贴片二极管型号、参数
- 格式:doc
- 大小:92.50 KB
- 文档页数:2
s2m贴片二极管的参数
【原创实用版】
目录
1.S2M 贴片二极管的介绍
2.S2M 贴片二极管的参数
3.S2M 贴片二极管的应用领域
4.总结
正文
一、S2M 贴片二极管的介绍
S2M 贴片二极管是一种半导体元器件,具有单向导通特性。
它主要用于电压、电流的整流、限幅和保护等电路。
贴片二极管与传统的直插二极管相比,具有体积小、重量轻、安装方便等优点,因此广泛应用于各种电子产品和电子设备中。
二、S2M 贴片二极管的参数
S2M 贴片二极管的主要参数包括:
1.正向电压:二极管导通时的电压称为正向电压。
S2M 贴片二极管的正向电压一般在 0.1V-0.7V 之间。
2.反向电压:二极管截止时的电压称为反向电压。
S2M 贴片二极管的反向电压一般在 30V-100V 之间。
3.正向电流:二极管导通时的电流称为正向电流。
S2M 贴片二极管的正向电流一般在 1mA-100mA 之间。
4.反向电流:二极管截止时的漏电流称为反向电流。
S2M 贴片二极管的反向电流一般在 1nA-100nA 之间。
5.动态响应:二极管从正向导通到反向截止的时间称为动态响应。
S2M
贴片二极管的动态响应一般在纳秒级。
三、S2M 贴片二极管的应用领域
S2M 贴片二极管广泛应用于各种电子设备和电子产品中,如电源开关、稳压电源、充电器、电视机、收音机、通信设备等。
四、总结
S2M 贴片二极管具有体积小、重量轻、安装方便等优点,广泛应用于各种电子产品和电子设备中。
ss56贴片二极管的参数
(原创实用版)
目录
1.SS56 贴片二极管概述
2.SS56 贴片二极管参数
3.SS56 贴片二极管的封装
4.SS56 贴片二极管的应用
5.SS56 贴片二极管的替代型号
正文
一、SS56 贴片二极管概述
SS56 贴片二极管是一种常见的贴片二极管,具有体积小、性能稳定等特点,广泛应用于各种电子设备中。
贴片二极管是根据其封装方式命名的,SS56 贴片二极管的封装方式为 SMA。
二、SS56 贴片二极管参数
SS56 贴片二极管的主要参数包括正向电压、反向电压、正向电流、反向电流等。
以下是 SS56 贴片二极管的典型参数:
正向电压:1.1V-1.3V
反向电压:最高可达 50V
正向电流:100mA-1000mA
反向电流:小于 100nA
三、SS56 贴片二极管的封装
SS56 贴片二极管的封装方式为 SMA,是一种表面贴装封装,具有体积小、焊接方便等特点。
SMA 封装是一种常用的贴片封装方式,广泛应用
于各种贴片元器件。
四、SS56 贴片二极管的应用
SS56 贴片二极管广泛应用于各种电子设备中,如电源、充电器、电视机、收音机等。
其主要作用是整流、限幅、保护电路等。
五、SS56 贴片二极管的替代型号
由于 SS56 贴片二极管的广泛应用,市场上有许多其他型号的贴片二极管可以替代 SS56。
常见的替代型号包括 SS14、SS52 等。
贴片二极管26a参数
贴片二极管26A是一种高压整流二极管,其参数如下:
1. 最大正向工作电压:2600V
2. 最大反向工作电压:2600V
3. 最大正向工作电流:25A
4. 最大反向工作电流:0.1mA
5. 最大正向压降:2.5V
6. 最大反向漏电流:10uA
7. 工作温度范围:-40℃~ +150℃
8. 封装形式:TO-247AC
这种二极管主要用于高压整流电路中,如高压直流电源、电焊机、电炉等。
其高压、高电流的特点使其能够承受较大的负载,同时其正向压降较小,能够有效地减少功耗。
在实际应用中,需要根据具体的电路要求选择合适的二极管型号,并注意其最大工作电压、最大工作电流等参数,以确保电路的稳定性和可靠性。
m7贴片二极管的参数
M7贴片二极管是一种常用的二极管,其参数主要包括以下几个方面:
1.最大正向工作电压(Maximum Forward Voltage):通常为600V。
2.最大反向工作电流(Maximum Reverse Current):通常为
5μA。
3.导通电压(Forward Voltage Drop):在正向工作时,二极管所需的最小电压。
通常为0.7V。
4.导通电流(Forward Current):在正向工作时,二极管可以承受的最大电流。
通常为1A。
5.反向击穿电压(Reverse Breakdown Voltage):指二极管在反向工作时,达到击穿的电压。
通常为700V。
6.响应时间(Reverse Recovery Time):指二极管从导通到截断,或从截断到导通所需要的时间。
通常为3μs。
7.封装尺寸(Package Size):指贴片二极管的封装尺寸,常见的是SOT-23、DO-214AC等。
这些参数可以用于进行电路设计和选择适合需求的二极管。
t4贴片二极管参数一、最大电流T4贴片二极管的最大电流是指在正向工作状态下,允许通过二极管的最大电流。
这个参数对于保证二极管的正常工作至关重要。
通常情况下,最大电流的数值越大,代表着二极管能够承受更高的电流负载。
因此,在选择T4贴片二极管时,应根据具体应用场景的电流要求来选择合适的型号。
二、最大反向电压T4贴片二极管的最大反向电压是指在反向工作状态下,允许通过二极管的最大电压。
这个参数用于确定二极管能够承受的最大反向电压。
当反向电压超过最大反向电压时,二极管将失去正常的功能,导致电路故障。
因此,在设计电路时,需要根据实际需求选择合适的T4贴片二极管,以保证电路的安全可靠性。
三、导通电压降T4贴片二极管的导通电压降是指在正向工作状态下,二极管两端的电压降。
导通电压降是二极管正常导通的必要条件,也被称为正向压降。
不同型号的T4贴片二极管具有不同的导通电压降,这取决于二极管的材料和结构。
在实际电路设计中,需要根据导通电压降的数值选择合适的二极管,以确保电路正常工作。
四、反向恢复时间T4贴片二极管的反向恢复时间是指从反向电流截止到正向电流达到额定值所需的时间。
这个参数反映了二极管从正向导通到反向截止的响应速度。
反向恢复时间短的二极管具有更好的性能,可以提高电路的开关速度和效率。
因此,在高频率、高速开关电路中,需要选择具有较小反向恢复时间的T4贴片二极管。
T4贴片二极管是一种重要的电子元件,具有多个关键参数。
最大电流和最大反向电压用于确定二极管的负载能力和耐压能力,导通电压降用于判断二极管的导通状态,反向恢复时间用于衡量二极管的响应速度。
在实际应用中,我们需要根据具体的电路要求选择合适的T4贴片二极管型号,以确保电路的正常工作和性能要求的实现。
通过合理选择和使用T4贴片二极管,我们能够更好地满足各种电路设计的需求,推动电子技术的发展和应用。
rs1m贴片二极管的参数RS1M贴片二极管是一种常用的电子元件,主要用于电路中的保护和整流功能。
下面将详细介绍RS1M贴片二极管的参数及其特性。
参数一:封装类型RS1M贴片二极管的封装类型为DO-214AC(SMA)。
参数二:最大额定电流RS1M贴片二极管的最大额定电流为1A。
这意味着在正常工作情况下,它可以承受的最大电流为1A。
参数三:最大反向电压RS1M贴片二极管的最大反向电压为1000V。
在正常工作情况下,它可以承受的最大反向电压为1000V。
参数四:反向恢复时间RS1M贴片二极管的反向恢复时间为50ns。
这是指当二极管从正向工作状态切换到反向阻断状态时,需要消耗的时间。
参数五:正向开启电压RS1M贴片二极管的正向开启电压为1.0V。
当二极管处于正向导通状态时,需要施加大于1.0V的电压才能使其正常导通。
参数六:最大导通压降RS1M贴片二极管的最大导通压降为 1.1V。
这是指在正常工作情况下,当二极管导通时,二极管的导通状态中存在的电压降。
参数七:最大反向漏电流RS1M贴片二极管的最大反向漏电流为5μA。
在正常工作情况下,当二极管处于反向阻断状态时,存在的最大反向漏电流。
参数八:存储温度范围RS1M贴片二极管的存储温度范围为-65℃至+175℃。
这是指在无功率应用条件下,二极管可以安全存放的温度范围。
参数九:工作温度范围RS1M贴片二极管的工作温度范围为-55℃至+150℃。
这是指在正常工作条件下,二极管可以安全工作的温度范围。
参数十:应用领域RS1M贴片二极管主要用于电路保护和整流功能。
它可以在电源、逆变器、电器设备等多个领域中使用,起到保护电路的作用,并将交流电转换为直流电。
总结:RS1M贴片二极管是一种常用的电子元件,具有1A的最大额定电流,1000V的最大反向电压,50ns的反向恢复时间,1.0V的正向开启电压,1.1V的最大导通压降,5μA的最大反向漏电流,适用于-55℃至+150℃的工作温度范围,-65℃至+175℃的存储温度范围。
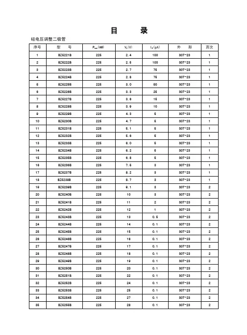
目 录硅电压调整二极管序号 型 号 P tot(mW)V Z(V) I R(µA) 外 形 页次1 BZ5221B 225 2.4 100 SOT-23 12 BZ5222B 225 2.5 100 SOT-23 13 BZ5223B 225 2.7 75 SOT-23 14 BZ5224B 225 2.8 75 SOT-23 15 BZ5225B 225 3.0 50 SOT-23 16 BZ5226B 225 3.3 25 SOT-23 17 BZ5227B 225 3.6 15 SOT-23 18 BZ5228B 225 3.9 10 SOT-23 19 BZ5229B 225 4.3 5 SOT-23 110 BZ5230B 225 4.7 5 SOT-23 111 BZ5231B 225 5.1 5 SOT-23 112 BZ5232B 225 5.6 5 SOT-23 113 BZ5233B 225 6.0 5 SOT-23 114 BZ5234B 225 6.2 5 SOT-23 115 BZ5235B 225 6.8 5 SOT-23 116 BZ5236B 225 7.5 3 SOT-23 117 BZ5237B 225 8.2 3 SOT-23 118 BZ5238B 225 8.7 3 SOT-23 119 BZ5239B 225 9.1 3 SOT-23 220 BZ5240B 225 10 3 SOT-23 221 BZ5241B 225 11 2 SOT-23 222 BZ5242B 225 12 1 SOT-23 223 BZ5243B 225 13 0.5 SOT-23 224 BZ5244B 225 14 0.1 SOT-23 225 BZ5245B 225 15 0.1 SOT-23 226 BZ5246B 225 16 0.1 SOT-23 227 BZ5247B 225 17 0.1 SOT-23 228 BZ5248B 225 18 0.1 SOT-23 229 BZ5249B 225 19 0.1 SOT-23 230 BZ5250B 225 20 0.1 SOT-23 231 BZ5251B 225 22 0.1 SOT-23 232 BZ5252B 225 24 0.1 SOT-23 233 BZ5253B 225 25 0.1 SOT-23 234 BZ5254B 225 27 0.1 SOT-23 235 BZ5255B 225 28 0.1 SOT-23 236 BZ5256B 225 30 0.1 SOT-23 237 BZ5257B 225 33 0.1 SOT-23 238 BZ5258B 225 36 0.1 SOT-23 239 BZ5259B 225 39 0.1 SOT-23 240 BZ5260B 225 43 0.1 SOT-23 241 BZ5261B 225 47 0.1 SOT-23 242 BZ5262B 225 51 0.1 SOT-23 243 BZ5263B 225 56 0.1 SOT-23 244 BZX84C2V4 225 2.4 50 SOT-23 345 BZX84C2V7 225 2.7 20 SOT-23 346 BZX84C3V0 225 3.0 10 SOT-23 347 BZX84C3V3 225 3.3 5 SOT-23 348 BZX84C3V6 225 3.6 5 SOT-23 349 BZX84C3V9 225 3.9 3 SOT-23 350 BZX84C4V3 225 4.3 3 SOT-23 351 BZX84C4V7 225 4.7 3 SOT-23 352 BZX84C5V1 225 5.1 2 SOT-23 353 BZX84C5V6 225 5.6 1 SOT-23 354 BZX84C6V2 225 6.2 3 SOT-23 355 BZX84C6V8 225 6.8 2 SOT-23 356 BZX84C7V5 225 7.5 1 SOT-23 357 BZX84C8V2 225 8.2 0.7 SOT-23 458 BZX84C9V1 225 9.1 0.5 SOT-23 459 BZX84C10 225 10 0.1 SOT-23 460 BZX84C11 225 11 0.1 SOT-23 461 BZX84C12 225 12 0.1 SOT-23 462 BZX84C13 225 13 0.1 SOT-23 463 BZX84C15 225 15 0.05 SOT-23 464 BZX84C16 225 16 0.05 SOT-23 465 BZX84C18 225 18 0.05 SOT-23 466 BZX84C20 225 20 0.05 SOT-23 467 BZX84C22 225 22 0.05 SOT-23 468 BZX84C24 225 24 0.05 SOT-23 469 BZX84C27 225 27 0.05 SOT-23 470 BZX84C30 225 30 0.05 SOT-23 471 BZX84C33 225 33 0.05 SOT-23 472 BZX84C36 225 36 0.05 SOT-23 473 BZX84C39 225 39 0.05 SOT-23 474 BZX84C43 225 43 0.05 SOT-23 475 BZX84C47 225 47 0.05 SOT-23 476 BZX84C51 225 51 0.05 SOT-23 477 BZX84C56 225 56 0.05 SOT-23 478 BZX84C62 225 62 0.05 SOT-23 479 BZX84C68 225 68 0.05 SOT-23 480 BZX84C75 225 75 0.05 SOT-23 481 MM3Z2V4 200 2.4 50 SOD-323 682 MM3Z2V7 200 2.7 20 SOD-323 683 MM3Z3V0 200 3.0 10 SOD-323 684 MM3Z3V3 200 3.3 5 SOD-323 685 MM3Z3V6 200 3.6 5 SOD-323 686 MM3Z3V9 200 3.9 3 SOD-323 687 MM3Z4V3 200 4.3 3 SOD-323 688 MM3Z4V7 200 4.7 3 SOD-323 689 MM3Z5V1 200 5.1 2 SOD-323 690 MM3Z5V6 200 5.6 1 SOD-323 691 MM3Z6V2 200 6.2 3 SOD-323 692 MM3Z6V8 200 6.8 2 SOD-323 693 MM3Z7V5 200 7.5 1 SOD-323 694 MM3Z8V2 200 8.2 0.7 SOD-323 695 MM3Z9V1 200 9.1 0.2 SOD-323 696 MM3Z10V 200 10 0.1 SOD-323 697 MM3Z11V 200 11 0.1 SOD-323 798 MM3Z12V 200 12 0.1 SOD-323 799 MM3Z13V 200 13.25 0.1 SOD-323 7 100 MM3Z15V 200 15 0.05 SOD-323 7 101 MM3Z16V 200 16.2 0.05 SOD-323 7 102 MM3Z18V 200 18 0.05 SOD-323 7 103 MM3Z20V 200 20 0.05 SOD-323 7 104 MM3Z22V 200 22 0.05 SOD-323 7 105 MM3Z24V 200 24.2 0.05 SOD-323 7 106 MM3Z27V 200 27 0.05 SOD-323 7 107 MM3Z30V 200 30 0.05 SOD-323 7 108 MM3Z33V 200 33 0.05 SOD-323 7 109 MM3Z36V 200 36 0.05 SOD-323 7序号 型 号 P tot(mW)V Z(V) I R(A) 外 形 页次 110 MM3Z39V 200 39 0.05 SOD-323 7 111 MM3Z43V 20043 0.05 SOD-323 7 112 MM3Z47V 20047 0.05 SOD-323 7 113 MM3Z51V 20051 0.05 SOD-323 7 114 MM3Z56V 20056 0.05 SOD-323 7 115 MM3Z62V 20062 0.05 SOD-323 7 116 MM3Z68V 20068 0.05 SOD-323 7 117 MM3Z75V 20075 0.05 SOD-323 7 硅电压调整二极管(续)序号 型 号 P tot(mW) V Z(V) R Z(Ω) 外 形 页次 118 BZX49C2V7 330 2.7 100 SOT-89 8 119 BZX49C3V0 330 3.0 100 SOT-89 8 120 BZX49C3V3 330 3.3 100 SOT-89 8 121 BZX49C3V7 330 3.6 100 SOT-89 8 122 BZX49C3V9 330 3.9 100 SOT-89 8 123 BZX49CV3 330 4.3 90 SOT-89 8 124 BZX49C4V7 330 4.7 80 SOT-89 8 125 BZX49C5V1 330 5.1 60 SOT-89 8 126 BZX49C5V6 330 5.6 40 SOT-89 8 127 BZX49C6V2 330 6.2 10 SOT-89 8 128 BZX49C6V8 330 6.8 15 SOT-89 8 129 BZX49C7V5 330 7.5 15 SOT-89 8 130 BZX49C8V2 330 8.2 15 SOT-89 8 131 BZX49C9V1 330 9.1 15 SOT-89 8 132 BZX49C10 330 10 20 SOT-89 9 133 BZX49C11 330 11 20 SOT-89 9 134 BZX49C12 330 12 25 SOT-89 9 135 BZX49C13 330 13 30 SOT-89 9 136 BZX49C15 330 15 30 SOT-89 9 137 BZX49C16 330 16 40 SOT-89 9 138 BZX49C18 330 18 45 SOT-89 9 139 BZX49C20 330 20 55 SOT-89 9 140 BZX49C22 330 22 55 SOT-89 9 141 BZX49C24 330 24 70 SOT-89 9 142 BZX49C27 330 27 80 SOT-89 9 143 BZX49C30 330 30 80 SOT-89 9 144 BZX49C33 330 33 80 SOT-89 9 145 BZX49C36 330 36 90 SOT-89 9 146 BZX49C39 330 39 130 SOT-89 9 147 BZX49C43 330 43 150 SOT-89 9 148 BZX49C47 330 47 170 SOT-89 9硅开关二极管序号 型 号 P tot(mW) V R(V) I F(mA) 外 形 页次1 BAS16 225 75 200 SOT-23 102 BAS19 225 100 200 SOT-23 103 BAS20 225 150 200 SOT-23 104 BAS21 225 200 200 SOT-23 105 BD2835 225 35 100 SOT-23 116 BD2836 225 75 100 SOT-23 117 BD2837 225 30 300 SOT-23 118 BD2838 225 50 300 SOT-23 119 BAV70 225 70 200 SOT-23 1210 BAV74 225 50 200 SOT-23 1211 BD6100 225 70 100 SOT-23 1212 BAW56 225 70 200 SOT-23 1213 BAL74 225 50 200 SOT-23 1314 BAL99 225 70 100 SOT-23 1315 BD6050 225 70 200 SOT-23 1316 BD914 225 70 200 SOT-23 1317 BAV99 225 70 150 SOT-23 1418 BD7000 225 100 200 SOT-23 1419 MMDL914 200 100 200 SOD-323 1520 MMDL6050 20070 200 SOD-323 1521 BAS16H 20075 200 SOD-323 1622 BAS20H 200150 200 SOD-323 1623 BAS21H 200200 200 SOD-323 16 肖特基二极管序号 型 号 P tot(mW) V RWM(V)I F(mA) 外 形 页次1 BAT54 230 30 200 SOT-23 172 BAT54C 230 30 200 SOT-23 173 BAT54A 230 30 200 SOT-23 174 BAT54S 230 30 200 SOT-23 175 RB500V-40 200 40 100 SOD-323 196 RB501V-40 200 40 100 SOD-323 207 RB551V-30 200 20 500 SOD-323 208 RB751-40 200 30 30 SOD-323 209 BAT54H 200 30 200 SOD-323 2010 MMDL101 200 7 100 SOD-323 2111 MMDL301 200 30 100 SOD-323 21NPN-硅通用晶体管序号 型 号 P tot(mW)V CEO(V) I C(mA) 外 形 页次1 2SC1623L3 225 40 100 SOT-23 222 2SC1623L4 225 40 100 SOT-23 223 2SC1623L5 225 40 100 SOT-23 224 2SC1623L6 225 40 100 SOT-23 225 2SC1623L7 225 40 100 SOT-23 226 BC817-16 225 45 500 SOT-23 237 BC817-25 225 45 500 SOT-23 238 BC817-40 225 45 500 SOT-23 239 BC818-16 225 25 500 SOT-23 2310 BC818-25 225 25 500 SOT-23 2311 BC818-40 225 25 500 SOT-23 2312 BC846A 225 65 100 SOT-23 2413 BC846B 225 65 100 SOT-23 2414 BC847A 225 45 100 SOT-23 2415 BC847B 225 45 100 SOT-23 2416 BC847C 225 45 100 SOT-23 2417 BC848A 225 30 100 SOT-23 2518 BC848B 225 30 100 SOT-23 2519 BC848C 225 30 100 SOT-23 2520 BC849B 225 30 100 SOT-23 2521 BC849C 225 30 100 SOT-23 2522 BC850B 225 45 100 SOT-23 2623 BC850C 225 45 100 SOT-23 2624 BCW31 225 20 100 SOT-23 2625 BCW32 225 20 100 SOT-23 2626 BCW33 225 20 100 SOT-23 2627 BCW60A 225 32 100 SOT-23 2728 BCW60B 225 32 100 SOT-23 2729 BCW60C 225 32 100 SOT-23 2730 BCW60D 225 32 100 SOT-23 2731 BCW71 225 45 100 SOT-23 2732 BXW72 225 45 100 SOT-23 2733 BCX19 225 45 500 SOT-23 2834 BCX20 225 25 500 SOT-23 2835 BT2222 225 30 600 SOT-23 2836 BT2222A 225 40 600 SOT-23 2837 BT3903 225 40 200 SOT-23 2938 BT3904 225 40 200 SOT-23 2939 BT4123 225 30 200 SOT-23 2940 BT4401 225 40 600 SOT-23 3041 BT5088 225 30 50 SOT-23 3042 BT5089 225 25 50 SOT-23 3043 BT8050B 225 25 800 SOT-23 3144 BT8050C 225 25 800 SOT-23 3145 BT8050D 225 25 800 SOT-23 3146 2SC9013 225 20 500 SOT-23 3147 2SC9014 225 20 100 SOT-23 3148 BCX70G 225 45 200 SOT-23 3249 BCX70H 225 45 200 SOT-23 3250 BCX70J 225 45 200 SOT-23 3251 BCX70K 225 45 200 SOT-23 3252 BC1622D6 225 35 100 SOT-23 3253 BC1622D7 225 35 100 SOT-23 3254 BC1623L3 225 50 100 SOT-23 3355 BC1623L4 225 50 100 SOT-23 3356 BC1623L5 225 50 100 SOT-23 3357 BC1623L6 225 50 100 SOT-23 3358 BC1623L7 225 50 100 SOT-23 33 PNP-硅通用晶体管序号 型 号 P tot(mW)V CEO(V) I C(mA) 外 形 页次1 2SA9012 225 20 500 SOT-23 342 2SA9015 225 20 100 SOT-23 343 2SA812M3 225 40 100 SOT-23 354 2SA812M4 225 40 100 SOT-23 355 2SA812M5 225 40 100 SOT-23 356 2SA812M6 225 40 100 SOT-23 357 2SA812M7 225 40 100 SOT-23 358 BA812M3 225 40 100 SOT-23 359 BA812M4 225 40 100 SOT-23 3510 BA812M5 225 40 100 SOT-23 3511 BA812M6 225 40 100 SOT-23 3512 BA812M7 225 40 100 SOT-23 3513 BC807-16 225 45 500 SOT-23 3614 BC807-25 225 45 500 SOT-23 3615 BC807-40 225 45 500 SOT-23 3616 BC808-16 225 25 500 SOT-23 3617 BC808-25 225 25 500 SOT-23 3618 BC808-40 225 25 500 SOT-23 3619 BC856A 225 65 100 SOT-23 3720 BC856B 225 65 100 SOT-23 3721 BC857A 225 45 100 SOT-23 3722 BC857B 225 45 100 SOT-23 3723 BC857C 225 45 100 SOT-23 3724 BC858A 225 30 100 SOT-23 3825 BC858B 225 30 100 SOT-23 3826 BC858C 225 30 100 SOT-23 3827 BC859A 225 30 100 SOT-23 3828 BC859B 225 30 100 SOT-23 3829 BC859C 225 30 100 SOT-23 3830 BC860A 225 45 100 SOT-23 3931 BC860B 225 45 100 SOT-23 3932 BC860C 225 45 100 SOT-23 3933 BCW29 225 32 100 SOT-23 3934 BCW30 225 32 100 SOT-23 3935 BCW61A 225 32 100 SOT-23 4036 BCW61B 225 32 100 SOT-23 4037 BCW61C 225 32 100 SOT-23 4038 BCW61D 225 32 100 SOT-23 4039 BCW67 225 32 800 SOT-23 4040 BCW67A 225 32 800 SOT-23 4041 BCW67B 225 32 800 SOT-23 4042 BCW67C 225 32 800 SOT-23 4043 BCW68 225 45 800 SOT-23 4144 BCW68F 225 45 800 SOT-23 4145 BCW68G 225 45 800 SOT-23 4146 BCW69 225 45 100 SOT-23 4147 BCW70 225 45 100 SOT-23 4148 BCX17 225 45 500 SOT-23 4249 BCX18 225 25 500 SOT-23 4250 BCX71G 225 45 100 SOT-23 4251 BCX71H 225 45 100 SOT-23 4252 BCX71J 225 45 100 SOT-23 4253 BCX71K 225 45 100 SOT-23 4254 BT2907 225 40 600 SOT-23 4355 BT2907A 225 40 600 SOT-23 4356 BT3906 225 40 200 SOT-23 4357 BT404 225 24 150 SOT-23 4458 BT404A 225 35 150 SOT-23 4459 BT4125 225 30 200 SOT-23 4560 BT4403 225 40 600 SOT-23 4561 BT5086 225 50 50 SOT-23 4662 BT5087 225 50 50 SOT-23 4663 BT8550B 225 25 800 SOT-23 4664 BT8550C 225 25 800 SOT-23 4665 BT8550D 225 25 800 SOT-23 46 NPN-硅高频晶体管序号 型 号 P tot(mW)V CEO(V) I C(mA) 外 形 页次1 2SC3356 225 12 100 SOT-23 482 BFR92 225 15 25 SOT-23 483 BFR93 225 12 25 SOT-23 494 2SC3837K 225 18 50 SOT-23 495 2SC3838K 225 11 50 SOT-23 496 BT918 225 15 50 SOT-23 507 T9018 225 20 50 SOT-23 508 BTH10 225 25 100 SOT-23 51 NPN-硅高压晶体管序号 型 号 P tot(mW)V CEO(V) I C(mA) 外 形 页次12 BT5550 225 140 600 SOT-23 523 BT5551 225 160 600 SOT-23 534 BTA42 225 300 500 SOT-23 535 BTA43 225 200 500 SOT-23 536 BC1653N2 225 130 50 SOT-23 547 BC1653N3 225 130 50 SOT-23 548 BC1653N4 225 130 50 SOT-23 549 BC1654N5 225 160 50 SOT-23 5410 BC1654N6 225 160 50 SOT-23 5411 BC1654N7 225 160 50 SOT-23 54PNP-硅高压晶体管序号 型 号 P tot(mW)V CEO(V) I C(mA) 外 形 页次1 BTA92 225 300 500 SOT-23 562 BTA93 225 200 500 SOT-23 563 BT5401 225 150 500 SOT-23 57 NPN-硅开关晶体管序号 型 号 P tot(mW)V CEO(V) I C(mA) 外 形 页次1 BT2369 225 15 200 SOT-23 582 BT2369A 225 15 200 SOT-23 58PNP-硅开关晶体管序号 型 号 P tot(mW)V CEO(V) I C(mA) 外 形 页次1 BT3640 225 12 80 SOT-23 59 NPN-硅驱动晶体管序号 型 号 P tot(W)V CEO(V) I C(mA) 外 形 页次1 BTA05 225 60 500 SOT-23 602 BTA06 225 80 500 SOT-23 60 PNP-硅驱动晶体管序号 型 号 P tot(mW)V CEO(V) I C(mA) 外 形 页次1 BTA55 225 60 500 SOT-23 612 BTA56 225 80 500 SOT-23 61 NPN-硅达林顿晶体管序号 型 号 P tot(mW)V CEO(V) I C(mA) 外 形 页次1 BTA13 225 30 300 SOT-23 622 BTA14 225 30 300 SOT-23 62 PNP-硅达林顿晶体管序号 型 号 P tot(mW)V CEO(V) I C(mA) 外 形 页次1 BTA63 225 30 500 SOT-23 632 BTA64 225 30 500 SOT-23 63 NPN-硅双极型晶体管序号 型 号 P tot(W)V CEO(V) I C(mA) 外 形 页次1 H8050C 1 25 1500 SOT-89 642 H8050D 1 25 1500 SOT-89 643 HC2328A 1 30 2000 SOT-89 644 HC2328B 1 30 2000 SOT-89 64NPN-硅双极型晶体管序号 型 号 P tot(W)V CEO(V) I C(mA) 外 形 页次5 HD882HQ 1.2 30 3000 SOT-89 656 HD882HP 1.2 30 3000 SOT-89 657 HD882HE 1.2 30 3000 SOT-89 658 SXT42 1 300 500 SOT-89 659 FCX5550 1 140 600 SOT-89 6610 BCX56-10 1 80 1000 SOT-89 6611 BCX56-16 1 80 1000 SOT-89 6612 2SD1664 1 32 1000 SOT-89 6713 2SD965 1 20 5000 SOT-89 6714 2SD965A 1 30 5000 SOT-89 67 PNP-硅双极型晶体管序号 型 号 P tot(W)V CEO(V) I C(mA) 外 形 页次1 H8550C 1 25 1500 SOT-89 692 H8550D 1 25 1500 SOT-89 693 HA928A 1 30 2000 SOT-89 694 HA928B 1 30 2000 SOT-89 695 SXTA92 1 300 500 SOT-89 706 HB772HQ 1.2 30 3000 SOT-89 707 HB772HP 1.2 30 3000 SOT-89 708 HB772HE 1.2 30 3000 SOT-89 709 FCX5401 1 150 600 SOT-89 7110 BCX53-10 1 80 1000 SOT-89 7111 BCX53-16 1 80 1000 SOT-89 71 NPN-硅双极型晶体管序号 型 号 P tot(W)V CEO(V) I C(mA) 外 形 页次1 PD882-HH2Q 1.8 30 3000 TO-251/252 722 PD882-HH2P 1.8 30 3000 TO-251/252 723 PD882-HH2E 1.8 30 3000 TO-251/252 72 PNP-硅双极型晶体管序号 型 号 P tot(W)V CEO(V) I C(mA) 外 形 页次1 PB772-GG2Q 1.8 30 3000 TO-251/252 742 PB772-GG2P 1.8 30 3000 TO-251/252 743 PB772-GG2E 1.8 30 3000 TO-251/252 74 场效应晶体管序号 型 号 P tot(W)V DSS(V) I D(mA) 外 形 页次1 1N60 2.5 600 1000 TO-252 76序号 型 号 P tot(W)V DSS(V) I D(mA) 外 形 页次2 2N60 2.0 600 2000 TO-252 763 BS170 0.8 60 500 TO-252 774 2N7002 0.225 60 115 SOT-23 775 2SK2615 0.5 60 2000 SOT-89 77 新产品(高频小功率晶体管)序号 型 号 P tot(mW)V CEO(V) I C(mA) 外 形 页次1 BTR092 200 18 20 SOT-23 782 BFR093 200 20 20 SOT-23 79 新产品(开关二极管)序号 型 号 P tot(mW)V RWM(V) I F(A) 外 形 页次1 BDZ001 850 150 1 TO-252 81 新产品(变容二极管)序号 型 号 P tot(mW)V RM(V) I F(mA) 外 形 页次1 MCA34 200 30 50 SOT-23 82技术说明及应用指南 84执行标准◆七专级(企标编号:Q/PS QZJ02-2004) QZJ840611“七专”技术条件◆普军级(企标编号:Q/PS 127-2004) GB4589.1-89(Ⅱ类) GB/T 12560-1999 主要用途:各种电器、电子仪器的稳压、保护电路中作稳压及保护用。
m7贴片二极管的参数
摘要:
1.M7 贴片二极管的概述
2.M7 贴片二极管的主要参数
3.如何判断M7 贴片二极管的好坏
4.M7 贴片二极管的应用
正文:
M7 贴片二极管是一种常见的电子元器件,具有体积小、性能稳定等特点,广泛应用于各种电子设备中。
对于M7 贴片二极管,我们需要了解其主要参数以便正确选用和使用。
一、M7 贴片二极管的概述
M7 贴片二极管是一种二极管,其型号为M7,贴片式封装。
二极管是一种半导体器件,具有单向导通性,即可以让电流在一个方向上通过,而在另一个方向上截止。
M7 贴片二极管具有体积小、性能稳定等特点,广泛应用于各种电子设备中。
二、M7 贴片二极管的主要参数
M7 贴片二极管的主要参数包括正向电压、反向电压、正向电流、反向电流等。
正向电压是指二极管正向导通时的电压,反向电压是指二极管反向截止时的电压,正向电流是指二极管正向导通时的电流,反向电流是指二极管反向截止时的电流。
三、如何判断M7 贴片二极管的好坏
判断M7 贴片二极管的好坏,可以通过测量其正向电压、反向电压、正向电流、反向电流等参数来确定。
正向电压越小,说明二极管的导通性能越好;反向电压越大,说明二极管的截止性能越好;正向电流越大,说明二极管的整流能力越强;反向电流越小,说明二极管的反向漏电越少。
四、M7 贴片二极管的应用
M7 贴片二极管广泛应用于各种电子设备中,例如电源开关、限幅器、整流器、检波器等,主要作用是整流、限幅、检波等。
M7贴片二极管的参数1. 介绍M7贴片二极管是一种常见的电子元件,用于电路中的整流、保护和开关等应用。
它具有小尺寸、高效率和可靠性等特点,被广泛应用于各种电子设备中。
2. 基本参数M7贴片二极管的基本参数包括以下几个方面:2.1 最大反向工作电压(VR)最大反向工作电压是指二极管在正常工作条件下所能承受的最大反向电压。
对于M7贴片二极管来说,其最大反向工作电压一般为1000V。
2.2 最大正向连续工作电流(IF)最大正向连续工作电流是指二极管在正常工作条件下所能承受的最大正向连续电流。
M7贴片二极管的最大正向连续工作电流一般为1A。
2.3 正向压降(VF)正向压降是指当二极管处于导通状态时,在额定条件下产生的正向压降。
M7贴片二极管的正向压降一般为0.8V。
2.4 反向漏电流(IR)反向漏电流是指当二极管处于反向偏置状态时,从P区到N区的电流。
M7贴片二极管的反向漏电流一般为5μA。
2.5 最大封装功率(PD)最大封装功率是指二极管能够承受的最大功率。
M7贴片二极管的最大封装功率一般为500mW。
2.6 工作温度范围工作温度范围是指二极管可以正常工作的温度范围。
M7贴片二极管的工作温度范围一般为-55℃至+150℃。
3. 尺寸和包装M7贴片二极管通常采用SOD-123封装,尺寸为2.9mm x 1.3mm x 1.1mm。
这种小尺寸的封装使得它在电子设备中占据较小的空间,适用于高密度集成电路板上的应用。
4. 特性曲线M7贴片二极管的特性曲线描述了其在不同工作条件下的电压和电流关系。
通过特性曲线可以了解到该二极管在不同工作状态下的性能表现。
5. 应用领域M7贴片二极管由于其小尺寸、高效率和可靠性等特点,被广泛应用于以下领域:•电源管理:用于整流、稳压和滤波等功能。
•通信设备:用于信号调节、保护和开关等功能。
•汽车电子:用于汽车电路中的保护和开关等功能。
•家电产品:如电视机、冰箱、空调等的电源管理和保护。
47-20L贴片二极管参数说明
贴片二极管又称晶体二极管,简称二极管,另外,还有早期的真空电子二极管。
它是一种具有单向传导电流的电子器件。
在半导体二极管内部有一个PN结两个引线端子,这种电子器件按照外加电压的方向,具备单向电流的转导性。
一般来讲,贴片晶体二极管是一个由p型半导体和n型半导体烧结形成的p一n结界面。
在其界面的两侧形成空间电荷层,构成自建电场。
贴片二极管的标识与辨别
1.贴片二极管型号标注与极性辫别
贴片二极管的型号标注有字母、数字代码或字母+数字代码标注法和颜色(代码)标识法两种,如印字“A3”的电气参数如下:PD
=0.15W;IF=0.1A;VB=80V;Trr=4ns。
颜色标注法,则主要由负极侧标注的颜色查得型号,再由型号查出参数值。
贴片二极管的极性辨别方法:玻璃管状贴片二极管,红色一端为正极,黑色一端为负极;矩形贴片二极管,有白色横线一端为负极。
2.贴片二极管好坏测量
正常的贴片二极管,在路测量,正向电阻小,反向电阻大,且两者有明显的阻值差异。
脱开电路,若用指针式万用表测量,正向电阻约为3kΩ,反向电阻为数百千欧姆或无穷大;若用数字万用表的二极管挡测量,正向电压降为0.3~0.6V,反向电压降为无穷大。
3.贴片二极管参数说明
在电路板上,贴片二极管的元件位号一般以字母D打头,如D1、D2等,或VD,如VD1、VD2等;或DD,如DD1、DD2等。
银河微电一级代理鑫环电子是一家专业TVS二极管和稳压二极
管代理商,本网提供TVS二极管和稳压二极管封装尺寸与型号识别等规格说明书。
主要代理肖特基二极管,三极管,mos管等规格齐全。
目 录硅电压调整二极管序号 型 号 P tot(mW)V Z(V) I R(µA) 外 形 页次1 BZ5221B 225 2.4 100 SOT-23 12 BZ5222B 225 2.5 100 SOT-23 13 BZ5223B 225 2.7 75 SOT-23 14 BZ5224B 225 2.8 75 SOT-23 15 BZ5225B 225 3.0 50 SOT-23 16 BZ5226B 225 3.3 25 SOT-23 17 BZ5227B 225 3.6 15 SOT-23 18 BZ5228B 225 3.9 10 SOT-23 19 BZ5229B 225 4.3 5 SOT-23 110 BZ5230B 225 4.7 5 SOT-23 111 BZ5231B 225 5.1 5 SOT-23 112 BZ5232B 225 5.6 5 SOT-23 113 BZ5233B 225 6.0 5 SOT-23 114 BZ5234B 225 6.2 5 SOT-23 115 BZ5235B 225 6.8 5 SOT-23 116 BZ5236B 225 7.5 3 SOT-23 117 BZ5237B 225 8.2 3 SOT-23 118 BZ5238B 225 8.7 3 SOT-23 119 BZ5239B 225 9.1 3 SOT-23 220 BZ5240B 225 10 3 SOT-23 221 BZ5241B 225 11 2 SOT-23 222 BZ5242B 225 12 1 SOT-23 223 BZ5243B 225 13 0.5 SOT-23 224 BZ5244B 225 14 0.1 SOT-23 225 BZ5245B 225 15 0.1 SOT-23 226 BZ5246B 225 16 0.1 SOT-23 227 BZ5247B 225 17 0.1 SOT-23 228 BZ5248B 225 18 0.1 SOT-23 229 BZ5249B 225 19 0.1 SOT-23 230 BZ5250B 225 20 0.1 SOT-23 231 BZ5251B 225 22 0.1 SOT-23 232 BZ5252B 225 24 0.1 SOT-23 233 BZ5253B 225 25 0.1 SOT-23 234 BZ5254B 225 27 0.1 SOT-23 235 BZ5255B 225 28 0.1 SOT-23 236 BZ5256B 225 30 0.1 SOT-23 237 BZ5257B 225 33 0.1 SOT-23 238 BZ5258B 225 36 0.1 SOT-23 239 BZ5259B 225 39 0.1 SOT-23 240 BZ5260B 225 43 0.1 SOT-23 241 BZ5261B 225 47 0.1 SOT-23 242 BZ5262B 225 51 0.1 SOT-23 243 BZ5263B 225 56 0.1 SOT-23 244 BZX84C2V4 225 2.4 50 SOT-23 345 BZX84C2V7 225 2.7 20 SOT-23 346 BZX84C3V0 225 3.0 10 SOT-23 347 BZX84C3V3 225 3.3 5 SOT-23 348 BZX84C3V6 225 3.6 5 SOT-23 349 BZX84C3V9 225 3.9 3 SOT-23 350 BZX84C4V3 225 4.3 3 SOT-23 351 BZX84C4V7 225 4.7 3 SOT-23 352 BZX84C5V1 225 5.1 2 SOT-23 353 BZX84C5V6 225 5.6 1 SOT-23 354 BZX84C6V2 225 6.2 3 SOT-23 355 BZX84C6V8 225 6.8 2 SOT-23 356 BZX84C7V5 225 7.5 1 SOT-23 357 BZX84C8V2 225 8.2 0.7 SOT-23 458 BZX84C9V1 225 9.1 0.5 SOT-23 459 BZX84C10 225 10 0.1 SOT-23 460 BZX84C11 225 11 0.1 SOT-23 461 BZX84C12 225 12 0.1 SOT-23 462 BZX84C13 225 13 0.1 SOT-23 463 BZX84C15 225 15 0.05 SOT-23 464 BZX84C16 225 16 0.05 SOT-23 465 BZX84C18 225 18 0.05 SOT-23 466 BZX84C20 225 20 0.05 SOT-23 467 BZX84C22 225 22 0.05 SOT-23 468 BZX84C24 225 24 0.05 SOT-23 469 BZX84C27 225 27 0.05 SOT-23 470 BZX84C30 225 30 0.05 SOT-23 471 BZX84C33 225 33 0.05 SOT-23 472 BZX84C36 225 36 0.05 SOT-23 473 BZX84C39 225 39 0.05 SOT-23 474 BZX84C43 225 43 0.05 SOT-23 475 BZX84C47 225 47 0.05 SOT-23 476 BZX84C51 225 51 0.05 SOT-23 477 BZX84C56 225 56 0.05 SOT-23 478 BZX84C62 225 62 0.05 SOT-23 479 BZX84C68 225 68 0.05 SOT-23 480 BZX84C75 225 75 0.05 SOT-23 481 MM3Z2V4 200 2.4 50 SOD-323 682 MM3Z2V7 200 2.7 20 SOD-323 683 MM3Z3V0 200 3.0 10 SOD-323 684 MM3Z3V3 200 3.3 5 SOD-323 685 MM3Z3V6 200 3.6 5 SOD-323 686 MM3Z3V9 200 3.9 3 SOD-323 687 MM3Z4V3 200 4.3 3 SOD-323 688 MM3Z4V7 200 4.7 3 SOD-323 689 MM3Z5V1 200 5.1 2 SOD-323 690 MM3Z5V6 200 5.6 1 SOD-323 691 MM3Z6V2 200 6.2 3 SOD-323 692 MM3Z6V8 200 6.8 2 SOD-323 693 MM3Z7V5 200 7.5 1 SOD-323 694 MM3Z8V2 200 8.2 0.7 SOD-323 695 MM3Z9V1 200 9.1 0.2 SOD-323 696 MM3Z10V 200 10 0.1 SOD-323 697 MM3Z11V 200 11 0.1 SOD-323 798 MM3Z12V 200 12 0.1 SOD-323 799 MM3Z13V 200 13.25 0.1 SOD-323 7 100 MM3Z15V 200 15 0.05 SOD-323 7 101 MM3Z16V 200 16.2 0.05 SOD-323 7 102 MM3Z18V 200 18 0.05 SOD-323 7 103 MM3Z20V 200 20 0.05 SOD-323 7 104 MM3Z22V 200 22 0.05 SOD-323 7 105 MM3Z24V 200 24.2 0.05 SOD-323 7 106 MM3Z27V 200 27 0.05 SOD-323 7 107 MM3Z30V 200 30 0.05 SOD-323 7 108 MM3Z33V 200 33 0.05 SOD-323 7 109 MM3Z36V 200 36 0.05 SOD-323 7序号 型 号 P tot(mW)V Z(V) I R(A) 外 形 页次 110 MM3Z39V 200 39 0.05 SOD-323 7 111 MM3Z43V 20043 0.05 SOD-323 7 112 MM3Z47V 20047 0.05 SOD-323 7 113 MM3Z51V 20051 0.05 SOD-323 7 114 MM3Z56V 20056 0.05 SOD-323 7 115 MM3Z62V 20062 0.05 SOD-323 7 116 MM3Z68V 20068 0.05 SOD-323 7 117 MM3Z75V 20075 0.05 SOD-323 7 硅电压调整二极管(续)序号 型 号 P tot(mW) V Z(V) R Z(Ω) 外 形 页次 118 BZX49C2V7 330 2.7 100 SOT-89 8 119 BZX49C3V0 330 3.0 100 SOT-89 8 120 BZX49C3V3 330 3.3 100 SOT-89 8 121 BZX49C3V7 330 3.6 100 SOT-89 8 122 BZX49C3V9 330 3.9 100 SOT-89 8 123 BZX49CV3 330 4.3 90 SOT-89 8 124 BZX49C4V7 330 4.7 80 SOT-89 8 125 BZX49C5V1 330 5.1 60 SOT-89 8 126 BZX49C5V6 330 5.6 40 SOT-89 8 127 BZX49C6V2 330 6.2 10 SOT-89 8 128 BZX49C6V8 330 6.8 15 SOT-89 8 129 BZX49C7V5 330 7.5 15 SOT-89 8 130 BZX49C8V2 330 8.2 15 SOT-89 8 131 BZX49C9V1 330 9.1 15 SOT-89 8 132 BZX49C10 330 10 20 SOT-89 9 133 BZX49C11 330 11 20 SOT-89 9 134 BZX49C12 330 12 25 SOT-89 9 135 BZX49C13 330 13 30 SOT-89 9 136 BZX49C15 330 15 30 SOT-89 9 137 BZX49C16 330 16 40 SOT-89 9 138 BZX49C18 330 18 45 SOT-89 9 139 BZX49C20 330 20 55 SOT-89 9 140 BZX49C22 330 22 55 SOT-89 9 141 BZX49C24 330 24 70 SOT-89 9 142 BZX49C27 330 27 80 SOT-89 9 143 BZX49C30 330 30 80 SOT-89 9 144 BZX49C33 330 33 80 SOT-89 9 145 BZX49C36 330 36 90 SOT-89 9 146 BZX49C39 330 39 130 SOT-89 9 147 BZX49C43 330 43 150 SOT-89 9 148 BZX49C47 330 47 170 SOT-89 9硅开关二极管序号 型 号 P tot(mW) V R(V) I F(mA) 外 形 页次1 BAS16 225 75 200 SOT-23 102 BAS19 225 100 200 SOT-23 103 BAS20 225 150 200 SOT-23 104 BAS21 225 200 200 SOT-23 105 BD2835 225 35 100 SOT-23 116 BD2836 225 75 100 SOT-23 117 BD2837 225 30 300 SOT-23 118 BD2838 225 50 300 SOT-23 119 BAV70 225 70 200 SOT-23 1210 BAV74 225 50 200 SOT-23 1211 BD6100 225 70 100 SOT-23 1212 BAW56 225 70 200 SOT-23 1213 BAL74 225 50 200 SOT-23 1314 BAL99 225 70 100 SOT-23 1315 BD6050 225 70 200 SOT-23 1316 BD914 225 70 200 SOT-23 1317 BAV99 225 70 150 SOT-23 1418 BD7000 225 100 200 SOT-23 1419 MMDL914 200 100 200 SOD-323 1520 MMDL6050 20070 200 SOD-323 1521 BAS16H 20075 200 SOD-323 1622 BAS20H 200150 200 SOD-323 1623 BAS21H 200200 200 SOD-323 16 肖特基二极管序号 型 号 P tot(mW) V RWM(V)I F(mA) 外 形 页次1 BAT54 230 30 200 SOT-23 172 BAT54C 230 30 200 SOT-23 173 BAT54A 230 30 200 SOT-23 174 BAT54S 230 30 200 SOT-23 175 RB500V-40 200 40 100 SOD-323 196 RB501V-40 200 40 100 SOD-323 207 RB551V-30 200 20 500 SOD-323 208 RB751-40 200 30 30 SOD-323 209 BAT54H 200 30 200 SOD-323 2010 MMDL101 200 7 100 SOD-323 2111 MMDL301 200 30 100 SOD-323 21NPN-硅通用晶体管序号 型 号 P tot(mW)V CEO(V) I C(mA) 外 形 页次1 2SC1623L3 225 40 100 SOT-23 222 2SC1623L4 225 40 100 SOT-23 223 2SC1623L5 225 40 100 SOT-23 224 2SC1623L6 225 40 100 SOT-23 225 2SC1623L7 225 40 100 SOT-23 226 BC817-16 225 45 500 SOT-23 237 BC817-25 225 45 500 SOT-23 238 BC817-40 225 45 500 SOT-23 239 BC818-16 225 25 500 SOT-23 2310 BC818-25 225 25 500 SOT-23 2311 BC818-40 225 25 500 SOT-23 2312 BC846A 225 65 100 SOT-23 2413 BC846B 225 65 100 SOT-23 2414 BC847A 225 45 100 SOT-23 2415 BC847B 225 45 100 SOT-23 2416 BC847C 225 45 100 SOT-23 2417 BC848A 225 30 100 SOT-23 2518 BC848B 225 30 100 SOT-23 2519 BC848C 225 30 100 SOT-23 2520 BC849B 225 30 100 SOT-23 2521 BC849C 225 30 100 SOT-23 2522 BC850B 225 45 100 SOT-23 2623 BC850C 225 45 100 SOT-23 2624 BCW31 225 20 100 SOT-23 2625 BCW32 225 20 100 SOT-23 2626 BCW33 225 20 100 SOT-23 2627 BCW60A 225 32 100 SOT-23 2728 BCW60B 225 32 100 SOT-23 2729 BCW60C 225 32 100 SOT-23 2730 BCW60D 225 32 100 SOT-23 2731 BCW71 225 45 100 SOT-23 2732 BXW72 225 45 100 SOT-23 2733 BCX19 225 45 500 SOT-23 2834 BCX20 225 25 500 SOT-23 2835 BT2222 225 30 600 SOT-23 2836 BT2222A 225 40 600 SOT-23 2837 BT3903 225 40 200 SOT-23 2938 BT3904 225 40 200 SOT-23 2939 BT4123 225 30 200 SOT-23 2940 BT4401 225 40 600 SOT-23 3041 BT5088 225 30 50 SOT-23 3042 BT5089 225 25 50 SOT-23 3043 BT8050B 225 25 800 SOT-23 3144 BT8050C 225 25 800 SOT-23 3145 BT8050D 225 25 800 SOT-23 3146 2SC9013 225 20 500 SOT-23 3147 2SC9014 225 20 100 SOT-23 3148 BCX70G 225 45 200 SOT-23 3249 BCX70H 225 45 200 SOT-23 3250 BCX70J 225 45 200 SOT-23 3251 BCX70K 225 45 200 SOT-23 3252 BC1622D6 225 35 100 SOT-23 3253 BC1622D7 225 35 100 SOT-23 3254 BC1623L3 225 50 100 SOT-23 3355 BC1623L4 225 50 100 SOT-23 3356 BC1623L5 225 50 100 SOT-23 3357 BC1623L6 225 50 100 SOT-23 3358 BC1623L7 225 50 100 SOT-23 33 PNP-硅通用晶体管序号 型 号 P tot(mW)V CEO(V) I C(mA) 外 形 页次1 2SA9012 225 20 500 SOT-23 342 2SA9015 225 20 100 SOT-23 343 2SA812M3 225 40 100 SOT-23 354 2SA812M4 225 40 100 SOT-23 355 2SA812M5 225 40 100 SOT-23 356 2SA812M6 225 40 100 SOT-23 357 2SA812M7 225 40 100 SOT-23 358 BA812M3 225 40 100 SOT-23 359 BA812M4 225 40 100 SOT-23 3510 BA812M5 225 40 100 SOT-23 3511 BA812M6 225 40 100 SOT-23 3512 BA812M7 225 40 100 SOT-23 3513 BC807-16 225 45 500 SOT-23 3614 BC807-25 225 45 500 SOT-23 3615 BC807-40 225 45 500 SOT-23 3616 BC808-16 225 25 500 SOT-23 3617 BC808-25 225 25 500 SOT-23 3618 BC808-40 225 25 500 SOT-23 3619 BC856A 225 65 100 SOT-23 3720 BC856B 225 65 100 SOT-23 3721 BC857A 225 45 100 SOT-23 3722 BC857B 225 45 100 SOT-23 3723 BC857C 225 45 100 SOT-23 3724 BC858A 225 30 100 SOT-23 3825 BC858B 225 30 100 SOT-23 3826 BC858C 225 30 100 SOT-23 3827 BC859A 225 30 100 SOT-23 3828 BC859B 225 30 100 SOT-23 3829 BC859C 225 30 100 SOT-23 3830 BC860A 225 45 100 SOT-23 3931 BC860B 225 45 100 SOT-23 3932 BC860C 225 45 100 SOT-23 3933 BCW29 225 32 100 SOT-23 3934 BCW30 225 32 100 SOT-23 3935 BCW61A 225 32 100 SOT-23 4036 BCW61B 225 32 100 SOT-23 4037 BCW61C 225 32 100 SOT-23 4038 BCW61D 225 32 100 SOT-23 4039 BCW67 225 32 800 SOT-23 4040 BCW67A 225 32 800 SOT-23 4041 BCW67B 225 32 800 SOT-23 4042 BCW67C 225 32 800 SOT-23 4043 BCW68 225 45 800 SOT-23 4144 BCW68F 225 45 800 SOT-23 4145 BCW68G 225 45 800 SOT-23 4146 BCW69 225 45 100 SOT-23 4147 BCW70 225 45 100 SOT-23 4148 BCX17 225 45 500 SOT-23 4249 BCX18 225 25 500 SOT-23 4250 BCX71G 225 45 100 SOT-23 4251 BCX71H 225 45 100 SOT-23 4252 BCX71J 225 45 100 SOT-23 4253 BCX71K 225 45 100 SOT-23 4254 BT2907 225 40 600 SOT-23 4355 BT2907A 225 40 600 SOT-23 4356 BT3906 225 40 200 SOT-23 4357 BT404 225 24 150 SOT-23 4458 BT404A 225 35 150 SOT-23 4459 BT4125 225 30 200 SOT-23 4560 BT4403 225 40 600 SOT-23 4561 BT5086 225 50 50 SOT-23 4662 BT5087 225 50 50 SOT-23 4663 BT8550B 225 25 800 SOT-23 4664 BT8550C 225 25 800 SOT-23 4665 BT8550D 225 25 800 SOT-23 46 NPN-硅高频晶体管序号 型 号 P tot(mW)V CEO(V) I C(mA) 外 形 页次1 2SC3356 225 12 100 SOT-23 482 BFR92 225 15 25 SOT-23 483 BFR93 225 12 25 SOT-23 494 2SC3837K 225 18 50 SOT-23 495 2SC3838K 225 11 50 SOT-23 496 BT918 225 15 50 SOT-23 507 T9018 225 20 50 SOT-23 508 BTH10 225 25 100 SOT-23 51 NPN-硅高压晶体管序号 型 号 P tot(mW)V CEO(V) I C(mA) 外 形 页次12 BT5550 225 140 600 SOT-23 523 BT5551 225 160 600 SOT-23 534 BTA42 225 300 500 SOT-23 535 BTA43 225 200 500 SOT-23 536 BC1653N2 225 130 50 SOT-23 547 BC1653N3 225 130 50 SOT-23 548 BC1653N4 225 130 50 SOT-23 549 BC1654N5 225 160 50 SOT-23 5410 BC1654N6 225 160 50 SOT-23 5411 BC1654N7 225 160 50 SOT-23 54PNP-硅高压晶体管序号 型 号 P tot(mW)V CEO(V) I C(mA) 外 形 页次1 BTA92 225 300 500 SOT-23 562 BTA93 225 200 500 SOT-23 563 BT5401 225 150 500 SOT-23 57 NPN-硅开关晶体管序号 型 号 P tot(mW)V CEO(V) I C(mA) 外 形 页次1 BT2369 225 15 200 SOT-23 582 BT2369A 225 15 200 SOT-23 58PNP-硅开关晶体管序号 型 号 P tot(mW)V CEO(V) I C(mA) 外 形 页次1 BT3640 225 12 80 SOT-23 59 NPN-硅驱动晶体管序号 型 号 P tot(W)V CEO(V) I C(mA) 外 形 页次1 BTA05 225 60 500 SOT-23 602 BTA06 225 80 500 SOT-23 60 PNP-硅驱动晶体管序号 型 号 P tot(mW)V CEO(V) I C(mA) 外 形 页次1 BTA55 225 60 500 SOT-23 612 BTA56 225 80 500 SOT-23 61 NPN-硅达林顿晶体管序号 型 号 P tot(mW)V CEO(V) I C(mA) 外 形 页次1 BTA13 225 30 300 SOT-23 622 BTA14 225 30 300 SOT-23 62 PNP-硅达林顿晶体管序号 型 号 P tot(mW)V CEO(V) I C(mA) 外 形 页次1 BTA63 225 30 500 SOT-23 632 BTA64 225 30 500 SOT-23 63 NPN-硅双极型晶体管序号 型 号 P tot(W)V CEO(V) I C(mA) 外 形 页次1 H8050C 1 25 1500 SOT-89 642 H8050D 1 25 1500 SOT-89 643 HC2328A 1 30 2000 SOT-89 644 HC2328B 1 30 2000 SOT-89 64NPN-硅双极型晶体管序号 型 号 P tot(W)V CEO(V) I C(mA) 外 形 页次5 HD882HQ 1.2 30 3000 SOT-89 656 HD882HP 1.2 30 3000 SOT-89 657 HD882HE 1.2 30 3000 SOT-89 658 SXT42 1 300 500 SOT-89 659 FCX5550 1 140 600 SOT-89 6610 BCX56-10 1 80 1000 SOT-89 6611 BCX56-16 1 80 1000 SOT-89 6612 2SD1664 1 32 1000 SOT-89 6713 2SD965 1 20 5000 SOT-89 6714 2SD965A 1 30 5000 SOT-89 67 PNP-硅双极型晶体管序号 型 号 P tot(W)V CEO(V) I C(mA) 外 形 页次1 H8550C 1 25 1500 SOT-89 692 H8550D 1 25 1500 SOT-89 693 HA928A 1 30 2000 SOT-89 694 HA928B 1 30 2000 SOT-89 695 SXTA92 1 300 500 SOT-89 706 HB772HQ 1.2 30 3000 SOT-89 707 HB772HP 1.2 30 3000 SOT-89 708 HB772HE 1.2 30 3000 SOT-89 709 FCX5401 1 150 600 SOT-89 7110 BCX53-10 1 80 1000 SOT-89 7111 BCX53-16 1 80 1000 SOT-89 71 NPN-硅双极型晶体管序号 型 号 P tot(W)V CEO(V) I C(mA) 外 形 页次1 PD882-HH2Q 1.8 30 3000 TO-251/252 722 PD882-HH2P 1.8 30 3000 TO-251/252 723 PD882-HH2E 1.8 30 3000 TO-251/252 72 PNP-硅双极型晶体管序号 型 号 P tot(W)V CEO(V) I C(mA) 外 形 页次1 PB772-GG2Q 1.8 30 3000 TO-251/252 742 PB772-GG2P 1.8 30 3000 TO-251/252 743 PB772-GG2E 1.8 30 3000 TO-251/252 74 场效应晶体管序号 型 号 P tot(W)V DSS(V) I D(mA) 外 形 页次1 1N60 2.5 600 1000 TO-252 76序号 型 号 P tot(W)V DSS(V) I D(mA) 外 形 页次2 2N60 2.0 600 2000 TO-252 763 BS170 0.8 60 500 TO-252 774 2N7002 0.225 60 115 SOT-23 775 2SK2615 0.5 60 2000 SOT-89 77 新产品(高频小功率晶体管)序号 型 号 P tot(mW)V CEO(V) I C(mA) 外 形 页次1 BTR092 200 18 20 SOT-23 782 BFR093 200 20 20 SOT-23 79 新产品(开关二极管)序号 型 号 P tot(mW)V RWM(V) I F(A) 外 形 页次1 BDZ001 850 150 1 TO-252 81 新产品(变容二极管)序号 型 号 P tot(mW)V RM(V) I F(mA) 外 形 页次1 MCA34 200 30 50 SOT-23 82技术说明及应用指南 84执行标准◆七专级(企标编号:Q/PS QZJ02-2004) QZJ840611“七专”技术条件◆普军级(企标编号:Q/PS 127-2004) GB4589.1-89(Ⅱ类) GB/T 12560-1999 主要用途:各种电器、电子仪器的稳压、保护电路中作稳压及保护用。
贴片发光二极管参数大全LED 贴片常见灯珠规格型号和参数0603、0805、1210、3528、5050 都是指 LED 灯带上常使用的发光元器件 ----LED 的尺寸大小(英制 / 公制)叫法,例如 0603 指的是长度为 0.06 英寸,宽度为 0.03 英寸。
但是要注意 3528 和 5050 单位是公制。
下面是这些规格的详细介绍:0603:换算为公制是 1608,即表示 LED 元件的长度是 1.6mm,宽度是 0.8mm。
行业简称 1608,英制叫法是 0603。
0805:换算为公制是 2012,即表示 LED 元件的长度是 2.0mm,宽度是 1.2mm. 行业简称 2112,英制叫法是 0805。
1210:换算为公制是 3528,即表示 LED 元件的长度是 3.5mm,宽度是 2.8mm。
行业简称 3528,英制叫法是 1210。
3528:这是公制叫法,即表示LED 元件的长度是3.5mm,宽度是 2.8mm。
行业简称 3528。
5050:这是公制叫法,即表示LED 元件的长度是5.0mm,宽度是 5.0mm。
行业简称 5050。
目前大多数厂商生产的贴片型灯条采用的都以 3528 和 5050 以及3535 和 5630 的居多,也有很多把 3528 和 5050 和 3535 等贴片 led 用在汽车照明上的。
更多的贴片led 详细规格,或者产品规格书等请咨询统佳的客服人员索取。
3528 20mA 3.0-3.6v 0.06w3014 30mA 3.2-3.6v 0.1w4014 30mA 3.2-3.6v 0.1w5050 60mA 3.2-3.6v 0.18w5630 150mA 3.2-3.6v 0.5w大功率 350ma 3.2-3.6v 1W、3528(0.06W)、3629(0.2-0.3W)、5050(0.2-0.5W)、5630(0.2-0.5W)、3014、3020(0.06W)首先 LED 光源分为小功率 LED 光源(直插式,SMD 贴片器件)大功率 LED 光源。