完全平方公式变形
- 格式:doc
- 大小:75.50 KB
- 文档页数:5
完全平方公式12种变形公式完全平方公式12种变形公式是一类经典的数学公式,也叫广义完全平方公式,它可以将表示为一元二次方程的某一种形式的不定方程都变形为一元二次方程,从而使求解方程变得更加容易。
它具有广泛的应用,如科学、工程等。
完全平方公式一共有12种,每一种都是由一元二次方程的左右两边变形得到的。
下面分别介绍它们的变形过程和形式:1. 令变形:即左边的方程可以变成 [x^2+2kx+k^2=(x+k)^2],右边可以变形为 [ax^2+2kx+2x+k^2=ax^2+2kx+2x+k^2]。
2.方相加变形:即左边的方程可以变成[x^2+(2k+a)x+ka^2=(x+k)^2+a^2],右边可以变形为[ax^2+(2k+a)x+ka^2=(x+k)^2+a^2]。
3.乘变形:即左边的方程可以变成 [x^2+2kxy+ky^2=(x+ky)^2],右边可以变形为 [ax^2+2kxy+ky^2=(x+ky)^2]。
4.方相减变形:即左边的方程可以变成[x^2+(2k-a)x+ka^2=(x+k)^2-a^2],右边可以变形为[ax^2+(2k-a)x+ka^2=(x+k)^2-a^2]。
5.项变形:即左边的方程可以变成[x^2+(2k+1)x+k^2-a=x^2+(2k+1)x-a+k^2],右边可以变形为[ax^2+(2k+1)x+k^2-a=x^2+(2k+1)x-a+k^2]。
6.积变形:即左边的方程可以变成[(x+a)(x+b)=x^2+(a+b)x+ab],右边可以变形为[ax^2+(a+b)x+ab=(x+a)(x+b)]。
7. 乘积变形:即左边的方程可以变成[x^2+2abx+b^2=a^2(x+b)^2],右边可以变形为[ax^2+2abx+b^2=a^2(x+b)^2]。
8.积变形:即左边的方程可以变成 [x^2-2abx+b^2=a^2(x-b)^2],右边可以变形为 [ax^2-2abx+b^2=a^2(x-b)^2]。
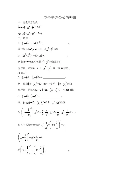
完全平方公式的变形一、完全平方公式()b a +2=a 2+b 2+ab 2()b a -2=a 2+b 2—ab 2 二、拓展一1、()b a +2—(b a 22+)= 。
例已知a+b=5,ab= —6,求b a22+的值 2、(b a 22+)—()b a -2= 。
例若x —y=3,xy=10,则y x 22+的值是多少 延伸题:已知x —y=4,y x 22+=20,求xy 的值, 拓展二3、()b a +2—()b a -2== 。
例:已知()y x +2=12,xy= —1求:()y x -2的值 延伸题:例已知()n m +2=11,()n m -2=7,求mn 的值 4、()b a +2+()b a -2= 。
例:()b a +2=15,()b a -2=7求:a 2+b 2的值5、⎪⎭⎫ ⎝⎛+x x 12=x 2+2x x 1.+x 21=x 2+2+x 21=x 2+x 21+2(1)由(1)式变形可以得到x 2+x 21=⎪⎭⎫ ⎝⎛+x x 12—2⎪⎭⎫ ⎝⎛-x x 12=x 2+x 21—2 则⎪⎭⎫ ⎝⎛+x x 12—⎪⎭⎫ ⎝⎛-x x 12= 。
例:如果 ⎪⎭⎫ ⎝⎛+x x 1=3,则x 2+x 21的值是多少: 延伸题:⎪⎭⎫ ⎝⎛+x x 1=3 且x>x 1 则⎪⎭⎫ ⎝⎛-x x 12的值为多少 6、拆项法(一般是拆常数项,来拼凑完全平方公式,进行完全平方公式的逆运用) 例:a 2+b 2+4a —2b+5=0 求a 、b 的值 解:a2+4a+b 2—2b+5=0 a 2+2•a •2+4+b2—2•b •1+1.=0。
在这里将常数项5拆成4和1的和 ()22+a +()12-b =0.。
完全平方公式的逆运用 2+a =0 1-b =0所以a= —2 b=1例:已知y x 22++x 4—y 6+13=0,x,y 都是有理数,求x y 的值 7、如果9x 2—kxy+49y 2是一个完全平方公式,那么k 的值是( )A 、42B 、—42C 、21±D 、42±练习:1、如果a —b=8,ab=,20,求b a 22+的值 2、已知:a+b=8 ab=,24求,下列的值b a 22+ ()b a -2 3、如果 是一个完全平方公式,那么a 的值是( ).A .2B .-2C .D .。
七下完全平方公式变形完全平方公式是数学中一个重要的概念,它在解决一些特定类型的方程时起到了关键的作用。
这个公式的变形有时也能给我们带来一些启示,让我们对数学的世界有更深入的认识。
在我们的日常生活中,有时会遇到一些问题,比如需要求解一个方程,或者计算一个数的平方根。
这时候,完全平方公式就能派上用场。
它的原始形式是这样的:对于任意实数a和b,有(a+b)²=a²+2ab+b²。
这个公式的应用非常广泛,可以解决各种各样的问题。
但是,我们也可以将完全平方公式进行一些变形,以适应不同的情况。
比如,我们可以将(a+b)²展开为a²+b²+2ab,或者将a²+2ab展开为(a+b)²-b²。
这样的变形虽然看起来很简单,但却能给我们带来一些启示。
通过变形,我们可以更好地理解完全平方公式的本质。
它其实是一种将平方求和的方法,通过将一个数的平方和两倍乘积相加,得到一个完全平方的和。
这个过程既简单又巧妙,让我们能够更好地理解数学的世界。
除了解决方程和计算平方根之外,完全平方公式还可以应用于其他领域。
比如,在几何学中,我们可以利用完全平方公式求解一些与平方有关的问题。
在物理学中,完全平方公式也有广泛的应用,可以帮助我们解决一些复杂的物理方程。
完全平方公式是数学中一个重要的概念,它的变形能够帮助我们更好地理解数学的世界。
通过灵活运用完全平方公式,我们可以解决各种各样的问题,从而更好地应对现实生活中的挑战。
希望大家能够充分理解完全平方公式的变形,将它应用到实际问题中,发现数学的美妙之处。
完全平方公式变形的应用完全平方公式是多项式乘法中非常重要的一个公式。
掌握其变形特点并灵活运用,可以巧妙地解决很多问题。
一. 完全平方公式常见的变形有a2+b2=(a+b)2-2ab,a2+b2=(a-b)2+2ab,(a+b)2-(a-b)2=4ab,a2+b2+c2=(a+b+c)2-2(ab+ac+bc)二. 乘法公式变形的应用例1:已知:x2+y2+4x-6y+13=0,x、y均为有理数,求x y的值。
分析:逆用完全乘方公式,将x2+y2+4x-6y+13化为两个完全平方式的和,利用完全平方式的非负性求出x与y 的值即可。
解:∵x2+y2+4x-6y+13=0,(x2+4x+4)+(y2-6y+9)=0,即(x+2)2+(y-3)2=0。
∴x+2=0,y=3=0。
即x=-2,y=3。
∴x y=(-2)3=-8。
分析:本题巧妙地利用例3 已知:a+b=8,ab=16+c2,求(a-b+c)2002的值。
分析:由已知条件无法直接求得(a-b+c)2002的值,可利用(a-b)2=(a+b)2-4ab 确定a-b与c的关系,再计算(a-b+c)2002的值。
解:(a-b)2=(a+b)2-4ab=82-4(16+c2)=-4c2。
即:(a-b)2+4c2=0。
∴a-b=0,c=0。
∴(a-b+c)2002=0。
例4 已知:a、b、c、d为正有理数,且满足a4+b4+C4+D4=4abcd。
求证:a=b=c=d。
分析:从a4+b4+C4+D4=4abcd的特点看出可以化成完全平方形式,再寻找证明思路。
证明:∵a4+b4+C4+D4=4abcd,∴a4-2a2b2+b4+c4-2c2d2+d4+2a2b2-4abcd+2c2d2=0,(a2-b2)2+(c2-d2)2+2(ab-cd)2=0。
a2-b2=0,c2-d2=0,ab-cd=0又∵a、b、c、d为正有理数,∴a=b,c=d。
代入ab-cd=0,得a2=c2,即a=c。
完全平方公式变形的应用完全平方公式是解二次方程的重要基础工具,可以将一个二次方程转化为一个完全平方的形式。
在实际应用中,完全平方公式变形主要用于简化计算、求解函数极值、确定函数性质等方面。
下面我们将具体介绍完全平方公式变形的应用。
一、解析几何中的应用1.完全平方公式变形常用于求解平面上的曲线的性质,如拟合圆弧、确定形状等。
例如,在平面几何中,如果已知一个椭圆的标准方程为$\frac{x^2}{a^2}+\frac{y^2}{b^2}=1$,要求椭圆上两点之间的距离,可以利用完全平方公式将方程变形为$(\frac{x}{a})^2+(\frac{y}{b})^2=1$,即$x=a\cos\theta$,$y=b\sin\theta$。
然后,通过参数方程求解两点之间的距离。
2.完全平方公式变形也常用于解决计算几何中的问题。
例如,在计算几何中,如果已知一个长方形的面积为$8$平方单位,要求长方形的长和宽的和,可以利用完全平方公式将面积写成方程$x^2+lx-8=0$,其中$l$为长方形的长和宽的和。
然后,通过求解这个方程,即可得到长方形的长和宽的和的值。
二、实际问题中的应用1.完全平方公式变形可用于优化问题中的求解。
例如,在生产实践中,工厂生产其中一种产品,设产量为$x$件/天。
已知每件产品的销售价格为$p$元/件,每件产品的生产成本为$c$元/件,则销售收入$R$与生产成本$C$之间的关系可以表示为$R=px$,$C=cx$。
要使得利润最大化,即$R-C$最大化,可以通过完全平方公式变形求得产量$x$的最优值,进而计算出最大利润。
2.完全平方公式变形可用于求解抛物线的最值问题。
例如,在物理学中,一个抛体的运动轨迹为抛物线,设该抛物线的方程为$y=ax^2+bx+c$,其中$a$、$b$、$c$为常数。
要求抛物线的顶点坐标,可通过完全平方公式将方程变形为$y=a(x-\frac{b}{2a})^2+c-\frac{b^2}{4a}$,即可得到顶点坐标$(\frac{b}{2a},c-\frac{b^2}{4a})$。
完全平方公式变形的应用培优
1.变形一:平方差公式
将完全平方公式中的等式两边移项,可以得到平方差公式:
(a+b)²-a²=2ab;
(a-b)²-a²=-2ab
这些公式可以用于解决一些二次方程的求解问题,也可以用于快速计
算一些算术运算,如:(42)²-40²=(42+40)(42-40)=82*2=164
2.变形二:立方差公式
(a+b)³-a³=3a²b+3ab²+b³;
(a-b)³-a³=-3a²b+3ab²-b³
这些公式可以用于解决一些立方方程的求解问题和立方运算问题,如:(a+b)³=(a+b)(a+b)²
1.应用一:平方求和公式
1²+2²+…+n²=(n(n+1)(2n+1))/6
2.应用二:定积分计算
∫(x²+2x+1)dx=∫(x+1)²dx=(1/3)(x+1)³+C
3.应用三:因式分解
x²+6x+9=(x+3)²
以上是完全平方公式变形的一些应用示例,从中可以看出完全平方公式变形在代数学习中的重要性。
通过灵活运用完全平方公式变形,可以解决一些复杂的方程和计算问题,提高解题能力和计算效率。
因此,学生在数学学习中一定要熟练掌握完全平方公式的变形和应用。
完全平方公式的变形与应用我们学习了完全平方公式:2222)(b ab a b a +±=±,它是多项式乘法中非常重要的公式,如果将两个公式适当加以变形,其用途更广泛,作用更大.下面结合几例加以说明:一、移项变形1、222()2a b a b ab +=+-;2、222()2a b a b ab +=-+.例1 (1)(2010浙江宁波)若3=+y x ,1=xy ,则=+22y x ___________.(2)已知6,4a b ab -==,求22a b +的值.分析:(1)利用完全平方公式的变形1,先将22x y +变形为(x y +)2-2xy ,然后代入求值.(2)利用完全平方公式的变形2,先将22b a +变形为2()2a b ab -+,然后代入求值. 解:(1)x 2+y 2=(x y +)2-2xy =32-2=7;(2)2222()262436844a b a b ab +=-+=+⨯=+=.二、两公式相加变形3、2222()()2()a b a b a b ++-=+.例2 已知2222,3)(,7)(y x y x y x +=-=+求的值。
解:利用以上变形3得:52372)()(2222=+=-++=+y x y x y x 例3 已知6,4a b a b +=-=求22a b +的值.分析:利用以上变形3可求出22a b +的值.解:因为2222()()2()a b a b a b ++-=+,6,4a b a b +=-=.所以36+16=222()a b +,即222()a b +=52.所以22a b +=26.三、两公式相减变形4、22()()4a b a b ab +--=例4 已知2()16a b +=,3ab =,求2()a b -的值. 分析:利用以上变形4,可求出2()a b -的值. 解:因为22()()4a b a b ab +--=,2()16a b +=,3ab =, 所以16-2()a b -=4×3,所以2()a b -=4.例5已知216,8c ab b a +==+,求2012()a b c -+的值。
完整版)完全平方公式变形公式专题半期复(3)——完全平方公式变形公式及常见题型一、公式拓展:拓展一:$a+b=(a+b)^2-2ab$a-b=(a-b)^2-2ab$拓展二:$(a+b)-(a-b)=4ab$a+b)=(a-b)+4ab$拓展三:$a+b+c=(a+b+c)-2ab-2ac-2bc$拓展四:杨辉三角形a+b)^2=a^2+2ab+b^2$a+b)^3=a^3+3a^2b+3ab^2+b^3$拓展五:立方和与立方差a^3+b^3=(a+b)(a^2-ab+b^2)$a^3-b^3=(a-b)(a^2+ab+b^2)$二、常见题型:一)公式倍比已知$a+b=4$,求$\frac{a^2+b^2}{2ab}$ 1)$x+y=1$,求$x^2+xy+y^2$2)已知$x(x-1)-(x-y)=-2$,求$x^2-y^2$ 二)公式变形1)设$(5a+3b)^2=(5a-3b)^2+A$,求$A$2)若$(2a-3b)=(2a+3b)+N$,求$N$3)如果$(x-y)+M=(x+y)$,求$M$4)已知$(a+b)=m$,$(a-b)=n$,求$ab$5)若$(2a-3b)=(2a+3b)+N$,求$N$的代数式三)“知二求一”1.已知$x-y=1$,$x^2+y^2=25$,求$xy$的值2.若$x+y=3$,$(x+2)(y+2)=12$,求$xy$和$x^2+3xy+y^2$的值3.已知$x+y=3$,$xy=-8$,求$x^2+y^2$和$(x^2-1)(y^2-1)$的值4.已知$a-b=3$,$ab=2$,求$(a+b)^2$和$a^2-6ab+b^2$的值四)整体代入例1:已知$x-y=24$,$x+y=6$,求$5x+3y$的值例2:已知$a=x+20$,$b=x+19$,$c=x+21$,求$a^2+b^2+c^2-ab-bc-ac$的值⑴若$x-3y=7$,$x-9y=49$,求$x+3y$的值⑵若$a+b=2$,求$a-4b$的值⑶已知$a^2+b^2=6ab$且$a>b$,求$a+b$的值已知$a=2005x+2004$,$b=2005x+2006$,$c=2005x+2008$,则代数式$a^2+b^2+c^2-ab-bc-ca$的值为:begin{aligned}a^2+b^2+c^2-ab-bc-ca&=(2005x+2004)^2+(2005x+2006)^2+(2005x+2008)^2\\ quad-(2005x+2004)(2005x+2006)-(2005x+2006)(2005x+2008)-(2005x+2008)(2005x+2004)\\ 3\cdot(2005x)^2+3\cdot2\cdot2005x+3\cdot(2004^2+2006^2 +2008^2)-3\cdot(2004\cdot2006+2006\cdot2008+2008\cdot2004)\\ 3\cdot2005^2x^2+6\cdot2005x+3\cdot(2004^2+2006^2+2008 ^2)-3\cdot(2004+2006+2008)^2+3\cdot(2004^2+2006^2+2008^2)\\ 3\cdot2005^2x^2+6\cdot2005x+3\cdot(2004^2+2006^2+2008 ^2)-3\cdot2018^2+6\cdot(2004^2+2006^2+2008^2)\\10\cdot(2005^2x^2+2005)+10\cdot(2004^2+2006^2+2008^2) -3\cdot2018^2\\10\cdot(2005^2x^2+2005)+10\cdot(2005^2-1)-3\cdot2018^2\\10\cdot2005^2x^2+10\cdot2005^2-10\cdot2005+10\cdot2005^2-10-3\cdot2018^2\\10\cdot2005^2x^2+20\cdot2005^2-10\cdot2005-3\cdot2018^2-10\\end{aligned}五)杨辉三角观察杨辉三角(1),发现每个数都是上面两个数之和,可以得到如下规律:a+b)^1=a+b$$a+b)^2=a^2+2ab+b^2$$a+b)^3=a^3+3a^2b+3ab^2+b^3$$a+b)^4=a^4+4a^3b+6a^2b^2+4ab^3+b^4$$a+b)^5=a^5+5a^4b+10a^3b^2+10a^2b^3+5ab^4+b^5$$根据规律,$(a+b)^6=a^6+6a^5b+15a^4b^2+20a^3b^3+15a^2b^4+6ab^5+b^6 $。
完全平方公式的变形及其应用完全平方公式的变形及其应用多项式乘法的完全平方公式的变形形式很多,且应用广泛。
下面结合例题,介绍完全平方公式的变形及其应用。
一、变式1:$a^2+b^2=(a+b)^2-2ab$这是因为:由$(a+b)=a^2+b^2+2ab$,移项,得$a^2+b^2=(a+b)^2-2ab$。
例1:已知$x+y=5$,$xy=2$,求下列各式的值:(1)$x^2+y^2$;(2)$x^4+y^4$。
解:由变式1,得(1)$x^2+y^2=(x+y)^2-2xy=5^2-2\times2=21$;(2)$x^4+y^4=\left(x^2+y^2\right)^2-2x^2y^2=21^2-2\times4=433$。
二、变式2:$a^2+b^2=(a-b)^2+2ab$这是因为:由$(a-b)=a^2-2ab+b^2$,移项,得$a^2+b^2=(a-b)^2+2ab$。
例2:已知$a-\sqrt{11}=5$,求$a^2+11$的值。
解:由变式2,得$a^2+11=\left(a-\sqrt{11}\right)^2+2\sqrt{11}=5^2+2\sqrt{11}=27$。
三、变式3:$ab=\dfrac{1}{2}\left(2a+b-\sqrt{a^2+b^2}\right)$这是因为:由$(a+b)=a^2+b^2+2ab$,得$2ab=(a+b)-\left(a^2+b^2\right)$,两边同除以2,得$ab=\dfrac{1}{2}\left(2a+b-\sqrt{a^2+b^2}\right)$。
例3:已知$a+b=7$,$a^2+b^2=29$,求$ab$的值。
解:由变式3,得$ab=\dfrac{1}{2}\left(2a+b-\sqrt{a^2+b^2}\right)=\dfrac{1}{2}\left(2a+b-\sqrt{7^2-29}\right)=10$。
完全平方公式8种变形完全平方公式是数学中一个重要的公式,它可以帮助我们求解一元二次方程的解,进而解决一些实际问题。
在学习完全平方公式时,我们不仅要熟记其基本形式,还需要了解其一些变形,以便更灵活地应用于解题过程中。
下面将介绍完全平方公式的8种变形,希望对大家的学习有所帮助。
1. 标准形式变形:完全平方公式的标准形式是:(a+b)²=a²+2ab+b²。
我们可以将其变形为:a²= (a+b)²-2ab-b²,这种变形可以帮助我们从平方项和常数项中提取出待求解的项。
2. 差平方变形:我们可以将完全平方公式改写为:(a-b)²=a²-2ab+b²。
这种变形用于需要处理差平方的情况,可以减少计算过程中的错误。
3. 完全平方差变形:如果我们遇到一个二次方程的形式是a²-b²=0,可以利用完全平方公式的变形来求解。
变形后的形式为(a+b)(a-b)=0,我们可以得到a+b=0或a-b=0,从而求得方程的解。
4. 半平方变形:在一些问题中,我们可能会遇到一个二次方程的形式是a√x+b=0。
我们可以将其改写为:(√x)²=-(b/a),通过对等式两边开方并得到x的值,从而解决问题。
5. 配方法变形:配方法是解决一元二次方程的一种常用方法,我们可以将完全平方公式进行配方法的变形。
变形后的形式是(a+b)²-c²=(a+b+c)(a+b-c),通过将多项式相加相减从而得到解。
6. 两边取平方根变形:当我们遇到一个二次方程的形式为a²=c²时,可以将完全平方公式应用于此。
变形后的形式是:a=±√c²,通过对两边同时取平方根,我们可以得到a的值。
7. 合并同类项变形:在解决一些复杂的方程时,我们可能会遇到一些多项式的平方和。
我们可以将其中的一些同类项合并,从而简化计算过程。
完全平方公式变形公式及常见题型
完全平方公式变形及常见题型是数学学习中最基本的内容,在考试中也是经常出现的题型。
完全平方公式的变形和常见的题型可以大大提高学生在数学考试中的表现,也可以帮助学生更好地理解这些概念。
本文将对完全平方公式变形公式及常见题型进行讨论,包括它们的定义、变形公式以及常见题型。
完全平方公式是一类特殊的二次公式,其标准形式为:
ax2+bx+c=0
其中a、b和c分别为系数,可以为整数、分数或者其他数学表
示形式。
在完全平方公式中,b=0,a和c为正数或者负数,此时x2
的系数为a,而常数项的系数为c。
完全平方公式的一般形式为:
ax2+c=0
要将完全平方公式一般形式变形为标准形式,可以使用变形公式,其中b系数的变形公式为:
b=±√(ac)
通过使用变形公式,可以在给定的条件下变形完全平方公式,使其达到标准形式。
完全平方公式变形后常常会出现一些常见的题型,这些题型包括: 1.全平方公式求解题:此类题型一般要求学生使用完全平方公式求解某类问题,例如求解一元二次方程;
2.全平方公式变形题:此类题型要求学生运用变形公式将完全平方公式从一般形式变换到标准形式;
3.全平方公式的图像分析题:此类题型要求学生分析完全平方公式的图像特征,如顶点、极值、开口方向等;
4.全平方公式在实际问题中的应用题:此类题型要求学生将完全平方公式运用到实际问题中,如几何问题或投资问题,求解问题的最佳解。
以上就是完全平方公式变形公式及常见题型的基本内容,下面我们将对它们进行更深入的介绍。
完全平方公式的变形及其应用(a+b)² = a² + 2ab + b²(a-b)² = a² - 2ab + b²对于给定的二次方程ax² + bx + c = 0,可以使用完全平方公式来求解其根。
下面将介绍完全平方公式的变形及其应用。
在进行完全平方公式的变形之前,首先要将一般形式的二次方程进行变形,使其具有完全平方的形式。
通过配方,将二次项与线性项合并,得到完全平方的形式。
(a+b)² = a² + 2ab + b²对于二次项 2ab,可以找到两个数 a 和 b,使得 2ab = bx。
从而将a 和b 归纳出来。
利用上面的思路,将二次方程进行配方:ax² + bx + c = a (x² + bx/a) + c = a (x² + (b/2a)² - (b/2a)²) + c = a (x + b/2a)² - (b/2a)² + c再将二次项转化成完全平方的形式,可得:ax² + bx + c = a (x + b/2a)² - (b/2a)² + c在进行完全平方公式的变形之后,我们可以使用该公式来求解二次方程的根。
例如,对于二次方程x²+6x+9=0,可以采用完全平方公式来求解。
将该方程表示为完全平方的形式,可以得到:(x+3)²=0从而可以直接得到方程的解为x=-3顶点的坐标可以通过完全平方公式得到。
对于二次函数y = ax² + bx + c,其顶点的 x 坐标为 -b/2a,将其代入函数中即可得到 y 坐标。
图像的开口方向可以通过二次项的系数a的符号来判断。
当a>0时,二次函数的图像开口朝上,当a<0时,二次函数的图像开口朝下。
最值可以通过完全平方公式和顶点坐标来求解。
完全平方公式及其应用一、公式及其变形1、 完全平方公式:222()+2a b a ab b +=+ (1)222()2a b a ab b -=-+ (2)公式特征:左边是一个二项式的完全平方,右边有三项,其中有两项是左边二项式中每一项的平方,而另一项是左边二项式中两项乘积的2倍。
注意:222)()]([)(b a b a b a +=+-=-- 222)()]([)(b a b a b a -=--=+- 完全平方公式的口诀:首平方,尾平方,加上首尾乘积的2倍。
2、公式变形 (1)+(2)得:2222()()2a b a b a b ++-+= (12)-)(得: 22()()4a b a b ab +--= ab b a ab b a b a 2)(2)(2222-+=-+=+,ab b a b a 4)()(22-+=-3、三项式的完全平方公式:bc ac ab c b a c b a 222)(2222+++++=++二、题型题型一、完全平方公式的应用例1、计算(1)(-21ab 2-32c )2; (2)(x -3y -2)(x +3y -2);练习1、(1)(x -2y )(x 2-4y 2)(x +2y );(2)、(a -2b +3c -1)(a +2b -3c -1);题型二、配完全平方式 1、若k x x ++22是完全平方式,则k =2、.若x 2-7xy +M 是一个完全平方式,那么M 是3、如果4a 2-N ·ab +81b 2是一个完全平方式,则N =4、如果224925y kxy x +-是一个完全平方式,那么k =题型三、公式的逆用1.(2x -______)2=____-4xy +y 2. 2.(3m 2+_______)2=_______+12m 2n +________.3.x 2-xy +________=(x -______)2. 4.49a 2-________+81b 2=(________+9b )2.5.代数式xy -x 2-41y 2等于( )2题型四、配方思想1、若a 2+b 2-2a +2b +2=0,则a 2004+b 2005=_____.2、已知0136422=+-++y x y x ,求y x =_______.3、已知222450x y x y +--+=,求21(1)2x xy --=_______.4、已知x 、y 满足x 2十y 2十45=2x 十y ,求代数式y x xy+=_______.5.已知014642222=+-+-++z y x z y x ,则z y x ++= .6、已知三角形ABC 的三边长分别为a,b,c 且a,b,c满足等式22223()()a b c a b c ++=++,请说明该三角形是什么三角形?题型五、完全平方公式的变形技巧1、已知 2()16,4,a b ab +==求223a b +与2()a b -的值。
平方差公式和完全平方公式的变形平方差公式和完全平方公式是数学中两个重要的式子,它们在多项式中有着重要的作用。
本文将介绍平方差公式和完全平方公式的变形,以及它们的应用。
一、平方差公式平方差公式是指在多项式中,一个多项式的平方可以由另外一个多项式的平方加上两个多项式的乘积来表示。
它的一般形式可以表示为:(a+b)^2=a^2+2ab+b^2从上面的公式可以看出,平方差公式的基本形式就是一个多项式的平方等于另外一个多项式的平方加上两个多项式的乘积。
二、完全平方公式完全平方公式是指一个多项式可以由一个多项式的平方加上两个多项式的乘积表示。
它的一般形式可以表示为:a^2-2ab+b^2=(a-b)^2从上面的公式可以看出,完全平方公式的基本形式就是一个多项式可以由另外一个多项式的平方减去两个多项式的乘积来表示。
三、平方差公式和完全平方公式的变形1. 平方差公式的变形:(a-b)^2=a^2-2ab+b^2从上面的公式可以看出,平方差公式也可以表示为一个多项式的平方等于另外一个多项式的平方减去两个多项式的乘积。
2. 完全平方公式的变形:a^2+2ab+b^2=(a+b)^2从上面的公式可以看出,完全平方公式也可以由一个多项式的平方加上两个多项式的乘积来表示。
四、平方差公式和完全平方公式的应用1. 平方差公式的应用:a. 平方差公式可以用来解决二次方程。
b. 平方差公式可以用来求解三角形的面积。
c. 平方差公式可以用来计算圆的面积。
2. 完全平方公式的应用:a. 完全平方公式可以用来解决二次方程。
b. 完全平方公式可以用来求解三角形的面积。
c. 完全平方公式可以用来计算圆的面积。
五、总结从上面的介绍可以看出,平方差公式和完全平方公式是数学中重要的式子,它们可以用来解决二次方程、求解三角形的面积以及计算圆的面积。
此外,平方差公式和完全平方公式也可以变形,以求得更多的应用。
完全平方公式八个变形完全平方公式,这可是数学里的“常客”,咱们今天就来好好聊聊它的八个变形,保证让你对它有全新的认识!我记得有一次给学生们讲这部分内容的时候,有个小家伙皱着眉头问我:“老师,这完全平方公式变来变去的,有啥用啊?”我笑了笑,没直接回答他,而是先在黑板上写下了完全平方公式:(a+b)² = a² + 2ab + b²以及 (a - b)² = a² - 2ab + b²。
这两个公式是基础,接下来咱们看看它们的变形。
变形一:a² + b² = (a + b)² - 2ab 。
比如,已知 a + b = 5,ab = 3,那a² + b²就等于 5² - 2×3 = 19 。
变形二:a² + b² = (a - b)² + 2ab 。
假如 a - b = 4,ab = 2,那么 a² +b²就是 4² + 2×2 = 20 。
变形三:(a + b)² = (a - b)² + 4ab 。
就像 a - b = 3,ab = 5 时,(a + b)²就是 3² + 4×5 = 29 。
变形四:(a - b)² = (a + b)² - 4ab 。
假设 a + b = 7,ab = 6,那么 (a - b)²等于 7² - 4×6 = 1 。
变形五:ab = 1/4 [(a + b)² - (a - b)²] 。
比如说 a + b = 8,a - b = 2,那 ab 就是 1/4 (8² - 2²) = 15 。
变形六:a² + b² + c² + 2ab + 2bc + 2ca = (a + b + c)²。
完全平方公式变形
1.已知
,求下列各式的值: (1)
;
(2)
.
(3)4
41x x
2.已知x+y=7,xy=2,求
(1)2x 2+2y 2;
(2)(x ﹣y )2.。
(3)x 2+y 2-3xy
3.已知有理数m ,n 满足(m+n )2=9,(m ﹣n )2=1.求下列各式的值.
(1)mn ; (2)m 2+n 2
平方差公式的应用
1.(a+b﹣c)(a﹣b+c)=a2﹣()2.
2.()﹣64m2n2=(a+)(﹣8mn)
3.已知x2﹣y2=12,x﹣y=4,则x+y=.
4.(x﹣y)(x+y)(x2+y2)(x4+y4)…(x2n+y2n)=.
5..(﹣3x+2y)()=﹣9x2+4y2.
6.记x=(1+2)(1+22)(1+24)(1+28)…(1+2n),且x+1=2128,则n=.
7.计算:=.
8.已知a﹣b=1,a2﹣b2=﹣1,则a4﹣b4=.
9.一个三角形的底边长为(2a+4)厘米,高为(2a﹣4)厘米,则这个三角形的面积为.
10观察下列等式19×21=202﹣1,28×32=302﹣22,37×43=402﹣32,…,已知m,n 为实数,仿照上述的表示方法可得:mn=.
11.正方形Ⅰ的周长比正方形Ⅱ的周长长96cm,它们的面积相差960cm2,求这两个正方形的边长
12如图,第一个图中两个正方形如图所示放置,将第一个图改变位置后得到第二个图,两图阴影部分的面积相等,则该图可验证的一个初中数学公式
为.
以下为提高题(请班级前20名学生会做)
13.如果一个正整数能表示为两个连续偶数的平方差,那么称这个这个正整数为“神秘数”,如:4=22﹣02,12=42﹣22,20=62﹣42,因此4,12,20这三个数都是“神秘数”.若60是一个“神秘数”,则60可以写成两个连续偶数的平方差为:60=.
14.20082﹣20072+20062﹣20052+…+22﹣12=.
15.(32+1)(34+1)(38+1)…(364+1)×8+1=.
16.(3a+3b+1)(3a+3b﹣1)=899,则a+b=.
17.化简式子,其结果是.
完全平方式专练
1..x2+3x+=(x+)2;
x2﹣+2=(x)2.
2.x2﹣+=(x﹣)2.
若(3x+2y)2=(3x﹣2y)2+A,则代数式A为.
(x﹣2y)2+=(x+2y)2.
3..若x2+kxy+49y2是一个完全平方式,则k=.
4..若4a2﹣(k﹣1)a+9是一个关于a的完全平方式,则k=.5.若多项式a2﹣12ab+kb2是完全平方式,则常数k的值为.
6.若是一个完全平方式,则k=.
7.已知x2+16x+k是完全平方式,则常数k等于.
8.若x﹣y=2,则代数式x2﹣y2﹣4y的值为.
9.已知三项式4x2++1是一个完全平方式,但是其中一项看不清了,你认为这一项应该是(写出所有你认为正确的答案).
10.若y(x﹣1)﹣x(y﹣1)=5,则﹣xy=.
11.已知a2+b2=13,ab=6,则a4﹣2a2b2+b4=.
以下为提高题(请班级前20名学生会做)
12.已知(2015﹣a)(2013﹣a)=2014,则(2015﹣a)2+(2013﹣a)2的值为.13.已知x2﹣4x﹣1=0,则x2+=.
14已知(x+y)2﹣2x﹣2y+1=0,则x+y=.
15.已知a+b+c=9,a2+b2+c2=35,则ab+bc+ca=.
公式与拼图练习
1.方法写出一个代数恒等式是.
2.正方形卡片A类1张、B类4张和长方形卡片C类4张,如果要用这9张卡片拼成一个正方形,则这个正方形的边长为.
3.从图1到图2的变化过程可以发现的代数结论是()
A.(a+b)(a﹣b)=a2﹣b2B.a2﹣b2=(a+b)(a﹣b)
C.(a+b)2=a2+2ab+b2D.a2+2ab+b2=(a+b)2
4.如图,大正方形的边长为m,小正方形的边长为n,若用x、y表示四个相同长方形的两边长(x>y),给出以下关系式:①x+y=m;②x﹣y=n;③xy=.其中正确的关系式的个数有()
A.0个B.1个C.2个D.3个
5.
如图,在边长为a的正方形中剪去一个边长为b小正方形(a>b),把剩下的部分拼成一个梯形,请利用甲、乙两图验证我们本学期学过的一个乘法公式.
6.如图①是一个长为2a,宽为2b的长方形纸片,其长方形的面积显然为4ab,现将此长方形纸片沿图中虚线剪开,分成4个小长方形,然后拼成一个如图②的一个长方形.
(1)图②中阴影正方形EFGH的边长为;
(2)观察图②,代数式(a﹣b)2表示哪个图形的面积?代数式(a+b)2呢?
(3)用两种不同方法表示图②中的阴影正方形EFGH的面积,并写出关于代数式(a+b)2、(a﹣b)2和4ab之间的等量关系.
(4)根据(3)题中的等量关系,解决如下问题:若a+b=7,ab=5,求(a﹣b)2的值.。