 有一个不大于1的正根.(2) 若),()(∞+-∞∈C x f , 且A x f x =∞→)(lim , 证明: ),()(∞+-∞在x f 内有界.提高1º),()(∞+-∞在x f 内至少有一个最值存在. 2º 对于最值与A 间的任意值C , 存在21,ξξ, 使得C f f ==)()(21ξξ.2. 函数的连续性(1) 确定b 的值, 使函数⎩⎨⎧<≥+==-002)(1x ex b x x f y x在x =0点连续.解:1)(lim )(lim )0(-→→====-+e x f b x f f x x(2) 确定a , b 的值, 使函数1lim)(2212+-+==-∞→nn n x bxax xx f y 在整个实数轴上连续.解:⎪⎪⎪⎪⎩⎪⎪⎪⎪⎨⎧-=++-=-+<->==121121111)(2x b a x ba x bx ax x x x f yb a x f x f b a f x x -====-+=-+→→)(lim 1)(lim 21)1(11 b a x f x f b a f x x +==-==++-=--→-→-)(lim 1)(lim 21)1(_111,0-==b a(3) 讨论下列函数的连续性, 并判断其间断点的类型.①x x x f sin )(=解: x =0为可去间断点.②⎪⎪⎩⎪⎪⎨⎧=≠+-=0001212)(11x x x f xx解:1)(lim 1)(lim 0-=≠=-+→→x f x f x x , x =0为跳跃间断点.3. 连续函数的性质 (1) 设1)(1-+++=-x xx x f n n ,证明:)(x f 有一个不大于1的正根.解: 若n=1, 则显然有解x =1. 若n>1, 则01)1(,01)0(>-=<-=n f f , 由零点定理可知在(0, 1)内至少有一个根..(2) 若),()(∞+-∞∈C x f , 且A x f x =∞→)(lim , 证明: ),()(∞+-∞在x f 内有界.解: 由A x f x =∞→)(lim 可知: 0>∃X , 当X x >时, 1)(<-A x f , 故1)(+<A x f由),()(∞+-∞∈C x f 可知]1,1[)(+--∈X X C x f , 故01>∃M ,当1+<X x 时, 1)(M x f <取}1,max{1+=A M M 即可.提高1º),()(∞+-∞在x f 内至少有一个最值存在. 2º 对于最值与A 间的任意值C , 存在21,ξξ, 使得C f f ==)()(21ξξ.证明: 若A x f ≡)(, 则显然结论成立.设存在A x f >)(0, 则存在X >0, 当X x ≥时, 有2)()(0Ax f A x f -<- 于是: )(2)()(00x f A x f x f <+< 由],[)(X X C x f -∈, 可知存在],[X X -∈ξ{})(],[:)(max )(0x f X X x x f f ≥-∈=ξ从而),()(∞+-∞在x f 内有最大值)(ξf .对于任意的C , )(ξf C A <<, 存在X 1>0, 当1X x ≥时, 有 C AC x f <+<2)( 于是有CAC X f <+<±2)(1. 分别在闭区间],[],,[11X X ξξ-上使用介值定理即可得结论2º.。
高等数学一、选择题(共 191 小题,100 分)22、为时,,则当设函数)(01sin )(x f x xx x f →=) 答( .无穷小量. .有界,但非无穷小量.无穷大量 .无界变量D C B A ;; ; 24、是时,,则当设函数)(1cos)(x f x xx x f ∞→= ) 答( .无穷大量..无穷小量; ;.无界,但非无穷大量.有界变量; D C B A33、的是时,当3)cos 1(sin 0x x x x -→答( ) .低阶无穷小..高阶无穷小;.等价无穷小;等价无穷小;.冈阶无穷小,但不是 D C B A34、比较是( )与时,当2)cos 1(sin 20x x x x -→ 答( ) .低阶无穷小..高阶无穷小;.等价无穷小;;.冈阶但不等价无穷小 D C B A36、是下列极限中,不正确的 答( ) ..;.;.;.0)1sin(lim 0)21(lim 0lim 4)1(lim 11013=-===+→→→→--x x D C e B x A x x x xx x 37、的值为存在,则,且,,设k x f x x x xkx x f x )(lim 030tan )(0→⎪⎩⎪⎨⎧≤+>= 答( ) ..; .; .; .4321D C B A38、,则,,设⎪⎪⎩⎪⎪⎨⎧<++>-=0110cos 1)(1x e x x x x x f x 答( ) 存在.不存在,.不存在;存在,.;.;.)(lim )(lim )(lim )(lim )(lim )(lim 0)(lim 000x f x f D x f x f C x f x f B x f A x x x x x x x -+-+-+→→→→→→→≠=39、 ) 答( .不存在.; .; .; .,则,,,设函数D C B A x f x x x x x e x f x x 011)(lim 0cos 0 10 2)(0-=⎪⎩⎪⎨⎧<-=>-=→40、 答( ) ..; . .; .的值为,则已知2277516lim 21--=-++→D C B A a x ax x x41、已知,则的值为.; .; .; .. 答( )lim x x x c x C A B C D →-+-=--12311112344、下列极限计算正确的是.; .;.; .. 答( )A x xB x xx xC x x xD n e n n n x x n nlim lim sin sin lim sin lim()→∞→→∞→→∞+=+-=-=+=22032111011245极限的值为.; .; .; .. 答( )lim x x x x x A B C D →-+-+2226881201122 48、已知,则的值为.; .; .; .. 答( )limsin ()x kxx x k A B C D →+=----0233326650、极限.; .; .; .. 答( )limsin x xx A B C D →-=-∞ππ10151、极限的值为.;. . .. 答( )limtan sin x x xxA B b C D →-∞03011253、极限的值是.; .; .; .. 答( )lim x x x x A B e C e D e →∞----+⎛⎝ ⎫⎭⎪212112112254、极限的值为( ).; .; .; .. 答( )lim()x x x x A e B e C e D e →∞+---+114224455、 答( ) ..; .; .; .极限22101)21(lim e D e C eB e A x xx -→=-56、下列等式成立的是.; .;.;.. 答( )A x eB x eC x eD xe x x x x x x x x lim()lim()lim()lim()→∞→∞→∞+→∞++=+=+=+=121111112222221257、极限的值为.; .; .; . 答( )lim()x xxA eB eC eD e→∞---1122141458、已知,则的值为.; .; .; .. 答( )lim()x xkx e k A B C D →+=-01111122 60、 ) 答( .低阶无穷小量..高阶无穷小量;量;.同阶但非等价无穷小.等价无穷小量;的是无穷小量-时,无穷小量当D C B A x xxx 12111-+→61、答( ) ..;.;.; .为等价无穷小量的是时,与当 )sin ( 11)1ln( 2sin 0x x x D x x C x B x A x x +--+-→62、极限.; .; .; .. 答( )lim(cos )x xx A B e C D e →-=112120164、下列极限中不正确的是.; .;.;.. 答( )A x xB xx C x x D xx x x x x lim tan sin lim coslim sin()lim arctan →→-→→∞=+=---==011232322121120ππ65、 答( ) ..; .; .; .的值为( )极限23326103sin 3cos 1lim0D C B A xx xx -→66、极限的值为( ).; .; .; .. 答( )lim ()x x xe e x x A B C D →--+021012367、极限.; . .; .. 答( )lim(cos )x x x A B C D e →-=1120170、 答( ) , ,, ,,则必有设.104)( ; 64)(; 104)( ; 52)(14lim 231=-=-==-=====-+--→A a D A a C A a B A a A A x x ax x x71、( ) 答 高阶的无穷小是比高阶的无穷小是比是等价无穷小与等价无穷小是同阶无穷小,但不是与时( ),则当,设.)()()(; )()()(; )()()(; )()()(133)(11)(3x x D x x C x x B x x A x x x xxx αββαβαβα→-=β+-=α72、答( ) 不存在,但不是无穷大为无穷大 等于 等于之值.)( ; )(;0)( ; 1)(11sin limD C B A xx x →73、答( ) 不存在,但不是无穷大为无穷大 等于 等于 .)( ;)(;2)( ; 0)(2coslim 2D C B A x x x +→75、若,当时为无穷小,则, ,, , 答( )f x x x ax b x A a b B a b C a b D a b ()()()()()=+--→∞==-===-=-=-=211111111176、f x x xx A x B x C x f x D x f x ()sin ()()()()()()()()=⋅<<+∞→+∞→+∈+∞→+110000 当时为无穷小当时为无穷大当,时有界当时不是无穷大,但无界. 答( )77、设,,则当时 与是同阶无穷小,但不是等价无穷小是比高阶的无穷小与不全是无穷小αβαβαβαβαβ=+=→+∞ln()~()()()x xarcctgx x A B C D 1答:( )78、答( ) 小量的是时,下列变量中为无穷当1)1)((ln 1)()1ln()(1sin 1)(0122-+-+→x D x C x B x x A x79、 ) 答( 穷大的是时,下列变量中,为无当x D x C x B xx A x 1cotarc )(1arctan )(ln )(sin )(0+→ 80、当时,下列无穷小量中,最高阶的无穷小是 答( )x A x x B x C x x D e exx→++---+--0111222()ln()()()tan sin ()81、当时,在下列无穷小中与不等价的是 答( )x x A x B x C x x D e exx→-++--+--01211122222()cos ()ln ()()82、设 当 当 且,则,,,可取任意实数,可取任意实数 答( )f x bx x x a x f x A b a B b a C b a D b a x ()lim ()()()()()=+-≠=⎧⎨⎪⎩⎪=======→11003336336083、设,当, 当 适合则以下结果正确的是仅当,,仅当,,可取任意实数,,可取任意实数,,都可能取任意实数 答( )f x x x bx x a x f x AA a b AB a A bC b A aD a b A x ()lim ()()()()()=++-≠=⎧⎨⎪⎩⎪===-====-=→212111434443484、 答( ) 可取任意实数可取任意实数可取任意实数,可取任意实数,间正确的关系是,,则,且当, ,当设2)(2)(2)(2)()(lim 0 0cos 1)(222a Ab a D aA b a C a A b aB aA b a A A b a A x f x b x x ax x f x =======⎪⎩⎪⎨⎧=≠-=→85、aA A b a D Ab a a C b A b a B a A b a A A b a A x f x b x xax d x f x ln )()()()()(lim 0 0)1ln()(0======⎪⎩⎪⎨⎧=≠+=→仅取可取任意实数,而,可取任意实数且可取任意实数,,可取任意实数,,之间的关系为,,则,,且当 , ,当设答:()86、ab A a D a A b a C b A b a B A b a A A b a Ax f x b x x e x f x ax ======⎪⎩⎪⎨⎧=≠-=→可取任意实数且可取任意实数,,可取任意实数,,可取任意实数,,之间的关系为,,则,且, 当,当设)()()(1)()(lim 001)(0答:()88、以下极限式正确的是 答( )()lim()()lim()()lim()()lim()A x e B x e C x e D xx x x x x x x x →+→+-→∞-→∞-+=-=-=+=00111111111191、lim sin ()()()()x x xA B C D →∞===∞110之值 不存在但不是无穷大 答( )99、lim(cos ).....x x xA B C D →-=-0212220 不存在 答:()102、 答( ) 不存在 .2.2.2.312lim2D C B A x x x ±-=++∞→ 答( ) . . . .21)21(lim 2sin 0D e C e B A x xx =+→111、( ) 答 阶的是时,下述无穷小中最高当xx D x C x B x A x sin 11cos 1022----→112、 答( ) .. . . .是等价无穷小,则与时,若当232123211cos )(1)1()(0312--=-=β-+=α→D C B A a x x ax x x 114、lim ()lim ()()x x x x f x f x a f x x x A B C D →→--===0000,是函数在处连续的( ).充分条件 .必要条件.充分必要条件 .既非充分又非必要条件 答( )115、函数,, ,在点的连续性是( ).连续; .左连续,右不连续;.右连续,左不连续;.左右都不连续. 答( )f x e x x x A B C D x ()=-≠=⎧⎨⎪⎩⎪=-101001116、) 答( . . . .( ).处连续,则 ,在, ,设函数2420111132)(2D C B A a x x a x x x x x f --=-=⎪⎩⎪⎨⎧-=-≠+--= 117、) 答( . . . .的值等于( )处连续,则在若, ,设函数2121120)(020cos )( 2-=⎪⎩⎪⎨⎧≥+<+=D C B A a x x f x x a x x e x f x118、 ) 答( . . . .( )点连续,则 ,在, ,设eD e C e B e A k x x ke x xxx f x 21222000cos 1)(1==⎪⎩⎪⎨⎧≤>-=-119、 ) 答( . . . .的最大的取值范围是点连续,则 ,在 , ,若函数100100001sin )(>>≥≥=⎪⎩⎪⎨⎧=≠=K D k C k B k A k x x x x x x f k 120、 答( ) . . . .( )处连续,则在 ,如果,,设函数43210)(020cos 3)(D C B A b x x f x b x x x x f ==⎩⎨⎧≥+<= 123、 答( ) . . . .的值是( )处连续,则在 ,则,,设21210)(020tan )(--=⎪⎩⎪⎨⎧≤+>=D C B A k x x f x x x x kxx f 124、( ) 答 ,,. , ,., ,. , ,.处不连续的是( )下列函数在⎪⎩⎪⎨⎧<-+≥--=⎩⎨⎧<-≥+=⎪⎩⎪⎨⎧=≠=⎪⎩⎪⎨⎧====-01)1(2012)(00)1ln()(0001sin )(000)(0221x x x x x x f D x x x x x f C x x xx x f B x x e x f A x x设, , , ,则在处( ).连续; .右连续,但左不连续;.右不连续,而左连续;.左、右都不连续; 答( )f x x x x x e x x f x x A B C D ()sin ()=>=+<⎧⎨⎪⎪⎪⎩⎪⎪⎪=0101110126、设, , , ,则在处( ).连续; .右连续,但左不连续;.右不连续,而左连续;.左、右都不连续. 答( )f x xxx x x e x f x x A B C D x ()cos ()=->=--<⎧⎨⎪⎪⎪⎩⎪⎪⎪=1012011200 127、[]下列函数在点连续的是( ).; .,, .,, .. 答( )x A f x x x B f x xxx x C f x x xx x D f x x x ==≠=⎧⎨⎪⎩⎪=≠=⎧⎨⎪⎩⎪=001010001()()()sin ()sin128、下列函数在处不连续的为( ). .,, .,, .,, 答( )x A f x x B f x xxx x C f x x x x x D f x xxx x x ===≠=⎧⎨⎪⎩⎪=≠=⎧⎨⎪⎩⎪=><⎧⎨⎪⎩⎪001001000()()sin ()sin ()sin cos函数的不连续点( ).仅有一点; .仅有一点;.仅有一点; .有两点和. 答( )f x x x A x B x C x D x x ()()ln()=-+===-==111101012130、 答( ) 是第一类.是第二类,.是第一类;是第二类,.都是第二类;,.都是第一类;,.型为( ),则此函数间断点的题、的间断点为函数212121212123122=======+--=x x D x x C x B x A x x x x y131、 答( ) .,,.有三点;,.只有两点;,.只有两点; ,.只有两点的间断点是( )函数11011101011111-=-=-==-+-=x D x C x B x A xx x y132、 答( ) 处连续.处间断,在在.处间断;处连续,在在.处都连续;,在.处都间断;,在.则有( ), , ,设函数21)(21)(21)(21)(22221132)(2========⎪⎩⎪⎨⎧>-≤<≤-+=x x x f D x x x f C x x x f B x x x f A x x x x x x x x f133、( ) 答 都是第二类间断点.,.为第一类间断点;为第二类间断点,.为第二类间断点;为第一类间断点,.都是第一类间断点;,.点的类型为( )的二个间断点,则间断为,,且设10101010)(10)1(2cos)(-=====-==-π=x x D x x C x x B x x A x f x x x x x f141、) 答( . . . . 点连续,则 ,在, ,设422141)(0120)1ln(1sin 1)(2D C B A k x x x kx x x x f ==⎪⎩⎪⎨⎧=≠+-+=142、极限的值为( ). . . . 答( )limsin x x x x eA B C D →+--0111012122144、) 答( . . . .的值是( )极限619131313cos ln cos ln lim0D C B A x xx -→ 145、极限的值为( ). . . . 答( )limln x e x x eA B e C e D →---1101147、极限的值是. . . . 答( )lim ln()ln()x x x A B C D →+---02212132132349设函数, , 在,上连续,则,的值,用数组,可表示为 ., .,., ., 答( )f x x x x ax b x x x a b a b A B C D (),()()()()()()()=+-<+≤≤+>⎧⎨⎪⎪⎪⎩⎪⎪⎪-∞+∞1100111123232121120 155、 答( ) 任意,. ,.,. ,.表示为( ),用数组,连续,则常数上, ,在, ,, 设函数)1()01()10()11()()(11102cos 210sin )(b D C B A b a b a x x bx x x x x x axx f ∞+-∞⎪⎪⎪⎩⎪⎪⎪⎨⎧>--≤≤+<=π164、 答( ) 振荡间断点. 无穷间断点; 可去间断点; 连续点; 的是,则点设)()()()()(02cos)(2C C B A x f x x xx x f =+=f x x x xf x A x B x C x x D x x x ()ln ()()=++==-==-==-=2210101011,则的可去间断点为 .仅有一点.仅有一点.有两点及.有三点,及 答( ) ) 答( . .为任意实数,., ,.处连续则有( ) 在,当,当2)(2)(0)(20)(002sin 0)(2bb a D b a C b a B b a A x x xbx x bx a x f =+=====⎪⎩⎪⎨⎧>≤+= 180、f x eex f x A B C D x x()()()()()()=-+=11011,点是的.可去间断点 .跳跃间断点.无穷间断点 .连续点 答( )181、 答( ) .连续.仅是右连续 .仅是左连续.有可去间断点 处,则在设)()()()()(1)11()(D C B A x f x x x x f =-+=182、f x x x xx x xx f x A x B x C x x D ()sin ()=-+-≤>⎧⎨⎪⎪⎩⎪⎪====44202002022,当,当则关于的连续性的正确结论是( ).仅有一个间断点.仅有一个间断点.有两个间断点及.处处连续 答( )187、要使在处连续,应补充定义的值为. . . . 答( )f x x x f A B e C e D ex ()()()()()()()=+=----2000222412188、 答( ) 的取值应为:处连续,在,要使 设1)(21)(0)(1)()0(0)()0(sin sin )(-=≠+-=D C B A f x x f x xx xx x f189、设,当, 当 则 .处处连续.有一个间断点.有一个间断点.有及两个间断点 答( )f x x x x x f x A B x C x D x x ()ln ()()()()()()=-<≥⎧⎨⎪⎩⎪====13113003、二、填空题(共 39 小题,100 分)21、.____________)31(lim sin 20=+→xx x22、.,则设____________8)2(lim ==-+∞→a ax a x xx 24、__________1)sin 1(lim 0=-+→xx x x25、_____________1)21(lim 230=-+→xx x x 27、___________)1ln(2)cos(sin 1lim20的值等于x x x +-→30、____________lim的值等于xx x e e x-→-32、_____________69lim 223的值等于---→x x x x34、_____________000)(sin 2sin ==⎪⎩⎪⎨⎧=≠-=a x x a x xe e xf xx 处连续则 在, ,设 35、. ___________0 , 001sin )(2==⎪⎩⎪⎨⎧=≠-+=a x x a x xe x xf ax 处连续,则在 ,当,当 37、_________)0(0)()0(2cot )(==≠=f x x f x x x x f 点处连续,则在,要使设 三、计算题(共 200 小题,100 分)1)63(lim -∞→++x x xx 求 132、研究极限.lim x x x x →∞++-2231计算极限lim x x x x x x →-+---23223322154、计算极限limx x x x →+-++-021111155、求极限 ,为非零常数limtan sin ()x mxnx m n →0171、求极限.limln cos x xx →02179、求极限.lim()x xx x →∞+-21213 180、求极限lim()x xx →-0112188、求极限.limx x e x →-051189、求极限.limx x x e e x →-+-022191、求极限 ,.lim()x x a xa a →->≠03101。
高数极限练习题高数极限练习题高等数学作为大学数学的重要组成部分,对于理工科学生来说是一门重要的基础课程。
而在高等数学中,极限是一个非常重要且基础的概念。
通过练习极限题目,可以帮助学生更好地理解和掌握极限的概念和计算方法。
下面我们来看一些常见的高数极限练习题。
1. 计算极限:(a) lim(x→0) (sinx/x)(b) lim(x→∞) (1/x)(c) lim(x→1) (x^2 - 1)/(x - 1)(d) lim(x→∞) (x^2 - 2x)/(x + 1)对于题目(a),我们可以利用极限的定义,将sinx展开成其泰勒级数形式,然后化简得到lim(x→0) (sinx/x) = 1。
这个结果是非常重要的,因为它表明当x趋近于0时,sinx/x的极限等于1,这个结果在微积分中经常被使用到。
对于题目(b),我们可以直接计算lim(x→∞) (1/x) = 0。
这个结果也是比较容易得到的,因为当x趋近于无穷大时,1/x趋近于0。
对于题目(c),我们可以将分子和分母同时除以(x - 1),得到l im(x→1) (x^2 - 1)/(x - 1) = lim(x→1) (x + 1) = 2。
这个题目的关键是将分式化简成一个可以直接计算的形式。
对于题目(d),我们可以将分子和分母同时除以x,得到lim(x→∞) (x^2 - 2x)/(x + 1) = lim(x→∞) (x - 2) = ∞。
这个题目的关键是将分式化简成一个可以直接计算的形式,并且注意到当x趋近于无穷大时,x - 2也趋近于无穷大。
2. 利用极限计算导数:(a) 计算f(x) = x^2的导数(b) 计算f(x) = sinx的导数(c) 计算f(x) = e^x的导数对于题目(a),我们可以利用极限的定义,计算f(x) = x^2的导数。
根据导数的定义,f'(x) = lim(h→0) (f(x + h) - f(x))/h = lim(h→0) ((x + h)^2 - x^2)/h =lim(h→0) (2xh + h^2)/h = lim(h→0) (2x + h) = 2x。
第一章函数极限连续测试姓名 分数一、单项选择题(本大题共10小题,每小题3分,共30分)1.若函数f(x)={2x −1,x ≥15−x,x <1,则x=1是f(x)的( ) A 无穷间断点B.振荡间断点C.可去间断点D.跳跃间断点2.当x→0时,下列是等价无穷小的是( )A sin5x 与3x 2B.ln(1+3x)与5xC.1-cos2x 与xD. e 3x -1与3x3.下列集合中( )是空集A.{0,1,2}∩{0,3,4}B.{1,2,3}∩{5,6,7}C. {(x,y)∣y =x 且 y =2x}D.{x ∥x ∣<1 且 x ≥0}4.下列各组函数中是相同的函数有( )A f(x)=x,g(x)=(√x)2B f(x)=|x|,g(x)=√x 33C f(x)=1,g(x)=sin 2 x +cos 2 xD f(x)=x 3x ,g(x)=x 25.函数 f(x)=1lg |x−5| 的定义域是( )A (−∞,5)⋃(5,+∞)B (−∞,6)∪(6,+∞)c (−∞,4)∪(4,+∞)D (−∞,4)∪(4,5)∪(5,6)∪(6,+∞)6.设函数 {x +2−∞<x <02x0≤x <2(x −2)22≤x <+∞则下列等式中, 不成立的是( ) A f(0)=f(1)B f(0)=f(−1)C f(−2)=f(2)D f(−1)=f(3)7. 下列函数中,( )是偶函数A |x|xB x 3sin xC a x −1a x +1D 10x −10−x 28. 下列函数中, 有界的是( )A y =arctan xB y =tan xC y =1xD y =2x9. 若 f(x −1)=x(x −1), 则 f(x)=( )A x(x +1)B x(x −1)C x(x −1)+1D 不存在10. 下列函数不是复合函数的有( )A y =(12)xB 2)1(x y −−=C y =lg sin xD y =e √1+sin x二、填空题(本大题共5小题,每小题6分,共30分)13.函数y =ln(x−1)√5−x 的定义域为 . 14.若f(x)=2x 2+10x−13x 3−5x 2+8,则lim x→∞f(x)= . 15.奇+奇= .三、解答题(本大题共6小题,共60分,写出必要的文字说明,演算步骤)21.(本题8分)计算极限limx→+∞x+2.22.(本题8分)极限lim x→0(1+x )3x .23.(本题8分)极限limx→3√x+1−2x 2−9.x 2ln24.(本题10分) 略25.(本题12分) 极限limx→π2(sinx1−sin x−2cos2x)26. (本题12分) 讨论函数f(x)={x2sin1x,x≠00,x=0在x=0处的连续性.。
第一章 函 数 与 极 限第 一 二 节 作 业一、填空题:1. 函数f(x)=x -3+arctanx1的定义域是 。
2. 设f(x)的定义域是[0,3],则f(lnx)的定义域是 。
二、选择题(单选):1. 设f(x)=⎪⎩⎪⎨⎧≤<≤≤--ππx x x x 0,sin 0,sin 33,则此函数是:(A )周期函数; (B )单调增函数; (C )奇函数; (D )偶函数。
答:( )2. 设f(x)=x e ,g(x)=sin 2x, 则f[g(x)]等于:(A )xe2sin ; (B ))(sin 2x e ; (C )x e x 2sin ; (D )2)(sin 2xe x答:( )三、试解下列各题: 1. 设{1,21,1)(22>-≤--=x x x x x x x f ,求f (1+a)-(1-a), 其中a>0.2. 设f (x+1)=232+-x x , 求f (x).3. 设f (x)=xx+-11 , 求f[f(x)].4. 设y=1+ln(x+2),求其反函数。
四、证明:定义在[-l ,l]上的任何函数f (x)都可表示为一个偶函数与一个奇函数之和。
第 三 节 作 业一、填空题:设数列{n u }的一般项公式是1213++=n n u n ,n 从 开始,才能使23-n u 〈0.01成立。
二、选择题(单选):1. 下列数列{n x }中,收敛的是: (A )n n x nn 1)1(--= ; (B )1+=n n x n ; (C )2sin πn x n =; (D )nn n x )1(--=。
答:( ) 2. 下列数列{n x }中,发散的是:(A )n n x 21=; (B )2)1(5n x n n -+=; (C )2312+-=n n x n ; (D )2)1(1n n x -+=。
答:( ) 三、试利用数列极限定义证明:321312lim=++∞→n n n 。
练习1-1(2)∕(∕n5S)W)∙4.设映射f ιX→Y y若存在一个映射g.Y→X.使S-f=I x 5 f-g=ιγ,其中《、“分别是x、y上的恒等映射,即对于每一个xwX,有ZYXnc;对于每一个ywlζ有b>⅛=y.证明:/是双射, 且g是/的逆映射:g=f~x.5.设映射f .X→Y,A^X.证明: (Ir I m)=>4;(2)当/是单射时,有Γ1(∕(^)M・6.求下列函数的自然定义域: (l)y=V3x+2 ;⑶丿=丄-JI-X2 ;X(5) j∕=sin √x;(7)戶arcsing - 3);(8)>,=√3-x+arctan—;⑼TI如);解±x+l>O得函数的定义域P=(-19+∞X1(IO)尸尹.解±x≠0得函数的定义域6(-00, 0)u(0,+00).7.下列各题中,函数、冷)和蛉)是否相同?为什么? (l)∕(x)≡lgx2,4g(x)≡21gx;解不同.因为定义域不同.⑵/(兀)=七g(x)=V?;解不同.因为对应法则不同,无<0时,g(x)=-兀.⑶f(x)=l∕^(X)=X^[x^i ;解和同.因为定义域、对应法则均相相同.(4MX)=I, g(x)=sec2x-tai^x .解不同.因为定义域不同.&设卩(兀)=<兀一3疗一求久石),仅牙)5 0(-牙}9吠-2)9并作出函数片於)的图形.9・试证下列函数在指定区间内的单调性:⑴p=⅛gi);(2)y=x+lnx, (0, +□o).io.设yu)为定义在(-M内的奇函数,若沧)在(0』内单调埠加,证明金)在(-/,0)内也单调增加・11.设下面所考虑的函数都是定义在对称区间上的,证I(1)两个偶函数的和是偶函数,两个奇函数的和是奇函数;(2)两个偶函数的乘积是偶函数,两个奇函数的乘积是偶函数偶函数与奇函数的乘积是奇函数.证明设F(x)=f(xyg(x∖如果Λr)和能)都是偶函数,则F(-x M-兀)∙g(-x )∕X)∙g(x)=F(Q 所以Fa)为偶函数,即两个偶函数的积是偶函数.如果压)和ME都是奇函数7则F(→)=∕(-x) g(-Λ)=[√{x)] [-g(x)]√(x)∙g(x)=F(x)9 所以Fa)为偶函数,即两个奇函数的积是偶函数・如果用)是偶函数,而g(x)是奇函数,则F(-x>√(-兀)g(-xM>)[-曲)]=√(H)於)=-F(Q 所以F(Q为奇函数,即偶函数与奇函数的积是奇函数.12.下列函数中哪些是偶函数,哪些是奇函数,哪些既非奇目数又菲偶函数?{l)y=x2(l-x2);解因为Λ→X→)2[l-(→)2]^x2( 1 →2M X),所以√(x)是偶函I-X2.l+x2 9解因为/(一X)=走⅛g,所畑)是偶函{2)y=3x2-x3;⑶尸(4]yw(x-I)(X+1);(5)y=sinx-cos x+1;解由∕{-x)=SirI(-工)-cos(-x)+1 =-sinx-cos x+1 可见√(v)既? 数又非偶函数,(6)尸¥13.下列各函数中哪些是周期函数?对于周期函数,指出其周期:(l)y=cos(x-2);(2)y=cos 4x;(3)y=l+sinπv;(4]y=xcosx;(5)y-siι∕x.14.求下列函数的反函数: (l)y=Vjc+l ;解由尸炖得⑵尸l—x. 1+x ,解由y=2sin Sx 得1 - yX=—arcsm⅛-.3 2所以y=2sinlr 的反函数为解由尸昙得一 1一丿X ~u7,所以v=⅛的反函数为(^y=^±^(ad-bc≠O); cx+a解由P=空毘得CX+d所以空卑的反函数为V =Ir一 dx+b(5)尸 l+ln*+2); 解 由*l+ln*+2)得所以y=l 十ln&十2)的反函数为 y=e x ^l -2.解由少=莞?得 X=Iog2 F L , ι-y所以尸丄的反函数为 2x +lP=Iog215. 设函数金)在数集X 上有定义 试证:函数庄)在X 上有 界的充分必要条件是它在X 上既有上界又有下界・⑹尸 2x 27+l证明先证必要性.设函数TIH)在X 上有界,则存在正数M 使 ∖f(x)∖≤M 9 即-Mg)≤M这就证明了心)在X 上有下界-M 和上界M. 再证充分性设函数刃>)在X 上有下界Kl 和上界心,即 KIg)≤ K 2. 取M=UmX{Kι∣,KT},则-M<K A ^∖X )<K 1<M,即Iz(X)KM. 这就证明了 Λχy^x±有界. 16. 在下列各题中,求由所给函数复合而成的函数,并求这 函数分别对应于给定自变量值Xi 和Xi 的函数值:解 y=sin2v, I =Sin(2∙-^)=Sm^=^(3) y=y∕^i 9 U ==I+x 9 Xl=IS 兀2= 2; 解 y=y∕l+x 2 9 jμ1=71+l 2 =V2 , y 2 =∖∕l + 22 =√5 a_兀71 ,X l=P,j 2=siπ(2∙^)=sι∩y=L(I)^=W 29 M=Sinx 5 x 16(4)Jfee M9u=x29 Xi =0, x2=l;解y = eχ25y↑ =e°2 =15j∕2=^I2 =e-n II(5)y=u , , xι=l9 %2=-l.解2j5yι=e2,1=e2, j2=^2^"1^=e^2β17.设沧)的定义域D=G U求下列各函数的定义域: (Iw);解由O≤r2≤l得IXld⑵.AsiiK);解由OSSinXSl得2nπ≤x<(2n+1 )π(∕ι=0, ±1, ±2・・・), 所以函数爪血)的定义域为⑵忆(2H+1)∕Γ](H=O? +1, 土2…)・⑶Λ*)(QO);所以函数/(/)的定义域为解由O≤τ+QSl得-a≤x< 1 -Zi, 所以函数βx+a)的定义域为[-a, ∖-a∖.⑷刃χ+d)t∕H)(U〉o)・解由O≤τ+6r≤ l 且O≤x-α≤l 得: '"ι0<π<y 时,a≤x<∖-a∖ 当α>*时,无解.因此当0<a≤^时函数的定义域为阪1-H当时函数无意义f 1 ∣χ∣<l1& 设f(x)=∖ 0 ∖x∖=l9g(x)=e s9求√[g(x)]^tl g[∕(x)]5并作[-1 ∖x∖>∖出这两个函数的图形.1 解/WA O-1■I 护∣<1 f 1I5即/Ig(χ)]T OW(x)]=RE={ e0x∣<l e心,即M∕Cv)]=j1 x∣>l0 IL IL < => I-IiiIIH^ XXXx>0x=Q.19.已知水渠的横断面为等腰梯形,斜 角歼40。
‰高等数学(Ⅰ)练习 第一章 函数、极限与连续________系_______专业 班级 姓名______ ____学号_______习题一 函数一.选择题 1.函数216ln 1x xx y -+-=的定义域为 [ D ] (A )(0,1) (B )(0,1)⋃(1,4) (C )(0,4) (D )4,1()1,0(⋃] 2.3arcsin 2lgxx x y +-=的定义域为 [ C ] (A ))2,3(]3,(-⋃-∞ (B )(0,3) (C )]3,2()0,3[⋃- (D )),3(+∞- 3.函数)1ln(2++=x x y 是 [ A ](A )奇函数 (B )非奇非偶函数 (C )偶函数 (D )既是奇函数又是偶函数 4.下列函数中为偶函数且在)0,(-∞上是减函数的是 [ D ](A )222-+=x x y (B ))1(2x y -= (C )||)21(x y = (D ).||log 2x y =二.填空题1. 已知),569(log )3(22+-=x x x f 则=)1(f 22. 已知,1)1(2++=+x x x f 则=)(x f3. 已知xx f 1)(=,x x g -=1)(, 则()=][x g f4. 求函数)2lg(1-+=x y 的反函数5. 下列函数可以看成由哪些基本初等函数复合而成 (1) x y ln tan 2=:(2) 32arcsin lg x y =:__________ _____________________三.计算题1.设)(x f 的定义域为]1,0[, 求)(sin ),(2x f x f 的定义域21x x -+1102()x y x R -=+∈11x -2,tan ,ln ,y u u v v w w ====23,lg ,arcsin ,y v v w w t t x =====2()[11](sin )[2,2]()f x f x k k k Z πππ-+∈的定义域为,的定义域为2.设⎪⎩⎪⎨⎧<<-≤-=2||111||1)(2x x x x x ϕ , 求)23(),21(),1(ϕϕϕ-, 并作出函数)(x y ϕ=的图形.4.已知水渠的横断面为等腰梯形,斜角40=ϕ(图1-22)。
函数极限题库及答案详解1. 求极限 \(\lim_{x \to 0} \frac{\sin x}{x}\)。
答案:根据洛必达法则,当 \(x \to 0\) 时,分子分母同时趋向于0,可以应用洛必达法则。
对分子分母同时求导,得到 \(\lim_{x \to 0}\frac{\cos x}{1} = 1\)。
2. 求极限 \(\lim_{x \to \infty} \frac{3x^2 + 2x + 1}{x^2 +5}\)。
答案:当 \(x \to \infty\) 时,分子和分母的高次项将主导极限的值。
因此,\(\lim_{x \to \infty} \frac{3x^2}{x^2} = 3\)。
3. 求极限 \(\lim_{x \to 2} \frac{x^2 - 4}{x - 2}\)。
答案:这是一个0/0的不定式,可以进行因式分解,分子可以分解为\((x - 2)(x + 2)\),因此原式变为 \(\lim_{x \to 2} (x + 2)\),结果为4。
4. 求极限 \(\lim_{x \to 0} \frac{e^x - 1}{x}\)。
答案:根据e的泰勒展开式,\(e^x = 1 + x + \frac{x^2}{2!} +\frac{x^3}{3!} + \cdots\),当 \(x \to 0\) 时,高阶项可以忽略,因此 \(\lim_{x \to 0} \frac{e^x - 1}{x} = 1\)。
5. 求极限 \(\lim_{x \to 0} \frac{1 - \cos x}{x^2}\)。
答案:根据泰勒展开,\(\cos x = 1 - \frac{x^2}{2!} +\frac{x^4}{4!} - \cdots\),因此 \(\lim_{x \to 0} \frac{1 -\cos x}{x^2} = \lim_{x \to 0} \frac{-\frac{x^2}{2!} +\text{高阶项}}{x^2} = -\frac{1}{2}\)。
设xxx f +=12)(,求)(x f 的定义域及值域。
,,,且成立,对一切实数设a f f x f x f x x f x x x f =≠=+)1(0)0()()()()(212121)()()0(为正整数.及求n n f f定义函数)(x I 表示不超过x 的最大整数叫做x 的取整函数,若)(x f 表示将x 之值保留二位小数,小数第3位起以后所有数全部舍去,试用)(x I 表示)(x f 。
定义函数)(x I 表示不超过x 的最大整数叫做x 的取整函数,若)(x g 表示将x 依4舍5入法则保留2位小数,试用)(x I 表示)(x g 。
在某零售报摊上每份报纸的进价为0.25元,而零售价为0.40元,并且如果报纸当天未售出不能退给报社,只好亏本。
若每天进报纸t 份,而销售量为x 份,试将报摊的利润y 表示为x 的函数。
的取整函数,试判定的最大整数叫做表示不超过定义函数x x x I )(的周期性。
)()(x I x x -=ϕ的奇偶性。
判定函数)1ln()1()(x x ex f xx -+⋅-=+ [)设,问在,上是否有界?f x e x f x x ()sin ()=+∞0函数的图形是图中所示的折线,写出的表达式。
y f x OBA y f x ==()()⎩⎨⎧≤≤-<≤=ϕ⎩⎨⎧≤≤+<≤=.,;,.,;, 设64240)(42220)(2x x x x x x x x x x f [][].及求)()(x f x f ϕϕ[][]设,;,.,求及.f x x x x x f x f x ()()()()=-≤>⎧⎨⎩=-101021ϕϕϕ⎩⎨⎧>-≤=ϕ⎩⎨⎧>≤-=.,;,., ;,设000)(00)(2x x x x x x x e x f x [].及的反函数求)()()(x f x g x f ϕ []设,,;,.求.f x x x x x x x x f x ()()()()=+=<≥⎧⎨⎩12002ϕϕ[]设,;, .求.f x x x x f f x ()()=+<≥⎧⎨⎩2020.求.,;,.,;,设)()( 111)(000)(x x f x x x x x x x x x f ϕ+⎩⎨⎧≥<+=ϕ⎩⎨⎧≥<=设, ;,;, 4.求的反函数.f x e x x x x x f x x x ()()()=-∞<<+≤≤-<<+∞⎧⎨⎪⎩⎪01041ϕ设,;,;,.求的反函数.f x x x x x x f x x x ()()()=-∞<<≤≤<<+∞⎧⎨⎪⎩⎪114242φ求:.,;,设⎪⎩⎪⎨⎧≥-<-=001)(2x x x x x f。
为常数.及的定义域;)()()2()2()()1(2a a f f x f设,;, ;, .求.f x x x x x f x f x f x x ()()(sin )()=-<-≤>⎧⎨⎪⎩⎪+⋅---11111354622设,;,.求.f x x x x x f x ()()=+≥+<⎧⎨⎩-2104012设,;,.,求及.f x x x x x f f ()log (cos )(sec )=≤>⎧⎨⎩221144ππ:试作出下列函数的图形., ;, ;,设⎪⎩⎪⎨⎧>-=<≤-+=0200012)(x x x x x x f.;;2)()()3()()2()()1(x f x f y x f y x f y +-===:试作出下列函数的图形,,;,设⎪⎩⎪⎨⎧≤<+-=<≤--=2020102)(x x x x x x f.;;2)()()3()()2()()1(x f x f y x f y x f y -+=-==的图形。
,试画出.,;设.)(),()( 2111,1)(2x f y x f y x f y x x x x x f =-==⎪⎩⎪⎨⎧≤<+-≤-= []上是偶函数。
,在,使求.,,,设11)()(1001)()(2-ϕ⎪⎩⎪⎨⎧≤≤-<≤-ϕ=x f x x x x x x x f⎪⎪⎩⎪⎪⎨⎧>-=<ϕ=时.,当时,, 当时,,当设01000)()(x x x x x x x f是奇函数。
,在,使求;求)()()()2()cos 2()1(∞+-∞ϕ+x f x x f,., ;, ;, 设)21()(21210010)(x f x F x x x x x x f -=⎪⎩⎪⎨⎧<≤-<≤<≤-= 的图形。
画出的表达式和定义域;求)()2()()1(x F x F设, , ;, .求的定义域及值域。
f x x x x x x f x ();()=-≤<+≤<-≤<⎧⎨⎪⎩⎪010101212设,;,求、及的值。
f x x x x f f f x ().()()()=+≤>⎧⎨⎩-1020202设,;,求,其中.f x x x x x x x f a f a a ()()()=-+≤->⎧⎨⎪⎩⎪++->221121110 求函数的反函数,并作出这两个函数的图形。
y x =+ln 1求函数的反函数,并作出这两个函数的图形(草图)。
y x y x =+=sin()()πϕ4求函数的反函数,并作出这两个函数的图形(草图)。
y x y x =-=tan()()1ϕ 利用图形的叠加作出函数的图形。
y x x =+sin利用图形的叠加作出函数的图形。
y x x=+1作函数的图形(草图)y x =-11。
作函数的图形(草图)y x =-ln()1。
作函数的图形。
(草图)y x =-arcsin()1(草图)作出下列函数的图形: .;;222)1()3()2(1)1(-=-=+=x y x y x y 设函数,就和时,分别作出其草图。
y ax a a ===-lg 12列函数的图形(草图)的图形(如图)作出下利用x y 2=:.;x x y y 231)2(12)1(=+=)列函数的图形:(草图的图形(如图)作出下利用x y sin =。
;)4sin()2(2sin )1(π-==x y x y利用的图形(如图)作出下列函数的图形:(草图);y x y x y x ===+sin ()sin ()sin 11221212ππ-义域。
的反函数,并指出其定,求函数)(3ln∞+-∞=xy 义域。
的反函数,并指出其定求函数)( 3+∞<<-∞=x xch y义域。
的反函数,并指出其定求函数)( 3+∞<<-∞=x xSh y义域。
的反函数,并指出其定求函数,1122+-=x x e e y 验证1122-=-cth x sh x 。
验证1122-=th x ch x。
验证Ch Ch Ch Sh Sh ()αβαβαβ-=-。
验证Ch Ch Ch Sh Sh ()αβαβαβ+=+。
验证Sh Sh Ch Ch Sh ()αβαβαβ-=-。
验证Sh Sh Ch Ch Sh ()αβαβαβ+=+。
验证。
22Shx Chx Sh x ⋅=证明Sh x Ch x Ch x 222+=。
,,设axax x x x x f +-=ϕ+∞<<-∞=1)()( arctan )([]。
,验证:,)()()()11(a f x f x f x a -=ϕ<< []设,,求f x x x x f x ()ln ()()=+=+11ϕϕ。
[]设,,求f x x xx x f x ()()()=+=112ϕϕ。
[][][]设,,求、及。
f x x x f x f x f f x x ()sin ()()()()==ϕϕϕ2[][]设,,求及。
f x x x x f x f x ()()()()=+=+1112ϕϕϕ ()[]{}设,,求及f x xx x x f f x f f f x ()()()=-≠≠⎡⎣⎢⎤⎦⎥1011。
[]设,,求及其定义域。
f x x x x x f x ()()()=+=+-111122ϕϕ[]已知,,且,求,并指出其定义域。
f x e f x x x x x ()()()()==-≥210ϕϕϕ[][]设,,求及。
f x x x x f x f ()ln ()()()==-ϕϕϕ102[]设,,求及其定义域。
f x x x x f x ()arcsin ()lg ()==ϕϕ 求函数的反函数,并指出反函数的定义域。
y x x =-≤-211()求函数的反函数,并指出其定义域。
y x x =-≤<lgarccos ()311的反函数求函数xxy +-=11arctg。
求函数的反函数,并指出其定义域。
y e e xx =--12() 求函数的反函数的形式。
y a xa x a =-+>ln ()0求函数的反函数,并指出其定义域。
y e e xx=+1求函数的反函数y x x x =+4。
的定义域。
,并指出的反函数求函数)()()1(1111)(x x x xxx f φφ≤-+--=求函数的反函数式中,。
f x x x x a a a ()log ()()()=++>≠1012φ设,求的反函数,并指出其定义域f x e e e e f x x x xx x()()().=-+-ϕ 设,试讨论的单调性和有界性。
f x xxx f x ()()()=+≤<+∞10讨论函数在区间,和,内的单调性。
f x x x ()()()=++∞1011讨论函数的有界性。
f x xx ()=+12讨论函数,当,,时的有界性。
f x x x()()()=+∈-∞+∞132001讨论函数在,上的单调性。
f x x ()()=-∞+∞2讨论函数在,上的单调性。
f x x a a x ()()()=->-∞+∞-1讨论函数在,内的单调性f x x ()ln ()=-+∞10。
b x a f x x x x x x f ++=⎩⎨⎧≤<-<≤-+=)()(311112)(φ,,,设为奇函数。
除外的值,使,试求)0)((=x x b a φ判断的奇偶性f x e e xxx x x ()ln ()=+--+-<<111111。
证明是奇函数f x x x ()()()=+--2323。
判定在其定义域,上的奇偶性。
f x x arc x ()cot ()=+-∞+∞判定 的奇偶性。
f x x x x ()()()()=--+-∞<<+∞13132323的奇偶性。