2016上海大学机电与自动化学院硕士研究生拟录取名单
- 格式:xls
- 大小:90.00 KB
- 文档页数:16
方明伦 (男),上海大学终身教授。
专业:机械制造及其自动化。
主要研究领域:计算机集成制造系统、制造系统自动化和机器人研究及应用开发。
现任上海市机械自动化及机器人重点实验室主任、上海机器人研究所所长、上海大学CIMS中心主任、上海大学学术委员会主任、上海大学学位委员会副主任、上海市机器人学会会长、上海市机械工程学会副会长、全国高校机械制造及自动化学会副会长、国务院学位委员会机械学科评议组成员。
曾任教育部第一、二、三届科技委委员,国家“863”计划第一、二、三届CIMS主题中的“质量控制”专题和“先进制造及自动化”专题专家组成员。
主持研制“上海二号工业机器人”并获上海市科技进步一等奖;主持研制“上海五号工业机器人”并获上海市科技振兴一等奖;“桑塔纳汽车汽缸盖浇注模” 获上海市科技进步三等奖。
“以机电一体化高新技术改造传统的机械专业” 获上海市优秀教学成果二等奖。
曾获“国家有突出贡献的中青年专家”的荣誉称号,上海市劳动模范、上海市高校优秀导师。
至目前已培养20余名博士生获得工学博士学位,五十余名硕士生获得工学硕士学位。
目前承担和参与的项目:国家自然科学基金项目:“一种新的制造过程多目标化理论与方法的研究”;上海市重点基础攻关项目“基于快速成型技术的仿生组织制造方法研究”;国家“863”计划和上海市科委的“服务机器人”和“机器人关键部件”项目;企事业委托项目多项。
联系方式:021‐56333060; 021‐56331235通信地址:上海市延长路149号上海大学校办(200072)龚振邦 (男),教授。
专业:机械电子工程、精密机械。
主要研究领域:先进机器人技术与精密工程。
现任上海大学精密机械研究所所长、微机械技术研究中心主任。
他曾是“国际先进机器人计划”(IAPP, International Advanced Robotics Program)合作协调委员会委员,国家教育部第四届科技委员会工程技术学部一部委员,国家自然科学基金委工程和材料学部机械学科第八届评审专家组组长,国家863计划智能机器人主题第二、三、四届专家组专家,国家863计划微机电系统发展战略研究专家组副组长。
马克思主义学院科学社会主义与国际共产主义运动杨家权88.00马克思主义学院中共党史寇政璇85.02马克思主义学院中共党史王婧飞81.17马克思主义学院马克思主义基本原理赵梅英86.50马克思主义学院马克思主义基本原理林小婷82.04马克思主义学院马克思主义中国化研究何雨韩79.85马克思主义学院马克思主义中国化研究李伟80.45马克思主义学院思想政治教育程瑾茹87.20马克思主义学院思想政治教育肖晨曦87.20马克思主义学院思想政治教育郭怡85.55中国古代文学研究中心(古籍所)中国古代文学张曦文90.00中国古代文学研究中心(古籍所)中国古代文学范佳86.00中国古代文学研究中心(古籍所)中国古代文学薄艺88.00中国古代文学研究中心(古籍所)中国古代文学宋昕84.00中国古代文学研究中心(古籍所)中国文学古今演变贺勤90.00中国语言文学系民俗学李杨85.00中国语言文学系文艺学叶晓琳90.00中国语言文学系文艺学任继泽85.00中国语言文学系文艺学高轶旸80.00中国语言文学系文艺学葛杭80.00中国语言文学系文艺学张璘宿90.00中国语言文学系文艺学汤添婷80.00支教团中国语言文学系文艺学许志恒90.00中国语言文学系文艺学邢晨92.00中国语言文学系语言学及应用语言学卢一志85.00中国语言文学系语言学及应用语言学程文艳85.00中国语言文学系语言学及应用语言学王琪霞80.00中国语言文学系语言学及应用语言学施瑞峰90.00中国语言文学系汉语言文字学叶雁鹏90.00中国语言文学系汉语言文字学羌荻80.00中国语言文学系汉语言文字学郝媛媛85.00中国语言文学系汉语言文字学陈新雨80.00中国语言文学系汉语言文字学孙飚90.00中国语言文学系汉语言文字学庄歆怡87.00中国语言文学系汉语言文字学杨立婷83.00中国语言文学系汉语言文字学单徐紫薇80.00中国语言文学系汉语言文字学丁怡80.00中国语言文学系中国古典文献学邓博方85.00中国语言文学系中国古典文献学周涛88.00中国语言文学系中国古典文献学王瑞85.00中国语言文学系中国古代文学谢瑞琳85.00中国语言文学系中国古代文学张弛90.00中国语言文学系中国古代文学陶熠90.00中国语言文学系中国古代文学冉莹83.00中国语言文学系中国古代文学陈珑90.00中国语言文学系中国古代文学张思茗83.00参军返校生中国语言文学系中国古代文学叶豪85.00中国语言文学系中国古代文学钟凯旋87.00人才工程中国语言文学系中国现当代文学王艳90.00中国语言文学系中国现当代文学王泽鹏85.00中国语言文学系中国现当代文学郑依梅83.00中国语言文学系中国现当代文学江林晚85.00支教团中国语言文学系中国现当代文学林诚翔90.00中国语言文学系中国现当代文学王思琪83.00支教团中国语言文学系中国现当代文学王玮旭90.00中国语言文学系中国现当代文学刘欣蔚83.00中国语言文学系中国现当代文学潘樱梅80.00人才工程中国语言文学系比较文学与世界文学金瑶90.00中国语言文学系比较文学与世界文学黄灏扬90.00中国语言文学系比较文学与世界文学王静怡85.00中国语言文学系比较文学与世界文学陈壮壮90.00中国语言文学系比较文学与世界文学文竹90.00中国语言文学系比较文学与世界文学胡泊87.00人才工程中国语言文学系比较文学与世界文学张梦雅85.00中国语言文学系中国文学批评史赵月85.00中国语言文学系中国文学批评史王涛90.00中国语言文学系中国文学批评史李文韬83.00中国语言文学系艺术人类学与民间文学董名杰85.00中国语言文学系现代汉语语言学朱子璇85.00中国语言文学系现代汉语语言学高昕85.00支教团中国语言文学系出版江彦懿90.00中国语言文学系出版沈凯杰80.00中国语言文学系出版胡文逸75.00中国语言文学系出版吴旻70.00中国语言文学系出版闻逸70.00中国语言文学系出版曾晓蓉80.00中国语言文学系戏剧与影视学冯宇嘉80.00中国语言文学系戏剧陈艺璇90.00中国语言文学系戏剧何闽强90.00中国语言文学系戏剧黄厚斌90.00中国语言文学系戏剧王梦迪90.00中国语言文学系戏剧张心怡90.00中国语言文学系戏剧伍华星87.00中国语言文学系戏剧单超君86.00中国语言文学系戏剧蒋颖如89.00外国语言文学学院英语语言文学江歌美82.00外国语言文学学院英语语言文学张梦86.00外国语言文学学院英语语言文学于滢85.00外国语言文学学院英语语言文学吴越89.00外国语言文学学院英语语言文学叶露83.00外国语言文学学院俄语语言文学骆佳圆90.00外国语言文学学院法语语言文学何正华83.00外国语言文学学院法语语言文学王智慧82.50外国语言文学学院德语语言文学闫雪洁85.00外国语言文学学院德语语言文学许嘉栋70.00外国语言文学学院德语语言文学沈星成95.00外国语言文学学院日语语言文学龚莲娜92.00外国语言文学学院亚非语言文学张一荻90.00外国语言文学学院外国语言学及应用语言学刘维佳76.00外国语言文学学院外国语言学及应用语言学袁雪怡82.00外国语言文学学院英语笔译宋玮婕86.20外国语言文学学院英语笔译王梦琦79.90外国语言文学学院英语笔译金怡77.10新闻学院新闻学唐燕飞88.00新闻学院新闻学陈琳83.80人才工程新闻学院新闻学郑薛飞腾85.00新闻学院新闻学徐子婧88.00新闻学院新闻学王震宇85.60新闻学院新闻学黄霁洁81.40新闻学院新闻学李煜申89.60人才工程新闻学院新闻学邵雨航81.40新闻学院新闻学张琦79.60参军返校生新闻学院传播学陆阳93.20新闻学院传播学艾雪宜83.80新闻学院传播学田宇85.80新闻学院传播学张懿雯92.40新闻学院广告学王琼79.60新闻学院广告学张雨馨79.20体育特长生新闻学院广告学温婷茵84.20新闻学院广播电视学顾小雨84.60新闻学院广播电视学翟亭亭84.00艺术特长生新闻学院广播电视学王博文85.40新闻学院媒介管理学钱威丞88.40新闻学院新闻与传播占悦84.40新闻学院新闻与传播辛梓88.80新闻学院新闻与传播李昕90.00新闻学院新闻与传播曹少莹86.60新闻学院新闻与传播陈伟城86.40新闻学院新闻与传播杨金慧91.00新闻学院新闻与传播陈春歌81.80新闻学院新闻与传播查建琨87.80新闻学院新闻与传播邢天意86.00支教团新闻学院新闻与传播李梦馨91.80新闻学院新闻与传播鲁梦晨90.00新闻学院新闻与传播杨志伟78.60新闻学院新闻与传播黄雅坤71.80新闻学院新闻与传播邹奕叶87.20新闻学院新闻与传播袁琳91.20新闻学院新闻与传播王玉88.60新闻学院新闻与传播丁家楠85.60新闻学院新闻与传播甄子锐83.60新闻学院新闻与传播魏羽彤85.20艺术特长生新闻学院新闻与传播许婷婷87.40新闻学院新闻与传播王民超90.80新闻学院新闻与传播王玥89.60新闻学院新闻与传播孙珉懿88.50新闻学院新闻与传播毛荻秋88.20新闻学院新闻与传播孙鉴文93.00新闻学院新闻与传播朱聪慧86.80新闻学院新闻与传播丁旋87.80新闻学院新闻与传播李泽宇87.00新闻学院新闻与传播丁文娴90.80新闻学院新闻与传播丁雪纯90.50新闻学院新闻与传播刘婷82.80新闻学院新闻与传播胡谦88.50新闻学院新闻与传播陈歆77.00新闻学院新闻与传播杨文佳89.80新闻学院新闻与传播叶佳雯87.80新闻学院新闻与传播唐吉平87.00新闻学院新闻与传播戴雯斌86.80新闻学院新闻与传播赵雅78.60新闻学院新闻与传播赵宇川88.20新闻学院新闻与传播赵恩澈87.80新闻学院新闻与传播周曈66.50新闻学院新闻与传播施一宽85.40新闻学院新闻与传播陈春艳87.00历史学系中国史张敬奎95.00历史学系中国史王蕊95.00历史学系中国史熊钿85.00历史学系中国史赵振皓85.00历史学系中国史罗嗣超88.00历史学系中国史纪秋悦85.00历史学系中国史段媛媛95.00历史学系中国史吕德修90.00历史学系中国史江洁90.00历史学系中国史周芳琴87.00历史学系中国史刘舒扬90.00历史学系中国史林小静95.00历史学系中国史苏璐璐90.00历史学系中国史孙毓斐90.00支教团历史学系中国史秦伊95.00历史学系中国史张雨丝85.00历史学系中国史赵帅95.00历史学系中国史韩尚蒙95.00历史学系中国史徐子鸣90.00历史学系中国史田云茹90.00历史学系中国史陈靖文90.00历史学系中国史高铭鸿85.00历史学系中国史钟明月85.00历史学系世界史陈一凡90.00历史学系世界史孟凡95.00历史学系世界史陈娴85.00历史学系世界史张弛90.00历史学系世界史庄泽珑85.00历史学系世界史陆鸫恺95.00哲学学院马克思主义哲学张米兰92.00哲学学院马克思主义哲学关山彤89.00哲学学院马克思主义哲学胡文静91.00哲学学院马克思主义哲学李梦雪86.00哲学学院马克思主义哲学龚博88.00人才工程哲学学院中国哲学汪皑妍80.00哲学学院中国哲学谈天81.00哲学学院中国哲学朱寒烨82.00哲学学院中国哲学邹小舟82.00哲学学院中国哲学施佳颖87.00哲学学院中国哲学王韵婷84.00哲学学院中国哲学陈禹名90.00哲学学院外国哲学王浩然89.00哲学学院外国哲学马知怡92.00哲学学院外国哲学李秋伊80.00哲学学院外国哲学王帆81.00哲学学院外国哲学宋琳琅83.00哲学学院外国哲学祝斯靓80.00哲学学院外国哲学李裕晨92.00哲学学院外国哲学苏杭85.00哲学学院逻辑学王修一79.00哲学学院伦理学张思源82.00哲学学院伦理学吴怡宁92.00哲学学院伦理学朱梦成85.00哲学学院美学季丹丹83.00哲学学院宗教学易琦82.00哲学学院宗教学杨文怡83.00哲学学院宗教学蒋筱娟87.00哲学学院宗教学朱永博84.00哲学学院科学技术哲学赵易79.00哲学学院科学技术哲学成阳82.00哲学学院国外马克思主义哲学杨潇潇88.00国际关系与公共事务学院政治学理论李辉82.00国际关系与公共事务学院政治学理论吴纪远80.00国际关系与公共事务学院政治学理论曹一然86.00国际关系与公共事务学院政治学理论熊俊诚81.00国际关系与公共事务学院政治学理论赵琳菲84.40国际关系与公共事务学院政治学理论李心仪70.60艺术特长生国际关系与公共事务学院政治学理论陈冬阳71.20参军返校生国际关系与公共事务学院政治学理论王志鹏83.90人才工程国际关系与公共事务学院政治学理论施含宇78.30国际关系与公共事务学院政治学理论刘佳锜70.40人才工程国际关系与公共事务学院国际政治冯乃康87.00国际关系与公共事务学院国际政治王海程90.70国际关系与公共事务学院国际关系戴丽婷85.00国际关系与公共事务学院国际关系蒋海然88.00国际关系与公共事务学院国际关系何浏阳87.00国际关系与公共事务学院国际关系马德育84.10体育特长生国际关系与公共事务学院国际关系陆诗怡92.40国际关系与公共事务学院国际关系卫艺璇89.90国际关系与公共事务学院国际关系崔樱子91.90国际关系与公共事务学院外交学李嘉东87.00国际关系与公共事务学院外交学周念泽87.00国际关系与公共事务学院外交学杨康书源87.50国际关系与公共事务学院外交学黄培洋89.30国际关系与公共事务学院行政管理宋怡亭81.00国际关系与公共事务学院行政管理赵丽琼79.00国际关系与公共事务学院行政管理陈燕红82.00国际关系与公共事务学院行政管理屈梦蝶76.80国际关系与公共事务学院行政管理唐心怡82.50国际关系与公共事务学院行政管理马心怡85.10人才工程国际关系与公共事务学院公共政策蔡晓昕92.00国际关系与公共事务学院公共政策楼莉莎87.00国际关系与公共事务学院公共政策欧阳喆92.00国际关系与公共事务学院公共政策石枫90.00国际关系与公共事务学院公共政策顾然90.65国际关系与公共事务学院公共政策刘婷婷78.00国际关系与公共事务学院公共政策蔡城城74.80国际关系与公共事务学院公共政策王潞涤90.90国际关系与公共事务学院公共政策袁子辰95.00国际关系与公共事务学院公共政策何菁91.10国际关系与公共事务学院公共政策杨雨清89.80国际关系与公共事务学院公共政策郎天琪90.90国际关系与公共事务学院公共政策王璇74.60人才工程国际关系与公共事务学院公共政策肖方弘83.40国际关系与公共事务学院公共政策陈辉艳73.90支教团数学科学学院金融秦浩洋80.00数学科学学院金融李有方94.00数学科学学院金融刘宏利80.00数学科学学院金融张天绎88.20数学科学学院金融徐安琪60.00数学科学学院金融黄湘岳89.00数学科学学院金融徐佳83.00数学科学学院金融赖川75.00数学科学学院金融王博77.80数学科学学院金融臧思艺84.20数学科学学院金融苏涌桢81.00数学科学学院金融刘海燕74.00数学科学学院金融刘佳73.00数学科学学院金融郭舒雯86.20数学科学学院金融罗伊92.40数学科学学院金融陈星豪87.40数学科学学院金融陈继东82.00数学科学学院金融袁月78.40数学科学学院金融李童济79.00数学科学学院金融刘树备79.00数学科学学院金融姜志成80.80数学科学学院金融王新晨84.00数学科学学院金融赵宇澄83.40数学科学学院金融雷文渊83.20数学科学学院金融喻晓言85.00数学科学学院金融吴美娟70.00数学科学学院金融朱碧莹90.00数学科学学院金融陆逸晨80.00数学科学学院应用统计张杰男91.00数学科学学院应用统计董梦洋87.00数学科学学院应用统计温雅静88.00数学科学学院应用统计戴鑫84.00数学科学学院应用统计林可90.00数学科学学院应用统计马烨93.00数学科学学院应用统计耿玮82.00数学科学学院应用统计陈奕鸣89.00数学科学学院应用统计郭金雨76.00数学科学学院基础数学郑家宇78.00数学科学学院基础数学徐慧75.00数学科学学院基础数学虞维科80.00数学科学学院基础数学胡守庭75.00数学科学学院基础数学王得位73.00数学科学学院基础数学金臻涛75.00数学科学学院基础数学王志强75.00数学科学学院基础数学苏瑶80.00数学科学学院基础数学张儒轩80.00数学科学学院基础数学张洵70.00数学科学学院基础数学高翼灵75.00数学科学学院基础数学练静芳85.00数学科学学院计算数学余韵89.00数学科学学院计算数学梁若思78.00数学科学学院计算数学喻显迪85.00人才工程数学科学学院计算数学刘小满80.00数学科学学院计算数学李玮75.00数学科学学院计算数学孙婧瑜75.00数学科学学院计算数学郭汇杰88.00数学科学学院概率论与数理统计王添玉80.00数学科学学院应用数学姚鹏程85.00数学科学学院应用数学陈闻清83.00数学科学学院应用数学刘文豪80.00数学科学学院应用数学刘少杰75.00数学科学学院应用数学徐莹90.00数学科学学院应用数学马斌80.00数学科学学院应用数学安少臻80.00数学科学学院应用数学戴祥薇70.00支教团数学科学学院运筹学与控制论王宇星92.00数学科学学院运筹学与控制论计辉82.00数学科学学院运筹学与控制论刘梦晨92.00数学科学学院运筹学与控制论刘若杨88.00物理学系理论物理杨帅75.20物理学系理论物理范恺72.30物理学系理论物理李耀东87.00物理学系凝聚态物理刘少博80.70物理学系凝聚态物理杨倚帆78.30物理学系凝聚态物理李青85.60物理学系凝聚态物理杨明敏74.00物理学系凝聚态物理龚雪82.00物理学系凝聚态物理哈光霁71.00物理学系光学陈恭正86.00现代物理研究所粒子物理与原子核物理李响82.00现代物理研究所粒子物理与原子核物理梁鑫旭86.00人才工程现代物理研究所粒子物理与原子核物理轩慎龙89.00现代物理研究所原子与分子物理陆祺峰90.00现代物理研究所原子与分子物理信天缘91.00现代物理研究所原子与分子物理郭冠男92.00化学系无机化学孙振波86.00化学系无机化学张海宁88.00化学系无机化学杨咏静92.00化学系无机化学于蕾86.00化学系无机化学翁哲伟88.00化学系无机化学张维87.00化学系分析化学王宇宁85.00化学系分析化学陆凌飞95.00化学系分析化学王嘉雯75.00化学系分析化学刘倩静90.00化学系分析化学张冬雪93.00化学系分析化学王瑜莹88.00化学系有机化学兰赏72.00化学系有机化学杨烜93.00化学系有机化学王维一95.00化学系有机化学翟迪85.00化学系有机化学张俊86.00化学系有机化学赵亚坤86.00化学系物理化学赵羿94.00化学系物理化学朱天成88.00化学系物理化学成诗婕95.00化学系物理化学高秀云78.00化学系物理化学郭培文92.00化学系物理化学孔繁晨93.00化学系物理化学吴萱93.00化学系物理化学张鑫80.00化学系物理化学刘峻池91.00化学系化学生物学蔡沅君93.00化学系化学生物学魏蕾80.00计算机科学技术学院计算机软件与理论戴苏洋81.00计算机科学技术学院计算机软件与理论吴隽遒85.70计算机科学技术学院计算机软件与理论孙瑞永79.33计算机科学技术学院计算机软件与理论房籽呈80.77计算机科学技术学院计算机软件与理论吴嘉晔88.73计算机科学技术学院计算机软件与理论张莹81.03计算机科学技术学院计算机软件与理论叶泽坤89.57计算机科学技术学院计算机软件与理论袁梓峰84.80计算机科学技术学院计算机软件与理论周煜敏82.55计算机科学技术学院计算机软件与理论白晓菲75.87计算机科学技术学院计算机软件与理论高建68.97计算机科学技术学院计算机软件与理论傅健83.77计算机科学技术学院计算机软件与理论韩韵衡83.98计算机科学技术学院计算机软件与理论张弘弛88.00计算机科学技术学院计算机软件与理论陈砺寒93.01计算机科学技术学院计算机软件与理论车令夫89.88计算机科学技术学院计算机软件与理论章瀚元88.30计算机科学技术学院计算机软件与理论路畅81.60计算机科学技术学院计算机软件与理论李寰84.15计算机科学技术学院计算机软件与理论解戎74.93人才工程计算机科学技术学院计算机软件与理论方一茹90.01计算机科学技术学院计算机软件与理论朱俊丰94.80计算机科学技术学院计算机软件与理论阳萍84.30计算机科学技术学院计算机软件与理论宋励83.33计算机科学技术学院计算机应用技术郝昱90.70计算机科学技术学院计算机应用技术乔天阳83.90计算机科学技术学院计算机应用技术许勇80.85计算机科学技术学院计算机应用技术何之源93.32计算机科学技术学院计算机应用技术赵露君89.47计算机科学技术学院计算机应用技术缪弘80.23计算机科学技术学院计算机应用技术顾嘉臻73.57计算机科学技术学院计算机应用技术杨健79.92计算机科学技术学院计算机应用技术万美含80.37计算机科学技术学院计算机应用技术李学兵80.75计算机科学技术学院计算机应用技术吴子彦89.35计算机科学技术学院计算机应用技术王嘉雯86.48计算机科学技术学院计算机应用技术秦梦军84.76计算机科学技术学院计算机应用技术程昌茂87.25计算机科学技术学院数据科学苏子豪88.60计算机科学技术学院数据科学符汉杰77.40计算机科学技术学院数据科学王齐童80.00计算机科学技术学院数据科学陈金栋88.00计算机科学技术学院数据科学徐少峰91.13计算机科学技术学院数据科学王嘉庆86.99计算机科学技术学院数据科学崔佳鸣89.02计算机科学技术学院计算机技术匡翔宇83.50计算机科学技术学院计算机技术王宝坤82.40计算机科学技术学院计算机技术张硕80.09计算机科学技术学院计算机技术窦丹阳79.28计算机科学技术学院计算机技术袁晶81.61计算机科学技术学院计算机技术张圣80.07计算机科学技术学院计算机技术毛苇78.47计算机科学技术学院计算机技术张浩82.04计算机科学技术学院计算机技术巢汉青90.79计算机科学技术学院计算机技术宋雪77.58计算机科学技术学院计算机技术赵荣文80.50计算机科学技术学院计算机技术高月洁76.89计算机科学技术学院计算机技术程雅慧76.94计算机科学技术学院计算机技术郑穗展91.18计算机科学技术学院计算机技术焦帅东80.72计算机科学技术学院计算机技术雷一鸣82.03计算机科学技术学院计算机技术管吉星79.50支教团计算机科学技术学院计算机技术赵忆佳79.23计算机科学技术学院计算机技术李丹阳78.24计算机科学技术学院计算机技术廖殷文煜76.75计算机科学技术学院计算机技术陈梦冰75.63法学院法学理论孙林浩87.20法学院法学理论符诗婷86.40法学院法律史金春志89.20法学院法律史张弘88.20支教团法学院宪法学与行政法学高妮80.40法学院宪法学与行政法学罗滨彬84.00法学院宪法学与行政法学马甜嘉90.20法学院刑法学马志兴87.40法学院刑法学陆嘉玮85.60法学院民商法学顾铮峥88.20法学院民商法学郑恺娴91.60法学院民商法学张清明86.40参军返校生法学院民商法学张子璇89.80法学院民商法学聂含秋86.60人才工程法学院民商法学尚思江89.40法学院诉讼法学徐亚伟79.40参军返校生法学院诉讼法学董永进88.80法学院诉讼法学王峥88.00法学院诉讼法学位贝贝80.40法学院经济法学费烨琪94.60法学院经济法学唐若颖91.00法学院经济法学王一凡94.20法学院环境与资源保护法学黄虞93.20法学院国际法学王睿90.60法学院国际法学文晓博89.24法学院国际法学张雨婕80.04法学院国际法学郭笑雨87.84法学院国际法学吴熙85.24法学院国际法学高照涵90.40法学院法律(非法学)翟羽佳92.00法学院法律(非法学)王轶秩90.40法学院法律(非法学)刘宁宁92.00法学院法律(非法学)聂昕怡92.00法学院法律(非法学)励蔚轩81.20法学院法律(非法学)郭文青90.40法学院法律(非法学)宋亚洲81.20法学院法律(非法学)吴彦斌90.60法学院法律(非法学)陈宣霖85.40法学院法律(非法学)马静89.80法学院法律(非法学)周逸江89.60法学院法律(非法学)马晓望87.80法学院法律(非法学)许可颖85.00法学院法律(非法学)鲁莹90.20法学院法律(非法学)王露霖81.40支教团法学院法律(非法学)徐天阳80.60法学院法律(非法学)谢光钰91.00法学院法律(法学)顾芸芝86.40法学院法律(法学)周妍89.40法学院法律(法学)干嘉利82.20法学院法律(法学)丛欣欣83.60法学院法律(法学)沈宸89.80法学院法律(法学)杨王格格87.80法学院法律(法学)王力君84.60法学院法律(法学)杨嘉妮83.20力学与工程科学系一般力学与力学基础连西静88.00力学与工程科学系一般力学与力学基础彭博94.29力学与工程科学系固体力学严峰94.79力学与工程科学系固体力学张靖宇94.36力学与工程科学系流体力学马金生90.86力学与工程科学系流体力学徐佳新91.17力学与工程科学系工程力学吴霜89.00力学与工程科学系工程力学庞梦非92.57力学与工程科学系工程力学贾子锐89.57力学与工程科学系飞行器设计蒋力夫94.71力学与工程科学系飞行器设计谢文雅91.14材料科学系材料物理与化学王定润94.00材料科学系材料物理与化学吴刚92.00材料科学系材料物理与化学陶鑫87.00材料科学系材料物理与化学邱琪琪90.00材料科学系材料物理与化学王凯卿94.00人才工程材料科学系材料物理与化学杨晓蕾95.00材料科学系材料物理与化学张元珏89.00材料科学系材料物理与化学刘晓宇90.00材料科学系材料物理与化学蔡健91.00参军返校生材料科学系材料物理与化学张碧然90.00材料科学系材料物理与化学张佳威91.00材料科学系材料物理与化学何延楠90.00材料科学系材料物理与化学盘志嫦94.00材料科学系材料物理与化学王剑中92.00材料科学系材料物理与化学张一凡91.00材料科学系材料学吴曦94.00材料科学系材料学毕思伊91.00材料科学系材料学万谊庭91.00材料科学系物理电子学王浩91.00材料科学系物理电子学姜昊琦95.00材料科学系物理电子学金婷纾92.00材料科学系物理电子学刘亦通94.00材料科学系材料工程王轲尧87.00材料科学系材料工程李春雨88.00。
2016年上海大学拟录取硕士研究生名单公示13102766210400515黄民035102法律(法学)法学院352188专硕106526301050152李伟035102法律(法学)法学院327212专硕102766210400417蒋杨杰035102法律(法学)法学院334203专硕102806260011343马冉035101法律(非法学)法学院370250专硕102806260010381杨晓宇035101法律(非法学)法学院353249专硕102806260007201毛思佳035101法律(非法学)法学院387214专硕102806260012593刘志鸿035101法律(非法学)法学院325269专硕102806260010868胡娟035101法律(非法学)法学院357235专硕102806260003560王君岩035101法律(非法学)法学院385206专硕102806260004894陆嘉祥035101法律(非法学)法学院371219专硕102806260005514黄昕恺035101法律(非法学)法学院354235专硕102806260009052胡云鹏035101法律(非法学)法学院356231专硕102806260007203江钿恬035101法律(非法学)法学院363215专硕102806260015475黄静035101法律(非法学)法学院364210专硕102806260011249王世凤035101法律(非法学)法学院351221专硕102806260003761苏文靖035101法律(非法学)法学院322247专硕102806260002366赵国朋035101法律(非法学)法学院352217专硕102806260012597张亚飞035101法律(非法学)法学院349219专硕102806260005916陈培康035101法律(非法学)法学院357210专硕102806260004348要志伟035101法律(非法学)法学院338228专硕102806260011550李艳红035101法律(非法学)法学院331232专硕102806260007202舒思雯035101法律(非法学)法学院344219专硕102806260004895蒋亚萍035101法律(非法学)法学院351212专硕102806260007498龚玲035101法律(非法学)法学院369192专硕102806260008946马舒婷035101法律(非法学)法学院324236专硕102806260011165张蕊035101法律(非法学)法学院350209专硕102806260007204罗伊035101法律(非法学)法学院346213专硕102806260008093李丽035101法律(非法学)法学院360198专硕102806260007966汪钱思雨035101法律(非法学)法学院340217专硕102806260002333叶帆035101法律(非法学)法学院353203专硕102806260011460陈文梅035101法律(非法学)法学院354201专硕102806260012341聂珺035101法律(非法学)法学院335220专硕102806260010385胡玉珍035101法律(非法学)法学院355199专硕102806260006482陈雪玮035101法律(非法学)法学院345207专硕102806260003530吕思涵035101法律(非法学)法学院331216专硕102806260006329张雨婷035101法律(非法学)法学院332213专硕102806260004549张元武035101法律(非法学)法学院352192专硕102806260005517夏羽翾035101法律(非法学)法学院339205专硕102806260014787杨晓珊035101法律(非法学)法学院342201专硕102806260005519沈立035101法律(非法学)法学院343200专硕102806260010817宋戈035101法律(非法学)法学院323219专硕102806260008838操帆035101法律(非法学)法学院342200专硕102806260007571郑莹莹035101法律(非法学)法学院339201专硕102806260010710许亚楠035101法律(非法学)法学院340199专硕102806260004347王瑞鹏035101法律(非法学)法学院326211专硕102806260006666蔡浏昕035101法律(非法学)法学院350187专硕102806260007200江雨茗035101法律(非法学)法学院320217专硕102806260010392许函035101法律(非法学)法学院324212专硕102806260007977李静035101法律(非法学)法学院326210专硕102806260010403董永建035101法律(非法学)法学院324211专硕102806260012364石艳军035101法律(非法学)法学院329206专硕102806260011164陈佳洁035101法律(非法学)法学院322213专硕102806260002347刘敏慧035101法律(非法学)法学院339194专硕102806260015792韦效天035101法律(非法学)法学院332200专硕102806260002353彭长凤035101法律(非法学)法学院329200专硕102806260010713李桂香035101法律(非法学)法学院327202专硕102806260007974卢歆035101法律(非法学)法学院325203专硕102806260010869靖贺035101法律(非法学)法学院336191专硕102806260006619周航035101法律(非法学)法学院332193专硕102806260011968杨英涛035101法律(非法学)法学院330195专硕102806260015793张涵佩035101法律(非法学)法学院320204专硕文章来源:文彦考研旗下上海大学考研网。
上海大学机电工程及其自动化-薄壁圆筒磨边机的结构设计论文毕业设计(论文)题目: 薄壁圆筒磨边机设计学院机电工程与自动化学院专业(层次) 机械工程及自动化(专升本、本)年级2012级班级专升本学生姓名祝佳陶学号124A0577指导教师金健目录摘要 (1)Abstract (2)第一章绪论 (3)1.1磨削加工的特点概述 (3)1.2砂轮磨削国内外的发展与趋势 (3)1.2.1国外的发展 (3)1.2.2国内的发展 (4)1.2.3发展趋势 (4)1.3砂轮磨削的关键技术 (5)1.4课题设计思路 (5)1.5课题设计结构 (5)1.6课题研究的目的及意义 (5)第二章薄壁圆筒磨边机的总体设计方案 (7)2.1驱动方案的确认 (7)2.1.1液压驱动 (7)2.1.2气压驱动 (7)2.1.3电动机驱动 (8)2.1.4驱动方案的确认 (8)2.2砂轮主轴箱升降机构方案的确认 (8)2.3主轴机构结构方案确认 (9)2.4圆筒夹紧机构的确认 (9)2.5整机方案的确认 (10)2.6本章小结 (11)第三章薄壁圆筒磨边机磨边砂轮主轴的计算 (12)3.1驱动电机的选择 (12)3.2转速图的拟定 (12)3.3传动轴的估算 (13)3.4齿轮模数的估算 (15)3.5各轴结构的设计 (16)3.6主轴组件的刚度和刚度损失的计算 (17)3.7齿轮强度校核 (18)3.8传动轴挠度的验算 (19)3.9本章小结 (20)第四章薄壁圆筒磨边机夹紧机构的设计计算 (21)4.1拟定技术参数 (21)4.2滚珠丝杠的计算及选择 (21)4.3滚珠丝杠支承轴承的选择 (23)4.4滚珠丝杠的校核 (25)4.4.1临界压缩负荷 (25)4.4.2临界转速 (26)4.4.3滚珠丝杠拉压振动与扭转振动的固有频率 (26)4.4.4滚珠丝杠扭转刚度 (28)4.4.5滚珠丝杠传动精度计算 (29)4.5滚珠丝杠进给传动系统变形计算 (29)4.5.1滚珠丝杠精度计算 (30)4.6伺服电机的选择与计算 (32)4.6.1进给伺服电机的校核 (34)4.7联轴器的选择 (35)4.8本章小结 (35)第五章薄壁圆筒磨边机主轴提升机构的设计 (36)5.1拟定技术参数 (36)5.2滚珠丝杠的计算及选择 (36)5.3伺服电机计算及选择 (36)5.4立柱的设计 (36)5.4.1按立柱外形分类 (36)5.4.2材料分类 (36)5.4.3立柱结构的选择 (37)5.5本章小结 (37)第六章结论 (38)参考文献 (40)致谢 (42)薄壁圆筒磨边机设计摘要据经济合作与发展组织日前发布报告称,世界石油需求快速增长,原因是新兴经济体石油消耗不断增长,纽约——美国能源情报署预测,今年全球石油需求将增加1.2%至万桶/日。
物理与微电子科学学院201 6年硕士研究生拟录取名单公示创建于2016年3月25日 星期五作者:研究生办浏览量:2463序号考生编号考生姓名报考院系报考专业考试方式初试成绩面试成绩笔试成绩复试成绩综合成绩1 1.05326E+14禹卓良物理与微电子科学学院物理学全国统考413124.496220.4633.42 1.05326E+14王春华物理与微电子科学学院物理学考410122.478200.4610.43 1.05326E+14张梦男物理与微电子科学学院物理学全国统考427117.664181.6608.64 1.05326E+14阳晔物理与微电子科学学院物理学全国统考407125.275200.2607.25 1.05326E+14向玉林物理与微电子科学学院物理学全国统考416121.459180.4596.46 1.05326E+14武明光物理与微电子科学学院物理学全国统考389123741975867 1.05326E+14付俊物理与微电子科学学院物理学全国统考377128.871199.8576.88 1.05326E+14尹丹桂物理与微电子科学学院物理学全国统考380119.675194.6574.69 1.05326E+14刘倩物理与微电子科学学院物理学全国统考371125.877202.8573.810 1.05326E+14张小佳物理与微电子科学学院物理学全国统考401117.853170.8571.811 1.05326E+14盖军民物理与微电子科学学院物理学全国统考395110.666176.6571.612 1.05326E+14黎立辉物理与微电子科学学院物理学全国统考3871196518457113 1.05326E+14黄汝龙物理与微电子科学学院物理学全国统考355130.685215.6570.614 1.05326E+14曹蔚物理与微电子科学学院物理学全国统考4061154916457015 1.05326E+14李波物理与微电子科学学院物理学全国统考386121.461182.4568.416 1.05326E+14吕燚物理与微电子科学学院物理学全国统考392117.657174.6566.617 1.05326E+14刘青波物理与微电子科学学院物理学全国统考3391309722756618 1.05326E+14李勇物理与微电子科学学院物理学全国统考380127.254181.2561.219 1.05326E+14李建才物理与微电子科学学院物理学考364126.670196.6560.620 1.05326E+14何韵秋物理与微电子科学学院物理学全国统考365117.676193.6558.621 1.05326E+14闫战恒物理与微电子科学学院物理学全国统考405117.636153.6558.622 1.05326E+14钟丝雨物理与微电子科学学院物理学全国统考385128.445173.4558.423 1.05326E+14马莉莉物理与微电子科学学院物理学全国统考362113.281194.2556.224 1.05326E+14陈德超物理与微电子科学学院物理学全国统考358120.876196.8554.825 1.05326E+14陈海花物理与微电子科学学院物理学全国统考384117.253170.2554.226 1.05327E+14刘丽物理与微电子科学学院物理学全国统考3711295418355427 1.05326E+14李婉莹物理与微电子科学学院物理学全国统考369124.660184.6553.628 1.05326E+14刘丽霞物理与微电子科学学院物理学全国统考375120.657177.6552.629 1.05326E+14李洁物理与微电子科学学院物理学全国统考371123.855178.8549.830 1.05326E+14李媛媛物理与微电子科学学院物理学全国统考377118.654172.6549.631 1.05326E+14石利娟物理与微电子科学学院物理学全国统考370120.159179.1549.132 1.05326E+14乔青物理与微电子科学学院物理学全国统考385115.848163.8548.833 1.05326E+14张华威物理与微电子科学学院物理学全国统考3611236318654734 1.05326E+14李鹏超物理与微电子科学学院物理学全国统考3721175617354535 1.05326E+14杨鑫物理与微电子科学学院物理学全国统考3331308221254536 1.05326E+14蒋星星物理与微电子科学学院物理学考360131.450181.4541.437 1.05326E+14毛晶晶物理与微电子科学学院物理学全国统考355130.256186.2541.238 1.05326E+14张才鑫物理与微电子科学学院物理学全国统考367125.848173.8540.839 1.05326E+14黄淋物理与微电子科学学院物理学全国统考353130.450180.4533.440 1.05326E+14刘烽物理与微电子科学学院物理学全国统考358113.461174.4532.441 1.05326E+14谢建斓物理与微电子科学学院电子科学与技术全国统考361121.288209.2570.242 1.05326E+14郭敬勋物理与微电子科学学院电子科学与技术全国统考3331316819953243 1.05326E+14梁江明物理与微电子科学学院电子科学与技术全国统考318118.282200.2518.244 1.05326E+14王帅物理与微电子科学学院电子科学与技术全国统考315119.480199.4514.445 1.05326E+14吴锟物理与微电子科学学院教育技术学全国统考4181249121563346 1.05326E+14丁方仪物理与微电子科学学院教育技术学全国统考390128.295223.2613.247 1.05326E+14郭亚丹物理与微电子科学学院教育技术学全国统考406125.671196.6602.648 1.05326E+14赵秋云物理与微电子科学学院教育技术学全国统考405119.675194.6599.649 1.05326E+14张月物理与微电子科学学院教育技术学全国统考395118.874192.8587.850 1.05326E+14曾玺物理与微电子科学学院集成电路工程全国统考381132.286218.2599.251 1.05326E+14许昕物理与微电子科学学院集成电路工程全国统考380124.278202.2582.252 1.05326E+14曾凌峰物理与微电子科学学院集成电路工程全国统考3561158419955553 1.05326E+14刘天保物理与微电子科学学院集成电路工程考328128.887215.8543.854 1.05326E+14史欣欣物理与微电子科学学院集成电路工程全国统考328123.684207.6535.655 1.05326E+14袁伊德物理与微电子科学学院集成电路工程全国统考332111.485196.4528.456 1.05326E+14蔡吴頔物理与微电子科学学院集成电路工程全国统考325117.884201.8526.857 1.05326E+14李政物理与微电子科学学院集成电路工程全国统考3371177018752458 1.05326E+14王立明物理与微电子科学学院集成电路工程全国统考312113.877190.8502.859 1.05326E+14朱应天物理与微电子科学学院集成电路工程全国统考301119.671190.6491.6备注拟录取拟录取拟录取拟录取拟录取拟录取拟录取拟录取拟录取拟录取拟录取拟录取拟录取拟录取拟录取拟录取拟录取拟录取拟录取拟录取拟录取拟录取拟录取拟录取拟录取拟录取拟录取拟录取拟录取拟录取拟录取拟录取拟录取拟录取拟录取拟录取拟录取拟录取拟录取拟录取拟录取拟录取拟录取拟录取拟录取拟录取拟录取拟录取拟录取拟录取拟录取拟录取拟录取拟录取拟录取拟录取拟录取拟录取。
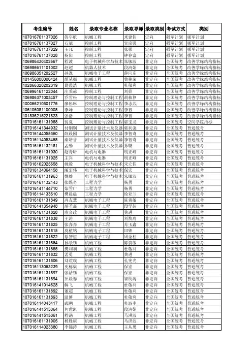
2016年上海大学拟录取硕士研究生名单公示24102806210011178武慧080201机械制造及其自动化机电工程与自动化学院311207学硕102806210000457唐启俊080201机械制造及其自动化机电工程与自动化学院324192学硕102806210000362张毅080201机械制造及其自动化机电工程与自动化学院388263学硕102806210009564王明黔080201机械制造及其自动化机电工程与自动化学院311286学硕102806210000422孙程艳080201机械制造及其自动化机电工程与自动化学院313252学硕102806210008388沈显虎080201机械制造及其自动化机电工程与自动化学院314216学硕102806210000464陈世金080203机械设计及理论机电工程与自动化学院377250学硕102806210005628沈轶钒080203机械设计及理论机电工程与自动化学院370248学硕102806210010446袁昆鹏080203机械设计及理论机电工程与自动化学院362245学硕102806210000432周粤宁080203机械设计及理论机电工程与自动化学院364236学硕102806210006903李银为080203机械设计及理论机电工程与自动化学院362236学硕102806210013819杨凯080203机械设计及理论机电工程与自动化学院351245学硕102806210006159黄炜灵080203机械设计及理论机电工程与自动化学院343250学硕102806210000340董昊080203机械设计及理论机电工程与自动化学院339238学硕102806210000375钱峰峰080203机械设计及理论机电工程与自动化学院323253学硕102806210000421李痛快080203机械设计及理论机电工程与自动化学院316256学硕102806210010727董法凯080203机械设计及理论机电工程与自动化学院331240学硕102806210013818刘荣刚080203机械设计及理论机电工程与自动化学院331240学硕102806210010440肖良080203机械设计及理论机电工程与自动化学院301263学硕102806210012876李清清080203机械设计及理论机电工程与自动化学院319245学硕102806210010094杨义080203机械设计及理论机电工程与自动化学院321239学硕102806210010904李召伦080203机械设计及理论机电工程与自动化学院317240学硕102806210007212周辰080203机械设计及理论机电工程与自动化学院316240学硕102806210014883王浩然080203机械设计及理论机电工程与自动化学院310245学硕102806210011977赵斗生080203机械设计及理论机电工程与自动化学院320235学硕102806210006162辛亮亮080203机械设计及理论机电工程与自动化学院315238学硕102806210000386姜姝080203机械设计及理论机电工程与自动化学院295255学硕102806210005729高雅080203机械设计及理论机电工程与自动化学院332218学硕102806210014413简铮080203机械设计及理论机电工程与自动化学院309238学硕102806210013243陈会航080203机械设计及理论机电工程与自动化学院304240学硕102806210008389汪安明080203机械设计及理论机电工程与自动化学院318222学硕102806210014264陈鑫080203机械设计及理论机电工程与自动化学院295244学硕102806210005536柴娜娜080203机械设计及理论机电工程与自动化学院306231学硕102806210014084刘强080203机械设计及理论机电工程与自动化学院312224学硕102806210005630樊洪辉080203机械设计及理论机电工程与自动化学院299235学硕102806210009569罗序荣080203机械设计及理论机电工程与自动化学院304230学硕102806210012394张智涵080203机械设计及理论机电工程与自动化学院326200学硕102806210010448孙树森080203机械设计及理论机电工程与自动化学院298242学硕102806210011700郭艳微080203机械设计及理论机电工程与自动化学院310229学硕102806210003791李刚080203机械设计及理论机电工程与自动化学院308217学硕102806210008604汪羽080203机械设计及理论机电工程与自动化学院303199学硕102806210000426俞扬飞080203机械设计及理论机电工程与自动化学院290245学硕退役士兵专项计划102806210006084陈利085201机械工程机电工程与自动化学院378245专硕102806210001757冯启涛085201机械工程机电工程与自动化学院359262专硕102806210007858李海超085201机械工程机电工程与自动化学院355264专硕102806210006247徐波085201机械工程机电工程与自动化学院363254专硕102806210005286陆宏建085201机械工程机电工程与自动化学院352263专硕102806210001718曹璠085201机械工程机电工程与自动化学院349264专硕102806210013877李俊杰085201机械工程机电工程与自动化学院354255专硕102806210014724林杰085201机械工程机电工程与自动化学院358250专硕102806210001734马佳凯085201机械工程机电工程与自动化学院342265专硕102806210012912皇志慧085201机械工程机电工程与自动化学院347260专硕102806210011835渠国洋085201机械工程机电工程与自动化学院349256专硕102806210013885杨威085201机械工程机电工程与自动化学院330275专硕102806210014578李威085201机械工程机电工程与自动化学院357247专硕102806210001717陈晓萌085201机械工程机电工程与自动化学院358240专硕102806210006648谢彩琴085201机械工程机电工程与自动化学院351245专硕102806210011219兰浩085201机械工程机电工程与自动化学院344249专硕102806210012905崔浩阳085201机械工程机电工程与自动化学院341251专硕102806210010843秦存平085201机械工程机电工程与自动化学院366226专硕文章来源:文彦考研旗下上海大学考研网。
上海大学2016年国家公派研究生项目录取名单
3
44理学院沈杰美国联合培养博士基金委录取
45理学院孙孟锋法国联合培养博士基金委录取46理学院杨亚利美国联合培养博士基金委录取47社会学院于杨瀚美国联合培养博士基金委录取48社会学院吴永金加拿大联合培养博士基金委录取49社会学院尚进美国联合培养博士基金委录取50通信学院赵云鹤英国联合培养博士基金委录取51通信学院商习武加拿大联合培养博士基金委录取52通信学院陈鑫美国联合培养博士基金委录取53通信学院潘韵天比利时联合培养博士基金委录取54通信学院曹丹美国联合培养博士基金委录取
土木工程
张龙美国联合培养博士基金委录取55
系
56文学院李强加拿大联合培养博士基金委录取57影视学院徐萌日本联合培养博士基金委录取58影视学院施州美国联合培养博士基金委录取59影视学院路钰美国联合培养博士基金委录取60影视学院张立刚美国联合培养博士基金委录取61影视学院李鹏美国联合培养博士基金委录取62法学院高雅英国攻读硕士学位基金委录取63理学院陈嘉韡美国攻读硕士学位基金委录取64理学院姜航美国攻读硕士学位基金委录取65通信学院陈立红英国攻读博士学位单独录取
1理学院蔡传兵澳大利亚高级研究学者基金委审核中2理学院董宇红美国高级研究学者基金委审核中
3理学院丁虎美国高级研究学者基金委审核中4理学院徐凯宇加拿大高级研究学者基金委审核中5理学院白延琴美国高级研究学者基金委审核中6理学院张大军澳大利亚高级研究学者基金委审核中7社会学院张海东美国高级研究学者基金委审核中8影视学院林少雄新西兰高级研究学者基金委审核中9文学院郭长刚土耳其高级研究学者基金委审核中
文章来源:文彦考研旗下上海大学考研网。