高等数学函数与极限试的题目
- 格式:doc
- 大小:425.00 KB
- 文档页数:10
第一篇高等数学第一章函数、极限与连续强化训练(一)一、选择题1.2.提示:参照“例1.1.5”求解。
3.4.解因选项(D)中的 不能保证任意小,故选(D)5.6.7.8.9.10.二、填空题11.提示:由2cos 12sin 2xx =-可得。
12.13.提示:由1 未定式结果可得。
14.提示:分子有理化,再同除以n即可。
15.提示:分子、分母利用等价无穷小代换处理即可。
16.17.提示:先指数对数化,再利用洛必达法则。
18.19.解因()2000122(1cos )22cos 2lim lim lim lim lim 1x x x x x x x xx f x x xxx -----→→→→→⋅---=====- ()0lim lim xx x f x ae a --→→==, 而()0f a =,故由()f x 在 0x =处连续可知,1a =-。
20.提示:先求极限(1∞型)得到()f x 的表达式,再求函数的连续区间。
三、 解答题 21.(1)(2)提示:利用皮亚诺型余项泰勒公式处理12sin ,sin x x。
(3)(4)(5)提示:先指数对数化,再用洛必达法则。
(6)提示:请参照“例1.2.14(3)”求解。
22.23.解 由题设极限等式条件得21()ln(cos )201()lim ,limln(cos )1f x x xxx x f x e e x x x+→→=+=, 即 2201()1()limln(cos )lim ln(1cos 1)1x x f x f x x x x x x x→→+=+-+=, 利用等价无穷小代换,得201()lim(cos 1)1x f x x x x →-+=,即230cos 1()lim()1x x f x x x→-+=, 故 30()3lim 2x f x x →=。
24.提示:先指数对数化,再由导数定义可得。
25.26.28.提示:利用皮亚诺型余项泰勒公式求解。
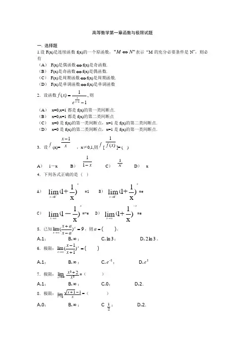
高等数学第一章函数与极限试题一. 选择题1.设F(x)是连续函数f(x)的一个原函数,""N M ⇔表示“M 的充分必要条件是N ”,则必有(A ) F(x)是偶函数⇔f(x)是奇函数. (B ) F(x)是奇函数⇔f(x)是偶函数.(C ) F(x)是周期函数⇔f(x)是周期函数. (D ) F(x)是单调函数⇔f(x)是单调函数 2.设函数,11)(1-=-x x ex f 则 (A ) x=0,x=1都是f(x)的第一类间断点. (B ) x=0,x=1都是f(x)的第二类间断点(C ) x=0是f(x)的第一类间断点,x=1是f(x)的第二类间断点. (D ) x=0是f(x)的第二类间断点,x=1是f(x)的第一类间断点.3.设f (x)=xx 1-,x ≠0,1,则f [)(1x f ]= ( )A ) 1-xB ) x-11C ) X1 D ) x4.下列各式正确的是 ( )A )lim 0+→x )x1+1(x=1 B )lim 0+→x )x1+1(x=eC )lim ∞→x )x11-(x=-e D )lim ∞→x )x1+1(x-=e5.已知9)(lim =-+∞→xx ax a x ,则=a ( )。
A.1;B.∞;C.3ln ;D.3ln 2。
6.极限:=+-∞→xx x x )11(lim ( )A.1;B.∞;C.2-e ; D.2e7.极限:∞→x lim 332x x +=( ) A.1; B.∞; C.0; D.2.8.极限:xx x 11lim-+→=( ) A.0; B.∞; C 21; D.2.9. 极限:)(lim 2x x x x -+∞+→=( )A.0;B.∞;C.2;D. 21.10.极限: xxx x 2sin sin tan lim30-→=( )A.0;B.∞;C. 161; D.16.二. 填空题 11.极限12sinlim 2+∞→x xx x = . 12.lim→x xarctanx =_______________.13. 若)(x f y =在点0x 连续,则)]()([lim 0→-0x f x f x x =_______________;14. =→xxx x 5sin lim0___________;15. =-∞→nn n)21(lim _________________;16. 若函数23122+--=x x x y ,则它的间断点是___________________17. 绝对值函数 ==x x f )(⎪⎩⎪⎨⎧<-=>.0,;0,0;0,x x x x x x 其定义域是 ,值域是18. 符号函数 ==x x f sgn )(⎪⎩⎪⎨⎧<-=>.0,1;0,0;0,1x x x其定义域是 ,值域是三个点的集合19. 无穷小量是20. 函数)(x f y =在点x0 连续,要求函数y f (x) 满足的三个条件是 三. 计算题 21.求).111(lim 0x ex xx --+-→ 22.设f(e1-x )=3x-2,求f(x)(其中x>0);23.求lim 2x →(3-x)25--x x ;()()x x x x f 25lg 12-+-+=24.求lim ∞→x (11-+x x )x; 25.求lim 0x →)3(2tan sin 22x x x x + 26. 已知9)(lim =-+∞→xx ax a x ,求a 的值; 27. 计算极限nnnn 1)321(lim ++∞→28.求它的定义域。
极限与连续习题当x 0时,1 COSX 是X 2的 __________________ 穷小量. X 0是函数f(x)竺的 间断点.冈lim(1 -)2x __________________。
2 x X (e 1) x sin xsin x已知分段函数f(x) 〒,x 0连续,则a= ______________________x a,x 0 1由重要极限可知,lim 1+2x 〈. ‘ x 0 ---------------------------------------sin x 0 已知分段函数f(x) 去,x 0连续,则a= ______________________ .x a, x 0 由重要极限可知,lim (1丄)x . x 2x --------------------------- sin x 1知分段函数f(x) x 1 ,x 1连续,则b= ____________________________ . x b,x 1丄 由重要极限可知,Hm )(1 2x); ________________ .当X f 1时,x‘ 3x 2与x ln x 相比, ____________________ 咼阶无 穷小量.2n 51. 2. 3. 4.5. 6. 7. 8. 9. 10. 11.12. 13. 函数f(x)ar 如宀的间断点是x = lim彳1lim 1 =n2n ----------------------------------函数f(x)产長的无穷间断点是x = ------------------------------ tan2 x _ lim ------------ . x 0 3x 3n 5 1 lim 1 = n 2n ---------------------------------- 函数f(X)绘j 的可去间断点是X = ------------------------------2n 5 r 彳3 lim 1 — = n 2n -------------------------- ■ 2 函数f(x) 2x 1的可去间断点是x= __________________. x 3x 4 当x 0时,sinx 与x 3相比, __________________ 高阶无穷小量n 2 计算极限n im 1 1 = ----------------------------------------------lim f(x)x 1 (x 1)(x 1)x计算极限lim 1 1 = ________________ . X xx c设f(x) e, X 0, 要使f(x)在x 0处连续,则x a, x 0.14. 15. 16. 17. 18. 19. 20. 21. 22. 23. 24. 25. 26. 27. lim cosx x 设函数f x 2x 1, x a, x 0,在x 0处连续,则a 若当x 1f (x)是x 1的等价无穷小,则当X f0时,x sinx与x相比,_______________ 是高阶无穷小量.x2为使函数f(x) X 2, x 0在定义域内连续,则x a, x 0当X^O时,1 cosx与sinx相比,___________________ 咼阶无穷小量.当X—0时,4x2与sin3x相比,_________________ 高阶无穷小量.当x—1 时,x 12与sin x 1 木目比,_______________________________________________________是高阶无穷小量.x若lim 1 k e3,则k =x X函数f(x) 2x 1的无穷间断点是x= __________________x 3x 4极限x im0-x-、 2 T设 f x xsin —,求lim f x =x x设函数f(x) cosx,X 0在x 0处连续,则a= _____________________________a V x, x 0x 0是函数f(x) 护的______________ (填无穷、可去或跳跃)间l x断点.28.29.30.31.32.33.34.35.36.37.38.39.40.计算极限x im 14x 51x 1函数f(x) 2x 1的可去间断点是x=x22x 3 ---------------------- lim 1 -x二、计算题x35. 求极限 lim (12cosx)sinx x 0 x ln(1 6x)6. 求极限lim 丄尹x 0 x(e 1)1. 求极限2. 求极限3. 求极限4.求极限 cos3x cos2 x ln(1 x 2) x 2 (e 1) xln(1 6x) (e x 1) sin x xln(1 6x)x 2x 4 lim 2 x 2 x 4 x m 0 lim x 0 lim x 0。
函数与极限单元测试题一、选择题(每题3分,共30分)1.下列函数中,( )不是基本初等函数.A . xe y -= B . 2ln x y = C . xx y sin cos = D . 34x y =2.若函数f(x)的定义域为(0,1)则函数f(lnx)的定义域是( ) A.(0,1) B.(-1,0) C.(e-1,1) D. (1,e)3.函数f(x)=|x+1|是( )4.若函数f(ex)=x+1,则f(x)=( )A. ex +1B. x+1C. ln(x+1)D. lnx+1 5.当0→x 时,下列变量中是无穷小量的有( )。
A.x 1sinB.x xsin C.12--x D.x ln6.()=--→11sin lim21x x x ( )。
A.1 B.2 C.0 D.217.下列等式中成立的是( )。
A.e n nn =⎪⎭⎫ ⎝⎛+∞→21lim B.en n n =⎪⎭⎫ ⎝⎛++∞→211lim C.e n n n =⎪⎭⎫ ⎝⎛+∞→211lim D.en nn =⎪⎭⎫ ⎝⎛+∞→211lim8.当0→x 时,x cos 1-与x x sin 相比较( )。
A.是低阶无穷小量 B.是同阶无穷小量 C.是等阶无穷小量 D.是高阶无穷小量9.函数()x f 在点0x 处有极限,是()x f 在该点处连续的( )。
A.充要条件 B.充分条件 C.必要条件 D.无关的条件10.21lim(1)x x x →∞-=( ).A.2e - B.∞ C.0 D.12二、填空题(每空2分,共22分) 1、函数x x x f --+=21)5ln()(的定义域是 ________.2、若2211()3f x x x x +=++,则()f x =________.3、若1()1f x x =-,则(())f f x =_______.4、函数2)(xx a a x f -+=是_____________函数。
第一章函数、极限、连续习题一一.选择题1.下列各组中的函数f(x)与g(x)表示同一个函数的是() A.f(x)=x,g(x)=x2B.f(x)=2lgx,g(x)=lgx2 x,g(x)=x2C.f(x)=xD.f(x)=x,g(x)=-x2.函数y=4-x+sinx的定义域是( )A.[0,1]B.[0,1)(1,4]C.[0,+∞)D.[0,4]3.下列函数中,定义域为(-∞,+∞)的有( ) A.y=x-1323 B.y=x2 C. y=x3 D.y=x-24.函数y=x2-1单调增且有界的区间是( )A. [-1,1]B. [0,+∞)C. [1,+∞)D. [1,2]5.设y=f(x)=1+logx+32,则y=f-(x)=( )A.2x+3B. 2x-1-3C. 2x+1-3D. 2x-1+36.设f(x)=ax7+bx3+cx-1,其中a,b,c是常数,若f(-2)=2,则f(2)=(A.-4B.-2C.-3D.6二.填空题1.f(x)=3-xx+2的定义域是2.设f(x)的定义域是[0,3],则f(lnx)的定义域是。
3.设f(2x)=x+1,且f(a)=4,则a= 。
4.设f(x+11x)=x2+x2,则f(x)5.y=arcsin1-x2的反函数是。
6.函数y=cos2πx-sin2πx的周期T。
)⎧π⎪sinx,x<17.设f(x)=⎨则f(-)=。
4⎪⎩0,x≥12⎧⎧1,x≤12-x,x≤1⎪⎪8.设f(x)=⎨,g(x)=⎨,当x>1时,g[f(x)]= 。
x>1x>1⎪⎪⎩0⎩29.设f(x)=ax3-bsinx,若f(-3)=3,则f(3)=。
10.设f(x)=2x,g(x)=x2,则f[g(x)]=。
三.求下列极限 x3-1x2-91.lim2 2.lim x→1x-1x→3x-33.limx→52x-1-3+2x2-14. lim x→0xx-5x2-3x+2x+2-35.lim 6. lim3x→1x→1x-xx+1-27.limx→1x+4-2-x-+x 8. lim2x→0sin3xx-1sinx2-49. lim2 x→2x+x-6()习题二1.下列数列中,发散的是( ) 1π2n-11+(-1)n(-1)nA.xn=sinB.xn=5+C.xn=D.xn= nn3n+22n22设limf(x)=A(A为常数),则在点x0处f(x)( ) x→x0A. 一定有定义且f(x0)=AB.有定义但f(x0)可为不等于A的值B. 不能有定义 D.可以有定义,也可以没有定义f(x)=limf(x)是limf(x)存在的( ) 3.lim+-x→x0x→0x→x0A.充分必要条件B. 充分而非必要条件C. 必要而非充分条件D. 既非充分也非必要条件4.limh→0x+h-x=() hA.0 B.12x C.2x D.不存在x3(1+a)+1+bx2=-1则a,b的值为( ) 5.若limx→∞x2+1A.a=-1,b=-1B. a=1,b=-1C. a=-1,b=1D. a=1,b=16.设limf(x)=A,limg(x)=B,且A>B,则当x充分接近xo时,必有( ) x→x0x→x0A.f(x)≥g(x)B. f(x)>g(x)C. f(x)≤g(x)D. f(x)<g(x)7.数列{xn}有界是收敛的( )A.充分必要条件B. 必要而非充分条件C.充分而非必要条件D.既非充分也非必要条件8.设f(x)=1-x,g(x)=1-x,当x→1时,( )A.f(x)是比g(x)较高阶的无穷小量B. f(x)是比g(x)较低阶的无穷小量C.f(x)与g(x)同阶无穷小量D. f(x)与g(x)等价无穷小量9.当x→0时,为无穷小量的是()-1A.lnsinx B.sin C.cotx D.ex x1⎧n,n为奇数⎪10.设数列xn=⎨1,则{xn}是( ) ,n为偶数⎪⎩nA.无穷大量B. 无穷小量C.有界变量D. 无界变量二.填空题lnx= 。
专升本高等数学(二)-数的概念、函数与极限(二)(总分:100.04,做题时间:90分钟)一、{{B}}选择题{{/B}}(总题数:20,分数:20.00)1.一次函数y=f(x)满足条件f(2)=1,f(3)=4,则f(4)=______。
∙ A.4∙ B.5∙ C.6∙ D.7(分数:1.00)A.B.C.D. √解析:[解析] 因为是一次函数,所以设为f(x)=ax+b,由f(2)=1得2a+b=1,① 由f(3)=4得3a+b=4,② 由①、②解得a=3,b=-5,所以f(x)=3x-5。
所以f(4)=3×4-5=7,选D。
2.______。
∙ A.f(x)是奇函数在(-∞,0)内单调递减;∙ B.f(x)是奇函数在(-∞,0)内单调递增;∙ C.f(x)是偶函数在(0,+∞)内单调递减;∙ D.f(x)是偶函数在(0,+∞)内单调递增;(分数:1.00)A.B. √C.D.解析:[解析] 反比例函数[*]是奇函数,且当k<0时,函数在(-∞,0)内单调递增,故选B。
3.设函数f(2x)=log3(8x2+7),则f(1)等于______。
∙ A.2∙ B.log339∙ C.log315∙ D.1(分数:1.00)A. √B.C.D.解析:[解析] 令t=2x,则[*],于是f(2x)=f(t)=log3(2t2+7),故f(1)=log3(2×12+7)=log39=2。
选A。
4.如果函数f(x)=a x(a>0,a≠1),那么对于任意的实数x、y,恒有______。
∙ A.f(xy)=f(x)f(y)∙ B.f(xy)=f(x)+f(y)∙ C.f(x+y)=f(x)f(y)∙ D.f(x+y)=f(x)+f(y)(分数:1.00)A.B.C. √D.解析:[解析] 当a>0,a≠1时,f(x)=a x,f(y)=a y,所以f(x)f(y)=a x×a y=a x+y=f(x+y)。
1、函数()12++=x x x f 与函数()113--=x x x g 相同.错误 ∵当两个函数的定义域和函数关系相同时,则这两个函数是相同的。
∴()12++=x x x f 与()113--=x x x g 函数关系相同,但定义域不同,所以()x f 与()x g 是不同的函数。
2、如果()M x f >(M 为一个常数),则()x f 为无穷大. 错误 根据无穷大的定义,此题是错误的。
3、如果数列有界,则极限存在.错误 如:数列()nn x 1-=是有界数列,但极限不存在4、a a n n =∞→lim ,a a n n =∞→lim .错误 如:数列()nn a 1-=,1)1(lim =-∞→nn ,但n n )1(lim -∞→不存在。
5、如果()A x f x =∞→lim ,则()α+=A x f (当∞→x 时,α为无穷小). 正确 根据函数、极限值、无穷小量的关系,此题是正确的。
6、如果α~β,则()α=β-αo .正确 ∵1lim=αβ,是 ∴01lim lim =⎪⎭⎫⎝⎛-=-αβαβα,即βα-是α的高阶无穷小量。
7、当0→x 时,x cos 1-与2x 是同阶无穷小.正确 ∵2122sin 412lim 2sin 2lim cos 1lim2022020=⎪⎪⎪⎪⎭⎫ ⎝⎛⋅⋅==-→→→x x x x x x x x x 8、 01sin lim lim 1sin lim 000=⋅=→→→xx x x x x x .错误 ∵xx 1sin lim 0→不存在,∴不可利用两个函数乘积求极限的法则计算。
9、 e x xx =⎪⎭⎫⎝⎛+→11lim 0.错误 ∵e x xx =⎪⎭⎫⎝⎛+∞→11lim10、点0=x 是函数xxy =的无穷间断点.错误 =-→x x x 00lim 1lim 00-=--→x x x ,=+→x x x 00lim 1lim 00=+→xx x ∴点0=x 是函数xxy =的第一类间断点.11、函数()x f x1=必在闭区间[]b a ,取得最大值、最小值.错误 ∵根据连续函数在闭区间上的性质,()x f x1=在0=x 处不连续 ∴函数()x f x1=在闭区间[]b a ,不一定取得最大值、最小值 二、填空题:1、设()x f y =的定义域是()1,0,则 (1)()xef 的定义域是( (,0)-∞ );(2)()x f 2sin 1-的定义域是( ,()2x x k x k k Z πππ⎧⎫≠≠+∈⎨⎬⎩⎭);(3)()x f lg 的定义域是( (1,10) ). 答案:(1)∵10<<xe (2)∵1sin 102<-<x (3)∵1lg 0<<x2、函数()⎪⎩⎪⎨⎧≤<-=<<-+=403000222x x x x x x f 的定义域是( (]4,2- ).3、设()2sin x x f =,()12+=ϕx x ,则()[]=ϕx f ( ()221sin +x ).4、nxn n sinlim ∞→=( x ).∵x x n x n x n n x n x n n n n =⋅==∞→∞→∞→sinlim 1sin limsin lim 5、设()11cos 11211xx x f x x x x π-<-⎧⎪⎪=-≤≤⎨⎪->⎪⎩,则()10lim x f x →--=( 2 ),()=+→x f x 01lim ( 0 ). ∵()1010lim lim (1)2x x f x x →--→--=-=,()()01lim lim 0101=-=+→+→x x f x x6、设()⎪⎩⎪⎨⎧=≠-=00cos 12x ax x x x f ,如果()x f 在0=x 处连续,则=a ( 21 ).∵21cos 1lim 20=-→x x x ,如果()x f 在0=x 处连续,则()a f xx x ===-→021cos 1lim 20 7、设0x 是初等函数()x f 定义区间的点,则()=→x f x x 0lim ( ()0x f ).∵初等函数()x f 在定义区间连续,∴()=→x f x x 0lim ()0x f8、函数()211-=x y 当x →( 1 )时为无穷大,当x →( ∞ )时为无穷小.∵()∞=-→2111limx x ,()011lim2=-∞→x x9、若()01lim2=--+-+∞→b ax x x x ,则=a ( 1 ),=b ( 21-). ∵()b ax x xx --+-+∞→1lim2()()()bax x x bax x x b ax x x x +++-+++---+-=+∞→111lim 222()()b ax x x b ax x x x +++-+-+-=+∞→11lim 222()()()b ax x x b x ab x a x +++--++--=+∞→11211lim 2222欲使上式成立,令012=-a ,∴1a =±,上式化简为()()()2211212112lim lim lim1x x x bab ab x b ab a →+∞→+∞→+∞--++-++--+==+∴1a =,021=+ab ,12b =-10、函数()x x f 111+=的间断点是( 1,0-==x x ). 11、()34222+--+=x x x x x f 的连续区间是( ()()()+∞∞-,3,3,1,1, ).12、若2sin 2lim =+∞→x xax x ,则=a ( 2 ). ()200lim sin 2lim sin 2lim =+=+=⎪⎭⎫ ⎝⎛+=+∞→∞→∞→a a x x a x x ax x x x ∴2=a13、=∞→x x x sin lim( 0 ),=∞→xx x 1sin lim ( 1 ), ()=-→xx x 11lim ( 1-e ),=⎪⎭⎫ ⎝⎛+∞→kxx x 11lim ( ke ). ∵0sin 1lim sin lim=⋅=∞→∞→x x xx x x 111sin lim1sin lim ==∞→∞→xx x x x x()[]1)1(110)(1lim 1lim --⋅-→→=-+=-e x x xx x x k kx x kxx e x x =⎥⎦⎤⎢⎣⎡+=⎪⎭⎫ ⎝⎛+∞→∞→)11(lim 11lim14、limsin(arctan )x x →∞=( 不存在 ),lim sin(arccot )x x →+∞=( 0 )三、选择填空:1、如果a x n n =∞→lim ,则数列n x 是( b )a.单调递增数列 b .有界数列 c .发散数列2、函数()()1log 2++=x x x f a 是( a )a .奇函数b .偶函数c .非奇非偶函数 ∵()()11log 1)(log 22++=+-+-=-x x x x x f aa()()x f x x a -=++-=1log 23、当0→x 时,1-xe 是x 的( c )a .高阶无穷小b .低阶无穷小c .等价无穷小4、如果函数()x f 在0x 点的某个邻域恒有()M x f ≤(M 是正数),则函数()x f 在该邻域( c )a .极限存在b .连续c .有界5、函数()x f x-=11在( c )条件下趋于∞+. a .1→x b .01+→x c .01-→x6、设函数()x f xxsin =,则()=→x f x 0lim ( c )a .1b .-1c .不存在 ∵1sin lim sin limsin lim000000-=-=-=-→-→-→xx x x x xx x x1sin lim sin lim 0000==-→+→xx x x x x 根据极限存在定理知:()x f x 0lim →不存在。
1、函数()12++=x x x f 与函数()113--=x x x g 相同.错误 ∵当两个函数的定义域和函数关系相同时,则这两个函数是相同的。
∴()12++=x x x f 与()113--=x x x g 函数关系相同,但定义域不同,所以()x f 与()x g 是不同的函数。
2、如果()M x f >(M 为一个常数),则()x f 为无穷大. 错误 根据无穷大的定义,此题是错误的。
3、如果数列有界,则极限存在.错误 如:数列()nn x 1-=是有界数列,但极限不存在4、a a n n =∞→lim ,a a n n =∞→lim .错误 如:数列()nn a 1-=,1)1(lim =-∞→nn ,但n n )1(lim -∞→不存在。
5、如果()A x f x =∞→lim ,则()α+=A x f (当∞→x 时,α为无穷小). 正确 根据函数、极限值、无穷小量的关系,此题是正确的。
6、如果α~β,则()α=β-αo .正确 ∵1lim=αβ,是 ∴01lim lim =⎪⎭⎫⎝⎛-=-αβαβα,即βα-是α的高阶无穷小量。
7、当0→x 时,x cos 1-与2x 是同阶无穷小.正确 ∵2122sin 412lim 2sin 2lim cos 1lim2022020=⎪⎪⎪⎪⎭⎫ ⎝⎛⋅⋅==-→→→x x x x x x x x x 8、 01sin lim lim 1sin lim 000=⋅=→→→xx x x x x x .错误 ∵xx 1sin lim 0→不存在,∴不可利用两个函数乘积求极限的法则计算。
9、 e x xx =⎪⎭⎫⎝⎛+→11lim 0.错误 ∵e x xx =⎪⎭⎫⎝⎛+∞→11lim10、点0=x 是函数xxy =的无穷间断点.错误 =-→x x x 00l i m 1lim 00-=--→x x x ,=+→x x x 00lim 1lim 00=+→xx x ∴点0=x 是函数xxy =的第一类间断点.11、函数()x f x1=必在闭区间[]b a ,内取得最大值、最小值.错误 ∵根据连续函数在闭区间上的性质,()x f x1=在0=x 处不连续 ∴函数()x f x1=在闭区间[]b a ,内不一定取得最大值、最小值 二、填空题:1、设()x f y =的定义域是()1,0,则 (1)()xef 的定义域是( (,0)-∞ );(2)()x f 2sin 1-的定义域是( ,()2x xk x k k Z πππ⎧⎫≠≠+∈⎨⎬⎩⎭);(3)()x f lg 的定义域是( (1,10) ). 答案:(1)∵10<<xe (2)∵1sin 102<-<x(3)∵1lg 0<<x2、函数()⎪⎩⎪⎨⎧≤<-=<<-+=403000222x x x x x x f 的定义域是( (]4,2- ).3、设()2sin x x f =,()12+=ϕx x ,则()[]=ϕx f ( ()221sin +x ).4、nxn n sinlim ∞→=( x ).∵x x n x n x n n x n x n n n n =⋅==∞→∞→∞→sinlim 1sin limsin lim 5、设()11cos 11211xx x f x x x x π-<-⎧⎪⎪=-≤≤⎨⎪->⎪⎩,则()10lim x f x →--=( 2 ),()=+→x f x 01l i m ( 0 ). ∵()1010lim lim (1)2x x f x x →--→--=-=,()()01lim lim 0101=-=+→+→x x f x x6、设()⎪⎩⎪⎨⎧=≠-=00cos 12x ax x x x f ,如果()x f 在0=x 处连续,则=a ( 21 ).∵21cos 1lim 20=-→x x x ,如果()x f 在0=x 处连续,则()a f xx x ===-→021cos 1lim 20 7、设0x 是初等函数()x f 定义区间内的点,则()=→x f x x 0lim ( ()0x f ).∵初等函数()x f 在定义区间内连续,∴()=→x f x x 0lim ()0x f8、函数()211-=x y 当x →( 1 )时为无穷大,当x →( ∞ )时为无穷小.∵()∞=-→2111limx x ,()011lim2=-∞→x x9、若()01lim2=--+-+∞→b ax x x x ,则=a ( 1 ),=b ( 21-). ∵()b ax x xx --+-+∞→1lim2()()()bax x x bax x x b ax x x x +++-+++---+-=+∞→111lim 222()()b ax x x b ax x x x +++-+-+-=+∞→11lim 222()()()b ax x x b x ab x a x +++--++--=+∞→11211lim 2222欲使上式成立,令012=-a ,∴1a =±,上式化简为()()()2211212112lim lim lim1x x x bab ab x b ab a →+∞→+∞→+∞--++-++--+==+∴1a =,021=+ab ,12b =-10、函数()x x f 111+=的间断点是( 1,0-==x x ). 11、()34222+--+=x x x x x f 的连续区间是( ()()()+∞∞-,3,3,1,1, ).12、若2sin 2lim =+∞→x xax x ,则=a ( 2 ). ()200lim sin 2lim sin 2lim =+=+=⎪⎭⎫ ⎝⎛+=+∞→∞→∞→a a x x a x x ax x x x ∴2=a13、=∞→xxx sin lim( 0 ),=∞→xx x 1s in lim ( 1 ), ()=-→xx x 11lim ( 1-e ),=⎪⎭⎫ ⎝⎛+∞→kxx x 11lim ( ke ). ∵0sin 1lim sin lim=⋅=∞→∞→x x xx x x 111sin lim1sin lim ==∞→∞→xx x x x x()[]1)1(110)(1lim 1lim --⋅-→→=-+=-e x x xx x x k kx x kxx e x x =⎥⎦⎤⎢⎣⎡+=⎪⎭⎫ ⎝⎛+∞→∞→)11(lim 11lim14、limsin(arctan )x x →∞=( 不存在 ),l i m s i n (a r c c o t )x x →+∞=( 0 )三、选择填空:1、如果a x n n =∞→lim ,则数列n x 是( b )a.单调递增数列 b .有界数列 c .发散数列2、函数()()1log 2++=x x x f a 是( a )a .奇函数b .偶函数c .非奇非偶函数 ∵()()11log 1)(log 22++=+-+-=-x x x x x f aa()()x f x x a -=++-=1log 23、当0→x 时,1-xe 是x 的( c )a .高阶无穷小b .低阶无穷小c .等价无穷小4、如果函数()x f 在0x 点的某个邻域内恒有()M x f ≤(M 是正数),则函数()x f 在该邻域内( c )a .极限存在b .连续c .有界5、函数()x f x-=11在( c )条件下趋于∞+. a .1→x b .01+→x c .01-→x6、设函数()x f xxsin =,则()=→x f x 0lim ( c )a .1b .-1c .不存在 ∵1sin lim sin limsin lim000000-=-=-=-→-→-→xx x x x xx x x1sin lim sin lim 0000==-→+→xx x x x x 根据极限存在定理知:()x f x 0lim →不存在。
高等数学习题库淮南联合大学基础部2008年10月第一章 映射,极限,连续习题一 集合与实数集基本能力层次:1: 已知:A ={x|1≤x ≤2}∪{x|5≤x ≤6}∪{3},B={y|2≤y ≤3} 求:在直角坐标系内画出 A ×B解:如图所示A ×B ={(x,y )| ,x A y B ∈∈ }.2:证明:∵ P 为正整数,∴p =2n 或p =2n+1,当p =2n+1时,p 2=4n 2+4n+1,不能被2整除,故p =2n 。
即结论成立。
基本理论层次:习题二 函数、数列与函数极限基本能力层次1:解:2:证明:由得cxy ay ax b -=+即 ay bx cy a+=-,所以 ()x f y = 所以命题成立3:(1)22x y -= (2)lg(sin )y x = (3 []y x = (4)0,01,0x y x ≥⎧⎫=⎨⎬<⎩⎭解:4:用极限定义证明: 1lim1n n n →∞-=(不作要求)证明:因为 ω∀ 有11|1|n n n ω--=<成立,只要1n ω>取N =[1ω],则当n>N 时,就有11|1|n n nω--=<有定义变知1lim 1n n n →∞-=成立5:求下列数列的极限(1)lim 3n n n →∞ (2)222312limn n n →∞+++(3)(4)n 解:(1) 233nn n n <,又2lim 03nn x →∞=,所以 0lim 03n n n →∞≤≤ , 故:lim 3n n n →∞=0(2)由于2223312(1)(21)111(1)(2)6n n n n n n n n n+++++==++又因为:1111lim (1)(2)63n n n n →∞++=,所以:2223121lim3n n n →∞+++ (3)因为:所以:(4) 因为:111n n≤≤+,并且1lim(1)1n n →∞+=, 故由夹逼原理得1n =6:解:由于7:解:8:9:习题三无穷小与无穷大、极限运算法则及两个重要极限基本理论层次1:解:同理:(3),(4)习题四无穷小的比较、函数的连续及性质基本理论层次1:(1)(2)2:第二章一元微分学及应用习题一导数及求导法则、反函数及复合函数的导数.基本理论层次21,1,,,,1()(1)(1)lim lim 1x a b x bx x f x f bx x ⎧+≥⎪⎨-+<⎪⎩-+-==-2222-ax 1.设f(x)=试求常数使f(x)在x=1处可导。
大一数学极限题目及答案
高等数学中的极限
1.概念:
极限是高等数学中概念之一,它指的是在定义域中自变量x逐渐接近某一值a时函数f(x)表示的值所收敛到的某一值L。
对极限的定义一般有如下三个定义:
(1)极小的定义:当x从某点a的左边接近点a时,使得函数f(x)趋向极小。
(2)极大的定义:当x从某点a的右边接近点a时,使得函数f(x)趋向极大。
(3)极限统一定义:函数f(x)逐渐接近某一值L时,这个值L就是函数f(x)在点a处的极限。
可以把极限L表示为:lim f(x)=L
2.求极限运算规则:
(1)基本公式:
•lim(1/x) = +∞,x→0;
•lim(x/x) = 1,x不等于0;
•lim(A/B) = A/B, B≠0。
(2)绝对值的极限:
•lim(|x|) = 绝对值(x)
(3)幂函数:
•lim(x^n) = x^n。
(4)连续函数的极限:
对于任意给定的实数a, 当x接近a的时候,f(x)将接近在a处的极限L。
3.常见极限问题:
(1)求无穷小的极限:
问题:求lim x→0 (2x+2)/(x+5)
解:原式中x为自变量,当x接近0时,我们可以用绝对值求极限公式简化极限问题:即lim x→0(|2x+2|)/(|x+5|)=lim x→0 |2|/|5|=2/5。
(2)求无穷大的极限:
问题:求lim x→∞ (2x+2)/(x+5)
解:类似上面求解的思路,原式中x为自变量,当x接近无穷大时,
我们可以用绝对值求极限公式简化极限问题:即lim x→∞
(|2x+2|)/(|x+5|)=lim x→∞ |2|/|x|=2。
第一章 函数、极限与连续一、 判断题:1.极限)(lim 0x f x x →存在的充要条件是)0(0-x f 与)0(0+x f 都存在。
( )2.如果)0(0-x f 与)0(0+x f 都存在且相等,则)(lim 0x f x x →存在。
( )3.如果函数)(x f 在0x 处既左连续且右连续,则)(x f 在0x 连续。
( ) 4.如果)(lim 0x f x x →存在,则)(x f 在0x 连续。
( )5.如果函数)(x f 在0x 连续,则)(lim 0x f x x →存在。
( )6.极限 2200limy x xyy x +→→存在 。
( )7.如果)(x f 在()b a ,内连续,则)(x f 在()b a ,内必有最大值和最小值。
( ) 8.如果)(x f 在[]b a ,内连续,则)(x f 在[]b a ,内必有最大值和最小值。
( ) 9.极限 ()e x xx -=-→1lim 0。
( )10.极限21946853lim 2323=-++-∞→x x x x x 。
( ) 二、 填空题:1.函数1)3ln(2222-++--=y x y x y 的定义域是 。
2. 函数4192222-++--=y x y x y 的定义域是 。
3.若⎪⎩⎪⎨⎧<=>+=0,00,,1)(x x x x x f π,则=-)]}1([{f f f 。
4. 函数 x y 2sin ln =的复合过程是 。
5. 一切初等函数在其 内都是连续的。
6. 设arctgx x y 2-=,则)(lim x y x --∞→= 。
7. 如果322sin 3lim0=→x mx x ,则m = 。
8. 设⎪⎩⎪⎨⎧≥-<<≤-+=2,2221,1,32)(2x x x x x x x x f ,则)(lim 1x f x →= 。
9. 函数11)(2+-=x x x f 的间断点是 。
第一章 函 数 与 极 限第 一 二 节 作 业一、填空题:1. 函数f(x)=x -3+arctanx1的定义域是 。
2. 设f(x)的定义域是[0,3],则f(lnx)的定义域是 。
二、选择题(单选):1. 设f(x)=⎪⎩⎪⎨⎧≤<≤≤--ππx x x x 0,sin 0,sin 33,则此函数是:(A )周期函数; (B )单调增函数; (C )奇函数; (D )偶函数。
答:( )2. 设f(x)=x e ,g(x)=sin 2x, 则f[g(x)]等于:(A )xe2sin ; (B ))(sin 2x e ; (C )x e x 2sin ; (D )2)(sin 2xe x答:( )三、试解下列各题: 1. 设{1,21,1)(22>-≤--=x x x x x x x f ,求f (1+a)-(1-a), 其中a>0.2. 设f (x+1)=232+-x x , 求f (x).3. 设f (x)=xx+-11 , 求f[f(x)].4. 设y=1+ln(x+2),求其反函数。
四、证明:定义在[-l ,l]上的任何函数f (x)都可表示为一个偶函数与一个奇函数之和。
第 三 节 作 业一、填空题:设数列{n u }的一般项公式是1213++=n n u n ,n 从 开始,才能使23-n u 〈0.01成立。
二、选择题(单选):1. 下列数列{n x }中,收敛的是: (A )n n x nn 1)1(--= ; (B )1+=n n x n ; (C )2sin πn x n =; (D )nn n x )1(--=。
答:( ) 2. 下列数列{n x }中,发散的是:(A )n n x 21=; (B )2)1(5n x n n -+=; (C )2312+-=n n x n ; (D )2)1(1n n x -+=。
答:( ) 三、试利用数列极限定义证明:321312lim=++∞→n n n 。
‰高等数学(Ⅰ)练习 第一章 函数、极限与连续________系_______专业 班级 姓名______ ____学号_______习题一 函数一.选择题 1.函数216ln 1x xx y -+-=的定义域为 [ D ] (A )(0,1) (B )(0,1)⋃(1,4) (C )(0,4) (D )4,1()1,0(⋃] 2.3arcsin 2lgxx x y +-=的定义域为 [ C ] (A ))2,3(]3,(-⋃-∞ (B )(0,3) (C )]3,2()0,3[⋃- (D )),3(+∞- 3.函数)1ln(2++=x x y 是 [ A ](A )奇函数 (B )非奇非偶函数 (C )偶函数 (D )既是奇函数又是偶函数 4.下列函数中为偶函数且在)0,(-∞上是减函数的是 [ D ](A )222-+=x x y (B ))1(2x y -= (C )||)21(x y = (D ).||log 2x y =二.填空题1. 已知),569(log )3(22+-=x x x f 则=)1(f 22. 已知,1)1(2++=+x x x f 则=)(x f3. 已知xx f 1)(=,x x g -=1)(, 则()=][x g f4. 求函数)2lg(1-+=x y 的反函数5. 下列函数可以看成由哪些基本初等函数复合而成 (1) x y ln tan 2=:(2) 32arcsin lg x y =:__________ _____________________三.计算题1.设)(x f 的定义域为]1,0[, 求)(sin ),(2x f x f 的定义域21x x -+1102()x y x R -=+∈11x -2,tan ,ln ,y u u v v w w ====23,lg ,arcsin ,y v v w w t t x =====2()[11](sin )[2,2]()f x f x k k k Z πππ-+∈的定义域为,的定义域为2.设⎪⎩⎪⎨⎧<<-≤-=2||111||1)(2x x x x x ϕ , 求)23(),21(),1(ϕϕϕ-, 并作出函数)(x y ϕ=的图形.4.已知水渠的横断面为等腰梯形,斜角40=ϕ(图1-22)。
第一章 函数与极限问答题1.本章的基本概念是函数、极限和连续,简要概括这些概念在整个微积分中的地位与作用。
答:这几个概念是微积分学的基础。
连续函数是微积分学的主要研究对象,极限方法是微积分学的基本研究方法。
2.无界函数与无穷大的区别是什么?答:无穷大一定是无界函数,但是无界函数不一定是无穷大。
无穷大是在某个极限过程中整体趋势都是很大,而无界函数的很大不是整体趋势。
例如x 与sinx 的乘积当x 趋于无穷大时是无界的,但不是无穷大(因为该函数在这个极限过程中始终有等于0的点存在,即并不是整体趋于∞的)。
3.复合函数的极限的计算中,为什么要注意验证0u u ≠,如果该条件不成立,原来的计算结论会不成立吗?答:对于由)(u f y =与)(x g u =构成的复合函数)]([x g f y =,如果函数)(u f 在0u u =处连续,那么0)(u x g =时结论仍成立,否则可能不成立。
例如)sgn()(u u f =,当0→u 时极限为1;但是如果)(x g 为常函数0,则当0→x 时,u 当然趋于0,但复合函数的极限为0,而不是1。
4.数列极限存在准则中的条件),3,2,1( =≤≤n z x y n n n 是否可以改为:N ∃,当N n >时, n n n z x y ≤≤。
为什么?答:可以。
因为数列极限研究的是∞→n 时的趋势,与前面有限项的大小无关。
换句话说,去掉前面不符合n n n z x y ≤≤的有限项之后形成的新的三个数列的极限其实和以前的三个数列的极限相等。
5.无穷小之和一定是无穷小吗?举例说明。
答:不一定。
正确的说法是有限个无穷小之和仍然是无穷小。
例如21)1(21lim 21lim 21lim 22222=+=+++=⎪⎭⎫ ⎝⎛+++∞→∞→∞→n n n n n n n n n n n n 这里是无限个无穷小的和等于21 6.利用等价无穷小替换的方法可使极限运算更加方便,常用的等价无穷小替换公式有哪些? 答:(1)x x ~sin (2)x x ~tan (3)x x ~arcsin (4)x x ~arctan (5)x x ~)1ln(+(6)x e x ~1-(7)a x a x ln ~1-(8)221~cos 1x x -(9)x x 21~11-+ (10)x x α-+α~1)1(7.如何理解研究0x 是否)(x f 间断点必须以)(x f 在点0x 的某去心邻域内有定义为前提?答:如果)(x f 在0x 的附近没有定义,那么研究函数在0x 处是否间断或连续就失去了意义。
高等数学第一章函数与极限试题一. 选择题1.设F(x)是连续函数f(x)的一个原函数,""N M ⇔表示“M 的充分必要条件是N ”,则必有(A ) F(x)是偶函数⇔f(x)是奇函数. (B ) F(x)是奇函数⇔f(x)是偶函数.(C ) F(x)是周期函数⇔f(x)是周期函数. (D ) F(x)是单调函数⇔f(x)是单调函数 2.设函数,11)(1-=-x x ex f 则 (A ) x=0,x=1都是f(x)的第一类间断点. (B ) x=0,x=1都是f(x)的第二类间断点(C ) x=0是f(x)的第一类间断点,x=1是f(x)的第二类间断点. (D ) x=0是f(x)的第二类间断点,x=1是f(x)的第一类间断点.3.设f (x)=xx 1-,x ≠0,1,则f [)(1x f ]= ( )A ) 1-xB ) x-11C ) X1 D ) x4.下列各式正确的是 ( )A )lim+→x )x1+1(x=1 B )lim+→x )x1+1(x=eC )lim∞→x )x11-(x=-e D )lim∞→x )x1+1(x-=e5.已知9)(lim =-+∞→xx ax a x ,则=a ( )。
A.1;B.∞;C.3ln ;D.3ln 2。
6.极限:=+-∞→xx x x )11(lim ( ) A.1; B.∞; C.2-e ; D.2e7.极限:∞→x lim332x x +=( ) A.1; B.∞; C.0; D.2. 8.极限:xx x 11lim 0-+→=( )A.0;B.∞; C 21; D.2.9. 极限:)(lim 2x x x x -+∞+→=( )A.0;B.∞;C.2;D. 21.10.极限: xxx x 2sin sin tan lim 30-→=( )A.0;B.∞;C. 161; D.16.二. 填空题 11.极限12sinlim 2+∞→x xx x = . 12.lim→x xarctanx =_______________.13. 若)(x f y =在点0x 连续,则)]()([lim 0→-0x f x f x x =_______________;14. =→xxx x 5sin lim0___________;15. =-∞→nn n)21(lim _________________;16. 若函数23122+--=x x x y ,则它的间断点是___________________17. 绝对值函数 ==x x f )(⎪⎩⎪⎨⎧<-=>.0,;0,0;0,x x x x x其定义域是 ,值域是18. 符号函数 ==x x f sgn )(⎪⎩⎪⎨⎧<-=>.0,1;0,0;0,1x x x其定义域是 ,值域是三个点的集合19. 无穷小量是20. 函数)(x f y =在点x0 连续,要求函数y f (x) 满足的三个条件是 三. 计算题 21.求).111(lim 0x ex xx --+-→ 22.设f(e1-x )=3x-2,求f(x)(其中x>0);23.求lim 2x →(3-x)25--x x ;()()x x x x f 25lg 12-+-+=24.求lim ∞→x (11-+x x )x; 25.求lim 0x →)3(2tan sin 22x x x x + 26. 已知9)(lim =-+∞→xx ax a x ,求a 的值; 27. 计算极限nnnn 1)321(lim ++∞→28.求它的定义域。
29. 判断下列函数是否为同一函数:⑴ f(x)=sin 2x +cos 2x g(x)=1⑵ 11)(2--=x x x f 1)(+=x x g⑶ ()21)(+=x x f 1)(+=x x g⑷ ()()21+=x x f 1)(+=x x g⑸ y =ax 2s =at 230. 已知函数 f(x)=x 2-1,求f(x+1)、f(f(x))、f(f(3)+2) 31. 求746153lim 22--+-+∞→n n n n n 32. 求221limn nn ++++∞→33. 求)1(lim n n n -++∞→34. 求nn n n n 3232lim+-+∞→35. 判断下列函数在指定点的是否存在极限⑴ ⎩⎨⎧<>+=2,2,1x x x x y 2→x ⑵ ⎪⎩⎪⎨⎧><=0,310,sin x x x x y 0→x36. 31lim3+→x x37. 93lim 23--→x x x38. xx x 11lim--→ 39. 求当x →∞时,下列函数的极限112323+-+-=x x x x y 40. 求当x →∞时,下列函数的极限11232+-+-=x x x x y 41.41. x xx 3sin lim0→42. 20cos 1lim xxx -→ 43. 311lim -∞→⎪⎭⎫ ⎝⎛+n n n44. nn n 211lim ⎪⎭⎫ ⎝⎛+∞→45. x x kx)11(lim +∞→ 46. xx x ⎪⎭⎫ ⎝⎛-∞→11lim47. ()xx kx 101lim +→48. 研究函数在指定点的连续性⎪⎩⎪⎨⎧=≠=0,10,sin )(x x x xx f x 0=049. 指出下列函数在指定点是否间断,如果间断,指出是哪类间断点。
11)(-=x x f ,x =1 50. 指出下列函数在指定点是否间断,如果间断,指出是哪类间断点。
⎪⎩⎪⎨⎧=≠=0,00,1)(x x xx f ,x =0 51. 指出下列函数在指定点是否间断,如果间断,指出是哪类间断点。
⎩⎨⎧=≠=0,10,)(2x x x x f ,x =0 52. 证明f(x)=x 2是连续函数53. xx x )1ln(lim+→ 54.⎪⎪⎭⎫⎝⎛⋅--→x x x x ln 11lim 21 55. 试证方程2x 3-3x 2+2x -3=0在区间[1,2]至少有一根56. xx x x 2sin sin tan lim 30-→57. 试证正弦函数 y = sin x 在 (-∞, +∞) 内连续。
58. 函数f (x ) = x = ⎩⎨⎧<-≥00x x x x ,;,在点x = 0处是否连续? 59. 函数)(x f =⎩⎨⎧≠≠0001sin x x x x ,;, 是否在点0=x 连续? 60. 求极限 xa x x 1lim 0-→. 答案:一.选择题1.A 【分析】 本题可直接推证,但最简便的方法还是通过反例用排除法找到答案.【详解】 方法一:任一原函数可表示为⎰+=xC dt t f x F 0)()(,且).()(x f x F ='当F(x)为偶函数时,有)()(x F x F =-,于是)()1()(x F x F '=-⋅-',即 )()(x f x f =--,也即)()(x f x f -=-,可见f(x)为奇函数;反过来,若f(x)为奇函数,则⎰xdt t f 0)(为偶函数,从而⎰+=xC dt t f x F 0)()(为偶函数,可见(A)为正确选项.方法二:令f(x)=1, 则取F(x)=x+1, 排除(B)、(C); 令f(x)=x, 则取F(x)=221x , 排除(D); 故应选(A).【评注】 函数f(x)与其原函数F(x)的奇偶性、周期性和单调性已多次考查过. 请读者思考f(x)与其原函数F(x)的有界性之间有何关系? 2. D 【分析】 显然x=0,x=1为间断点,其分类主要考虑左右极限.【详解】 由于函数f(x)在x=0,x=1点处无定义,因此是间断点.且 ∞=→)(lim 0x f x ,所以x=0为第二类间断点;0)(lim 1=+→x f x ,1)(lim 1-=-→x f x ,所以x=1为第一类间断点,故应选(D). 【评注】 应特别注意:+∞=-+→1lim 1x x x ,.1lim 1-∞=--→x xx 从而+∞=-→+11lim x xx e ,.0lim 11=-→-x xx e3 C4 A5 C6 C7 A8 C∵x →∞时,分母极限为令,不能直接用商的极限法则。
先恒等变形,将函数“有理化”: 原式 = 21111lim )11()11)(11(lim 00=++=++++-+→→x x x x x x x . (有理化法) 9 D10 C解 原式161821lim )2()cos 1(tan lim 32030=⋅=-=→→x x x x x x x x . ▌ 注 等价无穷小替换仅适用于求乘积或商的极限,不能在代数和的情形中使用。
如上例原式0)2(lim 3=-=→x x x x .二.填空题 11. 2 12. 1 13. 0 14 . 515 . 2-e 16. 2,1=x17 .),(+∞-∞ ),0[+∞ 18. ),(+∞-∞ }1,0,1{-19 . 在某一极限过程中,以0为极限的变量,称为该极限过程中的无穷小量 20 . ① 函数y f (x) 在点x0有定义;② x →x0 时极限)(lim 0x f x x →存在;③ 极限值与函数值相等,即)()(lim 00x f x f x x =→三. 计算题21 . 【分析】 ""∞-∞型未定式,一般先通分,再用罗必塔法则.【详解】 )1(1lim )111(lim 200x xx x x e x e x x x e x --→-→-+-+=--+=2201lim x e x x x x -→+-+ =x e x x x 221lim 0-→-+=.2322lim0=+-→x x e 22. f (x)=3lnx+1 x >0 23.e 324.e225.6126. 3ln ;27. 328. 解:由x +2≥0解得x ≥-2由x -1≠0解得x ≠1 由5-2x >0解得x <2.5 函数的定义域为{x |2.5>x ≥-2且x ≠1}或表示为(2.5,1)∪(1,-2)29. ⑴、⑸是同一函数,因为定义域和对应法则都相同,表示变量的字母可以不同。
⑵⑶不是同一函数,因为它们的定义域不相同。
⑷不是同一函数,因为它们对应的函数值不相同,即对应法则不同。
30. 解:f(x+1)=(x+1)2-1=x 2+2x ,f(f(x))=f(x 2-1)=(x 2-1)2-1=x 4-2x2f(f(3)+2)=f(32-1+2)=f(10)=9931 . 解:222222n 226153lim 746153lim 746153lim n n n n nn n n n n n n n n n n--+-=--+-=--+-+∞→+∞→+∞→ 210060031lim 71lim 46lim 1lim 1lim53lim 22=--+-=--+-=+∞→+∞→+∞→+∞→+∞→+∞→n n nn n n n n n n32. 解:212lim 2)1(lim 21lim 2222=+=+=++++∞→+∞→+∞→n n n n n n n n n n n 33 . 解:nn n n n n n n n n ++++-+=-++∞→+∞→1)1)(1(lim)1(lim01lim 1lim 1lim111lim11lim=++=++=++=+∞→+∞→+∞→+∞→+∞→n n n n n n n nnn n n n34 . 解:110101lim )32(lim 1lim )32(lim 1)32(1)32(lim 3232lim -=+-=+-=+-=+-+∞→+∞→+∞→+∞→+∞→+∞→n n n n n n n n n n n nnn 35 . 解:⑴因为3lim ,2lim 22==+-→→y y x x ,y y x x +-→→≠22lim lim所以 函数在指定点的极限不存在。