高三数学上学期周练试题(11_11,高补班)
- 格式:doc
- 大小:953.50 KB
- 文档页数:8
实验2021届高三数学上学期周测五 文〔高补班〕制卷人:歐陽文化、歐陽理複;制卷時間:二O 二二年二月七日一、选择题:本大题一一共12小题,每一小题5分,一共60分,在每一小题给出的四个选项里面,只有一项是哪一项符合题目要求的。
1、己知集合 A= {0<)1(log |2-x x },B= {3|≤x x },那么=)(B A C R(A) (-∞,l] (B) (2,3) (C) (2,3] (D) (-∞,l]∪[2,3]2、 在复平面内,复数Z 对应的点与复数i +1对应的点关于实轴对称,那么=iZ( ) (A) i +1 (B) i +-1 (C) i --1 (D) i -13、如图,直角三角形的两直角边长分别为6和8,三角形内的阴影局部是三个半径为3的扇形,向该三角形内随机掷一点,那么该点落在阴影局部的概率( )A.163π B. 1631π- C. 83π D. 831π- 4、设R a ∈,向量)2,1(),1,(-==b x a ,且b a ⊥,那么=+||b a ( )A.10B. 11C. 32D. 135、函数||ln )3()(2x x x f ⋅-=的大致图象为( )6、假设)cos()2cos(7αππα-=+,那么=α2tan ( )A.773 B. 37 C. 77 D.7 7、双曲线)0>0,>(1:2222b a by a x C =-的离心率为2, 一个焦点与抛物线x y 162=的焦点一样,那么双曲线的渐近线方程为( )A.x y 3±=B. x y 23±= C. x y 33±= D.x y 23±=8、设x ,y 满足约束条件⎩⎪⎨⎪⎧2x +3y -3≤0,2x -3y +3≥0,y +3≥0,那么z =2x +y 的最小值是( )A .9B .1C . -9D .-159、函数)sin()(ϕω+=x A x f 〔其中2|<|0,>πϕA )的图象如下图,为了得到x A x f 3sin )(=的图象,只需将)(x f 的图象(A)向右平移4π个单位长度 (B)向左平移4π个单位长度 (C)向右平移12π个单位长度 (D)向左平移12π个单位长度10、向量(),2x =a ,()1,y =b 且,x y 为正实数,假设满足2xy ⋅=a b ,那么34x y +的最小值为 A .526+B .56+C .46D .4311、△ABC 的内角A ,B ,C 的对边分别为a, b, c ,假设41cos ,3,sin 2sin ===B b C b B a ,那么△ABC 的面积为 A.159 B.16159 C. 16153 D. 169 12、己知定义在R 上的函数)(x f y =满足:函数)1(+=x f y 的图象关于直线1-=x 对称,且当)0,(-∞∈x 时,<)(')(x xf x f +.假设)6(6c ,)6(log )6(log ),7.0(7.06.06.07.07.066f f b f a ===,那么的大小关系是(A) a>b>c (B) b>a>c (C) c>a>b (D) a>c>b二、填空题:本大题一一共4小题,每一小题5分,一共20分. 13、函数,假设,那么 ________.14、 设函数ax x a x x f +-+=23)1()(,假设)(x f 为奇函数,那么曲线)(x f y =在点(0,0)处的切线方程为 .15、设等比数列{a n }满足a 1+a 3=10,a 2+a 4=5,那么a 1a 2…a n 的最大值为________. 16、三棱锥P-ABC 的4个顶点在半径为2的球面上,PA 丄平面ABC ,ABC 是边长为3的正三角形,那么点A 到平面PBC 的间隔 为 .三、解答本大题一一共70分,解容许写出文字说明、证明过程或者演算步骤. (17)(本小题满分是12分〕己知在等差数列{n a }中,61733,5a a a ==,(1)求数列{n a }的通项公式; (2)设)3(1+=n n a n b ,求数列{n b }的前n 项和n S .(18)(本小题满分是12分〕目前有声书正受着越来越多人的喜欢.某有声书公司为理解用户使用情况,随机选取了 100名用户,统计出年龄分布和用户付费金额〔金额为整数〕情况如下列图.有声书公司将付费高于20元的用户定义为“爱付费用户〞,将年龄在30岁及以下的用户定义为“年轻用户抽取的样本中有38的“年轻用户〞是“爱付费用户〞。
2021年高三(高补班)上学期周练(一)数学试题含解析一、选择题(共12小题,共60分)1.己知直线l的斜率为k,它与抛物线y2=4x相交于A,B两点,F为抛物线的焦点,若=2,则|k|=A.2 B. C. D.2.在数列中,a1=2,an+1=an+ln,则an=A.2+ln n B.2+ln nC.2+nln n D.1+n+ln n3.定义在区间上的函数使不等式恒成立,其中为的导数,则()A. B.C. D.4.已知为正实数,直线与曲线相切,则的最小值为()A.1 B. C. D.5.设函数其中存在正数,使得成立,则实数的值是()A. B. C. D.16.已知是定义在上的增函数,函数的图象关于点对称,若对任意的,不等式恒成立,当时,的取值范围是()A. B. C. D.7.双曲线的渐近线方程与圆相切,则此双曲线的离心率为( )A .B .C .D .8.根据,判定方程的一个根所在的区间为( )A .B .C .D .9.设表示不超过的最大整数,如,已知函数,若方程有且仅有个实根,则实数的取值范围是( )A .B .C .D .10.已知数列为等差数列,满足,其中在一条直线上,为直线外一点,记数列的前项和为,则的值为( )A .B .xxC .xxD .xx11.已知双曲线与轴交于、两点,点,则面积的最大值为( )A .2B .4C .6D .812.已知函数,,当时,方程的根的个数是( )A .8B .6C .4D .2第II 卷(非选择题)二、填空题(4小题,共20分)13.已知随机变量服从正态分布,,则的值为 .14.已知函数,其中,若存在实数,使得关于的方程有三个不同的零点,则的取值范围是 .15.已知直线交抛物线于两点,以为直径的圆被轴截得的弦长为,则=__________ .16.已知数列的前项和为()1211,1,3,432n n n n S a a S S S n +-===-≥,若对于任意,当时,不等式恒成立,则实数的取值范围为__________ .三、解答题(8小题,共70分)17.已知数列的前项和为,且.(1)证明:数列是等差数列,并求出数列的通项公式;(2)求数列的前项和为.18.已知点,,直线与直线相交于点,直线与直线的斜率分别记为与,且.(Ⅰ)求点的轨迹的方程;(Ⅱ)过定点作直线与曲线交于两点,的面积是否存在最大值?若存在,求出面积的最大值;若不存在,请说明理由.19.已知椭圆C:+=1(a>b>0)的离心率为,以原点O为圆心,椭圆C的长半轴为半径的圆与直线2x-y+6=0相切.(1)求椭圆C的标准方程;(2)已知点A,B为动直线y=k(x-2)(k≠0)与椭圆C的两个交点,问:在x轴上是否存在点E,使2+·为定值?若存在,试求出点E的坐标和定值,若不存在,说明理由.20.已知椭圆C1:+=1 (a>b>0)的离心率为,P(-2,1)是C1上一点.(1)求椭圆C1的方程;(2)设A、B、Q是点P分别关于x轴、y轴及坐标原点的对称点,平行于AB的直线l与C1相交于不同于P、Q的两点C、D.点C关于原点的对称点为E.证明:直线PD、PE与y轴围成的三角形是等腰三角形.21.如图,已知正方形ABCD和矩形ACEF所在的平面互相垂直,AB=,AF=1,M是线段EF 的中点.(1)求证:AM∥平面BDE;(2)求二面角A-DF-B的大小;(3)试在线段AC上确定一点P,使得PF与BC所成的角是60°.22.按照某学者的理论,假设一个人生产某产品单件成本为元,如果他卖出该产品的单价为元,则他的满意度为;如果他买进该产品的单价为元,则他的满意度为.如果一个人对两种交易(卖出或买进)的满意度分别为和,则他对这两种交易的综合满意度为.现假设甲生产A、B两种产品的单件成本分别为12元和5元,乙生产A、B两种产品的单件成本分别为3元和20元,设产品A、B的单价分别为元和元,甲买进A与卖出B的综合满意度为,乙卖出A与买进B的综合满意度为(1)求和关于、的表达式;当时,求证:=;(2)设,当、分别为多少时,甲、乙两人的综合满意度均最大?最大的综合满意度为多少?23.某工厂有25周岁以上(含25周岁)工人300名,25周岁以下工人200名.为研究工人的日平均生产量是否与年龄有关.现采用分层抽样的方法,从中抽取了100名工人,先统计了他们某月的日平均生产件数,然后按工人年龄在“25周岁以上(含25周岁)”和“25周岁以下”分为两组,在将两组工人的日平均生产件数分成5组:[50,60),[60,70),[70,80),[80,90),[90,100)分别加以统计,得到如图所示的频率分布直方图.(1)从样本中日平均生产件数不足60件的工人中随机抽取2人,求至少抽到一名“25周岁以下组”工人的频率.(2)规定日平均生产件数不少于80件者为“生产能手”,请你根据已知条件完成的列联表,并判断是否有的把握认为“生产能手与工人所在的年龄组有关”?24.已知函数的图象过点P(0,2),且在点处的切线方程.(1)求函数的解析式;(2)求函数与的图像有三个交点,求的取值范围.参考答案1.A【解析】试题分析:设直线l的方程为y=kx+m(k≠0),与抛物线y2=4x相交于A(x1,y1),B(x2,y2),联立y=kx+m(k≠0),y2=4x得k2x2+(2km-4)x+m2=0,所以Δ=(2km-4)2-4k2m2=16-16km,由Δ>0得km<1,x1+x2=,x1x2=,由y2=4x得其焦点F(1,0),由=2得(1-x1,-y1)=2(x2-1,y2),所以,由①得, x1+2x2=3,③.由②得, x1+2x2=-,所以m=-k,再由=2得||=2||,所以x1+1=2(x2+1),即x1-2x2=1,④.联立③④得x1=2,x2=,所以x1+x2==,把m=-k代入得=,解得=2,满足mk=-8<1,所以=2,故选A.考点:直线与抛物线相交.2.A【解析】试题分析:由已知得a n+1-a n=ln=ln(n+1)-ln n,所以a n=a1+(a2-a1)+(a3-a2)+…+(a n-a n-1)=2+(ln 2-ln 1)+(ln 3-ln 2)+…+(ln n-ln(n-1))=2+ln n,故选A.考点:由递推公式求通项公式.3.B【解析】试题分析:由可得,即,令,则,即,所以且,即且,所以函数是增函数且函数是减函数,即是增函数且函数是减函数,所以且,即且,故应选B.考点:导数及运算.【易错点晴】本题以不等式的形式为背景考查的是导数的知识的综合运用.解答本题的难点是如何建立两个函数值的表达式.本题在解答时借助题设的不等式,运用巧妙变形进行构造函数,进而通过构造的函数进行合理有效的变形得到两个单调函数和函数,即和函数.最后借助单调性使得问题简捷巧妙获解.4.D【解析】试题分析:设切点为,则由题设,故代入得,又,所以,即,将代入得,故当时,取最小值为,故应选D.考点:导数的几何意义及二次函数的最小值.【易错点晴】本题以直线与曲线相切为背景考查的是求函数的最小值的求法问题.求解时充分利用题设中所提供的有效信息,对直线与曲线相切这一条件进行了巧妙合理的运用,使得本题巧妙获解.解答本题的关键是找出参数之间的数量关系,这里是借助直线与曲线相切的这一条件.设切点是解答这类问题的关键,一旦切点出现,直线与曲线都经过这个切点,许多问题都能解决,所以设切点是找到之间关系的很重要的一个步骤.5.A【解析】试题分析:由函数解析式的形式可知表示平面上的两动点之间距离的平方,而两动点分别在曲线和上,设切点,因为,所以,当时,,此时直线与切点间的距离最近,即,解之得,应选B.考点:导数和函数的有关知识及综合运用.【易错点晴】函数与方程的关系是高中数学的重要内容之一,也是高中数学中的重要知识点.本题以函数内容为背景设置的是函数的解析式参数的取值范围问题.解答时充分借助函数解析式的结构特征,将其与平面上的两点间距离公式类比,从而将问题进行合理转化为直线与曲线的距离最小,最小值为的问题.然后借助导数的几何意义求出切点的坐标从而使问题简捷巧妙地获解.6.C【解析】试题分析:由于函数的图象关于点对称,所以函数关于原点对称,即为奇函数,在定义域上单调递增,由,得,即,,,表示的就是圆心为,半径为的圆内的点,当时,表示的就是到原点的距离的平方,由图像可求得取值范围为.最短为,最大.不是最大值.考点:1.函数的单调性与奇偶性;2.线性规划.【思路点晴】本题考查函数图象与性质,导数与图象等知识.第一个问题就是处理这两个函数图象的关系,图象向右移个单位得到图象,向左移个单位得到图象.由此可以确定函数是一个奇函数,由于为增函数,而且为抽象函数,根据单调性,可化简.最后还要用线性规划的知识来求最值.7.B【解析】试题分析:双曲线其中一条渐近线为,依题意圆心到渐近线的距离等于半径,即,化简得,. 考点:双曲线离心率.8.D【解析】试题分析:令,依题意有,所以零点位于.考点:二分法.9.C【解析】试题分析:令,令,画出图象如下图所示,由图象可知,的取值范围是.考点:1.新定义;2.函数图象与性质.【思路点晴】解决函数零点有关的问题,思路就是先令这个函数等于零,然后对式子进行分离参数,如本题中令,分离参数后,就变成了左边一个函数,右边是一条直线,只要我们画出左边函数的图象,结合图象就能求出有三个交点时候的取值范围. 是一个新定义的函数,我们可利用用新定义中包含的概念,分段画出图象.10.A【解析】试题分析:因为在一条直线上,所以,则120153201320152015()2015()2015222a a a a S ++===,选A.考点:向量关系,等差数列性质【思路点睛】等差、等比数列的性质是两种数列基本规律的深刻体现,是解决等差、等比数列问题既快捷又方便的工具,应有意识地去应用.但在应用性质时要注意性质的前提条件,有时需要进行适当变形. 在解决等差、等比数列的运算问题时,经常采用“巧用性质、整体考虑、减少运算量”的方法.11.A【解析】试题分析:由题意知,如图:∴当且仅当时“=”成立,∴.故选A.考点:双曲线的标准方程;双曲线的几何性质.12.B【解析】试题分析:由题意得,函数在上是奇函数且是反比例函数,在上是奇函数,则,所以在上是减函数,在上是增函数,在上是减函数,且,,,,所以作出函数与在上的图像,如图所示,结合图像可知,共有6个交点.故选B.考点:根的存在性及根的个数的判断;函数的图像.13.【解析】试题分析:因对称轴是,所以16.0)4(1)4()0(=<-=≥=<x P x P x P ,故应填. 考点:正态分布的性质及运用.14.【解析】试题分析:函数为偶函数,且左减右增.函数的对称轴为,且向右单调递增.故当时函数先减后增,当时函数单调递增,要有三个不同的零点则必须满足,解得.考点:分段函数零点问题.【思路点晴】应用函数零点的存在情况求参数的值或取值范围常用的方法:(1)直接法:直接根据题设条件构建关于参数的不等式,再通过解不等式确定参数范围.(2)分离参数法:先将参数分离,转化成求函数值域问题加以解决.(3)数形结合法:先对解析式变形,在同一平面直角坐标系中,画出函数的图象,然后数形结合求解.15.【解析】试题分析:由直线方程与抛物线方程联立消x 得,而直线过抛物线焦点,所以,而由垂径定理得考点:抛物线定义,直线与圆位置关系16.【解析】试题分析:,()()1112432433n n n n n n S S S n S S S n +---=-≥=-≥,,两式相减得()()1111433,3(3)3,n n n n n n n a a a n a a a a n +-+-=-≥-=-≥又,因此为以2首项,3 为公比的等比数列,即,叠加法得,从而,因此对恒成立,即解得考点:和项求通项,等比数列定义,不等式恒成立【方法点睛】给出S n 与a n 的递推关系求a n ,常用思路是:一是利用S n -S n -1=a n (n ≥2)转化为a n 的递推关系,再求其通项公式;二是转化为S n 的递推关系,先求出S n 与n 之间的关系,再求a n . 应用关系式a n =⎩⎪⎨⎪⎧S 1,n =1,S n -S n -1,n ≥2时,一定要注意分n =1,n ≥2两种情况,在求出结果后,看看这两种情况能否整合在一起.17.(1)详见解析(2)【解析】试题分析:(1)由和项求通项,关键注意分类讨论:当时,;当时,2212[(1)2(1)]21n n n a S S n n n n n -=-=+--+-=+;由于当时,也符合上式,故.最后根据等差数列定义证明(2)裂项相消法求数列和:注意调节系数,首尾相消得1111111111()()23557212323233(23)n n T n n n n =-+-++-=--=++++ 试题解析:(1)当时,;当时,2212[(1)2(1)]21n n n a S S n n n n n -=-=+--+-=+;当时,也符合上式,故.因为,故数列是以3为首项,2为公差的等差数列.(2)因为111111()(21)(23)22123n n a a n n n n +==-++++, 故1111111111()()23557212323233(23)n n T n n n n =-+-++-=--=++++. 考点:和项求通项,等差数列定义,裂项相消法求和【方法点睛】给出S n 与a n 的递推关系求a n ,常用思路是:一是利用S n -S n -1=a n (n ≥2)转化为a n 的递推关系,再求其通项公式;二是转化为S n 的递推关系,先求出S n 与n 之间的关系,再求a n . 应用关系式a n =⎩⎪⎨⎪⎧S 1,n =1,S n -S n -1,n ≥2时,一定要注意分n =1,n ≥2两种情况,在求出结果后,看看这两种情况能否整合在一起.18.(Ⅰ);(Ⅱ)面积的最大值为.【解析】试题分析:(Ⅰ)本题求轨迹方程,采用直接法,只要设动点坐标为,求出斜率,由化简可得,注意斜率存在时,最后方程中要剔除此点;(Ⅱ)假设存在,首先直线斜率存在,可设其方程为,与椭圆方程联立整理为关于的一元二次方程,同时设交点为,由可得,而,这样可把表示为的函数,可由基本不等式知识求得最大值.试题解析:(Ⅰ)设,则,所以所以 (未写出范围扣一分)(Ⅱ)由已知当直线的斜率存在,设直线的方程是,联立,消去得,因为,所以,设,当且仅当时取等号,面积的最大值为.考点:1、求曲线的方程;2、椭圆的方程;3、利用基本不等式求最值.【名师点睛】求轨迹方程的常用方法1.直接法:直接利用条件建立x,y之间的关系F (x,y)=0. 2.待定系数法:已知所求曲线的类型,求曲线方程. 3.定义法:先根据条件得出动点的轨迹是某种已知曲线,再由曲线的定义直接写出动点的轨迹方程. 4.代入(相关点)法:动点P(x,y)依赖于另一动点Q(x0,y0)的变化而运动,常利用代入法求动点P(x,y)的轨迹方程.19.(1);(2)存在,定点为E.【解析】试题分析:(1)要求椭圆标准方程,一般要列出关于的两个等式,题中离心率是一个,即,另外由直线与圆相切知原点到直线的距离就等于,因此易得;(2)直线与椭圆相交,设交点为,把直线方程代入椭圆方程后可得,同时假设定点存在,并设,计算,把它表示为的等式,此式是关于的恒等式,由此可求得.试题解析:(1)由e=,得=,即c=a,①又因为以原点O为圆心,椭圆C的长半轴长为半径的圆为x2+y2=a2,且与直线2x-y+6=0相切,所以a==,代入①得c=2,所以b2=a2-c2=2.所以椭圆的方程为+=1.(2)由得(1+3k2)x2-12k2x+12k2-6=0,设A(x1,y1),B(x2,y2),所以x1+x2=,x1·x2=,根据题意,假设x轴上存在定点E(m,0),使得2+·=·(+)=·为定值,则有·=(x1-m,y1)·(x2-m,y2)=(x1-m)·(x2-m)+y1y2=(x1-m)(x2-m)+k2(x1-2)(x2-2)=(k2+1)x1x2-(2k2+m)(x1+x2)+(4k2+m2)=(k2+1)·-(2k2+m)·+(4k2+m2)=.要使上式为定值,即与k无关,则应使3m2-12m+10=3(m2-6),即m=,此时·=m2-6=-为定值,定点为E.考点:椭圆标准方程,直线与椭圆相交,解析几何中的定点问题.【名师点睛】解决存在性问题应注意以下几点存在性问题,先假设存在,推证满足条件的结论,若结论正确则存在,若结论不正确则不存在.(1)当条件和结论不唯一时要分类讨论;(2)当给出结论而要推导出存在的条件时,先假设成立,再推出条件;(3)当条件和结论都不知,按常规方法解题很难时,要思维开放,采取另外的途径.20.(1);(2)证明见解析.【解析】试题分析:(1)本小题要求椭圆标准方程,由离心率可得,再把点坐标代入又得的一个方程,两者联立可解得;(2)设直线PD、PE的斜率分别为,则要证直线PD、PE与y轴围成的三角形是等腰三角形,只需证,为此先得,从而有,于是可设直线方程为,同时设,由直线方程与椭圆方程可得,计算,可得结论.试题解析:(1)因为C1离心率为,所以a2=4b2,从而C1的方程为:+=1 .代入P(-2,1)解得:b2=2,因此a2=8.所以椭圆C1的方程为:+=1 .(2)由题设知A、B的坐标分别为(-2,-1),(2,1).因此直线l的斜率为.设直线l的方程为:y=x+t.由得:x2+2tx+2t2-4=0.当Δ>0时,不妨设C(x1,y1),D(x2,y2),于是 x1+x2=-2t,x1x2=2t2-4.设直线PD、PE的斜率分别为k1,k2,则要证直线PD、PE与y轴围成的三角形是等腰三角形,只需证k1+k2=0,又k1+k2=+=,则只需证(y2-1)(2-x1)-(2+x2)(y1+1)=0,而(y2-1)(2-x1)-(2+x2)(y1+1)=2(y2-y1)-(x1y2+x2y1)+x1-x2-4=x2-x1-x1x2-t(x1+x2)+x1-x2-4=-x1x2-t(x1+x2)-4=-2t2+4+2t2-4=0所以直线PD、PE与y轴围成的三角形是等腰三角形.考点:椭圆的标准方程,直线与椭圆的综合问题.【名师点睛】解析几何中的直线与曲线相交的综合性问题,可设出直线方程,同时设交点坐标为,由直线方程与椭圆方程可得,然后计算相关量,象本题计算,并把用表示出来,把刚才所得代入可得结论.21.(1)见解析;(2)60°;(3)点P是AC的中点.【解析】试题分析:(1)要证线面平行,只要证线线平行,设交点为,为中点,由为中点,可得(中点连线是经常用到的辅助线),从而得证线面平行;(2)由已知可以证明CD、CB、CE两两垂直,因此以它们所在直线分别为x轴、y轴、z轴建立空间直角坐标系,写出各点坐标,=(-,0,0)为平面ADF的一个法向量.再求得平面的一个法向量,求得法向量的夹角即得二面角(它们相等或互补);(3)在(2)基础上,可设可设P(t, t, 0)(0≤t≤),则由与的夹角的为或可求得,从而得点位置.试题解析:(1)记AC与BD的交点为O,连接OE,∵O、M分别是AC、EF的中点,ACEF是矩形,∴四边形AOEM是平行四边形,∴AM∥OE∵OE⊂平面BDE,AM⊄平面BDE,∴AM∥平面BDE(2)在平面AFD中过A作AS⊥DF于S,连接BS,∵AB⊥AF,AB⊥AD,AD∩AF=A,∴AB⊥平面ADF,∴AS是BS在平面ADF上的射影,由三垂线定理得BS⊥DF∴∠BSA是二面角A﹣DF﹣B的平面角在Rt△ASB中,AS==,AB=,∴tan∠ASB=,∠ASB=60°,∴二面角A﹣DF﹣B的大小为60°;(3)如图设P(t,t,0)(0≤t≤),则=(﹣t,﹣t,1),=(,0,0)又∵,夹角为60°,∴,解之得t=或t=(舍去),故点P为AC的中点时满足题意.考点:线面平行的判断,二面角,异面直线所成的角.22.(1)详见解析(2)时最大的综合满意度为【解析】试题分析:(1)表示出甲和乙的满意度,整理出最简形式,在条件时,表示出要证明的相等的两个式子,得到两个式子相等.(2)在上一问表示出的结果中,整理出关于变量的符合基本不等式的形式,利用基本不等式求出两个人满意度最大时的结果,并且写出等号成立的条件试题解析:(1)当时,23535(20)(5)125BB BB B BBm m mhm m mm=⋅=++++甲,235320(5)(20)35BB BB B BBm m mhm m mm=⋅=++++乙, =(2由,故当即时,甲乙两人同时取到最大的综合满意度为.考点:函数模型的选择与应用23.(1)(2)没有的把握认为“生产能手与工人所在的年龄组有关【解析】试题分析:(1)根据分层抽样原理,结合频率分布直方图,求出每组应抽取的人数;(2)由频率分布直方图,计算各组对应的生产能手数,填写2×2列联表,计算K2的值,从而得出统计结论试题解析:(Ⅰ)由已知得,样本中有周岁以上组工人名,周岁以下组工人名所以,样本中日平均生产件数不足件的工人中,周岁以上组工人有(人),记为,,;周岁以下组工人有(人),记为,从中随机抽取名工人,所有可能的结果共有种,他们是:,,,,,,,,,其中,至少有名“周岁以下组”工人的可能结果共有种,它们是:,,,,,,.故所求的概率:…………6分(Ⅱ)由频率分布直方图可知,在抽取的名工人中,“周岁以上组”中的生产能手(人),“周岁以下组”中的生产能手(人),据此可得列联表如下:所以得:22 2()100(15251545)251.79()()()()6040307014n ad bcKa b c d a c b d-⨯⨯-⨯===≈++++⨯⨯⨯因为,所以没有的把握认为“生产能手与工人所在的年龄组有关”考点:频率分布直方图;独立性检验的应用24.(1)(2)【解析】试题分析:(1)由图象过点P(0,2)求出d的值,再代入求出导数,再由切线方程求出f(-1)、f′(-1),分别代入求出b和c的值;(2)将条件转化为有三个根,再转化为的图象与y=a图象有三个交点,再求出h(x)的导数、临界点、单调区间和极值,再求出a的范围即可试题解析:(1)由的图象经过点P(0,2),知d=2.所以,则由在处的切线方程是知,即.所以即解得.故所求的解析式是.(2)因为函数与的图像有三个交点有三个根,即有三个根令,则的图像与图像有三个交点.接下来求的极大值与极小值(表略).的极大值为的极小值为2,因此考点:利用导数研究曲线上某点切线方程;根的存在性及根的个数判断 J34471 86A7 蚧30453 76F5 盵30538 774A 睊"Fc21607 5467 呧24733 609D 悝31962 7CDA 糚-Q37766 9386 鎆36257 8DA1 趡。
赣榆县海头高级中学2021届高三数学上学期周考训练〔10〕一、填空题:本大题一一共14题,每一小题5分,一共70分.请把答案填写上在答题纸相应位置上.1.集合{}0,1,3M =,{}3,N x x a a M ==∈,那么M N = ▲ .2.假设复数1i1i a +-为纯虚数,i 是虚数单位,那么实数a 的值是 ▲ .3.假设采用系统抽样方法从420人中抽取21人做问卷调查,为此将他们随机编号为1,2,…,420,那么抽取的21人中,编号在区间[]241,360内的人数是 ▲ .4.在如下图的算法中,输出的i 的值是 ▲ . 5.{}n a 是等差数列,假设75230a a --=,那么9a 的值是 ▲ .6.假设将甲、乙两个球随机放入编号为1,2,3的三个盒子中,每个盒子的放球数量不限,那么在1,2号盒子中各有一个球的概率是 ▲ .7.在平面直角坐标系xOy 中,假设双曲线的渐近线方程是2y x =±,且经过点,那么该双曲线的方程是 ▲ .8.假设1cos()33απ-=,那么sin(2)απ-6的值是 ▲ . 9.假设221a ab b -+=,a ,b 是实数,那么a b +的最大值是 ▲ .10.如图,在正三棱柱111ABC A B C -中,假设各条棱长均为2,且M 为11AC的中点,那么三棱锥1M AB C -的体积是 ▲ .11.设函数()f x 是定义在R 上的奇函数,当0x ≤时,2()f x x x =+,那么关于x 的不等式()2f x <-的解集是▲ . 12.光线通过点()3,4M -,被直线l :30x y -+=反射,反射光线通过点()2,6N , 那么反射光线所在直线的方程是 ▲ .13.如图,ABC ∆中,4AB AC ==,90BAC ∠=,D 是BC 的中点,假设向量14AM AB m AC =+⋅,且AM 的终点M 在ACD ∆的内部〔不含边界〕,那么AM BM ⋅的取值范围是 ▲ .14.函数22()21f x x ax a =-+-,假设关于x 的不等式(())0f f x <的解集为空集,那么实数a 的取值范围是 ▲ .二、解答题:本大题一一共6小题,一共计90分,请在答题纸指定的区域内答题,解答题应写出文字说明、证明过程或者演算步骤. 15.〔此题满分是14分〕ABC ∆的内角,,A B C 的对边分别为,,a b c ,3B π∠=.〔1〕假设2a =,b =,求c 的值; 〔2〕假设tan A =,求tan C 的值.ABC1A1B1CM(第10题图)〔第4题图〕16.〔此题满分是14分〕如图,在四棱锥P ABCD -中,底面ABCD 是菱形,且PB PD =. 〔1〕求证:BD PC ⊥;〔2〕假设平面PBC 与平面PAD 的交线为l ,求证://BC l .17.〔此题满分是14分〕如图是一个半圆形湖面景点的平面示意图.AB 为直径,且2AB =km,O 为圆心,C 为圆周上靠近A 的一点,D 为圆周上靠近B 的一点,且CD ∥AB .如今准备从A 经过C 到D 建造一条观光道路,其中A 到C 是圆弧 ,C 到D 是线段CD .设rad AOC x ∠=,观光道路总长为km y .〔1〕求y 关于x 的函数解析式,并指出该函数的定义域; 〔2〕求观光道路总长的最大值.(第16题图)︵AC18.〔此题满分是16分〕函数()e x f x =〔其中e 是自然对数的底数〕,2()1g x x ax =++,a ∈R . 〔1〕记函数()()()F x f x g x =⋅,且0a >,求()F x 的单调增区间; 〔2〕假设对任意12,x x ∈[]0,2,12x x ≠,均有1212()()()()f x f x g x g x ->-成立,务实数a 的取值范围.19.〔此题满分是16分〕如图,在平面直角坐标系xOy 中,椭圆C :2212412x y +=,设00(,)R x y 是椭圆C 上的任一点,从原点O 向圆R :()()22008x x y y -+-=作两条切线,分别交椭圆于点P ,Q .〔1〕假设直线OP ,OQ 互相垂直,求圆R 的方程; 〔2〕假设直线OP ,OQ 的斜率存在,并记为1k ,2k ,求证:21k k 为定值;〔3〕试问22OP OQ +是否为定值?假设是,求出该值;假设不是,说明理由.20.〔此题满分是16分〕 数列{}n a 是等差数列,其前n 项和为Sn ,假设410S =,1391S =.〔1〕求n S ;〔2〕假设数列{Mn}满足条件: 11t M S =,当2n ≥时,nn t M S =-1n t S -,其中数列{}n t 单调递增,且11t =,n t *∈N .①试找出一组2t ,3t ,使得2213M M M =⋅; ②证明:对于数列{}n a ,一定存在数列{}n t ,使得数列{}n M 中的各数均为一个整数的平方.R(第19题图)数学Ⅱ 附加题局部21 B. 二阶矩阵A 有特征值11λ=及对应的一个特征向量111⎡⎤=⎢⎥⎣⎦e 和特征值22λ=及对应的一个特征向量210⎡⎤=⎢⎥⎣⎦e ,试求矩阵A .21C.在平面直角坐标系xOy 中,曲线C 的参数方程是cos ,1sin ,x y αα=⎧⎨=+⎩〔α是参数〕,假设以O为极点,x 轴的正半轴为极轴,取与直角坐标系中一样的单位长度,建立极坐标系,求曲线C 的极坐标方程.22.〔本小题满分是10分〕如图,在直三棱柱111ABC A B C -中,90BAC ∠=o,1AB AC ==,13AA =,点E ,F 分别在棱1BB ,1CC 上,且1113C F C C=,1BE BB λ=,01λ<<.〔1〕当13λ=时,求异面直线AE 与1A F 所成角的大小;〔2〕当直线1AA 与平面AEF 时,求λ的值.1A 1C23.数列{}n a 的各项均为正整数,对于任意n ∈N*,都有11111122111n n n na a a a n n ++++<<+-+ 成立,且24a =.〔1〕求1a ,3a 的值;〔2〕猜测数列{}n a 的通项公式,并给出证明.数学参考答案与评分HY 数学Ⅰ 必做题局部一、填空题:〔本大题一一共14小题,每一小题5分,一共计70分.不需写出解题过程,请把答案直接填写上在答题卡相应位置上〕 1.{}0,3 2.1 3.6 4.7 5.36. 29 7.2214y x -= 8. 79-9.2 1011.(2,)+∞ 12.660x y --= 13.()2,6- 14.(],2-∞-二、解答题: 本大题一一共6小题, 15~17每一小题14分,18~20每一小题16分,一共计90分.请在答题卡指定的区域内答题,解答时应写出文字说明、证明过程或者演算步骤. 15.〔1〕由余弦定理得,2222cos b c a c a B =+-⋅, …………………………3分因为3B π∠=,2a =,b =,所以21242c c =+-,即2280c c --= …………………………5分 解之得4c =,2c =-〔舍去〕.所以4c =. ……………………………7分 〔2〕因为πA B C ++=,tan A =,tan B =所以tan tan()C A B =-+ ……………………………9分tan tan 1tan tan A B A B+=--== ……………………11分所以tan C =. ……………………………………14分16.〔1〕连接AC ,交BD 于点O ,连接PO .因为四边形ABCD 为菱形,所以BD AC ⊥ ……2分 又因为PB PD =,O 为BD 的中点, 所以BD PO ⊥ ……………………………………4分 又因为ACPO O =所以BD APC ⊥平面, 又因为PC APC ⊂平面所以BD PC ⊥……………………………………7分〔2〕因为四边形ABCD 为菱形,所以//BC AD …………………………9分 因为,AD PAD BC PAD ⊂ ⊄平面平面.所以//BC PAD 平面 ………………………………………11分 又因为BC PBC ⊂平面,平面PBC 平面PAD l =.所以//BC l . ………………………………………………14分17.(1)由题意知,1AC x x =⨯=, …………………………………2分2cos CD x =, …………………………………5分因为C 为圆周上靠近A 的一点,D 为圆周上靠近B 的一点,且//CD AB ,所以02x π<<所以2cos y x x =+ ,0,2x π⎛⎫∈ ⎪⎝⎭ ……………………7分 (2)记()2cos f x x x=+,那么()12sin f x x '=-, ………………………………9分令()0f x '=,得6x π=, ………………………………………………11分列表x(0,6π) 6π(6π,2π)()f x ' +-f (x)递增极大值 递减所以函数()f x 在π6x =处获得极大值,这个极大值就是最大值,…………13分即()66f ππ=+答:观光道路总长的最大值为6π+千米. ……………………………14分18.〔1〕因为()()2()()e 1x F x f x g x x ax =⋅=++,所以()()()e 11x F x x a x '=⎡++⎤+⎣⎦, ……………………2分令()0F x '>,因为0a >,得1x >-或者()1x a <-+, ……………………5分所以()F x 的单调增区间为(),1a -∞--和()1,-+∞; ……………………6分〔2〕因为对任意12,x x ∈[]0,2且12x x ≠,均有1212()()()()f x f xg x g x ->-成立,不妨设12x x >,根据()e x f x =在[]0,2上单调递增,所以有1212()()()()f x f xg x g x ->-对12x x >恒成立,……………………8分所以211212()()()()()()f x f x g x g x f x f x -<-<-对12,x x ∈[]0,2,12x x >恒成立,即11221122()()()()()()()()f x g x f x g x f x g x f x g x +>+⎧⎨->-⎩对12,x x ∈[]0,2,12x x >恒成立,所以()()f x g x +和()()f x g x -在[]0,2都是单调递增函数,………………11分 当()()0f x g x ''+≥在[]0,2上恒成立,得()e 20x x a ++≥在[]0,2恒成立,得()e 2xa x -+≥在[]0,2恒成立,因为()e 2x x -+在[]0,2上单调减函数,所以()e 2xx -+在[]0,2上获得最大值1-,解得1a -≥. ………………………………13分当()()0f x g x ''-≥在[]0,2上恒成立,得()e 20x x a -+≥在[]0,2上恒成立,即e 2x a x -≤在[]0,2上恒成立,因为e 2x x -在[]0,ln 2上递减,在[]ln 2,2上单调递增, 所以e 2x x -在[]0,2上获得最小值22ln 2-,所以22ln 2a -≤, ……………………………15分 所以实数a 的取值范围为[]1,22ln 2--. ………………………16分19.〔1〕由圆R 的方程知,圆R的半径的半径r = 因为直线OP ,OQ 互相垂直,且和圆R 相切,所以4OR ==,即220016x y +=,①………………………………………1分 又点R 在椭圆C 上,所以220012412x y +=,②……………………………………2分联立①②,解得00x y ⎧=±⎪⎨=±⎪⎩ ……………………………………………………3分 所以所求圆R的方程为((228x y ±+±=. ………………………4分〔2〕因为直线OP :1y k x =,OQ :2y k x =,与圆R 相切,=,化简得222010010(8)280x k x y k y--+-=………………6分同理222020020(8)280x k x y k y--+-=,……………………………………………7分所以12,k k是方程2220000(8)280x k x y k y--+-=的两个不相等的实数根,212288yck ka x-⋅===-…………………………8分因为点00(,)R x y在椭圆C上,所以220012412x y+=,即22001122y x=-,所以2122141282xk kx-==--.………………………………10分〔3〕22OP OQ+是定值,定值为36,……………………………………………11分理由如下:法一:(i)当直线,OP OQ不落在坐标轴上时,设1122(,),(,)P x y Q x y,联立122,1,2412y k xx y=⎧⎪⎨+=⎪⎩解得212122112124,1224.12xkkyk⎧=⎪+⎪⎨⎪=⎪+⎩………………………………………12分所以2221112124(1)12kx yk++=+,同理,得2222222224(1)12kx yk++=+,…………13分由1212k k=-,所以2222221122OP OQ x y x y+=+++2212221224(1)24(1)1212k kk k++=+++22112211124(1())24(1)211212()2k kkk+-+=+++-2121367212kk+=+36=……15分(ii)当直线,OP OQ落在坐标轴上时,显然有2236OP OQ+=,综上:2236OP OQ +=. ……………………………………………………16分 法二:(i)当直线,OP OQ 不落在坐标轴上时,设1122(,),(,)P x y Q x y ,因为12210k k +=,所以1212210y y x x +=,即2222121214y y x x =, ……………12分因为1122(,),(,)P x y Q x y 在椭圆C 上,所以221122221241212412x y x y ⎧+=⎪⎪⎨⎪+=⎪⎩,即2211222211221122y x y x ⎧=-⎪⎪⎨⎪=-⎪⎩……………………………………………13分所以22221212111(12)(12)224x x x x --=,整理得221224x x +=, 所以222212121112121222y y x x ⎛⎫⎛⎫+=-+-= ⎪ ⎪⎝⎭⎝⎭,所以2236OP OQ +=. ……………………………………………………15分 (ii)当直线,OP OQ 落在坐标轴上时,显然有2236OP OQ +=, 综上:2236OP OQ +=. ………………………………………………16分 20.〔1〕设数列{}n a 的首项为1a ,公差为d ,由410S =,1391S =,得11434102131213912a d a d ⨯⎧+=⎪⎪⎨⨯⎪+=⎪⎩, ……………………2分解得111a d =⎧⎨=⎩,所以21(1)22n n n n nS na d -+=+=……………………………………………4分 〔2〕①因为111M S ==,假设22,t =221312M S S =-=-=,()33332132t t t M S S +=-=-,因为2213M M M =⋅, 所以()331342t t +-=,()33114t t +=,此方程无整数解; ………………6分假设23,t =231615M S S =-=-=,()33333162t t t M S S +=-=-,因为2213M M M =⋅, 所以()3316252t t +-=,()33162t t +=,此方程无整数解;………………8分 假设24,t =2411019M S S =-=-=,()333341102t t t M S S +=-=-,因为2213M M M =⋅, 所以()33110812t t +-=,()331182t t +=,解得313t =, 所以24t =,313t =满足题意…………………………………………………10分②由①知11t =,213t =+,23133t =++,那么11M =,223M =,239M =,一般的取213113332n n n t --=++++=, ………………………13分此时31311222n n n t S ⎛⎫--+ ⎪⎝⎭=,11131311222n n n t S ---⎛⎫--+ ⎪⎝⎭=,那么n M =n t S -1n t S -=()112131313131112222322n n n n n ---⎛⎫⎛⎫----++ ⎪ ⎪⎝⎭⎝⎭-=,所以n M 为一整数平方.因此存在数列{}n t ,使得数列{}n M 中的各数均为一个整数的平方.……16分数学Ⅱ局部21.【选做题】A .(选修4—1:几何证明选讲)因为BE 切⊙O 于点B ,所以CBE ∠60BAC =∠=,因为2BE =,4BC =,由余弦定理得EC =.………4分又因为2BE EC ED =⋅,所以ED =,…………………8分所以CD EC ED =-==. ………………10分B .〔选修4—2:矩阵与变换〕设矩阵a b A c d ⎡⎤=⎢⎥⎣⎦,这里a b c d ∈R ,,,, 因为11⎡⎤⎢⎥⎣⎦是矩阵A 的属于11λ=的特征向量,那么有11111a b cd ⎡⎤⎡⎤⎡⎤=⨯⎢⎥⎢⎥⎢⎥⎣⎦⎣⎦⎣⎦ ①, ……4分又因为10⎡⎤⎢⎥⎣⎦是矩阵A 的属于22λ=的特征向量,那么有11200a b c d ⎡⎤⎡⎤⎡⎤=⨯⎢⎥⎢⎥⎢⎥⎣⎦⎣⎦⎣⎦ ② …6分 根据①②,那么有11,20a b c d a c +=⎧⎪+=⎪⎨=⎪⎪=⎩,,,…………………………………………………8分 从而2101a b c d ==-==,,,,所以2101A -⎡⎤=⎢⎥⎣⎦. ……………………………10分 C .〔选修4-4:坐标系与参数方程〕由cos ,1sin ,x y αα=⎧⎨=+⎩得cos ,1sin ,x y αα=⎧⎨-=⎩两式平方后相加得22(1)1x y +-=, …………4分 因为曲线C 是以(0,1)为圆心,半径等于1的圆.得2sin ρθ=.即曲线C 的极坐标方程是2sin ρθ=. …………………………10分 D .〔选修4-5:不等式选讲〕 因为11,ax ax a a -+--≥ ……………………………5分〔第21—A 题图〕所以原不等式解集为R 等价于1 1.a -≥ 所以20.a a 或≥≤所以实数a 的取值范围为(][),02,-∞+∞. ………………………10分22.建立如下图的空间直角坐标系A xyz -.〔1〕因为AB=AC=1,1AA =3,13λ=,所以各点的坐标为(0,0,0)A ,(1,0,1)E ,1(0,0,3)A ,(0,1,2)F .(1,0,1)AE =,1(0,1,1)A F =-. …………2分因为12AE A F ==11AE A F ⋅=-, 所以111,1cos 22AE A F AE A F AE A F⋅===-.所以向量AE 和1A F 所成的角为120o,所以异面直线AE 与1A F 所成角为60. ……………4分 〔2〕因为(1,0,3)E λ,(0,1,2)F ,所以(1,0,3),(0,1,2)AE AF λ==.设平面AEF 的法向量为(,,)x y z =n , 那么0AE ⋅=n ,且0AF ⋅=n .即30x z λ+=,且20y z +=.令1z =,那么3,2x y λ=-=-. 所以(3,2,1)λ=--n 是平面AEF 的一个法向量. ………6分又1(0,0,3)AA =,那么111,cos 39AA AA AA ===n n n又因为直线1AA 与平面AEF ,=12λ=. ………………10分23.〔1〕因为11111122111n n n na a a a n n ++++<<+-+ ,24a =xA当1n =时,由21211111222a a a a ⎛⎫+<+<+ ⎪⎝⎭,即有1112212244a a +<+<+, 解得12837a <<.因为1a 为正整数,故11a =. ………………………………2分 当2n =时,由33111126244a a ⎛⎫+<+<+ ⎪⎝⎭,解得3810a <<,所以39a =. …………………………………………………4分〔2〕由11a =,24a =,39a =,猜测:2n a n =………………………………5分下面用数学归纳法证明.1º当1n =,2,3时,由〔1〕知2n a n =均成立.……………………………6分2º假设()3n k k =≥成立,那么2k a k =,由条件得()22111111212k k k k a ka k ++⎛⎫+<++<+ ⎪⎝⎭,所以()()23121111k k k k k k a k k k ++-+<<-+-, ………………………………………8分所以()()2212111111k k k a k k k k +++-<<++-+- …………………………9分 因为3k ≥,21011k k k +<<-+,1011k <<-,又1k a *+∈N ,所以()211k a k +=+. 即1n k =+时,2n a n =也成立.由1º,2º知,对任意n *∈N ,2n a n =. ……………………………………10分1.集合{}1,2的子集个数为 .2.假如1i x y -+与i 3x -是一共轭复数〔x 、y 是实数〕,那么x y += . 3.函数()sin cos f x x x=的最大值是 .4.等差数列{}n a 中,12782,8a a a a +=+=,该数列前10项的和10S = .5.焦点为F 的抛物线)0(22>=p px y 过点)2,2(M ,那么=MF .6.平面向量()(),23,23,1a b ==-,那么a 与b 的夹角是 .7.函数1lg 1y x x =-+的零点个数是 .8.直线30ax by --=与()xf x xe =在点()1,e P 处的切线互相垂直,那么a b = .9.设命题p :2210ax ax ++>的解集是实数集R ;命题q :01a <<,那么p 是q 的 .〔填充分不必要条件 必要不充分条件 充要条件 既不充分也不必要条件〕10.圆22:()()1(0)C x a y a a -+-=>与直线3y x =相交于P ,Q 两点,假设090PCQ ∠=,那么实数a = .11.将函数π()2sin()(0)3f x x ωω=->的图象,向左平移π3ω个单位,得到函数()y g x =的图象.假设()y g x =在π[0,]4上为增函数,那么ω的最大值为 . 12.AD 是ABC∆的中线,假设120A ∠=,2-=⋅AC AB , .13.函数()()()221211x ax x f x ax x ⎧-+≥⎪=⎨-<⎪⎩,假设存在两个不相等的实数12,x x ,使得()1f x = ()2f x ,那么实数a 的取值范围为 .14.设函数()2()1f x x x =-,记()f x 在(]0,a 上的最大值为()F a ,那么函数()()F a G a a=的最小值为__________.二、解答题:本大题一一共6小题,一共计90分,请在答题纸指定的区域内答题,解答题应写出文字说明、证明过程或者演算步骤. 15.〔此题满分是14分〕ABC ∆的面积为S ,且AB AC S ⋅=.〔1〕求tan A 的值;〔2〕假设,34B c π==,求ABC ∆的面积S .16.〔此题满分是14分〕如图,三棱柱ABC -A1B1C1中,M ,N 分别为AB ,B1C1的中点. 〔1〕求证:MN ∥平面AA1C1C ;〔2〕假设CC1=CB1,CA =CB ,平面CC1B1B ⊥平面ABC ,求证:AB ⊥平面CMN .A 1AB CB 1CM N〔第16题图〕.17.〔此题满分是14分〕某公司销售一种液态工业产品,每升产品的本钱为30元,且每卖出一升产品需向税务 部门交税a 元(常数a *∈N ,且2≤a ≤5).设每升产品的售价为x 元 (35≤x ≤41),根 据场调查,日销售量与xe (e 为自然对数的底数)成反比例.当每升产品的售价为 40元时,日销售量为10升.〔1〕求该公司的日利润y 与每升产品的售价x 的函数关系式;〔2〕当每升产品的售价为多少元时,该公司的日利润y 最大?并求出最大值(参考数据:取 4e =55,5e =148).18.〔此题满分是16分〕椭圆22:24C x y +=.求椭圆C 的离心率;设O 为原点,假设点A 在椭圆C 上,点B 在直线2y =上,且OA OB ⊥,求直线AB 与圆222x y +=的位置关系,并证明你的结论.19.〔此题满分是16分〕 等差数列{}n a ,其前n 项和为n S ,假设4224,21n n S S a a ==+.〔1〕求数列{}n a 的通项公式;〔2〕对任意*m N ∈,将数列{}n a 中落入区间()12,2m m +内的项的个数记为{}m b①求数列{}m b 的通项公式;②记2122m m m c b -=-,数列{}m c 的前m 项和为m T ,求所有使得等式1m m T t T t +-=-11t c +成立的正整数,m t .20.〔此题满分是16分〕函数32()()f x ax bx b a x =++-(a b 、是不同时为零的常数),导函数为()f x '.〔1〕当13a =时,假设存在[3,1]x ∈--,使得()0f x '>成立,求b 的取值范围;〔2〕求证:函数()y f x '=在(1,0)-内至少有一个零点;〔3〕假设函数()f x 为奇函数,且在1x =处的切线垂直于直线230x y +-=,关于x 的方程1()4f x t=-,在[1,](1)t t ->-上有且只有一个实数根,务实数t 的取值范围.1. 4 2.43-3.21 4.30 5.25 6.120度 7.3 8.e 21-9.必要不充分 10.25±11.2 12.1 13.[)+∞,0 14.1915、解:〔1〕2tan =A -------------------------------------------------------------------6分 〔2〕3=S ------------------------------------------------------------------------14分 16、证明:〔1〕取A1C1的中点P ,连接AP ,NP .因为C1N =NB1,C1P =PA1,所以NP ∥A1B1,NP =12A1B1. ……………… 2分在三棱柱ABC -A1B1C1中,A1B1∥AB ,A1B1=AB . 故NP ∥AB ,且NP =12AB .因为M 为AB 的中点,所以AM =12AB .所以NP =AM ,且NP ∥AM . 所以四边形AMNP 为平行四边形.A 1ABCB 1CM N〔第16题图〕 P所以MN ∥AP . ……………………………… 4分 因为AP ⊂平面AA1C1C ,MN ⊄平面AA1C1C ,所以MN ∥平面AA1C1C . ……………………………………… 6分 〔2〕因为CA =CB ,M 为AB 的中点,所以CM ⊥AB . …………………… 8分 因为CC1=CB1,N 为B1C1的中点,所以CN ⊥B1C1. 在三棱柱ABC -A1B1C1中,BC ∥B1C1,所以CN ⊥BC .因为平面CC1B1B ⊥平面ABC ,平面CC1B1B ∩平面ABC =BC .CN ⊂平面CC1B1B , 所以CN ⊥平面ABC . …………………………… 10分 因为AB ⊂平面ABC ,所以CN ⊥AB . …………………………… 12分 因为CM ⊂平面CMN ,CN ⊂平面CMN ,CM ∩CN =C ,所以AB ⊥平面CMN . ………………………… 14分 17、解:〔1〕设日销售量e xk p =(k 为比例系数), 因为当x =40时,p =10,所以k 4010e =, …… 2分从而4010e (30)e x x a y --=,x []35 41∈,; …… 6分 〔2〕设30x t -=,[]5 11t ∈,,那么401010e (30)10e ()=e e x t x a t a y ---=,[]5 11t ∈, 由[]1010e (1)0e xt a y --+'==,得t =a +1, …… 9分因为5≤t≤11,2≤a≤5,*a ∈N ,所以a+1=3,4,5,6, 假设a+1=3,4,5,那么0y '≤,函数在[5,11]上单调递减,所以当t =5即x =35时,5max 10(5)e 1480(5)y a a =-=-; …… 11分假设a+1=6,列表:所以当t =6即x =36时,4max 10e 550y ==,答:假设a =2,3,4,那么当每升售价为35元时,日利润最大为510(5)e a -元; 假设a =5,那么当每升售价为36元时,日利润最大为550元.…… 14分18、解:〔I 〕由题意,椭圆C 的HY 方程为22142x y +=所以224,2a b ==,从而2222c a b =-=。
河北省定州中学2017届高三数学上学期周练试题(,高补班)一、单项选择题1.函数2()log f x x =在区间[1,2]上的最小值是( )A .1-B .0C .1D .2 2.设全集U ={1,2,3,4},集合S ={1,3},T ={4},则等于( )A 、{2,4}B 、{4}C 、ΦD 、{1,3,4} 3.已知0.6log 0.5a =,ln0.5b =,0.50.6c =.则( )(A )>>a b c (B )>>a c b (C )>>c a b (D )>>c b a4.已知全集R U =,{}{}1,0)3(-<=<+=x x M x x x N ,则图中阴影部分表示的集合是( )A .{}13-<<-x x B.{}03<<-x x C.{}01<≤-x x D.{}3-<x5.已知函数()f x 是定义在区间[-2,2]上的偶函数,当[0,2]x ∈时,()f x 是减函数,如果不等式(1)()f m f m -<成立,则实数m 的取值范围( ) A.1[1,)2- B. 1,2 C. (,0)-∞ D.(,1)-∞ 6.计算662log 3log 4+的结果是( )A 、6log 2B 、2C 、6log 3D 、3 7.已知函数()⎩⎨⎧≤>=030log 2x x x x f x,,,则⎪⎪⎭⎫ ⎝⎛⎪⎭⎫ ⎝⎛41f f 的值是( ) A .91-B .9-C .91D .98.定义在R上的函数()f x对任意两个不相等实数,a b,总有()()f a f ba b->-成立,则必有()A.()f x在R上是增函数 B.()f x在R上是减函数C.函数()f x是先增加后减少 D.函数()f x是先减少后增加9.已知a=0.3,b=0.32,0.20.3c=,则a,b,c三者的大小关系是( )A.b>c>a B.b>a>c C.a>b>c D.c>b>a10.满足条件M∪{1}={1,2,3}的集合M的个数是()A.1 B.2 C.3 D.411.等差数列99637419,27,39,}{Saaaaaaan项和则前已知中=++=++的值为()A.66 B.99 C.144 D.29712.已知2log3a=,12log3b=,123c-=,则A.c b a>> B.c a b>> C.a b c>> D.a c b>>二、填空题13.设)(xf是周期为2的偶函数,当10≤≤x时, )1(2)(xxxf-=,则=-)25(f14.已知(0,)2πα∈,4cos5α=,则sin()πα-=_____________.15.已知函数()y f x=(x R∈)的图象如图所示,则不等式'()0xf x<的解集为________.16.已知函数1221,1,()log, 1.x xf xx x⎧-<⎪=⎨⎪⎩≥若关于x的方程()f x k=有三个不同的实根,则实数k的取值范围是.三、解答题17.已知定义在R 上的奇函数)(x f ,当0>x 时,x x x f 2)(2+-=(1)求函数)(x f 在R 上的解析式;(2)若函数)(x f 在区间[]2,1--a 上单调递增,求实数a 的取值范围。
某某省定州中学2017届高三数学上学期周练试题(11.11,高补班)一、单项选择题 1.由函数x y =和函数3x y =的图象围成的封闭图形的面积为()A 、121 B 、41C 、31D 、125 2.函数2()(2)f x x π=的导数是()A .()4f x x π'=B .()4f x x π''=C .2()8f x x π'= D .()16f x x π'= 3.命题00:,1p x R x ∃∈>的否定是() A .:,1p x R x ⌝∀∈≤ B .:,1p x R x ⌝∃∈≤ C .:,1p x R x ⌝∀∈< D .:,1p x R x ⌝∃∈<4.已知1|1|3)(2---=x x x x f ,则函数)(x f 的定义域为()A .[]0,3B .[)(]0,22,3 C .()(]0,22,3 D .()()0,22,35.已知集合{}{}|110,,|A x x x N B x x n A =<<∈==∈,则A B =()A .{}1,2,3B .{}|13x x <<C .{}2,3D .{|1x x << 6.()()01tan181tan 27++的值是()A .1+.2 D .()002tan18tan 27+7.N 为圆221x y +=上的一个动点,平面内动点00(,)M x y 满足01y ≥且030OMN ∠= (O 为 坐标原点),则动点M 运动的区域面积为()A.83π-B.43π-C.23πD.43π+8.ABC ∆中,5,,BC G O =分别为ABC ∆的重心和外心,且5GO BC ⋅=,则ABC ∆的形状是() A .锐角三角形 B .钝角三角形 C .直角三角形 D .上述均不是9.已知集合}013|{≥+-=x x x A ,}2log |{2<=x x B ,则=B A C )(R () A .)3,0( B .]3,0( C .]4,1[- D .)4,1[-10.设奇函数]1,1[)(-在x f 上是单调函数,且,1)1(-=-f 若函数12)(2+-≤at t x f 对所有的]1,1[-∈x 都成立,当]1,1[-∈a 时,则t 的取值X 围是()A .22≤≤-tB .t ≥2,或t ≤-2C .2,2,0t t t ≥≤-=或或D 11.正四棱锥的顶点都在同一球面上,若该棱锥的高为4,底面边长为2,则该球的表面积是() A .16π B .814π C .9π D .274π 12.已知函数()f x 是定义在R 上的偶函数, 且在区间[0,)+∞单调递增. 若实数a 满足则a 的最小值是()A .1 C .2二、填空题13.在ABC ∆中,内角C B A ,,所对的边分别为c b a ,,,已知B A 2=,ABC ∆的面积42a S =,则角A 的大小为_________14.(0,)()xxx f x e ∈+∞=当时,函数的值域为.15.点P 为双曲线22221(0,0)x y a b a b-=>>右支上的一点,其右焦点为2F ,若直线2PF ,M 为线段2PF 的中点,且22||||OF F M =,则该双曲线的离心率为.16.平行四边形ABCD 中,60,AB =若),(R AD AB AP ∈+=μλμλ,则2u + 三、解答题17.已知等差数列{}n a 满足:47a =,1019a =,其前n 项和为n S . (1)求数列{}n a 的通项公式n a 及n S ;(2)若等比数列{}n b 的前n 项和为n T ,且12b =,44b S =,求n T .18.如图1,在直角梯形ABCD 中,π122AD BC BAD AB BC AD ∠====∥,,,,E 是AD 的中点,O 是AC与BE 的交点.将ABE ∆沿BE 折起到图2中1A BE ∆的位置,得到四棱锥1A BCDE -.(Ⅰ) 证明:CD ⊥平面1A OC ;(Ⅱ) 若平面1A BE ⊥平面BCDE ,求平面1A BC 与平面1A CD 夹角(锐角)的余弦值. 19.函数()|1||2|f x x x a =+++-. (1)若5a =,求函数()f x 的定义域A ; (2)设{}|12B x x =-<<,当实数(),R a b BC A ∈时,证明:|||1|24a b ab+<+. 20.已知圆C 经过)1,1(),3,1(-B A 两点,且圆心在直线x y =上。
绵阳南山2024届补习年级十一月月考理科数学试题(答案在最后)注意事项:1.答卷前,考生务必将自己的班级、姓名、考号填写在答题卡上.2.回答选择题时,选出每小题答案后,用铅笔把答题卡上对应题目的答案标号涂黑.如需改动,用橡皮擦干净后,再选涂其它答案标号.回答非选择题时,将答案写在答题卡上.写在本试卷上无效.3.考试结束后,将答题卡交回.一、选择题:本卷共12个小题,每小题5分,共60分.在每小题给出的四个选项中,只有一项是符合题目要求的.1.已知集合{}1,0,1,2A =-,{}2xB y y ==,M A B = ,则集合M 的子集个数是()A.2B.3C.4D.8【答案】C 【解析】【分析】求出集合M ,由此可计算出集合M 的子集个数.【详解】{}{}20xB y y y y ===> ,{}1,0,1,2A =-,{}1,2M A B ∴=⋂=,因此,集合M 的子集个数是224=.故选:C.【点睛】本题考查集合子集个数的计算,一般要求出集合的元素个数,考查计算能力,属于基础题.2.抛物线24y x =的焦点坐标是()A.(0,1)B.(1,0)C.10,16⎛⎫⎪⎝⎭D.1,016⎛⎫⎪⎝⎭【答案】C 【解析】【分析】将抛物线化为标准方程可得焦点坐标.【详解】抛物线24y x =标准方程为214x y =,其焦点坐标为10,16⎛⎫⎪⎝⎭故选:C.3.已知函数()f x 的定义域为R ,则“(1)()f x f x +>恒成立”是“函数()f x 在R 上单调递增”的()A.充分而不必要条件B.必要而不充分条件C.充分必要条件D.既不充分也不必要条件【答案】B 【解析】【分析】函数()f x 为R 上增函数R x ⇒∀∈,(1)()f x f x +>,反之不成立,即可判断出结论.【详解】函数()f x 为R 上增函数R x ⇒∀∈,(1)()f x f x +>,反之不成立,例如定义()f x 在(0,1]上,()f x x =-,且在R 上满足(1)()1f x f x +=+,则有“(1)()f x f x +>”,∴“(1)()f x f x +>”是“函数()f x 为增函数”的必要不充分条件.故选:B .4.若向量,a b满足||||||a b a b +=+,则向量,a b一定满足的关系为()A.0a= B.存在实数λ,使得a bλ=C.存在实数,m n ,使得ma nb= D.||||||a b a b -=-【答案】C 【解析】【分析】对于A,B,D 通过举反例即可判断,对于C 需分a 与b 是否为0讨论即可.【详解】||||||a b a b +=+,两边同平方得222222||||a a b b a a b b +⋅+=+⋅+ ||||a b a b ∴⋅= ,||||cos ||||a b a b θ∴= ,对A ,0b = 时,a为任一向量,故A 错误,对B ,若0b = ,0a ≠时,此时不存在实数λ,使得a b λ=,故B 错误,对于C ,因为||||cos ||||a b a b θ=,当a 与b 至少一个为零向量时,此时一定存在实数m ,n ,使得ma nb = ,具体分析如下:当0a = ,0b ≠r r时,此时m 为任意实数,0n =,当0a ≠ ,0b =时,此时n 为任意实数,0m =,当0a = ,0b =时,,m n 为任意实数,当0a ≠ ,0b ≠r r 时,因为||||cos ||||a b a b θ=,则有cos 1θ=,根据[]0,θπ∈,则0θ=,此时,a b 共线,且同向,则存在实数λ使得a b λ=(0λ>),令n m λ=,其中,m n 同号,即n a b m= ,即ma nb = ,则存在实数m ,n ,使得ma nb = ,故C 正确,对于D ,当0a = ,0b ≠r r时,||||||a b a b -≠- ,故D 错误,故选:C.5.在平面直角坐标系xOy 中,若圆()()2221:14C x y r -+-=(r >0)上存在点P ,且点P 关于直线10x y +-=的对称点Q 在圆()222:49C x y ++=上,则r 的取值范围是()A.(2,+∞) B.[2,+∞) C.(2,8)D.[2,8]【答案】D 【解析】【分析】求出圆1C 关于10x y +-=对称的圆的方程,转化为此圆与()2249x y ++=有交点,再由圆心距与半径的关系列不等式组求解.【详解】()()2221:14C x y r -+-=圆心坐标()11,4C ,设()1,4关于直线10x y +-=的对称点为(),a b ,由141022411a b b a ++⎧+-=⎪⎪⎨-⎪=⎪-⎩,可得30a b =-⎧⎨=⎩,所以圆()()2221:14C x y r -+-=关于直线10x y +-=对称圆的方程为()2220:3C x y r ++=,则条件等价为:()2220:3C x y r ++=与()222:49C x y ++=有交点即可,两圆圆心为()03,0C -,()20,4C -,半径分别为r ,3,则圆心距025C C ==,则有353r r -≤≤+,由35r -≤得28r -≤≤,由35r +≥得2r ≥,综上:28r ≤≤,所以r 的取值范围是[]28,,故选:D.6.已知函数()s π3πin f x x ⎛⎫=+⎪⎝⎭,其在一个周期内的图象分别与x 轴、y 轴交于点A 、点B ,并与过点A 的直线相交于另外两点C 、D .设O 为坐标原点,则()BC BD OA +⋅=()A.118B.89C.49D.29【答案】B 【解析】【分析】根据图象结合三角函数求点,A B ,进而求,BC BD OA +uu u r uu u r uu r,即可得结果.【详解】因为()s π3πin f x x ⎛⎫=+⎪⎝⎭,可得π(0)sin 32f ==,即0,2B ⎛⎫ ⎪ ⎪⎝⎭,由图可知:点A 为减区间的对称中心,令ππ2ππ,3x k k +=+∈Z ,解得22,3x k k =+∈Z ,取0k =,则23x =,即2,03A ⎛⎫⎪⎝⎭,可得232,,,0323BA OA ⎛⎫⎛⎫=-= ⎪ ⎪ ⎪⎝⎭⎝⎭uu r uu r ,因为点A 为线段CD的中点,则42,3BC BD BA ⎛+== ⎝uu u r uu u r uu r ,所以()428339BC BD OA +⋅=⨯=uu u r uu u r uu r .7.已知过椭圆2222:1(0)x y C a b a b+=>>左焦点F且与长轴垂直的弦长为,过点()2,1P 且斜率为-1的直线与C 相交于A ,B 两点,若P 恰好是AB 的中点,则椭圆C 上一点M 到F 的距离的最大值为()A.6B.6+C.6+D.6【答案】D 【解析】【分析】利用椭圆的方程和性质及直线与椭圆位置关系即可解决.【详解】由过椭圆2222:1(0)x y C a b a b +=>>左焦点F且与长轴垂直的弦长为可得椭圆过点(c -,代入方程得222181+=c a b.设()()1122,,,,A x y B x y 则2222112222221,1,x y x y a b a b +=+=,两式作差得22221212220x x y y a b --+=,即()()()()12121212220x x x x y y y y a b -+-++=,因为P 恰好是AB 的中点,所以12124,2x x y y +=+=,又因为直线AB 斜率为-1,所以12121y y x x -=--,将它们代入上式得222a b =,则联立方程222222221812c a b a b a b c ⎧+=⎪⎪⎪=⎨⎪=+⎪⎪⎩解得66a b c ⎧=⎪=⎨⎪=⎩.所以椭圆C 上一点M 到F的距离的最大值为6+=+a c 故选:D8.若直线y x b =-+与曲线x =b 的取值范围是()A.⎡⎣B.⎡-⎣C.[1,1)-D.]{(1,1-⋃【解析】【分析】由题意作图,根据直线与圆的位置关系,可得答案.【详解】由曲线x =221x y +=,其中0x ≥,表示以原点为圆心,半径为1的右半圆,y x b =-+是倾斜角为135︒的直线,其与曲线有且只有一个公共点有两种情况:(1)直线与半圆相切,根据d r =,所以1d ==,结合图象,可得:b =;(2)直线与半圆的下半部分相交于一个交点,由图可知[1,1)b ∈-.综上可知:[1,1)b ∈-.故选:C.9.已知02αβπ<<<,函数()5sin 6f x x π⎛⎫- ⎝=⎪⎭,若()()1f f αβ==,则()cos βα-=()A.2325B.2325-C.35D.35-【答案】B 【解析】【分析】由已知条件,结合三角函数的性质可得263ππα<<,2736ππβ<<,从而利用()cos cos 66ππβαβα⎡⎤⎛⎫⎛⎫-=--- ⎪ ⎪⎢⎥⎝⎭⎝⎭⎣⎦即可求解.【详解】解:令()5sin 06f x x π⎛⎫-= ⎪⎝⎭=,02x π<<,则6x π=或76x π=,令()5sin 56f x x π⎛⎫-= ⎪⎝⎭=,02x π<<,则23x π=,又02αβπ<<<,()()1ff αβ==,所以263ππα<<,2736ππβ<<,1sin 65πα⎛⎫-= ⎪⎝⎭,1sin 65πβ⎛⎫-= ⎪⎝⎭,因为062ππα<-<,26ππβπ<-<,所以cos 65πα⎛⎫-= ⎪⎝⎭,cos 65πβ⎛⎫-=- ⎪⎝⎭,所以()cos cos cos cos sin sin 666666ππππππβαβαβαβα⎡⎤⎛⎫⎛⎫⎛⎫⎛⎫⎛⎫⎛⎫-=---=--+-- ⎪ ⎪ ⎪ ⎪ ⎪⎢⎥⎝⎭⎝⎭⎝⎭⎝⎭⎝⎭⎝⎭⎣⎦26261123555525-⨯⨯=-=+,故选:B.10.已知数列{}n a 满足12a =,26a =,且2122n n n a a a ++-+=,若[]x 表示不超过x 的最大整数(例如[]1.61=,[]1.62-=-),则222122021232022a a a ⎡⎤⎡⎤⎡⎤++⋅⋅⋅+=⎢⎥⎢⎥⎢⎥⎣⎦⎣⎦⎣⎦()A.2019B.2020C.2021D.2022【答案】D 【解析】【分析】求出()1na n n =+,()2111nn a n+=+,即得解.【详解】解:由题设知,()()2112n n n n a a a a +++---=,214a a -=,故{}1n n a a +-是首项为4,公差为2的等差数列,则122n n a a n +-=+,则11221n n n n a a a a a a ----+-+⋅⋅⋅+-()()()()1213212121n a a n n n n ⎡⎤=-=-+⋅⋅⋅++++-=+-⎣⎦,所以()1na n n =+,故()2111nn a n+=+,又*n ∈N ,当1n =时,2122a ⎡⎤=⎢⎥⎣⎦,当2n ≥时,()211n n a ⎡⎤+=⎢⎥⎢⎥⎣⎦,所以22212202123202221112022a a a ⎡⎤⎡⎤⎡⎤++⋅⋅⋅+=++++=⎢⎥⎢⎥⎢⎥⎣⎦⎣⎦⎣⎦.故选:D .11.已知双曲线()222210,0x y a b a b-=>>的左、右焦点分别为1F ,2F ,过2F 作一条直线与双曲线右支交于,A B 两点,坐标原点为O ,若OA c =,15BF a =,则该双曲线的离心率为()A.2B.2C.3D.3【答案】B 【解析】【分析】由1212OA c F F ==得1290F AF ∠=︒,由双曲线定义得23BF a =,在1AF B △中应用勾股定理得2AF a =,在12AF F △中再应用勾股定理得,a c 的关系式,求得离心率.【详解】因为1212OA c F F ==,所以1290F AF ∠=︒,又122BF BF a -=,所以23BF a =,又122AF AF a =+,由22211AF AB BF +=得22222(2)(3)(5)AF a AF a a +++=,解得2AF a =,所以由2221212AF AF F F +=,得222(2)(2)a a a c ++=,解得2c e a ==.故选:B .【点睛】关键点点睛:本题考查求双曲线的离心率,解题关键是由1212OA c F F ==得1290F AF ∠=︒,然后结合双曲线的定义在1AF B △中应用勾股定理求得2AF ,在12AF F △中应用勾股定理建立,a c 的关系.12.设0.02e 1a =-,()0.012e 1b =-,sin 0.01tan 0.01c =+,则()A.a b c >>B.a c b >>C.c a b >>D.b c a>>【答案】A 【解析】【详解】因为()20.020.010.01e 2e 1e 10a b -=-+=->,所以a b >.设()()2e 1sin tan xf x x x =---,则()f x '=212e cos cos xx x--,令()()g x f x '=,则32sin ()2e sin cos xxg x x x'=+-.当π0,6x ⎛⎫∈ ⎪⎝⎭时,2e 2x >,sin 0x >,33π2sin2sin 62πcos 9cos 6x x <=<,所以()0g x '>,所以当π0,6x ⎛⎫∈ ⎪⎝⎭时,()(0)0f x f ''>=,所以()f x 在π0,6x ⎛⎫∈ ⎪⎝⎭上单调递增,从而()(0)0f x f >=,因此(0.01)0f >,即b c >.综上可得a b c >>.故选:A【点睛】比较函数值的大小,要结合函数值的特点,选择不同的方法,本题中,,a b 可以作差进行比较大小,而,b c 的大小比较,则需要构造函数,由导函数得到其单调性,从而比较出大小,有难度,属于难题.二、填空题:本大题共4小题,每小题5分,共20分13.已知复数z 满足13i z z -=-,则z =__________.【答案】5【解析】【分析】设i z a b =+,,R a b ∈,根据复数的模及复数相等的充要条件得到方程组,解得a 、b ,即可求出z ,从而得解.【详解】设i z a b =+,,R a b ∈,则z =,因为13i z z -=-i 13i a b --=-,所以13a b -==⎪⎩,所以43a b =⎧⎨=⎩,即43i z =+,所以5z ==.故答案为:514.已知双曲线22221(0,0)x y a b a b-=>>的一个焦点在直线2y x =-上,且焦点到渐近线的距离为双曲线的方程为_______.【答案】2213y x -=【解析】【分析】根据点到直线的距离公式可得b =,由焦点在直线上可得2c =,进而可求解1a ==.【详解】由题意可得双曲线的焦点在x 轴上,又直线2y x =-与x 的交点为()2,0,所以右焦点为()2,0,故2c =,渐近线方程为b y x a=±,所以(),0cb c a b ==又1a ==,故双曲线方程为2213yx -=,故答案为:2213y x -=15.已知定义在R 上的函数()f x 满足()()2f x f x x +-=,[)12,0,x x ∀∈+∞均有()()()121212122f x f x x x x x x x -+>≠-,则不等式()()112f x f x x -->-的解集为___________.【答案】1,2⎛⎫+∞ ⎪⎝⎭【解析】【分析】构造函数()()212g x f x x =-,通过题干条件得到()g x 为奇函数,且在R 上单调递增,从而根据单调性解不等式,求出解集.【详解】因为定义在R 上的函数()f x 满足()()2f x f x x +-=,所以设()()212g x f x x =-,则()()g x g x =--,所以()()212g x f x x =-为奇函数,因为[)12,0,x x ∀∈+∞,都有()()()121212122f x f x x x x x x x -+>≠-,当12x x >时,则有()()()()1212122x x x x f x f x +-->,即()()22121222x x f x f x ->-,所以()()12g x g x >,所以()g x 在()0,∞+上单调递增,当12x x <时,则有()()22121222x x f x f x -<-,所以()()12g x g x <,所以()g x 在()0,∞+上单调递增,综上:()g x 在()0,∞+上单调递增,因为()g x 为奇函数,则()g x 在R 上单调递增,()()112f x f x x -->-变形为:()()()22111122f x x f x x ->---,即()()1g x g x >-,所以1x x >-,解得:12x >.故答案为:1,2⎛⎫+∞ ⎪⎝⎭16.已知抛物线2:8C y x =,其焦点为点F ,点P 是拋物线C 上的动点,过点F 作直线()1460m x y m ++--=的垂线,垂足为Q ,则PQ PF+的最小值为___________.【答案】5##5+【解析】【分析】通过确定直线过定点M (4,2),得到Q 在以FM 为直径的圆上,将P 到Q 的距离转化为到圆心的距离的问题,再利用抛物线的定义就可得到最小值.【详解】将已知直线(1)460+-+-=m x m y 化为()460-++-=m x x y ,当4x =时2y =,可确定直线过定点(4,2),记为M 点.∵过点F 做直线(1)460+-+-=m x m y 的垂线,垂足为Q ,∴FQ ⊥直线(1)460+-+-=m x m y ,即,90︒⊥∠=FQ MQ FQM ,故Q 点的轨迹是以FM 为直径的圆,半径r =,其圆心为FM 的中点,记为点H ,∴(3,1)H ,∵P 在抛物线2:8C y x =上,其准线为2x =-,∴PF 等于P 到准线的距离.过P 作准线的垂线,垂足为R .要使||||PF PQ +取到最小,即||||PR PQ +最小,此时R 、P 、Q 三点共线,且三点连线后直线RQ 过圆心H .如图所示,此时()min ||||5+=-=-PR PQ HR r故答案为:5三、解答题(共70分)解答应写出文字说明、证明过程或演算步骤.第17—21题为必考题,每个试题考生都必须作答.第22、23题为选考题,考生根据要求作答.(一)必考题:共60分.17.在ABC 中,角A ,B ,C 所对的边分别为a ,b ,c .已知34,cos 5a C ==.(1)求sin A 的值;(2)若11b =,求ABC 的面积.【答案】(1;(2)22.【解析】【分析】(1)先由平方关系求出sin C ,再根据正弦定理即可解出;(2)根据余弦定理的推论222cos 2a b c C ab+-=以及4a =可解出a ,即可由三角形面积公式in 12s S ab C =求出面积.【小问1详解】由于3cos 5C =,0πC <<,则4sin 5C =.因为4a =,由正弦定理知4sin A C =,则sin sin 45A C ==.【小问2详解】因为4a =,由余弦定理,得2222221612111355cos 22225a a a a b c C ab a a +--+-====,即26550a a +-=,解得5a =,而4sin 5C =,11b =,所以ABC 的面积114sin 51122225S ab C ==⨯⨯⨯=.18.已知数列{}n a 中的相邻两项21k a -,2k a 是关于x 的方程()232320k k x k x k -++⋅=的两个根,且212(1,2,3,)k k a a k -≤= .(1)求1357,,,a a a a 及2(4)n a n ≥(不必证明);(2)求数列{}n a 的前2n 项和2n S .【答案】(1)13572,,,(4)24812,2n na a a a a n ===≥==;(2)2133222n n n +++-【解析】【分析】(1)方程由因式分解可解得21,23k x x k ==,结合212(1,2,3,)k k a a k -≤= 则可求得1357,,,a a a a ,令()2132n n f n x x =-=-,设()23xg x x =-,由导数法可求得()()()40f n g n g =≥>,则有2n n a =;(2)分组求和,结合公式法求和即可【小问1详解】由题意得,()()213203,2k k x k x x x k -===-⇒,由212(1,2,3,)k k a a k -≤= ,则当1k =时,21123,2x x a ⇒===;当2k =时,21346,4x x a ⇒===;当3k =时,21589,8x x a ⇒===;当4k =时,712612,112x x a ⇒===;当k n =()4n ≥时,21,23n x x n ==,令()2132n n f n x x =-=-,设()23x g x x =-,由()()2ln 2416ln 2330x g x g '=≥=-->',故()g x 单调递增,故()()()430f n g n g =≥=>,则21x x >,∴22n n a =;【小问2详解】由(1)得122122n n nS a a a a -=++++ ()()2363222n n =+++++++ ()()21233212nn n-+=+-2133222n n n ++=+-19.已知椭圆C :()222210x y a b a b+=>>的左、右焦点分别是1F ,2F ,上、下顶点分别是1B ,2B ,离心率12e =,短轴长为.(1)求椭圆C 的标准方程;(2)过2F 的直线l 与椭圆C 交于不同的两点M ,N ,若12MN B F ⊥,试求1F MN △内切圆的面积.【答案】(1)22143x y +=;(2)36169π.【解析】【分析】(1)由题意得122c a b ⎧=⎪⎨⎪=⎩,解出即可;(2)首先算出直线l 的方程,然后和椭圆的方程联立消元,算出1F MN △的面积和周长,然后得到1F MN △内切圆的半径即可.【详解】(1)由题意得122c a b ⎧=⎪⎨⎪=⎩,又222a b c =+,解得24a =,23b =,所以椭圆C 的方程为22143x y +=.(2)由(1B ,()21,0F ,知12B F的斜率为12MN B F ⊥,故MN的斜率为3,则直线l的方程为()13y x =-,即1x =+,联立221,431,x y x ⎧+=⎪⎨⎪=+⎩可得:21390y +-=,设()11,M x y ,()22,N x y,则1213y y +=-,12913y y =-,则1F MN △的面积122413S c y y =⋅-==,由1F MN △的周长48L a ==,及12S LR =,得内切圆2613S R L ==,所以1F MN △的内切圆面积为236ππ169R =.20.已知函数()ln(1)2f x x ax =+-+.(1)若2a =,求()f x 在0x =处的切线方程;(2)当0x ≥时,()2ln(1)0f x x x x +++≥恒成立,求整数a 的最大值.【答案】(1)20x y +-=(2)4【解析】【分析】(1)利用函数解析式求切点坐标,利用导数求切线斜率,点斜式求切线方程;(2)0x =时,不等式恒成立;当0x >时,不等式等价于()()1ln 12x x a x ⎡⎤+++⎣⎦≤,设()()()1ln 12x x g x x⎡⎤+++⎣⎦=,利用导数求()g x 的最小值,可求整数a 的最大值.【小问1详解】若2a =,则()ln(1)22f x x x =+-+,()02f =,则切点坐标为()0,2,()121f x x =-+',则切线斜率()01k f '==-,所以切线方程为()20y x -=--,即20x y +-=.【小问2详解】由()2ln(1)0f x x x x +++≥,得(1)[ln(1)2]ax x x ≤+++,当0x =时,02a ⋅≤,a ∈R ;当0x >时,()()1ln 12x x a x⎡⎤+++⎣⎦≤,设()()()1ln 12x x g x x ⎡⎤+++⎣⎦=,()()22ln 1x x g x x --+'=,设()()2ln 1h x x x =--+,()01x h x x +'=>,则()h x 在()0,∞+单调递增,(3)1ln 40h =-<,(4)2ln 50h =->,所以存在0(3,4)x ∈使得()00h x =,即()002ln 1x x -=+.()00,x x ∈时,()0h x <,即()0g x '<;()0,x x ∈+∞时,()0h x >,即()0g x '>,则有()g x 在()00,x 单调递减,在()0,x +∞单调递增,()min 0()g x g x =,所以()()()()()000000001ln 121221x x x x a g x x x x ⎡⎤⎡⎤++++-+⎣⎦⎣⎦≤===+,因为0(3,4)x ∈,所以01(4,5)x +∈,所以整数a 的最大值为4.【点睛】方法点睛:不等式问题,构造一个适当的函数,利用它的单调性进行解题,是一种常用技巧.许多问题,如果运用这种思想去解决,往往能获得简洁明快的思路,有着非凡的功效.解题过程中要注意分类讨论和数形结合思想的应用.21.在平面直角坐标系xOy 中,动点G 到点()4,0F 的距离比到直线60x +=的距离小2.(1)求G 的轨迹的方程;(2)设动点G 的轨迹为曲线C ,过点F 作斜率为1k ,2k 的两条直线分别交C 于M ,N 两点和P ,Q 两点,其中122k k +=.设线段MN 和PQ 的中点分别为A ,B ,过点F 作FD AB ⊥,垂足为D .试问:是否存在定点T ,使得线段TD 的长度为定值.若存在,求出点T 的坐标及定值;若不存在,说明理由.【答案】(1)216y x=(2)存在定点(4,2)T ,使得线段TD 的长度为定值2;理由见解析【解析】【分析】(1)根据动点G 到点(4,0)F 的距离比它到直线60x +=的距离小2和抛物线的定义可知点G 的轨迹是以(4,0)F 为焦点,以直线40x +=为准线的抛物线,进而得出结果;(2)设直线方程,联立抛物线方程,求得A ,B 的坐标,从而表示出AB 的方程,说明其过定点,由FD AB ⊥可说明点D 点在一个圆上,由此可得结论.【小问1详解】由题意可得动点G 到点()4,0F 的距离比到直线60x +=的距离小2,则动点G 到点()4,0F 的距离与到直线40x +=的距离相等,故G 的轨迹是以(4,0)F 为焦点,以直线40x +=为准线的抛物线,设抛物线方程为22,(0)y px p =>,则焦准距8p =,故G 的轨迹的方程为:216y x =;【小问2详解】由题意,直线MN 的方程为1(4)y k x =-,由题意可知12120,0,k k k k ≠≠≠,由2116(4)y x y k x ⎧=⎨=-⎩,消去y 得:2222111(816)160k x k x k -++=,211256(1)0k ∆=+>,设1122(,),(,)M x y N x y ,则1212111221116168,(4)(4)x x y y k x k x k k +=++=-+-=,故21188(4,A k k +,同理可求得22288(4,B k k +,所以直线AB 的斜率21121222218888(4)(4)ABk k k k k k k k k -==++-+,故直线AB 的方程为:()()12121221211121288844442k k k k k k y x x x k k k k k k k k ⎛⎫=--+=-+=-+ ⎪+++⎝⎭,故直线AB 过定点(4,4),设该点为(4,4)E ,又因为FD AB ⊥,所以点D 在以EF 为直径的圆上,由于(4,4),(4,0)E F ,4EF ==,故以EF 为直径的圆的方程为22(4)(2)4x y -+-=,故存在定点(4,2)T ,使得线段TD 的长度为定值2.【点睛】本题考查了抛物线方程的求解以及直线和抛物线的位置关系中的定点问题,综合性较强,解答时要注意设直线方程并和抛物线方程联立,利用很与系数的关系进行化简,关键是解题思路要通畅,计算要准确,很容易出错.(二)选考题:共10分.请考生在第22、23题中任选一题做答.如果多做,则按所做的第一题记分.22.在平面直角坐标系xOy 中,直线1C 的参数方程为2cos ,sin ,x t y t αα=+⎧⎨=⎩(t 为参数,0απ<<),曲线2C 的参数方程为()1sin 2,2sin cos ,x y βββ=+⎧⎨=+⎩(β为参数),以坐标原点O 为极点,以x 轴正半轴为极轴建立极坐标系.(1)求曲线2C 的极坐标方程;(2)若点(2,0)P ,直线1C 与曲线2C 所在抛物线交于A ,B 两点,且||2||PA PB =,求直线1C 的普通方程.【答案】(1)2sin 4cos ρθθ=,[]cos 0,2ρθ∈(2)240x y +-=或240x y --=.【解析】【分析】(1)由()2sin cos 1sin 2βββ+=+将曲线2C 的参数方程化为普通方程,再根据极坐标和直角坐标的转化公式即可得出答案;(2)将直线的参数方程代入曲线2C 的普通方程,可得根与系数的关系式,结合根与系数的关系式化简可求得tan α的值,即可求出直线1C 的斜率,再由点斜式即可得出答案.【小问1详解】因为[]1sin 20,2x β=+∈,由()2sin cos 1sin 2βββ+=+,所以曲线2C 的普通方程为24y x =,[]0,2x ∈,cos x ρθ=,sin y ρθ=,所以22sin 4cos ρθρθ=,即2sin 4cos ρθθ=.所以曲线2C 的极坐标方程为2sin 4cos ρθθ=,[]cos 0,2ρθ∈.【小问2详解】设A ,B 两点对应的参数分别为12,t t ,将2cos ,sin ,x t y t αα=+⎧⎨=⎩代入24y x =得22sin 4cos 80t t αα--=,由题知2sin 0α≠,22222216cos 32sin 16(cos sin )16sin 1616sin 0αααααα∆=+=++=+>,所以1224cos sin t t αα+=,1228sin t t α-=.因为||2||PA PB =,所以122t t =,又12280sin t t α-=<,所以122t t =-,故22sin t α=±.当22sin t α=时,代入1224cos sin t t αα+=得tan 2α=-,此时1C 的普通方程为2(2)y x =--,即240x y +-=.当22sin t α=-时,代入1224cos sin t t αα+=得tan 2α=,此时1C 的普通方程为2(2)y x =-,即240x y --=,联立22404x y y x--=⎧⎨=⎩可得()2244x x -=,即2540x x -+=,解得:1x =或4x =,所以直线1C 的普通方程为240x y +-=或240x y --=.23.已知()|||2|().f x x a x x x a =-+--(1)当1a =时,求不等式()0f x <的解集;(2)若(,1)x ∈-∞时,()0f x <,求a 的取值范围.【答案】(1)(,1)-∞;(2)[1,)+∞【解析】【分析】(1)根据1a =,将原不等式化为|1||2|(1)0x x x x -+--<,分别讨论1x <,12x ≤<,2x ≥三种情况,即可求出结果;(2)分别讨论1a ≥和1a <两种情况,即可得出结果.【详解】(1)当1a =时,原不等式可化为|1||2|(1)0x x x x -+--<;当1x <时,原不等式可化为(1)(2)(1)0x x x x -+--<,即2(1)0x ->,显然成立,此时解集为(,1)-∞;当12x ≤<时,原不等式可化为(1)(2)(1)0x x x x -+--<,解得1x <,此时解集为空集;当2x ≥时,原不等式可化为(1)(2)(1)0x x x x -+--<,即2(10)x -<,显然不成立;此时解集为空集;综上,原不等式的解集为(,1)-∞;(2)当1a ≥时,因为(,1)x ∈-∞,所以由()0f x <可得()(2)()0a x x x x a -+--<,即()(1)0x a x -->,显然恒成立;所以1a ≥满足题意;当1a <时,2(),1()2()(1),x a a x f x x a x x a-≤<⎧=⎨--<⎩,因为1a x ≤<时,()0f x <显然不能成立,所以1a <不满足题意;综上,a 的取值范围是[1,)+∞.【点睛】本题主要考查含绝对值的不等式,熟记分类讨论的方法求解即可,属于常考题型.。
2021年高三(高补班)上学期周练(11.11)数学试题 含答案一、单项选择题1.由函数和函数的图象围成的封闭图形的面积为( )A 、B 、C 、D 、2.函数的导数是( )A .B .C .D .3.命题的否定是( )A .B .C .D .4.已知,则函数的定义域为( )A .B .C .D .5.已知集合{}{}|110,,|A x x x N B x x n A =<<∈==∈,则( )A .B .C .D .6.的值是( )A .B .C .2D .7.为圆上的一个动点,平面内动点满足且 (为坐标原点),则动点运动的区域面积为( )A. B. C. D.8.中,分别为的重心和外心,且,则的形状是( )A .锐角三角形B .钝角三角形C .直角三角形D .上述均不是9.已知集合,,则( )A .B .C .D .10.设奇函数上是单调函数,且若函数对所有的都成立,当时,则的取值范围是()A .B .t ≥2,或t ≤-2C .D .11.正四棱锥的顶点都在同一球面上,若该棱锥的高为4,底面边长为2,则该球的表面积是( )A .B .C .D .12.已知函数是定义在R 上的偶函数, 且在区间单调递增. 若实数满足, 则的最小值是( )A .B .1C .D .2二、填空题13. 在中,内角所对的边分别为,已知,的面积,则角的大小为_________14. .15.点P 为双曲线右支上的一点,其右焦点为,若直线的斜率为,M 为线段的中点,且,则该双曲线的离心率为 .16.平行四边形中,为平行四边形内一点,且,若,则的最大值为 .三、解答题17.已知等差数列满足:,,其前项和为.(1)求数列的通项公式及;(2)若等比数列的前项和为,且,,求.18.如图,在直角梯形中,π122AD BC BAD AB BC AD ∠====∥,,,,是的中点,是与的交点.将沿折起到图中的位置,得到四棱锥.(Ⅰ) 证明:平面;(Ⅱ) 若平面平面,求平面与平面夹角(锐角)的余弦值.19.函数.(1)若,求函数的定义域;(2)设,当实数时,证明:.20.已知圆C 经过两点,且圆心在直线上。
卜人入州八九几市潮王学校实验2021届高三数学上学期周测试题〔2〕理〔高补班〕第一卷一、选择题(本大题一一共12小题,每一小题5分,一共60分.在每一小题给出的四个选项里面,只有一项为哪一项哪一项符合题目要求的.)1.集合A={x∈N|πx<16},B={x|x2-5x+4<0},那么A∩(∁R B)的真子集的个数为()A.1B.3 C.4D.72.复数对应的点在()A.第一象限B.第二象限C.第三象限D.第四象限3.为理解学生“阳光体育〞活动的情况,随机统计了n名学生的“阳光体育〞活动时间是(单位:分钟),所得数据都在区间[10,110]内,其频率分布直方图如下列图.活动时间是在[10,35)内的频数为80,那么n 的值是()A.700 B.800 C.850 D.9004.cos70°sin50°-cos200°sin40°的值是()A.-B.- C. D.5.2016年9月3日,二十国集团(G20)工商峰会在开幕,为了欢迎二十国集团政要及各位的到来,决定举办大型歌舞晚会.现从A、B、C、D、E5名歌手中任选3人出席演唱活动,当3名歌手中有A和B时,A需排在B的前面出场(不一定相邻),那么不同的出场方法有()A.51种B.45种C.42种D.36种6.某程序框图如下列图,假设输入x的值是4,那么输出x的值是()A.13 B.14 C.15 D.167.函数f(x)=,g(x)=-f(-x),那么函数g(x)的图象是()8.如图,网格纸上小正方形的边长为1,粗实线画出的是某几何体的三视图,那么该几何体的外表积为()A.20+πB.24+πC.20+(-1)πD.24+(-1)π9.设函数f(x)=A sin(ωx+φ)(A>0,ω>0,|φ|<)与直线y=3的交点的横坐标构成以π为公差的等差数列,且x=是f(x)图象的一条对称轴,那么以下区间中是函数f(x)的单调递减区间的是()A. B.C. D.10.设P是不等式组表示的平面区域内的任意一点,向量m=(1,1),n=(2,1),假设=λm+μn(λ、μ为实数),那么λ-μ的最大值为()A.4 B.3 C.-1 D.-211.抛物线y2=8x的焦点为F,设A(x1,y1),B(x2,y2)是抛物线上的两个动点,假设x1+x2+4=|AB|,那么∠AFB的最大值为()A. B. C. D.12.定义在R上的偶函数f(x)满足f(2-x)=f(x),且当x∈[1,2]时,f(x)=ln x-x+1,假设函数g(x)=f(x)+mx有7个零点,那么实数m的取值范围为()A.∪B.C.D.第二卷二、填空题(本大题一一共4小题,每一小题5分,一共20分.把答案填在题中横线上)13.向量a=(1,-1),b=(t,1),假设(a+b)∥(a-b),那么实数t=________.14.双曲线M:-=1(a>0,b>0)的右焦点为F,过点F且垂直于x轴的直线与双曲线M交于A,B两点,与双曲线M的两条渐近线交于C,D两点.假设|AB|=|CD|,那么双曲线M的离心率是________.15.△ABC的三个内角A,B,C的对边分别为a,b,c,面积为S,且满足4S=a2-(b-c)2,b+c=8,那么S的最大值为________.16.洛萨·科拉茨是德国数学家,他在1937年提出了一个著名的猜想:任给一个正整数n,假设n是偶数,就将它减半(即);假设n是奇数,那么将它乘3加1(即3nn(首项)按照上述规那么施行变换后的第7项为2(注:1和2可以屡次出现),那么n的所有可能取值为________.三、解答题(一共70分.解容许写出文字说明、证明过程或者演算步骤.第17~21题为必考题,每个试题考生都必须答题.第22、23题为选考题,考生根据要求答题.)(一)必考题:一共60分.17.(本小题总分值是12分)数列{a n}的前n项和S n满足S n=2a n-a1,且a1,a2+1,a3成等差数列.(1)求数列{a n}的通项公式;(2)设b n=,求数列{b n}的前n项和T n.18.(本小题总分值是12分)以下列图是某11月1日至14日的空气质量指数趋势图,空气质量指数(AQI)小于100表示空气质量优良,空气质量指数大于200表示空气重度污染,某人随机选择11月1日至11月12日中的某一天到达该,并停留3天.(1)求此人到达当日空气重度污染的概率;(2)设ζ是此人停留期间空气重度污染的天数,求ζ的分布列与数学期望.19.(本小题总分值是12分)如图,在四棱锥SABCD中,AB∥CD,BC⊥CD,侧面SAB为等边三角形,AB =BC=2,CD=SD=1.(1)证明:SD⊥平面SAB;(2)求AB与平面SBC所成角的正弦值.20.(本小题总分值是12分)椭圆C:+=1(a>b>0)的离心率为,且与直线y=x+2相切.(1)求椭圆C的方程;(2)设点A(2,0),动点B在y轴上,动点P在椭圆C上,且P在y轴的右侧,假设|BA|=|BP|,求四边形OPAB(O为坐标原点)面积的最小值.21.(本小题总分值是12分)函数f(x)=x ln x.(1)求函数f(x)的最值;(2)假设k∈Z,且k<对于任意的x>1恒成立,试求k的最大值;(3)假设方程f(x)+x2=mx2在区间[1,e2]内有唯一实数解,务实数m的取值范围.(二)选考题:一共10分.请考生在第22、23题中任选一题答题.假设多做,那么按所做的第一题计分.22.(本小题总分值是10分)选修4-4:坐标系与参数方程在平面直角坐标系xOy中,曲线C1过点P(a,1),其参数方程为(t为参数,a∈R).以O为极点,x轴非负半轴为极轴,建立极坐标系,曲线C2的极坐标方程为ρcos2θ+4cosθ-ρ=0.(1)求曲线C1的普通方程和曲线C2的直角坐标方程;(2)曲线C1与曲线C2交于A,B两点,且|PA|=2|PB|,务实数a的值.23.(本小题总分值是10分)选修4-5:不等式选讲函数f(x)=|2x-a|+|x-1|,a∈R.(1)假设不等式f(x)≤2-|x-1|有解,务实数a的取值范围;(2)当a<2时,函数f(x)的最小值为3,务实数a的值.BCBDACDDDADA13.-114.15.816.2316202112817.解:(1)∵S n=2a n-a1,∴当n≥2时,S n-1=2a n-1-a1,(1分)∴a n=2a n-2a n-1,化为a n=2a n-1.(2分)由a1,a2+1,a3成等差数列得,2(a2+1)=a1+a3,(3分)∴2(2a1+1)=a1+4a1,解得a1=2.(4分)∴数列{a n}是等比数列,首项为2,公比为2.∴a n=2n.(6分)(2)∵a n+1=2n+1,∴S n==2n+1-2,S n+1=2n+2-2.(8分)∴b n===.(10分)∴数列{b n}的前n项和T n==.(12分)18.解:设A i表示事件“此人于11月i日到达该〞(i=1,2,…,12).依题意知,P(A i)=,且A i∩A j=∅(i≠j).(2分)(1)设B为事件“此人到达当日空气重度污染〞,那么B=A1∪A2∪A3∪A7∪A12,所以P(B)=P(A1∪A2∪A3∪A7∪A12)=P(A1)+P(A2)+P(A3)+P(A7)+P(A12)=.即此人到达当日空气重度污染的概率为.(5分)(2)由题意可知,ζ的所有可能取值为0,1,2,3,(6分)P(ζ=0)=P(A4∪A8∪A9)=P(A4)+P(A8)+P(A9)==,(7分)P(ζ=2)=P(A2∪A11)=P(A2)+P(A11)==,(8分)P(ζ=3)=P(A1∪A12)=P(A1)+P(A12)==,(9分)P(ζ=1)=1-P(ζ=0)-P(ζ=2)-P(ζ=3)=1---=,(10分)(或者P(ζ=1)=P(A3∪A5∪A6∪A7∪A10)=P(A3)+P(A5)+P(A6)+P(A7)+P(A10)=)所以ζ的分布列为ζ012 3P(11分)故ζ的期望E(ζ)=0×+1×+2×+3×=.(12分)19.解:(1)以C为坐标原点,射线CD为x轴正半轴,建立如下列图的空间直角坐标系Cxyz,那么D(1,0,0),A(2,2,0),B(0,2,0).(2分)设S(x,y,z),那么x>0,y>0,z>0,且=(x-2,y-2,z),=(x,y-2,z),=(x-1,y,z).由||=||,得=,解得x=1.由||=1,得y2+z2=1.①由||=2,得y2+z2-4y+1=0.②(4分)由①②,解得y=,z=.∴S,=,=,=,∴·=0,·=0,∴DS⊥AS,DS⊥BS,且AS∩BS=S,∴SD⊥平面SAB.(6分)(2)设平面SBC的法向量为n=(x1,y1,z1),那么n⊥,n⊥,∴n·=0,n·=0.又=,=(0,2,0),(8分)∴,取z1=2,得n=(-,0,2).(10分)∵=(-2,0,0),∴cos〈,n〉===.故AB与平面SBC所成角的正弦值为.(12分)20.解:(1)由题意知,离心率e==,所以c=a,b=a,所以x2+3y2=a2,将y=x+2代入得4x2+12x +12-a2=0,由Δ=122-4×4×(12-a2)=0,得a=,b=1,所以椭圆C的方程为+y2=1.(5分)(2)设线段AP的中点为D,因为|BA|=|BP|,所以BD⊥AP,由题意得直线BD的斜率存在且不为零,设P(x0,y0)(0<x0<y0≠0),那么点D的坐标为,直线AP的斜率k AP=,所以直线BD的斜率为-=,所以直线BD的方程为y-=.(8分)令x=0,得y=,那么B,(9分)由+y20=1,得x20=3-3y20,所以B,所以四边形OPAB的面积为S四边形OPAB=S△OPA+S△OAB=×2×|y0|+×2×||=|y0|+||=2|y0|+≥2=2,当且仅当2|y0|=,即y0=±时,等号成立,所以四边形OPAB面积的最小值为2.(12分)21.解:(1)函数f(x)=x ln x的定义域为(0,+∞),f′(x)=ln x+x·=1+ln x.(1分)令f′(x)>0,那么x>;令f′(x)<0,那么0<x<,∴f(x)在上单调递减,在上单调递增,(3分)∴函数f(x)极小值=f=-,无极大值.故f(x)的最小值为-,无最大值.(4分)(2)令F(x)==,那么F′(x)=.(5分)设h(x)=x-2-ln x,那么h′(x)=1-,∴h(x)在(1,+∞)上单调递增.∵h(3)=1-ln3<0,h(4)=2-ln4>0,∴存在x0∈(3,4),使h(x0)=0,即x0-2-ln x0=0,∴ln x0=x0-2,当x∈(1,x0)时,h(x)<0,F′(x)<0,∴F(x)在(1,x0)上单调递减;当x∈(x0,+∞)时,h(x)>0,F′(x)>0,∴F(x)在(x0,+∞)上单调递增.(7分)∴函数F(x)的最小值为F(x0)===x0.∵x0∈(3,4),∴k的最大值为3.(8分)(3)由题意知x ln x+x2=mx2在区间[1,e2]上有唯一实数解,也即m=1+有唯一解.令g(x)=1+,那么g′(x)=.(9分)令g′(x)>0,那么0<x<e;令g′(x)<0,那么x>e,∴函数g(x)在[1,e)上单调递增,在(e,e2]上单调递减,(10分)g(1)=1+=1,g(e2)=1+=1+,g(e)=1+=1+.根据函数的图象可知,m=1+或者1≤m<1+.(12分)22.解:(1)∵曲线C1的参数方程为,∴其普通方程为x-y-a+1=0.(2分)∵曲线C2的极坐标方程为ρcos2θ+4cosθ-ρ=0,∴ρ2cos2θ+4ρcosθ-ρ2=0,∴x2+4x-x2-y2=0,即曲线C2的直角坐标方程为y2=4x.(5分)(2)设A,B两点所对应的参数分别为t1,t2,由,得2t2-2t+1-4a=0.Δ=(2)2-4×2(1-4a)>0,即a>0,由根与系数的关系得可知|PA|=2|t1|,|PB|=2|t2|,又|PA|=2|PB|可得2|t1|=2×2|t2|,即t1=2t2或者t1=-2t2.(7分)∴当t1=2t2时,有,解得a=>0,符合题意.(8分)当t1=-2t2时,有,解得a=>0,符合题意.(9分)综上所述,实数a的值是或者.(10分)23.解:(1)由题f(x)≤2-|x-1|,可得|x-|+|x-1|≤1.而由绝对值的几何意义知|x-|+|x-1|≥|-1|,(2分)由不等式f(x)≤2-|x-1|有解,得|-1|≤1,即0≤aa的取值范围是[0,4].(5分)(2)函数f(x)=|2x-a|+|x-1|,当a<2,即<1时,f(x)=.(7分)所以f(x)min=f=-+1=3,得a=-4<2(符合题意),故a=-4.(10分)。
实验2021届高三数学上学期周测一 文〔高补班〕一、选择题.在每一小题给出的四个选项里面,只有一项符合题目要求.1. R 为实数集,集合{(2)(4)0},{|lg(2)}A x x x B x y x =+-<==-,那么()R A C B =〔 〕A.(2,4)B.(2,4)-C.(2,2)-D.(2,2]- 2.i 为虚数单位,复数(2)1i z i +=-,那么复数z 对应的点位于〔 〕3. 一栋商品大楼有7层高,甲乙两人同时从一楼进入了电梯,假设每一个人自第二层开场在每一层分开电梯是等可能的,那么甲乙两人在不同层分开电梯的概率为〔 〕 A.16B.136 C. 56 D. 5364. 数列{a n }满足112n n a a +=, 142a a +=,那么58a a +=〔 〕 A.116 B. 16 C.32 D. 13222221x y a b-=的渐近线与圆22(1)1x y +-=相交于A,B两点,AB 为〔 〕 A. 26. 某几何体的三视图如下图,那么该几何体的外表积为〔 〕22 C. 32π+侧视图2 1 1正视图俯视图DABC FE7.某程序框图如下图,假设该程序运行后输出的值是80,那么判断框中应该填( ) A .8?n ≤ B .8?n > C .7?n ≤D .7?n >8.如下图,在正方形ABCD 中,AB=2,E 为BC 的中点,F 为AE 的中点,那么D D E F •= A .12 B . 52 C .72 D .1149. 实数,,a b c 满足133log ,aa = 31()log ,3b b = 231()3c c -=,那么,,a b c 的大小关系是A. ,a c b >>B. c a b >>C. b a c >>D. ,c b a >>10. 将函数f(x)=sin2x+cos2x (x ∈R)的图象向左平移(0)2πϕϕ<<个单位长度后得到()g x 图象,假设()g x 在5(,)4ππ上单调递减,那么ϕ的取值范围为( ) A. 3(,)88ππ B .(,)42ππ C. 3[,]88ππD .[,)42ππ()f x 满足/()()f x f x >-,那么关于m 的不等式13(21)(2)0m f m f m e -+-->的解集是 A.1(,)3+∞ B. 1(0,)3 C. 1(,)3-∞ D. 11(,)23- 12. 函数()2ln ,0143,1x x f x x x x -<≤⎧=⎨-+->⎩,假设0a b c <<<,且()()()f a f b f c ==,那么()()a bf b cf c ++的取值范围为A. 1(,4)e -∞+ B. 1(1,4)e + C. 1(1,4]e+ D. 1[4,)e ++∞二.填空题.13. 在等差数列{}n a 中,n S 是表示数列{}n a 的前n 项和,293,81a S ==,那么8a =14. f (x )为偶函数,当x ≤0时,1()2x f x ex --=+,那么曲线y =f (x )在点 (1,-1)处的切线方程是________.15. 正三棱柱ABC-A 1B 1C 1中,且2AB =,直线1A B 与平面11B BCC 所成角为030,那么此三棱柱的外接球的外表积为16. 点(4,0)A ,(2,2)B 是椭圆221259x y +=内的两个点,点M 是椭圆上的动点,那么MA MB+的取值范围为三.解答题:解容许写出文字说明,证明过程或者演算步骤。
2021年高三(高补班)上学期周练(11.4)数学试题含答案一、单项选择题1.已知中心在原点,焦点在轴上的双曲线的离心率,其焦点到渐近线的距离为1,则此双曲线的方程为( )A. B.C. D.2.已知二次函数的图象如图所示,则其导函数的图象大致形状是()3.某程序框图如图所示,则输出的S= ()否S =1, k =1开始结束k>3输出S是k = k +1S =2S + kA.120 B. 57 C.56 D. 264.如图,半径为R的圆C中,已知弦AB的长为5,则=( )A. B. C. D.5.如图,在长方体中,分别是棱上的点(点与不重合),且,过的平面与棱,相交,交点分别为.设,.在长方体内随机选取一点,则该点取自于几何体内的概率为( )A. B. C. D.6.若平面向量与的夹角是,且,则( ).A. B.C. D.7.函数的零点所在区间为A. B. C. D.8.已知不等式的解集为,则不等式的解集为()A. B. C. D.9.参数方程(t为参数)表示什么曲线()A.一条直线 B.一个半圆 C.一条射线 D.一个圆10.把一枚硬币连续抛两次,记“第一次出现正面”为事件,“第二次出现正面”为事件,则()A. B. C. D.11.数列的通项公式为,其前项和为,则()A.1008 B.-1008 C.-1 D.012.在中, 已知向量, ,则的值为( )A. B. C. D.二、填空题13.若,则实数的值为;14.对于函数,有下列4个结论:①任取,都有恒成立;②,对于一切恒成立;③函数有个零点;④对任意,不等式恒成立.则其中所有正确结论的序号是 .15.函数的单调递减区间为.16.已知椭圆的左,右焦点分别为,点是椭圆上异于长轴端点的任意一点,若是线段上一点,且满足,则椭圆离心率的取值范围为______________.三、解答题17.已知三个集合:,,,同时满足以下三个条件:甲:为小于6的正整数;乙:A是B成立的充分不必要条件;丙:A是C成立的必要不充分条件,试确定数。
卜人入州八九几市潮王学校实验2021届高三数学上学期周测十二文〔高补班〕一、选择题.在每一小题给出的四个选项里面,只有一项符合题目要求.1.设全集U 是实数集R ,{}{}2=log1,13M x x N x x >=<<,那么〔C U M〕N =()A .{}23x x <<B .{}3x x <C .{}12x x <≤D .{}2x x ≤2.复数z 满足23i i z +=〔其中i 是虚数单位〕,那么z 的虚部为〔〕A .2B .3-C .3D .2-3.在ABC ∆中,AB =1AC =,30B ∠=,那么A ∠=〔〕A .60︒B .︒︒9030或C .60120︒︒或D .︒904.设平面向量()2,1a=-,(),2b λ=,假设a 与b 的夹角为锐角,那么λ的取值范围是〔〕A .()(),44,1-∞--B .()1,22,2⎛⎫-+∞ ⎪⎝⎭C .()1,+∞D .(),1-∞5.假设0a >,0b >,那么“8a b +≤〞是“16ab ≤〞的〔〕.A .必要不充分条件B .充分不必要条件C .充分必要条件D .既不充分也不必要条件6.设3log 0.4a=,2log 3b =,那么〔〕A .0ab >且0a b +>B .0ab <且0a b +>C .0ab >且0a b +<D .0ab <且0a b +<7.函数()21010x x f x x ⎧+≤=⎨>⎩,,,假设()()423f x f x ->-,那么实数x 的取值范围是〔〕A .()1,-+∞ B .()1-∞-,C .()14-,D .()1-∞,8.设等差数列{}n a 前n 项和为n S ,假设452a S +=,714S =,那么10a =〔〕A .18B .16C .14D .129.某几何体的三视图如下列图,那么该几何体的体积为〔〕A .76π B .43πC .2πD .136π10.函数2()1sin 1xf x x e ⎛⎫=- ⎪+⎝⎭图象的大致形状是〔〕 A . B .C . D .11.己知点A 是抛物线24x y =的对称轴与准线的交点,点B 为抛物线的焦点,P 在抛物线上且满足PA m PB=,当m 取最大值时,点P 恰好在以B A 、为焦点的双曲线上,那么双曲线的离心率为〔〕A .21+B .212+ C .512- D .51-12.假设存在唯一的正整数0x ,使得不等式20x xax a e-->恒成立,那么实数a 的取值范围是〔〕 A .240,3e ⎛⎫ ⎪⎝⎭B .241,3e e ⎛⎫⎪⎝⎭ C .10,e ⎛⎫ ⎪⎝⎭D .241,3e e ⎡⎫⎪⎢⎣⎭ 二、填空题,此题4个小题,每一小题5分,一共20分。
卜人入州八九几市潮王学校实验2021届高三数学上学期周测试题〔9〕文〔高补班〕考试时间是是:2026使用班级:1-8班一、选择题〔本大题一一共12小题,每一小题5分,一共60分,在每一小题给出的四个选项里面,只有 一项为哪一项哪一项符合题目要求的〕 1.集合A={}2430x xx -+≥,B={}22x x -≤≤,那么AB =()A.[2,3]B.[-2,1]C.[1,2]D.[-2,3]2.复数Z 满足Z()12i i +=+〔i 为虚数单位〕,那么复数Z 的虚部为〔〕 A.12-B.12C.12i -D.12i 3.设实数123151log 5,log ,43a b c -===,那么〔〕 A.b c a >> B.a c b >> C.a b c >> D.b a c >>4.以下〕A.2:,11p x R x ∀∈-≤,那么200:,11P x R x ⌝∃∈-≤.αβγ,,,满足γβγα⊥⊥,那么αβ∥C.(1)10xx e -+=,那么0x =0x ≠,那么(1)10x x e -+≠〞D.“p q ∨为真〞是“p q ∧为真〞的充分不必要条件5.两个向量a b ,满足273a ab a b b π-===1,,且与的夹角为,则()A.1B.3356.中国古代数学著作算法统宗中记载了这样的一个问题“三百七十八里关,初行健步不为难,次日脚痛减一半,六朝才得到其关,要见次日行里数,请公仔细算相还〞,其大意为:有一个人走了378里路,第一天健步行走,从第二天起,因脚痛每天走的路程为前一天的一半,走了6天后到达目的地,问此人前三天一共走了〔〕B.189里C.288里7.某几何体的三视图如右图:其中俯视图是等边三角形,正视图是直角 三角形,那么这个几何体的体积等于〔〕A.B.8.函数3sin 2xy x =的图象可能是〔〕ABCD 9.曲线11(01)x y a a a -=+>≠且过定点),b k (,假设b n m =+且0,0>>n m ,那么41m n+ 的最小值为〔〕 A.29 B.9 C.5 D.25 10.函数()()2cos 042x f x x πωωω⎛⎫=--> ⎪⎝⎭在区间0,2π⎡⎤⎢⎥⎣⎦上单调递减,那么ω的最大值为〔〕A.1B.65 C .43D.3211.等腰直角三角形ABC中,,2C CA π∠==,D 为AB 的中点,将它沿CD 翻折,使点A 与点B间的间隔为,此时三棱锥C —ABD 的外接球的外表积为〔〕A.5πB. C.3πD.12π12.定义在R 上的可导函数()f x 的导函数为()f x ',满足()()(1)f x f x y f x '>=+且是偶函数,2(0)2f e =,那么不等式()2x f x e <的解集为〔〕A.(,2)-∞B.(,0)-∞C.(0,)+∞D.(2,)+∞二、填空题〔本大题一一共4小题,每一小题5分,一共20分〕13.设2(0)()ln (0)x x f x x x ⎧≤=⎨>⎩,那么1(())f f e -=.14.动点()201,0,230x y y P x y y x x y -≥⎧+⎪≥⎨+⎪+-≤⎩满足则的取值范围是.15.点(,2)(0)p m m m ≠是角α终边上任一点,2sin 2cos αα-=则16.设正项等差数列{}n a 的前n 项和为n S ,2a 和1n a -是函数21()ln 42f x x x nx =+-的极值点,那么数列{}(1)nnS -的前2n 项和为。
2021年高三(高补班)上学期周练(11.25)数学试题含答案一、单项选择题1.设有一个回归方程为,则变量增加一个单位时()A.平均减少2.5个单位 B.平均增加2.5个单位C.平均增加2个单位 D.平均减少2个单位2.函数的定义域为()(A)(B)(C)(D)3.已知复数满足,则()A. B. C. D.4.已知数列{a n}满足a1=1,,则254是该数列的()A.第14项 B.第12项 C.第10项 D.第8项5.自然数按照下表的规律排列,则上起第xx行,左起第xx列的数为( )A. B.C. D.6.设全集,函数的定义域为,集合,则的元素个数为()A.1 B.2 C.3 D.47.已知复数,且有,则()A.5 B. C.3 D.8.设实数列和分别是等差数列与等比数列,且,,则以下结论正确的是()9.集合{}{}2,1,0,1,2,|21,x A B x x N +=--=>∈则( ) A . B . C . D .10.一个几何体的三视图如图所示,其中正视图和侧视图是腰长为1的两个等腰直角三角形,则该几何体外接球的体积为( )A .B .C .D .311.如下图所示的程序框图,若输入,则输出的( )A .13B .11C .9D .5 12.已知函数,,若成立,则的最小值为二、填空题13.已知一组数据的方差为,则数据的方差是.14.曲线在点处的切线方程为.15.已知实数满足则点构成的区域的面积为,的最大值为16.下列命题中:①若集合中只有一个元素,则;②已知函数的定义域为,则函数的定义域为;③函数在上是增函数;④方程的实根的个数是2.所有正确命题的序号是(请将所有正确命题的序号都填上)三、解答题17.如图,直三棱柱ABC﹣A1B1C1中,D,E分别是AB,BB1的中点.(1)证明BC1∥平面A1CD(2)设AA1=AC=CB=2,AB=2,求三棱锥C﹣A1DE的体积.18.设平面三点.(1)试求向量的模;(2)试求向量与夹角的余弦值;(3)试求与垂直的单位向量的坐标.19.设函数.(1)讨论的单调性和极值;(2)证明:当时,若存在零点,则在区间上仅有一个零点.20.某位同学为了研究气温对饮料销售的影响,经过对某小卖部的统计,得到一个卖出的某种饮料杯数与当天气温的对比表.他分别记录了3月21日至3月25日的白天平均气温()与该小卖部的这种饮料销量(杯),得到如下数据:日期3月21日3月22日3月23日3月24日3月25日平均气温810141112销量(杯)2125352628(1)若先从这五组数据中任取2组,求取出的2组数据恰好是相邻2天数据的概率;(2)请根据所给五组数据,求出关于的线回归方程;(3)根据(2)中所得的线性回归方程,若天气预报3月26日的白天平均气温7(),请预测该小卖部这种饮料的销量.(参考公式:)21.已知椭圆的右焦点为F2(1,0),点在椭圆上.(1)求椭圆方程;(2)点在圆上,M在第一象限,过M作圆的切线交椭圆于P、Q两点,问|F2P|+|F2Q|+|PQ|是否为定值?如果是,求出定值,如不是,说明理由.22.关于的方程有两个相等的实数根.(1)求实数的取值范围;(2)若,求的值.参考答案ACAAC CBBCA11.A12.B13.14.15.8,1116.③④.17.(Ⅰ)连接AC1交A1C于点F,则DF为三角形ABC1的中位线,故DF∥BC1.再根据直线和平面平行的判定定理证得BC1∥平面A1CD.(Ⅱ)由题意可得此直三棱柱的底面ABC为等腰直角三角形,由D为AB的中点可得CD⊥平面ABB1A1.求得CD的值,利用勾股定理求得A1D、DE和A1E的值,可得A1D⊥DE.进而求得S△A1DE的值,再根据三棱锥C-A1DE的体积为•S△A1DE•CD,运算求得结果试题解析:(1)证明:连结AC1交A1C于点F,则F为AC1中点又D是AB中点,连结DF,则BC1∥DF. 3分因为DF⊂平面A1CD,BC1不包含于平面A1CD, 4分所以BC1∥平面A1CD. 5分(2)解:因为ABC﹣A1B1C1是直三棱柱,所以AA1⊥CD.由已知AC=CB,D为AB的中点,所以CD⊥AB.又AA1∩AB=A,于是CD⊥平面ABB1A1. 8分由AA1=AC=CB=2,得∠ACB=90°,,,,A1E=3,故A1D2+DE2=A1E2,即DE⊥A1D 10分所以三菱锥C﹣A1DE的体积为:==1. 12分18.(1);(2);(3)或解:(1)依题意,,∴,∴.(2)∵,,,所以131322624||||,cos =⋅=>=<AC AB AC AB AC AB .(3)设与垂直的单位向量,,则 ,解得或,∴所求单位向量或.19.(1)①当时,在上单调递增,无极值,②当时的单调递减区间是,单调递增区间是,在处取得极小值;(2)证明见解析. (1)的定义域为, ,①当时,,在上单调递增,无极值, ②当,由,解得, 与在区间上的情况如下:所以,的单调递减区间是,单调递增区间是; 所以在处取得极小值.(2)由(1)知,在区间上的最小值为. 因为存在零点,所以,从而. 当时,在区间上单调递减,且, 所以是在区间上的唯一零点. 当时,在区间上单调递减,且,, 所以在区间上仅有一个零点.综上可知,当时,若存在零点,则在区间上仅有一个零点. 20.(1);(2);(3).(1)设“选取的2组数据恰好是相邻2天数据”为事件, 所以.(2)由数据,求得810141112212535262811,2755x y ++++++++====由公式,求得,∴关于的线性回归方程为. (3)当时,,所以该小卖部这种饮料的销量大约为18杯. 21.解:(1)右焦点为, 左焦点为,点在椭圆上1224a HF HF =+==,所以椭圆方程为 (2)设 ,()()212121212122)4(41)41(311-=-+-=+-=x x x y x PF连接OM ,OP ,由相切条件知1212121212122221413)41(33||||x PM x x x y x OM OP PM=∴=--+=-+=-=同理可求 所以为定值.22.解:(1)关于的方程有两个相等的实数根, 所以,则.因为,所以.即所求实数的取值范围为.(2)21sin 2cos 22sin 2sin cos sin 1tan 1cos αααααααα+-+=++2sin cos (sin cos )2sin cos sin cos αααααααα+==+当时,则, 平方得,∴,即.36427 8E4B 蹋 35003 88BB 袻 !39022 986E 顮038129 94F1 铱32855 8057 聗D 931069 795D 祝]D。
实验2021届高三数学上学期周测试题〔11〕理〔高补班〕制卷人:歐陽文化、歐陽理複;制卷時間:二O二二年二月七日考试时间是是:120分钟〔2021.1.7〕一、选择题〔本大题一一共12小题,一共分〕1.集合,集合,那么A. B. C. D.2.复数z满足,那么A. 12B. 1C.D.3.x,y满足约束条件,那么的最小值为A. 8B. 7C. 6D. 54.为等差数列的前n项和,假设,,那么数列的公差A. 4B. 3C. 2D. 15.在长为2的木棍上随机选择一点切断为两根,它们可以与另一根长为1的木棍组成三角形的概率为A. B. C. D.6.某几何体的三视图如下图,那么其体积为A. B.C. D.〔第6题图〕7.阅读如下图的程序框图,假设输入的,那么输出的a的值是A. 2B. 1C. D.8.记为数列的前n项和;和为常数均为等比数列,那么k的值可能为A. B.C. D.9.有m位同学按照身高由低到高站成一列,如今需要在该队列中插入另外n位同学,但是不能改变本来的m位同学的顺序,那么所有排列的种数为A. B. C. D.10.设双曲线C:的右焦点为F,O为坐标原点,假设双曲线及其渐近线上各存在一点使得四边形OPFQ为矩形,那么其离心率为A. B. 2 C. D.11.在正方体中,点P,Q,R分别在棱AB,,上,且,,其中,假设平面PQR与线段的交点为N,那么A. B. C. D.12.函数,方程对于任意都有9个不等实根,那么实数a的取值范围为A. B. C. D.二、填空题〔本大题一一共4小题,一共分〕13.且,那么______.14.动点P在函数的图象上,以点P为圆心作圆与y轴相切,那么该圆过定点______.15.点A,B,C均位于同一单位圆O上,且,假设,那么的取值范围为______.16.假设函数的图象存在经过原点的对称轴,那么称为“旋转对称函数〞,以下函数中是“旋转对称函数〞的有______填写上所有正确结论的序号;;三、解答题〔本大题一一共7小题,一共70分〕17.在中,内角A,B,C所对的边分别为a,b,c,的面积.求A;作角B的平分线交边于点O,记和的面积分别为,,求的取值范围.18.某兴趣小组在科学馆的帕斯卡三角仪器前进展探究实验,如下图,每次使一个实心小球从帕斯卡三角仪器的顶点人口落下,当它在依次碰到每层的菱形挡板时,会等可能地向左或者者向右落下,在最底层的7个出口处各放置一个容器接住小球.该小组连续进展200次试验,并统计容器中的小球个数得到如下的柱状图.Ⅰ用该实验来估测小球落入4号容器的概率,假设估测结果的误差小于,那么称该实验是成功的.试问:该兴趣小组进展的实验是否成功?误差Ⅱ再取3个小球进展试验,设其中落入4号容器的小球个数为X,求X的分布列与数学期望.计算时采用概率的理论值19.如下图的三棱柱中,平面ABC,,,的重点为O,假设线段上存在点P使得平面C.Ⅰ求AB;Ⅱ求二面角的余弦值.20.椭圆的离心率为且四个顶点构成面积为的菱形.Ⅰ求椭圆的HY方程;Ⅱ过点且斜率不为0的直线l与椭圆交于M,N两点,记MN中点为B,坐标原点为O,直线BO交椭圆于P,Q两点,当四边形MPMQ的面积为时,求直线l的方程.21、函数.Ⅰ当时,求的最小值;Ⅱ假设在区间有两个极点,,务实数a的取值范围;求证:.〔二〕选考题:一共10分.请考生在第22、23题中选一题答题。
2021年高三(高补班)上学期周练(12.30)数学试题含答案一、单项选择题1.若集合,则()A. B. C. D.2.设,,(),则,,的大小关系是()A. B.C. D.3.复数的实部与虚部之和为()A.-3 B.-11C.6 D.44.已知集合A={﹣1,0,1},B={0, 1,2},则A∩B()A.{﹣1,0,1,2} B.{1,2} C.{0,1} D.{﹣1,1}5.有三个命题:①垂直于同一个平面的两条直线平行;②∀x∈R,x4>x2;③命题“所有能被2整除的整数都是偶数”的否定..是:所有能被2整除的整数都不是偶数.其中正确命题的个数为()(A)0 (B)1 (C)2 (D)36.若直线过点(1,1)且与两坐标轴所围成的三角形的面积为2,则这样的直线有()A.1条 B.2条 C.3条 D.4条7.(2011•南昌三模)如图,水平放置的三棱柱的侧棱长和底面边长均为2,且侧棱AA1⊥底面A1B1C1,主视图是边长为2的正方形,该三棱柱的左视图面积为()A.4 B. C. D.8.已知函数,则下面结论正确的是()A.函数的对称轴为B.函数的对称轴为C.函数的对称中心为D.函数的对称中心为9.设则的大小关系是()A. B. C. D.10.设是两个非零向量,若命题,命题:夹角是锐角,则命题是命题成立的()A.充分不必要条件B.必要不充分条件C.充要条件D.即不充分也不必要条11.一个几何体的三视图如图所示(单位:),则该几何体的体积为()A. B. C. D.12.已知,向量与的夹角为,则等于()A.B.C.2 D.4二、填空题13.已知定义在上的偶函数满足:当时,,则关于的不等式的解集为 .14.某研究性学习小组要进行城市空气质量调查,按地域把48个城市分成甲、乙、丙三组,其中甲、乙两组的城市数分别为8和24,若用分层抽样从这48个城市抽取12个进行调查,则丙组中应抽取的城市数为.15.如图所示是用模拟方法估计圆周率值的程序框图,表示估计结果,则图中空白框内应填入 .16.直线与轴的交点分别为, 直线与圆的交点为. 给出下面三个结论:①;②;③,则所有正确结论的序号是三、解答题17.坐标系与参数方程在平面直角坐标系中,以坐标原点为极点,轴正半轴为极轴建立极坐标系,已知直线上两点的极坐标分别为.(1)设为线段上的动点,求线段取得最小值时,点的直角坐标;(2)求以为为直径的圆的参数方程,并求在(1)条件下直线与圆相交所得的弦长.18.在中,角,,的对边分别为,,,已知.(1)求角的大小;(2)若,求的面积的最大值,并判断当最大时的形状.19.某工厂生产A、B两种产品,已知制造A产品1 kg要用煤9 t,电力4 kw,劳力(按工作日计算)3个;制造B产品1 kg要用煤4 t,电力5 kw,劳力10个。
实验2021届高三数学上学期周测试题〔8〕文〔高补班〕创 作人:历恰面 日 期: 2020年1月1日考试时间是是:2021.11.12 使用班级:1-班一.选择题〔本大题一一共12小题,每一小题5分,一共60分。
每一小题有且只有一个正确选项。
〕1.全集U =R ,集合{}202,{0}A x x B x x x =≤≤=->,那么图中的阴影局部表示的集合为( )A .(1](2,)-∞⋃+∞,B .(0)(12)-∞⋃,,C .[1)2,D .(12], 2.设121iz i i-=++,那么=+z —z 〔 〕 A .1i --B .1i +C .1i -D .1i -+3.数列{}n a 为等差数列,n S 为其前n 项和,5632a a a =++,那么72S =〔 〕A .2B .7C .14D .284.2sin cos 3αα+=,那么sin 2α=〔 〕 A .79-B .29-C .29D .795.在ABC △中,AD 为BC 边上的中线,E 为AD 的中点,那么EB =〔 〕A .3144AB AC - B .1344AB AC - C .3144AB AC +D .1344AB AC +6.某几何体的三视图如下图〔单位:cm 〕,那么该几何体的体积〔单位:cm 3〕是A .2B .4C .6D .87.0,0a b >>,假设不等式313na b a b+≥+恒成立,那么n 的最大值为〔 〕A .9B .12C .16D .20侧视图俯视图正视图22118.函数||cos 3x e x y -=的图象可能是〔 〕A. B. C. D.9.在由正数组成的等比数列{}n a 中,假设3453a a a π=,那么()127333sin log log log a a a ++⋯+的值是 ( )A .12B .32-C .12-D .3210.直三棱柱111ABC A B C -中,120ABC ∠=︒,2AB =,11BC CC ==,那么异面直线1AB 与1BC 所成角的余弦值为( )A .32 B .155 C .105D .33 11.八卦是中国文化的根本哲学概念,如图1是八卦模型图,其平面图形记为图2中的正八边形ABCDEFGH ,其中||1OA =,那么给出以下结论:①2.2OA OD =-;②2OB OH OE +=-;③||22AH FH -=- ④AH 在AB 向量上的投影为22-。
实验2021届高三数学上学期周测十一 文〔高补班〕考试时间是是:2021.12.28 使用班级:1-8班 一.选择题〔本大题一一共12小题,每一小题5分,一共60分。
〕 1.集合{|6}A x N x =∈≤,{|22}B x R x =∈->,那么A B =〔 〕A .{}0,5,6B .{5,6}C .{4,6}D .{|46}x x <≤12iz i=-+,那么z 的虚部为〔 〕 A.15i - B .15- C .15i D. 15 3.向量a =(4,x ),b =(-4,4),假设a ∥b ,那么x 的值是 ( ).A .0B .4C .-4D .±44.角的顶点在坐标原点,始边与轴的非负半轴重合,终边经过点,那么的值是〔 〕 A.B.C.D.5.以下函数中,在其定义域上为增函数的是〔 〕 A .2x y = B .xey -= C . x x y sin -= D .x y -=6.各项均为正数的等比数列{}n a 的前项和为n S ,假设32,14n n S S ==,那么4n S =〔 〕 A. 80 B. 16 C. 26 D. 307.设函数R x x f y ∈=),(,“)(x f y =是偶函数〞是“)(x f y =的图像关于原点对称〞的( )A.充分不必要条件B.必要不充条件C.充要条件D.既不充分也不必要条件8. 某公司为鼓励创新,方案逐年加大研发奖金投入。
假设该公司2021年全年投入研发奖金130万元,在此根底上,每年投入的研发奖金比上一年增长12%,那么该公司全年投入的研发奖金开场超过200万元的年份是 (参考数据:lg1.12=0.05,lg1.3=0.11,lg2=0.30)〔 〕A.2021年B. 2021年C.2021年D. 2021年 9.将函数()32cos 2f x x x =+的图象向右平移6π,再把所有点的横坐标伸长到原来的2倍〔纵坐标不变〕,得到函数()g x 的图象,那么以下说法正确的选项是〔 〕 A. 函数()g x 31+ B. 函数()g x 的最小正周期为π()g x 在区间2,63ππ⎡⎤⎢⎥⎣⎦上单调递增 D. 函数()g x 的图像关于直线3x π=对称10.平面四边形ABCD 中,E,F 是AD,BD 中点,AB=AD=CD=2,022,90BD BDC =∠=,将ABD ∆沿对角线BD 折起至'A BD ∆,使平面'A BD BCD ⊥,那么四面体'A BCD -中,以下结论不正确的选项是〔 〕A. //EF 平面'A BC 'A B 所成的角为090 'A C 所成的角为060'A C 与平面BCD 所成的角为03011. ,(0,),sin sin 02παββααβ∈-> ,那么以下不等式一定成立的是〔 〕A.2παβ+< B.2παβ+=C.αβ<D.αβ> 12.函数,1()(2),1x e x f x f x x ⎧≤⎪=⎨->⎪⎩,假设方程()10f x mx --=恰有两个不同实根,那么正实数m 的取值范围为〔 〕A .1(,1)(1,1)2e e --B .1(,1)(1,1]2e e -- C .1(,1)(1,1)3e e --D .1(,1)(1,1]3e e --二、填空题〔本大题一一共4小题,每一小题5分。
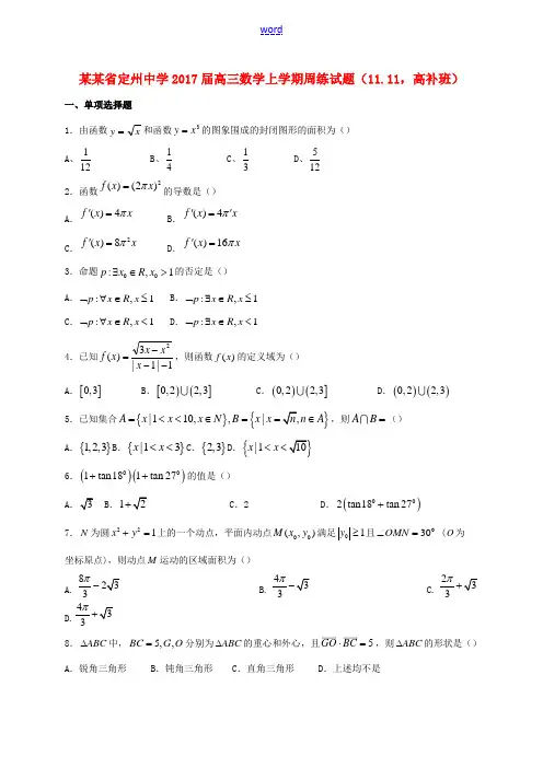
河北省定州中学2017届高三数学上学期周练试题(11.11,高补班)一、单项选择题 1.由函数x y =和函数3x y =的图象围成的封闭图形的面积为( )A 、121 B 、41C 、31D 、125 2.函数2()(2)f x x π=的导数是( )A .()4f x x π'=B .()4f x x π''=C .2()8f x x π'= D .()16f x x π'= 3.命题00:,1p x R x ∃∈>的否定是( ) A .:,1p x R x ⌝∀∈≤ B .:,1p x R x ⌝∃∈≤ C .:,1p x R x ⌝∀∈< D .:,1p x R x ⌝∃∈<4.已知1|1|3)(2---=x x x x f ,则函数)(x f 的定义域为( )A .[]0,3B .[)(]0,22,3 C .()(]0,22,3 D .()()0,22,35.已知集合{}{}|110,,|,A x x x N B x x n n A =<<∈==∈,则A B =( )A .{}1,2,3B .{}|13x x <<C .{}2,3D .{}|110x x << 6.()()01tan181tan 27++的值是( )A .3B .12+C .2D .()002tan18tan 27+ 7.N 为圆221x y +=上的一个动点,平面内动点00(,)M x y 满足01y ≥且030OMN ∠= (O 为 坐标原点),则动点M 运动的区域面积为( )A.833π-B.433π-C.233πD.433π+8.ABC ∆中,5,,BC G O =分别为ABC ∆的重心和外心,且5GO BC ⋅=,则ABC ∆的形状是( )A .锐角三角形B .钝角三角形C .直角三角形D .上述均不是 9.已知集合}013|{≥+-=x x x A ,}2log |{2<=x x B ,则=B A C )(R ( ) A .)3,0( B .]3,0( C .]4,1[- D .)4,1[-10.设奇函数]1,1[)(-在x f 上是单调函数,且,1)1(-=-f 若函数12)(2+-≤at t x f 对所有的]1,1[-∈x 都成立,当]1,1[-∈a 时,则t 的取值范围是( )A .22≤≤-tB .t ≥2,或t ≤-2C .2,2,0t t t ≥≤-=或或D .11022t t t ≥≤-=,或,或 11.正四棱锥的顶点都在同一球面上,若该棱锥的高为4,底面边长为2,则该球的表面积是( ) A .16π B .814π C .9π D .274π12.已知函数()f x 是定义在R 上的偶函数, 且在区间[0,)+∞单调递增. 若实数a 满足212(log )(log )2(1)f a f f a ≤+, 则a 的最小值是( )A .32B .1C .12 D .2二、填空题13. 在ABC ∆中,内角C B A ,,所对的边分别为c b a ,,,已知B A 2=,ABC ∆的面积42a S =,则角A的大小为_________14.(0,)()x xx f x e∈+∞=当时,函数的值域为 . 15.点P 为双曲线22221(0,0)x y a b a b-=>>右支上的一点,其右焦点为2F ,若直线2PF 的斜率为3,M 为线段2PF 的中点,且22||||OF F M =,则该双曲线的离心率为 . 16.平行四边形ABCD 中,60,1,2,BAD AB AD P ∠===为平行四边形内一点,且22AP =,若),(R AD AB AP ∈+=μλμλ,则2u λ+的最大值为 .三、解答题17.已知等差数列{}n a 满足:47a =,1019a =,其前n 项和为n S . (1)求数列{}n a 的通项公式n a 及n S ;(2)若等比数列{}n b 的前n 项和为n T ,且12b =,44b S =,求n T .18.如图1,在直角梯形ABCD 中,π122AD BC BAD AB BC AD ∠====∥,,,,E 是AD 的中点,O 是AC与BE 的交点.将ABE ∆沿BE 折起到图2中1A BE ∆的位置,得到四棱锥1A BCDE -.(Ⅰ) 证明:CD ⊥平面1A OC ;(Ⅱ) 若平面1A BE ⊥平面BCDE ,求平面1A BC 与平面1A CD 夹角(锐角)的余弦值. 19.函数()|1||2|f x x x a =+++-. (1)若5a =,求函数()f x 的定义域A ; (2)设{}|12B x x =-<<,当实数(),R a b BC A ∈时,证明:|||1|24a b ab+<+. 20.已知圆C 经过)1,1(),3,1(-B A 两点,且圆心在直线x y =上。
(Ⅰ)求圆C 的方程;(Ⅱ)设直线l 经过点)2,2(-,且l 与圆C 相交所得弦长为32,求直线l 的方程。
21.(1)计算:(3)(24)i i -+-;(2)在复平面内,复数2(2)(2)z m m m i =++--对应的点在第一象限,求实数m 的取值范围. 22.如图,在三棱锥P ﹣ABC 中,△PAB 和△CAB 都是以AB 为斜边的等腰直角三角形,若AB=2PC=,D 是PC 的中点(1)证明:AB⊥PC;(2)求AD与平面ABC所成角的正弦值.参考答案DCACC CABAC 11.B 12.C13.2π或4π14.1(0,]e15.11)21617.解:(1) 设等差数列}{n a 的公差为d ,则⎩⎨⎧=+=+1997311d a d a ,解得:⎩⎨⎧==211d a ,∴12-=n a n ,2n S n =(2)设等比数列}{n b 的公比为q ,∵21=b , 44S b =,∴1623=q , ∴2=q , ∴221-=+n n T18.解:(Ⅰ) 在图1中,AD ∥BC ,1AB BC ==,1AE =,2BAD π∠=,所以BE AC ⊥,即在图2中,1,BE A O BE OC ⊥⊥.又1A O OC O =,所以BE ⊥平面1A OC ,又CDBE ,所以CD ⊥平面1A OC .(Ⅱ) 由已知,平面1A BE ⊥平面BCDE ,又由(Ⅰ)知,1,BE A O BE OC ⊥⊥,所以1A OC ∠为二面角1--C A BE 的平面角,所以12A OC π∠=.如图,以O 为原点,建立空间直角坐标系, 因为111A B A E BC ED ====,BC ED ∥, 所以1222(,0,0)(,0,0)(0,0,)222B E A -,,,2(0,,0),2C 22(,,0),22BC =-122(0,,)22A C =-,(2,0,0)CD BE ==-. 设平面1A BC 的法向量1111(,,)n x y z =,平面1A CD 的法向量2222(,,)n x y z =,平面1A BC 与平面1A CD 夹角为θ,由11100n BC n A C ⎧⋅=⎪⎨⋅=⎪⎩,,得111100x y y z -+=⎧⎨-=⎩,,取1(1,1,1)n =,由22100n CD n A C ⎧⋅=⎪⎨⋅=⎪⎩,,得22200x y z =⎧⎨-=⎩,,取2(0,1,1)n =,从而126cos |cos ,|32n n θ=〈〉==⨯, 即平面1A BC 与平面1A CD 夹角的余弦值为63.19.解:(1)由|1||2|50x x +++-≥,得{}|41或A x x x =≤-≥, (2)∵()1,1=R BC A -,又||12|||4|24||a b aba b ab +<+⇔+<+, 而()()2244a b ab +-+()()22222222421684416a ab b ab a b a b a b =++-++=+--()()()()2222244444a b b b a =-+-=--,∵a ,b ∈(-1,1),∴()()22440b a --<,∴()()2244a b ab +<+,∴||124||a b ab+<+. 20.解:(Ⅰ)设圆C 的圆心坐标为),(a a , 依题意,有2222)1()1()3()1(-++=-+-a a a a ,即129622++=+-a a a a ,解得1=a , 所以4)13()11(222=-+-=r , 所以圆C 的方程为4)1()1(22=-+-y x 。
(Ⅱ)依题意,圆C 的圆心到直线l 的距离为1, 所以直线2=x 符合题意。
设直线l 方程为)2(2-=+x k y ,即022=---k y kx , 则11|3|2=++k k ,解得34-=k ,所以直线l 的方程为)2(342--=+x y ,即0234=-+y x 。
综上,直线l 的方程为02=-x 或0234=-+y x 。
21.解:(1)(3)(24)i i -+-=214i -+(2) 复数2(2)(2)z m m m i =++--对应的点在第一象限∴02022{>+>--m m m 得到()2,1(2,)m ∈--+∞ 22.【解析】证明:(1)取AB 中点E ,∵△PAB 和△CAB 都是以AB 为斜边的等腰直角三角形 ∴CE ⊥AB ,PE ⊥AB , ∵CE ∩PE=E , ∴∵PC ⊂平面PEC ∴AB ⊥PC (2)∵,∴角形PEC 为正三角形, 过P 作PO ⊥CE ,则PO ⊥平面ABC ,过D作DH平行PO,则DH⊥平面ABC,连AH,则∠DAH为所求角,,.欢迎您的下载,资料仅供参考!。