概率论的公式大全
- 格式:docx
- 大小:36.97 KB
- 文档页数:3
概率论与数理统计公式大全一、概率基本公式1.事件的概率:对于事件A,在随机试验中发生的次数记为n(A),则事件A的概率为P(A)=n(A)/n,其中n为试验总次数。
2.互斥事件的概率:对于互斥事件A和B,有P(A∪B)=P(A)+P(B)。
3.事件的余事件概率:设事件A为必然事件,全集的概率为P(S)=1,事件A的余事件为A',则有P(A')=1-P(A)。
4.条件概率:对于两个事件A和B,假设事件B已经发生,事件A发生的概率记为P(A,B),则P(A,B)=P(A∩B)/P(B)。
二、随机变量及其概率分布1.离散型随机变量:设X是一个离散型随机变量,其概率函数为P(X=k),其中k为X的取值,概率函数满足P(X=k)≥0,且∑P(X=k)=12. 连续型随机变量:设X是一个连续型随机变量,其概率密度函数为f(x),概率密度函数满足f(x)≥0,且∫f(x)dx = 13. 随机变量的数学期望:对于离散型随机变量X,其数学期望为E(X) = ∑k*P(X=k);对于连续型随机变量X,其数学期望为E(X)=∫xf(x)dx。
4. 随机变量的方差:对于离散型随机变量X,其方差为Var(X) =E(X^2) - [E(X)]^2;对于连续型随机变量X,其方差为Var(X) = E(X^2) - [E(X)]^2三、常见的概率分布1.伯努利分布:表示一次实验成败的概率分布,概率函数为P(X=k)=p^k(1-p)^(1-k),其中0≤p≤12.二项分布:表示n次独立重复的伯努利试验中成功次数的概率分布,概率函数为P(X=k)=C(n,k)*p^k(1-p)^(n-k),其中C(n,k)为组合数。
3. 泊松分布:表示单位时间或单位面积内发生事件次数的概率分布,概率函数为P(X=k) = (lambda^k)/(k!)*e^(-lambda),其中lambda为平均发生率。
4.均匀分布:表示在一个区间内取值相等的概率分布,概率密度函数为f(x)=1/(b-a),其中[a,b]为区间。
概率问题基本公式
概率问题基本公式有以下几种:
1. 总体概率公式:P(A) = n(A) / n(S),其中P(A)表示事件A发生的概率,n(A)表示事件A包含的样本点数,n(S)表示样本空间中的总样本点数。
2. 条件概率公式:P(A|B) = P(A∩B) / P(B),其中P(A|B)表示在事件B发生的条件下事件A发生的概率,P(A∩B)表示事件A 和事件B同时发生的概率,P(B)表示事件B的概率。
3. 乘法法则:P(A∩B) = P(A) * P(B|A),其中P(A∩B)表示事件A和事件B同时发生的概率,P(A)表示事件A发生的概率,P(B|A)表示在事件A发生的条件下事件B发生的概率。
4. 加法法则:P(A∪B) = P(A) + P(B) - P(A∩B),其中P(A∪B)表示事件A和事件B至少发生一个的概率,P(A)和P(B)分别表示事件A和事件B分别发生的概率,P(A∩B)表示事件A和事件B同时发生的概率。
5. 全概率公式:P(A) = ∑[P(A|Bi) * P(Bi)],其中P(A)表示事件A发生的概率,P(A|Bi)表示在事件Bi发生的条件下事件A发生的概率,P(Bi)表示事件Bi发生的概率,∑表示对所有可能的Bi进行求和。
这些公式是概率论中的基本公式,常用于求解概率问题。
概率论的公式大全概率论是数学中研究随机事件的理论,它用于描述事件发生的可能性,并通过概率的计算和分析来预测、评估和决策。
下面给出一些概率论中常用的公式,帮助你更好地理解和运用概率论。
1.概率定义公式:P(A)=N(A)/N,表示事件A发生的概率,N(A)代表事件A发生的次数,N代表试验的总次数。
2.互补事件公式:P(A')=1-P(A),表示事件A的补事件发生的概率。
3.加法公式:P(A∪B)=P(A)+P(B)-P(A∩B),表示事件A或B发生的概率。
4.独立事件公式:P(A∩B)=P(A)*P(B),表示事件A和事件B同时发生的概率,当事件A和事件B相互独立时成立。
5.条件概率公式:P(A,B)=P(A∩B)/P(B),表示事件B已经发生时事件A发生的概率。
6.乘法公式:P(A∩B)=P(A,B)*P(B),也可以写作P(A∩B)=P(B,A)*P(A),表示事件A和事件B同时发生的概率。
7.全概率公式:P(A)=ΣP(A,Bᵢ)*P(Bᵢ),表示事件A发生的概率,Bᵢ代表一组互不相容且构成样本空间的事件。
8.贝叶斯公式:P(B,A)=P(A,B)*P(B)/P(A),表示在事件A发生的条件下,事件B发生的概率。
9.随机变量的概率公式:P(X=x)≥0,表示随机变量X取值为x的概率非负。
10.随机变量期望公式:E(X)=ΣxP(X=x)*x,表示随机变量X的期望或均值。
11.随机变量方差公式:Var(X) = E[(X - µ)²],表示随机变量X的方差,其中µ为X的期望。
12.二项分布公式:P(X=k)=C(n,k)*p^k*q^(n-k),表示n次独立重复实验中,事件发生k次的概率,其中,C(n,k)为组合数,p为事件发生的概率,q为事件不发生的概率。
13.泊松分布公式:P(X=k)=e^(-λ)*(λ^k)/k!,表示单位时间或空间中,事件发生了k次的概率,λ为事件发生率。
第一章随机事件和概率(1)排列组合公式从m个人中挑出n个人进行排列的可能数。
从m个人中挑出n个人进行组合的可能数。
(2)加法和乘法原理加法原理(两种方法均能完成此事):m+n某件事由两种方法来完成,第一种方法可由m种方法完成,第二种方法可由n 种方法来完成,则这件事可由m+n 种方法来完成。
乘法原理(两个步骤分别不能完成这件事):m×n某件事由两个步骤来完成,第一个步骤可由m种方法完成,第二个步骤可由n 种方法来完成,则这件事可由m×n 种方法来完成。
(3)一些常见排列重复排列和非重复排列(有序)对立事件(至少有一个)顺序问题(4)随机试验和随机事件如果一个试验在相同条件下可以重复进行,而每次试验的可能结果不止一个,但在进行一次试验之前却不能断言它出现哪个结果,则称这种试验为随机试验。
试验的可能结果称为随机事件。
(5)基本事件、样本空间和事件在一个试验下,不管事件有多少个,总可以从其中找出这样一组事件,它具有如下性质:①每进行一次试验,必须发生且只能发生这一组中的一个事件;②任何事件,都是由这一组中的部分事件组成的。
这样一组事件中的每一个事件称为基本事件,用来表示。
基本事件的全体,称为试验的样本空间,用表示。
一个事件就是由中的部分点(基本事件)组成的集合。
通常用大写字母A,B,C,…表示事件,它们是的子集。
为必然事件,Ø为不可能事件。
不可能事件(Ø)的概率为零,而概率为零的事件不一定是不可能事件;同理,必然事件(Ω)的概率为1,而概率为1的事件也不一定是必然事件。
(6)事件的关系与运算①关系:如果事件A的组成部分也是事件B的组成部分,(A发生必有事件B发生):如果同时有,,则称事件A与事件B等价,或称A等于B:A=B。
A、B中至少有一个发生的事件:A B,或者A+B。
属于A而不属于B的部分所构成的事件,称为A与B的差,记为A-B,也可表示为A-AB或者,它表示A发生而B不发生的事件。
概率论与数理统计公式大全概率论和数理统计作为数学的两个重要分支,被广泛应用于各个领域。
无论是在学术研究还是实际应用中,熟悉并掌握相关的公式是非常重要的。
本文将为您提供概率论与数理统计公式的大全,帮助您更好地理解和应用这两门学科。
一、概率论公式1. 概率公式- 概率的定义:P(A) = N(A) / N(S),其中P(A)表示事件A发生的概率,N(A)代表事件A的样本点个数,N(S)表示样本空间中的样本点总数。
- 加法法则:P(A∪B) = P(A) + P(B) - P(A∩B),其中P(A∪B)表示事件A或事件B发生的概率,P(A∩B)表示事件A和事件B同时发生的概率。
- 乘法法则:P(A∩B) = P(A) × P(B|A),其中P(B|A)表示在事件A 发生的条件下,事件B发生的概率。
2. 条件概率公式- 条件概率的定义:P(A|B) = P(A∩B) / P(B),其中P(A|B)表示在事件B发生的条件下,事件A发生的概率。
- 全概率公式:P(A) = ∑[P(Bi) × P(A|Bi)],其中Bi为样本空间的一个划分,P(Bi)表示事件Bi发生的概率,P(A|Bi)表示在事件Bi发生的条件下,事件A发生的概率。
3. 事件独立性公式- 事件A和事件B独立的定义:P(A∩B) = P(A) × P(B),即事件A和事件B同时发生的概率等于事件A发生的概率乘以事件B发生的概率。
- 事件的相互独立:若对于任意的事件A1,A2,...,An,有P(A1∩A2∩...∩An) = P(A1) × P(A2) × ... × P(An),则称事件A1,A2,...,An相互独立。
4. 随机变量- 随机变量的定义:随机变量X是样本空间到实数集的映射。
- 随机变量的分布函数:F(x) = P(X≤x),表示随机变量X小于等于x的概率。
- 随机变量的概率密度函数(连续型随机变量):f(x)是非负函数,且对于任意实数区间[a, b],有P(a≤X≤b) = ∫[a, b]f(x)dx。
第一章随机事件和概率(1)排列组合公式从m个人中挑出n个人进行排列的可能数。
从m个人中挑出n个人进行组合的可能数。
(2)加法和乘法原理加法原理(两种方法均能完成此事):m+n某件事由两种方法来完成,第一种方法可由m种方法完成,第二种方法可由n 种方法来完成,则这件事可由m+n 种方法来完成。
乘法原理(两个步骤分别不能完成这件事):m×n某件事由两个步骤来完成,第一个步骤可由m种方法完成,第二个步骤可由n 种方法来完成,则这件事可由m×n 种方法来完成。
(3)一些常见排列重复排列和非重复排列(有序)对立事件(至少有一个)顺序问题(4)随机试验和随机事件如果一个试验在相同条件下可以重复进行,而每次试验的可能结果不止一个,但在进行一次试验之前却不能断言它出现哪个结果,则称这种试验为随机试验。
试验的可能结果称为随机事件。
(5)基本事件、样本空间和事件在一个试验下,不管事件有多少个,总可以从其中找出这样一组事件,它具有如下性质:①每进行一次试验,必须发生且只能发生这一组中的一个事件;②任何事件,都是由这一组中的部分事件组成的。
这样一组事件中的每一个事件称为基本事件,用来表示。
基本事件的全体,称为试验的样本空间,用表示。
一个事件就是由中的部分点(基本事件)组成的集合。
通常用大写字母A,B,C,…表示事件,它们是的子集。
为必然事件,Ø为不可能事件。
不可能事件(Ø)的概率为零,而概率为零的事件不一定是不可能事件;同理,必然事件(Ω)的概率为1,而概率为1的事件也不一定是必然事件。
(6)事件的关系与运算①关系:如果事件A的组成部分也是事件B的组成部分,(A发生必有事件B发生):如果同时有,,则称事件A与事件B等价,或称A等于B:A=B。
A、B中至少有一个发生的事件:A B,或者A+B。
属于A而不属于B的部分所构成的事件,称为A与B的差,记为A-B,也可表示为A-AB或者,它表示A发生而B不发生的事件。
第一章P(A+B)=P(A)+P(B)- P(AB)特别地,当A 、B 互斥时, P(A+B)=P(A)+P(B) 条件概率公式概率的乘法公式全概率公式:从原因计算结果Bayes 公式:从结果找原因第二章二项分布(Bernoulli 分布)——X~B(n,p)泊松分布——X~P(λ)概率密度函数怎样计算概率均匀分布X~U(a,b)指数分布X~Exp (θ))()()|(B P AB P B A P =)|()()(B A P B P AB P =)|()(A B P A P =∑==nk k k B A P B P A P 1)|()()(∑==nk k k i i k B A P B P B A P B P A B P 1)|()()|()()|(),...,1,0()1()(n k p p C k X P k n k k n =-==-,,...)1,0(!)(===-k e k k X P k,λλ1)(=⎰+∞∞-dx x f )(b X a P ≤≤⎰=≤≤badxx f b X a P )()(1),(0≤≤y x F },{),(y Y x X P y x F ≤≤=)(1)(b x a ab x f ≤≤-=分布函数对离散型随机变量对连续型随机变量分布函数与密度函数的重要关系:二元随机变量及其边缘分布 分布规律的描述方法联合密度函数 联合分布函数联合密度与边缘密度离散型随机变量的独立性连续型随机变量的独立性第三章数学期望离散型随机变量,数学期望定义连续型随机变量,数学期望定义● E(a)=a ,其中a 为常数● E(a+bX)=a+bE(X),其中a 、b 为常数)0(1)(/≥=-x e x f x θθ∑≤==≤=x k k X P x X P x F )()()(⎰∞-=≤=x dtt f x X P x F )()()(⎰∞-=≤=xdt t f x X P x F )()()(),(y x f ),(y x F 0),(≥y x f 1),(=⎰⎰+∞∞-+∞∞-dxdy y x f ⎰+∞∞-=dyy x f x f X ),()(⎰+∞∞-=dxy x f y f Y ),()(}{}{},{j Y P i X P j Y i X P =====)()(),(y f x f y x f Y X =∑+∞-∞=⋅=k k kP xX E )(⎰+∞∞-⋅=dxx f x X E )()()()('x f x F =E(X+Y)=E(X)+E(Y),X 、Y 为任意随机变量随机变量g(X)的数学期望常用公式方差 定义式常用计算式常用公式当X 、Y 相互独立时:方差的性质D(a)=0,其中a 为常数D(a+bX)=b2D(X),其中a 、b 为常数当X 、Y 相互独立时,D(X+Y)=D(X)+D(Y) 协方差与相关系数∑=kkk p x g X g E )())((∑∑=ijiji p x X E )(dxdyy x xf X E ⎰⎰=),()()()()(Y E X E Y X E +=+∑∑=ijijj i p y x XY E )(dxdyy x xyf XY E ⎰⎰=),()()()()(,Y E X E XY E Y X =独立时与当()⎰+∞∞-⋅-=dxx f X E x X D )()()(2[]22)()()(X E X E X D -=))}())(({(2)()()(Y E Y X E X E Y D X D Y X D --++=+)()()(Y D X D Y X D +=+)()()(),(Y E X E XY E Y X Cov -=)()(),(Y D X D Y X Cov XY =ρ[][]{})()()()()(Y E X E XY E Y E Y X E X E -=--协方差的性质独立与相关 独立必定不相关 相关必定不独立 不相关不一定独立 第四章正态分布标准正态分布的概率计算 标准正态分布的概率计算公式)()()(a a Z P a Z P Φ=<=≤)(1)()(a a Z P a Z P Φ-=>=≥)()()(a b b Z a P Φ-Φ=≤≤1)(2)()()(-Φ=-Φ-Φ=≤≤-a a a a Z a P一般正态分布的概率计算一般正态分布的概率计算公式第五章())()()(),(22X D X E X E X X Cov =-=),(),(Y X abCov bY aX Cov =),(),(),(Z Y Cov Z X Cov Z Y X Cov +=+),(~2σμN X 222)(21)(σμσπ--=x e x f 2)(,)(σμ==X D X E )(1)(a a -Φ-=Φ)1,0(~),(~2N X Z N X σμσμ-=⇔)()()(σμ-Φ=<=≤a a X P a X P )(1)()(σμ-Φ-=>=≥a a X P a X P ()()(σμσμ-Φ--Φ=≤≤a b b X a P卡方分布t 分布F 分布正态总体条件下 样本均值的分布:样本方差的分布:两个正态总体的方差之比第六章点估计:参数的估计值为一个常数 矩估计最大似然估计 似然函数均值的区间估计——大样本结果)(~)1,0(~212n X N X ni i χ∑=,则若())(~1),,(~21222n Y N Y ni iχμσσμ∑=-则若),(~//),(~),(~21212212n n F n V n U n V n U 则若χχ),(~2n N X σμ)1,0(~/N n X σμ-)1(~)1(222--n S n χσ)1(~/--n t n s X μ)1,1(~//2122212221--n n F S S σσ);(1θi ni x f L ∏==);(1θi ni x p L ∏==⎪⎭⎫ ⎝⎛±n z x σα2/正态分布的分位点—大样本要求样本容量—代替准差通常未知,可用样本标标准差—样本均值—2/)50()(ασz n ns x >⎪⎪⎭⎫ ⎝⎛-±n p p z p )1(2/α正态分布的分位点—大样本要求样本容量—样本比例—2/)50(αz n np >则若),(~),1,0(~2n Y N X χ)(~/n t nY X正态总体方差的区间估计两个正态总体均值差的置信区间大样本或正态小样本且方差已知 两个正态总体方差比的置信区间第七章假设检验的步骤① 根据具体问题提出原假设H0和备择假设H1 ② 根据假设选择检验统计量,并计算检验统计值③ 看检验统计值是否落在拒绝域,若落在拒绝域则拒绝原假设,否则就不拒绝原假设。
概率论与数理统计基本公式第一部分 概率论基本公式1、A BA B AAB; A BA(B A) 2、对偶率: AB A B ;ABA B .3、概率性率:P ( A B ) P( A) P(AB ), 特别, BA 时有:P( A B) P( A) P(B); P(A) P(B)有限可加: A 1、 A 2 为不相容事件,则 P( A 1A 2 ) P( A 1)P(A 2 )对任意两个事件有:P( AB)P( A) P( B)P( AB)4、古典概型例: n 双鞋总共 2n 只,分为 n 堆,每堆为 2只,事件 A 每堆自成一双鞋的概率 解:分堆法: C 22 n( (2n)!,自成一双为: n !,则 P( A)n!!!22n - 2) 2C2n5、条件概率P(B | A)P( AB), 称为在事件 A 条件下,事件 B 的条件概率, P( B)称为无条件概率。
P( A)乘法公式: P(AB)P(A)P(B | A) P(AB)P(B)P(A | B)全概率公式: P(B)P(A i )P(B | A i )i贝叶斯公式: P(A i | B)P( A i B)P( A i )P(B | A i )P( B) P( A j )P( B | A j )j例:有三个罐子, 1 号装有 2 红1黑共 3个球,2号装有 3红1黑 4个球,3 号装有 2 红 2黑 4 个球,某人随机从其中一罐,再从该罐中任取一个球, ( 1)求取得红球的概率; ( 2)如果取得是红球,那么是从第一个罐中取出的概率为多少?解: 设B i { 球取自 i 号罐 } , i。
{ 取得是红球 } ,由题知、、是一个完备事件(1) 1,2,3 AB 1B 2B 3由全概率公式 P( B)P( A i )P( B | A i ),依题意,有: P( A | B 1 )2;P(A|B 2)3;P(A|B 3) 1 .i342P( B 1)P(B 2 ) P( B 3 )1, P( A) 0.639.3(2)由贝叶斯公式: P(B 1 | A)P( A | B 1)P(B 1)0.348.P( A)6、独立事件( 1) P(AB)=P(A)P(B), 则称 A 、 B 独立。
概率论的公式大全1.基本概率公式:对于一个随机事件A,它发生的概率(记作P(A))等于A包含的元素数目除以样本空间中元素的总数目。
P(A)=个数(A)/个数(样本空间)2.条件概率公式:对于两个事件A和B,如果B已经发生,则A发生的概率记作P(A,B)。
P(A,B)=P(A交B)/P(B)3.全概率公式:对于一系列互不相容的事件B1,B2,...,Bn,它们的并集等于样本空间,那么对于另一个事件A,可以用条件概率公式表示为:P(A)=Σ(P(A,Bi)*P(Bi)),i=1到n4.贝叶斯定理:对于一系列互不相容的事件B1,B2,...,Bn,它们的并集等于样本空间,那么对于另一个事件A,可以用条件概率公式表示为:P(Bi,A)=(P(A,Bi)*P(Bi))/Σ(P(A,Bj)*P(Bj)),j=1到n5.独立事件公式:对于两个事件A和B,如果它们相互独立(即A的发生与B的发生没有任何关系),则它们的联合概率等于它们的乘积。
P(A交B)=P(A)*P(B)6.乘法公式:对于一系列独立事件A1,A2,...,An,它们的概率等于各个事件发生的概率的乘积。
P(A1交A2交...交An)=P(A1)*P(A2)*...*P(An)7.加法公式:对于两个事件A和B,它们的并集的概率等于各个事件发生的概率之和减去它们的交集的概率。
P(A并B)=P(A)+P(B)-P(A交B)8.期望值公式:对于一个随机变量X和它的概率分布P(X),它的期望值可以表示为:E(X)=Σ(Xi*P(Xi))9.方差公式:对于一个随机变量X和它的期望值E(X),它的方差可以表示为:Var(X) = Σ((Xi - E(X))^2 * P(Xi)),i为X的取值范围内的索引10.协方差公式:对于两个随机变量X和Y,它们的协方差可以表示为:Cov(X, Y) = E((X - E(X)) * (Y - E(Y)))11.相关系数公式:对于两个随机变量X和Y,它们的相关系数可以表示为:Corr(X, Y) = Cov(X, Y) / (σ(X) * σ(Y)),其中σ(X)和σ(Y)分别是X和Y的标准差12.大数定律:对于独立同分布的随机变量序列X1,X2,...,Xn,当n趋向于无穷大时,它们的算术平均值逐渐接近它们的期望值。
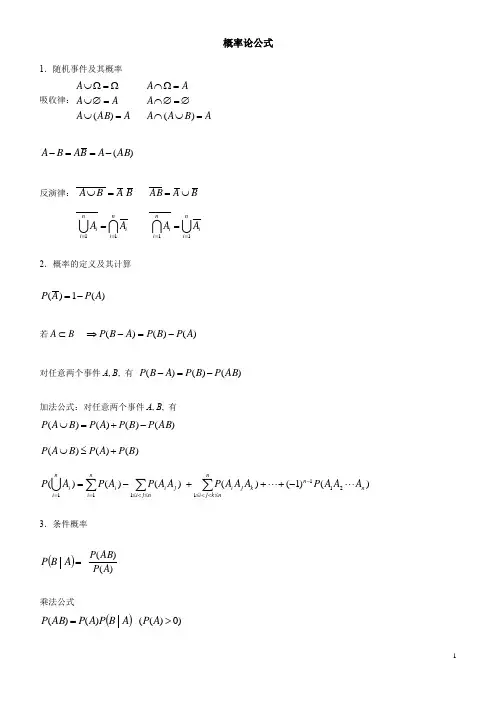
概率论公式1.随机事件及其概率吸收律:A AB A A A A =⋃=∅⋃Ω=Ω⋃)( AB A A A AA =⋃⋂∅=∅⋂=Ω⋂)()(AB A B A B A -==-反演律:B A B A =⋃ B A AB ⋃=n i i n i i A A 11=== ni i n i i A A 11===2.概率的定义及其计算)(1)(A P A P -=若B A ⊂ )()()(A P B P A B P -=-⇒对任意两个事件A , B , 有 )()()(AB P B P A B P -=-加法公式:对任意两个事件A , B , 有)()()()(AB P B P A P B A P -+=⋃)()()(B P A P B A P +≤⋃)()1()()()()(2111111n n nnk j i k j i n j i j i n i i n i i A A A P A A A P A A P A P A P -≤<<≤≤<≤==-+++-=∑∑∑3.条件概率()=A B P )()(A P AB P乘法公式())0)(()()(>=A P A B P A P AB P()())0)(()()(12112112121>=--n n n n A A A P A A A A P A A P A P A A A P全概率公式∑==n i i AB P A P 1)()( )()(1i ni i B A P B P ⋅=∑=Bayes 公式)(A B P k )()(A P AB P k = ∑==n i i i k k B A P B P B AP B P 1)()()()(4.随机变量及其分布分布函数计算)()()()()(a F b F a X P b X P b X a P -=≤-≤=≤<5.离散型随机变量(1) 0 – 1 分布1,0,)1()(1=-==-k p p k X P k k(2) 二项分布 ),(p n B若P ( A ) = pn k p p C k X P k n kk n ,,1,0,)1()( =-==-*Possion 定理0lim >=∞→λn n np有,2,1,0!)1(lim ==---∞→k k e p p C kkn n k n k n n λλ(3) Poisson 分布 )(λP,2,1,0,!)(===-k k e k X P kλλ6.连续型随机变量(1) 均匀分布 ),(b a U⎪⎩⎪⎨⎧<<-=其他,0,1)(b x a a b x f⎪⎪⎩⎪⎪⎨⎧--=1,,0)(a b ax x F(2) 指数分布 )(λE⎪⎩⎪⎨⎧>=-其他,00,)(x e x f x λλ⎩⎨⎧≥-<=-0,10,0)(x e x x F x λ(3) 正态分布 N (μ , σ 2 )+∞<<∞-=--x e x f x 222)(21)(σμσπ⎰∞---=xt t e x F d 21)(222)(σμσπ*N (0,1) — 标准正态分布 +∞<<∞-=-x e x x 2221)(πϕ +∞<<∞-=Φ⎰∞--x t e x x t d 21)(22π7.多维随机变量及其分布二维随机变量( X ,Y )的分布函数 ⎰⎰∞-∞-=xy dvdu v u f y x F ),(),(边缘分布函数与边缘密度函数⎰⎰∞-+∞∞-=xX dvdu v u f x F ),()(⎰+∞∞-=dv v x f x f X ),()(⎰⎰∞-+∞∞-=y Y dudv v u f y F ),()(⎰+∞∞-=du y u f y f Y ),()(8. 连续型二维随机变量(1) 区域G 上的均匀分布,U ( G )⎪⎩⎪⎨⎧∈=其他,0),(,1),(G y x A y x f(2)二维正态分布+∞<<-∞+∞<<∞-⨯-=⎥⎥⎦⎤⎢⎢⎣⎡-+------y x ey x f y y x x ,121),(2222212121212)())((2)()1(21221σμσσμμρσμρρσπσ9.二维随机变量的 条件分布 0)()()(),(>=x f x y f x f y x f X X Y X 0)()()(>=y f y x f y f Y Y X Y⎰⎰+∞∞-+∞∞-==dy y f y x f dy y x f x f Y Y X X )()(),()( ⎰⎰+∞∞-+∞∞-==dx x f x y f dx y x f y f X X Y Y )()(),()()(y x f Y X )(),(y f y x f Y = )()()(y f x f x y f Y X X Y =)(x y f X Y )(),(x f y x f X = )()()(x f y f y x f X Y Y X =10.随机变量的数字特征数学期望∑+∞==1)(k k k p x X E⎰+∞∞-=dx x xf X E )()(随机变量函数的数学期望X 的 k 阶原点矩)(k X EX 的 k 阶绝对原点矩)|(|k X EX 的 k 阶中心矩)))(((k X E X E -X 的 方差)()))(((2X D X E X E =-X ,Y 的 k + l 阶混合原点矩)(l k Y X EX ,Y 的 k + l 阶混合中心矩()l k Y E Y X E X E ))(())((--X ,Y 的 二阶混合原点矩)(XY EX ,Y 的二阶混合中心矩 X ,Y 的协方差 ()))())(((Y E Y X E X E --X ,Y 的相关系数XY Y D X D Y E Y X E X E ρ=⎪⎪⎭⎫⎝⎛--)()())())(((X 的方差D (X ) =E ((X - E (X ))2))()()(22X E X E X D -=协方差()))())(((),cov(Y E Y X E X E Y X --= )()()(Y E X E XY E -= ())()()(21Y D X D Y X D --±±=相关系数)()(),cov(Y D X D Y X XY =ρ。
概率论常⽤公式 有些概率公式常常会⼀段时间内要⽤到,但是有经常忘记,这⾥备注⼀下1、乘法法则 p\left ( x,y \right )=p\left ( x|y \right )p\left ( y \right )=p\left ( y|x \right )p\left ( x \right ) 实际上就是条件概率公式的⼀个等价形式2、独⽴性 如果x和y是相互独⽴的,那么有: p\left ( x, y \right ) = p\left ( x\right )p\left ( y\right )3、贝叶斯规则(Bayes' Rule) 贝叶斯规则⼜成为贝叶斯公式,在许多领域都有着⼴泛的应⽤,其公式如下: p\left ( y|x \right )=\frac{p\left ( x|y \right )p\left ( y \right )}{p\left ( x \right )} 分母是标准化常数,⽤于确保左边的后验概率其所有可能的值之和为1。
因此,我们通常可写成: p\left ( y|x \right )=\eta p\left ( x|y \right )p\left ( x \right ) 在给定背景知识e给定的情况下,贝叶斯变成:p\left ( y|x,e \right )=\frac{p\left ( x|y,e \right )p\left ( y|e \right )}{p\left ( x|e \right )}4、边缘化 边缘概率公式如下: p\left ( x \right )= \int_{y}^{ } p\left ( x,y \right )dy 在离散的情况下,积分变成求和: p\left ( x \right )= \sum_{y}^{ } p\left ( x,y \right ) 5、全概率法则 全概率是边缘概率的⼀种变体,能通过乘法法则推导⽽来,即: p\left ( x \right )= \int_{y}^{ } p\left ( x|y \right )p\left ( y \right )dy 且,对于离散情况则为相应概率之和,即: p\left ( x \right )= \sum_{y}^{ } p\left ( x|y \right )p\left ( y \right )dy 对于连续情况,条件概率的全概率公式:p\left ( x|y \right )= \int_{z}^{ } p\left ( x|y,z \right )p\left ( z|y \right )dz 对于离散情况,条件概率的全概率公式:p\left ( x|y \right )= \sum_{z}^{ } p\left ( x|y,z \right )p\left ( z|y \right )dz6、马尔科夫假设 马尔科夫假设是指变量x_{t},只与它直接的前⼀时刻状态x_{t-1}有关,和x_{t^{‘}-1}⽆关,其中t^{'}<t-1,则有 p\left ( x_{t}|x_{1:t-1} \right )= p\left(x_{t}|x_{t-1} \right)latax公式编辑器:,博客园只需要在选项中勾选⼀下“”即可。
概率论与数理统计公式大全一、概率论公式1.概率的基本性质:-非负性:对于任意事件A,有P(A)>=0;-规范性:对于必然事件S,有P(S)=1;-可列可加性:对于互不相容的事件Ai(i=1,2,...),有P(A1∪A2∪...)=P(A1)+P(A2)+...。
2.条件概率:-事件B发生的条件下,事件A发生的概率:P(A,B)=P(A∩B)/P(B);-乘法公式:P(A∩B)=P(A,B)*P(B)。
3.全概率公式:-事件A的概率:P(A)=ΣP(A,Bi)*P(Bi),其中Bi为样本空间的一个划分。
4.贝叶斯公式:-事件Bi发生的条件下,事件A发生的概率:P(Bi,A)=P(A,Bi)*P(Bi)/ΣP(A,Bj)*P(Bj),其中Bj为样本空间的一个划分。
5.独立性:-事件A与事件B相互独立的充要条件是P(A∩B)=P(A)*P(B)。
二、数理统计公式1.随机变量的概率分布:-离散型随机变量的概率分布函数:P(X=x);-连续型随机变量的概率密度函数:f(x)。
2.数理统计的基本概念:-样本均值:X̄=ΣXi/n;-样本方差:s^2=Σ(Xi-X̄)^2/(n-1);-样本标准差:s=√s^2;- 样本协方差:sxy = Σ(Xi-X̄)(Yi-Ȳ) / (n-1)。
3.大数定律:-样本均值的大数定律:当样本容量n趋向于无穷大时,样本均值X̄趋向于总体均值μ。
4.中心极限定理:-样本均值的中心极限定理:当样本容量n足够大时,样本均值X̄服从近似正态分布。
5.参数估计:-点估计:用样本统计量对总体参数进行估计;-置信区间估计:用样本统计量构造一个区间,以估计总体参数的范围。
6.假设检验:-假设检验的基本步骤:提出原假设H0和备择假设H1,选择适当的检验统计量,计算拒绝域,进行假设检验。
以上只是概率论与数理统计中的一些重要公式和定理,还有很多其他的公式和定理没有一一列举。
掌握这些公式和定理,可以帮助我们更好地理解和应用概率论与数理统计的知识。
概率论的公式大全一、基本概率公式:1.定义概率公式:对于任意事件A,概率P(A)的范围是[0,1]。
2.互补事件概率公式:对于任意事件A,概率P(A')=1-P(A)。
3.空集概率公式:对于空集Φ,概率P(Φ)=0。
二、条件概率公式:4.定义条件概率公式:对于事件A和B,当P(B)>0时,条件概率P(A,B)=P(A∩B)/P(B)。
5.乘法公式:对于事件A和B,P(A∩B)=P(A,B)·P(B)。
三、独立事件公式:6.独立事件公式:对于事件A和B,当P(A)>0且P(B)>0,事件A和事件B相互独立的充要条件是P(A∩B)=P(A)·P(B)。
7.乘法公式(多个独立事件):对于事件A1,A2,...,An,P(A1∩A2∩...∩An)=P(A1)·P(A2)·...·P(An)。
四、加法公式:8.加法公式(两个互不相容事件):对于事件A和B,当A和B互不相容(即A∩B=Φ)时,P(A∪B)=P(A)+P(B)。
9.加法公式(两个一般事件):对于事件A和B,P(A∪B)=P(A)+P(B)-P(A∩B)。
五、全概率公式:10.全概率公式:对于任意一系列互不相容的事件B1,B2,...,Bn,且每个事件Bi的概率大于0且小于1,且它们的并集为样本空间S,则对于任意事件A,有P(A)=Σ[P(A,Bi)·P(Bi)],其中Σ表示求和。
六、贝叶斯公式:11.贝叶斯公式:对于事件A和一系列互不相容的事件B1,B2,...,Bn,且每个事件Bi的概率大于0且小于1,且它们的并集为样本空间S,则对于任意事件A,有P(Bi,A)=P(A,Bi)·P(Bi)/[Σ[P(A,Bj)·P(Bj)]],其中Σ表示求和。
七、期望与方差公式:12.期望公式:对于随机变量X的概率分布函数P(x),它的期望E(X)定义为E(X)=Σ[x·P(x)],其中Σ表示求和。
概率论集合公式
一、基本集合运算公式。
1. 并集公式。
- 对于任意两个事件A和B,P(A∪ B)=P(A)+P(B)-P(A∩ B)。
- 如果A和B是互斥事件(即A∩ B = varnothing),那么P(A∪
B)=P(A)+P(B)。
2. 交集公式。
- P(A∩ B) = P(A)P(BA)(当P(A)>0时),这是条件概率下的交集公式,也可以写成P(A∩ B)=P(B)P(AB)(当P(B)>0时)。
3. 补集公式。
- 对于事件A,P(¯A) = 1 - P(A),其中¯A表示A的补集。
二、多个事件的公式。
1. 三个事件的并集公式。
- P(A∪ B∪ C)=P(A)+P(B)+P(C)-P(A∩ B)-P(A∩ C)-P(B∩ C)+P(A∩ B∩ C)。
2. 容斥原理(一般形式)
- 设A_1,A_2,·s,A_n是n个事件,则P(bigcup_i = 1^nA_i)=∑_i=1^nP(A_i)-
∑_1≤slant i
这些公式在解决概率论中的各种问题,如计算事件发生的概率、分析事件之间的关系等方面有着广泛的应用。
在人教版教材中,这些内容通常在高中数学选修2 - 3或者大学的概率论与数理统计教材中出现,通过大量的例题和练习可以加深对这些公式的理解和运用。
概率论与数理统计基本公式第一部分 概率论基本公式1、)(;A B A B A AB A B A B A -⋃=⋃-==--例:证明:成立。
得证。
成立,也即成立,也即(不发生,从而发生,则不发生,,知由(证明:(B A B A AB A B B A AB A B B B A B A B A AB A B B A --=-⋃-⋃-==-=-⋃--)).) 2、对偶率:.----⋃=⋂⋂=⋃B A B A B A B A ;3、概率性率:(1))()()(212121A P A P A A P A A +=⋃为不相容事件,则、有限可加:(2))()();()()(),()()(B P A P B P A P B A P A B AB P A P B A P ≥-=-⊂-=-时有:特别,(3))()()()(AB P B P A P B A P -+=⋃对任意两个事件有:)();();();()1(.4.0)(2.0)(5.0)(AB P B A P B A P AB P B P B A P A P ⋃-===--求:,,例:已知:.3.0)(1)(,7.0)()()()(3.0)()()(,5.0)(.,2.0)()()()(,=⋃-=⋃==-+=⋃=-=-∴===+∴=+---B A P B A P AB P AB P B P A P B A P AB P A P B A P A P AB P B P B A P AB P B A B B B A AB 又即是不相容事件,、且解:4、古典概型222n 2!)(n ,22)-n 2)!n 2(22nC n A P C A n n n ==!,则自成一双为:!!(解:分堆法:每堆自成一双鞋的概率只,事件堆,每堆为只,分为双鞋总共例: 5、条件概率称为无条件概率。
的条件概率,条件下,事件称为在事件)(,)()()|(B P B A A P AB P A B P =B)|P(B)P(A P(AB) A)|P(A)P(B P(AB)==乘法公式:)|()()(i i A B P A P B P i∑=全概率公式:)|()()|()()()()|(j j ji i i A B P A P A B P A P B P B A P B A P i ∑==贝叶斯公式:例:有三个罐子,1号装有2红1黑共3个球,2号装有3红1黑4个球,3号装有2红2黑4个球,某人随机从其中一罐,再从该罐中任取一个球,(1)求取得红球的概率;(2)如果取得是红球,那么是从第一个罐中取出的概率为多少?.348.0)()()|()|()2(.639.0)(31)()()(.21)|(;43)|(;32)|()|()()(}{3,2,1i }{)1(111321321i i 321≈=≈∴==========∑A P B P B A P A B P A P B P B P B P B A P B A P B A P A B P A P B P B B B A i B ii 由贝叶斯公式:,,依题意,有:由全概率公式是一个完备事件、、,由题知取得是红球。
概率论的公式大全
概率论是数学中的一门重要分支,用于研究随机事件的发生概率和规
律性。
下面是概率论中的一些常用公式和定理,供参考:
1.基本概率公式:
P(A)=n(A)/n(S)
其中,P(A)表示事件A发生的概率,n(A)表示事件A发生的情况数,
n(S)表示样本空间中所有事件发生的情况数。
2.加法定理:
P(A∪B)=P(A)+P(B)-P(A∩B)
其中,P(A∪B)表示事件A或事件B发生的概率,P(A∩B)表示事件A
和事件B发生的概率。
3.乘法定理:
P(A∩B)=P(B,A)×P(A)
其中,P(B,A)表示在事件A已经发生的条件下,事件B发生的概率。
4.互斥事件的概率:
若事件A和事件B互斥(即不能同时发生),则P(A∪B)=P(A)+P(B) 5.条件概率:
P(A,B)=P(A∩B)/P(B)
其中,P(A,B)表示在事件B已经发生的条件下,事件A发生的概率。
6.贝叶斯定理:
P(A,B)=P(B,A)×P(A)/P(B)
其中,P(A,B)表示在事件B已经发生的条件下,事件A发生的概率;P(B,A)表示在事件A已经发生的条件下,事件B发生的概率。
7.全概率公式:
P(A)=∑[P(A∩B_i)]
其中,事件B_1,B_2,...,B_n互斥且构成样本空间,P(B_i)不为0,
P(A∩B_i)表示事件A和事件B_i同时发生的概率。
8.期望值:
E(X)=∑[x_i×P(X=x_i)]
其中,X为随机变量,x_i为随机变量X的取值,P(X=x_i)为随机变
量X取值为x_i的概率。
9.方差:
Var(X) = E[(X - E(X))^2]
其中,X为随机变量。
10.协方差:
Cov(X, Y) = E[(X - E(X)) × (Y - E(Y))]
其中,X和Y为两个随机变量。
11.独立事件的概率:
若事件A和事件B独立,即P(A∩B)=P(A)×P(B)
12.独立随机变量的期望值:
E(XY)=E(X)×E(Y)
其中,X和Y为独立随机变量。
13.二项分布概率公式:
P(X=k)=C(n,k)×p^k×(1-p)^(n-k)
其中,X为进行n次独立的是/非试验中成功的次数,p为每次试验成功的概率。
14.正态分布概率密度函数:
f(x) = (1 / (σ√(2π))) × exp[-((x-μ)^2 / (2σ^2))]
其中,μ为均值,σ为标准差,exp[x]为自然指数函数。