最新职高高一上第二次月考数学试题及答案
- 格式:doc
- 大小:469.00 KB
- 文档页数:4
普集高中高一第一学期第二次月考数学试题(9—21班使用)一、选择题(每小题5 分,满分50分)1. 已知全集{}6,5,4,3,2,1=U ,集合{}6,4,3,1=A ,{}6,5,4,2=B ,则()B C A U ⋂等于( )A. {}3,1B. {}5,2C. {}4D. ∅2. 函数()x x f x 32+=的零点所在的一个区间是( )A. ()1,2--B. ()0,1-C. (0,1)D. (1,2)3. 已知函数()⎩⎨⎧≤>=020log 3x x x x f x,则=⎥⎦⎤⎢⎣⎡⎪⎭⎫ ⎝⎛91f f ( )A. 4B.41 C. -4D. 41-4. 已知幂函数()x f y =的图象过(4,2)点,则=⎪⎭⎫ ⎝⎛21f ( )A. 2B.21 C. 41 D.22 5. 函数()431ln 2+--+=x x x y 的定义域为( )A. (-4,-1)B. (-4,1)C. (-1,1)D. ]1,1(-6. 9log 4log 25log 532⋅⋅的值为( )A. 6B. 8C. 15D. 307. 已知函数()x f 对任意的R x ∈有()()0=-+x f x f ,且当0>x 时,()()1ln +=x x f ,则函数()x f 的大致图象为( )8. 设0.914y =,0.4828y =,3231()2y -=,则 ( )A .y 3>y 1>y 2B .y 2>y 1>y 3C .y 1>y 2>y 3D .y 1>y 3>y 29. 设2()f x x bx c =++,且(1)(3)f f -=,则 ( ) A .(1)(1)f c f >>- B .(1)(1)f c f <<- C .(1)(1)f f c >->D .(1)(1)f f c <-<10. 设函数()x f y =在()∞+∞-,内有定义,对于给定的正数K ,定义函数()()()()⎩⎨⎧>≤=K x f K K x f x f x f K ,,,取函数()||2x x f -=,当21=K 时,函数()x f K 的单调递增区间为( )A. ()0,∞-B. ()∞+,0C. ()1,-∞-D. ()∞+,1二、填空题(每小题4分,满分20分)11. 函数5()2log (3)f x x =++在区间[-2,2]上的值域是______12.已知01a <<,则函数|||log |x a y a x =-的零点的个数为___________.13.函数()log (3)1(0,a f x x a =++>且1)a ≠的图象恒过定点P ,则P 点的坐标是_____. 14.若f (x )=-x 2+2ax 与g (x )=a x +1在区间[1,2]上都是减函数,则a 的取值范围是_______.15. 已知)(x f 为偶函数,它在),0[+∞上是增函数.则不等式)1()(lg f x f >的解集是____. 三、解答题(共5小题,满分50+10分)16.(本题满分12分)计算:(1)21023213(2)(9.6)(3)0.148-----+; (2) 2.5log 6.25lg0.01++17.(本小题满分12分)已知[]2,1,432)3()(2-∈+⨯-=x x f x x ,求)(x f 的最大值与最小值;18.(本题满分13分)已知二次函数2()1(0)f x ax bx a =++>.(1)若(1)0f -=,且函数()f x 有且只有一个零点,求()f x 的表达式;(2)在(1)的条件下,当]2,2[-∈x 时,()()g x f x kx =-是单调函数,求实数k 的取值范围.19. (本题满分13分) 已知函数)10()3(log )1(log )(<<++-=a x x x f a a .(1)求函数)(x f 的定义域; (2)求函数)(x f 的零点;(3)若函数()f x 的最小值为2-,求a 的值.附加题:20.(本题满分10分) 已知函数1515)(+-=xx x f 。
绝密★启用前2022-2023学年第二学期 高一月考数学试题考试范围:第六章 直线与圆;考试时间:120分钟;注意事项:1.答题前填写好自己的姓名、班级、考号等信息 2.请将答案正确填写在答题卡上第I 卷(选择题,共60分)一、单选题(本大题共20小题,每小题3分,共60分。
在每小题列出的四个选项中,只有一项符合题目要求。
) 1.已知()3,2A ,()4,1B −,则直线AB 的斜率为( ) A .17−B .17C .7−D .72.已知点(M ,点(1,N ,则直线MN 的倾斜角为( ) A .30°B .60°C .120°D .135°3.已知直线1310l y −+=与直线2l 平行,则2l 的斜率为( )AB .CD .4.以下四个命题,正确的是( )A .若直线l 的斜率为1,则其倾斜角为45°或135°B .经过()()101,3A B −,,两点的直线的倾斜角为锐角 C .若直线的倾斜角存在,则必有斜率与之对应 D .若直线的斜率存在,则必有倾斜角与之对应5.经过点()3,2P ,且与直线4370x y −−=平行的直线方程为( ) A .43180x y +−=B .4360x y −−=C .3410x y −−=D .34170x y +−=6.已知直线:0l Ax By C ++=(A ,B 不同时为0),则下列说法中错误的是( )A .当0B =时,直线l 总与x 轴相交 B .当0C =时,直线l 经过坐标原点O C .当0A C ==时,直线l 是x 轴所在直线D .当0AB ≠时,直线l 不可能与两坐标轴同时相交7.到x 轴距离与到y 轴距离之比等于2的点的轨迹方程为( ) A .()20y x x =≠B .()20y x x =±≠ C .()20xy x ≠ D .()20x y x =±≠ 8.过两点()3,5A −,()5,5B −的直线在y 轴上的截距为( ) A .54−B .54C .25−D .259.已知点()()0,3,3,1A B −,则AB 为( )A .5B .C .D .410.直线0ax by c ++=关于直线0x y −=对称的直线为( ) A .0ax by c −+= B .0bx ay c −+= C .0bx ay c ++= D .0bx ay c +−=11.已知两条直线1:10l ax y +−=和2:10(R)l x ay a ++=∈,下列不正确的是( ) A .“a =1”是“12l l ∥”的充要条件B .当12l l ∥C .当2l 斜率存在时,两条直线不可能垂直D .直线2l 横截距为112.已知点(8,10),(4,4)A B −,则线段AB 的中点坐标为( ) A .(2,7)B .(4,14)C .(2,14)D .(4,7)13.已知圆22:2460C x y x y +−+−=,则圆心C 及半径r 分别为( )A .()1,2−B .()1,2−C .()1,2,−D .()1,2,−14.已知圆心为(2,3)−的圆与直线10x y −+=相切,则该圆的标准方程是( ) A .22(2)(3)8x y ++−= B .22(2)(3)8x y −++= C .22(2)(3)18x y ++−=D .22(2)3)1(8x y ++=−15.圆22(1)(2)4x y ++−=的圆心、半径是( ) A .()1,2−,4B .()1,2−,2C .()1,2−,4D .()1,2−,216.直线1y x =+与圆221x y +=的位置关系为( ) A .相切B .相交但直线过圆心C .相交但直线不过圆心D .相离17.圆224210x y x y ++−+=与直线=1x −的相交弦的长度等于( )A .B .4C .D .218.直线:3410l x y +−=被圆22:2440C x y x y +−−−=所截得的弦长为( )A .B .4C .D .19.过圆2240x y +−=与圆2244120x y x y +−+−=交点的直线方程为( ).A .30x y +−=B .30x y −+=C .20x y −+=D .40x y +−=20.已知两圆2210x y +=和()()221320x y −+−=相交于A ,B 两点,则AB =( )A .B .CD .第II 卷(非选择题,共60分)二、填空题:本大题共5小题,每小题4分,共20分。
高一年级月考数学试卷一、选择题(每小题4分,共60分.)1. 设集合{}{}2,2,1,2A B =-=-,则A ∩B =( ){}{}{}{}.2.2,1.2,2.2,1,2A B C D -----2. 下列关于集合的符号表述中,正确的是( )A. {}{}2,11-∈-B.R ∈3C.1[]1,0⊆D.{}0⊆φ3.若a 是R 中的元素,但不是Q 中的元素,则a 可以是( ).A.3.14B.-5C.37D.√74.不等式x x 32≤的解集为( )A.[0,3]B.(-∞,3]C.(0,3)D.(-∞,3)3.集合}632{,,=A 的子集个数是( )A .1B .3C .5D .86. 如果定义在区间]53[,a +上的函数)(x f 为偶函数,则a 值为( ) A 8- B.8 C.2 D.2-7. 函数y=(2k +1)x +5在R 上是减函数,则( )A. k >12B. k <12C.k >-12D. k <-12 8.已知b a >,则下列不等式成立的是( )A. 22b a >B. b a 11>C. 22bc ac >D. 0<-a b. 9.已知函数2)1(2+-=+x x x f ,则)3(f 等于( )A.8B.6C.4D.210. 函数f (x )在R 上是减函数,则有( )A.f (3)< f (5)B. f (3)≤ f (5)C. f (3)> f (5)D. f (3)≥ f (5)11.与函数y=√−2x3为同一函数的是().A.y=x√−2xB.y=−x√−2xC.y=−√2x3D.y=x2√−2x12.若不等式ax2+bx+1<0的解集是(−5,2),则a−b等于().A.-20B.40C.−25D.1513.函数y=−x2+1,(−1≤x<2) 的值域是()A.(−3,0 ]B. (−3,1 ]C. [0,1 ]D.[1,5)14.已知函数f(x)是定义在R上的偶函数,x<0时,f(x)=x3,则f(2)的值是().A.8B.-8C.18D.−1815.从山顶到山下的招待所的距离为20千米,某人从山顶以4千米/时的速度到山下的招待所,他与招待所的距离s(千米)与时间t(小时)的函数关系用图像表示为()二、填空题(每小题4分,共20分)16.不等式|x −1|≥3的解集是_________.17. 已知函数f (x )={−1,x <0 x −1,x ≥0则f (2)=_________(用数字作答); 18.在数轴上表示不等式组{x >a ,x >b ,的解集如图所示,则不等式组{x <a ,x ≤b ,的解集是_______.(用区间表示) 19.若一元二次函数f (x )=2x 2−mx +1在(2,+∞)内是增函数,则m 的取值范围是______.20.某住宅小区共有150户居民订阅报纸,其中86户订阅晚报,35户订阅经济日报,11户订阅晚报和经济日报两种报纸,则该住宅小区有___户居民没有订阅报纸.三、解答题(21题10分,其余每题各12分,共70分)21.(本题满分10分)求函数f (x )=√x −1+1x−2的定义域.22.(本题满分12分)当1>x 时,比较123+-x x x 与的大小.23.(本题满分12分)已知f (x )=(m −2)x 2+(m −1)x +3是偶函数,求f (x )的单调区间和最大值.24.如图,小亮父亲想用长为80m 的棚栏,再借助房屋的外墙围成一个矩形羊圈ABCD ,已知房屋外墙长50 m ,设矩形ABCD 的边AB =xm ,面积为S m 2.(1)写出S 与x 之间的关系式,并指出x 的取值范围;(2)当AB ,BC 分别为多少米时,羊圈的面积最大?最大面积是多少?25.(本题满分12分)已知)(x f 是R 上的奇函数,且当),0(+∞∈x 时,),1()(x x x f += 求)(x f 的解析式。
高一(上)第二次月考数学试卷一、选择题:本大题共12个小题,每小题5分,共60分.在每小题给出的四个选项中,只有一项是符合题目要求的.1.函数f(x)=√x+1+1x的定义域为()A.[−1, 0)∪(0, +∞)B.(−1, 0)∪(0, +∞)C.[−1, +∞)D.(0, +∞)2.下面各组函数中为相等函数的是()A.f(x)=√(x−1)2,g(x)=x−1B.f(x)=x−1,g(t)=t−1C.f(x)=√x2−1,g(x)=√x+1⋅√x−1D.f(x)=x,g(x)=x2x3.设集合A={x|lgx>0},B={x|2<2x<8},则()A.A=BB.A⊆BC.A⊇BD.A∩B=⌀4.集合A={0, 2, a},B={1, a2},若A∪B={0, 1, 2, 3, 9},则a的值为()A.0B.1C.2D.35.函数f(1x )=11+x,则函数f(x)的解析式是()A.xx+1(x≠0) B.1+xC.1+xx D.1x+1(x≠0)6.若x∈(0, 1),则下列结论正确的是()A.lgx>x12>2xB.2x>lgx>x12C.x12>2x>lgxD.2x>x12>lgx7.集合P={x|x=2k, k∈Z},Q={x|x=2k+1, k∈Z},R={x|x=4k+1, k∈Z},且a∈P,b∈Q,则有()A.a+b∈PB.a+b∈QC.a+b∈RD.a+b不属于P、Q、R中的任意一个8.若一系列函数的解析式和值域相同,但是定义域不同,则称这些函数为“同族函数”,例如函数y=x2,x∈[1, 2],与函数y=x2,x∈[−2, −1]即为“同族函数”.下面的函数解析式也能够被用来构造“同族函数”的是()A.y=xB.y=|x−3|C.y =2xD.y =log 12x9.设2a =5b =m ,且1a +1b =2,则m =( )A.√10B.10C.20D.10010.已知函数y =f(x)的图象关于直线x =1对称,且在[1, +∞)上单调递减,f(0)=0,则f(x +1)>0的解集为( ) A.(1, +∞) B.(−1, 1) C.(−∞, −1) D.(−∞, −1)∪(1, +∞)11.二次函数y =ax 2+bx 与指数函数y =(ba )x 在同一坐标系内的图象可以是( ) A.B.C.D.12.已知函数f(x)={ln(x +1),x >0−x 2−2x,x ≤0,若函数g(x)=f(x)−m 有三个零点,则实数m 的取值范围是( ) A.(0, 12)B.(12, 1)C.(0, 1)D.(0, 1]二、填空题(每题5分,满分20分,将答案填在答题纸上)13.若A ={x|x >−1},B ={x|x −3<0},则A ∩B =________.14.已知f(2x +1)=4x 2+2x +5,则f(−2)=________.15.函数f(x)=(12)2x 2−3x+1的增区间是________.16.已知函数f(x)是定义在R 上的奇函数,当x >0时,f(x)=1−2−x ,则不等式f(x)<−12的解集是________.三、解答题(本大题共6小题,共70分.解答应写出文字说明、证明过程或演算步骤.)17.已知全集U =R ,集合A ={x|2x +a >0},B ={x|x >3或x <−1}. (1)当a =2时,求集合A ∩B ;(2)若(∁U A)∪B =R ,求实数a 的取值范围.18.计算:(1)813−(614)12+π0−3−1;(2)2log 62+log 69+32log 319−823.19.已知函数f(x)=2a ⋅4x −2x −1.(1)若a =1,求当x ∈[−3, 0]时,函数f(x)的取值范围;(2)若关于x 的方程f(x)=0有实数根,求实数a 的取值范围.20.设函数f(x)=ax−1x+1,其中a ∈R .(1)若a =1时,讨论函数f(x)的单调性并用定义给予证明;(2)若函数f(x)在区间(0, +∞)上是单调减函数,求实数a 的取值范围.21.经市场调查,某城市的一种小商品在过去的近20天内的销售量(件)与价格(元)为时间t (天)的函数,且销售量近似满足 g(t)=80−2t (件),价格近似满足f(t)=20−|t −10|(元). (1)试写出该种商品的日销售额y 与时间t(0≤t ≤20)的函数表达式;(2)求该种商品的日销售额y 的最大值与最小值.22.已知函数f(x)的定义域是x ≠0的一切实数,对定义域内的任意x 1,x 2都有f(x 1⋅x 2)=f(x 1)+f(x 2),且当x >1时f(x)>0,f(2)=1. (1)求证:f(x)是偶函数;(2)f(x)在(0, +∞)上是增函数;(3)解不等式f(2x 2−1)<2. 答案1. 【答案】A【解析】由根式内部的代数式大于等于0,分式的分母不为0联立不等式组得答案. 【解答】解:由{x +1≥0x ≠0,解得x ≥−1且x ≠0.∴函数f(x)=√x +1+1x 的定义域为[−1, 0)∪(0, +∞). 故选:A . 2. 【答案】B【解析】根据两个函数的定义域相同,对应关系也相同,即可判断两个函数是相等的函数.【解答】解:A,f(x)=√(x−1)2=|x−1|的定义域是R,g(x)=x−1的定义域是R,对应关系不相同,所以不是相等函数;B,f(x)=x−1的定义域是R,g(t)=t−1的定义域是R,对应关系也相同,所以是相等函数;C,f(x)=√x2−1的定义域是(−∞, −1]∪[1, +∞),g(x)=√x+1⋅√x−1=√x2−1的定义域是[1, +∞),定义域不同,不是相等函数;D,f(x)=x的定义域是R,g(x)=x2x=x的定义域是{x|x≠0},定义域不同,不是相等函数.故选:B.3. 【答案】C【解析】先根据函数的单调性分别解对数不等式和指数不等式,将集合A、B化简,再根据集合的关系可得本题的答案.【解答】解:对于集合A,lgx>0得x>1,所以A={x|x>1},而集合B,解不等式2<2x<8,得1<x<3,∴B={x|1<x<3},∴A⊇B.故选:C.4. 【答案】D【解析】根据集合的基本运算进行求解即可.【解答】解:∵A∪B={0, 1, 2, 3, 9},∴a=3或a=9.当a=3时,A={0, 2, 3},B={1, 9},满足A∪B={0, 1, 2, 3, 9},当a=9时,A={0, 2, 9},B={1, 81},不满足A∪B={0, 1, 2, 3, 9},∴a=3.故选:D.5. 【答案】A【解析】利用换元法直接求解函数的解析式即可.【解答】解:函数f(1x )=11+x,令1x=t,则f(t)=11+1t=t1+t,可得函数f(x)的解析式是:f(x)=xx+1(x≠0).故选:A.6. 【答案】D【解析】由x∈(0, 1),知lgx<lg1=0,0<x12<1,2x>20=1,故2x>x12>lgx.【解答】解:∵x∈(0, 1),∴lgx<lg1=0,0<x12<1,2x>20=1,∴2x>x12>lgx,故选D.7. 【答案】B【解析】根据集合P={x|x=2k, k∈Z},Q={x|x=2k+1, k∈Z},R={x|x=4k+ 1, k∈Z},我们易判断P,Q,R表示的集合及集合中元素的性质,分析a+b的性质后,即可得到答案.【解答】解:由P={x|x=2k, k∈Z}可知P表示偶数集;由Q={x|x=2k+1, k∈Z}可知Q表示奇数集;由R={x|x=4k+1, k∈Z}可知R表示所有被4除余1的整数;当a∈P,b∈Q,则a为偶数,b为奇数,则a+b一定为奇数,故选B8. 【答案】B【解析】理解若一系列函数的解析式和值域相同,但定义域不相同,则称这些函数为“同族函数”的定义,根据例子判定四个选项的函数即可【解答】解:y=|x−3|,在(3, +∞)上为增函数,在(−∞, 3)上为减函数,例如取x∈[1, 2]时,1≤f(x)≤2;取x∈[4, 5]时,1≤f(x)≤2;故能够被用来构造“同族函数”;y=x,y=2x,y=log12x是单调函数,定义域不一样,其值域也不一样,故不能被用来构造“同族函数”.故选B;9. 【答案】A【解析】直接化简,用m代替方程中的a、b,然后求解即可.【解答】解:1a +1b=log m2+log m5=log m10=2,∴m2=10,又∵m>0,∴m=√10.故选A10. 【答案】B【解析】由对称性可得f(2)=0,f(x)在(−∞, 1)上单调递增,讨论x+1≥1,x+1<1,运用单调性,解不等式,最后求并集即可得到解集.【解答】解:由f(x)的图象关于x=1对称,f(0)=0,可得f(2)=f(0)=0,当x+1≥1时,f(x+1)>0,即为f(x+1)>f(2),由f(x)在[1, +∞)上单调递减,可得:x+1<2,解得x<1,即有0≤x<1①当x+1<1即x<0时,f(x+1)>0,即为f(x+1)>f(0),由f(x)在(−∞, 1)上单调递增,可得:x+1>0,解得x>−1,即有−1<x<0②由①②,可得解集为(−1, 1).故选:B.11. 【答案】C【解析】根据二次函数的对称轴首先排除B与D,再根据二次函数y=ax2+bx过(−1, 0),即可得出答案.【解答】解:根据指数函数y =(ba )x 可知a ,b 同号且不相等,则二次函数y =ax 2+bx 的对称轴−b2a <0可排除B 与D ,A 中,二次函数y =ax 2+bx 过(−1, 0),则a =b 不正确. 故选C12. 【答案】C【解析】转化为y =f(x)与y =m 图象有3个交点,画出f(x)的图象,y =m 运动观察即可. 【解答】解:∵函数f(x)={ln(x +1),x >0−x 2−2x,x ≤0,若函数g(x)=f(x)−m 有三个零点,∴y =f(x)与y =m 图象有3个交点,f(−1)=1,f(0)=0, 据图回答:0<m <1, 故选:C .13. 【答案】{x|−1<x <3}【解析】求出B 中不等式的解集确定出B ,找出A 与B 的交集即可. 【解答】解:由B 中不等式解得:x <3,即B ={x|x <3}, ∵A ={x|x >−1},∴A ∩B ={x|−1<x <3}, 故答案为:{x|−1<x <3} 14. 【答案】11【解析】由f(−2)=f[2×(−32)+1],能求出结果. 【解答】解:∵f(2x +1)=4x 2+2x +5,∴f(−2)=f[2×(−32)+1]=4×(−32)2+2×(−32)+5=11. 故答案为:11. 15. 【答案】(−∞,34]【解析】令t =2x 2−3x +1,求出其单调性区间,则g(t)=(12)t 是单调递减,根据复合函数的单调性可得增区间.【解答】解:函数f(x)=(12)2x2−3x+1,令t=2x2−3x+1,则函数f(x)转化为g(t)=(12)t是单调递减,函数t=2x2−3x+1,开口向上,对称轴x=34,其单调性区间,单调增区间为:[34, +∞)单调减区间为(−∞, 34];根据复合函数的单调性“同增异减”可得函数f(x)的单调增区间为(−∞, 34];故答案为:(−∞,34].16. 【答案】(−∞, −1)【解析】欲解不等式f(x)<−12,须先求f(x)的解析式,而题中已给出x>0时的表达式,故先由函数的奇偶性可得x<0时函数f(x)的解析式,之后再分别解两个不等式.【解答】解:由题意得:f(x)={1−2−x,x>02x−1,x<0;不等式f(x)<−12的解集为是(−∞, −1)故填(−∞, −1).17. 【答案】解:(1)由2x+a>0,得x>−a2,即A={x|x>−a2};当a=2时,A={x|x>−1},所以A∩B={x|x>3};; (2)由(1)知A={x|x>−a2},所以∁U A={x|x≤−a2},又(∁U A)∪B=R,所以−a2≥3,解得a≤−6.【解析】(1)求出a=2时集合A,再根据交集的定义写出A∩B;; (2)化简集合A,根据补集和并集的定义即可得出a的取值范围.【解答】解:(1)由2x+a>0,得x>−a2,即A={x|x>−a2};当a =2时,A ={x|x >−1},所以A ∩B ={x|x >3};; (2)由(1)知A ={x|x >−a2}, 所以∁U A ={x|x ≤−a2}, 又(∁U A)∪B =R , 所以−a2≥3, 解得a ≤−6.18. 【答案】解:(1)原式=2−(254)12+1−13=2−52+23=16.; (2)原式=log 6(22×9)+32×(−2)log 33−23×23=2−3−4=−5.【解析】(1)利用指数幂的运算性质即可得出.; (2)利用对数的运算性质即可得出. 【解答】解:(1)原式=2−(254)12+1−13=2−52+23=16.; (2)原式=log 6(22×9)+32×(−2)log 33−23×23=2−3−4=−5.19. 【答案】解:函数f(x)=2a ⋅4x −2x −1,当a =1时,f(x)=2⋅4x −2x −1=2(2x )2−2x −1, 令t =2x , ∵x ∈[−3, 0] ∴t ∈[18, 1]故y =2t 2−t −1=2(t −14)2−98,故得函数f(x)值域为[−98,0].; (2)关于x 的方程2a(2x )2−2x −1=0有实数根,等价于方程2ax 2−x −1=0在(0, +∞)上有实数根. 记g(x)=2ax 2−x −1,当a =0时,解为:x =−1<0,不成立; 当a >0时,g(x)的图象开口向上,对称轴x =14a , ∵14a >0,∴g(x)的图象过点(0, −1),方程2ax 2−x −1=0必有一个实数根为正数,符合要求. 故a 的取值范围我(0, +∞).【解析】(1)当a =1时,化简f(x),转为二次函数求解,x ∈[−3, 0]时,函数f(x)的取值范围;; (2)关于x 的方程2a(2x )2−2x −1=0有实数根,等价于方程2ax 2−x −1=0在(0, +∞)上有实数根.求实数a 的取值范围. 【解答】解:函数f(x)=2a ⋅4x −2x −1,当a =1时,f(x)=2⋅4x −2x −1=2(2x )2−2x −1, 令t =2x , ∵x ∈[−3, 0]∴t ∈[18, 1]故y =2t 2−t −1=2(t −14)2−98,故得函数f(x)值域为[−98,0].; (2)关于x 的方程2a(2x )2−2x −1=0有实数根,等价于方程2ax 2−x −1=0在(0, +∞)上有实数根. 记g(x)=2ax 2−x −1,当a =0时,解为:x =−1<0,不成立; 当a >0时,g(x)的图象开口向上,对称轴x =14a , ∵14a >0,∴g(x)的图象过点(0, −1),方程2ax 2−x −1=0必有一个实数根为正数,符合要求. 故a 的取值范围我(0, +∞).20. 【答案】解:(1)当a =1时,f(x)=1−2x+1,在(−∞, −1)上单调递增,在(−1, +∞)单调递增,设x 1,x 2是区间(−1, +∞)上的任意两个实数,且x 1<x 2,则f(x 1)−f(x 2)=2(x 1−x 2)(x 1+1)(x 2+1).∵x 1,x 2∈(−1, +∞),且x 1<x 2,∴x 1−x 2<0,x 1+1>0,x 2+1>0, ∴2(x 1−x 2)(x1+1)(x 2+1)<0,∴f(x 1)−f(x 2)<0,∴f(x 1)<f(x 2), ∴函数f(x)在区间(−1, +∞)上单调递增;同理,当x 1,x 2∈(−∞, −1)且x 1<x 2时,又x 1−x 2<0,x 1+1<0,x 2+1<0, ∴f(x 1)−f(x 2)<0, ∴f(x 1)<f(x 2),所以函数f(x)在(−∞, −1)上单调递增.; (2)设0<x 1<x 2,则x 1−x 2<0,x 1+1>0,x 2+1>0,若使f(x)在(0, +∞)上是减函数,只要f(x 1)−f(x 2)>0, 而f(x 1)−f(x 2)=(a+1)(x 1−x 2)(x1+1)(x 2+1),所以当a +1<0,即a <−1时,有f(x 1)−f(x 2)>0, 所以f(x 1)>f(x 2),∴当a <−1时,f(x)在定义域(0, +∞)内是单调减函数, 即所求实数a 的取值范围是(−∞, −1).【解析】(1)化简f(x),求得单调区间,由定义证明单调性,注意取值、作差、变形和定符号、下结论;; (2)应用定义,取值、作差、变形和定符号、下结论,即可得到a 的取值范围. 【解答】解:(1)当a =1时,f(x)=1−2x+1,在(−∞, −1)上单调递增,在(−1, +∞)单调递增,设x 1,x 2是区间(−1, +∞)上的任意两个实数,且x 1<x 2,则f(x 1)−f(x 2)=2(x 1−x 2)(x1+1)(x 2+1).∵x 1,x 2∈(−1, +∞),且x 1<x 2,∴x 1−x 2<0,x 1+1>0,x 2+1>0, ∴2(x 1−x 2)(x1+1)(x 2+1)<0,∴f(x 1)−f(x 2)<0,∴f(x 1)<f(x 2), ∴函数f(x)在区间(−1, +∞)上单调递增;同理,当x 1,x 2∈(−∞, −1)且x 1<x 2时,又x 1−x 2<0,x 1+1<0,x 2+1<0, ∴f(x 1)−f(x 2)<0, ∴f(x 1)<f(x 2),所以函数f(x)在(−∞, −1)上单调递增.; (2)设0<x 1<x 2,则x 1−x 2<0,x 1+1>0,x 2+1>0,若使f(x)在(0, +∞)上是减函数,只要f(x 1)−f(x 2)>0, 而f(x 1)−f(x 2)=(a+1)(x 1−x 2)(x1+1)(x 2+1),所以当a +1<0,即a <−1时,有f(x 1)−f(x 2)>0, 所以f(x 1)>f(x 2),∴当a <−1时,f(x)在定义域(0, +∞)内是单调减函数, 即所求实数a 的取值范围是(−∞, −1).21. 【答案】解:(1)y =g(t)⋅f(t)=(80−2t)⋅(20−|t −10|)={(80−2t)(10+t),0≤t <10(80−2t)(30−t),10≤t ≤20;; (2)当0≤t <10时,y =−2t 2+60t +800在[0, 10)上单调递增,y 的取值范围是[800, 1200);当10≤t ≤20时,y =2t 2−140t +2400在[10, 20]上单调递减,y 的取值范围是[1200, 400],在t =20时,y 取得最小值为400.t =10时y 取得最大值1200, 故第10天,日销售额y 取得最大值为1200元; 第20天,日销售额y 取得最小值为400元.【解析】(1)日销售额=销售量×价格,根据条件写成分段函数即可;; (2)分别求出函数在各段的最大值、最小值,取其中最小者为最小值,最大者为最大值; 【解答】解:(1)y =g(t)⋅f(t)=(80−2t)⋅(20−|t −10|)={(80−2t)(10+t),0≤t <10(80−2t)(30−t),10≤t ≤20;; (2)当0≤t <10时,y =−2t 2+60t +800在[0, 10)上单调递增,y 的取值范围是[800, 1200);当10≤t ≤20时,y =2t 2−140t +2400在[10, 20]上单调递减,y 的取值范围是[1200, 400],在t =20时,y 取得最小值为400.t =10时y 取得最大值1200, 故第10天,日销售额y 取得最大值为1200元; 第20天,日销售额y 取得最小值为400元.22. 【答案】解:(1)由题意知,对定义域内的任意x 1,x 2都有f(x 1⋅x 2)=f(x 1)+f(x 2), 令x 1=x 2=−1,代入上式解得f(−1)=0,令x 1=−1,x 2=x 代入上式,∴f(−x)=f(−1⋅x)=f(−1)+f(x)=f(x),∴f(x)是偶函数.; (2)设x 2>x 1>0,则f(x 2)−f(x 1)=f(x 1⋅x2x 1)−f(x 1)=f(x 1)+f(x 2x 1)−f(x 1)=f(x2x 1)∵x2>x1>0,∴x2x1>1,∴f(x2x1)>0,即f(x2)−f(x1)>0,∴f(x2)>f(x1)∴f(x)在(0, +∞)上是增函数.; (3)∵f(2)=1,∴f(4)=f(2)+f(2)=2,∵f(x)是偶函数,∴不等式f(2x2−1)<2可化为f(|2x2−1|)<f(4),又∵函数在(0, +∞)上是增函数,∴|2x2−1|<4,且2x2−1≠0,即−4<2x2−1<4,且2x2≠1解得:−√102<x<√102,且x≠±√22,即不等式的解集为{x|−√102<x<√102, 且x≠±√22}.【解析】(1)根据题意和式子的特点,先令x1=x2=−1求出f(−1)=0,再令x1=−1,x2=x求出f(−x)=f(x),则证出此函数为偶函数;; (2)先任取x2>x1>0,再代入所给的式子进行作差变形,利用x2=x1⋅x2x1和x2x1>1且f(x2x1)>0,判断符号并得出结论;; (3)根据题意和(1)的结论,把不等式转化为f(|2x2−1|)<f(4),再由(2)的结论知|2x2−1|<4,故解此不等式即可.【解答】解:(1)由题意知,对定义域内的任意x1,x2都有f(x1⋅x2)=f(x1)+f(x2),令x1=x2=−1,代入上式解得f(−1)=0,令x1=−1,x2=x代入上式,∴f(−x)=f(−1⋅x)=f(−1)+f(x)=f(x),∴f(x)是偶函数.; (2)设x2>x1>0,则f(x2)−f(x1)=f(x1⋅x2x1)−f(x1)=f(x1)+f(x2x1)−f(x1)=f(x2x1)∵x2>x1>0,∴x2x1>1,∴f(x2x1)>0,即f(x2)−f(x1)>0,∴f(x2)>f(x1)∴f(x)在(0, +∞)上是增函数.; (3)∵f(2)=1,∴f(4)=f(2)+f(2)=2,∵f(x)是偶函数,∴不等式f(2x2−1)<2可化为f(|2x2−1|)<f(4),又∵函数在(0, +∞)上是增函数,∴|2x2−1|<4,且2x2−1≠0,即−4<2x2−1<4,且2x2≠1解得:−√102<x<√102,且x≠±√22,即不等式的解集为{x|−√102<x<√102, 且x≠±√22}.。
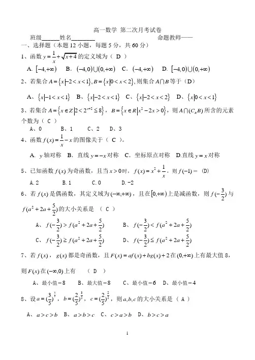
高一数学 第二次月考试卷班级______姓名________ 命题教师——一、选择题(本题12小题,每题5分,共60分)1、函数1y x=+ D ) A. [)4,-+∞ B .()()4,00,-+∞ C .()4,-+∞ D. [)()4,00,-+∞2、若集合{}{}21,02,A x x B x x =-<<=<<则集合A B 等于(D )A 、{}11x x -<<B 、{}21x x -<<C 、{}22x x -<<D 、{}01x x <<3、若集合{}2228x A x Z +=∈<≤,{}220B x R x x =∈->,则()R A C B 所含的元素个数为( C )A 、0B 、1C 、2D 、34、函数1()f x x x=-的图像关于( C )。
A. y 轴对称 B .直线y x =-对称 C .坐标原点对称 D.直线y x =对称5、已知函数()f x 为奇函数,且当0x >时,21()f x x x=+,则(1)f -= (D) A.2 B.1 C.0 D.-26、若)(x f 是偶函数,其定义域为),(+∞-∞,且在[)+∞,0上是减函数,则)23(-f 与)252(2++a a f 的大小关系是 ( C ) A 、)252()23(2++>-a a f f B 、)252()23(2++<-a a f f C 、)252()23(2++≥-a a f f D 、)252()23(2++≤-a a f f 7、若)(x f ,)(x g 都是奇函数,且2)()()(++=x bg x af x F 在),0(+∞上有最大值8,则)(x F 在)0,(-∞上有 ( D )A 、最小值8-B 、最大值8-C 、最小值6-D 、最小值4-8、设253()5a =,352()5b =,252()5c =,则,,a b c 的大小关系是 ( A ) A 、a c b >> B 、a b c >> C 、c a b >> D 、b c a >>9、函数1()(0,1)x f x a a a +=>≠的值域为[)1,+∞,则(4)f -与(1)f 的关系是( A )A 、(4)(1)f f ->B 、(4)(1)f f -=C 、(4)(1)f f -<D 、不能确定10、若函数234y x x =--的定义域为[]0,m ,值域为25,44⎡⎤--⎢⎥⎣⎦,则m 的取值范( B )A. 3(,3)2 B. 3,32⎡⎤⎢⎥⎣⎦ C. (]0,3 D. 3,32⎡⎫⎪⎢⎣⎭11、已知[]1,1-∈x 时,02)(2>+-=a ax x x f 恒成立,则实数a 的取值范围是( A ) A.(0,2) B.),(∞+2 C. ),(∞+0 D.(0,4) 12、奇函数()f x 的定义域为R ,若(2)f x +为偶函数,且(1)1f =,则(8)(9)f f += ( D ) A 、2- B 、1- C 、0 D 、1二、填空题(本题共4小题,每题5分,共20分)13、设集合{}{}21,1,3,2,4,A B a a =-=++{}3A B =,则实数a 的值为_1____ 。
2024级高一数学试题总分:150分 时间:120分钟一、选择题:本题共8小题,每小题5分,共40分.在每小题给出的四个选项中,只有一项是符合题目要求的.1.命题“,”的否定为( )x ∀∈R 2210x x -+>A., B.,x ∀∈R 2210x x -+<x ∀∉R 2210x x -+>C., D.,x ∃∈R 2210x x -+≥x ∃∈R 2210x x -+≤2.定义集合运算.设,,则集合的真子{},,A B c c a b a A b B ==+∈∈◇{}0,1,2A ={}2,3,4B =A B ◇集个数为( )A.32B.31C.30D.153.设集合,,那么下面的4个图形中,能表示集合到集合且{}02M x x =≤≤{}02N y y =≤≤M N 以集合为值域的函数关系的有( )NA ①②③④ B.①②③C.②③D.②4.已知函数.下列结论正确的是( )()223f x x x =-++A.函数的减区间()f x ()(),11,3-∞- B.函数在上单调递减()f x ()1,1-C.函数在上单调递增()f x ()0,1D.函数的增区间是()f x ()1,3-5.已知函数,则下列关于函数的结论错误的是( )()22,1,12x x f x x x +≤-⎧=⎨-<<⎩()f xA. B.若,则()()11f f -=()3f x =x C.的解集为 D.的值域为()1f x <(),1-∞()f x (),4-∞6.已知函数的定义域和值域都是,则函数的定义域和值域分别为( )()f x []0,1fA.和B.和⎡⎣[]1,0-⎡⎣[]0,1C.和D.和[]1,0-[]1,0-[]1,0-[]0,17.设函数;若,则实数的取值范围是( )()()()4,04,0x x x f x x x x +≥⎧⎪=⎨--<⎪⎩()()231f a f a ->-a A. B.()(),12,-∞-+∞ ()(),21,-∞-+∞ C. D.()(),13,-∞-+∞ ()(),31-∞-+∞ 8.已知函数满足,则( )()f x ()111f x f x x ⎛⎫+=+⎪-⎝⎭()2f =A. B. C. D.34-343294二、选择题:本题共3小题,每小题6分,共18分.在每小题给出的选项中,有多项符合题目要求.全部选对的得6分,部分选对的得部分分,有选错的得0分9.设集合,集合,若,则实数的值可以为( {}2280A x x x =--={}40B x mx =-=A B =∅R m )A. B. C.0 D.12-1-10.已知对任意的,不等式恒成立,则下列说法正确的是( )0x <()()240ax x b -+≥A. B.0a >0b <C.的最小值为8 D.的最小值为2a b -1b a +16411.已知,均为正实数.则下列说法正确的是( )x y A.的最大值为22xy x y +128.若,则的最大值为84x y +=22x y +C.若,则的最小值为21y x+=1x y +3+D.若,则的最小值为22x y x y +=-12x y x y +++169三、填空题:本题共3小题,每小题5分,共15分.12.函数______()f x =13.已知函数满足对任意实数,都有成立,()25,1,1x ax x f x a x x⎧-+≤⎪=⎨>⎪⎩12x x ≠()()()21210x x f x f x --<⎡⎤⎣⎦则实数的取值范围是______a 14.记为,,中最大的数.设,,则的最小值为______.{}max ,,abc a b c 0x >0y >13max ,,y x x y ⎧⎫+⎨⎬⎩⎭四、解答题:本题共5小题,共77分.解答应写出文字说明、证明过程或演算步骤.15.(本小题满分13分)(1)已知是一次函数,且,求的解析式;()f x ()()94ff x x =+()f x (2)已知函数.求的解析式;()24212f x x x +=-()f x (3)已知函数满足,求函数的解析式.()f x ()1222f x f x x ⎛⎫-++= ⎪⎝⎭()y f x =16.(本小题满分15分)已知定义在的函数,,满足对,等式()0,+∞()f x ()21f =(),0,x y ∀∈+∞恒成立且当时,.()()()f xy f x f y =+1x >()0f x >(1)求,的值;()1f 14f ⎛⎫ ⎪⎝⎭(2)若,解关于的不等式:.()21f =x ()()64f x f x +-≤17.(本小题满分15分)已知函数()21,1,1x ax x f x ax x ⎧-++≤=⎨>⎩(1)若,用定义法证明:为递增函数;3a =()f x (2)若对任意的,都有,求实数的取值范围.x ()22f x x >-a 18.(本小题满分17分)两县城和相距20km ,现计划在县城外以为直径的半圆弧(不含A B AB AB 两点)上选择一点建造垃圾处理站,其对城市的影响度与所选地点到城市的距离有关,垃圾处理厂AB C 对城的影响度与所选地点到城的距离的平方成反比,比例系数为4;对城的影响度与所选地点到城A A B 的距离的平方成反比,比例系数为,对城市和城市的总影响度为城市和城市的影响度之和,B K A B A B 记点到城市的距离为,建在处的垃圾处理厂对城和城的总影响度为,统计调查表明:当C A x C A B y 垃圾处理厂建在的中点时,对城和城的总影响度为0.065.AB AB (1)将表示成的函数;y x(2)判断弧上是否存在一点,使得建在此处的垃圾处理厂对城市和城的总信影响度最小?若存AB A B 在,求出该点到坡的距离;若不存在,说明理由.A 19.(本小题满分17分)已知集合,其中,由中元{}()12,,2k A a a a k =⋅⋅⋅⋅⋅⋅≥()1,2,i a Z i k ∈=⋅⋅⋅⋅⋅⋅A 素可构成两个点集和:,.P Q (){},,,P x y x A y A x y A =∈∈+∈(){},,,Q x y x A y A x y A =∈∈-∈其中中有个元素,中有个元素.新定义一个性质:若对任意的,,则称集合具P m Q n G x A ∈x A -∉A 有性质G(1)已知集合与集合和集合,判断它们是否具有性{}0,1,2,3J ={}1,2,3K =-{}222L y y x x ==-+质,若有,则直接写出其对应的集合、;若无,请说明理由;G P Q (2)集合具有性质,若,求:集合最多有几个元素?A G 2024k =Q (3)试判断:集合具有性质是的什么条件并证明.A G m n =。
高一上学期第二次月考数学试题一、选择题(本题共10小题,每题5分,共50分)1.设集合{1,0,1}M =-,2{|}N x x x ==,则=N M ( )A .{}1,0,1-B .{}1,0C .{}1D .{}0 2.下列四个函数中,在(0,)+∞上是增函数的是( ) A .1()1f x x =-+ B .2()3f x x x =- C .()3f x x =- D .()f x x =- 3.下列各组函数是同一函数的是( )①32)(x x f -=与x x x g 2)(-=,②x x f =)(与2)(x x g =,③0)(x x f =与1)(=x g ,④12)(2--=x x x f 与12)(2--=t t t gA.①②B.①③C.②④D.①④ 4.若函数223x y -=+的图像恒过点P ,则点P 为( )A .(2,3)B .(1,1)C .(0,1)D .(2,4) 5.若函数⎩⎨⎧≤>=)0(2)0(log )(3x x x x f x,则)]91([f f 的值是( ) A .9 B .91C .41 D .4 6. 已知函数)(x f 是定义在R 上的奇函数,且当0<x 时,12)(+-=x x f ,则当0>x 时,)(x f 的解析式为( ) A .12)(+=x x f B .12)(-=x x fC .12)(+-=x x fD .12)(--=x x f 7. 若偶函数)(x f 在(]1,-∞-上是增函数,则下列关系式中成立的是( )A .)2()1()23(f f f <-<-B .)2()23()1(f f f <-<-C . )23()1()2(-<-<f f f D .)1()23()2(-<-<f f f8.若函数()(01)xxf x ka aa a -=->≠且在(,)-∞+∞上既是奇函数又是增函数,则函数()log ()a g x x k =+的图像是( )A .B .C .D .9.已知函数(0),()(3)4(0)x a x f x a x a x ⎧<=⎨-+≥⎩是减函数,则a 的取值范围是( )A .(0,1)B . 1(0,]4 C .1[,1)4D .(0,3)10.已知0a >且1a ≠,2()x f x x a =-,当(1,1)x ∈-时,均有1()2f x <,则实数a 的取值范围是( )A .1(0,][2,)2+∞B .1[,1)(1,4]4C .1(0,][4,)4+∞ D .1[,1)(1,2]2二、填空题(本题共5小题,每题4分,共20分) 11.比较大小:3log 0.3 0.32.12. 函数x x f 24)(-=+11+x 的定义域是 .(要求用区间表示) 13. 已知函数22()log (3)f x x ax a =-+在区间[2,)+∞上递增,则实数a 的取值范围是 .14. 某商品在近30天内每件的销售价格P (元)和时间t (天)的函数关系为:⎩⎨⎧≤≤+-<<+=)3025(100)250(20t t t t P (*∈N t ), 设商品的日销售量Q (件)与时间t (天)的函数关系为t Q -=40(*∈≤<N t t ,300),则第 天,这种商品的日销售金额最大.15.下列几个命题:①若方程2(3)0x a x a +-+=有一个正实根,一个负实根,则0a <;②函数y =③函数()f x 的值域是[2,2]-,则函数(1)f x +的值域为[3,1]-;④设函数()y f x =定义域为R ,则函数(1)y f x =-与(1)y f x =-的图像关 于y 轴对称;⑤一条曲线2|3|y x =-和直线 ()y a a =∈R 的公共点个数是m ,则m 的值 不可能是1.其中正确的有 .三、解答题(16,17每题10分,18,19每题15分,共50分) 16. (本小题满分10分)(1)计算:715log 2043210.064()70.250.58----++⨯;(2)计算:()281lg 500lg lg 6450lg 2lg 552+-++17. (本小题满分10分)设集合{}42≤≤-=x x A ,{}m x m x B ≤≤-=3. (1)若{}42≤≤=x x B A ,求实数m 的值; (2)若)(B C A R ⊆,求实数m 的取值范围.18. (本小题满分15分)已知()l g (1)a f x o x =+, ()l g (1)a g x o x =-,其中a >0,a≠1.(1)求函数f(x)-g(x)的定义域;(2)判断函数f(x)-g(x)的奇偶性,并予以证明; (3)求使f(x)-g(x)>0的x 的取值范围.19.(本小题满分15分)已知函数f(x)=x 2+2x +ax,x∈[1,+∞).(1)当a =12时,用定义探讨函数f(x)在x∈[1,+∞)上的单调性并求f(x)最小值;(2)若对任意x∈[1,+∞),f(x)>0恒成立,试求实数a 的取值范围.2013学年第一学期第二次月考高一数学参考答案三、解答题(16,17题每题10分,18,19题每题15分,共50分) 16. (本小题满分10分)(1)计算:715log 2043210.064()70.250.58----++⨯;(2)计算:()281lg 500lg lg 6450lg 2lg 552+-++解:(1)原式5410115112()()1442222-=-++⨯=++=.................5分 (2)原式2lg53lg 2lg53lg 25052=++--+=.....................5分18. (本小题满分15分)已知()l g (1)a f x o x =+,()l g (1)a g x o x =-,其中a >0,a≠1.(1)求函数f(x)-g(x)的定义域;(2)判断函数f(x)-g(x)的奇偶性,并予以证明; (3)求使f(x)-g(x)>0的x 的取值范围.解: (1)要使函数f (x )-g (x )有意义,需有⎩⎪⎨⎪⎧1+x >01-x >0,解得-1<x <1,所以f (x )-g (x )的定义域为(-1,1);.............5分 (2)任取x ∈(-1,1),则-x ∈(-1,1)f (-x )-g (-x )=log a (1-x )-log a (1+x )=-[f (x )-g (x )]所以f (x )-g (x )在(-1,1)上是奇函数;.............5分 (3)由f (x )-g (x )>0得log a (1+x )>log a (1-x )①当a >1时,则①可化为⎩⎪⎨⎪⎧1+x >1-x -1<x <1,解得0<x <1;当0<a <1时,由⎩⎪⎨⎪⎧1+x <1-x-1<x <1,解得-1<x <0.所以当a >1时,x 的取值范围是(0,1),当0<a <1时,x 的取值范围是(-1,0)..............5分()()1212121122f x f x x x x x -=+--()2112122x x x x x x -=-+()1212112x x x x ⎛⎫=--⎪⎝⎭()121212212x x x x x x -=-由1212121210,1210x x x x x x x x ≤<-<>∴->得()()()()12120,f x f x f x f x ∴-<<即()[)f x ∴∞在1,+上为增函数,()()min 712f x f ∴== (8)'。
中职高一第一学期第二次月考月考试卷数学试卷 本试题卷共三大题,共4页.满分120分一、单项选择题(本大题共18小题,每小题2分共36分)1.下列四个关系式中,正确的是( )A 、{}a ∈φB 、{}a a ⊆C 、{}{}b a a ,∈D 、{}b a a ,∈2.满足关系{1}{1,2,3,4}B ⊆⊆的集合B 有( )A.5个B.6个C.7个D.8个3.若0,0,0><>+ay a y x ,则y x -的大小是( )A.小于零B.大于零C.等于零D.都不正确4.下列函数在其定义域上单调递增的是( )A . ()3x f x -=B .2()23f x x x =-++C .12()log f x x = D . ()2f x x =+5. 条件b a p =:,条件0:22=-b a q ,则p 是q 的( )A.充分条件B.必要条件C.充要条件D.既不充分也不必要条件 6.下列各组函数中表示同一函数的是( )A .xx x g x f ==)(,1)( B .0)(,1)(x x g x f == C .()2)(,)(x x g x x f == D .33)(,)(⎪⎭⎫ ⎝⎛==x x g x x f 7.下列各角中,与 2010终边相同的角是( )A. 10B. 110C. 210D.310 8.函数y=x 2+1是( )A. 奇函数B. 既奇又偶C.偶函数D.非奇非偶9.若sin α=45-,α为第四象限角,则cos α=( ) A.45- B.54 C.53 D. 53- 10. 将5100化为弧度为( )A .π617B .π613C .π67 D .π62511. 不等式(组)的解集与其他选项不同的是( )A.0)3)(1(>+-x xB.031>+-x xC.21>+xD.⎩⎨⎧>+>-0301x x 12. 乘积sin(110)cos(320)tan(700)-︒⋅︒⋅-︒的最后结果为( )A.正数B.负数C.正数或负数D. 013. 若sin 0α>且tan 0α<,则角α终边所在象限是( )A.第一象限B.第二象限C.第三象限D.第四象限14.不等式013≤--x x 的解集为( ) A .{}3或1≥<x x x B .{}31≤<x x C .{}31≤≤x x D .{}3或1≥≤x x x 15. 已知函数14)2(-=x x f ,则=)2(f ( )A.1B.2C.3D.416. 若12511()()33a a ++>,则a 的取值范围是( ) A .4a >- B .41a -<<- C .1a >- D .512a -<<- 17.已知函数1)1(log 2-+=x x y -的定义域为( )A.[)+∞,1B.),1(+∞C. [)+∞-,1 D. ),1(+∞- 18. 对任意实数x,y ,给定函数都满足)()()(y f x f xy f -=,,则=)1(f ( )A. 2B.1C.0D.-1二.填空题:(本大题共8小题,每小题3分,共24分)19.函数)1且0()2(log ≠>-=a a x y a 的图象恒过定点P,则P 坐标为 。
高一年级上学期第二次月考数学试题卷时间:120分 总分:150分一、选择题(本大题共12小题,每小题5分,共60分.在每小题给出的四个选项中,只有一项是符合题目要求的)1.设集合,.若,则( ){}1,2,4A ={}240x x x m B =-+={}1A B = B =A .B .C .D .{}1,3-{}1,0{}1,3{}1,52. 函数的定义域为( )()f x =A .(-1,2)B . C. D .[1,0)(0,2)- (1,0)(0,2]- (1,2]-3. 函数是奇函数,且其定义域为,则( )3()2f x ax bx a b =++-[34,]a a -()f a =A . B . C . D .43214.已知直线,则该直线的倾斜角为( )20x -=A .30° B .60°C .120°D .150°5. 已知两直线和 ,若且在轴上的截距1:80l mx y n ++=2:210l x my +-=12l l ⊥1l y 为-1,则的值分别为( ),m n A .2,7 B .0,8 C .-1,2 D .0,-86.已知等腰直角三角形的直角边的长为2,将该三角形绕其斜边所在的直线旋转一周而形成的曲面所围成的几何体的表面积为 ( )A . 322πB .324πC . π24D .π)(424+7. 设为平面,为两条不同的直线,则下列叙述正确的是( )αβ,,a b A . B .//,//,//a b a b αα若则//,,a a b b αα⊥⊥若则C .D .//,,,//a b a bαβαβ⊂⊂若则,//,a a b b αα⊥⊥若则8.直三棱柱ABC —A 1B 1C 1中,若∠BAC =90°,AB =AC =AA 1,则异面直线BA 1与AC 1所成的角等于( )A .30°B .45°C .60°D .90°9.若函数的两个零点分别在区间和上,则()()()2221f x m x mx m =-+++()1,0-()1,2的取值范围是( )m A. B. C. D.11,24⎛⎫- ⎪⎝⎭11,42⎛⎫- ⎪⎝⎭11,42⎛⎫ ⎪⎝⎭11,42⎡⎤⎢⎥⎣⎦10. 一个机器零件的三视图如图所示,其中侧视图是一个半圆与边长为的正方形,俯视2图是一个半圆内切于边长为的正方形,则该机器零件的体积为( )2A . B .34π+38π+C. D .π384+π388+11. 如图,等边三角形ABC 的中线AF 与中位线DE 相交于G ,已知△A ′ED 是△AED 绕DE 旋转过程中的一个图形,下列命题中错误的是( )A .恒有DE ⊥A ′FB .异面直线A ′E 与BD 不可能垂直C .恒有平面A ′GF ⊥平面BCEDD .动点A ′在平面ABC 上的射影在线段AF 上12. 设函数的定义域为D ,若函数满足条件:存在,使得在()f x ()f x [],a b D ⊆()f x 上的值域为,则称为“倍缩函数”.若函数为“倍[],a b ,22a b ⎡⎤⎢⎥⎣⎦()f x ()()2log 2x f x t =+缩函数”,则的取值范围是( )t A. B. C. D.10,4⎛⎫ ⎪⎝⎭1,4⎛⎫+∞ ⎪⎝⎭()0,110,2⎛⎤⎥⎝⎦二、填空题(本大题共4小题,每小题5分,共20分,把答案填在题中横线上)13. 设,则的值为 .⎩⎨⎧≥-<=-2),1(log ,2,2)(231x x x e x f x ))2((f f 14. 用一个平行于正棱锥底面的平面截这个正棱锥,截得的正棱台上、下底面面积之比为1:9,截去的棱锥的高是2cm,则正棱台的高是 cm.15.如图,正方体中,交于,为线段上的一个动点,1111D C B A ABCD -AC BD O E 11D B 则下列结论中正确的有_______.①AC ⊥平面OBE②三棱锥E -ABC的体积为定值③B 1E ∥平面ABD ④B 1E ⊥BC 116. 已知函数若存在实数,满足32log ,03,()1108,3,33x x f x x x x ⎧<<⎪=⎨-+≥⎪⎩,,,a b c d ,其中,则的取值范围为 .()()()()f a f b f c f d ===0d c b a >>>>abcd 三、解答题(本大题共6小题,共70分.解答应写出文字说明、证明过程或演算步骤.)17.(本小题满分10分) 已知全集 ,,.UR =1242x A x⎧⎫=<<⎨⎬⎩⎭{}3log 2B x x =≤(1)求 ; A B (2)求.()U C A B 18. (本小题满分12分)(1)已知直线过点,且与两坐标轴的正半轴围成的三角形的面积是4,求直线的l (1,2)A l 方程.(2)求经过直线与的交点.且平行于直线1:2350l x y +-=2:71510l x y ++=的直线方程.230x y +-=19.(本小题满分12分)已知直线,.1:310l ax y ++=2:(2)0l x a y a +-+=(1)当l 1//l 2,求实数的值;a (2)直线l 2恒过定点M ,若M 到直线的距离为2,求实数的值.1l a20. (本小题满分12分) 如图,△中,,四边形是边长ABC AC BC AB ==ABED 为的正方形,平面⊥平面,若分别是的中点.a ABED ABC G F 、EC BD 、(1)求证:;//GF ABC 平面(2) BD EBC 求与平面所成角的大小21. (本小题满分12分) 如图,在四棱锥中,平面,底面ABCD P -⊥PD ABCD 是平行四边形,,为与ABCD BD AD PD AB BAD ====∠,,,3260 O AC 的交点,为棱上一点.BD E PB(1)证明:平面平面;⊥EAC PBD (2)若,求二面角的大小.EB PE 2=B AC E --22. (本小题满分12分) 对于函数与,记集合.()f x ()g x {}()()f g D x f x g x >=>(1)设,求集合;()2,()3f x x g x x ==+f g D >(2)设,若,求实数121()1,()(31,()03xx f x x f x a h x =-=+⋅+=12f h f h D D R >>⋃=的取值范围.a答案一、选择题(本大题共12小题,每小题5分,共60分.在每小题给出的四个选项中,只有一项是符合题目要求的)C C B A B CD C C A B A二、填空题(本大题共4小题,每小题5分,共20分,把答案填在题中横线上)13. 2 14. 415. ①②③ 16.(21,24)三、解答题(本大题共6小题,共70分.解答应写出文字说明、证明过程或演算步骤.)17.(本小题满分10分)解: , B {}12A x x =-<<{}09B x x =<≤·······················4分(1) ····································································6分{}02A B x x =<< (2) ,或 .·····10分{}19A B x x =-<≤ (){1U C A B x x =≤- 9}x >18. (本小题满分12分)(1)解析:解法一 设l :y -2=k (x -1)(k <0),令x =0,y =2-k .令y =0,x =1-,2k S =(2-k )=4,12(1-2k )即k 2+4k +4=0.∴k =-2,∴l :y -2=-2(x -1),即l :2x +y -4=0.···················6分解法二 设l :+=1(a >0,b >0),x a yb 则{12ab =4,1a+2b=1.)a 2-4a +4=0⇒a =2,∴b =4.直线l :+=1.x 2y4∴l :2x +y -4=0.(2)联立,解得.设平行于直线 x +2y ﹣3=0的直线方程为 x +2y +n=0.把代入上述方程可得:n=﹣.∴要求的直线方程为:9x +18y ﹣4=0.···········12分19.(本小题满分12分)(1)a=3,或a=-1(舍)··························4分(2)M(-2,-1)···································8分得a=4··················12分2=20. (本小题满分12分)(1)证明: 连接EA 交BD 于F ,∵F 是正方形ABED 对角线BD 的中点,∴F 是EA 的中点,∴FG ∥AC .又FG ⊄平面ABC ,AC ⊂平面ABC ,∴FG ∥平面ABC .··················6分(2)∵平面ABED ⊥平面ABC ,BE ⊥AB ,∴BE ⊥平面ABC .∴BE ⊥AC .又∵AC =BC =AB ,22∴BC ⊥AC ,又∵BE ∩BC =B ,∴AC ⊥平面EBC .由(1)知,FG ∥AC ,∴FG ⊥平面EBC ,∴∠FBG 就是线BD 与平面EBC 所成的角.又BF =BD =,FG =AC =,sin ∠FBG ==.122a 2122a 4FG BF 12∴∠FBG =30°.························12分21. (本小题满分12分)解:(1)∵平面,平面,∴.⊥PD ABCD ⊂AC ABCD PD AC ⊥∵,∴为正三角形,四边形是菱形,60,=∠=BAD BD AD ABD ∆ABCD ∴,又,∴平面,BD AC ⊥D BD PD = ⊥AC PBD 而平面,∴平面平面.·········································6分⊂AC EAC ⊥EAC PBD (2)如图,连接,又(1)可知,又,OE AC EO ⊥BD ⊥AC∴即为二面角的平面角,EOB ∠B AC E --过作,交于点,则,E PD EH ∥BD H BD EH ⊥又,31,33,3,2,2=====OH EH PD AB EB PE 在中,,∴,EHO RT ∆3tan ==∠OHEHEOH 60=∠EOH 即二面角的大小为.·································································12分B AC E --6022. (本小题满分12分)解:(1) 当得; ······················2分0≥x 3,32>∴+>x x x当 ················4分1320-<∴+>-<x x x x ,时,得··············5分()()∞+⋃-∞-=∴>,31,g f D(2) ······· 7分()⎭⎬⎫⎩⎨⎧>+⋅+=∞+=>>013)31(,121xxh f h f a x D D , ,R D D h f h f =⋃>>21 ∴(]1,2∞-⊇>h f D 即不等式在恒成立 (9)01331>+⋅+xxa (1≤x 分时,恒成立,∴1≤x ⎥⎥⎦⎤⎢⎢⎣⎡+⎪⎭⎫ ⎝⎛->x x a )31(91在时最大值为,··················11分⎥⎦⎤⎢⎣⎡+-=x x y 31()91( 1≤x 94-故 ·············12分94->a。
高一数学单元复习试题一、选择题(12*5分=60分)1.下列式子中正确的个数是( )(1)0}0{∈ (2)φ=}0{ (3)}0{⊆φ (4)0}0{⊆A 1B 2C 3D 42.满足}1,0,1{}0,1{-=-A 的集合A 共有( )A 1个B 2个C 3个D 4个3.图中阴影部分表示的集合是( )A .A ∩(C UB ) B .(C U A )∩BC .C U (A ∩B)D .C U (A ∪B) 4.已知函数⎩⎨⎧≤+>-=0,10,1)(x x x x x f ,则=)]21([f f ( ) A21 B 21- C 23 D 23- 5.函数131)(-++-=x x x f 的定义域是( )A ),1[+∞B ),3[+∞-C ]1,3[-D ),3[]1,(+∞--∞6.若q px x x f ++=2)(满足0)2()1(==f f ,则(4)f 的值是( )A 5B 5-C 6D 6-7.已知集合}|{},21|{a x x B x x A ≤=<<=,若Φ≠B A ,则实数a 的集合为( ).A }2|{<a aB }1|{≥a aC }1|{>a aD }21|{≤≤a a8.设}20|{},22|{≤≤=≤≤-=x x N x x M ,给出下列4个图形,其中能表示以集合M 为定义域,N 为值域的函数关系的是( )9.奇函数)(x f y =在区间][5,3上是增函数且最小值为2,那么)(x f y =在区间][3,5--上是( )A 减函数且最小值为-2B 减函数且最大值为-2C 增函数且最小值为-2D 增函数且最大值为-2 10. 指数函数y=a x的图像经过点(2,16)则a 的值是 ( ) xA . 4±B . 41C .2D .411.设集合}21,|{},,40|{2≤≤--==∈≤≤=x x y y B R x x x A ,则)(B A C R 为( ) A 、 R B 、 }0,|{≠∈x R x x C 、 }0{ D 、 φ 12.已知)(x f 是奇函数,且当0>x 时,()()2-=x x x f ,则当0<x 时,)(x f 的表达式是( )A .()2--x xB .()2-x xC .()2+x xD . ()2+-x x二、填空题(6*4分=24分)13.已知集合{}}8,7,3{},9,6,3,1{,5,4,3,2,1,0===C B A ,则C B A )(等于 ___ .14.已知函数()32+=x x f ,函数()53-=x x g ,则()()=2g f _______.15.已知)(x f 的定义域为]2,1[,则)1(+x f 的定义域为 .16.已知()y f x =在R 上是减函数,且(1)(21)f a f a -<-,则a 的取值范围是 .17.设集合A 和B 都是自然数集N ,映射f :A →B 把集合A 中的元素n 映射到集合B 中的元素n n +2,则在映射下,6的原象是______, 3的象是_______.18.给出下列命题:①函数)2,2[,2-∈=x x y 是偶函数; ②奇函数)(x f 在0=x 有定义时,则0)0(=f ;③0)(=x f 既是奇函数又是偶函数;④}2,1,1,2{,)(2--∈=x x x f 不是偶函数.其中正确命题的序号是 .三、解答题19. (本题共6分)已知集合{}{}22,1,3,3,21,1A a a B a a a =+-=--+,若{}3A B =- ,求实数a 的值。
职 一 年 级 数 学 测 试 题班级 姓名: .一、选择题(每小题4分,共48分)1. 设集合{}20<≤=x x M ,集合{}13N x x =-<<,集合=N M ( )A .{}10≤≤x xB .{}20<≤x xC .{}10<≤x xD .{}20≤≤x x2. “24x =”是“2x =-”的 ……………………( ).A 充分而不必要条件; .B 必要而不充分条件; .C 充分必要条件; .D 既不充分也不必要条件。
3. 设a b <且0b <,则…………………( )A .0>+b aB .0<+b aC .b a <D .0>-a b4. 函数3()f x x =关于 ………………( )A .原点对称B .y 轴对称C .x 轴对称D .直线 x y = 对称5. 若()1f x x =+,则(3)f = ………………( )A .2B .4C .22D .106. 一元二次函数22-+-=x x y 的最大值是…………( )A .2-B .74-C .94D .72-7. 下列函数中为偶函数的是 ………………( )A .15)(+=x x fB . 3()f x x =C .2()f x x x =+D .x x f =)(8. 函数12x y x -=-的定义域是 …………………………( ) A .{}1≥x x B .{}1>x x C .{}2,1≠≥x x x 且 D .{}2,1≠>x x x 且9. 已知函数,32)(2++=x ax x f 且6)1(=f ,则)(x f 的解析式中a 的值是( )A .0B .1C .1-D .210. 与12+=x y 互为反函数的是…………………………( )A.12--=x y ;B.21-=x y ; C.12+=x y ; D.121+=x y . 11. 下列各组的函数中,函数相同的是…………………( )A .()x x f 2)(=和x x g =)( B .x x f x)(=和x x g =)(C .1)(=x f 和90sin )(=x g D .11)(2--=x x f x和1)(+=x x g12. 函数1+=x y 的图像是………………………( )A .B .C .D .二、填空题(每小题4分,共2 0分)13.不等式(x-3)(5-x)≧0的解集为 ; 14.若x 52=8,则x= ; 15.若a b <,,0<c 则ac bc 。
高一数学上册二次月考试卷一、选择题(每题3分,共30分)1. 下列哪个选项是二次函数的一般形式?A. y = ax^2 + bx + cB. y = ax^2 + bC. y = ax + cD. y = a(x - h)^2 + k2. 如果二次函数f(x) = ax^2 + bx + c的图象开口向上,那么a的值应该是:A. a > 0B. a < 0C. a = 0D. a ≠ 03. 二次函数y = 2x^2 - 3x + 1的顶点坐标是:A. (0,1)B. (3/2, -1/2)C. (1, 2)D. (-1, 2)4. 对于二次方程ax^2 + bx + c = 0,当a > 0且b^2 - 4ac > 0时,方程的解的个数是:A. 0B. 1C. 2D. 无穷多5. 已知二次函数f(x) = x^2 + 2x - 3,当x = 1时,函数值f(1)为:A. -2B. 0C. 1D. 26. 抛物线y = -3x^2 + 6x - 5的对称轴方程是:A. x = -1B. x = 1C. x = 2D. x = 37. 如果二次函数f(x) = kx^2 + 2x + 1的图象与x轴有两个交点,那么k的取值范围是:A. k < 0B. k > 0C. k ≠ 0D. k ≥ 08. 已知二次函数f(x) = x^2 - 2x + 3,当x ∈ [0, 3]时,函数的最小值是:A. 0B. 1C. 3D. 49. 抛物线y = 4x^2 - 12x + 9的顶点坐标是:A. (0, 9)B. (3, 0)C. (-3, 9)D. (1, 4)10. 对于二次方程x^2 - 4x + 4 = 0,其判别式b^2 - 4ac的值是:A. 0B. 4C. 8D. 16二、填空题(每题2分,共20分)11. 二次函数f(x) = x^2 - 4x + 4的顶点坐标是______。
高一职高数学试题及答案一、选择题(每题3分,共30分)1. 下列函数中,为奇函数的是()。
A. y = x^2B. y = x^3C. y = -xD. y = |x|2. 函数f(x) = 2x - 3的反函数是()。
A. f^(-1)(x) = (1/2)x + 3/2B. f^(-1)(x) = (1/2)x - 3/2C. f^(-1)(x) = (1/2)x + 2D. f^(-1)(x) = (1/2)x - 23. 已知集合A = {1, 2, 3},B = {2, 3, 4},则A∩B等于()。
A. {1}B. {2, 3}C. {4}D. {1, 2, 3}4. 已知a > 0,b > 0,且a + b = 1,则ab的最大值是()。
A. 1/4B. 1/2C. 1D. 25. 已知直线l的方程为y = 2x + 3,点P(1, 2)在直线l上,则点P关于直线l的对称点Q的坐标为()。
A. (0, 1)B. (-1, 0)C. (1, 0)D. (2, 3)6. 函数f(x) = sin(x) + cos(x)的值域是()。
A. [-1, 1]B. [-√2, √2]C. [0, 2]D. [1, √2]7. 已知等差数列{an}的首项a1 = 2,公差d = 3,则该数列的第5项a5等于()。
A. 14B. 17C. 20D. 238. 已知抛物线y = ax^2 + bx + c的顶点坐标为(1, -4),则a的值为()。
A. -4B. -2C. 2D. 49. 已知向量a = (3, -2),b = (-1, 4),则向量a·b等于()。
A. -5B. 5C. -10D. 1010. 函数f(x) = x^2 - 4x + 3的零点个数为()。
A. 0B. 1C. 2D. 3二、填空题(每题4分,共20分)11. 已知函数f(x) = x^2 - 6x + 8,求f(0)的值为________。
南充高中高2023级高一上学期第二次月考数学试题答案一、选择题题号123456789101112答案CDDBABCABDACABCDAD二、填空题13.2114.(1,2)15.g(x )填一个奇函数即可,定义域不做要求16.115题:1)(,1)(,)(22-=-=+=--xx x x e e a x g e e a x g x b ax x g 等均是正确答案,1)(2-=-x xe e a x g 错误.8.任取),0(,21+∞∈x x ,21x x <,⎦⎤⎢⎣⎡-+-=--+=-211212121222122)(22)()(x x x x x x x x x x x f x f ⎦⎤⎢⎣⎡-+-=211221122)(x x x x x x x x )(.当)1,0(,21∈x x 时,()02)()()(2112211212<⎥⎦⎤⎢⎣⎡-+-=-x x x x x x x x x f x f ,函数)(x f 单调递减;当)1(,21∞+∈,x x 时,()02)()()(2112211212>⎥⎦⎤⎢⎣⎡-+-=-x x x x x x x x x f x f ,函数)(x f 单调递增;又)(x f 在区间),[+∞b 上单调递增,所以1≥b .11.解当1,1>>b a 时,1log log log )()(444==+=+ab b a b f a f ,4=ab .A 正确当10,10≤<≤<b a 时,1log log log )()(444=-=--=+ab b a b f a f ,41=ab .0422)4(2144)1)(14(=-≤+-=+--=--ab b a b a ab b a ,当且仅当b a =4时,等号成立.B 错误.当10,1<<>b a 时,1log log log )()(444==-=+b a b a b f a f ,4=ba,b a 4=.C 正确.当1,10≥≤<b a 时,a b 4=,412141222-⎪⎭⎫ ⎝⎛-=-=-a a a b a ,当21=a 时,b a 412-有最小值为41-.D 正确.此时0)14)(14()1)(14(≥--=--a a b a ,成立,即B 正确.综上所述,选ABCD12.解当22≤-x 时,0≥x ,⎩⎨⎧>-≤≤=--=-2420|2|2)2(x xx x x x f ;当22>-x 时,0<x ,22)22()2(x x x f =+-=-。
成都市中和职业中学2017-2018学年上学期第三次月考试卷 高一数学
一、选择题(每小题5分,共60分)
1. 设集合{}20<≤=x x M ,集合{}13N x x =-<<,集合=N M I ( )
A .{}10≤≤x x
B .{}20<≤x x
C .{}10<≤x x
D .{}20≤≤x x 2. 已知函数⎩⎨⎧≥+-<+=1
,31,1)(x x x x x f ,则
A
B
C .25
D
3. 设a b <且0b <,则…………………( )
A .0>+b a
B .0<+b a
C .b a <
D .0>-a b
4. 函数3
()f x x =关于 ………………( )
A .原点对称
B .y 轴对称
C .x 轴对称
D .直线 x y = 对称
5.
若()f x =
(3)f = ………………( )
A .2
B .4 C
.D .10
6. 一元二次函数22-+-=x x y 的最大值是…………( )
A .2-
B .74-
C .94
D .7
2
-
7. 下列函数中为偶函数的是 ………………( )
A .15)(+=x x f
B . 3()f x x =
C .2
()f x x x =+ D .x x f =)(
8.
函数y =
的定义域是 …………………………( ) A .{}1≥x x B .{}1>x x C .{}2,1≠≥x x x 且 D .{}2,1≠>x x x 且
9. 已知函数,32)(2++=x ax x f 且6)1(=f ,则)(x f 的解析式中a 的值是( )
A .0
B .1
C .1-
D .2
10. 与12+=x y 互为反函数的是…………………………( )
A.12--=x y ;
B.21-=
x y ; C.12+=x y ; D.1
21
+=x y . 11. 下列各组的函数中,函数相同的是…………………( )
A .()
x x f 2
)(=
和x x g =)( B .x x f x
)(=
和x x g =)( C .1)(=x f 和900
sin )(=x g D .1
1
)(2
--=
x x f x
和1)(+=x x g
12. 函数1+=x y 的图像是………………………( )
B
C D
二、填空题(每小题4分,共20分)
13.不等式(x-3)(5-x)≧0的解集为 ; 14.若x 52=8,则x= ; 15.若a b <,,0<c 则ac bc 。
16. 比较大小:b a 2
2
+ ab 2。
x
17. 已知函数)(x f 是奇函数,且(3)2f =-,则(3)f -=__________。
三、解答题(每小题14分,共70分) 18.解不等式
(1)2
(1)4x -> (2)32x -<
(3)已知集合{|13},{|21}A x x B x m x m =<<=<<-,其中1
3
m <
. (1)当1m =-时,求A B U ; (2)若A B ⊆,求实数m 的取值范围.
19设⎪⎪⎩⎪⎪⎨
⎧+∞∈=-∞∈+-=),0(,
0,21
)0,(,1)(2x x x x x x f 求).2
1
(),0(),1(f f f -
20.已知函数x
x
x f -+=11)((1)求)(x f 的定义域;(2)若0)(≥x f ,求x 的取值范围。
21.二次函数y=f(x)的图象过点(1,0)、(0,3),对称轴x= -1.①求f(x)解析式;②解不等式f(x)≥0 (8分)
22
k 为常数). (1)求函数()f x 的定义域,并证明函数()f x 在区间(0,)+∞上为增函数; (2)若函数()f x 为奇函数,求k 的值.
23已知函数()f x 的定义域为R ,若对于任意的实数,x y ,都有()()()f x y f x f y +=+,且0x >时,有()0f x >.
(1)判断并证明函数()f x 的奇偶性;
(2)判断并证明函数()f x 的单调性; (3)解不等式(1)()0f t f t ++<.
高一上第二次月考数学参考答案及评分意见
一、选择题(每小题2分,共40分):
1-5 BBBAA 6-10 BDCBB 11-12 CC 二、填空题(每小题4分,共20分):
13、(2,-1) 14、 12 15、> 16、≥ 17、2 三、解答题:
18、解:(1)方法一:不等式整理变形为0322
>--x x ………………2分
由0322
=--x x 得()()3422
-⨯-=
∆-=16………………3分
11
-=x 32
=x
所以原不等式的解集为{}31>-<x x x 或……………………4分
方法二:不等式等价于21>-x 或21-<-x ……………………2分 即3>x 或1-<x ……………………………………………3分 ∴原不等式的解集为 {}31|>-<x x x 或………………………4分 (2)232<-<-x ………………………………………………2分 51<<x ……………………………………………………3分 ∴原不等式解集为{}51|<<x x …………………………………4分 19、解:()()2111=+--=-f ………………………………………………3分 ()2
1
0=
f ……………………………………………………………2分 4
1
21212
==⎪⎭⎫ ⎝⎛⎪⎭
⎫ ⎝⎛f …………………………………………………3分 20、解:设任意x 1,x 2()0,∞-∈且x 1<x 2…………………………………2分
则()()x x f f
21-x x 212
2
-==()()x x x x 2
121-+…………………4分
由x 1,x 2()0,∞-∈得021<+x x
又x 1<x 2得021<-x x …………………………………………6分 所以()()02
1
>-x x f f 即()()x x f f 2
1
>……………………7分
所以函数x y 2
=
在()+∞∞-,上是减函数。
…………………8分
21、解:(1)由函数x
x
x f -+=
11)(有意义得
)(x f 的定义域为{}1,≠∈x R x x 且……………………………2分
(2)由0)(≥x f 得011≥-+x
x
………………………………… 1分
⇔ ⎩⎨⎧>-≥+0101x x 或⎩⎨⎧<-≤+010
1x x ………………………………3分
即⎩⎨⎧<-≥11x x 或⎩⎨⎧>-≤1
1
x x , 11<≤-x …………………5分
所以x 的取值范围为{}11|<≤-x x …………………………6分 附加题22、解:(1)过程略()322
+--=x x f x …………………………5分
(2)由(1)可得()322
+--=x x f x ,故0322
≥+--x x ………1分
即0322
≤-+x x ………………………………………………………2分 解得13≤≤-x …………………………………………………………4分
所以不等式f(x)≥0的解集为[-3,1]…………………………………5分 23、解:(1)设这两个正数为x ,y (x >0,y 0>) 由题意得xy=36,由均值定理有 x+y xy 2≥=12 当且仅当x=y=6时,和x+y 取得最小值12
(2)设这两个正数为x ,y (x >0,y 0>)由题意得x+y=18,
由均值定理
xy y x ≥+2
可得⎪⎭
⎫
⎝⎛+≤22
y x xy 即xy ⎪⎭
⎫ ⎝⎛≤2182
,
xy 81≤ 当且仅当x=y=9时,和xy 取得最大值81。