2019年GPZ(KZ)公路桥梁抗震盆式橡胶支座系列规格表
- 格式:doc
- 大小:276.00 KB
- 文档页数:10
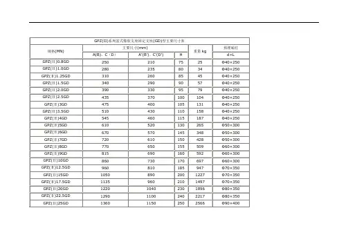
GPZ 、 GPZ(II)型系列(SX 双向,DX 单向,GD 固定)主要尺寸表公路桥梁盆式橡胶支座1114GPZdl )型盆式橡胶支座|GD 固定型盆式橡胶支座主要尺寸表规格(MN)主要尺寸(mm)重量kg 地脚螺栓底柱 直径x 长度 A(B)A 1(B 1) C(D) cw H GPZ(II)Os 8GD 250 210 250 210 75 25、3 040x250 GPZ(II)ls OGD 280 235 280 235 80 33、7 040x250 GPZ(H)1. 25GD 310 260 310 260 85 44、6 040x250 GPZ(II)ls 5GD 340 290 340 290 90 56、6 040x250 GPZ(II)2GD 390 330 390 330 95 78、9 040x250 GPZ(H)2. 5GD 435 370 435 370 100 104、4 040x250 GPZ(II)3GD 475 400 475 400 105 131s 0 040x250 GPZ(H)3. 5GD 510 430 510 430 110 157. 5 040x250 GPZ(II)4GD 545 460 545 460 115 187. 3 040x250 GPZ(II)5GD 610 520 610 520 130 265、4 040x300 GPZ(II)6GD 670 570 670 570 140 347. 5 040x300 GPZ(II)7GD 720 610 720 610 150 428、0 040x300 GPZ(II)8GD 770 650 770 650 155 508、7 040x300 GPZ(II)9GD 815 690 815 690 160 592. 1 040x300 GPZ(II)1OGD 860 730 860 730 170 697. 0 040x300 GPZ(H)12> 5GD 960 810 960 810 185 946 > 6 040x350 GPZ(II)15GD 1050 890 1050 890 200 1226、 9 040x350 GPZ(H)17> 5GD 1135 960 1135 960 210 1496、 6 040x350 GPZ(II)2OGD 1220 1040 1220 1040 230 1896、 0 040x350 GPZ(U)22、5GD 1290 1100 1290 1100 240 2217. 2 040x350 GPZ(II)25GD 1360 1150 1360 1150 250 2565、 6 040x400 GPZ(II)27> 5GD 1430 1220 1430 1220 260 2929、 8 040x400 GPZ(II)3OGD 1490 1270 1490 1270 270 3295. 3 040x400 GPZ(U)32、5GD 1550 1320 1550 1320 280 3708、 5 040x400 GPZ(II)35GD 1610 1370 1610 1370 290 4154、 1 040x400 GPZ(U)37、5GD 1670 1420 1670 1420 300 4609、 5 040x400 GPZ(II)40GD 1720 1460 1720 1460 310 5050、 2 040x400 GPZ(II)45GD 1830 1560 1830 1560 320 5856、 3 040x450 GPZ(II)5OGD19201630 1920 1630 335 6743、 8 040x450 GPZ(II)55GD20201720202017203507827、 4040x450GPZ( II )固定支座(GD )结构示息圏横侨向GPZ (n )60GD]2100 1790 2100 1790 365 8817、 0040x450 1GPZ(II)型盆式橡胶支座|DX 单向型盆式橡胶支座主要尺寸爰GPZ(II)单向活动支座(DX )结构示意图规格(MN) 纵向位移(mm)主要尺寸(mm) 地脚螺栓底柱 直径x 长度 重址kg AA 1B B 1 C(D)C 1D 1HGPZ(H)0、8DX +50±100±150 321420 520 280 380 480 315220 265 230 180 75(D40X 250 38、8 GPZ(II)1> ODX +50+100+150 340 440 540 300 400 500 340 245 290 250 200 80(D40X 250 47、8 GPZ(II)lx 25DX +50±100±150 360 460 560 320 420 520 370 275 320 280 230 85 (D40X 250 58、3 GPZ(U)1、5DX +50±100±150 380 480 580 340 440 540 410 300 350 310 260 90 (D40X 250 73、9 GPZ(H)2DX ±50+100+150 420 520 620 380 480 580 460350 400 360 310 100(D40X 250 104、9 GPZ(U)2、5DX +50±100±150 460 560 660 420 520 620 505 395 445 405355 105(D40X 250 132. 3 GPZ(H)3DX +50±100±150 485 585 685 435 535 635 565 425 485 435 370 110040x250 169. 6 GPZ(U)3、5DX ±100±150±200 620 720 820 570 670 770 600 460 520 470 400 115 (D40X 250 216^ 7 GPZ(II)4DX +100+150+200 640 740 840 590 690 790 635 485 555 505435 130(D40X 250 275、7 GPZ(H)5DX ±100+150+200 690 790 890 635 735 835 710 545 620 560 480 140 (D50X 300 358、5 GPZ(H)6DX ±100±150±200 740 840 940 680 780 880 770 600 680 620 540 150 050x300 446. 2 GPZ(H)7DX ±100+150+200 780 880 980 720 820 920 820 650 730 670 590 160 050x300 542. 5 GPZ(II)8DX ±100+150+200 810 910 1010 740 840 940 890 690 780 710 620 170 060x300 664、7 GPZ(U)9DX ±100+150+200 850 950 1050 780 880 980 935 725 825755 665 180(D60X 300 778 s 9 GPZ(II)10DX ±150+200+250 980 1080 1180 910 1010 1110 985770 875 800 715 190(D60X 300 944. 9 GPZ(II)12x 5DX ±150+200+250 1060 1160 1260 980 1080 1180 1100 860 970 890 780 205 070x350 1251. 4 GPZ(II)15DX ±150+200+250 1130 1230 1330 1050 1150 1250 1190 950 1060980 870 220070x350 1565、 9 GPZ(II)17x 5DX ±150+200+250 1190 1290 1390 1105 1205 1305 1295 1030 1145 1060 935 235 070x350 1949、 1 GPZ(II)20DX ±150+200+250 1250 1350 1450 1155 1255 1355 1375 1100 1225 1130 1000 250 (D80X 350 2332. 1 GPZ(II)22x 5DX ±150+200+250 1310 1410 1510 1220 1320 1420 1450 1180 1300 1210 1080 260 080x350 2694、 2 GPZ(II)25DX ±150+200+250 1370 1460 1560 1270 1360 1460 1540 1240 1370 1270 1120 270 (D90x4003134、 3 GPZ(II)27x 5DX ±150+200+250 1440 1510 1610 1340 1410 1510 1610 1310 1440 1340 1190 280 (D90X 400 3539、 8 GPZ(II)30DX ±150+200+250 1500 1560 1660 1400 1460 1560 1670 1370 1500 1400 1250 290 (D90X 4003975、 0 GPZ(II)32x 5DX +200+250+300 1610 1710 1810 1500 1600 1700 1750 1420 1560 1450 1270 300 0100x400 4577、 4 GPZ(U)35DX ±200+250+300 1650 1750 1850 1540 1640 1740 1810 1480 1620 1510 1330 310 0100x400 5064、 3 GPZ(II)37x 5DX ±200+250+300 1690 1790 1890 1580 1680 1780 1890 1540 1680 1570 1370 320 0100x400 5637. 2 GPZ(II)40DX +200+250+300 1730 1830 1930 1620 1720 1820 1940 1590 1730 1620 1420 330 0100x400 6134、 9 GPZ(H)45DX±200+250+300 1840 1910 2010 1710 1780 1880 2070 1680 1840 1710 1510 345 0110x450 7214、 2 GPZ(II)50DX±200+250+3001930 1990 20901800 1860 19602160 1770 1930 1800 1600 3600110x4508222、 9① c I令號桥向GPZ(II)55DX +200+250+300 2030 2060 2160 1890 1920 2020 2280 1860 2030 1890 1680 375 0120x450 9486、 8 GPZ(II)60DX ±200+250+300 2110 2130 2230 1970 1990 20902360 1940 2110 1970 1760 3900120x45010526、 4注:「横向伎移±3血。
盆式橡胶支座规格表
注: 斜线上为小位移量数值,斜线下为大位移数值.
注:斜线上为小位移量数值,斜线下为大位移数值。
GPZ(Ⅱ)系列盆式橡胶支座固定支座(GD)型主要尺寸表位:mm
GPZ固定支座 (GD)型主要尺寸表位:mm
GPZ(Ⅱ)系列盆式橡胶支座固定支座(GD)型主要尺寸表位:mm
注:1、横向位移±3mm。
2、重量按纵向中等位移设置。
GPZ(Ⅱ)系列盆式橡胶支座固定支座(SX)型主要尺寸表
位:mm
注:1、GPZ(Ⅱ)08.MN-30MN横向位移±40mm,32.5MN-60MN横向位移为±50mm。
2、重量按纵向中等位移设置。
GPZ(KZ)单向活动支座(DX型)主要尺寸
43
44
45
GPZ(KZ)双向活动支座(SX型)主要尺寸
46
47
48
49
50。
GPZ、GPZ(II)型系列
公路桥梁盆式橡胶支座(SX双向,DX单向,GD固定)
主要尺寸表
GPZ(II)型盆式橡胶支座|GD固定型盆式橡胶支座主要尺寸表
注:1、横向位移±3mm。
2、重量按纵向中等位移设置。
GPZ(II)型盆式橡胶支座|SX双向型盆式橡胶支座主要尺寸表
注:1、GPZ(Ⅱ)08.MN-30MN横向位移±40mm,32.5MN-60MN横向位移为±50mm。
GPZ系列盆式橡胶支座|SX双向型盆式橡胶支座主要尺寸表
注: 斜线上为小位移量数值,斜线下为大位移数值.
GPZ系列盆式橡胶支座|DX单向型盆式橡胶支座主要尺寸表
注:斜线上为小位移量数值,斜线下为大位移数值。
GPZ系列盆式橡胶支座|GD固定型盆式橡胶支座主要尺寸表。
GPZ(KZ)型系列公路桥梁抗震盆式橡胶支座(DX单向,SX双向,GD固定)主要尺寸表GPZ(KZ)公路桥梁抗震盆式橡胶支座GPZ(KZ)系列抗震盆式橡胶支座是依据中华人民共和国交通行业标准《公路桥梁盆式橡胶支座》(标准号JT391-1999)及公路工程抗震设计规范(JTJ004-89),在盆式橡胶支座的基础上增加了消能和阻尼措施。
GPZ(KZ)系列抗震盆式橡胶支座包括固定支座和单向活动支座两种型式,和与之配套使用的还有双向活动支座。
支座规格按JT391-1999要求分为31级。
支座竖向设计承载力、支座转角、支座摩擦系数及位移均按标准要求设计。
仅固定支座各方向和单向活动支座非滑移方向的水平力由原支座设计承载力的10%提高至20%。
现在.国内外采取的是刚性抗震法和柔性减震法两种抗震方法,刚性抗震需增大结构(包括基础结构和抗震支座结构)尺寸,柔性减震的特点是:减震性能好而刚度较小,在较大地震波的情况下有被破坏的可能。
该系列支座采取了刚、柔结合等有效抗震措施,增大了支座的耗能能力,极大的改善了支座的抗震性能,因此地震发生时可提高桥梁的抗震能力,最大限度的限制了桥梁上下部结构之间的相对位移,减小了地震力的放大系数。
非地震时等同一般盆式橡胶支座使用。
由于GPZ(KZ)系列抗震盆式橡胶支座设计有固定支座和单向活动支座,两种型式支座配合使用比仅在桥梁固定墩上设置抗震支座对提高全桥结构的抗震能力是不言而喻的。
GPZ(KZ)盆式橡胶支座结构形式GPZ(KZ)GD(固定抗震盆式橡胶支座),主要由上座板、消能板、密封圈、橡胶板、底盆和阻尼胶圈等组成。
GPZ(KZ)DX(单向活动抗震盆式橡胶支座)还有中间钢板、四氟滑板、不锈钢滑板及侧向滑移装置等。
减震原理主要是当支座水平力大于支座设计竖向承载力的20%后,消能板开始滑移,起到第一道隔震效果;然后阻尼圈发挥第二道阻尼效果,支座起到抗震作用;当地震冲击波超过一定极限时,该系列的刚性抗震起到了第三道抗震效果。
GPZ(KZ)型系列公路桥梁抗震盆式橡胶支座(DX单向,SX双向,GD固定)主要尺寸表GPZ(KZ)公路桥梁抗震盆式橡胶支座GPZ(KZ)系列抗震盆式橡胶支座是依据中华人民共和国交通行业标准《公路桥梁盆式橡胶支座》(标准号JT391-1999)及公路工程抗震设计规范(JTJ004-89),在盆式橡胶支座的基础上增加了消能和阻尼措施。
GPZ(KZ)系列抗震盆式橡胶支座包括固定支座和单向活动支座两种型式,和与之配套使用的还有双向活动支座。
支座规格按JT391-1999要求分为31级。
支座竖向设计承载力、支座转角、支座摩擦系数及位移均按标准要求设计。
仅固定支座各方向和单向活动支座非滑移方向的水平力由原支座设计承载力的10%提高至20%。
现在.国内外采取的是刚性抗震法和柔性减震法两种抗震方法,刚性抗震需增大结构(包括基础结构和抗震支座结构)尺寸,柔性减震的特点是:减震性能好而刚度较小,在较大地震波的情况下有被破坏的可能。
该系列支座采取了刚、柔结合等有效抗震措施,增大了支座的耗能能力,极大的改善了支座的抗震性能,因此地震发生时可提高桥梁的抗震能力,最大限度的限制了桥梁上下部结构之间的相对位移,减小了地震力的放大系数。
非地震时等同一般盆式橡胶支座使用。
由于GPZ(KZ)系列抗震盆式橡胶支座设计有固定支座和单向活动支座,两种型式支座配合使用比仅在桥梁固定墩上设置抗震支座对提高全桥结构的抗震能力是不言而喻的。
GPZ(KZ)盆式橡胶支座结构形式GPZ(KZ)GD(固定抗震盆式橡胶支座),主要由上座板、消能板、密封圈、橡胶板、底盆和阻尼胶圈等组成。
GPZ(KZ)DX(单向活动抗震盆式橡胶支座)还有中间钢板、四氟滑板、不锈钢滑板及侧向滑移装置等。
减震原理主要是当支座水平力大于支座设计竖向承载力的20%后,消能板开始滑移,起到第一道隔震效果;然后阻尼圈发挥第二道阻尼效果,支座起到抗震作用;当地震冲击波超过一定极限时,该系列的刚性抗震起到了第三道抗震效果。
GPZ(KZ)型系列公路桥梁抗震盆式橡胶支座(DX单向,SX双向,GD固定)主要尺寸表GPZ(KZ)公路桥梁抗震盆式橡胶支座GPZ(KZ)系列抗震盆式橡胶支座是依据中华人民共和国交通行业标准《公路桥梁盆式橡胶支座》(标准号JT391-1999)及公路工程抗震设计规范(JTJ004-89),在盆式橡胶支座的基础上增加了消能和阻尼措施。
GPZ(KZ)系列抗震盆式橡胶支座包括固定支座和单向活动支座两种型式,和与之配套使用的还有双向活动支座。
支座规格按JT391-1999要求分为31级。
支座竖向设计承载力、支座转角、支座摩擦系数及位移均按标准要求设计。
仅固定支座各方向和单向活动支座非滑移方向的水平力由原支座设计承载力的10%提高至20%。
现在.国内外采取的是刚性抗震法和柔性减震法两种抗震方法,刚性抗震需增大结构(包括基础结构和抗震支座结构)尺寸,柔性减震的特点是:减震性能好而刚度较小,在较大地震波的情况下有被破坏的可能。
该系列支座采取了刚、柔结合等有效抗震措施,增大了支座的耗能能力,极大的改善了支座的抗震性能,因此地震发生时可提高桥梁的抗震能力,最大限度的限制了桥梁上下部结构之间的相对位移,减小了地震力的放大系数。
非地震时等同一般盆式橡胶支座使用。
由于GPZ(KZ)系列抗震盆式橡胶支座设计有固定支座和单向活动支座,两种型式支座配合使用比仅在桥梁固定墩上设置抗震支座对提高全桥结构的抗震能力是不言而喻的。
GPZ(KZ)盆式橡胶支座结构形式GPZ(KZ)GD(固定抗震盆式橡胶支座),主要由上座板、消能板、密封圈、橡胶板、底盆和阻尼胶圈等组成。
GPZ(KZ)DX(单向活动抗震盆式橡胶支座)还有中间钢板、四氟滑板、不锈钢滑板及侧向滑移装置等。
减震原理主要是当支座水平力大于支座设计竖向承载力的20%后,消能板开始滑移,起到第一道隔震效果;然后阻尼圈发挥第二道阻尼效果,支座起到抗震作用;当地震冲击波超过一定极限时,该系列的刚性抗震起到了第三道抗震效果。
GPZ系列双向活动支座〔S*型〕主要尺寸见下表
注: 斜线上为小位移量数值,斜线下为大位移数值.
GPZ系列单向活动支座〔D*型〕主要尺寸见下表
注:斜线上为小位移量数值,斜线下为大位移数值。
GPZ系列固定支座〔GD型〕主要尺寸见下表
SY-1系列支座MOV类型主要尺寸表
SY-1系列支座Mov-All和Fi*类型主要尺寸表
TPZ-1系列抗震型固定支座〔GDZ型〕主要尺寸表
TPZ-1系列固定支座〔GD型〕主要尺寸表
GPZ〔Ⅱ〕系列盆式橡胶支座固定支座(GD)型主要尺寸表
GPZ固定支座(GD)型主要尺寸表
GPZ〔Ⅱ〕系列盆式橡胶支座固定支座(GD)型主要尺寸表
注:1、横向位移±3mm。
2、重量按纵向中等位移设置。
GPZ〔Ⅱ〕系列盆式橡胶支座固定支座(S*)型主要尺寸表
注:1、GPZ(Ⅱ)08.MN-30MN横向位移±40mm,32.5MN-60MN横向位移为±50mm。
2、重量按纵向中等位移设置。
GPZ(KZ)双向活动支座(S*型)主要尺寸
. z.
. z.。
GPZ(KZ)型系列公路桥梁抗震盆式橡胶支座(DX单向,SX双向,GD固定)主要尺寸表GPZ(KZ)公路桥梁抗震盆式橡胶支座GPZ(KZ)系列抗震盆式橡胶支座是依据中华人民共和国交通行业标准《》(标准号JT391-1999)及公路工程抗震设计规范(JTJ004-89),在盆式橡胶支座的基础上增加了消能和阻尼措施。
包括固定支座和单向活动支座两种型式,和与之配套使用的还有双向活动支座。
支座规格按JT391-1999要求分为31级。
支座竖向设计承载力、支座转角、支座摩擦系数及位移均按标准要求设计。
仅固定支座各方向和单向活动支座非滑移方向的水平力由原支座设计承载力的10%提高至20%。
现在.国内外采取的是刚性抗震法和柔性减震法两种抗震方法,刚性抗震需增大结构(包括基础结构和抗震支座结构)尺寸,柔性减震的特点是:减震性能好而刚度较小,在较大地震波的情况下有被破坏的可能。
该系列支座采取了刚、柔结合等有效抗震措施,增大了支座的耗能能力,极大的改善了支座的抗震性能,因此地震发生时可提高桥梁的抗震能力,最大限度的限制了桥梁上下部结构之间的相对位移,减小了地震力的放大系数。
非地震时等同一般盆式橡胶支座使用。
由于GPZ(KZ)系列抗震盆式橡胶支座设计有固定支座和单向活动支座,两种型式支座配合使用比仅在桥梁固定墩上设置抗震支座对提高全桥结构的抗震能力是不言而喻的。
GPZ(KZ)盆式橡胶支座结构形式GPZ(KZ)GD(固定抗震盆式橡胶支座),主要由上座板、消能板、密封圈、橡胶板、底盆和阻尼胶圈等组成。
GPZ(KZ)DX(单向活动抗震盆式橡胶支座)还有中间钢板、四氟滑板、不锈钢滑板及侧向滑移装置等。
减震原理主要是当支座水平力大于支座设计竖向承载力的20%后,消能板开始滑移,起到第一道隔震效果;然后阻尼圈发挥第二道阻尼效果,支座起到抗震作用;当地震冲击波超过一定极限时,该系列的刚性抗震起到了第三道抗震效果。
GPZ(KZ)盆式橡胶支座性能1、此种支座按竖向设计承载力:可分31级,即、1、、、2、、3、、4、5、6、7、8、9、10、、15、、20、、25、、30、、35、、40、45、50、55、60MN。
GPZ(KZ)型系列
公路桥梁抗震盆式橡胶支座(DX单向,SX双向,GD固定)
主要尺寸表
GPZ(KZ)公路桥梁抗震盆式橡胶支座
GPZ(KZ)系列抗震盆式橡胶支座是依据中华人民共和国交通行业标准《》(标准号JT391-1999)及公路工程抗震设计规范(JTJ004-89),在盆式橡胶支座的基础上增加了消能和阻尼措施。
包括固定支座和单向活动支座两种型式,和与之配套使用的还有双向活动支座。
支座规格按JT391-1999要求分为31级。
支座竖向设计承载力、支座转角、支座摩擦系数及位移均按标准要求设计。
仅固定支座各方向和单向活动支座非滑移方向的水平力由原支座设计承载力的10%提高至20%。
现在.国内外采取的是刚性抗震法和柔性减震法两种抗震方法,刚性抗震需增大结构(包括基础结构和抗震支座结构)尺寸,柔性减震的特点是:减震性能好而刚度较小,在较大地震波的情况下有被破坏的可能。
该系列支座采取了刚、柔结合等有效抗震措施,增大了支座的耗能能力,极大的改善了支座的抗震性能,因此地震发生时可提高桥梁的抗震能力,最大限度的限制了桥梁上下部结构之间的相对位移,减小了地震力的放大系数。
非地震时等同一般盆式橡胶支座使用。
由于GPZ(KZ)系列抗震盆式橡胶支座设计有固定支座和单向活动支座,两种型式支座配合使用比仅在桥梁固定墩上设置抗震支座对提高全桥结构的抗震能力是不言而喻的。
GPZ(KZ)盆式橡胶支座结构形式
GPZ(KZ)GD(固定抗震盆式橡胶支座),主要由上座板、消能板、密封圈、橡胶板、底盆和阻尼胶圈等组成。
GPZ(KZ)DX(单向活动抗震盆式橡胶支座)还有中间钢板、四氟滑板、不锈钢滑板及侧向滑移装置等。
减震原理主要是当支座水平力大于支座设计竖向承载力的20%后,消能板开始滑移,起到第一道隔震效果;然后阻尼圈发挥第二道阻尼效果,支座起到抗震作用;当地震冲击波超过一定极限时,该系列的刚性抗震起到了第三道抗震效果。
GPZ(KZ)盆式橡胶支座性能
1、此种支座按竖向设计承载力:可分31级,即、1、、、
2、、
3、、
4、
5、
6、
7、
8、
9、10、、15、、20、、25、、30、、35、、40、45、50、55、60MN。
支座设计承载力允许超载10%。
2、支座水平承载力:固定橡胶支座各方向和单向活动支座非滑移方向的水平承载力可承受支座设计承载力的20%。
3、支座摩擦系数:单向活动抗震支座,在硅脂润滑下,常温型支座(-25℃ ~+60℃ )设计摩擦系数最小取值μ=,耐寒型支座(-40℃ ~+60℃ )设计摩擦系数最小取值μ=。
4、转角:本系列的橡胶支座转动角度为。
5、位移:单向活动抗震橡胶支座位移量,横桥向为± 3mm
GPZ(KZ)盆式橡胶支座设计注意事项
1、建议墩台顶面设置支承垫石。
支承垫石的高度应考虑支座养护、检查的方便及更换支座时顶梁的可能性,支座底板以外垫石边缘部分最好设置一定坡度以利排水。
因规格相同类型不同的支座高度不同,应注意调整垫石顶面的标高。
2、橡胶支座顶、底板所承载的混凝土应按公路桥涵设计规范中局部承压的有关要求配置钢筋网。
3、橡胶支座规格可根据上部结构计算的恒载、活载及偏载影响等之和在规格系列表中就近选取。
因支座具有一定的安全系数,选型时不必人为加大支座规格。
在选择常温型支座还是
耐寒型支座时,宜根据桥梁所在地区的月平均最低气温确定。
如桥梁所在地月平均最低气温低于-25℃,此时宜选用耐寒型支座,月平均最低气温不低于-25℃,此时可选用常温型支座。
4、当活动支座设计所需位移量非规格系列表所列数值时,应注意相应调整预留孔间距。
5、当桥梁为跨海桥或沿海桥时,设计图上应在适当位置标注,生产厂可选耐腐蚀的不锈钢板,以提高支座使用寿命。
GPZ(KZ)盆式橡胶支座验收与安装
一、支座验收:抗震型盆式橡胶支座应按中华人民共和国交通部行业标准要求进行验收。
支座各部件如钢件、橡胶、聚四氟乙烯板、不锈钢滑板等其材质必须符合标准要求。
支座外观质量和部件之间的配合公差应符合标准和设计图纸要求,尤其应注意聚四氟乙烯板与中间钢板凹槽、密封圈与盆环及橡胶板与钢盆之间的配合公差,还应对不锈钢滑板和聚四氟乙烯滑板的外观质量进行检查,并根据厂方装箱清单对配件如地脚螺栓、底柱、垫圈等进行验收。
整体支座力学性能试验可按标准规定方法进行。
检测项目包括支座竖向压缩变形和盆环径向变形。
标准要求在设计荷载作用下支座竖向压缩变形不得大于支座总高的2%,盆环上口径向变形不得大于盆环外径的‰ ,支座残余变形不得超过总变形量的5%。
测试实体支座摩阻系数选用支座承载力不大于2MN的活动支座或试件代替。
大家可参考:(盆式橡胶支座在长江二桥上应用与研究)一文
橡胶支座的正确安装步骤和注意事项
1、在需要安装的位置处划出中心线,同时在支座顶、底板上也标出中心线。
2、将地脚螺栓穿入底板(顶板)地脚螺栓孔并旋入底柱内,底板和底柱之间垫直径略大于底柱直径的橡胶垫圈。
3、支座就位对中并调整水平后,用环氧砂浆或高标号砂浆灌注地脚螺栓孔及支座底板垫层,待砂浆硬化后拆除调整支座水平用的垫块,并用环氧砂浆填满垫块位置。
环氧砂浆要求灌注密实,不得留有空洞。
4、安装时支座各部件要求严格对中。
5、当支座采用焊接连接时,要求焊缝满足不低于20%的支座设计承载力的抗剪能力。
并采用间断焊接法,以减少因焊接而产生的热量烧坏支座。
6、橡胶支座上、下各部件纵横向必须对中,若由于安装时温度与设计温度不同,支座纵向上下各部件错开距离必须与计算值相等。
GPZ(KZ)系列单向活动支座(DX)型主要尺寸表
规格(MN)纵向
位移
(mm)
横向位移主要尺寸(mm)
重量(kg)
地脚螺栓底
柱(mm)A A'B B'C(D)C'(D')H D×L(mm)
GPZ(KZ)
±50
±100
±150
±3390490590350450550265200265225125515458Φ40×250
GPZ(KZ)1DX
±50
±100
±150
±3410510610370470570295230295245130656974Φ40×250
GPZ(KZ)
±50
±100
±150
±3460560660410510610325250325275135838893Φ50×300
GPZ(KZ)
±50
±100
±150
±3480580680430530630355280355300145105111118Φ50×300
GPZ(KZ)2DX
±50
±100
±150
±3550650750490590690410330410350150145152160Φ60×300
GPZ(KZ)
±50
±100
±150
±3580680780520620720455370455380160188196204Φ60×300
GPZ(KZ)3DX
±50
±100
±150
±3640740840570670770495400495420165232241251Φ70×350
GPZ(KZ)系列双向活动支座(SX)型主要尺寸表
GPZ(KZ)系列固定支座(GD)主要尺寸表。