贴片二极管型号参数完整版
- 格式:docx
- 大小:211.38 KB
- 文档页数:3
rs1m贴片二极管的参数RS1M贴片二极管是一种常用的电子元器件,具有以下参数:1.电压参数:RS1M贴片二极管的最大反向电压一般为1000V,也有一些型号为600V或800V。
这意味着该二极管在正向工作时,可以承受的最大电压为1000V,超过这个电压会导致二极管击穿而失效。
2.电流参数:RS1M贴片二极管的最大正向连续电流通常为1A,有些型号可以达到2A。
这表示在正常工作条件下,二极管所能承受的最大连续电流为1A或2A,超过这个电流可能会导致二极管发热过大而损坏。
3.速度参数:RS1M贴片二极管的反向恢复时间(Reverse Recovery Time,简称RRR)通常为50ns左右。
这表示当二极管由正向导通状态切换到反向截止状态时,所需的时间约为50纳秒。
RRR时间越小,二极管的开关速度越快,适用于高频率开关电路。
4.封装参数:RS1M贴片二极管通常采用SOD-123封装,尺寸为2.8mm x 1.8mm x 1.1mm。
这种封装形式便于贴片焊接和板上组装,适用于大规模生产的应用需求。
5.温度参数:RS1M贴片二极管的工作温度范围通常为-65℃到+150℃。
这表示该二极管可以在相对较宽的温度范围内正常工作。
在高温环境下,二极管的性能可能会受到影响,所以在设计中需注意散热和温度控制。
6.应用领域:RS1M贴片二极管广泛应用于电源管理、电源逆变器、开关电源、DC/AC逆变器等领域。
由于该二极管具有较高的反向电压和较大的正向电流承受能力,适合在高压高功率应用中使用。
总之,RS1M贴片二极管具有较高的反向电压和正向电流承受能力,速度较快,并在广泛的应用场景中得到应用。
它是一种性能稳定、可靠性高的电子元器件。
m7贴片二极管的参数
M7贴片二极管是一种常用的二极管,其参数主要包括以下几个方面:
1.最大正向工作电压(Maximum Forward Voltage):通常为600V。
2.最大反向工作电流(Maximum Reverse Current):通常为
5μA。
3.导通电压(Forward Voltage Drop):在正向工作时,二极管所需的最小电压。
通常为0.7V。
4.导通电流(Forward Current):在正向工作时,二极管可以承受的最大电流。
通常为1A。
5.反向击穿电压(Reverse Breakdown Voltage):指二极管在反向工作时,达到击穿的电压。
通常为700V。
6.响应时间(Reverse Recovery Time):指二极管从导通到截断,或从截断到导通所需要的时间。
通常为3μs。
7.封装尺寸(Package Size):指贴片二极管的封装尺寸,常见的是SOT-23、DO-214AC等。
这些参数可以用于进行电路设计和选择适合需求的二极管。
贴片稳压二极管型号引言:贴片稳压二极管是一种常用的电子元件,用于稳定电流或电压,保护其它电子元件免受过高电压或电流的影响。
本文将介绍一些常见的贴片稳压二极管型号及其特性。
一、1N41481N4148是一种常见的贴片稳压二极管型号,其封装为SOD-123。
该型号的贴片稳压二极管具有快速开关速度和高反向电压。
它适用于高频电路、开关电源和通信设备等领域。
1N4148的最大反向电压为100V,最大正向电流为200mA。
这款贴片稳压二极管在电子行业中广泛应用。
二、Zener二极管Zener二极管是一种特殊的贴片稳压二极管,其工作原理基于反向击穿效应。
在正向电压下,Zener二极管表现为普通的二极管行为;而在反向电压达到其击穿电压时,Zener二极管会稳定电压,使其保持在击穿电压附近。
这使得Zener二极管成为稳压电路中常用的元件之一。
常见的贴片Zener二极管型号有BZX55、BZX79等。
它们封装小巧,适用于各种电路板的应用。
三、MMBZ二极管MMBZ系列是一类贴片稳压二极管型号,其封装为SOT-23。
MMBZ二极管具有低电压降和快速响应特性,适用于需要快速稳压的电路。
常见的型号有MMBZ5242B、MMBZ5231B等,它们的最大反向电压分别为12V和6.2V。
MMBZ系列贴片稳压二极管广泛应用于移动设备、电源管理等领域。
四、ESD二极管ESD(Electrostatic Discharge)二极管是一种特殊的贴片稳压二极管,用于保护电子设备免受静电放电造成的损害。
静电放电是电子设备损坏的主要原因之一,而ESD二极管可以提供低电阻路径,将静电放电引导到地。
常见的ESD二极管型号有PESD、DFN等,它们封装小巧,能够满足电子设备对静电保护的需求。
五、TVS二极管TVS(Transient Voltage Suppression)二极管是一种贴片稳压二极管,用于保护电子设备免受瞬态过电压的影响。
瞬态过电压是电子设备中常见的问题之一,例如闪电击中电力线路或开关电源切换时可能产生的过电压。
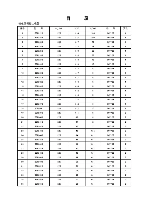
目 录硅电压调整二极管序号 型 号 P tot(mW)V Z(V) I R(µA) 外 形 页次1 BZ5221B 225 2.4 100 SOT-23 12 BZ5222B 225 2.5 100 SOT-23 13 BZ5223B 225 2.7 75 SOT-23 14 BZ5224B 225 2.8 75 SOT-23 15 BZ5225B 225 3.0 50 SOT-23 16 BZ5226B 225 3.3 25 SOT-23 17 BZ5227B 225 3.6 15 SOT-23 18 BZ5228B 225 3.9 10 SOT-23 19 BZ5229B 225 4.3 5 SOT-23 110 BZ5230B 225 4.7 5 SOT-23 111 BZ5231B 225 5.1 5 SOT-23 112 BZ5232B 225 5.6 5 SOT-23 113 BZ5233B 225 6.0 5 SOT-23 114 BZ5234B 225 6.2 5 SOT-23 115 BZ5235B 225 6.8 5 SOT-23 116 BZ5236B 225 7.5 3 SOT-23 117 BZ5237B 225 8.2 3 SOT-23 118 BZ5238B 225 8.7 3 SOT-23 119 BZ5239B 225 9.1 3 SOT-23 220 BZ5240B 225 10 3 SOT-23 221 BZ5241B 225 11 2 SOT-23 222 BZ5242B 225 12 1 SOT-23 223 BZ5243B 225 13 0.5 SOT-23 224 BZ5244B 225 14 0.1 SOT-23 225 BZ5245B 225 15 0.1 SOT-23 226 BZ5246B 225 16 0.1 SOT-23 227 BZ5247B 225 17 0.1 SOT-23 228 BZ5248B 225 18 0.1 SOT-23 229 BZ5249B 225 19 0.1 SOT-23 230 BZ5250B 225 20 0.1 SOT-23 231 BZ5251B 225 22 0.1 SOT-23 232 BZ5252B 225 24 0.1 SOT-23 233 BZ5253B 225 25 0.1 SOT-23 234 BZ5254B 225 27 0.1 SOT-23 235 BZ5255B 225 28 0.1 SOT-23 236 BZ5256B 225 30 0.1 SOT-23 237 BZ5257B 225 33 0.1 SOT-23 238 BZ5258B 225 36 0.1 SOT-23 239 BZ5259B 225 39 0.1 SOT-23 240 BZ5260B 225 43 0.1 SOT-23 241 BZ5261B 225 47 0.1 SOT-23 242 BZ5262B 225 51 0.1 SOT-23 243 BZ5263B 225 56 0.1 SOT-23 244 BZX84C2V4 225 2.4 50 SOT-23 345 BZX84C2V7 225 2.7 20 SOT-23 346 BZX84C3V0 225 3.0 10 SOT-23 347 BZX84C3V3 225 3.3 5 SOT-23 348 BZX84C3V6 225 3.6 5 SOT-23 349 BZX84C3V9 225 3.9 3 SOT-23 350 BZX84C4V3 225 4.3 3 SOT-23 351 BZX84C4V7 225 4.7 3 SOT-23 352 BZX84C5V1 225 5.1 2 SOT-23 353 BZX84C5V6 225 5.6 1 SOT-23 354 BZX84C6V2 225 6.2 3 SOT-23 355 BZX84C6V8 225 6.8 2 SOT-23 356 BZX84C7V5 225 7.5 1 SOT-23 357 BZX84C8V2 225 8.2 0.7 SOT-23 458 BZX84C9V1 225 9.1 0.5 SOT-23 459 BZX84C10 225 10 0.1 SOT-23 460 BZX84C11 225 11 0.1 SOT-23 461 BZX84C12 225 12 0.1 SOT-23 462 BZX84C13 225 13 0.1 SOT-23 463 BZX84C15 225 15 0.05 SOT-23 464 BZX84C16 225 16 0.05 SOT-23 465 BZX84C18 225 18 0.05 SOT-23 466 BZX84C20 225 20 0.05 SOT-23 467 BZX84C22 225 22 0.05 SOT-23 468 BZX84C24 225 24 0.05 SOT-23 469 BZX84C27 225 27 0.05 SOT-23 470 BZX84C30 225 30 0.05 SOT-23 471 BZX84C33 225 33 0.05 SOT-23 472 BZX84C36 225 36 0.05 SOT-23 473 BZX84C39 225 39 0.05 SOT-23 474 BZX84C43 225 43 0.05 SOT-23 475 BZX84C47 225 47 0.05 SOT-23 476 BZX84C51 225 51 0.05 SOT-23 477 BZX84C56 225 56 0.05 SOT-23 478 BZX84C62 225 62 0.05 SOT-23 479 BZX84C68 225 68 0.05 SOT-23 480 BZX84C75 225 75 0.05 SOT-23 481 MM3Z2V4 200 2.4 50 SOD-323 682 MM3Z2V7 200 2.7 20 SOD-323 683 MM3Z3V0 200 3.0 10 SOD-323 684 MM3Z3V3 200 3.3 5 SOD-323 685 MM3Z3V6 200 3.6 5 SOD-323 686 MM3Z3V9 200 3.9 3 SOD-323 687 MM3Z4V3 200 4.3 3 SOD-323 688 MM3Z4V7 200 4.7 3 SOD-323 689 MM3Z5V1 200 5.1 2 SOD-323 690 MM3Z5V6 200 5.6 1 SOD-323 691 MM3Z6V2 200 6.2 3 SOD-323 692 MM3Z6V8 200 6.8 2 SOD-323 693 MM3Z7V5 200 7.5 1 SOD-323 694 MM3Z8V2 200 8.2 0.7 SOD-323 695 MM3Z9V1 200 9.1 0.2 SOD-323 696 MM3Z10V 200 10 0.1 SOD-323 697 MM3Z11V 200 11 0.1 SOD-323 798 MM3Z12V 200 12 0.1 SOD-323 799 MM3Z13V 200 13.25 0.1 SOD-323 7 100 MM3Z15V 200 15 0.05 SOD-323 7 101 MM3Z16V 200 16.2 0.05 SOD-323 7 102 MM3Z18V 200 18 0.05 SOD-323 7 103 MM3Z20V 200 20 0.05 SOD-323 7 104 MM3Z22V 200 22 0.05 SOD-323 7 105 MM3Z24V 200 24.2 0.05 SOD-323 7 106 MM3Z27V 200 27 0.05 SOD-323 7 107 MM3Z30V 200 30 0.05 SOD-323 7 108 MM3Z33V 200 33 0.05 SOD-323 7 109 MM3Z36V 200 36 0.05 SOD-323 7序号 型 号 P tot(mW)V Z(V) I R(A) 外 形 页次 110 MM3Z39V 200 39 0.05 SOD-323 7 111 MM3Z43V 20043 0.05 SOD-323 7 112 MM3Z47V 20047 0.05 SOD-323 7 113 MM3Z51V 20051 0.05 SOD-323 7 114 MM3Z56V 20056 0.05 SOD-323 7 115 MM3Z62V 20062 0.05 SOD-323 7 116 MM3Z68V 20068 0.05 SOD-323 7 117 MM3Z75V 20075 0.05 SOD-323 7 硅电压调整二极管(续)序号 型 号 P tot(mW) V Z(V) R Z(Ω) 外 形 页次 118 BZX49C2V7 330 2.7 100 SOT-89 8 119 BZX49C3V0 330 3.0 100 SOT-89 8 120 BZX49C3V3 330 3.3 100 SOT-89 8 121 BZX49C3V7 330 3.6 100 SOT-89 8 122 BZX49C3V9 330 3.9 100 SOT-89 8 123 BZX49CV3 330 4.3 90 SOT-89 8 124 BZX49C4V7 330 4.7 80 SOT-89 8 125 BZX49C5V1 330 5.1 60 SOT-89 8 126 BZX49C5V6 330 5.6 40 SOT-89 8 127 BZX49C6V2 330 6.2 10 SOT-89 8 128 BZX49C6V8 330 6.8 15 SOT-89 8 129 BZX49C7V5 330 7.5 15 SOT-89 8 130 BZX49C8V2 330 8.2 15 SOT-89 8 131 BZX49C9V1 330 9.1 15 SOT-89 8 132 BZX49C10 330 10 20 SOT-89 9 133 BZX49C11 330 11 20 SOT-89 9 134 BZX49C12 330 12 25 SOT-89 9 135 BZX49C13 330 13 30 SOT-89 9 136 BZX49C15 330 15 30 SOT-89 9 137 BZX49C16 330 16 40 SOT-89 9 138 BZX49C18 330 18 45 SOT-89 9 139 BZX49C20 330 20 55 SOT-89 9 140 BZX49C22 330 22 55 SOT-89 9 141 BZX49C24 330 24 70 SOT-89 9 142 BZX49C27 330 27 80 SOT-89 9 143 BZX49C30 330 30 80 SOT-89 9 144 BZX49C33 330 33 80 SOT-89 9 145 BZX49C36 330 36 90 SOT-89 9 146 BZX49C39 330 39 130 SOT-89 9 147 BZX49C43 330 43 150 SOT-89 9 148 BZX49C47 330 47 170 SOT-89 9硅开关二极管序号 型 号 P tot(mW) V R(V) I F(mA) 外 形 页次1 BAS16 225 75 200 SOT-23 102 BAS19 225 100 200 SOT-23 103 BAS20 225 150 200 SOT-23 104 BAS21 225 200 200 SOT-23 105 BD2835 225 35 100 SOT-23 116 BD2836 225 75 100 SOT-23 117 BD2837 225 30 300 SOT-23 118 BD2838 225 50 300 SOT-23 119 BAV70 225 70 200 SOT-23 1210 BAV74 225 50 200 SOT-23 1211 BD6100 225 70 100 SOT-23 1212 BAW56 225 70 200 SOT-23 1213 BAL74 225 50 200 SOT-23 1314 BAL99 225 70 100 SOT-23 1315 BD6050 225 70 200 SOT-23 1316 BD914 225 70 200 SOT-23 1317 BAV99 225 70 150 SOT-23 1418 BD7000 225 100 200 SOT-23 1419 MMDL914 200 100 200 SOD-323 1520 MMDL6050 20070 200 SOD-323 1521 BAS16H 20075 200 SOD-323 1622 BAS20H 200150 200 SOD-323 1623 BAS21H 200200 200 SOD-323 16 肖特基二极管序号 型 号 P tot(mW) V RWM(V)I F(mA) 外 形 页次1 BAT54 230 30 200 SOT-23 172 BAT54C 230 30 200 SOT-23 173 BAT54A 230 30 200 SOT-23 174 BAT54S 230 30 200 SOT-23 175 RB500V-40 200 40 100 SOD-323 196 RB501V-40 200 40 100 SOD-323 207 RB551V-30 200 20 500 SOD-323 208 RB751-40 200 30 30 SOD-323 209 BAT54H 200 30 200 SOD-323 2010 MMDL101 200 7 100 SOD-323 2111 MMDL301 200 30 100 SOD-323 21NPN-硅通用晶体管序号 型 号 P tot(mW)V CEO(V) I C(mA) 外 形 页次1 2SC1623L3 225 40 100 SOT-23 222 2SC1623L4 225 40 100 SOT-23 223 2SC1623L5 225 40 100 SOT-23 224 2SC1623L6 225 40 100 SOT-23 225 2SC1623L7 225 40 100 SOT-23 226 BC817-16 225 45 500 SOT-23 237 BC817-25 225 45 500 SOT-23 238 BC817-40 225 45 500 SOT-23 239 BC818-16 225 25 500 SOT-23 2310 BC818-25 225 25 500 SOT-23 2311 BC818-40 225 25 500 SOT-23 2312 BC846A 225 65 100 SOT-23 2413 BC846B 225 65 100 SOT-23 2414 BC847A 225 45 100 SOT-23 2415 BC847B 225 45 100 SOT-23 2416 BC847C 225 45 100 SOT-23 2417 BC848A 225 30 100 SOT-23 2518 BC848B 225 30 100 SOT-23 2519 BC848C 225 30 100 SOT-23 2520 BC849B 225 30 100 SOT-23 2521 BC849C 225 30 100 SOT-23 2522 BC850B 225 45 100 SOT-23 2623 BC850C 225 45 100 SOT-23 2624 BCW31 225 20 100 SOT-23 2625 BCW32 225 20 100 SOT-23 2626 BCW33 225 20 100 SOT-23 2627 BCW60A 225 32 100 SOT-23 2728 BCW60B 225 32 100 SOT-23 2729 BCW60C 225 32 100 SOT-23 2730 BCW60D 225 32 100 SOT-23 2731 BCW71 225 45 100 SOT-23 2732 BXW72 225 45 100 SOT-23 2733 BCX19 225 45 500 SOT-23 2834 BCX20 225 25 500 SOT-23 2835 BT2222 225 30 600 SOT-23 2836 BT2222A 225 40 600 SOT-23 2837 BT3903 225 40 200 SOT-23 2938 BT3904 225 40 200 SOT-23 2939 BT4123 225 30 200 SOT-23 2940 BT4401 225 40 600 SOT-23 3041 BT5088 225 30 50 SOT-23 3042 BT5089 225 25 50 SOT-23 3043 BT8050B 225 25 800 SOT-23 3144 BT8050C 225 25 800 SOT-23 3145 BT8050D 225 25 800 SOT-23 3146 2SC9013 225 20 500 SOT-23 3147 2SC9014 225 20 100 SOT-23 3148 BCX70G 225 45 200 SOT-23 3249 BCX70H 225 45 200 SOT-23 3250 BCX70J 225 45 200 SOT-23 3251 BCX70K 225 45 200 SOT-23 3252 BC1622D6 225 35 100 SOT-23 3253 BC1622D7 225 35 100 SOT-23 3254 BC1623L3 225 50 100 SOT-23 3355 BC1623L4 225 50 100 SOT-23 3356 BC1623L5 225 50 100 SOT-23 3357 BC1623L6 225 50 100 SOT-23 3358 BC1623L7 225 50 100 SOT-23 33 PNP-硅通用晶体管序号 型 号 P tot(mW)V CEO(V) I C(mA) 外 形 页次1 2SA9012 225 20 500 SOT-23 342 2SA9015 225 20 100 SOT-23 343 2SA812M3 225 40 100 SOT-23 354 2SA812M4 225 40 100 SOT-23 355 2SA812M5 225 40 100 SOT-23 356 2SA812M6 225 40 100 SOT-23 357 2SA812M7 225 40 100 SOT-23 358 BA812M3 225 40 100 SOT-23 359 BA812M4 225 40 100 SOT-23 3510 BA812M5 225 40 100 SOT-23 3511 BA812M6 225 40 100 SOT-23 3512 BA812M7 225 40 100 SOT-23 3513 BC807-16 225 45 500 SOT-23 3614 BC807-25 225 45 500 SOT-23 3615 BC807-40 225 45 500 SOT-23 3616 BC808-16 225 25 500 SOT-23 3617 BC808-25 225 25 500 SOT-23 3618 BC808-40 225 25 500 SOT-23 3619 BC856A 225 65 100 SOT-23 3720 BC856B 225 65 100 SOT-23 3721 BC857A 225 45 100 SOT-23 3722 BC857B 225 45 100 SOT-23 3723 BC857C 225 45 100 SOT-23 3724 BC858A 225 30 100 SOT-23 3825 BC858B 225 30 100 SOT-23 3826 BC858C 225 30 100 SOT-23 3827 BC859A 225 30 100 SOT-23 3828 BC859B 225 30 100 SOT-23 3829 BC859C 225 30 100 SOT-23 3830 BC860A 225 45 100 SOT-23 3931 BC860B 225 45 100 SOT-23 3932 BC860C 225 45 100 SOT-23 3933 BCW29 225 32 100 SOT-23 3934 BCW30 225 32 100 SOT-23 3935 BCW61A 225 32 100 SOT-23 4036 BCW61B 225 32 100 SOT-23 4037 BCW61C 225 32 100 SOT-23 4038 BCW61D 225 32 100 SOT-23 4039 BCW67 225 32 800 SOT-23 4040 BCW67A 225 32 800 SOT-23 4041 BCW67B 225 32 800 SOT-23 4042 BCW67C 225 32 800 SOT-23 4043 BCW68 225 45 800 SOT-23 4144 BCW68F 225 45 800 SOT-23 4145 BCW68G 225 45 800 SOT-23 4146 BCW69 225 45 100 SOT-23 4147 BCW70 225 45 100 SOT-23 4148 BCX17 225 45 500 SOT-23 4249 BCX18 225 25 500 SOT-23 4250 BCX71G 225 45 100 SOT-23 4251 BCX71H 225 45 100 SOT-23 4252 BCX71J 225 45 100 SOT-23 4253 BCX71K 225 45 100 SOT-23 4254 BT2907 225 40 600 SOT-23 4355 BT2907A 225 40 600 SOT-23 4356 BT3906 225 40 200 SOT-23 4357 BT404 225 24 150 SOT-23 4458 BT404A 225 35 150 SOT-23 4459 BT4125 225 30 200 SOT-23 4560 BT4403 225 40 600 SOT-23 4561 BT5086 225 50 50 SOT-23 4662 BT5087 225 50 50 SOT-23 4663 BT8550B 225 25 800 SOT-23 4664 BT8550C 225 25 800 SOT-23 4665 BT8550D 225 25 800 SOT-23 46 NPN-硅高频晶体管序号 型 号 P tot(mW)V CEO(V) I C(mA) 外 形 页次1 2SC3356 225 12 100 SOT-23 482 BFR92 225 15 25 SOT-23 483 BFR93 225 12 25 SOT-23 494 2SC3837K 225 18 50 SOT-23 495 2SC3838K 225 11 50 SOT-23 496 BT918 225 15 50 SOT-23 507 T9018 225 20 50 SOT-23 508 BTH10 225 25 100 SOT-23 51 NPN-硅高压晶体管序号 型 号 P tot(mW)V CEO(V) I C(mA) 外 形 页次12 BT5550 225 140 600 SOT-23 523 BT5551 225 160 600 SOT-23 534 BTA42 225 300 500 SOT-23 535 BTA43 225 200 500 SOT-23 536 BC1653N2 225 130 50 SOT-23 547 BC1653N3 225 130 50 SOT-23 548 BC1653N4 225 130 50 SOT-23 549 BC1654N5 225 160 50 SOT-23 5410 BC1654N6 225 160 50 SOT-23 5411 BC1654N7 225 160 50 SOT-23 54PNP-硅高压晶体管序号 型 号 P tot(mW)V CEO(V) I C(mA) 外 形 页次1 BTA92 225 300 500 SOT-23 562 BTA93 225 200 500 SOT-23 563 BT5401 225 150 500 SOT-23 57 NPN-硅开关晶体管序号 型 号 P tot(mW)V CEO(V) I C(mA) 外 形 页次1 BT2369 225 15 200 SOT-23 582 BT2369A 225 15 200 SOT-23 58PNP-硅开关晶体管序号 型 号 P tot(mW)V CEO(V) I C(mA) 外 形 页次1 BT3640 225 12 80 SOT-23 59 NPN-硅驱动晶体管序号 型 号 P tot(W)V CEO(V) I C(mA) 外 形 页次1 BTA05 225 60 500 SOT-23 602 BTA06 225 80 500 SOT-23 60 PNP-硅驱动晶体管序号 型 号 P tot(mW)V CEO(V) I C(mA) 外 形 页次1 BTA55 225 60 500 SOT-23 612 BTA56 225 80 500 SOT-23 61 NPN-硅达林顿晶体管序号 型 号 P tot(mW)V CEO(V) I C(mA) 外 形 页次1 BTA13 225 30 300 SOT-23 622 BTA14 225 30 300 SOT-23 62 PNP-硅达林顿晶体管序号 型 号 P tot(mW)V CEO(V) I C(mA) 外 形 页次1 BTA63 225 30 500 SOT-23 632 BTA64 225 30 500 SOT-23 63 NPN-硅双极型晶体管序号 型 号 P tot(W)V CEO(V) I C(mA) 外 形 页次1 H8050C 1 25 1500 SOT-89 642 H8050D 1 25 1500 SOT-89 643 HC2328A 1 30 2000 SOT-89 644 HC2328B 1 30 2000 SOT-89 64NPN-硅双极型晶体管序号 型 号 P tot(W)V CEO(V) I C(mA) 外 形 页次5 HD882HQ 1.2 30 3000 SOT-89 656 HD882HP 1.2 30 3000 SOT-89 657 HD882HE 1.2 30 3000 SOT-89 658 SXT42 1 300 500 SOT-89 659 FCX5550 1 140 600 SOT-89 6610 BCX56-10 1 80 1000 SOT-89 6611 BCX56-16 1 80 1000 SOT-89 6612 2SD1664 1 32 1000 SOT-89 6713 2SD965 1 20 5000 SOT-89 6714 2SD965A 1 30 5000 SOT-89 67 PNP-硅双极型晶体管序号 型 号 P tot(W)V CEO(V) I C(mA) 外 形 页次1 H8550C 1 25 1500 SOT-89 692 H8550D 1 25 1500 SOT-89 693 HA928A 1 30 2000 SOT-89 694 HA928B 1 30 2000 SOT-89 695 SXTA92 1 300 500 SOT-89 706 HB772HQ 1.2 30 3000 SOT-89 707 HB772HP 1.2 30 3000 SOT-89 708 HB772HE 1.2 30 3000 SOT-89 709 FCX5401 1 150 600 SOT-89 7110 BCX53-10 1 80 1000 SOT-89 7111 BCX53-16 1 80 1000 SOT-89 71 NPN-硅双极型晶体管序号 型 号 P tot(W)V CEO(V) I C(mA) 外 形 页次1 PD882-HH2Q 1.8 30 3000 TO-251/252 722 PD882-HH2P 1.8 30 3000 TO-251/252 723 PD882-HH2E 1.8 30 3000 TO-251/252 72 PNP-硅双极型晶体管序号 型 号 P tot(W)V CEO(V) I C(mA) 外 形 页次1 PB772-GG2Q 1.8 30 3000 TO-251/252 742 PB772-GG2P 1.8 30 3000 TO-251/252 743 PB772-GG2E 1.8 30 3000 TO-251/252 74 场效应晶体管序号 型 号 P tot(W)V DSS(V) I D(mA) 外 形 页次1 1N60 2.5 600 1000 TO-252 76序号 型 号 P tot(W)V DSS(V) I D(mA) 外 形 页次2 2N60 2.0 600 2000 TO-252 763 BS170 0.8 60 500 TO-252 774 2N7002 0.225 60 115 SOT-23 775 2SK2615 0.5 60 2000 SOT-89 77 新产品(高频小功率晶体管)序号 型 号 P tot(mW)V CEO(V) I C(mA) 外 形 页次1 BTR092 200 18 20 SOT-23 782 BFR093 200 20 20 SOT-23 79 新产品(开关二极管)序号 型 号 P tot(mW)V RWM(V) I F(A) 外 形 页次1 BDZ001 850 150 1 TO-252 81 新产品(变容二极管)序号 型 号 P tot(mW)V RM(V) I F(mA) 外 形 页次1 MCA34 200 30 50 SOT-23 82技术说明及应用指南 84执行标准◆七专级(企标编号:Q/PS QZJ02-2004) QZJ840611“七专”技术条件◆普军级(企标编号:Q/PS 127-2004) GB4589.1-89(Ⅱ类) GB/T 12560-1999 主要用途:各种电器、电子仪器的稳压、保护电路中作稳压及保护用。
各式贴片二极管基本参数TYPE Io(A) VR(V) VF(V) IR(μA) PD(mW) Package 1N4148W 150mA 75 1.25 1.0 350 SOD-123 1N4448W 250mA 75 1.25 2.5 350 SOD-123 BAV16W 150mA 75 1.25 1.0 400 SOD-123 BAV19W 200mA 100 1.25 0.1 250 SOD-123 BAV20W 200mA 150 1.25 0.1 250 SOD-123 BAV21W 200mA 200 1.25 0.1 250 SOD-123 1N4148WS 150mA 75 1.25 1.0 350 SOD-323 1N4448WS 250mA 75 1.25 2.5 350 SOD-323 BAV16WS 150mA 75 1.25 1.0 400 SOD-323 BAV19WS 200mA 100 1.25 0.1 250 SOD-323 BAV20WS 200mA 150 1.25 0.1 250 SOD-323 BAV21WS 200mA 200 1.25 0.1 250 SOD-323 1SS387 100mA 80 1.2 0.5 150 SOD-523 1SS388 100mA 40 0.6 5.0 150 SOD-523 1SS400 100mA 90 1.2 0.1 150 SOD-523 1SS422 150mA 85 1.2 0.1 150 SOD-523 BAS16X 150mA 75 1.25 1.0 150 SOD-523 BAS516 200mA 75 1.25 1.0 200 SOD-523 1SS400G 100mA 90 1.2 0.1 100 SOD-723 TYPE Io(A) VR(V) VF(V) IR(μA) Trr(nS) Package BAT42W - 30 0.65 0.2 - SOD-123 BAT43W - 30 0.45 0.2 - SOD-123 BAT46W - 30 0.45 0.2 - SOD-123 SD101AW - 60 1.0 0.2 - SOD-123 SD101BW - 50 0.95 0.2 - SOD-123 SD101CW - 40 0.9 0.2 - SOD-123 1N5711W - 70 1.0 0.2 - SOD-123 1N6263W - 60 1.0 0.2 - SOD-123 B0520W 0.5 20 0.385 250 - SOD-123 B0530W 0.5 30 0.43 130 - SOD-123 B0540W 0.5 40 0.62 20 - SOD-123 B5817W 1.0 20 0.75 1000 - SOD-123 B5819W 1.0 40 0.9 1000 - SOD-123 FM120-M-FM1100-M 1.0 20-100 0.5-0.85 1000 - SOD-123 FM220-M-FM2100-M 2.0 20-100 0.5-0.85 1000 - SOD-123 BAT42WS - 30 0.65 0.5 - SOD-323 BAT43WS - 30 0.45 0.5 - SOD-323 BAT54WS - 30 1.0 2.0 - SOD-323BAS40WS - 40 1.0 0.2 - SOD-323 BAS70WS - 70 1.0 0.1 - SOD-323 SD101AWS - 60 1.0 0.2 - SOD-323 SD101BWS - 50 0.95 0.2 - SOD-323 SD101CWS - 40 0.9 0.2 - SOD-323 SD103AWS - 40 0.37 5.0 - SOD-323 SD103BWS - 30 0.6 5.0 - SOD-323 SD103CWS - 20 0.6 5.0 - SOD-323 MBR0520WS - 20 0.31 0.1 - SOD-323 MBR0530WS - 30 0.36 0.03 - SOD-323 MBR0540WS - 40 0.36 0.03 - SOD-323 1N5711WS - 70 1.0 0.2 - SOD-323 BAT54X 200mA 30 0.8 2.0 - SOD-523 RB520S-30 200mA 30 0.45 0.5 - SOD-523 RB521S-30 200mA 30 0.35 10 - SOD-523 RB751S-40 30mA 40 0.37 0.5 - SOD-523 RB520G-30 100mA 30 0.345 0.5 - SOD-723 RB521G-30 100mA 30 0.35 10 - SOD-723 RB751G-40 30mA 40 0.37 0.5 - SOD-723 FM4001-M-FM4007-M 1.0 50-1000 1.10 5.0 - SOD-123 FFM-101-M-FFM107-M 1.0 50-1000 1.3 5.0 150-500 SOD-123 MURX0505-MURX0560 0.5 50-600 1.35 5.0 75 SOD-123 HFM101-M-HFM107-M 1.0 50-1000 1.0-1.7 5.0 50-75 SOD-123 BB910 a a a a a SOD-123 BZT52C2V4-BZT52C51 1/2W a a a a SOD-123 BZT52C2V0S-BZT52C39S 1/4W a a a a SOD-323 TYPE Io(A) VR(V) VF(V) IR(μA) PD(mW) Package 1SS181 - 80 1.2 0.5 150 SOT-23 1SS184 - 80 1.2 0.5 150 SOT-23 1SS187 - 80 1.2 0.5 150 SOT-23 1SS190 - 80 1.2 0.5 150 SOT-23 1SS193 - 80 1.2 0.5 150 SOT-23 1SS196 - 80 1.2 0.5 150 SOT-23 1SS226 - 80 1.2 0.5 150 SOT-23 BAL99LT1 - 70 1.25 2.5 350 SOT-23 BAS116LT1 - 75 1.25 5.0 300 SOT-23 BAS16LT1 - 75 1.25 1.0 225 SOT-23 BAS19LT1 - 120 1.25 0.1 225 SOT-23 BAS21LT1 - 250 1.25 1.0 225 SOT-23 BAV70LT1 - 70 1.0 5.0 350 SOT-23BAW56LT1 - 70 1.0 2.5 350 SOT-23 BAV74LT1 - 50 1.0 0.1 225 SOT-23 BAV99LT1 - 70 1.25 2.5 225 SOT-23 DAN202K - 70 1.25 2.5 225 SOT-23 DAP202K - 70 1.25 2.5 225 SOT-23 MA147 - 80 1.2 100 - SOT-23 MA153 - 40 1.2 0.1 - SOT-23 MA153A - 80 1.2 0.1 - SOT-23 MA157A - 80 1.2 0.1 - SOT-23 MMBD914LT1 - 75 1.25 2.5 225 SOT-23 MMBD2836LT1 - 75 1.0 0.1 225 SOT-23 MMBD2838LT1 - 75 1.2 0.1 225 SOT-23 MMBD6050LT1 - 70 1.1 0.1 225 SOT-23 MMBD7000LT1 - 100 1.1 5.0 225 SOT-23 SDS7000 - 100 1.1 5.0 225 SOT-23 BAS16W - 75 1.25 1.0 200 SOT-323 BAS19W - 100 1.25 0.1 200 SOT-323 BAS20W - 150 1.25 0.1 200 SOT-323 BAS21W - 200 1.25 0.1 200 SOT-323 BAV70W - 75 1.25 2.5 200 SOT-323 BAV99W - 75 1.25 2.5 200 SOT-323 BAW56W - 75 1.25 2.5 200 SOT-323 MMBD4148W - 75 1.25 1.0 200 SOT-323 MMBD4448W - 75 1.25 2.5 200 SOT-323 BAS16T - 85 1.25 2.0 150 SOT-523 BAW56T - 85 1.25 2.0 150 SOT-523 BAV70T - 85 1.25 2.0 150 SOT-523 BAV99T - 85 1.0 2.0 150 SOT-523 DAN222 - 80 1.2 0.1 100 SOT-523 DAP222 - 80 1.2 0.1 100 SOT-523 BAV70DW - 75 1.25 2.5 200 SOT-363 BAV756DW - 75 1.25 2.5 200 SOT-363 BAV99BRW - 75 1.25 2.5 200 SOT-363 BAV99DW - 75 1.25 2.5 200 SOT-363 BAW56DW - 75 1.25 2.5 200 SOT-363 MMBD4148TW - 75 1.25 1.0 200 SOT-363 BAS16TW - 75 1.25 1.0 200 SOT-363 MMBD4448HADW-HTW - 80 1.25 0.1 200 SOT-363 TYPE Io(A) VR(V) VF(V) IR(μA) Trr(nS) Package BAS40LT1 - 40 1.0 100 - SOT-23BAS70LT1 - 30 0.45 100 - SOT-23BAS70LT1-04 - 70 1.0 100 - SOT-23BAS70LT1-05 - 70 1.0 100 - SOT-23BAS70LT1-06 - 70 1.0 100 - SOT-23 BAT54A - 30 1.0 2.0 - SOT-23BAT54C - 30 1.0 2.0 - SOT-23BAT54S - 30 1.0 2.0 - SOT-231N5817 - 20 0.75 1.0 - SOT-23-3L1N5819 - 40 0.9 1.0 - SOT-23-3LRB400D - 40 0.55 0.5 - SOT-23-3LRB420D - 40 0.45 0.01 - SOT-23-3LRB421D - 40 0.34 0.01 - SOT-23-3LRB425D - 40 0.34 0.01 - SOT-23-3LRB491D - 25 0.45 1.0 - SOT-23-3LRB495D - 25 0.5 0.2 - SOT-23-3LBAS40W - 40 1.0 0.2 - SOT-323BAS40W-04 - 40 1.0 0.2 - SOT-323BAS40W-05 - 40 1.0 0.2 - SOT-323BAS40W-06 - 40 1.0 0.2 - SOT-323BAS70W - 70 1.0 0.1 - SOT-323BAS70W-04 - 30 1.0 0.1 - SOT-323BAS70W-05 - 30 1.0 0.1 - SOT-323BAS70W-06 - 30 1.0 0.1 - SOT-323BAT54W - 30 1.0 2.0 - SOT-323BAT54AW - 30 1.0 2.0 - SOT-323BAT54CW - 30 1.0 2.0 - SOT-323BAT54SW - 30 1.0 2.0 - SOT-323RB706F-40 - 30 1.0 1.0 - SOT-323RB715F - 30 1.0 1.0 - SOT-323RB715W - 40 0.37 1.0 - SOT-523 BAT54TW-SDW - 30 1.0 2.0 - SOT-363 BZX84C2V4-BZX84C75 a a a a a SOT-23 AZ23C2V7-C51 aaaaaa a a a a SOT-23 BZX84C2V4W-BZX84C39W a a a a a SOT-323 TYPE Io(A) VR(V) VF(V) IR(μA) Trr Package DL4001-DL4007 1.0 50-1000 1.1 5.0 - MELF DL120-DL160 1.0 20-60 0.55-0.70 1000 - MELF DL5817-DL5819 1.0 20-40 0.45-0.60 100 - MELF DLF101-DLF106 1.0 50-800 1.3 5.0 150-500 MELF DL4933-DL4937 1.0 50-600 1.3 5.0 200 MELF。
M1M2M3M4M5M6M710005010020040060080050100200400600800100035701402804205607007530301.01.15.010015V µApFI RCj最大正向电压 I F = 1.0A最大反向电流 TA= 25℃典型结电容 V R = 4.0V, f = 1MHz 电特性 TA = 25℃ 除非另有规定。
Electrical Characteristics Ratings at 25℃ ambient temperature unless otherwise specified.单位Unit符号SymbolsTA=100℃Maximum forward voltageMaximum reverse current Type junction capacitanceV F-50 --- +150V V V A A µA ℃/W℃V RRM V RMS V DC I F(AV)I FSM I R(AV)特征 Features·低的反向漏电流 Low reverse leakage·较强的正向浪涌承受能力 High forward surge capability ·高温焊接保证 High temperature soldering guaranteed:250℃/10 秒 seconds at terminals机械数据 Mechanical Data·端子: 焊料被镀 Terminals: Solder plated·极性: 色环端为负极 Polarity: Color band denotes cathode end ·安装位置: 任意 Mounting Position: Any极限值和温度特性 TA = 25℃ 除非另有规定。
Maximum Ratings & Thermal Characteristics Ratings at 25℃ ambient temperature unless otherwise specified.最大可重复峰值反向电压Maximum repetitive peak reverse voltage 最大均方根电压 Maximum RMS voltage 最大直流阻断电压Maximum DC blocking voltage最大正向平均整流电流Maximum average forward rectified current 峰值正向浪涌电流 8.3ms单一正弦半波Peak forward surge current 8.3 ms single half sine-wave 最大反向峰值电流Maximum peak reverse current full cycle典型热阻 Typical thermal resistance工作结温和存储温度符号Symbols单位UnitSurface Mount General RectifierReverse Voltage 50 to 1000 VForward Current 1.0 AOperating junction and storage temperature rangeTj, TSTG @TA = 75℃R θJAM1M2M3M4M5M6M7·封装: 塑料封装 Case: Molded plastic body 表面安装普通整流二极管反向电压 50 ---1000 V正向电流 1.0 A- 1 -特性曲线 Characteristic Curves反向电流 I R (m A )TYPICAL REVERSE CHARACTERISTICSI R I n s t a n t a n e o u s R e v e r s e C u r r e n t (m A )反向特性曲线(典型值)反向电压 V R (V)TYPICAL JUNCTION CAPACITANCE典型结电容典型结电容 C J (P F )V R Reverse Voltage (V)C J J u n g t i o n C a p a c t a n c e (P F )脉冲宽度典型热阻 R θJ A (℃/W )TYPICAL TRANSIENT THERMAL IMPEDANCEt, Pulse Duration, secR θJ A T r a n s i e n t T h e r m a l I m p e d a n c e (℃/W )典型热阻峰值反向电压百分比(%)Percent Of Peak Reverse Voltage,%平均功率损耗 I F (A V ) (A )FORWARD CURRENT DERATING CURVEI F (A V ) A v e r a g e P o w e r D i s s i p a t i o n (w a t t s )正向电流降额曲线环境温度 Ta(°C )Tamb, ambient temperature (°C)通过电流的周期峰值正向浪涌电流 I F S M (A )浪涌特性曲线(最大值)MAXIMUM NON REPETITIVE PEAK FORWARD SURGE CURRENTNumber of Cycles at 60 Hz.I F S M P e a k F o r w a r d S u r g e C u r r e n t (A )1101005.010152025308.3ms SINGLE HALF SINE-WAVE (JEDEC Method正向电流 I F (A )正向特性曲线(典型值)正向电压 V F (V)I F I n s t a n t a n e o u s F o r w a r d C u r r e n t (A )V F Instantaneous Forward Voltage (V)6.08.00.12.14.15.1.00T J =150°CT J =100°CT J =25°C0.010.11101001000020*********T J =25°C1101002000.11.0101000.010.11101000.1110100- 2 -。
贴片二极管6bg 26a参数贴片二极管6BG26A参数分析贴片二极管是电子元件中的一种,其使用范围广泛,例如在电源、无线电调制、音频和通信等领域都经常使用。
本文将介绍6BG26A贴片二极管,在电子元件的应用中有什么特点和参数。
一、6BG26A贴片二极管的外形和封装6BG26A是一种贴片二极管。
它的外观形状长方形,尺寸约为2.5毫米×1.2毫米。
封装形式为日本EIAJ标准的SOD-323F,这种封装方式可用于SMT表面贴装,非常方便。
二、6BG26A贴片二极管的参数1、最大额定值:该二极管的最大额定值为60V,而最大平均正向电流为2A,最大正向峰值电流为30A,最大反向峰值电流为1A,最大反向平均电流为200mA,最大反向电压为60V。
2、正向电流--电压特性:该二极管正向电流电压比较小,一般在0.7V左右,具有较低的正向电阻。
在正向电压0.1V的情况下,正向电流也非常小,仅为1μA左右,因此在低功耗应用中非常受欢迎。
3、反向电压--电流特性:其反向电流非常低,在最大额定反向电压时,反向电流仅为5nA左右。
因此6BG26A仅适用于低压应用,通常不用于高压应用。
4、温度特性:在宽温度范围内( -55°C-+150°C) 的电源和模拟设计中,6BG26A可以提供稳定的性能和良好的可靠性。
三、6BG26A贴片二极管的应用6BG26A贴片二极管具有反向电流低、正向电路低、小体积、适应低压等特点,广泛应用于传感器、精密电路等方面,可用作信号等级的限制器,起到保护电路的作用。
具体应用方面如下:1、在恒流源、恒流负荷中使用,其低反向漏电流可使电路无须进行大量的调整;2、在温度测量、特性检测等方面使用,其反向漏电流、反向电压不易受温度影响,测量准确性高;3、在低压状态下的开关稳定器和功率电路中使用,可有效降低电路中的损耗和噪声。
四、6BG26A贴片二极管的缺点与其他二极管相比,6BG26A在最大反向电压下电流相对较小,所以6BG26A并不适用于较高的电压应用。
贴片发光二极管参数大全LED 贴片常见灯珠规格型号和参数0603、0805、1210、3528、5050 都是指 LED 灯带上常使用的发光元器件 ----LED 的尺寸大小(英制 / 公制)叫法,例如 0603 指的是长度为 0.06 英寸,宽度为 0.03 英寸。
但是要注意 3528 和 5050 单位是公制。
下面是这些规格的详细介绍:0603:换算为公制是 1608,即表示 LED 元件的长度是 1.6mm,宽度是 0.8mm。
行业简称 1608,英制叫法是 0603。
0805:换算为公制是 2012,即表示 LED 元件的长度是 2.0mm,宽度是 1.2mm. 行业简称 2112,英制叫法是 0805。
1210:换算为公制是 3528,即表示 LED 元件的长度是 3.5mm,宽度是 2.8mm。
行业简称 3528,英制叫法是 1210。
3528:这是公制叫法,即表示LED 元件的长度是3.5mm,宽度是 2.8mm。
行业简称 3528。
5050:这是公制叫法,即表示LED 元件的长度是5.0mm,宽度是 5.0mm。
行业简称 5050。
目前大多数厂商生产的贴片型灯条采用的都以 3528 和 5050 以及3535 和 5630 的居多,也有很多把 3528 和 5050 和 3535 等贴片 led 用在汽车照明上的。
更多的贴片led 详细规格,或者产品规格书等请咨询统佳的客服人员索取。
3528 20mA 3.0-3.6v 0.06w3014 30mA 3.2-3.6v 0.1w4014 30mA 3.2-3.6v 0.1w5050 60mA 3.2-3.6v 0.18w5630 150mA 3.2-3.6v 0.5w大功率 350ma 3.2-3.6v 1W、3528(0.06W)、3629(0.2-0.3W)、5050(0.2-0.5W)、5630(0.2-0.5W)、3014、3020(0.06W)首先 LED 光源分为小功率 LED 光源(直插式,SMD 贴片器件)大功率 LED 光源。
Z字头-贴片稳压二极管标示1 2 3 4 5 6 7 8 9 0A B C D E F G H I J K L M N O P Q R S T U V W X Y Z贴片元件标示代码表示查询DuQ838电子-技术资料-电子元件-电路图-技术应用网站-基本知识-原理-维修-作用-参数-电子元器件符号表示符号实际元件生产厂结构封装类型参数及代换型号Z0 SST310 Tem F SOT23 J310 n-ch jfetZ0 PDZ2.4B Phi I SOD323 2.4V 0.4W zenerZ08 SST308 Sil F SOT23 J308 n-ch jfetZ09 SST309 Sil F SOT23 J309 n-ch jfetZ10 SST310 Sil F SOT23 J310 n-ch jfetZ1 BZX84-C4V7 Phi C SOT23 0.3W zener 4.7VZ1 SSTJ211 Sil F SOT23 J211 n-ch jfetZ1 PDZ2.7B Phi I SOD323 2.7V 0.4W zenerZ1 IMZ1A Roh DE 2SC2414 npn,2SA1037AK pnpZ1 BZV49C4V7 Zet O SOT89 1W ±5% zener 4.7VZ2 BZX84-C5V1 Phi C SOT23 0.3W zener 4.7VZ2 SSTJ212 Sil F SOT23 J212 n-ch jfetZ2 IMZ2A Roh DF 2SC2414 npn,2SA1037AK pnpZ2 PDZ3.0B Phi I SOD323 3.0V 0.4W zenerZ2 BZV49C5V1 Zet O SOT89 1W ±5% zener 5.1VZ2U FMMTA63 Zet N SOT23 MPSA63Z2V FMMTA64 Zet N SOT23 MPSA64Z3 BZX84-C5V6 Phi C SOT23 0.3W zener 5.6VZ3 PDZ3.3B Phi I SOD323 3.3V 0.4W zenerZ3 2SK1078 Tos T SOT89 n-ch mosfet 60V 0.8AZ3 BZV49C5V6 Zet O SOT89 1W ±5% zener 5.6VZ4 BZX84-C6V2 Phi C SOT23 0.3W zener 6.2VZ4 PDZ3.6B Phi I SOD323 3.6V 0.4W zenerZ4 2SK1079 Tos T SOT89 n-ch mosfet 100V 0.6AZ5 BZX84-C6V8 Phi C SOT23 0.3W zener 6.8VZ5 PDZ3.9B Phi I SOD323 3.9V 0.4W zenerZ5 2SK1717 Tos T SOT89 n-ch mosfet 60V 2AZ5 BZV49C6V8 Zet O SOT89 1W ±5% zener 6.8VZ6 BZX84-C7V5 Phi C SOT23 0.3W zener 7.5VZ6 PDZ4.3B Phi I SOD323 4.3V 0.4W zenerZ6 2SJ238 Tos T SOT89 p-ch mosfet 60V 1AZ6 BZV49C7V5 Zet O SOT89 1W ±5% zener 7.5VZ7 BZX84-C8V2 Phi C SOT23 0.3W zener 8.2VZ7 PDZ4.7B Phi I SOD323 4.7V 0.4W zenerZ7 BZV49C8V2 Zet O SOT89 1W ±5% zener 8.2VZ8 BZX84-C9V1 Phi C SOT23 0.3W zener 9.1VZ8 PDZ5.1B Phi I SOD323 5.1V 0.4W zenerZ8 BZV49C9V1 Zet O SOT89 1W ±5% zener 9.1VZ9 BZX84-C10 Phi C SOT23 0.3W zener 10VZ9 PDZ5.6B Phi I SOD323 5.6V 0.4W zenerZ1 BZV49C10 Zet O SOT89 1W ±5% zener 10VZ10 SST310 Sil F SOT23 J310 n-ch jfetZ11 BZX84-C2V4 Phi C SOT23 0.3W zener 2.4V ±5%Z12 BZX84-C2V7 Phi C SOT23 0.3W zener 2.7V ±5%Z13 BZX84-C3V0 Phi C SOT23 0.3W zener 3.0V ±5%Z14 BZX84-C3V3 Phi C SOT23 0.3W zener 3.3V ±5%Z15 BZX84-C3V6 Phi C SOT23 0.3W zener 3.6V ±5%Z16 BZX84-C3V9 Phi C SOT23 0.3W zener 3.9V ±5%Z17 BZX84-C4V3 Phi C SOT23 0.3W zener 4.3V ±5%Z21 DTC113ZE Rho N EMT3 npn dtr 1k0 + 10k 50V 100mA Z21 DTC113ZUA Rho N SC70 npn dtr 1k0 + 10k 50V 100mA Z21 DTC113ZKA Rho N SC59 npn dtr 1k0 + 10k 50V 100mA Z50 BZX84-B2V4 Phi C SOT23 0.3W zener 2.4V ±2%Z51 BZX84-B2V7 Phi C SOT23 0.3W zener 2.7V ±2%Z52 BZX84-B3V0 Phi C SOT23 0.3W zener 3.0V ±2%Z53 BZX84-B3V3 Phi C SOT23 0.3W zener 3.3V ±2%Z54 BZX84-B3V6 Phi C SOT23 0.3W zener 3.6V ±2%Z55 BZX84-B3V9 Phi C SOT23 0.3W zener 3.9V ±2%Z56 BZX84-B4V3 Phi C SOT23 0.3W zener 4.3V ±2%Z57 BZX84-B4V7 Phi C SOT23 0.3W zener 4.7V ±2%Z58 BZX84-B5V1 Phi C SOT23 0.3W zener 5.1V ±2%Z59 BZX84-B5V6 Phi C SOT23 0.3W zener 5.6V ±2%Z60 BZX84-B6V2 Phi C SOT23 0.3W zener 6.2V ±2%Z61 BZX84-B6V8 Phi C SOT23 0.3W zener 6.8V ±2%Z62 BZX84-B7V5 Phi C SOT23 0.3W zener 7.5V ±2%Z63 BZX84-B8V2 Phi C SOT23 0.3W zener 8.2V ±2%Z64 BZX84-B9V1 Phi C SOT23 0.3W zener 9.1V ±2%Z66 BZX84-B11 Phi C SOT23 0.3W zener 11V ±2%Z67 BZX84-B12 Phi C SOT23 0.3W zener 12V ±2%Z68 BZX84-B13 Phi C SOT23 0.3W zener 13V ±2%Z69 BZX84-B15 Phi C SOT23 0.3W zener 15V ±2%Z70 BZX84-B16 Phi C SOT23 0.3W zener 16V ±2%Z71 BZX84-B18 Phi C SOT23 0.3W zener 18V ±2%Z72 BZX84-B20 Phi C SOT23 0.3W zener 20V ±2%Z73 BZX84-B22 Phi C SOT23 0.3W zener 22V ±2%Z74 BZX84-B24 Phi C SOT23 0.3W zener 24V ±2%Z75 BZX84-B27 Phi C SOT23 0.3W zener 27V ±2%Z76 BZX84-B30 Phi C SOT23 0.3W zener 30V ±2%Z77 BZX84-B33 Phi C SOT23 0.3W zener 33V ±2%Z78 BZX84-B36 Phi C SOT23 0.3W zener 36V ±2%Z79 BZX84-B39 Phi C SOT23 0.3W zener 39V ±2%Z80 BZX84-B43 Phi C SOT23 0.3W zener 43V ±2%Z81 BZX84-B47 Phi C SOT23 0.3W zener 47V ±2%Z82 BZX84-B51 Phi C SOT23 0.3W zener 51V ±2%Z83 BZX84-B56 Phi C SOT23 0.3W zener 56V ±2%Z84 BZX84-B62 Phi C SOT23 0.3W zener 62V ±2%Z85 BZX84-B68 Phi C SOT23 0.3W zener 68V ±2%Z86 BZX84-B75 Phi C SOT23 0.3W zener 75V ±2% ZA BZX284-C7V5 Phi I SOD110 0.4W zener 7.5V ±5% ZA PDZ6.2B Phi I SOD323 6.2V 0.4W zenerZB FMMT4123 Zet N SOT23 2N4123ZB PDZ6.8B Phi I SOD323 6.8V 0.4W zenerZB BZX284-C8V2 Phi I SOD110 0.4W zener 8.2V ±5% ZC FMMT4124 Zet N SOT23 2N4124ZC BZX284-C9V1 Phi I SOD110 0.4W zener 9.1V ±5% ZC PDZ7.5B Phi I SOD323 7.5V 0.4W zenerZD FMMT4125 Zet N SOT23 2N4125ZD MMBT4125 Mot N SOT23 2N4125ZD BZX284-C10 Phi I SOD110 0.4W zener 10V ±5% ZD PDZ8.2B Phi I SOD323 8.2V 0.4W zenerZE FMMT4126 Zet N SOT23 2N4126ZE MMBT4123 Nat N SOT23 2N4123ZE BZX284-C11 Phi I SOD110 0.4W zener 11V ±5% ZE PDZ9.1B Phi I SOD323 9.1V 0.4W zenerZF BZX284-C12 Phi I SOD110 0.4W zener 12V ±5% ZF PDZ10B Phi I SOD323 10V 0.4W zenerZG BZX284-C13 Phi I SOD110 0.4W zener 13V ±5% ZG PDZ11B Phi I SOD323 11V 0.4W zenerZH BZX284-C15 Phi I SOD110 0.4W zener 15V ±5% ZH PDZ12B Phi I SOD323 12V 0.4W zenerZHK SM2Z5V1 STM I 2W SMD 5.1V 2W zenerZHL SM2Z5V6 STM I 2W SMD 5.6V 2W zener ZHW SM2Z12 STM I 2W SMD 12V 2W zenerZI BZX284-C16 Phi I SOD110 0.4W zener 16V ±5% ZJ BZX284-C18 Phi I SOD110 0.4W zener 18V ±5% ZJ PDZ13B Phi I SOD323 13V 0.4W zenerZJF SM2Z18 STM I 2W SMD 18V 2W zenerZJQ SM2Z30 STM I 2W SMD 30V 2W zenerZK BZX284-C20 Phi I SOD110 0.4W zener 20V ±5% ZK PDZ15B Phi I SOD323 15V 0.4W zenerZKR SM2Z150 STM I 2W SMD 150V 2W zenerZL BZX284-C22 Phi I SOD110 0.4W zener 22V ±5% ZL PDZ16B Phi I SOD323 16V 0.4W zenerZM BZX284-C24 Phi I SOD110 0.4W zener 24V ±5% ZM PDZ18B Phi I SOD323 18V 0.4W zenerZN BZX284-C27 Phi I SOD110 0.4W zener 27V ±5% ZN PDZ20B Phi I SOD323 20V 0.4W zenerZO BZX284-C30 Phi I SOD110 0.4W zener 30V ±5% ZP BZX284-C33 Phi I SOD100 0.4W zener 33V ±5% ZP PDZ22B Phi I SOD323 22V 0.4W zenerZQ BZX284-C36 Phi I SOD110 0.4W zener 36V ±5% ZQ PDZ24B Phi I SOD323 24V 0.4W zenerZ-Q 2PC4081Q Phi N SOT323 gp npn hfe 120-270 ZtQ 2PC4081Q Phi N SOT323 gp npn hfe 120-270 ZR MSD1819A Mot N SOT323 npn gp 50VZR BZX284-C39 Phi I SOD110 0.4W zener 39V ±5% ZR PDZ27B Phi I SOD323 27V 0.4W zenerZ-R 2PC4081R Phi N SOT323 gp npn hfe 180-390 ZtR 2PC4081R Phi N SOT323 gp npn hfe 180-390ZS BZX284-C43 Phi I SOD110 0.4W zener 43V ±5% ZS PDZ30B Phi I SOD323 30V 0.4W zenerZS1 ZHCS1000 Zet E SOT23 30V 1A schottky diode ZS5 ZHCS500 Zet E SOT23 40V 0.5A schottky diode ZS7 ZHCS750 Zet E SOT23 30V 0.75A schottky diode Z-S 2PC4081S Phi N SOT323 gp npn hfe 270-560 ZtS 2PC4081S Phi N SOT323 gp npn hfe 270-560ZT BZX284-C47 Phi I SOD110 0.4W zener 47V ±5% ZT PDZ33B Phi I SOD323 33V 0.4W zenerZU BZX284-C51 Phi I SOD110 0.4W zener 51V ±5% ZU PDZ36B Phi I SOD323 36V 0.4W zenerZV BZX284-C56 Phi I SOD110 0.4W zener 56V ±5% ZW BZX284-C62 Phi I SOD110 0.4W zener 62V ±5% ZX BZX284-C68 Phi I SOD110 0.4W zener 68V ±5% ZY BZX284-C75 Phi I SOD110 0.4W zener 75V ±5%ZS1 ZHCS1000 Zet C SOT23 schottky 1A 30VZS7 ZHCS750 Zet C SOT23 schottky 0.75A 30VDuQ838电子-技术资料-电子元件-电路图-技术应用网站-基本知识-原理-维修-作用-参数-电子元器件符号补充:DuQ838电子-技术资料-电子元件-电路图-技术应用网站-基本知识-原理-维修-作用-参数-电子元器件符号元器件标示代号封装形式实际元件型号制造工厂替换型号Z 2 SOD-523 BB145B PH6 SOT-363 HSMP-389T A VZ–Q 3 SOT-323 2PC4081Q PHZ–R 3 SOT-323 2PC4081R PHZ–S 3 SOT-323 2PC4081S PHZ0 3 SOT-23 SST310 SIL J3106 SOT-457 BZA420A PHZ08 3 SOT-23 SST308 SIL J308Z09 3 SOT-23 SST309 SIL J309Z0D 4 SOT-223 Z0110DN STZ0M 4 SOT-223 Z0110MN STZ0N 4 SOT-223 Z0110NN STZ0S 4 SOT-223 Z0110SN STZ1 2 SOD-723 BB145B-01 PH3 SOT-23 稳压二极管BZX84C4V7 NS SM ZE BZX79C4V73 SOT-89 BZV49C4V7 ZE BZV85C4V75 SOT-353 BZA856A PH5 SOT-665 BZA956A PHZ1** 3 SOT-23 TC1274-5ENB MIZ10 3 SOT-23 SST310 SIL J310Z11 3 SOT-23 稳压二极管BZX84C2V4 V AL BZX79C2V4Z12 3 SOT-23 稳压二极管BZX84C2V7 V AL BZX79C2V7Z13 3 SOT-23 稳压二极管BZX84C3V0 V AL BZX79C3V0Z14 3 SOT-23 稳压二极管BZX84C3V3 V AL BZX79C3V3Z15 3 SOT-23 稳压二极管BZX84C3V6 V AL BZX79C3V6Z16 3 SOT-23 稳压二极管BZX84C3V9 V AL BZX79C3V9Z17 3 SOT-23 稳压二极管BZX84C4V3 V AL BZX79C4V3Z1p 3 SOT-23 稳压二极管BZX84C4V7 PH BZX79C4V7Z1t 3 SOT-23 稳压二极管BZX84-C4V7 PHZ1W 3 SOT-23 稳压二极管BZX84-C4V7 PHZ2 3 SOT-23 稳压二极管BZX84C5V1 NS SM ZE BZX79C5V13 SOT-89 BZV49C5V1 ZE BZV85C5V15 SOT-353 BZA862A PH5 SOT-665 BZA962A PHZ2** 3 SOT-23 TC1274-10ENB MIZ2p 3 SOT-23 稳压二极管BZX84C5V1 PH BZX79C5V1Z2t 3 SOT-23 稳压二极管BZX84-C5V1 PH6 SOT-457 BZA462A PHZ2U 3 SOT-23 FMMTA63 ZE MPSA63Z2V 3 SOT-23 FMMTA64 ZE MPSA64Z2W 3 SOT-23 稳压二极管BZX84-C5V1 PHZ3 3 SOT-23 稳压二极管BZX84C5V6 NS SM ZE BZX79C5V6 3 SOT-89 2SK1078 TO3 SOT-89 BZV49C5V6 ZE BZV85C5V65 SOT-353 BZA868A PH5 SOT-665 BZA968A PHZ3** 3 SOT-23 TC1274-15ENB MIZ3D 4 SOT-223 Z0103DN STZ3M 4 SOT-223 Z0103MN STZ3N 4 SOT-223 Z0103NN STZ3p 3 SOT-23 稳压二极管BZX84C5V6 PH BZX79C5V6Z3t 3 SOT-23 稳压二极管BZX84-C5V6 PHZ3S 4 SOT-223 Z0103SN STZ3W 3 SOT-23 稳压二极管BZX84-C5V6 PHZ4 3 SC-75 KA4F4Z NE3 SOT-23 稳压二极管BZX84C6V2 NS SM ZE BZX79C6V23 SOT-89 2SK1079 TO3 SOT-89 BZV49C6V2 ZE BZV85C6V25 SOT-353 BZA820A PHZ4p 3 SOT-23 稳压二极管BZX84C6V2 PH BZX79C6V2Z4t 3 SOT-23 稳压二极管BZX84-C6V2 PHZ4W 3 SOT-23 稳压二极管BZX84-C6V2 PHZ5 3 SOT-23 稳压二极管BZX84C6V8 NS SM ZE BZX79C6V8 3 SOT-89 2SK1717 TO3 SOT-89 BZV49C6V8 ZE BZV85C6V8Z50 3 SOT-23 稳压二极管BZX84B2V4 V AL BZX79B2V4Z51 3 SOT-23 稳压二极管BZX84B2V7 V AL BZX79B2V7Z52 3 SOT-23 稳压二极管BZX84B3V0 V AL BZX79B3V0Z53 3 SOT-23 稳压二极管BZX84B3V3 V AL BZX79B3V3Z54 3 SOT-23 稳压二极管BZX84B3V6 V AL BZX79B3V6Z55 3 SOT-23 稳压二极管BZX84B3V9 V AL BZX79B3V9Z56 3 SOT-23 稳压二极管BZX84B4V3 V AL BZX79B4V3Z57 3 SOT-23 稳压二极管BZX84B4V7 V AL BZX79B4V7Z58 3 SOT-23 稳压二极管BZX84B5V1 V AL BZX79B5V1Z59 3 SOT-23 稳压二极管BZX84B5V6 V AL BZX79B5V6Z5p 3 SOT-23 稳压二极管BZX84C6V8 PH BZX79C6V8Z5t 3 SOT-23 稳压二极管BZX84-C6V8 PHZ5W 3 SOT-23 稳压二极管BZX84-C6V8 PHZ6 3 SOT-23 稳压二极管BZX84C7V5 NS SM ZE BZX79C7V53 SOT-89 2SJ238 TO3 SOT-89 BZV49C7V5 ZE BZV85C7V56 SOT-457 BZA456A PHZ60 3 SOT-23 稳压二极管BZX84B6V2 V AL BZX79B6V2Z61 3 SOT-23 稳压二极管BZX84B6V8 V AL BZX79B6V8Z62 3 SOT-23 稳压二极管BZX84B7V5 V AL BZX79B7V5Z63 3 SOT-23 稳压二极管BZX84B8V2 V AL BZX79B8V2Z64 3 SOT-23 稳压二极管BZX84B9V1 V AL BZX79B9V1Z65 3 SOT-23 稳压二极管BZX84B10 V AL BZX79B10Z66 3 SOT-23 稳压二极管BZX84B11 V AL BZX79B11Z67 3 SOT-23 稳压二极管BZX84B12 V AL BZX79B12Z68 3 SOT-23 稳压二极管BZX84B13 V AL BZX79B13Z69 3 SOT-23 稳压二极管BZX84B15 V AL BZX79B15Z6p 3 SOT-23 稳压二极管BZX84C7V5 PH BZX79C7V5Z6t 3 SOT-23 稳压二极管BZX84-C7V5 PHZ6W 3 SOT-23 稳压二极管BZX84-C7V5 PHZ7 3 SC-75 KN4F4Z NE3 SOT-23 稳压二极管BZX84C8V2 NS SM ZE BZX79C8V23 SOT-89 BZV49C8V2 ZE BZV85C8V2Z70 3 SOT-23 稳压二极管BZX84B16 V AL BZX79B16Z71 3 SOT-23 稳压二极管BZX84B18 V AL BZX79B18Z72 3 SOT-23 稳压二极管BZX84B20 V AL BZX79B20Z73 3 SOT-23 稳压二极管BZX84B22 V AL BZX79B22Z74 3 SOT-23 稳压二极管BZX84B24 V AL BZX79B24Z75 3 SOT-23 稳压二极管BZX84B27 V AL BZX79B27Z76 3 SOT-23 稳压二极管BZX84B30 V AL BZX79B30Z77 3 SOT-23 稳压二极管BZX84B33 V AL BZX79B33Z78 3 SOT-23 稳压二极管BZX84B36 V AL BZX79B36Z79 3 SOT-23 稳压二极管BZX84B39 V AL BZX79B39Z7D 4 SOT-223 Z0107DN STZ7M 4 SOT-223 Z0107MN STZ7N 4 SOT-223 Z0107NN STZ7p 3 SOT-23 稳压二极管BZX84C8V2 PH BZX79C8V2Z7S 4 SOT-223 Z0107SN STZ7t 3 SOT-23 稳压二极管BZX84-C8V2 PHZ7W 3 SOT-23 稳压二极管BZX84-C8V2 PHZ8 3 SOT-23 稳压二极管BZX84C9V1 NS SM ZE BZX79C9V1 3 SOT-23 SST308 SIL J3083 SOT-89 BZV49C9V1 ZE BZV85C9V16 SOT-457 BZA408B PHZ80 3 SOT-23 稳压二极管BZX84B43 V AL BZX79B43Z81 3 SOT-23 稳压二极管BZX84B47 V AL BZX79B47Z82 3 SOT-23 稳压二极管BZX84B51 V AL BZX79B51Z83 3 SOT-23 稳压二极管BZX84B56 V AL BZX79B56Z84 3 SOT-23 稳压二极管BZX84B62 V AL BZX79B62Z85 3 SOT-23 稳压二极管BZX84B68 V AL BZX79B68Z86 3 SOT-23 稳压二极管BZX84B75 V AL BZX79B75Z8p 3 SOT-23 稳压二极管BZX84C9V1 PH BZX79C9V1Z8t 3 SOT-23 稳压二极管BZX84-C9V1 PHZ8W 3 SOT-23 稳压二极管BZX84-C9V1 PHZ9 3 SOT-23 稳压二极管BZX84C10 NS SM ZE BZX79C10 3 SOT-23 SST309 SIL J3093 SOT-89 BZV49C10 ZE BZV85C10Z9D 4 SOT-223 Z0109DN STZ9M 4 SOT-223 Z0109MN STZ9N 4 SOT-223 Z0109NN STZ9p 3 SOT-23 稳压二极管BZX84C10 PH BZX79C10Z9S 4 SOT-223 Z0109SN STZ9t 3 SOT-23 稳压二极管BZX84-C10 PHZ9W 3 SOT-23 稳压二极管BZX84-C10 PHZA 2 SOD-110 稳压二极管BZX284-C7V5 PH3 SOT-23 BCW60RA TFK BC548A5 SC-95/5 µPA507TE NEZA509TS 20 SSOP-20 BZA509TS PHZB 2 SOD-110 稳压二极管BZX284-C8V2 PH3 SOT-23 BCW60RB TFK BC548B3 SOT-23 FMMT4123 FER ZE 2N41235 SC-95/5 µPA508TE NEZC 2 SOD-110 稳压二极管BZX284-C9V1 PH3 SOT-23 BCW60RC TFK BC548B3 SOT-23 FMMT4124 FER ZE 2N41243 SOT-23 MMBT4124 NS 2N4124ZD 2 SOD-110 稳压二极管BZX284-C10 PH3 SOT-23 BCW60RD TFK BC548C3 SOT-23 FMMT4125 FER ZE 2N41253 SOT-23 MMBT4125 NS 2N4125ZE 2 SOD-110 稳压二极管BZX284-C11 PH3 SOT-23 FMMT4126 FER ZE 2N41263 SOT-23 MMBT4123 NS 2N4123ZF 2 SOD-110 稳压二极管BZX284-C12 PH3 SOT-23 MMBT4126 NS 2N4126ZFD 3 SOT-23 BCV26 ZE BC516ZFE 3 SOT-23 BCV46 ZEZFF 3 SOT-23 BCV27 ZE BC517ZFG 3 SOT-23 BCV47 ZEZG 2 SOD-110 稳压二极管BZX284-C13 PH3 SC-59 2SA1182GR TO3 SC-70 2SA1588GR TO3 SOT-23 BCX70RG TFK BC547AZH 2 SOD-110 稳压二极管BZX284-C15 PH 3 SOT-23 BCX70RH TFK BC547BZHK 2 DO-214AC SM2Z5V1 STZHL 2 DO-214AC SM2Z5V6 STZHN 2 DO-214AC SM2Z6V2 STZHQ 2 DO-214AC SM2Z7V5 STZHU 2 DO-214AC SM2Z10 STZHW 2 DO-214AC SM2Z12 STZHZ 2 DO-214AC SM2Z15 STZI 2 SOD-110 稳压二极管BZX284-C16 PH ZJ 2 SOD-110 稳压二极管BZX284-C18 PH 3 SOT-23 BCX70RJ TFK BC547BZJF 2 DO-214AC SM2Z18 STZJG 2 DO-214AC SM2Z20 STZJK 2 DO-214AC SM2Z22 STZJL 2 DO-214AC SM2Z24 STZJN 2 DO-214AC SM2Z27 STZJQ 2 DO-214AC SM2Z30 STZJS 2 DO-214AC SM2Z36 STZJT 2 DO-214AC SM2Z39 STZJV 2 DO-214AC SM2Z47 STZK 2 SOD-110 稳压二极管BZX284-C20 PH 3 SOT-23 BCX70RK TFK BC547C3 SOT-89 2SB1114ZK NEZKM 2 DO-214AC SM2Z68 STZKQ 2 DO-214AC SM2Z100 STZKR 2 DO-214AC SM2Z150 STZKW 2 DO-214AC SM2Z200 STZL 2 SOD-110 稳压二极管BZX284-C22 PH 3 SOT-89 2SB1114ZL NEZL– 3 SOT-23 PDTA123TT PH PDTA123TS ZLp 3 SOT-23 PDTA123TT PH PDTA123TS ZLt 3 SOT-23 PDTA123TT PH PDTA123TS ZLW 3 SOT-23 PDTA123TT PH PDTA123TS ZM 2 SOD-110 稳压二极管BZX284-C24 PH 3 SOT-89 2SB1114ZM NEZM– 3 SOT-23 PDTC123TT PH PDTC123TS ZMp 3 SOT-23 PDTC123TT PH PDTC123TS ZMt 3 SOT-23 PDTC123TT PH PDTC123TS ZMW 3 SOT-23 PDTC123TT PH PDTC123TS ZN 2 SOD-110 稳压二极管BZX284-C27 PH ZO 2 SOD-110 稳压二极管BZX284-C30 PH 3 SC-59 2SA1182O TO3 SC-70 2SA1588O TOZP 2 SOD-110 稳压二极管BZX284-C33 PHZQ 2 SOD-110 稳压二极管BZX284-C36 PH3 SC-59 2PD601AQ PH3 SC-75 2PC4617Q PHZR 2 SOD-110 稳压二极管BZX284-C39 PH3 SC-59 2PD601AR PH3 SC-75 2PC4617R PHZS 2 SOD-110 稳压二极管BZX284-C43 PH3 SC-59 2PD601AS PH3 SC-75 2PC4617S PHZT 2 SOD-110 稳压二极管BZX284-C47 PHZT2222 4 SOT-223 PZT2222 SM 2N2222ZT2222A 4 SOT-223 PZT2222A PH SM 2N2222A ZT2907 4 SOT-223 PZT2907 SM 2N2907ZT2907A 4 SOT-223 PZT2907A PH SM 2N2907A ZT3904 4 SOT-223 PZT3904 PH SM 2N3904ZT3906 4 SOT-223 PZT3906 SM 2N3906ZTA42 4 SOT-223 PZTA42 PH MPSA42ZTA43 4 SOT-223 PZTA43 PH MPSA43ZTA96 4 SOT-223 PZTA96 MO MPSA96ZTp 3 SOT-23 PBSS4140T PH PBSS4140SZtQ 3 SOT-323 2PC4081Q PHZtR 3 SOT-323 2PC4081R PHZtS 3 SOT-323 2PC4081S PHZTt 3 SOT-23 PBSS4140T PH PBSS4140SZTW 3 SOT-23 PBSS4140T PH PBSS4140SZtZ 6 SC-88 PUMX1 PHZU 2 SOD-110 稳压二极管BZX284-C51 PHZV 2 SOD-110 稳压二极管BZX284-C56 PH ZW 2 SOD-110 稳压二极管BZX284-C62 PH ZX 2 SOD-110 稳压二极管BZX284-C68 PH3 SC-84 2SB1628ZX NEZY 2 SOD-110 稳压二极管BZX284-C75 PH3 SC-59 2SA1182Y TO3 SC-70 2SA1588Y TO3 SC-84 2SB1628ZY NEZZ 3 SC-84 2SB1628ZZ NE6 SOT-363 HSMS-286R A V。
47-20L贴片二极管参数说明
贴片二极管又称晶体二极管,简称二极管,另外,还有早期的真空电子二极管。
它是一种具有单向传导电流的电子器件。
在半导体二极管内部有一个PN结两个引线端子,这种电子器件按照外加电压的方向,具备单向电流的转导性。
一般来讲,贴片晶体二极管是一个由p型半导体和n型半导体烧结形成的p一n结界面。
在其界面的两侧形成空间电荷层,构成自建电场。
贴片二极管的标识与辨别
1.贴片二极管型号标注与极性辫别
贴片二极管的型号标注有字母、数字代码或字母+数字代码标注法和颜色(代码)标识法两种,如印字“A3”的电气参数如下:PD
=0.15W;IF=0.1A;VB=80V;Trr=4ns。
颜色标注法,则主要由负极侧标注的颜色查得型号,再由型号查出参数值。
贴片二极管的极性辨别方法:玻璃管状贴片二极管,红色一端为正极,黑色一端为负极;矩形贴片二极管,有白色横线一端为负极。
2.贴片二极管好坏测量
正常的贴片二极管,在路测量,正向电阻小,反向电阻大,且两者有明显的阻值差异。
脱开电路,若用指针式万用表测量,正向电阻约为3kΩ,反向电阻为数百千欧姆或无穷大;若用数字万用表的二极管挡测量,正向电压降为0.3~0.6V,反向电压降为无穷大。
3.贴片二极管参数说明
在电路板上,贴片二极管的元件位号一般以字母D打头,如D1、D2等,或VD,如VD1、VD2等;或DD,如DD1、DD2等。
银河微电一级代理鑫环电子是一家专业TVS二极管和稳压二极
管代理商,本网提供TVS二极管和稳压二极管封装尺寸与型号识别等规格说明书。
主要代理肖特基二极管,三极管,mos管等规格齐全。
rs1m贴片二极管的参数
1 RS1M贴片二极管
RS1M贴片二极管是一种小型、低成本的环境友好设计,广泛应用于设备的可靠性和成本效益性要求的领域。
此产品的特性有:
● 尺寸小:1.0mm × 0.6mm × 0.55mm,安装部件可大大减少空间和板材,安装更简单。
● 低成本:同类规格的普通二极管,RS1M的价格要比其它型号的二极管低很多,价格优势明显。
● 安全可靠:外形小巧,不但保证了操作安全,而且具有极高稳定性,产品可靠性高。
● 便携式:外形较小,重量较轻,便于安装和运输,易于携带,安装更加方便。
● 环保友好:产品采用新型氧化技术,在耐压高且耐压均匀的基础上实现环保友好的设计,能够更好的适应客户需求,延长产品的使用寿命。
RS1M贴片二极管的优点在于可满足客户在重量、体积、便携性和可靠性等方面的需求,因此受到用户的欢迎。
它具有超低噪声、超小尺寸、低延时、低成本以及可靠耐用等特点,使广大用户可以得到更可靠的保证。
rs1m贴片二极管的参数RS1M贴片二极管是一种常用的电子元件,主要用于电路中的保护和整流功能。
下面将详细介绍RS1M贴片二极管的参数及其特性。
参数一:封装类型RS1M贴片二极管的封装类型为DO-214AC(SMA)。
参数二:最大额定电流RS1M贴片二极管的最大额定电流为1A。
这意味着在正常工作情况下,它可以承受的最大电流为1A。
参数三:最大反向电压RS1M贴片二极管的最大反向电压为1000V。
在正常工作情况下,它可以承受的最大反向电压为1000V。
参数四:反向恢复时间RS1M贴片二极管的反向恢复时间为50ns。
这是指当二极管从正向工作状态切换到反向阻断状态时,需要消耗的时间。
参数五:正向开启电压RS1M贴片二极管的正向开启电压为1.0V。
当二极管处于正向导通状态时,需要施加大于1.0V的电压才能使其正常导通。
参数六:最大导通压降RS1M贴片二极管的最大导通压降为 1.1V。
这是指在正常工作情况下,当二极管导通时,二极管的导通状态中存在的电压降。
参数七:最大反向漏电流RS1M贴片二极管的最大反向漏电流为5μA。
在正常工作情况下,当二极管处于反向阻断状态时,存在的最大反向漏电流。
参数八:存储温度范围RS1M贴片二极管的存储温度范围为-65℃至+175℃。
这是指在无功率应用条件下,二极管可以安全存放的温度范围。
参数九:工作温度范围RS1M贴片二极管的工作温度范围为-55℃至+150℃。
这是指在正常工作条件下,二极管可以安全工作的温度范围。
参数十:应用领域RS1M贴片二极管主要用于电路保护和整流功能。
它可以在电源、逆变器、电器设备等多个领域中使用,起到保护电路的作用,并将交流电转换为直流电。
总结:RS1M贴片二极管是一种常用的电子元件,具有1A的最大额定电流,1000V的最大反向电压,50ns的反向恢复时间,1.0V的正向开启电压,1.1V的最大导通压降,5μA的最大反向漏电流,适用于-55℃至+150℃的工作温度范围,-65℃至+175℃的存储温度范围。