清华大学计算流体力学第一次作业答案
- 格式:pdf
- 大小:101.98 KB
- 文档页数:3
工程流体力学课后习题答案工程流体力学课后习题答案工程流体力学是研究流体在工程中的运动和力学性质的学科。
它是应用力学的一个重要分支,广泛应用于航空、航天、能源、环境等领域。
在学习工程流体力学的过程中,课后习题是巩固知识、检验理解的重要方式。
下面将为大家提供一些工程流体力学课后习题的答案,希望对大家的学习有所帮助。
1. 一个长方形水槽的尺寸为2m×3m×4m,水槽中装满了水,求水的质量。
答:水的质量可以通过水的体积乘以水的密度来计算。
水的体积为2m×3m×4m=24m³,水的密度为1000kg/m³,因此水的质量为24m³×1000kg/m³=24000kg。
2. 一个圆柱形容器内的液体高度为1m,液体的压强为1000Pa,求液体的密度。
答:液体的密度可以通过液体的压强除以重力加速度来计算。
重力加速度的数值约为9.8m/s²。
液体的密度为1000Pa/9.8m/s²≈102.04kg/m³。
3. 一个水泵每秒向水池中抽水1000L,水池的面积为10m²,求每秒水池水位上升的高度。
答:每秒向水池中抽水1000L,即每秒向水池中注入1000kg的水。
水池的面积为10m²,因此每秒水池水位上升的高度为1000kg/10m²=100m。
4. 一个水管的直径为10cm,水流速度为1m/s,求水流的流量。
答:水流的流量可以通过水管的横截面积乘以水流速度来计算。
水管的直径为10cm,即半径为5cm=0.05m。
水管的横截面积为π(0.05m)²≈0.00785m²。
水流的流量为0.00785m²×1m/s=0.00785m³/s。
5. 一个水泵每分钟向水池中注入500L的水,水池的面积为5m²,求每分钟水池水位上升的高度。
第一章 绪论1-1 连续介质假设的条件是什么?答:所研究问题中物体的特征尺度L ,远远大于流体分子的平均自由行程l ,即l/L<<1。
1-2 设稀薄气体的分子自由行程是几米的数量级,问下列二种情况连续介质假设是否成立?(1)人造卫星在飞离大气层进入稀薄气体层时;(2)假象地球在这样的稀薄气体中运动时。
答:(1)不成立。
(2)成立。
1-3 粘性流体在静止时有没有切应力?理想流体在运动时有没有切应力?静止流体没有粘性吗?答:(1)由于0=dydv ,因此0==dy dv μτ,没有剪切应力。
(2)对于理想流体,由于粘性系数0=μ,因此0==dy dv μτ,没有剪切应力。
(3)粘性是流体的根本属性。
只是在静止流体中,由于流场的速度为0,流体的粘性没有表现出来。
1-4 在水池和风洞中进行船模试验时,需要测定由下式定义的无因次数(雷诺数)νUL=Re ,其中U 为试验速度,L 为船模长度,ν为流体的运动粘性系数。
如果s m U /20=,m L 4=,温度由C ︒10增到C ︒40时,分别计算在水池和风洞中试验时的Re 数。
(C ︒10时水和空气的运动粘性系数为410013.0-⨯和410014.0-⨯,C ︒40时水和空气的运动粘性系数为4100075.0-⨯和410179.0-⨯)。
答:C ︒10时水的Re 为:()()72410154.6/10013.04)/(20Re ⨯=⨯⨯==-s m m s m ULν。
C ︒10时空气的Re 为:()()72410714.5/10014.04)/(20Re ⨯=⨯⨯==-s m m s m ULν。
C ︒40时水的Re 为:()()82410067.1/100075.04)/(20Re ⨯=⨯⨯==-s m m s m UL ν。
C ︒40时空气的Re 为:()()62410469.4/10179.04)/(20Re ⨯=⨯⨯==-s m m s m UL ν。
一、选择题1.0018:某质点作直线运动的运动学方程为x =3t -5t 3 + 6 (SI),则该质点作(A) 匀加速直线运动,加速度沿x 轴正方向(B) 匀加速直线运动,加速度沿x 轴负方向(C) 变加速直线运动,加速度沿x 轴正方向(D) 变加速直线运动,加速度沿x 轴负方向[ ] 2.5003:一质点在平面上运动,已知质点位置矢量的表示式为j bt i at r 22+=(其中a 、b 为常量),则该质点作(A) 匀速直线运动 (B) 变速直线运动(C) 抛物线运动 (D)一般曲线运动 [ ] 3.0015:一运动质点在某瞬时位于矢径()y x r , 的端点处, 其速度大小为(A) t r d d (B) t r d d (C) t r d d (D)22d d d d ⎪⎭⎫ ⎝⎛+⎪⎭⎫ ⎝⎛t y t x 4.0508:质点沿半径为R 的圆周作匀速率运动,每T 秒转一圈。
在2T 时间间隔中,其平均速度大小与平均速率大小分别为(A) 2p R /T , 2p R/T (B) 0 , 2R /T (C) 0 , 0 (D) 2R /T , 0. [ ] 5.0518:以下五种运动形式中,a 保持不变的运动是(A) 单摆的运动 (B) 匀速率圆周运动(C) 行星的椭圆轨道运动 (D) 抛体运动 (E) 圆锥摆运动 [ ]6.0519:对于沿曲线运动的物体,以下几种说法中哪一种是正确的:(A) 切向加速度必不为零(B) 法向加速度必不为零(拐点处除外)(C) 由于速度沿切线方向,法向分速度必为零,因此法向加速度必为零(D) 若物体作匀速率运动,其总加速度必为零 (E) 若物体的加速度a 为恒矢量,它一定作匀变速率运动 [ ] 7.0602:质点作曲线运动,r 表示位置矢量,v 表示速度,a 表示加速度,S 表示路程,a 表示切向加速度,下列表达式中, (1) a t = d /d v , (2) v =t r d /d , (3) v =t S d /d , (4)t a t =d /d v (A) 只有(1)、(4)是对的 (B) 只有(2)、(4)是对的 (C) 只有(2)是对的 (D) 只有(3)是对的 [ ]8.0604:某物体的运动规律为t k t 2d /d v v -=,式中的k 为大于零的常量。
课后习题第一章1.计算流体动力学的基本任务是什么计算流体动力学是通过计算机数值计算和图像显示,对包含有流体流动和热传导等相关物理现象的系统所做的分析。
2.什么叫控制方程?常用的控制方程有哪几个?各用在什么场合?流体流动要受物理守恒定律的支配,基本的守恒定律包括:质量守恒定律、动量守恒定律、能量守恒定律。
如果流动包含有不同组分的混合或相互作用,系统还要遵守组分守恒定律。
如果流动处于湍流状态,系统还要遵守附加的湍流输运方程。
控制方程是这些守恒定律的数学描述。
常用的控制方程有质量守恒方程、动量守恒方程、能量守恒方程、组分质量守恒方程。
质量守恒方程和动量守恒方程任何流动问题都必须满足,能量守恒定律是包含有热交换的流动系统必须满足的基本定律组分质量守恒方程,在一个特定的系统中,可能存在质的交换,或者存在多种化学组分,每种组分都需要遵守组分质量守恒定律。
4.研究控制方程通用形式的意义何在?请分析控制方程通用形式中各项的意义。
建立控制方程通用形式是为了便于对各控制方程进行分析,并用同一程序对各控制方程进行求解。
各项依次为瞬态项、对流项、扩散项、源项。
6.CFD商用软件与用户自行设计的CFD程序相比,各有何优势?常用的商用CFD软件有哪些?特点如何?由于CFD的复杂性及计算机软硬件条件的多样性,用户各自的应用程序往往缺乏通用性。
CFD商用软件的特点是功能比较全面、适用性强。
具有比较易用的前后处理系统和其他CAD及CFD软件的接口能力,便于用户快速完成造型、网格划分等工作。
具有比较完备的容错机制和操作界面,稳定性高。
可在多种计算机、多种操作系统,包括并行环境下运行。
常用的商用CFD软件有PHOENICS、CFX、SRARCD、FIDAP、FLUENT。
PHOENICS除了通用CFD软件应该拥有的功能外,PHOENICS软件有自己独特的功能:开放性、CAD接口、运动物体功能、多种模型选择、双重算法选择、多模块选择。
计算流体力学作业答案问题1:什么是计算流体力学?计算流体力学(Computational Fluid Dynamics,简称CFD)是研究流体力学问题的一种方法,它使用数值方法对流体流动进行数值模拟和计算。
主要包括求解流体运动的方程组,通过空间离散和时间积分等计算方法,得到流体在给定条件下的运动和相应的物理量。
问题2:CFD的应用领域有哪些?CFD的应用领域非常广泛,包括但不限于以下几个方面:1.汽车工业:CFD可以用于汽车流场的模拟和优化,包括空气动力学性能和燃烧过程等。
2.航空航天工业:CFD可以用于飞机、火箭等流体动力学性能的预测和优化,包括机身、机翼的设计和改进等。
3.能源领域:CFD可以用于燃烧、热交换等能源领域的流体力学问题求解和优化。
4.管道流动:CFD可以用于石油、化工等行业的管道流动模拟和流体输送优化。
5.空气净化:CFD可以用于大气污染物的传输和分布模拟,以及空气净化设备的设计和改进。
6.生物医药:CFD可以用于生物流体输送和生物反应过程的模拟和分析,包括血液流动、药物输送等。
问题3:CFD的数值方法有哪些?CFD的数值方法一般包括以下几种:1.有限差分法(Finite Difference Method,FDM):将模拟区域划分为网格,并在网格上离散化流体运动的方程组,利用有限差分近似求解。
2.有限体积法(Finite Volume Method,FVM):将模拟区域划分为有限体积单元,通过对流体流量和通量的控制方程进行离散化,求解离散化方程组。
3.有限元法(Finite Element Method,FEM):将模拟区域划分为有限元网格,通过对流体运动方程进行弱形式的变分推导,将流动问题转化为求解线性方程组。
4.谱方法(Spectral Method):采用谱方法可以对流体运动方程进行高精度的空间离散,通常基于傅里叶变换或者基函数展开的方式进行求解。
5.计算网格方法(Meshless Methods):不依赖网格的数值方法,主要包括粒子方法(Particle Methods)、网格自适应方法(Gridless Method)等。
流体⼒学作业11.⼯程流体⼒学《科学出版社》18页,例1-3图1-5是滑动轴承⽰意图,直径60d mm =,长度140L mm =,间隙0.3mm δ=,间隙中充满了运动粘度6235.2810/m s ν-=?,密度3890/kg m ρ=的润滑油。
如果轴的转速500/min n r =,求轴表⾯磨擦阻⼒f F 和所消耗的功率p 的⼤⼩。
解:假设间隙是同⼼环形,因δ d ,间隙中的速度分布直线分布规律()u u r =,轴表⾯的速度梯度为60du rw dn dr πδδ== ⼜运动粘度µ=ργ=3.14ⅹ210-(Pa s ?)摩擦表⾯积 A dL π=根据⽜顿内摩擦定律,作⽤在轴表⾯的摩擦阻⼒为 f F =duA drµ?=4.33N 摩擦阻⼒消耗的功为 2260f f d n P F rw F π==?=6.8W 2. ⼯程流体⼒学《科学出版社》 46-47页,例2-4试推导装满液体的圆柱形容器,如图2-19所⽰,在下述条件下绕垂直轴作等⾓速度旋转时的压强表达ω式(a )容器的顶盖中⼼处开⼝(b )容器的顶盖边缘处开⼝解:等⾓速度旋转时压强的⼀般表达式为:22()2w r p g z c gρ=-+ (1)(a) 顶盖中⼼处开⼝则00,0r z p p ===时,,代⼊(1)式得0c p =,于是压强公式为:220()2w r p p g z gρ=+-(b )顶盖边缘开⼝,则0,0r R z p p ===时,得此时压强公式为2220()[]2w R r p p g z gρ-=-+3. ⼯程流体⼒学《科学出版社》 55-56页,例2-6如图2-26所⽰⼀弧形闸门,半径7.5R m =,挡着深度 4.8h m =的⽔,其圆⼼⾓43α=,旋转轴的位置距底为 5.8H m =,闸门的⽔平投影 2.7CB a m ==,闸门的宽度 6.4b m = 试求作⽤在闸门上的总压⼒的⼤⼩和压⼒中⼼。
流体力学作业题参考题答案流体力学网上作业题参考答案第一章:绪论(56)一、名词解释1. 流体:在任何微小剪切力的持续作用下能够连续不断变形的物质/液体和气体统称为流体。
2. 流体质点:质点亦称为流体微团,其尺度在微观上足够大,大到能包含大量的分子,使得在统计平均后能得到其物理量的确定值;而宏观行又足够小,远小于所研究问题的特征尺度,使其平均物理量可看成是连续的。
3. 惯性:惯性是物体维持原有运动状态的能力的性质。
4. 均质流体:任意点上密度相同的流体,称为均质流体。
5. 非均质流体:各点密度不完全相同的流体,称为非均质流体。
6. 粘性:流体在运动状态下具有抵抗剪切变形能力的性质,成为粘性或者粘滞性。
7. 内摩擦力:流体在流动时,对相邻两层流体间发生的相对运动,会产生阻碍其相对运动的力,这种力称为内摩擦力。
8. 流体的压缩性:流体的宏观体积随着作用压强的增大而减小的性质,称为流体的压缩性。
9. 不可压缩流体:流体密度随压强变化很小,流体的密度可视为常数的流体。
10. 可压缩流体:流体密度随压强变化不能忽略的流体。
11. 表面张力:表面张力是液体自由表面在分子作用半径范围内,由于分子引力大于斥力而在表层沿表面方向产生的拉力。
12. 表面力:作用在所研究流体外表面上,与表面积大小成正比的力。
13.质量力:作用在液体每一个质点上,其大小与液体质量成正比。
14.牛顿流体:把在作剪切运动时满足牛顿内摩擦定律的流体称为牛顿流体。
二、选择题1. 理想流体是指可以忽略( C )的流体。
A 密度 B 密度变化 C 粘度 D 粘度变化2. 不可压缩流体是指忽略( B )的流体。
A 密度 B 密度变化 C 粘度 D 粘度变化3. 关于流体粘性的说法中,不正确的是( D )。
A 粘性是流体的固有属性B 流体的粘性具有传递运动和阻碍运动的双重性C 粘性是运动流体产生机械能损失的根源D 流体的粘性随着温度的增加而降低4.下列各种流体中,属于牛顿流体的是( A )A 水、汽油、酒精B 水、新拌混凝土、新拌建筑砂浆C 泥石流、泥浆、血浆D 水、泥石流、天然气5. 单位质量力的量纲与( B )的量纲相同。
(完整版)⼯程流体⼒学习题及答案第1章绪论选择题【1.1】按连续介质的概念,流体质点是指:(a )流体的分⼦;(b )流体内的固体颗粒;(c )⼏何的点;(d )⼏何尺⼨同流动空间相⽐是极⼩量,⼜含有⼤量分⼦的微元体。
解:流体质点是指体积⼩到可以看作⼀个⼏何点,但它⼜含有⼤量的分⼦,且具有诸如速度、密度及压强等物理量的流体微团。
(d )【1.2】与⽜顿内摩擦定律直接相关的因素是:(a )切应⼒和压强;(b )切应⼒和剪切变形速度;(c )切应⼒和剪切变形;(d )切应⼒和流速。
解:⽜顿内摩擦定律是d d v y τµ=,⽽且速度梯度d d vy 是流体微团的剪切变形速度d d t γ,故d d t γτµ=。
(b )【1.3】流体运动黏度υ的国际单位是:(a )m 2/s ;(b )N/m 2;(c )kg/m ;(d )N·s/m 2。
解:流体的运动黏度υ的国际单位是/s m 2。
(a )【1.4】理想流体的特征是:(a )黏度是常数;(b )不可压缩;(c )⽆黏性;(d )符合RTp =ρ。
解:不考虑黏性的流体称为理想流体。
(c )【1.5】当⽔的压强增加⼀个⼤⽓压时,⽔的密度增⼤约为:(a )1/20 000;(b )1/1 000;(c )1/4 000;(d )1/2 000。
解:当⽔的压强增加⼀个⼤⽓压时,其密度增⼤约95d 1d 0.51011020 000k p ρρ-===。
【1.6】从⼒学的⾓度分析,⼀般流体和固体的区别在于流体:(a )能承受拉⼒,平衡时不能承受切应⼒;(b )不能承受拉⼒,平衡时能承受切应⼒;(c )不能承受拉⼒,平衡时不能承受切应⼒;(d )能承受拉⼒,平衡时也能承受切应⼒。
解:流体的特性是既不能承受拉⼒,同时具有很⼤的流动性,即平衡时不能承受切应⼒。
(c )【1.7】下列流体哪个属⽜顿流体:(a )汽油;(b )纸浆;(c )⾎液;(d )沥青。
流体力学1-1解:设:柴油的密度为ρ,重度为γ;40C 水的密度为ρ0,重度为γ0。
则在同一地点的相对密度和比重为:0ρρ=d ,0γγ=c 30/830100083.0m kg d =⨯=⨯=ρρ 30/81348.9100083.0m N c =⨯⨯=⨯=γγ1-2解:336/1260101026.1m kg =⨯⨯=-ρ3/123488.91260m N g =⨯==ργ1-3解:269/106.191096.101.0m N E VVV Vp p V V p p p ⨯=⨯⨯=∆-=∆-=∆⇒∆∆-=ββ 1-4解:N m p V V p /105.21041010002956--⨯=⨯=∆∆-=β 299/104.0105.211m N E pp ⨯=⨯==-β 1-5解:1)求体积膨涨量和桶内压强受温度增加的影响,200升汽油的体积膨涨量为:()l T V V T T 4.2202000006.00=⨯⨯=∆=∆β由于容器封闭,体积不变,从而因体积膨涨量使容器内压强升高,体积压缩量等于体积膨涨量。
故:26400/1027.16108.9140004.22004.2m N E V V V V V V p p T T pTT ⨯=⨯⨯⨯+=∆+∆-=∆+∆-=∆β2)在保证液面压强增量0.18个大气压下,求桶内最大能装的汽油质量。
设装的汽油体积为V ,那么:体积膨涨量为:T V V T T ∆=∆β体积压缩量为:()()T V E p V V E pV T pT p p ∆+∆=∆+∆=∆β1因此,温度升高和压强升高联合作用的结果,应满足:()()⎪⎪⎭⎫⎝⎛∆-∆+=∆-∆+=p T p T E p T V V T V V 1110ββ ()())(63.197108.9140001018.01200006.0120011450l E p T V V p T =⎪⎪⎭⎫⎝⎛⨯⨯⨯-⨯⨯+=⎪⎪⎭⎫ ⎝⎛∆-∆+=β()kg V m 34.1381063.19710007.03=⨯⨯⨯==-ρ1-6解:石油的动力粘度:s pa .028.01.010028=⨯=μ 石油的运动粘度:s m /1011.39.01000028.025-⨯=⨯==ρμν 1-7解:石油的运动粘度:s m St /1044.01004025-⨯===ν 石油的动力粘度:s pa .0356.010*******.05=⨯⨯⨯==-ρνμ1-8解:2/1147001.01147.1m N u=⨯==δμτ 1-9解:()()2/5.1621196.012.0215.0065.021m N d D u u =-⨯=-==μδμτN L d F 54.85.16214.01196.014.3=⨯⨯⨯=⨯⨯⨯=τπ第二章2-4解:设:测压管中空气的压强为p 2,水银的密度为1ρ,水的密度为2ρ。
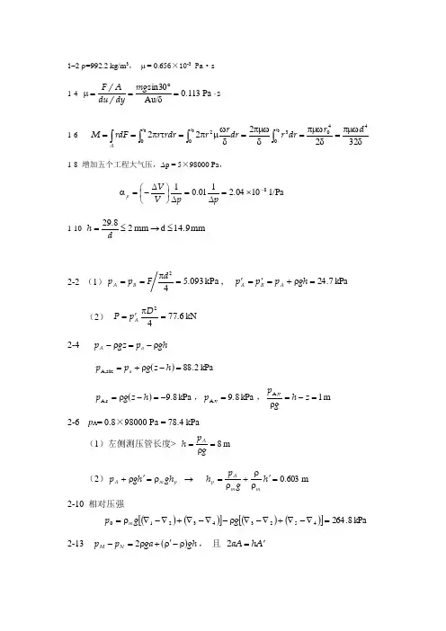
1-2 ρ=992.2 kg/m 3, μ = 0.656×10-3 Pa ·s1-4 s Pa 1130Au/30sin ⋅=δ︒==μ.mg dy/du A /F1-6 δπμω=δπμω=δπμω=δωμπ=τπ==⎰⎰⎰⎰3222224432d r dr r dr r r dr r r rdFM r r r A1-8 增加五个工程大气压,∆p = 5×98000 Pa ,1/Pa 10042101018-⨯=∆=∆⎪⎭⎫ ⎝⎛∆-=α.p .p V V p 1-10 mm 14.9 d mm 2829≤→≤=d.h2-2 (1)kPa 093542.d Fp p B A =π==, kPa 724.gh p p p A BA =ρ+='=' (2) kN 67742.D p P A=π'=2-4 gh p gz p a A ρ-=ρ-()kPa 288abs A,.h z g p p a =-ρ+=()kPa89r A,.h z g p -=-ρ=,kPa 89v A,.p =,m 1v A,=-=ρz h gp2-6 p A = 0.8×98000 Pa = 78.4 kPa(1)左侧测压管长度> m8=ρ=gp h A(2)m 6030 .h gp h gh h g p mm A p p m A ='ρρ+ρ=→ρ='ρ+2-10 相对压强()()[]()()[]kPa 8264452343210.g g p m =∇-∇+∇-∇ρ-∇-∇+∇-∇ρ=2-13 ()gh ga p p N M ρ-ρ'+ρ=-2, 且 A h aA '=2得 ()gh A A p p N M ⎥⎦⎤⎢⎣⎡'ρ+ρ-ρ'=-2-18 右侧水压抵消左侧部分水压,剩余压强均匀分布于闸门上,kPa 250m 5102589..p =⨯⨯=总压力P = pA = 753.4 k N →, 压力中心位于闸门形心 T = P/2 = 376.7 kN2-19 AB 上的压强分布 = 分布于AB 上、深度为(h 1+h 2)的油压+ 从界面至B (深度为h 2)、密度为(ρw -ρo )的液体的压强分布两者均为三角形压强分布。
第一章习题答案选择题(单选题)1.1 按连续介质的概念,流体质点是指:(d )(a )流体的分子;(b )流体内的固体颗粒;(c )几何的点;(d )几何尺寸同流动空间相比是极小量,又含有大量分子的微元体。
1.2 作用于流体的质量力包括:(c )(a )压力;(b )摩擦阻力;(c )重力;(d )表面张力。
1.3 单位质量力的国际单位是:(d )(a )N ;(b )Pa ;(c )kg N /;(d )2/s m 。
1.4 与牛顿内摩擦定律直接有关的因素是:(b )(a )剪应力和压强;(b )剪应力和剪应变率;(c )剪应力和剪应变;(d )剪应力和流速。
1.5 水的动力黏度μ随温度的升高:(b )(a )增大;(b )减小;(c )不变;(d )不定。
1.6 流体运动黏度ν的国际单位是:(a )(a )2/s m ;(b )2/m N ;(c )m kg /;(d )2/m s N ⋅。
1.7 无黏性流体的特征是:(c )(a )黏度是常数;(b )不可压缩;(c )无黏性;(d )符合RT p=ρ。
1.8 当水的压强增加1个大气压时,水的密度增大约为:(a )(a )1/20000;(b )1/10000;(c )1/4000;(d )1/2000。
1.9 水的密度为10003kg/m ,2L 水的质量和重量是多少? 解: 10000.0022m V ρ==⨯=(kg )29.80719.614G mg ==⨯=(N )答:2L 水的质量是2 kg ,重量是19.614N 。
1.10 体积为0.53m 的油料,重量为4410N ,试求该油料的密度是多少? 解: 44109.807899.3580.5m G g V V ρ====(kg/m 3) 答:该油料的密度是899.358 kg/m 3。
1.11 某液体的动力黏度为0.005Pa s ⋅,其密度为8503/kg m ,试求其运动黏度。
解:算子2222()1L x y∂∂=-++∂∂正定:222222222222(),[()][()][()()][()()]u uL u u u udxdyx y u uu u dxdyx y u u u uu u dxdy dxdy u dxdy x x y y x y ΩΩΩΩΩ∂∂<>=-++∂∂∂∂=-++∂∂∂∂∂∂∂∂=-++++∂∂∂∂∂∂⎰⎰⎰⎰⎰⎰⎰⎰⎰⎰利用高斯公式,并注意到边界s 上的边界条件有:22[()()]S S u u uu u dxdy u dS u dS x x y y n Ω∂∂∂∂∂+==-∂∂∂∂∂⎰⎰⎰⎰ 因此得到:22222(),[()()]0S u u L u u dxdy u dS u dxdy x y ΩΩ∂∂<>=+++>∂∂⎰⎰⎰⎰⎰正定 对称:222222222(),[()]()[()()][(][]S u uL u v u vdxdyx y u uvdxdy uvdxdy x y u u u v u v v v dxdy dxdy uvdxdy x x y y x x y y u v u vdxdy uvdS uvdxdy x x y y ΩΩΩΩΩΩΩΩ∂∂<>=-++∂∂∂∂=-++∂∂∂∂∂∂∂∂∂∂=-++++∂∂∂∂∂∂∂∂∂∂∂∂=+++∂∂∂∂⎰⎰⎰⎰⎰⎰⎰⎰⎰⎰⎰⎰⎰⎰⎰⎰⎰同理22222(),[()][]S v vL v u v udxdyx y u v u vdxdy uvdS uvdxdy x x y y ΩΩΩ∂∂<>=-++∂∂∂∂∂∂=+++∂∂∂∂⎰⎰⎰⎰⎰⎰⎰(),(),L u v L v u <>=<>对称于是写出赫林定力的泛函式:22222221()(),,2111[()()]222y y S J u L u u u x e u u dxdy u dS u dxdy x e udxdy x y --ΩΩΩ=<>-<->∂∂=++++∂∂⎰⎰⎰⎰⎰⎰⎰解:算子2222()L x y∂∂=-+∂∂证明算子正定:222222(),[()][()()][()()]u u u u u uL u u udxdy u u dxdy dxdyx y x x y y x y ΩΩΩ∂∂∂∂∂∂∂∂<>=-+=-+++∂∂∂∂∂∂∂∂⎰⎰⎰⎰⎰⎰ 根据格林公式2222[()()][(1*)(1*)]()S Su u u uu u dxdy u dS g dS x x y y n n u u u ug dxdy g dxdy x x y y x y ΩΩΩ∂∂∂∂∂∂+==∂∂∂∂∂∂∂∂∂∂∂∂=+=+∂∂∂∂∂∂⎰⎰⎰⎰⎰⎰⎰⎰222222(),[()()]()u u u uL u u dxdy g dxdy x y x y ΩΩ∂∂∂∂<>=+-+∂∂∂∂⎰⎰⎰⎰事实上,无法证明上式大于0,无法证明其正定性。
流体力学练习题及答案一、单项选择题1、下列各力中,不属于表面力的是( )。
A .惯性力B .粘滞力C .压力D .表面张力2、下列关于流体粘性的说法中,不准确的说法是( )。
A .粘性是实际流体的物性之一B .构成流体粘性的因素是流体分子间的吸引力C .流体粘性具有阻碍流体流动的能力D .流体运动粘度的国际单位制单位是m 2/s3、在流体研究的欧拉法中,流体质点的加速度包括当地加速度和迁移加速度,迁移加速度反映( )。
A .由于流体质点运动改变了空间位置而引起的速度变化率B .流体速度场的不稳定性C .流体质点在流场某一固定空间位置上的速度变化率D .流体的膨胀性4、重力场中平衡流体的势函数为( )。
A .gz -=πB .gz =πC .z ρπ-=D .z ρπ=5、无旋流动是指( )流动。
A .平行B .不可压缩流体平面C .旋涡强度为零的D .流线是直线的6、流体内摩擦力的量纲[]F 是( )。
A . []1-MLt B . []21--t ML C . []11--t MLD . []2-MLt 7、已知不可压缩流体的流速场为xyj zi x 2V 2+= ,则流动属于( )。
A .三向稳定流动B .二维非稳定流动C .三维稳定流动D .二维稳定流动8、动量方程 的不适用于( ) 的流场。
A .理想流体作定常流动in out QV QV F )()(ρρ∑-∑=∑B.粘性流体作定常流动C.不可压缩流体作定常流动D.流体作非定常流动9、不可压缩实际流体在重力场中的水平等径管道内作稳定流动时,以下陈述错误的是:沿流动方向( ) 。
A.流量逐渐减少B.阻力损失量与流经的长度成正比C.压强逐渐下降D.雷诺数维持不变10、串联管道系统中,其各支管内单位质量流体的能量损失()。
A.一定不相等B.之和为单位质量流体的总能量损失C.一定相等D.相等与否取决于支管长度是否相等11、边界层的基本特征之一是()。
国开(电大)《流体力学》形考作业1-7参考答案形考作业1一、选择题1.牛顿内摩擦定律适用于()A. 非牛顿流体B. 牛顿流体C. 任何流体2.液体不具有的性质是()A. 粘滞性B. 易流动性C. 抗拉性D. 压缩性3.连续介质假定认为流体()连续。
A. 分子间B. 在微观上C. 原子间D. 在宏观上4.在国际制单位制中流体力学基本量纲不包括()A. 力B. 质量C. 长度D. 时间5.在静水中取一六面体,作用在该六面体上的力有()A. 正压力、重力B. 切向力、重力C. 切向力、正压力D. 正压力、切向力、重力6.下属那些力属于质量力()A. 惯性力B. 弹性力C. 重力D. 粘滞力E. 表面张力二、判断题1.压强和切应力属表面力。
(√)2.流体惯性力与加速度方向相同。
(╳)3.粘滞性可以制止流体流动。
(√)4.理想流体与实际流体的区别仅在于理想流体具有不可压缩性。
(√)三、简答题1.为什么要建立连续介质模型?参考答案:液体(气体)是由分子组成的,分子间有空隙,不连续。
工程上研究的流体,关心的是流体宏观的物理性质。
把流体看成为由质点组成的连续体——连续介质模型,目的是建立描述流体运动的连续函数,便于应用数学工具,解决工程实际问题。
2.什么是流体的粘滞性?它对流体流动起什么作用?参考答案:流体具有的阻滞变形运动的特性——流体的粘滞性,它对流体流动产生阻力,造成能量损失。
3.动力粘滞系数μ和运动粘滞系数v 有什么区别?参考答案:两者都反映流体的粘滞性,μ为动力量,v为运动量,μ=ρv,量纲不同。
4.容器内盛有液体,求下述不同情况时该液体所受单位质量力?(1)容器静止时;(2)容器以等加速度g垂直向上运动;(3)容器以等加速度g垂直向下运动。
参考答案:(1)液体所受单位质量力仅有重力;(2)液体所受单位质量力为2g;(3)液体所受单位质量力为0。
5.试分析图中三种情况下水体A受哪些表面力和质量力?(1)静止水池;(2)顺直渠道水流(均匀流);(3)平面弯道水流。