高三数学周练试卷
- 格式:docx
- 大小:212.98 KB
- 文档页数:6
一、选择题1. 答案:C解析:根据三角函数的定义,cos(α + β) = cosαcosβ - sinαsinβ。
代入α = π/3,β = π/6,得cos(π/3 + π/6) = cos(π/2) = 0。
2. 答案:A解析:根据指数函数的性质,a^0 = 1,对于任何非零实数a。
3. 答案:B解析:由等差数列的通项公式an = a1 + (n - 1)d,代入a1 = 2,d = 3,n = 10,得a10 = 2 + (10 - 1)×3 = 29。
4. 答案:D解析:由等比数列的通项公式an = a1 r^(n - 1),代入a1 = 3,r = 2,n = 4,得a4 = 3 2^(4 - 1) = 48。
5. 答案:C解析:由复数的乘法运算,(a + bi)(c + di) = ac - bd + (ad + bc)i。
代入a= 1,b = 2,c = 3,d = 4,得(1 + 2i)(3 + 4i) = 13 - 24 + (14 + 23)i = -5 + 10i。
二、填空题6. 答案:-1/2解析:由一元二次方程的根的判别式Δ = b^2 - 4ac,代入a = 1,b = 3,c = -2,得Δ = 3^2 - 41(-2) = 9 + 8 = 17。
由求根公式x = (-b ± √Δ) / 2a,得x = (-3 ± √17) / 2。
因为题目要求的是负根,所以x = (-3 - √17) / 2,化简得x = -1/2。
7. 答案:π/2解析:由三角函数的性质,sin(π - α) = sinα。
代入α = π/3,得sin(π - π/3) = sin(2π/3) = √3/2。
8. 答案:3解析:由数列的求和公式S_n = n(a1 + an) / 2,代入a1 = 1,an = 2n - 1,n = 5,得S_5 = 5(1 + 25 - 1) / 2 = 5(1 + 9) / 2 = 5 5 / 2 = 25 / 2 = 3。
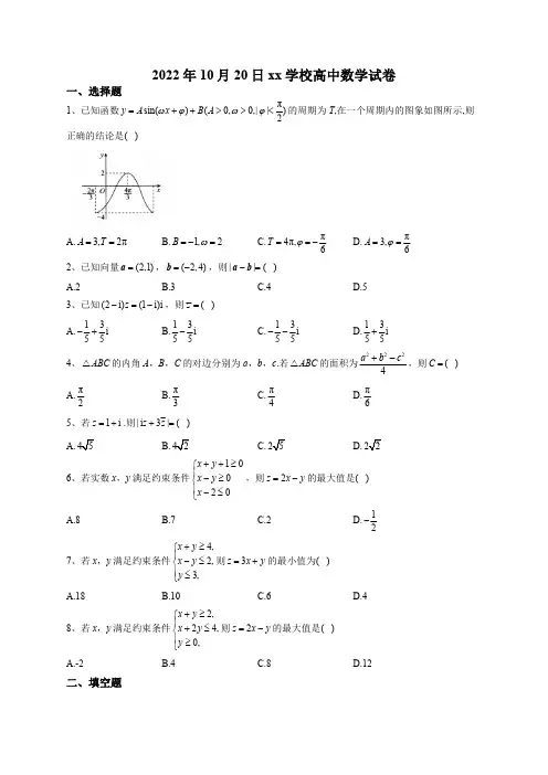
2022年10月20日xx 学校高中数学试卷一、选择题1、已知函数πsin()(0,0,||)2y A x B A ωϕωϕ=++>><的周期为T ,在一个周期内的图象如图所示,则正确的结论是()A.3,2πA T ==B.1,2B ω=-=C.π4π,6T ϕ==- D.π3,6A ϕ==2、已知向量(2,1)=a ,(2,4)=-b ,则||-=a b ()A.2B.3C.4D.53、已知(2i)(1i)i z -=-,则z =()A.13i 55-+ B.13i 55- C.13i 55-- D.13i 55+4、ABC △的内角A ,B ,C 的对边分别为a ,b ,c .若ABC △的面积为2224a b c +-,则C =()A.π2 B.π3 C.π4 D.π65、若1i z =+.则|i 3|z z +=()A.B.C.D.6、若实数x ,y 满足约束条件10020x y x y x ++≥⎧⎪-≥⎨⎪-≤⎩,则2z x y =-的最大值是()A.8B.7C.2D.12-7、若x ,y 满足约束条件4,2,3,x y x y y +≥⎧⎪-≤⎨⎪≤⎩则3z x y =+的最小值为()A.18B.10C.6D.48、若x ,y 满足约束条件2,24,0,x y x y y +≥⎧⎪+≤⎨⎪≥⎩则2z x y =-的最大值是()A.-2B.4C.8D.12二、填空题9、已知锐角,αβ满足sin 5α=,cos 10β=,则αβ+=___________.10、函数π()cos 36f x x ⎛⎫=+ ⎪⎝⎭在[0,π]的零点个数为____________.11、设ABC △的内角A ,B ,C 的对边分别为a ,b ,c .若2a =,c =cos 2A =,则b =_____________.12、设向量a ,b 的夹角的余弦值为13,且||1=a ,||3=b ,则(2)+⋅=a b b _________.三、解答题13、已知函数π()2sin 1(0)6f x x a ωω⎛⎫=+++> ⎪⎝⎭图象上最高点的纵坐标为2,且图象上相邻两个最高点的距离为π.(1)求a 和ω的值;(2)求函数()f x 在[0,π]上的单调递减区间.14、设向量π,sin ),(cos ,sin ),[0,]2a x x b x x x ==∈ 1.若||||a b = ,求x 的值;2.设函数()f x a b =⋅ ,求()f x 的最大值.15、ABC △的内角A ,B ,C 的对边分别为a ,b ,c ,已知cos cos 2cos a C c A b B +=.(1)求B ;(2)若b =ABC △的面积为,求ABC △的周长.16、在①sin cos c B b C +=,②)cos cos b C c B -=,③2sin cos cos cos a C c B C b C -=这三个条件中任选一个,补充到下面的问题中并作答.在ABC △中,内角A ,B ,C 的对边分别为a ,b ,c ,且______.(1)求角C 的大小;(2)若3cos 5B =,10c =,求ABC △的面积参考答案1、答案:C解析:由题图得2,4,A B A B +=⎧⎨-+=-⎩得3,1.A B =⎧⎨=-⎩最小正周期2π4π2π2()4π33T ω==⨯+=,12ω∴=.又14ππ2π,232k k ϕ⨯+=+∈Z ,π2π,6k k ϕ∴=-+∈Z .又π||2ϕ<,所以π6ϕ=-.故选C.2、答案:D解析:解法一:由题意知(2,1)(2,4)(4,3)-=--=-a b,所以||5-==a b ,故选D.解法二:由题意知||=a,||=b ,2(2)140⋅=⨯-+⨯=a b ,所以222||||||225-=+-⋅=a b a b a b ,所以5-=a b ,故选D.3、答案:B 解析:由题知(1i)i 1i (1i)(2i)13i 2i 2i (2i)(2i)55z -+++====+---+,则13i 55z =-.4、答案:C解析:已知ABC △的面积为2224a b c +-,又1sin 2ABC S ab C =△,所以2221sin 24a b c ab C +-=,整理可得222sin 2a b c C ab +-=.根据余弦定理可知222cos 2a b c C ab+-=,所以sin cos C C =.因为(0,π)C ∈,所以π4C =.故选C.5、答案:D解析:因为1i z =+,所以i 3i(1i)3(1i)1i 33i 22i z z +=++-=-++-=-,所以|i 3||22i |z z +=-==故选D.6、答案:B解析:画出约束条件10020x y x y x ++≥⎧⎪-≥⎨⎪-≤⎩的可行域,如图中阴影部分所示.作出直线2y x =并平移,数形结合知,当直线2y x z =-经过点A 时,2z x y =-取得最大值.由1020x yx++=⎧⎨-=⎩,解得23xy=⎧⎨=-⎩,故max22(3)7z=⨯--=,故选B.7、答案:C解析:本题考查线性规划的应用.作出不等式组4,2,3x yx yy+≥⎧⎪-≤⎨⎪≤⎩所表示的可行域(图略),可以看出该可行域是由三点(1,3)A,(3,1)B,(5,3)C围成的三角形(包含边界),显然,当3z x y=+经过点(1,3)A时,z取最小值,故min3136z=⨯+=.8、答案:C解析:解法一:作出不等式组表示的可行域如图中阴影部分,作出直线2y x=,平移该直线,当直线经过点(4,0)时,z最大,此时2408z=⨯-=,故选C.解法二:由2,24,x yx y+=⎧⎨+=⎩得0,2,xy=⎧⎨=⎩此时2022z=⨯-=-;由2,0,x yy+=⎧⎨=⎩得2,0,xy=⎧⎨=⎩此时2204z=⨯-=;由24,0,x yy+=⎧⎨=⎩得4,0,xy=⎧⎨=⎩此时2408z=⨯-=.综上所述,2z x y=-的最大值为8,故选C.9、答案:3π4解析:αQ ,β为锐角,sin 5α=,cos 10β=,0παβ∴<+<,cos α=,sin β=.cos()cos cos sin sin αβαβαβ∴+=-5105102=⨯-=-.又0παβ<+<Q ,3π4αβ∴+=.10、答案:3解析:令π()cos 306f x x ⎛⎫=+= ⎪⎝⎭,得ππ3π()62x k k +=+∈Z ,解得ππ()39k x k =+∈Z ,由ππ0π39k ≤+≤且k ∈Z 得k 可取0,1,2,π()cos 36f x x ⎛⎫∴=+ ⎪⎝⎭在[0,π]上有3个零点.11、答案:2或4解析:cos 2A = ,(0,π)A ∈,1sin 2A ∴=.由题知2a =,c =,则由正弦定理得1sin 2sin 22c A C a===,1cos 2C ∴==±,cos cos()sin sin cos cos B A C A C A C ∴=-+=⋅-=133102222⎛⎫⨯-⨯±= ⎪⎝⎭或2,由余弦定理可得2222cos 41222cos 16b a c ac B B =+-=+-⨯⨯=或4,2b ∴=或4.12、答案:11解析:2221(2)22||||cos ,||2133113+⋅=⋅+=⋅⋅〈〉+=⨯⨯⨯+=a b b a b b a b a b b .13、答案:(1)2(2)π2π,63⎡⎤⎢⎥⎣⎦解析:(1)当πsin 16x ω⎛⎫+= ⎪⎝⎭时,()f x 取得最大值为213a a ++=+.又()f x 图象上最高点的纵坐标为2,32a ∴+=,即1a =-.又()f x 的图象上相邻两个最高点的距离为π,()f x ∴的最小正周期πT =,2π2Tω∴==.(2)由(1)得π()2sin 26f x x ⎛⎫=+ ⎪⎝⎭,由ππ3π2π22π,262k x k k +≤+≤+∈Z ,得π2πππ,63k x k k +≤≤+∈Z .令0k =,得π2π63x ≤≤.∴函数()f x 在[0,π]上的单调递减区间为π2π,63⎡⎤⎢⎥⎣⎦.14、答案:1.由2222||)(sin )4sin a x x x =+= ,222||(cos )(sin )1b x x =+= ,及||||a b = ,得24sin 1x =,又π[0,]2x ∈,从而1sin 2x =,所以π6x =.2.211()cos sin sin 2cos 2222f x a b x x x x x =⋅=⋅+=-+ π1sin(2)62x =-+当ππ[0,]32x =∈时,πsin(2)6x -取()f x 的最大值为1,所以()f x 的最大值为32解析:15、(1)答案:π3B =;解析:cos cos 2cos aC c A b B += ,由正弦定理得:sin cos sin cos 2sin cos A C C A B B +=,整理得:()sin 2sin cos sin A C B B B +==,在ABC △中,0πB <<,sin 0B ∴≠,即2cos 1B =,1cos 2B ∴=,即π3B =;(2)答案:6+解析:由余弦定理得:(222122a c ac =+-⋅,()2312a c ac ∴+-=,1sin 2S ac B === ,8ac ∴=,()22412a c ∴+-=,6a c ∴+=,ABC △的周长为6+.16、答案:(1)π4C =(2)ABC △的面积56.解析:解:(1)方案一:选条件①.因为sin cos c B b C +=,所以sin sin sin cos C B B C B +=.因为0πB <<,所以sin 0B ≠,所以sin cos C C +=,π4C ⎛⎫+= ⎪⎝⎭,即πsin 14C ⎛⎫+= ⎪⎝⎭.因为0πC <<,所以ππ5π444C <+<,所以π4C =.方案二:选条件②.因为)cos cos b C c B -=,所以)sin cos sin cos A B C C B -⋅=,()cos sin cos sin cos sin A C B C C B B C =+=+,因为B C A +=π-cos sin A C A =,因为0πA <<,0πC <<,所以sin 0A ≠,π4C =.方案三:选条件③.因为2sin cos cos cos a C c B C b C -=,所以2sin sin sin cos cos sin cos A C C B C B C -=,所以()()sin sin cos sin cos sin cos cos sin cos sin A C C C B B C C B C C A =+=+=,因为0πA <<,所以sin 0A ≠,tan 1C =,又0πC <<,所以π4C =.(2)因为3cos 5B =,所以4sin 5B =,由sin sin b c B C =,得410sin 5sin c B b C ⨯===,所以()43sin sin 55A B C =+=⨯则ABC △的面积11sin 10562210S bc A ==⨯⨯.。
1. 已知函数f(x) = x^3 - 3x,其图像的对称中心是:A. (0, 0)B. (1, -2)C. (0, -2)D. (1, 0)2. 下列各数中,无理数是:A. √9B. 3/2C. πD. 2.53. 已知等差数列{an}的前n项和为Sn,若S10 = 55,a1 + a10 = 11,则公差d 为:A. 1B. 2C. 3D. 44. 已知函数f(x) = ax^2 + bx + c(a ≠ 0)的图像开口向上,且f(1) = 2,f(-1) = 0,则a的值为:A. 1B. 2C. -1D. -25. 在直角坐标系中,点A(2, 3),点B(-3, 4),则线段AB的中点坐标为:A. (1, 3.5)B. (2, 3.5)C. (1, 4)D. (2, 4)6. 已知数列{an}的前n项和为Sn,若S4 = 10,S8 = 40,则S12为:A. 60B. 80C. 100D. 1207. 已知函数f(x) = log2(x + 1)的图像与直线y = x相交于点P,则点P的坐标为:A. (0, 1)B. (1, 0)C. (2, 1)D. (1, 2)8. 已知函数f(x) = |x - 1| + |x + 1|,则f(x)的最小值为:A. 0B. 1C. 2D. 39. 在三角形ABC中,角A、B、C的对边分别为a、b、c,若a = 3,b = 4,c = 5,则角A的余弦值为:A. 1/3B. 2/3C. 3/4D. 4/510. 已知等比数列{an}的公比为q,若a1 = 2,a3 = 16,则q的值为:A. 2B. 4C. 8D. 1611. 函数f(x) = x^2 - 4x + 3的图像与x轴的交点坐标为______。
12. 若等差数列{an}的公差为d,且a1 = 3,a4 = 11,则d = ______。
13. 已知函数f(x) = (x - 1)^2 - 2,则f(x)的对称轴为______。
高三数学拔高阶段周练卷姓名:_____________班级:________________学号:__________考试时间:60分钟满分100分考试范围:集合与简易逻辑,函数与导数,三角函数与解三角形、平面向量、复数、数列。
一、单选题(每小题6分,共计12分。
)1.给出下列命题,其中是正确命题的是()A .两个函数()f x =()g x 表示的是同一函数B .函数()1f x x=的单调递减区间是()(),00,-∞+∞ C .若函数()f x 的定义域为[]0,2,则函数()2f x 的定义域为[]0,1D .命题“[)0,x ∞∀∈+,210x +>”的否定是“(),0x ∃∈-∞,210x +≤”2.已知等差数列{}n a 的前n 项和为355,26,45n S a a S +==,则下列说法错误的是()A .n na 的最小值为1B .数列2n a n ⎧⎫⎨⎬⎩⎭为递减数列C .数列n S n ⎧⎫⎨⎩⎭为递增数列D .n nS 的最小值为1二、多选题(每小题7分,共计21分,全对得满分,遗漏正确选项得3分,选错得零分。
)3.已知2510a b ==,则下列关系正确的是()A .e K >1B .a b ab+<C .49a b +<D .2211128a b ⎛⎫⎛⎫+++> ⎪ ⎪⎝⎭⎝⎭4.已知函数()()sin 0f x x ωω=>,下列说法正确的是()A .当2ω=时,函数()sin cos y f x x x =+-的值域是51,4⎡⎤⎢⎥⎣⎦B .将()f x 图象的横坐标缩短为原来的πω,纵坐标不变,得到函数()h x 的图象,则函数()13log y h x x =-有3个零点C .若函数()cos y f x x ω=-在区间π3π,22⎛⎫⎪⎝⎭内没有零点,则ω的取值范围为15,26⎡⎤⎢⎥⎣⎦D .若()π2,6g x f x ω⎛⎫==- ⎪⎝⎭,记方程()14g x =在[]0,3π上的根从小到大依次为123456,,,,,x x x x x x ,则12345685π22226x x x x x x +++++=5.已知向量a ,b ,c 满足6a = ,1b = ,π,3a b <>= ,()()3c a c b -⋅-= ,则()A .a b -=B .c rC .a c -D .a c - 三、填空题(每小题6分,共计12分。
高三数学周周练五一、填空题(每小题4分,满分48分)1 已知全集{}5,4,3,2,1=U ,集合{}{}4,3,2,3,2,1==B A ,则=)(B A C U ________________.2已知集合{}1≤=x x A ,{}a x x B ≥=,且R B A = ,则实数a 的取值范围是________________.3 设b a ,都是实数,则命题“若b a ,都是奇数,则b a +是偶数”的否命题是________________________________.4已知集合{}062=--=x x x A ,{}012=-=kx x B ,若B B A = ,则实数k 的值为_________.5 不等式134≤+x 的解集为______________. 6函数)4lg()(x x f -=和43)(2--=x x x g 的定义域分别为A 和B ,则=B A _________________.7若22=+b a ,则b a 42+的最小值为_________.8若关于x 的不等式0622≥+-ax ax 对任意实数都成立,则实数a 的取值范围是________________.9若03:<+-x m x p 成立的一个充分不必要条件是312:<+x q ,则实数m 的取值范围是____________.10 在R 上定义运算b a ab b a ++=⊕⊕2:,则满足0)2(<-⊕x x 的实数x 的取值范围是___________________.11 若1-<x ,则函数1432+++=x x x y 的值域为______________. 12设0a >b >,则()211a ab a a b ++-的最小值是是_____.二、选择题(每小题4分,满分8分)13 下面四个条件中,使b a >成立的充分而不必要条件是( )(A) 1+>b a (B) 1->b a (C) 22b a > (D) 33b a >(本题满分8分)解不等式6121≥-++x x .14。
高三数学周周练2018.9一、填空题(本大题共14小题,每小题5分,共计70分.不需要写出解答过程,请将答案填写在答题卡相应得位置上..........) 1.设集合A ={﹣1,0,1},B ={0,1,2,3},则A B = .2.若复数12miz i-=+(i 为虚数单位)得模等于1,则正数m 得值为 . 3.命题“(0x ∀∈,)2π,sin x <1”得否定就是 命题(填“真”或“假”).4.已知1sin 4α=,(2πα∈,)π,则tan α= . 5.函数()sin(2)sin(2)33f x x x ππ=-++得最小正周期为 .6.函数2()log f x x =在点A(2,1)处切线得斜率为 .7.将函数sin(2)6y x π=+得图像向右平移ϕ(02πϕ<<)个单位后,得到函数()f x 得图像,若函数()f x 就是偶函数,则ϕ得值等于 .8.设函数240()30x x f x x x ⎧->=⎨--<⎩,,,若()(1)f a f >,则实数a 得取值范围就是 .9.已知函数2()f x x =,()lg g x x =,若有()()f a g b =,则b 得取值范围就是 .10.已知函数322()7f x x ax bx a a =++--在1x =处取得极小值10,则ba得值为 .11.已知函数()sin ([0f x x x =∈,])π与函数1()tan 2g x x =得图像交于A,B,C 三点,则△ABC 得面积为 .12.已知210()ln 0x x f x x x +≤⎧⎪=⎨>⎪⎩,,,则方程[()]3f f x =得根得个数就是 .13.在△ABC 中,若tanA =2tanB,2213a b c -=,则c = .14.设函数2()x af x e e=-,若()f x 在区间(﹣1,3﹣a )内得图像上存在两点,在这两点处得切线相互垂直,则实数a 得取值范围就是 .二、解答题(本大题共6小题,共计90分.请在答题纸指定区域.......内作答,解答应写出文字说明,证明过程或演算步骤.) 15.(本题满分14分)已知函数2()cos cos f x x x x =-.(1)求()f x 得最小正周期; (2)若()1f x =-,求2cos(2)3x π-得值. 16.(本题满分14分)已知a ,b ,c 分别为△ABC 三个内角A,B,C 得对边,且满足cos B sin C b =+.(1)求∠C 得值;(2)若c =求2a +b 得最大值. 17.(本题满分14分)已知函数()33()xxf x R λλ-=+⋅∈.(1)当1λ=时,试判断函数()33xxf x λ-=+⋅得奇偶性,并证明您得结论; (2)若不等式()6f x ≤在[0x ∈,2]上恒成立,求实数λ得取值范围. 18.(本题满分16分)如图,在C 城周边已有两条公路l 1,l 2在点O 处交汇,现规划在公路l 1,l 2上分别选择A,B两处为交汇点(异于点O)直接修建一条公路通过C 城,已知OC =)km ,∠AOB =75°,∠AOC =45°,设OA =x km,OB =y km.(1)求y 关于x 得函数关系式并指出它得定义域; (2)试确定点A 、B 得位置,使△ABO 得面积最小.19.(本题满分16分)已知函数2()2ln ()f x x x a x a R =-+∈.(1)当a =2时,求函数()f x 在(1,(1)f )处得切线方程 ; (2)求函数()f x 得单调区间;(3)若函数()f x 有两个极值点1x ,2x (1x <2x ),不等式12()f x mx ≥恒成立,求实数m 得取值范围. 20.(本题满分16分)给出定义在(0,+∞)上得两个函数2()ln f x x a x =-,()g x x a x =-(1)若()f x 在1x =处取最值,求a 得值;(2)若函数2()()()h x f x g x =+在区间(0,1]上单调递减,求实数a 得取值范围; (3)试确定函数()()()6m x f x g x =--得零点个数,并说明理由.附加题21.(本题满分10分)已知矩阵2A=4⎡⎢-⎣ 13-⎤⎥⎦,4B=3⎡⎢-⎣ 11-⎤⎥⎦,求满足AX =B 得二阶矩阵X.22.(本题满分10分)在如图所示得四棱锥S —ABCD 中,SA ⊥底面ABCD,∠DAB =∠ABC =90°,SA =AB =BC =a ,AD =3a (a >0),E 为线段BS 上得一个动点.(1)证明:DE 与SC 不可能垂直;(2)当点E 为线段BS 得三等分点(靠近B)时,求二面角S —CD —E 得余弦值.23.(本题满分10分)某公司对新招聘得员工张某进行综合能力测试,共设置了A,B,C 三个测试项目.假定张某通过项目A 得概率为12,通过项目B 、C 得概率均为a (0<a <1),且这三个测试项目能否通过相互独立.用随机变量X 表示张某在测试中通过得项目个数,求X 得概率分布与数学期望E(X)(用a 表示). 24.(本题满分10分)在集合A ={1,2,3,4,…,2n}中,任取m(m ≤n,m,n N *∈)个元素构成集合A m .若A m 得所有元素之与为偶数,则称A m 为A 得偶子集,其个数记为()f m ;A m 得所有元素之与为奇数,则称A m 为A 得奇子集,其个数记为()g m .令()()()F m f m g m =-.(1)当n =2时,求(1)F ,(2)F ,(3)F 得值; (2)求()F m .参考答案1.{0,1}2.23.假4.15155.π6.12ln 27.3π8.(-∞,1)(1-,)+∞9.[1,)+∞10.12-11.34π 12.5 13.1 14.1(2-,1)215.(1)π,(2)12-. 16.(1)3π,(2)47. 17.(1)偶函数,(2)27λ≤-. 18.19.20.21.22.23.24.。
高三数学周考卷(3)一、单选题(5'840'⨯=)1、 已知集合{}{}2lg(2),21,xM x y x x N y y ==-++==+则集合=M N ⋂ ( )A 、 1,2()B 、2+∞(,)C 、[1,2) D 、φ 2、 已知i 为虚数单位,且复数z 满足3412,ii z-=+则复数z 的共轭复数为( ) A 、12i -+ B 、12i -- C 、12i + D 、12i -3、已知双曲线2222:1(0,0)x y C a b a b-=>>的实轴长为2,一条渐近线方程为20x y +=,则双曲线C 的焦距为( ) A 5B 5C 、2D 、5 4、美国总统加菲尔德利用右图给出了一种直观、简捷、易懂、明了的证明勾股定理的方法, 该图利用三个直角三角形拼成了一个直角梯形,后人把此证法称为“总统证法”。
现已知3,4,a b ==若从该直角梯形中随机取一点,则该点也在CDE 的内切圆内部的概率为( ) A 、249πB 、25322)49π-(C 、50322)49π-(D 、449π5、已知函数()32()f x x ax a R =-+∈是定义在R 上的奇函数,直线l 为函数()f x 的图像在点(1(1))f ,处的切线,则直线l 在x 轴上的截距为( )A 、2B 、23-C 、 23 D 、2- 6、已知命题[)0:0,,p x ∃∈+∞使00420,x x k --=命题2:(0,+),0,q x k x ∀∈∞+>使p 是q 的( )A 、充分不必要条件B 、必要不充分条件C 、充分必要条件D 、既不充分也不必要条件7、已知三项式5)(0,0)ax y b a b -+>>(的展开式中含2x y 的项的系数为120-,则2aba b+ 的最大值为( )A 、4B 、2C 、 22D 2 8、已知球O 是正四面体ABCD 的外接球,过棱AB 作球O 的截面,则当该截面面积取最小值时,直线AC 与该截面所成角的大小为( )A 、 6πB 、4πC 、 3πD 、2π二、多选题(5'420'⨯=) 9、函数()sin()(0,0)f x A x A ωϕω=+>>的图像如图所示,将函数()f x 的图像上的所有点的横坐标缩短到原来的12倍,得到()g x 的图像,则(1)+(2)+(3)+...+(2019)g g g g ≤( ) A 、0 B 、2 C 、 2- D 、410、如图为一几何体的平面图展开图,其中四边形ABCD 为正方形,图中各三角形均为正三角形 ,则几何体P ABCD -中( )A 、PA 与平面PBC 所成角的余弦值为33 B 、PA 与平面ABCD 所成角的余弦值为22C 、侧面PBC 与底面ABCD 所成角的余弦值 33D 、PA 与平面PC 所成角的余弦值为2211、已知椭圆22221(0)x y C a b a b+=>>:的左右焦点分别为12F F 、,过2F 的弦AB 满足01120,AF B ∠=且11AF F B AB 、、成等差数列,则椭圆C 的离心率不可能为( )A 77B 1313C 1515D 5512、定义“互倒函数”,对于定义域内的每一个x ,都有1()=()f x f x.已知函数()f x 是定义在区间1,22⎡⎤⎢⎥⎣⎦上的“互倒函数”,且当[]1,2x ∈时,211()=+2f x x ,若函数5()=()4g x f x x a --有一个不同的零点,则实数a 的取值范围可能为( )A 、71648⎛⎤ ⎥⎝⎦,B 、14⎧⎫⎨⎬⎩⎭C 、1184⎡⎤⎢⎥⎣⎦,D 、77464⎡⎫-⎪⎢⎣⎭,三、填空题(5'420'⨯=)13、暑假期间,7名高中生商议去甲、乙、丙、丁4个城市旅游,若城市甲去1人,其他城市各去2人,则不同的旅游方案有____种14、如图,在直角梯形ABCD 中,0//=90AD BC ABC ∠,,点E 是CD 的中点,2BC =,1AB AD ==,则向量AE BD 在方向上的投影为____15、已知2222221112222)(2)(0),1)(1)(0),C x y r r C x y r r -+-=>+++=>:(:(12C C 与相切,并且两圆的一条外公切线的斜率为7,则12r r 为____16、已知ABC 的内角的对边分别为a b c 、、,且222sin sin sin A B C +-=sin sin ,3,2,A B b a ==点D 与点B 位于直线AC 的两侧,且,BD BC =则四边形ABCD 的面积的最大值为____ 四、解答题(10'+12'570'⨯=)17、在ABC 中,内角A B C ,,所对的边分别为a b c 、、,B 为锐角,且sin cos b A B =cos cos sin .c C b A B - (1)求角A(2)点=146D ABC CAD CBD ABD AB ππ∠=∠=∠=在的内部,且满足,,,求CD 的长.18、设正项数列{}n a 的前n 项和为n S ,2n S n a 与+1n a ()的等比中项,其中*n N ∈(1)求数列{}n a 的通项公式; (2)设22121n n n n a b a a ++=,记数列{}n b 的前n 项和为n T ,求证: 1n T <19、如图1,四边形ABFE 与CDEF 均为菱形,且060A D ∠=∠=,点,P Q 分别是,EF DE 的中点,将图1沿EF 对折成如图2所示的三棱柱ADE BCF -,且使侧面CDEF ABFE ⊥侧面(1)求证:EC BPQ ⊥平面(2)求平面BPQ BCF 与平面所成的锐二面角的余弦值20、刷脸时代来了,全国各地不少大型超市迅速推出“刷脸支付”的服务,消费者购物再不用排长龙等买单,只要刷个脸、输入个手机号,一分钟迅速结账,人们为“刷脸支付”给生活带来的便捷感到高兴,但“刷脸支付”的安全性也引起了人们的担忧,某调查机构为了了解人们对“刷脸支付”的接受程度,通过安全感问卷进行调查,并从参与的被调查者随机抽取200人(中老年、青少年各100人),得到这200人对“刷脸支付”的安全满意度的中位数为68%,根据调查结果绘制出如图所示的频率分布直方图.(1)已知抽取的这200人中对“刷脸支付”安全满意度高于平均数的中老年人有38人,判断是否有99.9%的把握认为对“刷脸支付”安全满意度是否高于平均数与年龄有关(注,每组数据以区间的中点值为代表).(2)某大型超市引入“刷脸支付”后,在推广“刷脸支付”期间,推出两种付款方案方案一:不采取“刷脸支付”,无任何优惠,但可参加超市的抽奖返现金活动,活动方案为:从装有8个形状、大小完全相同的小球(其中红球3个、黑球5个)的抽奖盒中,一次性摸出3个球,其中奖规则为:若摸到3个红球,则返消费金额的20%:若摸到2个红球,则反消费金额的10%,除此之外不返现金. 方案二:采用“刷脸支付”,此时对购物的顾客随机优惠,根据统计结果得知,使用“刷脸支付”时,有16的概率享受8折优惠,有13的概率享受9折优惠,有12的概率享受95折优惠,但不参加超市的抽奖返现金活动.现小张在该大型超市购买了总价为1000元的商品. (i )、求小张选择方案一,付款时实际付款额X 的分布列与数学期望(精确到 小数点后一位数字) (ii )、试比较小张选择方案一与方案二付款,哪个方案更划算?附:参考公式及临界值表; 22()=,.n ad bc K n a b c d -=+++21、已知抛物线E 的顶点在坐标原点,焦点F 在y 轴正半轴上,ABC 的三个顶点都在抛物线上,且0,6.FA FB FC FA FB FC ++=+=-(1)求抛物线E 的标准方程(2)若点(4)(0)P t t >,在抛物线E 上,过点P 作两条直线分别交抛物线于点,,M N 且()0.PM MP MN -=问:直线MN 是否过一定点?若过定点,求出该定点的坐标;若不过定点,试说明理由.22、已知函数()(),'()()ln xf x ax a R f x f x x=-+∈为的导函数. (1)当=0()a f x 时,求函数的极值.(2)若212123,,,()'()+4x x e e f x f x a ⎡⎤∃∈≤+⎣⎦使成立,求实数a 的最小值.。
建平中学2023-2024学年第二学期高三年级周练12024.0312三、解答题(共5道大题,其中17题14分,18题14分,19题14分,20题16分,21题18分,共计76分)17.(本题满分14分.本题共2小题,第(1)小题7分,第(2)小题7分.)34519.(本题满分14分.本题共2小题,第(1)小题6分,第(2)小题8分.)第19届亚运会在杭州举行,志愿者的服务工作是亚运会成功举办的重要保障.某高校承办了杭州志愿者选拔的面试工作.先随即抽取了100名候选者的面试成绩,并分成n 组:第一组[45,55),第二组[55,65),第三组[)65,75,第四组[75,85),第五组[]85,95,绘制成如图所示的频率分布直方图,已知第三、四、五组的频率之和为0.7,第一组和第五组的频率相同.(1)现规定分数排名前40%可以加入资深志愿者组,估计资深志愿者组的录取分数约为多少?(精确到0.1)(2)在第四、第五两组志愿者中,采用分层抽样的方法从中抽取5人,然后再从这5人中选出2人,以确定组长人选,求选出的两人来自不同组的概率;(3)已知第四组的平均成绩为80,方差为20,第五组的平均成绩为90,方差为5,则75分以上的志愿者的平均成绩和方差为多少?620.(本题满分16分.本题共有3小题,第(1)小题满分4分,第(2)小题满分6分.第 (3)小题满分6分)已知抛物线24y x =的焦点为F ,直线l 交抛物线于不同的,A B 两点. (1)若直线l 的方程为1yx =−,求线段AB 的长; (2)若直线l 经过点()1,0P −,点A 关于x 轴的对称点为A ′,求证:,,A F B ′三点共线; (3)若直线l 经过点()8,4M −,抛物线上是否存在定点N ,使得以线段AB 为直径的圆恒过点N ?若存在,求出点N 的坐标,若不存在,请说明理由.7参考答案一、填空题8910111213二、选择题13.在10件产品中有3件次品,从中选3件.下列各种情况是互斥事件的有( ) ①A :“所取3件中至多2件次品”, B : “所取3件中至少2件为次品”; ②A :“所取3件中有一件为次品”,B : “所取3件中有二件为次品”; ③A :“所取3件中全是正品”,B :“所取3件中至少有一件为次品”; ④A :“所取3件中至多有2件次品”,B :“所取3件中至少有一件是正品”; A .①③B .②③C .②④D .③④B根据互斥事件的定义即可得到结果.在10件产品中有3件次品,从中选3件,∵所取3件中至多2件次品与所取3件中至少2件为次品,两个事件中都包含2件次品,∴①中的两个事件不是互斥事件. ∵所取3件中有一件为次品与所取3件中有二件为次品是互斥事件, ∴②中的两个事件是互斥事件.∵所取3件中全是正品与所取3件中至少有一件为次品是不能同时发生的, ∴③中的两个事件是互斥事件,∵所取3件中至多有2件次品与所取3件中至少有一件是正品都包含2件次品一件正品,以及1件次品两件正品,以及三件正品,所以④不是互斥事件,故选:B .14.已知α,β是不同的平面,m ,n 是不同的直线,则下列命题不正确的是( ) A .若m ⊥α,m n ∥,n ⊂β,则α⊥β B .若m n ∥,m αβ= ,则n α∥,n β C .若m n ∥,m ⊥α,则n ⊥α D .若m ⊥α,m ⊥β,则αβ∥B运用线面垂直的性质和面面垂直的判定定理即得A 项;满足B 项条件的图形有三种,故B 项错误;利用线面垂直的判定方法即得C 项;利用面面平行的判定方法即得D14三、解答题15161718192021222324。
一、选择题(每题5分,共50分)1. 下列各式中,不是基本初等函数的是()A. y = x^2B. y = log2xC. y = sinxD. y = 1/x2. 函数f(x) = ax^2 + bx + c的图象开口向上,且顶点坐标为(1, 2),则a、b、c的值分别为()A. a = 1, b = -2, c = 2B. a = 1, b = 2, c = -2C. a = -1, b = -2, c = 2D. a = -1, b = 2, c = -23. 已知数列{an}的通项公式为an = 3n - 2,则数列的前10项之和S10为()A. 285B. 286C. 287D. 2884. 若向量a = (2, 3),向量b = (-1, 2),则向量a和向量b的夹角θ的余弦值为()A. 1/5B. 2/5C. 3/5D. 4/55. 已知等差数列{an}的前n项和为Sn,若a1 = 3,d = 2,则S10为()A. 90B. 100C. 110D. 1206. 函数y = e^x在区间(0, +∞)上的单调性为()A. 单调递增B. 单调递减C. 先增后减D. 先减后增7. 已知复数z = 2 + 3i,其共轭复数为()A. 2 - 3iB. -2 + 3iC. -2 - 3iD. 2 + 3i8. 若不等式x^2 - 5x + 6 < 0的解集为{x | 2 < x < 3},则不等式x^2 - 5x + 6 > 0的解集为()A. {x | x < 2 或 x > 3}B. {x | x > 2 或 x < 3}C. {x | x < 2 且 x > 3}D. {x | x > 2 且 x < 3}9. 已知函数f(x) = x^3 - 3x + 2,则f'(x) = ()A. 3x^2 - 3B. 3x^2 - 1C. 3x^2 + 3D. 3x^2 + 110. 在三角形ABC中,角A、B、C的对边分别为a、b、c,若a = 3,b = 4,c = 5,则角C的度数为()A. 60°B. 90°C. 120°D. 150°二、填空题(每题5分,共50分)11. 函数y = (x - 1)^2 + 2的对称轴为__________。
一、选择题(每题5分,共50分)1. 已知函数$f(x) = x^3 - 3x^2 + 4x + 1$,则$f(x)$的对称中心为()。
A. $(1, 0)$B. $(2, 0)$C. $(1, 1)$D. $(2, 1)$2. 在等差数列$\{a_n\}$中,若$a_1 + a_9 = 10$,$a_5 + a_6 = 12$,则该数列的公差$d$为()。
A. 1B. 2C. 3D. 43. 下列函数中,在其定义域内单调递增的是()。
A. $y = x^2$B. $y = 2^x$C. $y = \log_2 x$D. $y = \sqrt{x}$4. 若复数$z$满足$|z - 1| = |z + 1|$,则复数$z$对应的点在复平面上的轨迹是()。
A. 实轴B. 虚轴C. 第一象限D. 第二象限5. 已知直线$l$的方程为$2x + 3y - 6 = 0$,点$P(1, 2)$到直线$l$的距离为()。
A. $1$B. $\sqrt{5}$C. $2$D. $\sqrt{2}$6. 若不等式$|x - 2| + |x + 3| \leq 5$的解集为$A$,则集合$A$的元素个数是()。
A. 1B. 2C. 3D. 无穷多7. 在平面直角坐标系中,若点$A(1, 2)$,$B(3, 4)$,则线段$AB$的中点坐标是()。
A. $(2, 3)$B. $(2, 2)$C. $(1, 3)$D. $(1, 2)$8. 已知数列$\{a_n\}$的前$n$项和为$S_n$,若$S_n = 3^n - 1$,则$a_1 + a_2 + a_3$的值为()。
A. 6B. 7C. 8D. 99. 若函数$f(x) = ax^2 + bx + c$在$x = 1$处取得极小值,则$a$,$b$,$c$之间的关系为()。
A. $a > 0$,$b = 0$,$c > 0$B. $a > 0$,$b \neq 0$,$c > 0$C. $a < 0$,$b = 0$,$c < 0$D. $a < 0$,$b \neq 0$,$c < 0$10. 已知正方体$ABCD-A_1B_1C_1D_1$的棱长为$a$,则对角线$AC_1$的长度为()。
高三数学 周练一第I 卷(选择题)一、选择题(共10题,每题5分,共50分)1.已知i 是虚数单位,( ) A .1-2i B .2-i C .2+i D .1+2i2(a ,b ∈R ,i 为虚数单位),则2a b -=( ) A. 1 B. 2 C. 3 D.43 ) A .第一象限 B .第二象限 C .第三象限D .第四象限4.若sin 211)i θθ-++是纯虚数(其中i 是虚数单位),且[0,2)θπ∈,则θ的值是( )A 、4π B 、34π C 、54π D 、544ππ或5.观察式子:111 ,则可归纳出一般式子为( )A .1 (n≥2)B .1 (n≥2)C .1 (n≥2)D .1 (n≥2) 6.有一段演绎推理是这样的:“直线平行于平面,则平行于平面内所有直线;已知直线b ⊆/平面α,直线⊂a 平面α,直线b ∥平面α,则直线b ∥直线a ”的结论显然是错误的,这是因为 ( )A.大前提错误B.小前提错误C.推理形式错误D.非以上错误7.用反证法证明命题:“一个三角形中不能有两个直角”的过程归纳为以下三个步骤: ①9090180A B C C ++=︒+︒+>︒,这与三角形内角和为180︒相矛盾,90A B ==︒不成立;②所以一个三角形中不能有两个直角;③假设三角形的三个内角A 、B 、C 中有两个直角,不妨设90A B ==︒,正确顺序的序号为( )A .①②③B .③①②C .①③②D .②③① 8.把正奇数数列按第一个括号一个数,第二个括号两个数,第三个括号三个数,第四个括号一个数,第五个括号两个数,第六个括号三个数, .依次划分为)1(,)5,3(,)11,9,7(,)13(,)17,15(,)23,21,19(,)25(, .则第50个括号内各数之和为( )A .396B .394C .392D .3909.已知,xy 满足不等式组22y xx y x ≤⎧⎪+≥⎨⎪≤⎩,则2z x y =+的最大值除以最小值等于( )A 、2 C 10.设,若a ,1,b 成等比数列,且c ,1,d 成等差数列,则下列不等式恒成立的是( )A 、B 、C 、D 、第II 卷(非选择题)二、填空题(每题5分,共4题,共20分)11.在复平面内,复数)(1R a i ai ∈+对应的点位于虚轴上,则=a 12.类比平面内 “垂直于同一条直线的两条直线互相平行”的性质,可推出空间下列结论:①垂直于同一条直线的两条直线互相平行;②垂直于同一个平面的两条直线互相平行;③垂直于同一条直线的两个平面互相平行;④垂直于同一个平面的两个平面互相平行.则正确结论的序号是13.若曲线4y x =的一条切线l 与直线480x y +-=垂直,则l 的方程为________。
1. 下列各数中,无理数是()A. √2B. 3/5C. -πD. 0.333...2. 已知函数f(x) = x² - 2x + 1,那么f(2)的值为()A. 0B. 1C. 2D. 33. 若a、b、c是等差数列,且a+b+c=12,那么3a+5b+c的值为()A. 15B. 18C. 21D. 244. 已知直线l:2x-3y+1=0,点P(1,2),那么点P到直线l的距离是()A. √5B. 1C. 2D. √25. 若复数z满足|z+1|=2,那么复数z的取值范围是()A. z∈(-3,-1]∪[-1,1]B. z∈(-3,-1)∪(-1,1)C. z∈(-3,-1)∪[1,3]D. z∈(-3,-1]∪[1,3]6. 下列函数中,单调递减的是()A. y = x²B. y = 2xC. y = √xD. y = 3x - 17. 已知等比数列{an}的公比为q,且a1=2,a3=32,那么q的值为()A. 2B. 4C. 8D. 168. 若log₂x + log₄x = 3,那么x的值为()A. 8B. 16C. 32D. 649. 已知三角形的三边长分别为3、4、5,那么这个三角形的面积是()A. 6B. 8C. 10D. 1210. 若函数f(x) = ax² + bx + c在x=1时取得最小值,那么a、b、c之间的关系是()A. a > 0,b² - 4ac < 0B. a > 0,b² - 4ac = 0C. a < 0,b² - 4ac >0 D. a < 0,b² - 4ac = 011. 已知数列{an}的通项公式为an = 2n - 1,那么数列的第10项是______。
12. 已知函数f(x) = (x-1)/(x+1),那么f(-1)的值为______。
一、选择题1. 答案:D解析:由指数函数的性质知,当x>0时,y=2^x在(0, +∞)上单调递增,故选D。
2. 答案:A解析:由对数函数的性质知,当x>1时,y=log2x在(1, +∞)上单调递增,故选A。
3. 答案:B解析:由三角函数的性质知,sin60°=√3/2,cos60°=1/2,tan60°=√3,故选B。
4. 答案:C解析:由向量运算的性质知,a+b=c,故a=c-b,代入得a=c-(-2i)=c+2i,故选C。
5. 答案:D解析:由复数运算的性质知,(a+bi)^2=a^2-b^2+2abi,代入得(3+4i)^2=9-16+24i=-7+24i,故选D。
二、填空题6. 答案:-2解析:由等差数列的通项公式an=a1+(n-1)d,代入得a10=a1+(10-1)d=2+(9)d,解得d=-2。
7. 答案:π解析:由圆的周长公式C=2πr,代入得C=2π×3=6π,故选π。
8. 答案:1/2解析:由二项式定理知,(a+b)^n=C_n^0a^n+C_n^1a^(n-1)b+C_n^2a^(n-2)b^2+...+C_n^na^0b^n,代入得(1-x)^4=C_4^0×1^4×(-x)^0+C_4^1×1^3×(-x)^1+C_4^2×1^2×(-x)^2+C_4^3×1^1×(-x)^3+C_4^4×1^0×(-x)^4,化简得1-4x+6x^2-4x^3+x^4,故x=1/2。
9. 答案:5解析:由二次函数的顶点公式x=-b/2a,代入得x=-(-2)/2×1=1,故f(1)=1。
10. 答案:2解析:由指数函数的性质知,2^2=4,故选2。
三、解答题11. 解析:(1)由等差数列的通项公式an=a1+(n-1)d,代入得a7=a1+6d=15,a10=a1+9d=21,解得a1=9,d=2。
上海复旦附中2024学年高三年级第二学期数学试题周练一(含附加题)注意事项1.考试结束后,请将本试卷和答题卡一并交回.2.答题前,请务必将自己的姓名、准考证号用0.5毫米黑色墨水的签字笔填写在试卷及答题卡的规定位置. 3.请认真核对监考员在答题卡上所粘贴的条形码上的姓名、准考证号与本人是否相符.4.作答选择题,必须用2B 铅笔将答题卡上对应选项的方框涂满、涂黑;如需改动,请用橡皮擦干净后,再选涂其他答案.作答非选择题,必须用05毫米黑色墨水的签字笔在答题卡上的指定位置作答,在其他位置作答一律无效. 5.如需作图,须用2B 铅笔绘、写清楚,线条、符号等须加黑、加粗.一、选择题:本题共12小题,每小题5分,共60分。
在每小题给出的四个选项中,只有一项是符合题目要求的。
1.如图所示,已知某几何体的三视图及其尺寸(单位:cm ),则该几何体的表面积为( )A .15π2cmB .21π2cmC .24π2cmD .33π2cm2.抛掷一枚质地均匀的硬币,每次正反面出现的概率相同,连续抛掷5次,至少连续出现3次正面朝上的概率是( ) A .14B .13C .532D .3163.已知函数f (x )=223,1ln ,1x x x x x ⎧--+≤⎨>⎩,若关于x 的方程f (x )=kx -12恰有4个不相等的实数根,则实数k 的取值范围是( ) A .1e 2⎛⎝ B .12e ⎡⎢⎣C .12e ⎛⎝⎦D .12e ⎛⎝⎭4.已知函数()()sin f x A x =+ωϕ(其中0A >,0>ω,0ϕπ<<)的图象关于点5,012M π⎛⎫⎪⎝⎭成中心对称,且与点M 相邻的一个最低点为2,33N π⎛⎫- ⎪⎝⎭,则对于下列判断: ①直线2x π=是函数()f x 图象的一条对称轴;②点,012π⎛⎫-⎪⎝⎭是函数()f x 的一个对称中心; ③函数1y =与()351212y f x x ππ⎛⎫=-≤≤⎪⎝⎭的图象的所有交点的横坐标之和为7π. 其中正确的判断是( ) A .①②B .①③C .②③D .①②③5.在ABC ∆中,a ,b ,c 分别为角A ,B ,C 的对边,若ABC ∆的面为S ,且()2243S a b c =+-,则sin 4C π⎛⎫+= ⎪⎝⎭( ) A .1B .22C .624- D .624+ 6.中国古代数学著作《算法统宗》中有这样一个问题;“三百七十八里关,初行健步不为难,次后脚痛递减半,六朝才得到其关,要见每朝行里数,请公仔细算相还.”其意思为:“有一个人走了378里路,第一天健步走行,从第二天起脚痛每天走的路程是前一天的一半,走了6天后到达目的地,求该人每天走的路程.”由这个描述请算出这人第四天走的路程为( ) A .6里B .12里C .24里D .48里7.已知函数()f x 的导函数为()f x ',记()()1f x f x '=,()()21f x f x '=,…,()()1n n f x f x +'=(n ∈N *). 若()sin f x x x =,则()()20192021f x f x += ( )A .2cos x -B .2sin x -C .2cos xD .2sin x8.如图,在ABC ∆中,点Q 为线段AC 上靠近点A 的三等分点,点P 为线段BQ 上靠近点B 的三等分点,则PA PC +=( )A .1233BA BC + B .5799BA BC + C .11099BA BC + D .2799BA BC +9.明代数学家程大位(1533~1606年),有感于当时筹算方法的不便,用其毕生心血写出《算法统宗》,可谓集成计算的鼻祖.如图所示的程序框图的算法思路源于其著作中的“李白沽酒”问题.执行该程序框图,若输出的y 的值为2,则输入的x 的值为( )A .74B .5627C .2D .1648110.函数()5sin 20312f x x x ππ⎛⎫⎛⎫=+≤≤ ⎪⎪⎝⎭⎝⎭的值域为( ) A .1,12⎡⎤-⎢⎥⎣⎦B .10,2⎡⎤⎢⎥⎣⎦C .[]0,1D .1,02⎡⎤-⎢⎥⎣⎦11.曲线24x y =在点()2,t 处的切线方程为( ) A .1y x =-B .23y x =-C .3y x =-+D .25y x =-+12.若命题:从有2件正品和2件次品的产品中任选2件得到都是正品的概率为三分之一;命题:在边长为4的正方形内任取一点,则的概率为,则下列命题是真命题的是( )A .B .C .D .二、填空题:本题共4小题,每小题5分,共20分。
高三数学周练试卷一、选择题:本大题共12小题,每题5分,共60分. 1.",1252""232cos "Z k k ∈+=-=ππαα是的〔 〕A .必要非充分条件B .充分非必要条件C .充分必要条件D .既非充分又非必要条件 2.等差数列}{n a 中,24)(3)(2119741=++++a a a a a ,那么此数列的前13项和为〔 〕A .13B .52C . 26D .1563.假设()f x 的值域为(0,2),那么()(2006)1g x f x =--的值域为 〔 〕A .(1,3)-B .(2007,4011)--C .(1,1)-D .以上都不对4.如果b a >>0且0>+b a ,那么以下不等式正确的个数是 〔 〕①b a 11< ②ba 11> ③33ab b a < ④23ab a < ⑤32b b a < A .2 B .3 C .4 D .55.函数)10(1||log )(<<+=a x x f a 的图象大致为〔 〕6.等比数列{}n a 的首项11-=a ,前n 项和为n S ,3231510=S S ,那么2a 等于 〔 〕 A .32 B .21- C .2 D .217.集合M={x|21<x ≤6},不等式21x m x +->1解集是P ,假设P ⊆M,那么实数m 的取值范围〔 〕A. [-21, 5]B. [-3, -21]C. [-3, 5]D. [-3, -21]∪(-21, 5)8.(31)4,1()log ,1a a x a x f x x x -+<⎧=⎨≥⎩是(,)-∞+∞上的减函数,那么a 的取值范围是〔 〕 A.(0,1) B.1(0,)3 C.11[,)73 D.1[,1)79.把函数x x y sin 3cos -=的图象沿向量)0()0,(>-=m m a的方向平移后,所得的图象关于y 轴对称,那么m 的最小值是〔 〕A .6π B .3πC .32πD .65π10.0,2||,1||=⋅==OB OA OB OA ,点C 在∠AOB 内,且∠AOC=45°,设),(R n m OB n OA m OC ∈+=,那么nm等于 〔 〕A .21 B .22 C .2D .211.,log 1)(2x x f +=设数列}{n a 满足*))((1N n n f a n ∈=-,那么数列}{n a 的前n 项和n S 等于 〔 〕A .12-nB .121--n C .141--n D .14-n12.平面直角坐标系中,O 为坐标原点,两点A 〔2,-1〕,B 〔-1,3〕,假设点C 满足OB OA OC βα+=其中0≤βα,≤1,且1=+βα,那么点C 轨迹方程为〔 〕A.0534=-+y x 〔-1≤x≤2〕 B. 083=+-y x 〔-1≤x≤2〕C. 0432=-+y xD. 25)1()21(22=-+-y x 二、填空题:本大题共6小题,每题5分,共30分,把答案填在横线上.13.()f x 是定义在[]2,2-上的偶函数,且在[]0,2上单调递增,()(1)f m f m <-,那么m 的取值范围是: ;14.设1232(2)()log (1)(2)x e x f x x x -⎧<=⎨-≥⎩,那么不等式()f x >2的解集为 :_________________;15.在数列{}n a 中,2111,10n n a a a +=--=,那么此数列的前2022项之和为:____________;16.假设1sin(),63πα-=那么2cos(2)3πα+= ; 17.函数 )2(log )(22a x ax x f a ++= 在[-4,-2]上是增函数, 那么a 取值范围:______;18.给出以下结论:① 通项公式为a n =a 1(32)n -1的数列一定是以a 1为首项,32为公比的等比数列;② 函数x x y cos sin =是最小正周期为 2π; ③函数y =x1在定义域上是单调递减的; ④ cos20 = cos700; ⑤函数y =log 21(4-x 2)的值域是[-2,+∞).其中正确的选项是:______________.三、解做题:本大题共5小题,共60分.解容许写出文字说明,证实过程或演算步骤. 19.〔本小题总分值12分〕 : 命题)(:1x fp -是x x f 31)(-=的反函数,且2)(1<-a f .命题:q 集合{}R x x a x x A ∈=+++=,01)2(2,{}0>=x x B ,且φ=⋂B A .求实数a 的取值范围,使命题p 、q 有且只有一个是真命题.20.〔此题总分值12分〕x ∈R,OA →=〔2a cos 2x ,1〕,OB →=〔2,23a sin2x +2-a 〕,y =OA →·OB →, ⑴求y 关于x 的函数解析式y =f (x ),并求其最小正周期〔a ≠0时〕;⑵当x ∈[0,π2]时,f (x )的最大值为5.求a 的值及函数y =f (x )〔x ∈R 〕的单调递增区间.B〔第19题图〕21.(此题总分值12分〕如图,设矩形ABCD 〔AB >AD 〕的周长为24,把它关于AC 折起来,AB 折过去后,交DC 于点P . 设AB =x , 求△ADP 的最大面积及相应的x 值.22.〔本小题总分值12分〕二次函数()()R x a ax x x f ∈+-=2同时满足:①不等式()0≤x f 的解集有且只有一个元素;②在定义域内存在210x x <<,使得不等式()()21x f x f >成立.设数列{}n a 的前n 项和()n f S n=,〔1〕求函数)(x f 的表达式;〔2〕求数列{}n a 的通项公式;〔3〕设各项均不为零的数列{}n c 中,所有满足01<⋅+i i c c 的正整数i 的个数称为这个数列{}n c 的变号数.令nna ac -=1〔n 为正整数〕,求数列{}n c 的变号数.23.(此题总分值12分) 函数2()ax f x x b+=+的图象关于点(2,3)-对称. (Ⅰ)求实数,a b 的值;(Ⅱ)假设数列{}n a ,{}n b 满足11,2a =1(),n n a f a +=1(1)1n nb n a =≥+,求数列{}n b 的通项公式;(Ⅲ)记12n n S b b b =++⋅⋅⋅+假设1nm S <恒成立,求m 的最小值.。
一、选择题(每题5分,共50分)1. 下列各式中,正确的是()A. $2^3 = 8$B. $3^2 = 9$C. $5^1 = 25$D. $4^0 = 1$2. 已知函数$f(x) = x^2 - 4x + 3$,则$f(2) = $()A. 1B. 3C. 4D. 53. 若$a > b$,则下列不等式中正确的是()A. $a^2 > b^2$B. $a^3 > b^3$C. $a^2 < b^2$D. $a^3 < b^3$4. 已知等差数列$\{a_n\}$的前$n$项和为$S_n$,若$S_5 = 25$,$S_8 = 60$,则$a_6 = $()A. 5B. 10C. 15D. 205. 若复数$z = a + bi$(其中$a, b$为实数)满足$|z - 1| = |z + 1|$,则实数$a$的值为()B. 1C. -1D. 26. 函数$f(x) = \log_2(x - 1)$的定义域为()A. $x > 1$B. $x \geq 1$C. $x < 1$D. $x \leq 1$7. 已知直线$y = kx + 1$与圆$x^2 + y^2 = 1$相切,则$k$的值为()A. $\pm\sqrt{3}$B. $\pm\frac{1}{\sqrt{3}}$C. $\pm\frac{1}{3}$D. $\pm3$8. 下列函数中,是奇函数的是()A. $f(x) = x^2 + 1$B. $f(x) = |x|$C. $f(x) = x^3$D. $f(x) = \frac{1}{x}$9. 若向量$\vec{a} = (2, 3)$,$\vec{b} = (4, -1)$,则$\vec{a} \cdot \vec{b} = $()A. 5B. 10C. -510. 已知函数$f(x) = e^x - 1$,则$f'(x) = $()A. $e^x$B. $e^x - 1$C. $e^x + 1$D. $e^x - 2$二、填空题(每题5分,共50分)11. 若$a, b, c$是等差数列的前三项,且$a + b + c = 15$,$abc = 27$,则$a^2 + b^2 + c^2 = $__________。
高三数学周练试卷
一、选择题:本大题共12小题,每小题5分,共60分。
1.",12
52""232cos "Z k k ∈+=-
=ππαα是的( )
A .必要非充分条件
B .充分非必要条件
C .充分必要条件
D .既非充分又非必要条件
2.等差数列}{n a 中,24)(3)(2119741=++++a a a a a ,则此数列的前13项和为( )
A .13
B .52
C . 26
D .156
3.若()f x 的值域为(0,2),则()(2006)1g x f x =--的值域为 ( )
A .(1,3)-
B .(2007,4011)--
C .(1,1)-
D .以上都不对
4.如果b a >>0且0>+b a ,那么以下不等式正确的个数是 ( )
①
b
a 1
1< ②b a 11> ③33ab b a < ④23ab a < ⑤32b b a <
A .2
B .3
C .4
D .5 5.函数)10(1||log )(<<+=a x x f a 的图象大致为
( )
6.等比数列{}n a 的首项11-=a ,前n 项和为n S ,已知32
31
510=S S ,则2a 等于 ( )
A .32
B .2
1
-
C .2
D .2
1
7.集合M={x|
21
<x ≤6},不等式21
x m x +->1解集是P ,若P ⊆M ,则实数m 的取值范围( ) A. [-21, 5] B. [-3, -2
1
] C. [-3, 5] D. [-3, -
21]∪(-2
1
, 5) 8.已知(31)4,1
()log ,1a a x a x f x x x -+<⎧=⎨≥⎩
是(,)-∞+∞上的减函数,那么a 的取值范围是
( )
A.(0,1)
B.1
(0,)3
C.11[,)73
D.1[,1)7
9.把函数x x y sin 3cos -=的图象沿向量)0()0,(>-=m m a
的方向平移后,所得的图
象关于y 轴对称,则m 的最小值是( )
A .
6
π
B .
3
π C .
32π D .
6
5π 10.已知0,2||,1||=⋅==OB OA OB OA ,点C 在∠AOB 内,且∠AOC=45°,设
),(R n m OB n OA m OC ∈+=,则
n
m
等于 ( )
A .
2
1 B .
2
2 C .2
D .2
11.已知,log 1)(2x x f +=设数列}{n a 满足*))((1
N n n f
a n ∈=-,则数列}{n a 的前n
项和n S 等于 ( ) A .12-n
B .12
1
--n C .141--n
D .14-n
12.平面直角坐标系中,O 为坐标原点,已知两点A (2,-1),B (-1,3),若点C
满足OB OA OC
βα+=其中0≤βα,≤1,且1=+βα,则点C 轨迹方程为
( )
A.0534=-+y x (-1≤
x
≤2) B. 083=+-y x (-1≤
x
≤2)
C. 0432=-+y x
D. 25)1()2
1(2
2=-+-y x
二、填空题:本大题共6小题,每小题5分,共30分,把答案填在横线上.
13.已知()f x 是定义在[]2,2-上的偶函数,且在[]0,2上单调递增,()(1)f m f m <-,
则m 的取值范围是: ;
14.设12
3
2(2)
()log (1)(2)x e x f x x x -⎧<=⎨-≥⎩,则不等式()f x >2的解集为 :_________________;
15.在数列{}n a 中,2
111,10n n a a a +=--=,则此数列的前2006项之和为:
____________; 16.若1sin(
),63π
α-=则2cos(2)3
πα+= ; 17.函数 )2(log )(2
2a x ax x f a ++= 在[-4,-2]上是增函数, 则a 取值范围:
______;
18.给出以下结论:
① 通项公式为a n =a 1(
32)n -1的数列一定是以a 1为首项,3
2
为公比的等比数列; ② 函数x x y cos sin =是最小正周期为 2π; ③函数y =x
1
在定义域上是单调递减的;
④ cos20 = cos700; ⑤函数y =log 2
1(4-x 2
)的值域是[-2,+∞).
其中正确的是:______________.
三、解答题:本大题共5小题,共60分.解答应写出文字说明,证明过程或演算步骤. 19.(本小题满分12分) 已知: 命题)(:1
x f
p -是x x f 31)(-=的反函数,且2)(1<-a f .
命题:q 集合{}
R x x a x x A ∈=+++=,01)2(2,{}
0>=x x B ,且φ=⋂B A .求实数a 的取值范围,使命题p 、q 有且只有一个是真命题.
20.(本题满分12分)
已知x ∈R ,OA →=(2a cos 2x ,1),OB →=(2,23a sin2x +2-a ),y =OA →·OB →
, ⑴求y 关于x 的函数解析式y =f (x ),并求其最小正周期(a ≠0时);
⑵当x ∈[0,
2]时,f (x )的最大值为5.求a 的值及函数y =f (x )(x ∈R )的单调递增区间.
B
(第19题
21.(本题满分12分)
如图,设矩形ABCD (AB >AD )的周长为24,把它关于AC 折起来,AB 折过去后,交
DC 于点P . 设AB =x , 求△ADP 的最大面积及相应的x 值.
22.(本小题满分12分)
已知二次函数()()R x a ax x x f ∈+-=2
同时满足:①不等式()0≤x f 的解集有
且只有一个元素;②在定义域内存在210x x <<,使得不等式()()21x f x f >成立。
设数列{}n a 的前n 项和()n f S n =,
(1)求函数)(x f 的表达式;(2)求数列{}n a 的通项公式;
(3)设各项均不为零的数列{}n c 中,所有满足01<⋅+i i c c 的正整数i 的个数称为这个数列{}n c 的变号数。
令n
n a a
c -
=1(n 为正整数),求数列{}n c 的变号数。
23.(本题满分12分) 已知函数2
()ax f x x b
+=
+的图象关于点(2,3)-对称. (Ⅰ)求实数,a b 的值;
(Ⅱ)若数列{}n a ,{}n b 满足11
,2
a =
1(),n n a f a +=1(1)1n n b n a =
≥+,求数列{}n b 的通项公式; (Ⅲ)记12n n S b b b =++⋅⋅⋅+若
1
n
m S <恒成立,求m 的最小值.。