水土保持区划报告 西北农林科技大学
- 格式:pdf
- 大小:258.95 KB
- 文档页数:12
黄土高原植被生态恢复评价、问题与对策*张文辉1** 刘国彬21西北农林科技大学西部环境与生态教育部重点实验室 陕西杨陵 7121002中国科学院水利部水土保持研究所 陕西杨陵712100E-mail: zwhckh@摘 要:以“中国水土流失与生态安全综合科学考察”西北黄土高原区考察组获得的资料为依据,对黄土高原植被恢复方面取得的成就、存在问题和未来发展策略与对策进行综合评价分析。
退耕还林和禁伐禁牧措施实施以来,黄土高原地区植被覆盖率、质量已经呈现稳定提升势态,民众生态环境保护意识增强,植被恢复措施优化,多元化投资与城镇化发展使黄土高原植被恢复前景看好。
目前存在主要问题是:植被恢复投资力度不够;政策不稳使农户无远期规划,政策不配套,使大户承包治理停滞;过分注重经济效益,人工经济林比例过大,生态功能不强;禁伐禁牧封禁措施缺乏技术支撑,许多重大理论问题亟待解决。
未来植被恢复策略是保护现有成果;增加自然恢复和生态修复比例;用政策保护大户承包治理和植被建设的积极性;扩大植被建设和科研投资力度,培育黄土区植被恢复方面的科技创新能力。
关键词: 黄土高原; 植被恢复;退耕还林1.引言植被恢复是一个地区整体生态环境条件改善的基本标志。
近20年以来,各级政府包括水利水保、林业、环境部门对黄土高原植被恢复方面做出了不懈的努力,但治理效果如何、植被恢复中取得了哪些成绩、还存在哪些问题、未来应该在对策策略方面如何调整,是社会各界关注的热点问题,也是由中国科学院、中国工程院和水利部组织的“中国水土流失与生态安全综合科学考察”的主要任务之一。
2005年9-12月,“中国水土流失与生态安全综合科学考察”西北黄土高原区考察组在当地政府的配合下,分西线 、中线和东线,采用典型样地抽查、现场考察、与基层干部座谈、农户抽样调查等方法,对黄土高原近年来植被整体恢复效果、成就和经验;植被恢复的技术途径与措施是否适合当地生境条件;有关黄土高原治理和植被恢复的政策与法规是否受当地群众欢迎;未来植被建设有什么建议与企盼等进行了调查、分析。
Open Journal of Soil and Water Conservation 水土保持, 2020, 8(4), 45-51Published Online December 2020 in Hans. /journal/ojswchttps:///10.12677/ojswc.2020.84006在本科生教学中开展课程思政教育的实践探索——以西北农林科技大学水土保持与荒漠化防治专业为例何海龙,董小璐,王进鑫,吴发启,王健西北农林科技大学资源环境学院,陕西杨凌收稿日期:2020年11月9日;录用日期:2020年11月26日;发布日期:2020年12月3日摘要水土保持与荒漠化防治是国家生态环境建设的重要组成部分,也是满足人民群众对生态环境幸福感提升的重要抓手。
西北农林科技大学水土保持与荒漠化防治专业(简称水保专业)长期以来一直重视专业教育与课程思政教育的有机结合,并取得了显著的成效。
从课程思政的历史出发,从水保专业实践与课堂教学的结合、水保专业课程与行业标准的结合等方面阐述了水保专业与课程思政的关系。
分析了水保专业开展课程思政教育的必要性,指出课程思政教育存在的问题:缺乏科学的课程体系设计、学生及教师思想政治素养参差不齐、课程思政的考核和评价体系较为模糊等。
针对这些问题,提出如下建议:在水保专业构建全面的课程思政教育体系;增强创新教学力度,提高教育者自身素养;加强教师间及师生间的联系,提升课程思政的协同育人效应;完善考核和评价制度,注重课程思政教育的成果评价。
同时,把教师科研成果与教学相结合,帮助学生了解专业知识,提高学生适应社会的能力,增强学生科研素质,提高学生专业凝聚力,激发学生学习热情,推动水保专业的持续发展。
关键词课程思政教育,专业课教学,协同育人,水土保持Exploring and Practicing the CurriculumIdeological and Political Education atUndergraduate Level—Example of Soil and Water Conservation and DesertificationControl in the Northwest A & F UniversityHailong He, Xiaolu Dong, Jinxin Wang, Faqi Wu, Jian WangCollege of Resources and Environment, Northwest A & F University, Yangling Shaanxi何海龙 等Received: Nov. 9th , 2020; accepted: Nov. 26th , 2020; published: Dec. 3rd , 2020AbstractAs a key component of Chinese ecological environment construction, programs of Soil and Water Conservation and Desertification Control (SWCDC) initiate efforts that meet the demand of sus-tainable ecological environment for local communities. The SWCDC Program of Northwest A & F University has long recognized the importance of combining professional education and curricu-lum ideological and political education (CIPE). Remarkable achievements have been made over the past decades. This study starts with the development history of CIPE, the ties between SWCDC and CIPE are explained from the perspectives of combined SWCDC professional practice, class-room teaching and industry standards. The necessity of carrying out CIPE in SWCDC program is discussed. Perspectives on the issues of CIPE at present required to be solved may include the lack of scientific curriculum system design, the unbalanced ideological and political literacy of students and teachers, and fuzzy evaluation system of CIPE. In order to improve CIPE, we proposed to build a comprehensive CIPE system for the SWCDC program; strengthen innovative teaching and to im-prove teaching skills of instructors; to strengthen the connection among teachers and students, and to enhance the collaborative education effects of CIPE; to develop an appropriate evaluation system that focuses on the evaluation of the results of CIPE. At the meantime, the instructors should introduce the updated scientific research results during the teaching in order to facilitate students’ understanding of professional knowledge, and their adaptability to the changing society, enhance students’ scientific research skills and professional cohesion, stimulate students’ enthu-siasm for learning, and promote the sustainable development of SWCDC. KeywordsCourse Ideological and Political Education (CIPE), Professional Course Teaching, Collaborative Education, Soil and Water ConservationCopyright © 2020 by author(s) and Hans Publishers Inc. This work is licensed under the Creative Commons Attribution International License (CC BY 4.0). /licenses/by/4.0/1. 引言长期以来,党和国家高度重视课程的育人作用。
荒漠化防治毕业论文题目(818个)第一篇:荒漠化防治毕业论文题目(818个)毕业论文(设计)题目学院学院专业学生姓名学号年级级指导教师毕业教务处制表毕业毕业二〇一五年三月二十日毕业荒漠化防治毕业论文题目一、论文说明本团队长期从事论文写作与论文发表服务,擅长案例分析、编程仿真、图表绘制、理论分析等,专科本科论文300起,具体信息联系二、论文参考题目增强荒漠化防治可持续性的途径和政策我国草地生态建设与荒漠化防治水土保持与荒漠化防治专业本科教育培养目标制定荒漠化防治综合效益的多维灰色预测评估研究——以晋西北河曲县为例荒漠化防治工程效益模糊综合评价模型内蒙古自治区荒漠化防治研究综述我国荒漠化防治的法律思考关于完善我国防治荒漠化法律制度的思考论制约我国荒漠化防治的若干问题内蒙古阿拉善盟地区荒漠化防治的法律问题研究近三十年以来内蒙古自治区荒漠化防治问题研究综述土地荒漠化防治与林业新技术革命荒漠化防治与可持续发展问题雏议甘肃省荒漠化防治体系构建及治理成效实践性教学在水土保持与荒漠化防治专业教学中应用的探索我国荒漠化防治的法律思考我国荒漠化防治法律制度研究中国荒漠化防治标准化发展现状与展望荒漠化防治中恢复生态的研究与展望荒漠化防治中的恢复生态学研究热点水土保持与荒漠化防治专业教学改革的探讨我国土地荒漠化防治技术体系研究进展3S技术在水土保持与荒漠化防治中的应用增强荒漠化防治可持续性的途径和政策社会科学视野下的土地荒漠化防治问题研究述评我国荒漠化防治学科发展研究内蒙古荒漠化防治政策执行机制研究我国荒漠化防治法律问题研究荒漠化防治在建设美丽中国中的作用3S技术在水土保持与荒漠化防治中的应用水土保持与荒漠化防治专业的就业分析与职业生涯指导我国水土保持与荒漠化防治专业的人才需求与专业发展策略荒漠化防治新材料W-OH的力学性能研究防治荒漠化—我国西部大开发的“瓶颈”问题《荒漠化防治工程学》教学改革探讨水土保持与荒漠化防治全日制专业硕士培养刍议土地荒漠化防治的法律对策研究关于开展水域荒漠化防治工作的几点思考水土保持与荒漠化防治本科专业课程体系设置中主要课程筛选的探讨荒漠化防治中恢复生态的研究与展望防治荒漠化立法研究南京林业大学水土保持与荒漠化防治专业教学的理论与实践创新水土保持与荒漠化防治专业双语教学初探高寒地区荒漠化现状与防治途径探讨国际荒漠化防治的新趋势依托水土保持科技示范园提高水土保持与荒漠化防治专业学生的综合素质以色列林业与荒漠化防治科研现状及其启示水土保持与荒漠化防治专业“本—硕—博”分向人才培养模式的思考荒漠化防治政府直控型政策实施的计量经济分析水土保持与荒漠化防治专业直观实践教学改革包头——东胜公路沿线荒漠化防治途径研究水土保持与荒漠化防治学科硕士生培养模式陕西榆林荒漠化防治的困境与路径选择河西走廊荒漠化防治及生态农业建设的对策荒漠化防治工程学课程教学改革探讨荒漠化防治条件下土地利用系统多维灰色动态评估——以山西省河曲县为例风蚀与荒漠化防治水土保持与荒漠化防治专业本科教育卓越工程师培养目标研究基于创新人才培养的实践教学体系探索——以水土保持与荒漠化防治专业为例水土保持与荒漠化防治专业产学研结合发展模式的探索与实践试谈山东省土地荒漠化现状、成因及加强林业生态防治的对策水土保持与荒漠化防治专业本科培养方案中课程设置问题的探讨水土保持与荒漠化防治专业本科培养方案的分析与建议水土保持与荒漠化防治专业教学质量监控与评价体系的构建以科学发展观引领水土保持与荒漠化防治专业与学科建设我国土地荒漠化及其防治对策石羊河流域荒漠化综合防治论西部大开发中的荒漠化防治水土保持与荒漠化防治国家特色专业建设路径探析——以甘肃农业大学为例以科学发展观引领水土保持与荒漠化防治学科建设呼伦贝尔草原荒漠化的成因及防治对策荒漠化防治系统的内散外敛型组织模式研究辽宁省荒漠化防治的对策与思考防治荒漠化中的土地产权制度研究甘肃河西地区土地荒漠化的现状、成因及其防治荒漠化扩展原因及防治措施探析全球荒漠化防治现状及发展趋势3S技术在水土保持与荒漠化防治中的应用内蒙古东部地区荒漠化防治思想分析“3S”技术在水土保持与荒漠化防治中的应用陕西省土地荒漠化动态变化及其防治管理信息系统西北地区荒漠化防治与生态恢复若干问题的探讨中国的荒漠化防治──祝光耀副部长在亚非防治荒漠化论坛上的讲话(摘要)水土保持与荒漠化防治专业本科教学内容与课程设置改革的探讨参与式发展与我国荒漠化防治西北地区荒漠化防治中人文环境的影响从林业生态效能角度谈荒漠化防治世纪之交的荒漠化防治技术研究基层科研组织在社会治理中的作用——中国北方七县荒漠化防治的实证研究河西走廊荒漠化及其防治对策探讨浅谈内蒙古自治区土地荒漠化防治我国土地荒漠化防治法律制度的完善研究我国荒漠化现状、成因与防治对策山西省荒漠化防治的现状及建议浅谈锡林浩特荒漠化防治的必要性我国西北地区荒漠化防治的对策浅析我国西北地区荒漠化防治的对策浅析不同植被类型在荒漠化防治中的效益分析甘肃省河西内陆河流域荒漠化综合防治(Ⅰ)气候变化与中国荒漠化防治内蒙古自治区成立初期荒漠化防治史研究青海柴达木地区荒漠化现状及防治对策研究我国荒漠化防治立法的缺陷及其应对——以土地利用规制为视角中国西部土地荒漠化防治的制约因素探析——基于利益层面的分析荒漠化防治的另一途径——C_4植物塔里木河中下游荒漠化防治与绿洲生态系统管理试验示范论西北地区草原荒漠化防治法律对策不同植被类型在荒漠化防治中对生态环境影响的分析基于土地利用规制的荒漠化防治立法探析充分发挥草在荒漠化防治中的重大作用水土保持与荒漠化防治专业应用性本科人才培养方案的研究强化实践教学提高学生综合素质——以甘肃农业大学水土保持与荒漠化防治专业为例水土保持与荒漠化防治专业创新实践教学模式与体系探索——基于“产学研”结合的视角水土保持与荒漠化防治专业教学质量监控与评价的“三方一体化”组织体系构建与实施水土保持与荒漠化防治专业本科人才培养方案的优化设计水土保持与荒漠化防治专业实践教学改革探讨水土保持与荒漠化防治专业的现状和发展对策民勤县荒漠化防治对策及成效吉林省西部荒漠化成因及防治对策甘肃省河西地区荒漠化防治对策建议大学本科生选修课程的情况分析——以西北农林科技大学水土保持与荒漠化防治专业为例临沂市山丘区荒漠化发展趋势与防治对策内蒙古自治区成立初期防治荒漠化的努力石羊河流域荒漠化防治对策生态规划—荒漠化防治中的理论思考水土保持与荒漠化防治《荒漠化与防治教程》书评内蒙古荒漠化防治政策历史回溯及新思考水土保持与荒漠化防治专业“土力学”课程教学改革与创新水土保持与荒漠化防治专业优秀教学团队建设理论与实践探析土地荒漠化防治中的“度” 我国荒漠化防治工作遵循十项基本原则坝上及邻区荒漠化土地地质特征与荒漠化防治防治西部地区荒漠化法律问题研究水土保持与荒漠化防治专业《专业外语》教学思考内蒙古荒漠化现状与防治对策中国北方沙尘暴灾害形成机理与荒漠化防治研究湖北省土地荒漠化防治途径探讨“三元一线式”水土保持与荒漠化防治专业教学质量监控及评价过程体系构建与实施水土保持与荒漠化防治专业“水文与水资源学”课程改革初探中国荒漠化防治及其行动纲领东北老工业基地的荒漠化防治问题新中国以来内蒙古草原荒漠化防治问题的历史考察——以乌兰察布地区为例我国荒漠化防治的组织模式探析《荒漠化防治政策作用机理与实证研究》简介浅析鄂尔多斯高原沙质荒漠化防治尼日利亚农林业发展与荒漠化防治探析新世纪水土保持与荒漠化防治专业本科教育的改革与研究九三学社中央农林委员会提出我国荒漠化防治的六点建议鄂尔多斯地区土地荒漠化防治对策增强荒漠化防治可持续性的途径和政策我国草地生态建设与荒漠化防治水土保持与荒漠化防治专业本科教育培养目标制定荒漠化防治综合效益的多维灰色预测评估研究——以晋西北河曲县为例荒漠化防治工程效益模糊综合评价模型内蒙古自治区荒漠化防治研究综述我国荒漠化防治的法律思考关于完善我国防治荒漠化法律制度的思考论制约我国荒漠化防治的若干问题内蒙古阿拉善盟地区荒漠化防治的法律问题研究近三十年以来内蒙古自治区荒漠化防治问题研究综述土地荒漠化防治与林业新技术革命荒漠化防治与可持续发展问题雏议甘肃省荒漠化防治体系构建及治理成效实践性教学在水土保持与荒漠化防治专业教学中应用的探索甘肃省民勤县土地荒漠化的发展趋势及其防治关于中国荒漠化防治的思考青海高寒区土地荒漠化及其防治甘肃省荒漠化防治的现状及对策土地荒漠化及其防治研究概述加强荒漠化防治促进发展方式转变——贾治邦撰文纪念“世界防治荒漠化与干旱日”土地生态设计方法及其在晋西北土地荒漠化防治中的应用奈曼旗采取多种机制和模式防治荒漠化荒漠化防治与水资源的保护利用八院士建议设置水保与荒漠化防治一级学科为水土保持与荒漠化防治专业正名水土保持与荒漠化防治中国农户式生产组织方式与土地荒漠化防治草炭利用与荒漠化防治研讨会召开浅谈提高本科生学习积极性的教学方法——以荒漠化防治方向课程为例荒漠化防治政策实施的经济学分析——以内蒙古实施禁牧舍饲政策为例甘肃省武威市荒漠化现状、成因及其防治对策治沙亟盼好政策——以经济政策推动荒漠化防治甘肃省水蚀荒漠化土地动态变化及防治对策科技治理:西北七县荒漠化防治的调查研究水是区域荒漠化防治的关键因子西藏草场荒漠化防治的博弈分析我省荒漠化防治喜与忧国际荒漠化防治新动态谈青海省荒漠化防治对策甘肃荒漠化发生发展的机理及防治对策 3S技术在水土保持与荒漠化防治中的主要应用浅议我国水土保持与荒漠化防治的发展趋势及对策论我国非企业性国有资产管理中存在的问题及对策——以土地荒漠化的防治为例水土保持与荒漠化防治专业21世纪发展趋势荒漠化经济损失分析及其防治对策——以山西为例我国荒漠化状况及防治对策祁连山自然保护区浅山区土地荒漠化现状及防治对策我国西部土地荒漠化防治的法律对策中国防治荒漠化的机构环境与制度安排榆林沙区荒漠化成因及防治对策我国荒漠化地区土地退化的防治措施试谈我省土地荒漠化现状、成因及加强林业生态防治的对策不同植被类型在荒漠化防治中对生态环境影响的分析关于“水保”不得不辩的误解——解读水土保持与荒漠化防治专业浅谈“水土保持与荒漠化防治” 浅谈宁夏土地荒漠化成因及防治对策荒漠化防治绩效评价体系初探中国荒漠化防治与综合生态系统管理水土保持与荒漠化防治专业课程体系优化与课程整合亚洲:推进土地荒漠化防治进程荒漠有毒灌草资源的培育及综合利用——防治荒漠化的新思路Key Strategies Against Desertification in China平罗县土地荒漠化现状与防治措施中国中亚热带荒漠化及其防治柴达木盆地耕地荒漠化及其防治中国荒漠化防治政策沿革及问题对策研究西部大开发与荒漠化防治金昌市荒漠化土地现状及防治对策新疆荒漠化防治与持续发展的关键一环操纵未来的100个专业(11)水土保持与荒漠化防治鄂尔多斯市荒漠化动态分析及防治对策科技部部长万钢:运用先进科技加强荒漠化防治关君蔚院士谈我国荒漠化防治浅论荒漠化防治荒漠化防治与生态良好陕西省荒漠化防治情况调查中国防治荒漠化的法律应对——来自UNCCD的启示试谈山东省土地荒漠化现状、成因及防治对策21世纪我国水土保持与荒漠化防治科学技术发展趋势和特点及人才要求中国土地荒漠化/土地退化的防治与环境保护中国防治荒漠化对策水土保持与荒漠化防治专业“水文学”课程教学改革的探索与实践创新荒漠化防治模式共建人类美好家园——刘延东国务委员在2011库布其国际沙漠论坛上的致辞水土保持与荒漠化防治专业课程体系的建立青海共和盆地虚拟水消费及其在荒漠化防治中的应用用于西部荒漠化防治的新材料新疆草原荒漠化现状及防治措施正镶白旗荒漠化防治措施及其效应分析《联合国防治荒漠化公约》在我国的适用——从防治荒漠化走向土地可持续利用山西省土地荒漠化现状与防治对策西藏荒漠化及其防治战略开发沙产业提高荒漠化防治效益关于水土保持与荒漠化防治措施的探讨《联合国防治荒漠化公约》研究森林可持续发展是防治荒漠化的核心——联合国秘书长潘基文致辞中非合作论坛框架下荒漠化防治高级研修班西藏土地荒漠化成因分析及防治初探浅谈山东省土地荒漠化成因及防治措施山西省土地荒漠化现状与防治对策研究全球荒漠化变化态势及《联合国防治荒漠化公约》面临的挑战防治荒漠化:我们的使命新疆沙质荒漠化防治区划及分区防治模式研究土地荒漠化的预测及防治苏尼特左旗土地荒漠化的人文机制分析与防治对策我国荒漠化发生机理与防治对策一部培养学生分析问题与创新能力的教材——简评《荒漠化与防治教程》土地荒漠化成因分析及防治对策关于防治荒漠化的法律思考谈谈防治荒漠化的政策措施贵州喀斯特地区荒漠化防治与生态环境建设浅议我国荒漠化和沙土化防治对策防治荒漠化的若干问题浅析亚非防治荒漠化合作框架的可行性与现实意义我国西南地区土地荒漠化及其防治对策江南丘陵区的红色荒漠化现象及其防治措施中国的荒漠化及其防治策略(英文)中国荒漠化状况与防治对策研究关于建立健全防治荒漠化投入保障机制的若干问题新疆土地荒漠化时空变化特征及驱动因子分析青海省防治荒漠化成就与展望亚洲区域防治荒漠化部长级会议在北京召开荒漠化与气候变化间反馈机制研究进展论我国荒漠化的成因及其防治试论西北地区荒漠化社会经济因素影响和相关对策呼和浩特市荒漠化和沙化土地现状及防治对策研究荒漠化防治:我们共同的责任——欧盟科技合作荒漠化指标北京国际研讨会独家跟踪报道青海高寒地区荒漠化现状、危害及防治对策我国荒漠化土地成因及其防治对策喀斯特地区石漠化防治法律问题研究让绿色挺进万里荒漠——纪念“6.17”世界防治荒漠化和干旱日我国土地荒漠化危害·成因及其防治对策浅谈中国土地荒漠化成因及防治对策防治西部地区土地荒漠化的法律思考我国西部地区土地荒漠化及其生态防治措施宁夏土地沙质荒漠化及其防治对策青海高寒地区荒漠化现状及防治对策略论中国荒漠化的原因和防治对策创新荒漠化防治模式共建人类美好家园浅谈“水土保持与荒漠化防治”欧盟第七框架项目“土地生态系统与荒漠化防治措施评价”正式启动欧盟第七框架研究项目——土地生态系统退化与荒漠化防治措施评价正式启动我国荒漠化防治现状及对策政府主导项目带动社会参与全力推进荒漠化防治浅谈林业在土地荒漠化防治中的地位与作用沈阳地区荒漠化防治探索国际合作给北京荒漠化防治注入新的活力江西省“十一五”重点学科水土保持与荒漠化防治简介国家林业局重点学科南京林业大学水土保持与荒漠化防治学科用科学发展观指导荒漠化防治水土保持与荒漠化防治专业课程体系构建的思考论制约土地荒漠化防治的现实制度问题辽宁工程技术大学水土保持与荒漠化防治学科简介让科技成为防沙治沙的助推器——访水土保持和荒漠化防治专家孙保平教授锦州市沙尘暴与荒漠化防治对策参与式发展与我国荒漠化防治吉林省西部水资源短缺现状及荒漠化防治措施金塔的荒漠化防治“塔河中下游荒漠化防治与绿洲生态系统管理研究与示范”项目成果达到国际先进水平水土保持和荒漠化防治立法甘肃省河西内陆河流域荒漠化防治(Ⅱ)对我国西部菊芋种植与土地荒漠化防治研究的探索荒漠化防治对策探讨建国以来我国荒漠化防治的成绩武威市荒漠化防治调研报告加强荒漠化防治再造西部秀美山川牵住荒漠化防治的“牛鼻子”——实现治沙产业化关于我国荒漠化防治问题的思考和对策建议中国的荒漠化防治:症结与出路荒漠化防治研究获新进展西北荒漠化防治技术澳大利亚水土保持荒漠化防治新疆加快荒漠化防治步伐浅谈我区借西部大开发之机加快土地荒漠化防治荒漠化防治与跨越式发展水土保持与荒漠化防治学科的研究与发展谈沙尘暴与荒漠化防治标准化与荒漠化防治论中国土地荒漠化的类型、特点及防治对策澳大利亚荒漠化防治政策与措施陕西省荒漠化防治对策水土保持与荒漠化防治专业课程体系改革比较分析水土保持与荒漠化防治专业实践教学体系改革的探讨对我国荒漠化防治现状的一些认识与建议我国荒漠化防治如何走出困境荒漠化防治澳大利亚荒漠化防治政策与措施鄂尔多斯西部地区土地荒漠化(退化)及其防治研究──以公卡汗苏木为例人类共同的使命——应对全球气候变化,加强荒漠化防治青海省荒漠化防治对策的初步探讨生物学与荒漠化防治——研究性学习一例柴达木盆地荒漠化成因分析及产生机理探讨“荒漠化防治与植被恢复”,路在何方? 荒漠化及其防治对策辽宁省荒漠化土地的现状、动态分析及防治对策河西走廊土地荒漠化的人为因素及其防治对策坚持不懈地向荒漠化作斗争─荒漠化动态与防治荒漠化进展综述论青海省共和盆地的荒漠化及防治对策甘肃省民勤县土地荒漠化动态监测研究世界防治荒漠化日的由来新疆土地荒漠化及其防治对策我国荒漠化的现状及防治对策水土保持与荒漠化防治专家赵廷宁博士黄土高原水蚀荒漠化发生特点及其防治模式水土保持与荒漠化防治学家朱金兆教授荒漠化防治开启“翁牛特模式”结缘宁夏——记日本荒漠化防治专家保母武彦试述生态修复在荒漠化防治中的作用甘肃民勤绿洲荒漠化防治研究水土保持与荒漠化防治教授张洪江博士诌议我国土地荒漠化的制约机制乌兰木伦矿山荒漠化防治与环境治理《荒漠化防治与生态恢复》之俄译实践报告宁夏荒漠化防治受到国际社会广泛关注国家级重点学科水土保持与荒漠化防治学科带头人——孙保平教授水土保持与荒漠化防治专业跨世纪人才的培养防治荒漠化的“三圈”生态-生产范式机理及其功能荒漠化,挑战中国生态安全——访中国林业科学研究院研究员、防治荒漠化首席专家卢琦博士中国荒漠化发展趋势及治理对策功能高分子材料在山西省土地荒漠化防治中的应用我国水土保持与荒漠化防治专业人才培养与课程体系的历史与现状分析基于W—OH有机复合固化材料的新型荒漠化防治及生态修复技术吉林省西部地区生态环境背景及荒漠化防治对策民勤绿洲荒漠化影响因素及防治对策草原水土流失与荒漠化防治对策美国维伊尔区的荒漠化防治农牧交错区的荒漠化防治与土地持续利用途径探讨不同荒漠化防治措施对植物群落稳定性的影响——以宁夏回族自治区盐池县为例科学治沙助推青海省荒漠化防治荒漠化防治与可持续发展对策研究高中区域地理“荒漠化的防治”教学研究内蒙古地区土地沙漠化、水土保持及荒漠化防治内蒙古地区土地沙漠化及荒漠化防治古浪县土地荒漠化现状及防治对策黑龙江省西部风蚀荒漠化特性与防治技术珍爱家园向荒漠化宣战——写在“世界防治荒漠化和干旱日” 亚非防治荒漠化论坛亚湿润干旱区荒漠化防治工程综合效益评价——以北京市桑马房村为例案例教学法在高中地理教学中的应用——以《荒漠化的防治:以我国西北地区为例》教学为例西藏荒漠化现状及防治措施探讨全球荒漠化的现状、未来情景及防治对策民勤县荒漠化成因与防治对策“联合国防治荒漠化公约”与“荒漠化”有关的定义河北省荒漠。
黄土丘陵沟壑区燕沟流域的景观构成及功能类型林洋;张文辉【摘要】[目的]统计分析燕沟流域不同生态功能景观的斑块构成,为流域治理效果评价和景观格局优化提供依据.[方法]野外现地勾绘景观斑块类型图,内业进行数字化处理,建立燕沟流域的景观类型分类系统和数据库,统计相关景观指数,分析流域景观构成.[结果](1)燕沟流域景观类型中,杂灌丛(浓杂灌从和稀杂灌丛)面积最大,农田、刺槐林、成熟果园和草地面积次之;以上6种景观类型占流域面积的91.03%、占流域斑块数的81.68%,构成流域景观的主体;流域整体景观属于细粒结构.(2)三大景观功能类型中,生态防护型景观的斑块数、斑块面积、斑块周长均最高,占流域景观的近2/3,经济生产型景观次之;生态防护型、经济生产型、生活服务型三类景观的面积比约为2.08 : 1:0.12.(3)流域内自然景观与人类主导景观斑块面积的比例相当,经济生产型景观是人类主导景观的主要组成部分.[结论]目前燕沟流域景观构成的特点为:景观类型多样,斑块数量丰富,景观整体粒级微小,景观破碎,人类活动对流域景观的构成影响大;三大景观功能类型的构成,为燕沟流域治理效果评价和景观格局优化提供了依据,可作为同类地区小流域治理的重要参考.【期刊名称】《西北农林科技大学学报(自然科学版)》【年(卷),期】2010(038)001【总页数】10页(P145-153,160)【关键词】黄土丘陵沟壑区;小流域;景观构成;景观功能类型【作者】林洋;张文辉【作者单位】西北农林科技大学,生命科学学院,,陕西,杨凌,712100;西部环境与生态教育部重点实验室,陕西,杨凌,712100;西北农林科技大学,西部环境与生态教育部重点实验室,陕西,杨凌,712100【正文语种】中文【中图分类】X826黄土高原环境质量的提高依赖于每一个小流域景观斑块的合理布局和持续发育。
小流域是构成黄土高原的基本单元,也是实施水土保持工程和环境建设的基本单元。
水土保持与荒漠化防治专业的现状和发展对策(草稿)(精选5篇)第一篇:水土保持与荒漠化防治专业的现状和发展对策(草稿) 水土保持与荒漠化防治专业的现状和发展对策齐实,张洪江,孙保平(北京林业人学水上保持学院)摘要:该文在分析我国水土保持与荒漠化防治专业现状及存在问题的基础上,提出为了实现和满足我国生态环境建设需要所采取的专业发展对策。
关键词:水土保持与荒漠化防治;生态环境建设;人才培养中图分类号:G64文献标识码:A文章编号:1671-6116(2005)-增刊-0074-04Current Situation and development Measures in the Major of Soiland water Conservation and Desertification CombatingQI Shi, ZHANG Hong-jiang, SUN Bao-pingCollege of Soil and Water Conservation, Beijing Forestry University , 100083, P.R.China~Abstract:Based on the analysis of current situation and problems in themajor of Soil and Water Conservation & Desertification Combating, the authors propose some proper development measures to meet the demand for the ecological environment projects in China.Key words: Soil and Water Conservation & Desertification Combating;ecological environment construction;talent cultivation一、我国生态环境存在的问题生态环境是指影响人类生存与发展的水资源、土地资源、生物资源以及气候资源数量与质量的总称.是关系社会利经济持续发展的复合生态系统。
陕西省水土流失重点防治区的划分方法及指标体系袁瀛;郝惠莉;马宁;吴发启;王山河;刘铁辉;王埃平【期刊名称】《水土保持通报》【年(卷),期】2017(37)5【摘要】[目的]划定县级以上水土流失重点防治区,指导水土保持措施的科学制定和提高水土流失防治成效。
[方法]在参加国家水土流失重点防治区复核划分工作和完成陕西省水土流失重点防治区划分工作的基础上,通过调查及分析研究,提出了土壤侵蚀强度、林草覆盖度和水土流失治理度等定量指标和江河源头、引水水源、基本农田等保护区的定性指标。
[结果]利用GIS和RS技术,以乡镇行政区划为基本单元,按照定量指标,解译遥感影像数据,生成了陕西省水土流失重点防治区划分成果图。
利用定性指标,按照相对集中连片,突出重点,适当概化的原则,对划分成果进行了归类修正。
以地貌类型为主线,并参照水土保持功能,对水土流失重点防治区进行了分类和命名。
[结论]陕西省划分为6个水土流失重点预防区和6个水土流失重点治理区共计12个大片区,是编制《陕西省水土保持规划》、规范生产建设项目中水土保持监督工作的重要依据,也为市县级水土流失重点防治区的划分提供参考。
【总页数】5页(P333-337)【关键词】水土流失;重点预防区;重点治理区;陕西省【作者】袁瀛;郝惠莉;马宁;吴发启;王山河;刘铁辉;王埃平【作者单位】陕西省水土保持勘测规划研究所;西北农林科技大学资源环境学院;陕西省水土保持局【正文语种】中文【中图分类】S157.2【相关文献】1.省政府关于划分水土流失重点防治区和平源沙土区的通知 [J],2.国家级水土流失重点防治区重点范围划分的探析 [J], 朱春波;李世锋;徐小燕3.陕西省人民政府关于划分水土流失重点防治区的公告 [J], ;4.陕西省水土流失重点防治区划分探析 [J], 岳爱琴5.南京市水土流失重点防治区复核划分及其防治对策 [J], 陈莉莎;王超;丁鸣鸣;徐姗姗;钱洲;朱燕飞因版权原因,仅展示原文概要,查看原文内容请购买。
名词解释◇6土壤侵蚀:土壤及其母质在水力、风力、冻融等外营力作用下,被破坏、剥蚀、搬运和沉积的过程。
土壤侵蚀模数:单位时间内单位面积上的土壤侵蚀量。
土壤侵蚀量:土壤在外力作用下产生位移的物质的量。
土壤流失量:侵蚀物质以一定方式搬运,输出某一特定地段的泥沙量。
流域产沙量:在特定时段内通过小流域出口某一观测断面的泥沙总量。
水土流失:在水力、风力、重力等外营力作用下,水土资源和土地生产力遭受到的破坏和损失,包括土地表层侵蚀和水的流失。
水土保持:防治水土流失,保持、保护、改良与合理利用山区、丘陵区和风沙区水土资源,维护和提高土地生产力,以利于充分发挥水、土资源的经济与社会效益,建立良好的生态环境的事业。
土壤保持:防止土壤侵蚀,保护土壤资源,并能永续利用。
侵蚀营力:改造地表起伏,促使地表形态不断变化发展的基本力量,包括内营力和外营力。
古代侵蚀:人类出现以前地史时期发生的侵蚀。
现代侵蚀:人类出现以后参与了侵蚀过程的土壤侵蚀称为现代侵蚀。
加速侵蚀:由于人类不合理的活动(滥伐森林、陡坡开荒、过度放牧和过度樵采),再加之自然因素的影响,使土壤侵蚀速率超过正常侵蚀速率的土壤侵蚀。
正常侵蚀:在不受人类活动影响下的自然环境中,所发生的土壤侵蚀速率小于或等于土壤形成速率的土壤侵蚀。
土壤侵蚀程度:是指任何一种土壤侵蚀形式在特定外营力种类作用和一定环境条件影响下自其发生开始,截止到目前为止的发展状况。
土壤侵蚀强度:指某种侵蚀形式,在特定外营力种类作用和其所处环境条件不变的情况下,该种土壤侵蚀形式发生可能性的大小。
◇6允许土壤流失量:指小于或等于成土速度的年土壤流失量。
水力侵蚀:由于大气降水及所形成的径流产生的一系列侵蚀作用。
溅蚀:指裸露的地表由于受到雨滴的击溅而引起的土壤侵蚀现象。
溅蚀量:击溅侵蚀引起土粒下移的数量称为溅蚀量。
面蚀:由分散的地表径流冲走坡面表层土粒的侵蚀现象。
沟蚀:是地表径流集中冲蚀土壤和母质并切入地面形成沟壑的一种侵蚀形式。
学号:西北农林科技大学资源环境学院教学实习报告课程名称:水土保持规划专业年级(班):水保学生姓名(学号):指导教师:***学年学期:2012-2013第一学期实习时间:第18周实习地点:校内实习内容一:山东省聊城市水土保持区划聊城市地处中原腹地,山东省西部,临河南,河北,位于华北、华中、华东三大区域交界处。
母亲河的黄河和代表古代文明的京杭大运河在此交汇,贯穿中国南北的京九铁路和连接东西的胶济邯铁路及高速公路在此相交形成十字枢纽。
聊城不仅起着辐射和带动鲁西经济发展的中心作用,而且也是与山西、河南、河北等省份经济技术文化交流的重要通道。
聊城既可利用东部沿海的便利港口,还可利用中西部省份的丰富资源,是中国重要的交通枢纽、能源基地、内陆口岸和辐射冀鲁豫交界地区的区域中心城市。
聊城市位于北纬35o 47'~37 o02' 和东经115o 16'~116 o32'之间,南北直距138公里,东西直距114公里。
总面积8715平方公里,总人口557.52万人,人口密度每平方公里640人。
其中,少数民族38个,约有6.73万人。
市境地处黄河冲击平原,地势西南高、东北低。
耕地面积553183公顷,人均耕地面积1.49亩。
属于暖温带季风气候区,半干燥大陆性气候。
气候适宜,光照充足,全年光照时数在2463~2741小时之间,无霜期200天左右。
聊城市辖冠县、莘县、阳谷、东阿、茌平、高唐、东昌府区、经济技术开发区,代管省辖市临清市,下辖126个乡、镇、办事处,6516个村委会。
2001年末,全市企业单位1219个,事业单位1481个,机关单位1010个,全部单位在岗职工人数为325020人。
1. 自然条件1.1 地质地貌聊城市属黄河冲积平原, 地势低平, 受黄河历次决口改道和自然侵蚀的影响, 形成了微度起伏, 岗、坡、洼相间的平原微地貌。
浅平洼地、缓平坡地、背河洼地和河滩高地是区内的主要地貌类型。
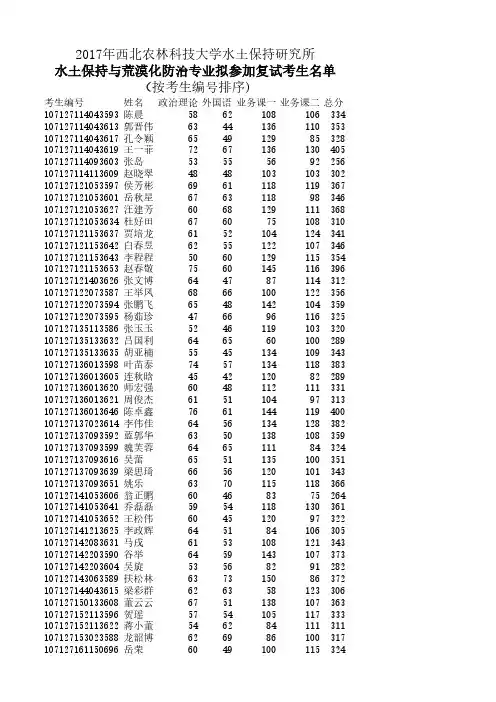
2017年西北农林科技大学水土保持研究所水土保持与荒漠化防治专业拟参加复试考生名单(按考生编号排序)考生编号姓名政治理论外国语业务课一业务课二总分107127114043593陈晨5862108106334 107127114043613郭晋伟6344136110353 107127114043617孔令颖654912985328 107127114043619王一菲7267136130405 107127114093603张岛53555692256 107127114113609赵晓翠4848103103302 107127121053597侯芳彬6961118119367 107127121053601岳秋星676311898346 107127121053627汪建芳6068129111368 107127121053634杜好田676075108310 107127121153637贾培龙6152104124341 107127121153642白春昱6255122107346 107127121153643李程程5060129115354 107127121153653赵春敬7560145116396 107127121403626张文博644787114312 107127122073587王举凤6866100122356 107127122073594张鹏飞6548142104359 107127122073595杨茹珍476696116325 107127135113586张玉玉5246119103320 107127135133632吕国利646560100289 107127135133635胡亚楠5545134109343 107127136013598叶苗泰7457134118383 107127136013605连秋晗454212082289 107127136013620师宏强6048112111331 107127136013621周俊杰615110497313 107127136013646陈卓鑫7661144119400 107127137023614李伟佳6456134128382 107127137093592蓝郭华6350138108359 107127137093599魏芙蓉646511184324 107127137093616吴蕾6551135100351 107127137093639梁思琦6656120101343 107127137093651姚乐6370115118366 107127141053606翁正鹏60468375264 107127141053641乔磊磊5954118130361 107127141053652王松伟604512097322 107127141213625李政辉645184106305 107127142083631马戌6153108121343 107127142203590谷举6459143107373 107127142203604吴旋53568291282 107127143063589扶松林637315086372 107127144043615梁彩群626358123306 107127150133608董云云6751138107363 107127152113596贺瑶5754105117333 107127152113622蒋小董546284111311 107127153023588龙韶博626986100317 107127161150696岳荣6049100115324107127161150697何亮5863124111356 107127161150699李勃5767121104349 107127161150702于金鑫6156121111349 107127161150703潘泰臣614992100302 107127161150704窦少辉5166133119369 107127161150705白雪强6148104115328 107127161150706陈嘉钰6560120107352 107127161150707王颢霖5761113122353 107127161150708杨一凡5767110122356 107127161150709段红腾6355126123367 107127161150710陈卓6160137109367 107127161150711王文鑫7360137117387 107127161150712姜泓旭5545144113357 107127161150713赵满7071113129383 107127161150714张恒635798127345 107127161150715姚静6361124115363 107127161150716张玥65626593285 107127162023591苏蕊红60388193272 107127162023623王承书5256102114324 107127162043628左小锋6072111103346 107127162063585张统帅64497496283 107127162063630张闯娟604798112317 107127162063636赵佰礼514210889290 107127162063645徐瑞瑞6457112113346 107127162063647田小靖5360125122360 107127165013644杨佳燕645480113311。
学号:**********西北农林科技大学资源环境学院课程考查报告课程名称:水土保持规划专业年级(班):水保12(3 )学生姓名(学号):拓兰兰(**********)指导教师:***学年学期:2015-2016第一学期靖边县水土保持区划前言:水土保持区划是自然特点、水土流失类型、水土保持特点和区域经济发展的划分与合并的研究。
在继承前人水土保持区划研究和我国各种区划工作与成果的基础上,探讨水土保持区划的目的、任务和特点。
通过研究,中国水土保持区划的目的是通过开展水土保持区划和建立区划信息系统,揭示不同区域水土资源开发利用与治理保护特点,为区域资源水土开发与生态环境保护提供决策依据。
1.自然条件1.1地理位置靖边县位于陕西省北部偏西,榆林市西南部,地理位置为北纬36°58′45″- 38°03′15″,东经108°17′15″- 109°20′15″,地跨长城南北,处于毛乌素沙漠南缘。
西北与内蒙古自治区乌审旗、鄂托克前旗相邻,南与延安市的子长、安塞、志丹、吴起县接壤,东接横山县,西连定边县。
全县土地总面积4970.36平方公里。
县境南北最长为116.2公里,东西最宽为91.3公里。
县政府所在地是张家畔镇。
1.2地质地貌全县按地形地貌分为三个区域,即北部风沙滩区、中部梁峁涧区、南部丘陵沟壑区,分别约占总面积的三分之一。
全县海拔介于1123米—1823米之间,地势南高北低,海拔最高点在中山涧镇水路畔村的大墩山,是芦河、红柳河、大理河、黑河、杏子河和周河的发源地;海拔最低点在红墩界镇的白城则。
1.3水文气候靖边县属半干旱大陆性季风气候,光照充足,温差大,气候干燥,通风条件好,雨热同季,四季明显,主要自然灾害是干旱和低温霜冻,其次是大风和冰雹。
年平均降雨量395.4毫米(348.3-431.3毫米),平均日照时数为2768.2小时(2516.1-3037.7小时)。
关于西农校史事件的调查报告调查人:王省机制136学号2013012812时间:2014.7.29—2014.8.10地点:西北农林科技大学南北校区内容简介:正值学校80周年校庆之际,本人特别的梳理了西农建校80年来学校发展历程中发生的事件一、学校的创办过程西北农林科技大学1999年9月11日,由共处陕西杨凌的原西北农业大学、西北林学院、中国科学院水利部水土保持研究所、水利部西北水利科学研究所、陕西省农业科学院、陕西省林业科学院、陕西省中国科学院西北植物研究所等7个教学、科研单位合并组建为西北农林科技大学西北农业大学前身是国立西北农林专科学校,创建于1934年。
1932年秋,“筹建建设西北专门教育委员会”成立,于右任等人为筹备委员,同年十二月,该委员会改名为“建设西北农林专科学校筹备委员会”,于右任、张继、戴季陶3人被共推为常务委员,朱家骅、杨虎城、邵力子、辛树帜等十五人为筹备委员,学校筹备工作开始。
[3]1933年3月,筹备委员会共推于右任先生为国立西北农林专科学校校长。
1934年4月20日,国立西北农林专科学校7层教学大楼奠基,这标志着中国西北地区第一所高等农业学府成立。
1936年7月,筹委会结束工作,辛树帜被任命为校长。
1938 年7 月,奉教育部令,与国立西北联合大学农学院、河南大学农学院畜牧系合并,成立国立西北农学院。
国立西北农学院解放后更名为西北农学院。
1949年5月20日,王震将军率部解放武功,学校又回归人民的怀抱。
1985年经原农牧渔业部批准,学校更名为西北农业大学。
1999年9月并入西北农林科技大学。
[2]西北林学院前身是原西北农学院森林系,成立于1934年。
1979年从西北农学院分出,成立西北林学院。
由林业部与陕西省双重领导,以林业部为主。
1999年9月并入西北农林科技大学。
[2]中国科学院.水利部水土保持研究所中国科学院1954年决定筹建西北农业生物研究所,所址选定为陕西武功。
西北农林科技大学水土保持林学复习重点水土保持林学复习重点绪论1、水土保持林学:是根据林学和生态学原理,结合山地丘陵区水土保持和资源综合利用,主要阐述造林基本原理与培育技术,水土保持林规划设计与体系配置建设技术,以及水土保持林体系多种功能与效益的一门应用学科。
2、水土保持林:是指在水土流失地区,调节地表径流,防治土壤侵蚀,减少河流、湖泊和水库泥沙淤积,改善山地丘陵区的农牧业生产条件,提供一定林副产品的天然林和人工林。
3、水土保持林目前存在的几个问题(1)数量少,发展速度慢,不能满足水土保持的要求(2)成活率、保存率低。
这是目前水土保持林发展最关键和最难解决的问题(3)生长缓慢,小老林面积大,既无生态效益,又无经济效益(4)科学研究跟不上生产要求,对生产上提出的问题解决不了(5)树种单一,可替换树种研究较少(6)造林所用苗木质量低(7)对现有林分缺乏管理,重造轻管第一章水文效应1、水土保持林的水文效应:指水土保持林对一个流域或区域的水文要素的影响。
水土保持林对这些要素(如降水、蒸发和径流)进行改变、调控,最终改变地下水与地表水的分配比例,从而改变水文过程,调节地表径流,保持水土。
2、对降雨的三次分配林冠层截留:泛指所有森林植物的地上部分(乔木、灌木和活地被物) 枯枝落叶截留(死地被物)枯枝落叶层下的土壤:下渗吸收或产生径流3、林内降雨量包括(林冠通过雨量)和(林冠滴下雨)4、影响林冠截留量的因素(1)林冠特性林冠结构:重叠多、孔隙少,截留量多枝叶量:多>少湿润程度:干>湿(2)林分特征树种:针叶>灌木>软阔>硬阔郁闭度:林龄:同一树种因林龄不同,枝叶茂密程度不同,截留率也不相同。
(3)雨量、雨的性质雨量与截留量:正相关关系、非直线性(当林冠截留量IC< C林冠贮水量时)林冠贮水量C:一次降雨中林冠所能容纳的最大降水量。
降雨性质与截留量:雨强越大,降雨越集中,截留量越小;雨强越小,历时越长,有利于林冠充分吸水和吸水后蒸发,截留量越大。
西北农林科技大学章程(征求意见稿)二○一二年十一月目录第一章总则 (1)第二章学校功能、学科与教育形式 (2)第三章基本校策 (3)第四章管理体制与机构设置 (5)第五章学院管理 (10)第六章岗位设置、聘用与考核管理 (11)第七章财务与资产管理 (12)第八章教职工 (14)第九章学生 (15)第十章校友 (18)第十一章与举办者及外部关系 (18)第十二章校训、校徽、校旗、校歌、校庆日 (21)第十三章附则 (21)西北农林科技大学章程(征求意见稿)第一章总则第一条为推进依法治校,规范办学行为,实现科学管理、民主管理,使学校各项办学活动有章可循,根据《中华人民共和国教育法》、《中华人民共和国高等教育法》、《中华人民共和国教师法》、《中国共产党普通高等学校基层组织工作条例》及教育部《高等学校章程制定暂行办法》等法律、法规和文件精神,制定本章程。
第二条学校发端于1934年创办的国立西北农林专科学校。
1999年经国务院批准,由西北农业大学、西北林学院、中国科学院水利部水土保持研究所、水利部西北水利科学研究所、陕西省农业科学院、陕西省西北植物研究所、陕西省林业科学研究院合并,定名“西北农林科技大学”,简称“西北农科大”,英文名为“NORTHWEST A&F UNIVERSITY”,英文名缩写为“NWAFU”。
学校法定注册地址为陕西省杨凌农业高新技术产业示范区邰城路3号;网址为“”。
第三条学校为中华人民共和国教育部直属大学,非营利性事业组织,具有独立法人资格。
校长为学校法定代表人。
第四条学校以中国特色社会主义理论体系为指导,贯彻执行党的教育方针,坚持社会主义办学方向,秉承“经国本、解民生、尚科学”的办学理念,以产学研紧密结合为办学特色,以建设世界一流农业大学为目标,为我国旱区农业发展做贡献。
第二章学校功能、学科与教育形式第五条学校按照研究型大学确定办学功能,以培养农林学科发展急需的学术精英、创新创业技术领军人才和农村社会发展领导者为重点,积极开展科学研究、社会服务和文化传承创新。
西北农林科技大学:教稼圣地培育英才栋梁作者:李景星来源:《求学·志愿填报版》2020年第07期1. 请简要介绍一下学校的基本情况。
李景星:西北农林科技大学是教育部直属全国重点大学,是国家“985工程”和“211工程”重点建设高校,2017年入选国家“世界一流大学和一流学科”建设高校序列。
我国是一个农业大国,农业科学的发展关乎社会发展、国家命运。
党的十八大以来,国家提出“生态文明建设”“健康中国”“乡村振兴”等重大发展战略。
2018年,国家提出“新工科”“新医科”“新农科”和“新文科”发展概念,2019年,从“安吉共识”到“北大仓行动”,再到“北京指南”,新农科建设“三部曲”已经全部唱响,为高等农林教育及农业学科迎来发展的新春天。
2. 请介绍一下学校的学科专业优势和特色。
李景星:西北农林科技大学是全国农林水最为齐备的高等农业院校,现有70个本科专业,涵盖农、理、工、经、管、文、法和艺术等多个学科门类,目前已经成为以农为特色、多学科协调发展的全国重点大学。
在动植物育种、植物保护、农业生物技术、旱区农业与节水技术、生态修复和保育等研究领域具有鲜明特色和优势。
农业科学居US.NEWS学科排名全球第30位;农业科学、植物学与动物学、工程学、环境科学与生态学、化学、生物学与生物化学、药理学与毒理学、分子生物学与遗传学8個学科进入ESI全球学科排名前1%,农业科学、植物学与动物学2个学科进入ESI全球学科排名前1‰。
13个学科进入上海“软科世界一流学科”排名,其中农学学科居全球第5位,食品科学与工程居全球第13位,水资源工程居全球第24位。
3. 2020年学校招生政策方面有哪些变化?李景星:进一步深化专业按类招生。
加强学生通识教育,培养具有“宽口径、厚基础”的高素质复合型人才,同时给学生更大的自主选择余地,主动适应社会和不同学生的需求。
2020年进一步深化专业按类招生,70个本科专业,其中47个专业按照17个专业类招生,按专业类录取的学生,入学1~2年后可选择所录取专业类中的相关专业学习。
水土保持林学复习重点绪论1、水土保持林学:是根据林学和生态学原理,结合山地丘陵区水土保持和资源综合利用,主要阐述造林基本原理与培育技术,水土保持林规划设计与体系配置建设技术,以及水土保持林体系多种功能与效益的一门应用学科。
2、水土保持林:是指在水土流失地区,调节地表径流,防治土壤侵蚀,减少河流、湖泊和水库泥沙淤积,改善山地丘陵区的农牧业生产条件,提供一定林副产品的天然林和人工林。
3、水土保持林目前存在的几个问题(1)数量少,发展速度慢,不能满足水土保持的要求(2)成活率、保存率低。
这是目前水土保持林发展最关键和最难解决的问题(3)生长缓慢,小老林面积大,既无生态效益,又无经济效益(4)科学研究跟不上生产要求,对生产上提出的问题解决不了(5)树种单一,可替换树种研究较少(6)造林所用苗木质量低(7)对现有林分缺乏管理,重造轻管第一章水文效应1、水土保持林的水文效应:指水土保持林对一个流域或区域的水文要素的影响。
水土保持林对这些要素(如降水、蒸发和径流)进行改变、调控,最终改变地下水与地表水的分配比例,从而改变水文过程,调节地表径流,保持水土。
2、对降雨的三次分配林冠层截留:泛指所有森林植物的地上部分(乔木、灌木和活地被物)枯枝落叶截留(死地被物)枯枝落叶层下的土壤:下渗吸收或产生径流3、林内降雨量包括(林冠通过雨量)和(林冠滴下雨)4、影响林冠截留量的因素(1)林冠特性林冠结构:重叠多、孔隙少,截留量多枝叶量:多>少湿润程度:干>湿(2)林分特征树种:针叶>灌木>软阔>硬阔郁闭度:林龄:同一树种因林龄不同,枝叶茂密程度不同,截留率也不相同。
(3)雨量、雨的性质雨量与截留量:正相关关系、非直线性(当林冠截留量IC< C林冠贮水量时)林冠贮水量C:一次降雨中林冠所能容纳的最大降水量。
降雨性质与截留量:雨强越大,降雨越集中,截留量越小;雨强越小,历时越长,有利于林冠充分吸水和吸水后蒸发,截留量越大。
2023年水土保持与荒漠化防治专业考研方向和院校排名水土保持与荒漠化防治专业简介:水土保持与荒漠化防治专业,是以自然地理学、水文学、土壤学、生态学为基础,以土地利用与综合治理、荒漠化防治、水土流失综合治理、生态保护与修复、环境监测与评价等为重点的交叉学科。
该专业的毕业生可以从事自然资源和环境管理、荒漠化防治等领域的科研、技术开发和工程设计、管理和运营等工作。
水土保持与荒漠化防治专业考研方向:1. 水土保持与综合治理:该方向主要研究土地利用与综合治理、水土流失综合治理、自然灾害防治等领域的理论和方法,从中寻求可持续发展的解决方案。
2. 荒漠化防治:该方向主要研究荒漠化的形成、演化、防治等方面的知识,以及荒漠化区域生态环境的调查、监测、评价和修复等技术。
3. 生态保护与修复:该方向主要研究自然生态系统保护与修复方面的知识和技术,旨在实现自然资源的可持续利用和生态环境的良性循环。
水土保持与荒漠化防治专业院校排名:1. 中国农业大学:水土保持与荒漠化防治专业在这个学校起步较早,学科师资力量雄厚,教学、科研水平高,在这里学生可以接触到权威的专家和学者,拓宽视野、提高水平。
2. 西北农林科技大学:这所学校位于陕西杨凌,是水土保持与荒漠化防治专业的著名学府,拥有优秀的教学设施和实验室,积极推行校企合作,学生们能够接触到最新、最前沿的科技成果。
3. 北京林业大学:水土保持与荒漠化防治专业在这里有着丰富的教学资源和科研实力,学校对教学质量和师资力量十分注重,为学生提供了良好的学习环境和机会。
4. 青海大学:这所学校是荒漠化研究的重要基地之一,水土保持与荒漠化防治专业的教学和研究历史悠久,尤其擅长研究复杂生态区的资源管理和治理。
5. 贵州大学:这所学校是贵州水土保持与荒漠化防治专业的代表,教学和科研实力十分强大,学生可以接触到丰富的实践机会和学术资源。
总之,水土保持与荒漠化防治是一个具有前景和挑战的学科,对于有志于从事相关工作的学生来说,选择一所优秀的学校有助于成长和发展。