二元函数的极值与最值
- 格式:docx
- 大小:37.19 KB
- 文档页数:3
⼆元函数的极值与最值问题
⽬录
写在最前
对于形如z=f(x,y)的函数,求解极值的通法⼀般有两种:
偏导数法
⼆元全微分法
由于偏导数法操作简单,下⾯仅介绍这种⽅法
⼆元函数极值点
Ops:只想知道最值的可以跳过这⼀节。
我们以驻点为圆⼼在xy平⾯上做⼀个圆(就如同在⼀元函数y=f(x)驻点附近找⼀段区间),若当半径⾜够⼩时,f(x0,y0)是该圆形区域的最⼤值或最⼩值, 那么该驻点就是极⼤值点或极⼩值点。
与⼀元函数类似,驻点不⼀点是极值点。
那么我们如何判断极点呢?
⼀个⽐较常规的想法是,让f x在x=x0的两边异号,让f y在y=y0的两边异号,借此来判断函数的极值点。
但有⼀个很明显的错误:
类⽐地理中的鞍部,这个点被称作鞍点。
那么,该怎么做呢,数学家想到了⼀种⽅法——⼆阶偏导法。
令
A=f xx(x0,y0),B=f xy(x0,y0),C=f yy(x0,y0)
则有
A×C−B2>0且A>0==>极⼩值
A×C−B2>0且A<0==>极⼤值
A×C−B2<0==>鞍点
A×C−B2==0==>⽆法确定
⼆元函数最值
最值问题和极值问题相⽐,最⼤的区别就是最值问题可以通过⽐较各点的值来计算。
我们可以通过求出所有极值点甚⾄⾮极值点的值来得出最终的答案。
既然如此,我们可以求出所有可能的点(各偏导等于零的点)并计算得到最终答案。
二元函数最大值最小值1. 二元函数的定义及性质二元函数是指具有两个自变量的函数,可以表示为f(x,y),其中x和y是实数。
二元函数在数学和其他学科中都有广泛的应用。
在这篇文章中,我们将探讨二元函数的最大值和最小值。
2. 求二元函数最大值最小值的方法求二元函数最大值和最小值的方法有很多种,下面将介绍其中几种常见的方法:2.1 方程法方程法是一种常用的求二元函数最大值最小值的方法。
具体步骤如下:1.对二元函数进行求导,得到关于x和y的偏导数;2.解关于x和y的偏导数的方程组,求得关键点;3.计算关键点对应的函数值,并比较大小,得到最大值和最小值。
2.2 极值法极值法是另一种常用的求二元函数最大值最小值的方法。
具体步骤如下:1.对二元函数进行求偏导,得到关于x和y的偏导数;2.解关于x和y的偏导数的方程组,求得关键点,即导数等于0的点;3.判断关键点是否为极值点,可以通过求二阶偏导数来确定;4.计算关键点对应的函数值,并比较大小,得到最大值和最小值。
2.3 Lagrange乘子法Lagrange乘子法是一种求二元函数在一定条件下的最大值和最小值的方法。
具体步骤如下:1.设置约束条件,即给出一个或多个限制条件;2.根据Lagrange乘子法的原理,建立相关方程组;3.解方程组,求得最大值和最小值。
3. 求解二元函数最大值最小值的示例假设有一个二元函数f(x,y) = x^2 + y^2,我们将通过上述三种方法来求解它的最大值和最小值。
3.1 方程法求解最大值最小值对f(x,y) = x^2 + y^2求偏导,得到关于x和y的偏导数:∂f/∂x = 2x,∂f/∂y = 2y令∂f/∂x = 0,∂f/∂y = 0,解得关键点为(x,y) = (0,0)。
计算关键点对应的函数值:f(0,0) = 0^2 + 0^2 = 0所以函数f(x,y) = x^2 + y^2的最大值和最小值都为0。
3.2 极值法求解最大值最小值对f(x,y) = x^2 + y^2求偏导,得到关于x和y的偏导数:∂f/∂x = 2x,∂f/∂y = 2y令∂f/∂x = 0,∂f/∂y = 0,解得关键点为(x,y) = (0,0)。
二元函数的极值1.二元函数极值定义:某一个邻域内有定义,在设)0,0(),(y x y x z [])0,0(),(),0,0(),(y x z y x z y x z y x z ≥≤或若,)(),()0,0(值或极小的一个极大是则称y x z y x z 值点。
或极小的一个极大是称)(),()0,0(y x z y x ☆极大值和极小值统称为极值,极大值点和极小值点统称为极值点。
2.极值的必要条件:)0,0()0,0(),(y x y x y x f z 有极值,且在在点若=两个一阶偏导数存在,则:0)0,0(0)0,0(='='y x y f y x x f ,的点使)0,0(0)0,0()0,0(1y x y x y f y x x f ='='的驻点。
称为),(y x f z =的必要条件,定理的结论是极值存在2而非充分条件。
例:122+-=xyz ⎩⎨⎧===+='=-='0000202y x y yz x x z 解出驻点1)0,0(=z 112),0(0,0>+=≠=yy z y x 时,当112)0,(0,0<+-==≠xx z y x 时,当∴驻点不一定是极值点。
3.极值的充分条件:的某个领域内在设:函数)0,0(),(y x y x f y =为驻点,有二阶偏导数,且)0,0(y x [])0,0()0,0(2)0,0(y x yy f y x xx f y x xy f p ''⋅''-''=若:⎩⎨⎧⇒>''⇒<''<为极小值。
时,为极大值。
时,且当:)0,0(0)0,0()0,0(0)0,0(0y x f y x xx f y x f y x xx f p 不是极值。
当:)0,0(,0y x f p ⇒>不能确定。
二元函数的最值与极值二元函数是指含有两个自变量的函数,通常表示为 f(x, y)。
在数学中,研究二元函数的最值与极值是一项重要的任务。
最值是函数在给定定义域内取得的最大值或最小值,而极值则是函数在某一点附近取得的最大值或最小值。
本文将讨论二元函数的最值与极值的相关概念及其求解方法。
一、二元函数最值的定义和求解方法1. 最大值与最小值的定义在定义域 D 上,二元函数 f(x, y) 的最大值为在 D 上任意一点 (x*,y*),对于任意 (x, y)∈D,都有f(x*, y*)≥f(x, y)。
类似地,最小值为f(x*, y*)≤f(x, y)。
2. 常用求解方法求解二元函数最值的方法包括边界点法和极值点法。
通过确定函数的定义域边界和计算极值点,在这些可能的点中找出函数的最值。
边界点法:首先确定函数的定义域 D,然后计算函数在 D 的边界上的值,包括端点和可能的不可导点。
最值往往出现在函数在 D 的边界上。
极值点法:计算二元函数的一阶和二阶偏导数,求出函数的偏导数为零的临界点,即潜在的极值点。
通过进一步分析这些临界点的性质,确定最值的位置。
二、二元函数极值的定义和求解方法1. 极值的定义在定义域 D 上,如果存在一个点 P (x*, y*),使得在 P 的某个邻域内,对于任意 (x, y)∈D,有f(x*, y*)≥f(x, y) 或f(x*, y*)≤f(x, y),则称 P 是函数的极大值点或极小值点。
2. 常用求解方法求解二元函数的极值点的方法主要有一阶偏导数法和二阶偏导数法。
通过对偏导数进行求解,可以找到函数的极值点。
一阶偏导数法:计算二元函数分别对 x 和 y 的一阶偏导数,并令其等于零,求解得到潜在的临界点。
通过进一步分析这些临界点的性质,确定极值点的位置。
二阶偏导数法:计算二元函数的一阶和二阶偏导数。
对于二阶偏导数,可以通过解方程组或者求导数的正负性进行分析,从而确定极值点的位置。
三、实例分析考虑二元函数 f(x, y) = x^2 + y^2 - 2x - 6y + 10,我们来求解该函数的最值和极值。
2.二元函数的极值与最值二元函数的极值与最值问题已成为近年考研的重点, 现对二元函数的极值与 最值的求法总结如下: 1.二元函数的无条件极值 (1) 二元函数的极值一定在 驻点 和不可导点 取得。
对于不可导点,难以判断 是否是极值点;对于驻点可用极值的充分条件判定。
(2)二元函数取得极值的 必要条件 : 设 z f (x,y) 在点(x 0,y 0) 处可微分且在 点(x 0, y 0 )处有极值,则 f 'x (x 0,y 0) 0, f 'y (x 0, y 0) 0,即 (x 0,y 0) 是驻点。
(3) 二元函数取得极值的 充分条件 :设 z f (x,y) 在(x 0,y 0) 的某个领域内有 连续上 二阶偏导数,且 f 'x (x 0,y 0) f 'y (x 0, y 0) 0 ,令 f'xx (x 0,y 0) A , f'xy (x 0,y 0) B , f 'yy (x 0,y 0) C ,则当B 2AC 0且 A<0 时, f ( x 0 , y 0 )为极大值; 当B 2 AC 0且 A>0, f ( x 0 , y 0 )为极小值; B 2 AC 0 时,(x 0, y 0) 不是极值点。
注意: 当 B 2-AC = 0时,函数 z = f (x, y)在点( x 0 , y 0 )可能有极值,也可能没有 极值,需另行讨论 例 1 求函数 z = x 3 + y 2- 2xy 的极值. 【分析】可能极值点是两个一阶偏导数为零的点, 先求出一阶偏导, 再令其为零 确定极值点即可, 然后用二阶偏导确定是极大值还是极小值, 【解】先求函数的一、二阶偏导数:并求出相应的极值 . 2z 2 z z 3x 2y , 2y 2x . 26x ,xy x2zxy2z2y 2再求函数的驻点.令 z= 0,x得方程组23x 2y 0, 2y 2x 0.22求得驻点(0,0)、( 2,2).33利用定理 2 对驻点进行讨论:2.(1)对驻点(0, 0),由于 A = 0, B =-2, C = 2,B 2-AC 0,故(0, 0)不是函数 z = f(x, y) 的极值点.(2)对驻点( 2,2),由于 A =4, B =-2,C = 2,B 2-AC =-4 0, 且A 0,则 332 2 4 f ( 2,2) 4为函数的一个极小值.3 3 27例 2:( 2004数学一)设 z=z(x,y)是由 x 26xy 10 y 22yz z 218 0 确定的函 数,求 z z(x, y )的极值点和极值 .分析 】 本题把极值问题与隐函数求导方法相结合,计算量是比较大的。
二元函数的极值和最值二元函数是指含有两个未知变量的函数,通常用z=f(x,y)来表示。
当x、y取不同的值时,z的取值也会发生变化,因此我们需要研究如何找出二元函数的极值和最值。
一、定义首先,我们需要了解极值和最值的定义。
极值是指函数在某个点上取得的极大值或极小值,而最值则是指函数在定义域内取得的最大值或最小值。
在二元函数中,极值也分为极大值和极小值。
当函数在某个点处取得极大值时,这个点被称为极大值点;同理,当函数在某个点处取得极小值时,这个点被称为极小值点。
考虑以下例子:z=x^2+y^2,我们需要找到z的极小值和最小值。
二、求解方法我们可以通过求一阶偏导数来找到极值点和最值点。
对于二元函数z=f(x,y),我们先求出x和y的一阶偏导数:∂z/∂x=2x∂z/∂y=2y求出它们的偏导数后,我们需要将偏导数相等的方程组联立起来,解出x和y的值,进而求得z的值。
举个例子,对于函数z=x^2+y^2,我们可以得到:2x=02y=0由此可得,当x=0,y=0时,z取得最小值0。
除了求一阶偏导数的方法,我们还可以通过求二阶偏导数来判断函数的极值类型。
若f(x0,y0)满足:① ∂²f/∂x²(x0,y0)>0, ∂²f/∂y²(x0,y0)>0,则f(x0,y0)为极小值点;② ∂²f/∂x²(x0,y0)<0, ∂²f/∂y²(x0,y0)<0,则f(x0,y0)为极大值点;③ ∂²f/∂x²(x0,y0)与∂²f/∂y²(x0,y0)符号相反,则f(x0,y0)为鞍点。
同样以z=x^2+y^2为例,我们可以得到:∂²z/∂x²=∂²z/∂y²=2>0,因此z取得最小值。
3. 拓展方法除了上述两种方法外,我们还可以利用拉格朗日乘数法,求出约束条件下的极值和最值。
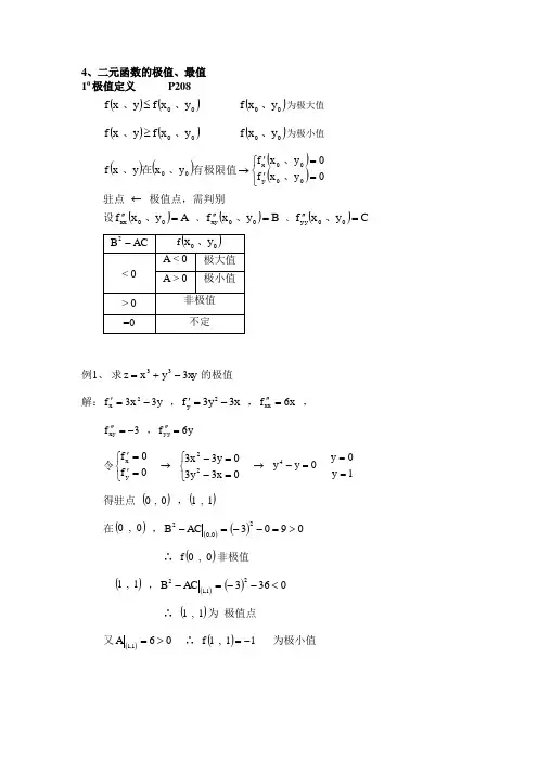
4、二元函数的极值、最值 10极值定义 P208()()00y x f y x f 、、≤ ()00y x f 、为极大值()()0y xf y x f 、、≥ ()0y xf 、为极小值 ()()()()⎩⎨⎧='='→0y x f 0y x f y x y x f 0yx0、、有极限值、在、驻点 ← 极值点,需判别设()A y x f 00xx=''、 、()B y x f 00xy =''、 、()C y x f 00yy =''、例1、 求x y 3y x z 33-+=的极值解:y 3x 3f 2x-=' ,x 3y 3f 2y -=' ,x 6f xx ='' , 3f xy-='' ,y 6f y y ='' 令⎩⎨⎧='='0f 0f y x → ⎩⎨⎧=-=-0x 3y 30y 3x 322 → 0y y 4=- 1y 0y ==得驻点 ()0,0 ,()1,1在()0,0 ,()()0903AC B 20,02>=--=-∴ ()0,0f 非极值 ()1,1 ,()()0363AC B 21,12<--=-∴ ()1,1为 极值点又()06A 1,1>= ∴ ()11,1f -= 为极小值例2、求()y x 5y x z 2--=在闭区域D :0x ≥,0y ≥,4y x ≤+的最大,最小值。
解:()y 2x 310x y f x--=' ,()y 2x 5x f 2y --=' 令()()⎩⎨⎧=--=--0y 2x 5x 0y 2x 310xy 2 (在D 内) ⎪⎪⎩⎪⎪⎨⎧==45y 25x在D 的内部函数只有一个驻点⎪⎭⎫ ⎝⎛45,25 ,6462545,25f =⎪⎭⎫ ⎝⎛在边界0x = ,0f = 在0y = ,0f =在4y x =+,()()()3222x x 4x 4x x 4x 5x 4x z -=-=+---=0x 3x 8dx dz 2=-= 得:38x = ,即38x = ,34y =为驻点2725634,38z =⎪⎪⎭⎫ ⎝⎛ 比较64625z = ,0z = ,27256z = 得最大值64625z =,最小值0z = 在实际问题中要求最大,最小值往往带有附加条件,即对函数的自变量除了限制在函数的定义域内外,还有其他的附加条件,这些条件由函数的各自变量之间的一些方程来表示。
二元函数的极值与最值在数学中,二元函数是一个带有两个自变量的函数,通常表示为f(x, y),其中x和y分别是独立变量。
当我们定义一个函数时,我们通常希望找到函数的最大和最小值等重要信息。
在这篇文章中,我们将探讨二元函数的极值点和最值点,以及如何找到它们。
极值和最值的概念首先,我们需要了解的是“极值”和“最值”的概念。
在微积分中,极值是指在一个函数曲线上的局部最大值或最小值。
具体地说,一个函数在一个点上的导数为零,这个点就是函数的驻点。
如果该点是一个局部最大值或最小值,则它是该函数的一个极值点。
最值是在函数的定义域内找到的最大值或最小值。
二元函数的极值点要找到二元函数的极值点,我们需要找到函数曲面上的局部最大值或最小值。
这意味着我们需要找到函数曲面上的所有可能的驻点。
与一元函数类似,我们可以使用偏导数来找到驻点。
因此,对于二元函数f(x, y),我们可以用以下公式来计算它的偏导数:∂f/∂x = 0 和∂f/∂y = 0这些方程可以帮助我们找到一个或多个可能的驻点。
然而,这些驻点可能是最大值或者最小值,或者它们根本不是。
我们还需要使用二阶偏导数来确定驻点的角色。
如果二阶偏导数是:1. 正的,那么这个点是局部最小值点。
2. 负的,那么这个点是局部最大值点。
3. 0,那么这个点不是极点。
最终,我们将找到所有可能的极值点,以及它们的角色和函数值。
二元函数的最值点要找到二元函数的最大值和最小值,我们要按照以下步骤进行:1. 找到函数曲面上的所有极值点2. 在函数的定义域内找到函数曲面上的所有最大值和最小值。
3. 在找到的所有值中找到全局最大值和最小值。
在这个过程中,我们需要使用一些数学方法来找到最大值和最小值。
最常见的方法是使用拉格朗日乘数法。
拉格朗日乘数法拉格朗日乘数法是一种用于最值问题的数学方法。
这个方法的基本思想是,如果一个函数f(x, y)在限制条件g(x, y)下取得最大值或最小值,那么这个点的梯度向量(∇f)和限制条件的梯度向量(∇g)之间应该是平行的。
二元函数的极值与最值
在数学中,二元函数是一种含有两个自变量的函数。
研究二元函数的极值和最值是数学中的重要内容之一,它可以帮助我们找到函数的最大值和最小值,并在实际问题中应用。
一、极值的概念
极值是指函数在给定定义域内取得的最大值和最小值。
对于二元函数而言,我们需要找到函数的驻点即梯度为零的点,然后通过二阶导数判定这些驻点是极大值还是极小值。
1.1 驻点的求解
假设有二元函数f(x,y),我们需要找到f(x,y)关于x和y的偏导数分别为零的点,即求解以下方程组:
∂f/∂x=0
∂f/∂y=0
1.2 二阶导数判定
对于找到的驻点,我们需要使用二阶导数来判定其是极大值还是极小值。
具体而言,我们计算二阶偏导数D,并判定其正负性:若D>0且∂^2f/∂x^2>0,则该驻点为极小值;
若D>0且∂^2f/∂x^2<0,则该驻点为极大值;
若D<0,则该驻点为鞍点。
二、最值的概念
最值是指函数在定义域内取得的最大值和最小值。
对于二元函数而言,最值可以通过极值来求解,并且还可以通过定义域的边界上的取值来判断。
2.1 极值的应用
我们可以求出二元函数在驻点上的极值,然后将这些极值与函数在定义域边界上的取值进行比较,从而找到函数的最大值和最小值。
通过这种方法,我们可以得出以下结论:
若一个驻点为极大值,并且函数在该点的值大于定义域边界上的任意取值,则该点为函数的最大值;
若一个驻点为极小值,并且函数在该点的值小于定义域边界上的任意取值,则该点为函数的最小值。
2.2 定义域边界上的取值
另外,我们还需要考虑函数在定义域边界上的取值,因为这些点也有可能成为函数的最值。
我们可以通过以下步骤来判断定义域边界上的取值是否为最值:
1) 找出定义域的边界方程;
2) 求解边界方程与二元函数的交点;
3) 将这些交点代入二元函数,计算函数的值;
4) 比较这些值,找到最大值和最小值。
三、实际应用
二元函数的极值和最值在实际问题中具有广泛的应用。
以经济学为例,二元函数可以描述供给函数和需求函数之间的关系。
通过求解二
元函数的极值和最值,我们可以找到市场的最大供给量和最大需求量,从而对市场进行合理的调控。
在物理学中,二元函数可以用来描述物体的运动轨迹和力场分布等。
通过求解二元函数的极值和最值,我们可以找到物体在给定条件下的
最大速度、最大加速度等重要信息,从而更好地理解和描述物体的运
动状态。
总结起来,二元函数的极值和最值的求解是数学研究中的重要内容
之一。
通过求解驻点和定义域边界上的取值,我们可以判断函数的极
值和最值,并将其应用于实际问题的解决中。
这不仅拓展了我们对二
元函数理论的理解,也为实际问题的解决提供了重要的数学工具。