信号与系统期末考试试题
- 格式:doc
- 大小:838.50 KB
- 文档页数:15
信号与系统期末考试试题(第二套)符号说明:为符号函数,为单位冲击信号,为单位脉冲序列,为单位阶跃信号,为单位阶跃序列。
一、填空(共30分,每小题3分)1. 已知,求。
2. 已知,求。
3. 信号通过系统不失真的条件为系统函数。
4. 若最高角频率为,则对取样的最大间隔是。
5. 信号的平均功率为。
6. 已知一系统的输入输出关系为,试判断该系统是否为线性时不变系统 。
7. 已知信号的拉式变换为,求该信号的傅立叶变换=。
8. 已知一离散时间系统的系统函数,判断该系统是否稳定。
9. 。
10. 已知一信号频谱可写为是一实偶函数,试问有何种对称性。
二、计算题(共50分,每小题10分)1.已知一LTI 系统当输入为时,输出为,试写出系统在输入为时的响应的时间表达式,并画出波形(上述各信号波形如图A-1所示)。
图A-12.已知信号的波形如图A-2所示,且。
)sgn(t )(t δ)(k δ)(t ε)(k ε)()4()(2t t t f ε+=_______)("=t f }4,2,4,3{)(},1,2,2,1{)(=-=k h k f ______)()(=*k h k f _______)(=ωj H )(t f m ω)4(t f ______t t t f ππ30cos 220cos 4)(+=______)3()(t f t y =______)1)(1(1)(2-+=s s s F )(ωj F ______2121)(---+=z z z H ______=+-+⎰∞∞-dt t t t )1()2(2δ______)(,)()(3ωωωωA e A j F j -=)(t f ______()t x 1()t y 1()t x 2()t y2()t x ()()ωj X t x ↔图A-2(1)试求的相位;(2)试求?(3)试求?3.已知线性时不变因果连续系统的频率响应函数(1)求系统的冲激响应;(2)若系统输入,求系统的零状态响应。
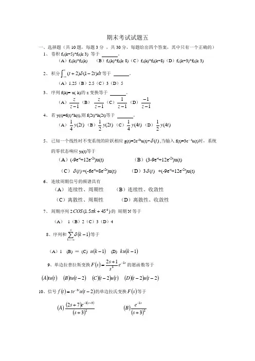
期末考试试题五一、选择题(共10题,每题3分 ,共30分,每题给出四个答案,其中只有一个正确的) 1、 卷积f 1(k+5)*f 2(k-3) 等于 。
(A )f 1(k)*f 2(k) (B )f 1(k)*f 2(k-8)(C )f 1(k)*f 2(k+8)(D )f 1(k+3)*f 2(k-3) 2、 积分dt t t ⎰∞∞--+)21()2(δ等于 。
(A )1.25(B )2.5(C )3(D )5 3、 序列f(k)=-u(-k)的z 变换等于 。
(A )1-z z (B )-1-z z(C )11-z (D )11--z4、 若y(t)=f(t)*h(t),则f(2t)*h(2t)等于 。
(A ))2(41t y (B ))2(21t y (C ))4(41t y (D ))4(21t y 5、 已知一个线性时不变系统的阶跃相应g(t)=2e -2t u(t)+)(t δ,当输入f(t)=3e —t u(t)时,系统的零状态响应y f (t)等于(A )(-9e -t +12e -2t )u(t) (B )(3-9e -t +12e -2t )u(t)(C ))(t δ+(-6e -t +8e -2t )u(t) (D )3)(t δ +(-9e -t +12e -2t )u(t)6、 连续周期信号的频谱具有(A ) 连续性、周期性 (B )连续性、收敛性 (C )离散性、周期性 (D )离散性、收敛性7、 周期序列2)455.1(0+k COS π的 周期N 等于(A ) 1(B )2(C )3(D )4 8、序列和()∑∞-∞=-k k 1δ等于(A )1 (B) ∞ (C) ()1-k u (D) ()1-k ku 9、单边拉普拉斯变换()se s s s F 2212-+=的愿函数等于 ()()t tu A ()()2-t tu B ()()()t u t C 2- ()()()22--t u t D 10、信号()()23-=-t u tet f t的单边拉氏变换()s F 等于()A ()()()232372+++-s e s s ()()223+-s e B s()()()2323++-s se C s ()()332++-s s e D s二、填空题(共9小题,每空3分,共30分)1、卷积和[(0.5)k+1u(k+1)]*)1(k -δ=________________________2、单边z 变换F(z)=12-z z的原序列f(k)=______________________ 3、已知函数f(t)的单边拉普拉斯变换F(s)=1+s s,则函数y(t)=3e -2t ·f(3t)的单边拉普拉斯变换Y(s)=_________________________4、频谱函数F(j ω)=2u(1-ω)的傅里叶逆变换f(t)=__________________5、单边拉普拉斯变换ss s s s F +++=2213)(的原函数f(t)=__________________________ 6、已知某离散系统的差分方程为)1(2)()2()1()(2-+=----k f k f k y k y k y ,则系统的单位序列响应h(k)=_______________________7、已知信号f(t)的单边拉氏变换是F(s),则信号⎰-=20)()(t dx x f t y 的单边拉氏变换Y(s)=______________________________8、描述某连续系统方程为()()()()()t f t f t y t y t y +=++''''52该系统的冲激响应h(t)=9、写出拉氏变换的结果()=t u 66 ,=kt 22三、(8分)已知信号()()()⎪⎩⎪⎨⎧><==↔./1,0,/1,1s rad s rad jw F j F t f ωωω设有函数()(),dt t df t s =求⎪⎭⎫⎝⎛2ωs 的傅里叶逆变换。
信号及系统期末考试试题及答案一、选择题(每题2分,共20分)1. 信号x(t)=3cos(2π(5t+π/4))是一个:A. 周期信号B. 非周期信号C. 随机信号D. 确定性信号2. 系统分析中,若系统对单位阶跃函数的响应为u(t)+2,则该系统为:A. 线性时不变系统B. 线性时变系统C. 非线性时不变系统D. 非线性时变系统3. 下列哪个是连续时间信号的傅里叶变换:A. X(k)B. X(n)C. X(f)D. X(z)4. 信号通过线性时不变系统后,其频谱:A. 仅发生相位变化B. 仅发生幅度变化C. 发生幅度和相位变化D. 不发生变化5. 单位脉冲函数δ(t)的拉普拉斯变换是:A. 1B. tC. e^(-st)D. 1/s二、简答题(每题5分,共10分)1. 解释什么是卷积,并给出卷积的数学表达式。
2. 说明傅里叶变换与拉普拉斯变换的区别。
三、计算题(每题15分,共30分)1. 给定连续时间信号x(t)=e^(-t)u(t),求其傅里叶变换X(f)。
2. 给定离散时间信号x[n]=u[n]-u[n-3],求其z变换X(z)。
四、分析题(每题15分,共30分)1. 分析信号x(t)=cos(ωt)+2cos(2ωt)通过理想低通滤波器后输出信号的表达式,其中滤波器的截止频率为ω/2。
2. 讨论线性时不变系统的稳定性,并给出判断系统稳定性的条件。
五、论述题(每题10分,共10分)1. 论述信号的采样定理及其在数字信号处理中的应用。
参考答案一、选择题1. A2. A3. C4. C5. A二、简答题1. 卷积是信号处理中的一种运算,它描述了信号x(t)通过系统h(t)时,输出信号y(t)的计算过程。
数学表达式为:y(t) = (x * h)(t) = ∫x(τ)h(t-τ)dτ。
2. 傅里叶变换用于连续时间信号的频域分析,而拉普拉斯变换则适用于连续时间信号,并且可以处理有初始条件的系统。
三、计算题1. X(f) = 3[δ(f-5) + δ(f+5)]。
信号与系统试题及答案(大学期末考试题)一、选择题(每题2分,共40分)1. 下列哪个信号是周期信号?A. 方波B. 单位冲激信号C. 随机信号D. 正弦信号答案:A2. 信号x(t)的拉普拉斯变换为X(s)。
若x(t)的区间平均功率为P,则X(s)的区间平均功率是多少?A. PB. 2πPC. P/2D. πP答案:D3. 系统的冲激响应为h(t)=e^(-2t)sin(3t)u(t)。
则该系统为什么类型的系统?A. 线性非时变系统B. 线性时不变系统C. 非线性非时变系统D. 非线性时不变系统答案:B4. 信号x(t)通过系统h(t)并得到输出信号y(t)。
若x(t)为周期为T的信号,则y(t)也是周期为T的信号。
A. 正确B. 错误答案:A5. 下列哪个信号不是能量有限信号?A. 常值信号B. 正弦信号C. 方波D. 三角波答案:B...二、填空题(每题4分,共40分)1. 离散傅里叶变换的计算复杂度为$O(NlogN)$。
答案:NlogN2. 系统函数$H(z) = \frac{1}{1-0.5z^{-1}}$的极点为0.5。
答案:0.5...三、简答题(每题10分,共20分)1. 请简要说明信号与系统的基本概念和关系。
答案:信号是波动的物理量的数学描述,而系统是对信号进行处理的方式。
信号与系统的关系在于信号作为系统的输入,经过系统处理后得到输出信号。
信号与系统的研究可以帮助我们理解和分析各种现实世界中的波动现象。
2. 请简要说明周期信号和非周期信号的区别。
答案:周期信号是在一定时间间隔内重复出现的信号,具有周期性。
非周期信号则不能被表示为简单的周期函数,不存在固定的重复模式。
...以上是关于信号与系统试题及答案的文档。
希望能对您的大学期末考试复习有所帮助。
祝您考试顺利!。
常熟理工学院20 ~20 学年第 学期信号与系统考试试卷试卷库01试题总分: 100 分 考试时限:120 分钟一、选择题15分,每题3分1、信号)(t f 波形如右图所示,则其表达式为 B ;A )]1()1([+--t u t u tB )]1()1([--+t u t u tC )]1()1([++-t u t u tD )]1()1([/1+--t u t u t2、下列说法错误的是 B ;A 系统的零状态响应包括自由响应和强迫响应两部分;B 若系统初始状态为零,则系统的零状态响应就是系统的强迫响应;C 零状态响应与系统起始状态无关,而由系统的激励信号产生;D 零输入响应与系统激励无关,而由系统的起始状态产生;3、已知()f t 的频谱函数为()F j ω,则()cos c f t t ω的频谱函数 为 A ;A[])()(21c c j j F j j F ωωωω-++ B [])()(21c c j j F j j F ωωωω--+ C [])()(21c c j j F j j F ωωωω+-- D [])()(41c c j j F j j F ωωωω--+4、已知)(t f 的拉普拉斯变换为)(s F ,则dtt df )(的单边..拉普拉斯变换为 B ; A. )(s sF B.)0()(--f s sF C. )0()(-+f s sF D. ⎰-∞-+0)(1)(ττd f ss sF5、已知1()f k 的Z 变换为1()F z ,2()f k 的Z 变换为2()F z ,则12()*()f k f k 的Z 变换结果为 C ;A 12()*()F z F zB 121()*()2F z F z π C 12()()F z F z D 121()()2F z F z π二、填空题15分,每题3分1、所谓线性系统是指其具有_________齐次性_______和___________ 叠加性____;2、积分(3)t t e dt δ∞--∞+⎰=______3e ____________;3、频谱函数)2()2()(++-=ωδωδωj F 的傅立叶逆变换)(t f 为t 2cos 1π;4、已知信号的最高频率为f ,要抽样后的信号能完全恢复原信号,则最大抽样间隔为 1/2f ;5、函数)(2cos t tu 的拉普拉斯变换为_____24ss +;三、计算卷积14分,每题7分1)()(2t u e t u e t t --*⎰⎰------==*tttt ttt u d eet u d eet u et u e 020)(22)()()()(τττττ4分)()()()1(22t u e e t u e e t t t t ----=-=3分2已知两个有限序列}3,2,1{)(-=k x ,}1,1,1,1{)(-=k h ,求)()(k h k x *;利用就地相乘法方法4分,结果2分1 1 1 1 × 123 = 3 3 3 3 2 2 2 2 1 1 1 1=1 3 6 6 5 3其中,k =0时的值为11分四、试判断系统)()(2t e t r =是否为线性的,时不变的,因果的 并证明之;9分 解:令)()]([)(2t e t e T t r ==,其中][⋅T 代表系统函数;)]([)(11t e T t r =,)]([)(22t e T t r =那么2221122112222112211)]()([)]()([)()()()(t e C t e C t e C t e C T t e C t e C t r C t r C +=+≠+=+ ∴系统是非线性的; 3分)]([)()-(0020t t e T t t e t t r -=-= ,∴系统是时不变的;3分由于)()(2t e t r =可知,系统输出只与当前的输入值有关,因而系统是因果的;五、已知)(t f 的双边拉普拉斯变换为)(s F ,试证明⎰∞-td f ττ)(的双边拉氏变换为s s F /)(;6分 证明:[])(t f L 代表)(t f 的拉普拉斯变换;⎥⎦⎤⎢⎣⎡⎰∞-ττd f L t )(=)](*)([t u t f L 3分 ⎥⎦⎤⎢⎣⎡⎰∞-ττd f L t)(=[]s s F s s F t u L t f L /)(/1)()]([)(=•=• 3分六、已知矩形脉冲信号)(t f 如右图所示, (1) 写出)(t f 的时域表达式; (2) 求)(t f 的频谱函数; (3) 画出)(t f 频谱图;12分 解:1)21()21()(--+=t u t u t f 3分2)(t f 中1=A ,1=τ1分⎪⎭⎫⎝⎛↔=2)()(ωτττSa A t g t f 4分-1/21/20t所以,)2()(ωωSa j F =1分34分其中,E =1,1=τ七、描述某系统的微分方程为)()(2)(t f t y t y =+',求输入)()(t u e t f t -=时系统的响应;14分解:取傅氏变换,有)()(2)(ωωωωj F j Y j Y j =+2分21)()()(+==ωωωωj j F j Y j H 2分输入信号11)()()(+=↔=-ωωεj j F t e t f t 3分 故:1111)1)(2(1)()()(+-+=++==ωωωωωωωj j j j j F j H j Y 4分 取反变换)()()(2t e e t y t t ε---=3分八、已知线性时不变系统的差分方程为()()()n u n y n y 512=-+ ,()11=-y ,求系统的全响应;15分 解:202-==+r r齐次解()()nh C n y 21-=3分特解()()(常数)时全为 5 05≥=n n u n x ()C n y p =∴)0(52≥=+n C C35=∴C 3分 全解()()()()3521+-=+=np h C n y n y n y 2分()迭代出由11=-y 3)1(25)0( 0=--==y y n 3分()(),得代入 解3521+-=nC n y()35301+==C y341=∴C 2分 ()()035234≥+-=∴n n y n 2分常熟理工学院20 ~20 学年第 学期信号与系统考试试卷试卷库02试题总分: 100 分 考试时限:120 分钟一、选择题15分,每题3分1、函数)(t f 的波形如下图所示,则)(t f 的一次积分的波形为A ;A B C D2、连续周期信号的频谱具有 D ;A 连续性、周期性B 连续性、收敛性C 离散性、周期性D 离散性、收敛性3、已知)()(ωF t f ↔,则)24(t f -的频谱函数为 A ; A ωω2)2(21j e F -- B ωωj e F --)2(21 C ωω2)2(21j e F - D ωω2)2(21j e F ---4、拉普拉斯变换性质中,卷积定理的形式正确的是 A ;A )()()()(2121s F s F t f t f ↔*B )()(2)()(2121s F s jF t f t f *↔*πC )()(21)()(2121s F s F jt f t f π↔* D )()(2)()(2121s F s jF t f t f *↔π5、序列)(])1(1[21k u k -+的Z 变换为 B ;A 221z z +B 221z z -C 21z z +D 21z z -二、填空题15分,每题3分1、系统的全响应可分解为 零状态响应 和零输入响应两部分响应之和,又可以分解为 自由响应和强迫响应两部分响应之和; 2、积分⎰+∞∞-⋅dt t tt)(22sin δ等于 4 ;3、频谱结构中,当脉宽减小时,信号的频宽____增大 _;4、信号)()1()(t u e t f t α--=的象函数为_________()as s a +;5、12()2F z z z --=+对应的原始时间序列为 (1)2(2)k k δδ-+- 三、已知信号ft=)]23cos(31)22cos(21)2[cos(2111πωπωπωπ-+-+-t t ,画出ft 的单边、双边幅度频谱图和相位频谱图;12分解:单边谱:每图3分 双边谱:每图3分111四、设)()(ωj F t f ↔,求下列各式的频谱函数;15分,每题5分 1)3()3(t f t -- 解:由展缩特性)31(31)3(ωj F t f -↔-2分由频域微分特性)31(31)]31(31[)3(ωωωωj F d d j j F d d jt tf -=-↔-2分 因此)31()31(31)3(3)3()3()3(ωωωj F j F d d j t f t tf t f t ---↔---=--1分2dtt df )42(+-解:由展缩和时移特性,得ωωj e j F t f 2)21(21)42(--↔+-3分 再根据时域微分特性ωωωj e j F j t f dt d 2)21(21)42(--↔+-2分 3t j e t f 2)23(-- 解:由展缩和时移特性,得ωωj e j F t f 32)31(31)23(-↔-3分再根据频移特性)2(322)]2(31[31)23(+--+↔-ωωj tj e j F et f 2分 下方程和非零起始条件表示的连续时间因果LTI 系统,⎪⎩⎪⎨⎧==+=++--5)0(',2)0()(52)(4522y y t f dtdft y dt dy dt y d 五.已知输入)()(2t u e t f t-=时,试用拉普拉斯变换的方法求系统的零状态响应)(t y zs 和零输入响应)(t y zi ,0≥t 以及系统的全响应),(t y 0≥t ;15分 解:方程两边取拉氏变换:)(455245)0(5)0(')0()()()(22s F s s s s s y y sy s Y s Y s Y zi zs ⋅++++++++=+=---3分 455221459222+++⋅+++++=s s s s s s s 43/713/134592)(2+-+=+++=s s s s s s Y zi 2分 )()37313()(4t u e e t y t t zi ---=3分42/122/111459221)(2+-+-+=+++⋅+=s s s s s s s s Y zs 3分 )()2121()(42t u e e e t y tt t zi -----=2分 )()61721316()()()(42t u e e e t y t y t y t t t zi zs -----=+=2分六、有一因果离散时间LTI 系统,激励为)()21()(1n u n f n =时,全响应为)()21()(2)(1t u n u n y n n -=;起始状态不变,激励为)()21(2)(2n u n f n =时,其全响应为)()21(2)(23)(2n u n u n y n n -⋅⋅=,求:1系统的零输入响应,2激励为)()21(5.0)(3n u n f n ⋅=时的完全响应起始状态保持不变;14分 解:设相同初始条件下,零输入响应分量)(n y zi ,则 )()()(11n y n y n y zi f +=2分 由线性关系)()(2)()()(122n y n y n y n y n y zi f zi f +=+=3分解得:)()21()(22)(1n u n u n y n n f -⋅=2分因此)(2)()()(11n u n y n y n y n f zi -=-=2分所以)()(5.0)()()(133n y n y n y n y n y zi f zi f +=+=3分)()21(21)(3n u n y n⋅-=2分 七、已知系统框图如下,求该系统的单位样值响应;14分解:可得()()()()()261523---+--=n y n y n x n x n y即()()()()()232615--=-+--n x n x n y n y n y 4分 求得齐次解n n C C 2321+2分假定差分方程式右端只有xn 项起作用,不考虑3xn-2项作用,此时系统单位样值响应为)(1n h ; 由1)0(1=h ,0)1(1=-h 可得⎪⎩⎪⎨⎧+=+=2121213101C C C C解得31=C ,22-=C())(23)(111n u n h n n ++-=4分当-3xn-2项起作用时,由线性时不变特性 ())2(233)(112---=--n u n h n n 2分)2()23(3)()23()()()(111121----=+=--++n u n u n h n h n h n n n n 2分也可通过Z 变换得到常熟理工学院20 ~20 学年第 学期信号与系统考试试卷试卷库03试题总分: 100 分 考试时限:120 分钟一、填空题本大题共10小题,每小题2分,共20分;不写解答过程,将正确的答案写在每小题的空格内;错填或不填均无分;1、对于连续的线性系统,若输入为)(1t f 时的响应为)(1t y ,输入为)(2t f 时的响应为)(2t y ,则对于任意常数1a 和2a , 输入为)()(2211t f a t f a +时的响应为______)()(2211t y a t y a +2、某连续系统的输入信号为f t,冲激响应为h t,则其零状态响应为____)(*)(t h t f3、一线性时不变连续时间系统是稳定系统的充分且必要条件是系统函数的极点位于S 平面的 左半平面 ;4、=--)(*)(2τδt t u e t )()(2ττ---t u e t5、()dt t e t 12-⎰+∞∞--δ= e -2 ; 6、已知 ft 的傅里叶变换为Fj ω, 则f2t-3的傅里叶变换为 )2(2123ωωj F e j - ; 7、已知 651)(2+++=s s s s F ,则=+)0(f 1 ; =∞)(f 0 ;8、、若描述某线性时不变连续系统的微分方程为)(3)()(2)(2)(t f t f t y t y t y +'=+'+'',则该系统的系统函数Hs=__223)(2+++=s s s s H ___________; 9、信号)(n u a n 的z 变换为_____az z- ________;10、已知信号的最高频率为m f ,要使抽样后的信号能完全恢复原信号,则最大的抽样间隔为mf 21 二、选择题本大题共10小题,每小题2分,共20分;在每小题列出的四个选项中只有一个选项是符合题目要求的,请将正确选项前的字母填在题后的括号内;1、假如周期矩形脉冲信号的周期为T ,脉冲宽度为τ,高度为A ,下列关于对周期矩形脉冲信号的频谱叙述不正确的是 B ;A. 当T 不变,将τ减小时,频谱的幅度将减小B. 当T 不变,将τ减小时,相邻谱线的间隔将变密C. 当T 不变,将τ减小时,频谱包络线过零点的频率将增高D. 当τ不变,将T 增大到∞时,频谱将由离散谱变为连续谱 2、题2图中信号)(t f 的表达式是 A ;A. )1()]1()([-+--t u t u t u tB. )]1()([--t u t u tC. )]1()()[1(---t u t u tD. )]2()([--t u t u t3、已知)(t f 的波形如题3a 图所示,则)22(--t f 为图3b 图中的的波形为 A ;4、积分⎰∞∞--+dt t t )2()1(2δ的值为 D ;A.1B.3C.4D.55、已知)(t f 的拉普拉斯变换为)(s F ,则dtt df )(的拉普拉斯变换为 B ; A. )(s sF B.)0()(--f s sFC. )0()(-+f s sFD. ⎰-∞-+0)(1)(ττd f s s sF6、周期信号)(t f 如题6图所示,其三角形式傅里叶级数的特点是 B ;A. 含余弦项的偶次谐波且含直流分量B. 含余弦项的奇次谐波且无直流分量C. 含正弦项的奇次谐波且无直流分量D. 含正弦项的偶次谐波且含直流分量7、已知dtt d t f )()(δ=,则其频谱)(ωj F 等于 C ; A.ωj 1 B.)(1ωπδω+jC. ωjD.)(21ωπδω+j 8、题8图a 中ab 段电路是某复杂电路的一部分,其中电感L 和电容C 都含有初始状态其初始状态分别为)0(-L i 和)0(-C u ,请在题8图b 中选出该电路的s 域模型为 B ;_题8图(a))(t u c b-L 1题8图(b)sc -A.-L 1sc -B.-L 1sc -C.-L 1sc -D.9、已知某离散序列,其它, , ⎩⎨⎧=≤=n N n n f 0||1)(该序列还可以表述为 C ; A. )()()(N n u N n u n f --+= B. )()()(N n u N n u n f ---+-= C. )1()()(---+=N n u N n u n f D. )1()()(----+-=N n u N n u n f 10、离散信号fn 是指 BA .n 的取值是连续的,而fn 的取值是任意的信号B .n 的取值是离散的,而fn 的取值是任意的信号C .n 的取值是连续的,而fn 的取值是连续的信号D .n 的取值是连续的,而fn 的取值是离散的信 三、计算题本题共16分1已知 6116332)(232+++++=s s s s s s F ,试求其拉氏逆变换ft ;8分解:1找极点())3)(2)(1(3322+++++=s s s s s s F 2分2展成部分分式 ()321321+++++=s k s ks k s F 2分 362511)( +++-++=s s s s F 所以 2分()[]1e αs t u L t +=-α根据 ()0e 6e 5e )(:32≥+-=---t t f tt t 得 2分2()。
湖南理工学院成教期末考试试卷课 程 名 称《信号与系统》2018年度第 I 学期题号 一 二 三 四 五 六 七 八 九 十 总 分得分一、填空题:(30分,每小题3分)1. 已知 f (t )的傅里叶变换为F (j ω), 则f (2t -3)的傅里叶变换为 。
2、()dtt et12-⎰+∞∞--δ 。
3=-⎰∞∞-dt t t )()5cos 2(δ= 。
4. 已知 651)(2+++=s s s s F ,则=+)0(f ; =∞)(f 。
5. 已知 ωωπδεj t FT 1)()]([+=,则=)]([t t FT ε 。
6. 已知周期信号)4sin()2cos()(t t t f +=,其基波频率为 rad/s ;周期为 s 。
7. 已知)5(2)2(3)(-+-=n n k f δδ,其Z 变换=)(Z F ;收敛域为 。
8. 已知连续系统函数13423)(23+--+=s s s s s H ,试判断系统的稳定性: 。
9.已知离散系统函数1.07.02)(2+-+=z z z z H ,试判断系统的稳定性: 。
10.如图所示是离散系统的Z 域框图,该系统的系统函数H(z)= 。
二.(15分)如下方程和非零起始条件表示的连续时间因果LTI 系统,⎪⎩⎪⎨⎧==+=++--5)0(',2)0()(52)(4522y y t f dt dft y dt dy dty d 已知输入)()(2t e t f t ε-=时,试用拉普拉斯变换的方法求系统的零状态响应)(t y zs 和零输入响应)(t y zi ,0≥t 以及系统的全响应),(t y 0≥t 。
班级: 学生学号: 学生姓名: 适用专业年级:2007 物理 出题教师: 试卷类别:A (√)、B ()、C ( ) 考试形式:开卷( √)、闭卷( ) 印题份数:三.(14分)① 已知23662)(22++++=s s s s s F ,2]Re[->s ,试求其拉氏逆变换f (t );② 已知)2(235)(2>+-=z z z zz X ,试求其逆Z 变换)(n x 。
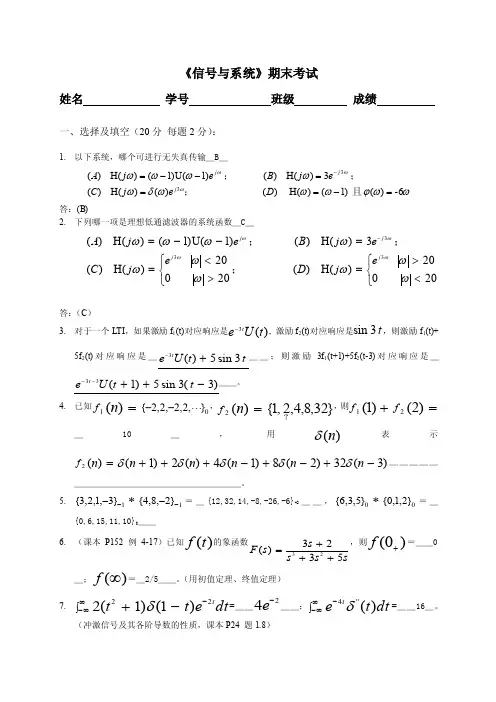
《信号与系统》期末考试姓名 学号 班级 成绩一、选择及填空(20分 每题2分):1. 以下系统,哪个可进行无失真传输_B _ωωϕωωωδωωωωωωωω-6)( )1()(H )( )()(H )( 3)(H )( )1()1()(H )( 33=-===--=-且;;;D ej C e j B e j A j j j U答:(B)2. 下列哪一项是理想低通滤波器的系统函数_C _⎩⎨⎧<>=⎩⎨⎧><==--=-20 020 )(H )( 20 020 )(H )( 3)(H )( )1()1()(H )(3 33ωωωωωωωωωωωωωωj j j j e j D e j C e j B e j A ;;;U答:(C )3. 对于一个LTI ,如果激励f 1(t)对应响应是)(3t U e t -, 激励f 2(t)对应响应是t 3sin ,则激励f 1(t)+5f 2(t)对应响应是_tt U e t 3sin 5)(3+-__;则激励3f 1(t+1)+5f 2(t-3)对应响应是_)3 (3sin 5)1(33-++--t t U e t __。
4. 已知},2,2,2,2{01)( --=n f ,}32,8,4,2,1{)(2↑=n f ,则=+)2()1(21f f _10_,用)(n δ表示)3(32)2(8)1(4)(2)1()(2-+-+-+++=n n n n n n f δδδδδ________________________。
5. }2,8,4{}3,1,2,3{11----*=_{12,32,14,-8,-26,-6}-2__,}2,1,0{}5,3,6{00*=_{0,6,15,11,10}0__ 6. (课本P152 例4-17)已知)(t f 的象函数ss s s s F 5323)(23+++=,则)0(+f =__0_;)(∞f =_2/5__。
北京科技大学远程与成人教育学院2020学年第1次远程课程《信号与系统》测验学习中心批次/专业/层次学号姓名________一、选择题(20分,每题2分)从各选项中选择唯一符合题干要求的选项。
1、信号()()()sin5+2cos2f t t t=的周期为()。
(A)5π (B)2π/5 (C)π (D)2π2、以下为计算机产生的信号的是()(A)(B)(C)(D)3、系统1()()y t f tt=为()系统。
(A)线性时不变(B)线性时变(C)非线性时不变(D)非线性时变4、πcos()()d2t t tδ+∞-∞⋅-⎰的结果为()。
(A)0 (B)π()2tδ-(C)1 (D)25、[]2,10kf k r r=-<<可以表示为图()。
(A)(B)(C)(D)题号一二三四五总分得分6、已知周期为T 0的周期信号f (t )的傅里叶系数为C n ,则02j ()()e tx t f t ω-=的傅里叶系数为( )。
(A )C n +1 (B )C n +2 (C )C n -1 (D )C n -27、当系统初始状态为零时,由系统的外部激励f (t )产生的响应称为系统的为系统的( )。
(A )零状态响应 (B )零输入响应 (C )齐次响应 (D )强迫响应8、由系统的外部激励f (t )产生的响应称为系统的零状态响应,可以用f (t )和冲激响应h (t )的卷积积分得到,其定义为: (A )()()()()d f t h t f h t τττ+∞-∞*=⋅-⎰ (B )()()()()d f t h t f t h t ττ+∞-∞*=⋅-⎰(C )()()()()d f t h t f h t τττ+∞-∞*=⋅-⎰(D )()()()(+)d f t h t f h t τττ+∞-∞*=⋅⎰9、非周期信号的频谱为( )频谱,周期信号的频谱为( )频谱。
(A )离散,离散 (B )离散,连续 (C )连续,离散(D )连续,连续 10、某离散系统的系统函数为()H z ,若系统同时存在()H j ω,则此系统为 ( )。
诚信保证本人知晓我校考场规则和违纪处分条例的有关规定,保证遵守考场规则,诚实做人。
本人签字: 编号:西北工业大学考试试题(卷)2010 - 2011 学年第 2 学期开课学院 计算机学院 课程 信号与系统 学时 48考试日期 2011年6月3日 考试时间 2 小时 考试形式(闭开)(B A)卷考生班级学 号姓 名★注:请将各题答案做在答题纸上,答在试题纸上无效。
一、单项选择题(每题有且仅有一个答案是正确的,共20分)1、已知某系统方程为)(10)()()(d 22t e dt t dr t r dt t r =-,则该系统是 ① 。
① A .线性时不变系统 B .非线性时变系统C .线性时变系统D .非线性时不变系统2、已知某连续线性时不变系统的初始状态不为零,设当激励为e(t)时,全响应为r(t),则当激励增大一倍为2e(t)时,其全响应为 ② 。
② A .也增大一倍为2r(t) B .也增大但比2r(t)小C .保持不变仍为r(t)D .发生变化,但以上答案均不正确 3、积分式dt t t t t )]2(2)()[23(442-+++⎰-δδ的积分结果是 ③ 。
③ A .14 B .24 C .26 D .282. 命题教师和审题教师姓名应在试卷存档时填写。
共 7 页 第 1 页成绩2、求信号)1()1(---tet atε的拉普拉斯变换。
(5分)3、已知积分()⎰+∞---=)()(ttedxxfe txtε,求f(t)。
(5分)(已知存在拉普拉斯变换()11)(11)(2+↔+↔--stestte ttεε、。
)4、已知f(k),h(k)如图5、图6所示,求f(k)*h(k)。
(7分)图5 图62、已知系统极零图如图7所示, 该系统的单位阶跃响应终值为23,求系统函数)(sH。
(6分)四、系统分析题(共25分)1、(15分)一连续线性时不变系统具有一定初始条件,其单位阶跃响应为())(1te tε--,初始条件不变时,若其对)(3te tε-的全响应为())(5.05.13tee ttε---,求此时的:①写出系统微分方程②零输入响应)(trzi③零状态响应)(trzs④初始条件)0(-r⑤自由响应和受迫响应-1-2-jj0s-3图8jω图7西北工业大学考试试题(答题纸)2010 -2011 学年第 2 学期开课学院 计算机学院 课程 信号与系统考试日期 2011年06月3日 考试时间 2 小时 闭(B A)卷西北工业大学考试试题(答案)2010 -2011 学年第 2 学期开课学院 计算机学院 课程 信号与系统考试日期 2011年06月3日 考试时间 2 小时 闭(B A)卷方法二:32323)1(5.435.15.025.01125.111211)(G -+++=-⎪⎭⎫⎝⎛-++⎪⎭⎫ ⎝⎛-+-⎪⎭⎫ ⎝⎛-+=λλλλλλλλλλλ……(1分) ∵罗斯阵列4.534.5 1.53.50首列元素同号 1分,j 3s ,05.41.5 2系统临界稳定。
学号___________ 姓名_________ 贵州函授站得分______中国传媒大学远程与继续教育学院2010级广播电视技术专科第五学期《信号与系统》期末试卷一.单项选择题(本大题共10小题,每小题2分,共20分)。
1. 如右下图所示信号,其数学表示式为 (B)A. f (t ) = tu(t) − tu(t− 1)B. f (t ) = tu(t) − (t− 1)u (t− 1)C. f (t) = (1 − t )u (t) − (t− 1)u (t− 1)D. f (t ) = (1 + t )u (t) − (t + 1)u (t + 1)∞2. 序列和∑δ ( n ) 等于( A )n = − ∞C.u ( n)D. (n + 1)u ( n)A. 1B. ∞3. 已知:f (t ) = sgn(t ) 傅里叶变换为F ( jw) =2,则:F(jw)=jπsgn(w)的傅里叶jw1反变换f1(t)为(C)A. f1 (t ) =1B. f1 (t) = −2C. f1(t) = −1D. f1 (t ) =2t t t t24. 积分∫−2e tδ ( t− 3 ) dt等于(A)A. 0B. 1C. e3D. e−35. 周期性非正弦连续时间信号的频谱,其特点为 (C)A. 频谱是连续的,收敛的B. 频谱是离散的,谐波的,周期的C. 频谱是离散的,谐波的,收敛的D. 频谱是连续的,周期的6. 设: f (t ) ↔ F ( jw ) ,则: f 1 (t ) = f ( at − b ) ↔ F 1 ( jw ) 为( C ) A. F ( jw ) = aF ( j w ) ⋅ e − jbw B. F ( jw ) = 1 F ( j w ) ⋅ e − jbw1 a 1a aC. F ( jw ) = 1 F ( j w ) ⋅ e − j b wa 1 a a7. 已知某一线性时不变系统对信号H ( s ) = ( B )w − j b w D. F ( jw ) = aF ( j ) ⋅ e a1 a X (t ) 的零状态响应为 4 dX (t − 2) ,则该系统函数 dtA. 4 F ( s )B. 4 s⋅ e - 2SC. 4 e−2S / sD. 4 X ( s ) ⋅ e - 2S8. 单边拉普拉斯变换F ( s ) = 1 + s的原函数f (t ) = (D)A. e−t u (t )B. (1 + e−t )u (t )C. (t + 1)u (t )D. δ (t ) + δ' (t )9.如某一因果线性时不变系统的系统函数H(s)的所有极点的实部都小于零,则( C )A. 系统为非稳定系统B. | h(t) |<∞∞C. 系统为稳定系统D.∫0h (t )dt = 010. 离散线性时不变系统的单位序列响应h( n ) 为(A)A.输入为δ ( n ) 的零状态响应B.输入为u ( n ) 的响应C.系统的自由响应D.系统的强迫响应二.填空题(本大题共10小题,每小题2分,共20分)1. δ( −t ) =___ δ (t ) __ (用单位冲激函数表示 )。
北京交通⼤学信号与系统期末考试试题北京交通⼤学考试试题课程名称:信号与系统姓名:学号:班级:成绩:⼀、填空题(每题3分,共30分)1.=+-?∞∞--dt t u t e t )1()42(δ .2. x 1(n )={1,3,3;n = -1,0,1}, x 2(n )={1,4;n = -1,0},determine x 1(n )*x 2(n ) = .3.Consider sampling )10(Sa )(t t x =,determine the maximum of sampling interval T so thatthere will be no aliasing =max T (s).4.A LTI system has input )()sin()(t u t t x = and output )()sin cos ()(t u t t e t y t+-=-,determine the impulse response of this system =)(t h .5.A system has input )(1t x and output )(1t y . If the system has properties, then theinput and output pairs has the relationship: input is )3(3)2()(112-+-=t x t x t x , so output is )3(3)2()(112-+-=t y t y t y 。
6.The transfer function of a LTI system is12)(+=s s H , the system belongs to type .(high-pass, low-pass, band-pass or band-stop ?)7.the FS of )(t x is )(ωj X , the FS of is ωωj e j X -)2(。
2011/2012 学年 第 一 学期末考试试题(B 卷) 课程名称 信号与系统使用班级:09050341,09050342 ,09050343,09051041一、计算与画图(20分) [每题5分]1、 计算 dt t t t t x )6()2sin ()(0πδπ-+=⎰的值。
2、 已知信号1()x t 和2()x t 如图一所示图一试计算)(*)()(21t x t x t s =。
3、 计算信号)2()2()(--+=t u t u t x 傅立叶变换)(w X 。
4、 计算信号)2sin()(t e t x t -=的拉普拉斯变换)(s X 。
二、简答题(20分) [每题5分]1、 无失真传输系统在时域和频域应具备什么样的条件,才能实现无失真传输?2、 利用什么样的信号作系统的测试信号可测得系统的带宽C ω?3、 对于非带限信号)(t x ,如何实现抽样获得其样值序列{()}x kT ?4、 时域分析、频域分析、复频域分析对信号和系统分析而言,各自有什么特点?三、证明题(10分) [每题10分]非周期信号的时频功率守恒定理:ωωπd F dt t x 22)(21)(⎰⎰∞∞-∞∞-=四、分析与计算(30分) [第一题10分、第二题20分]1、 一线性系统在相同的初始状态下,当输入为)(1t x 时的全响应为)()2cos 2()(1t u t e t y t +=-,当输入为)(2)(12t x t x =时的全响应为)()2cos 2()(2t u t e t y t +=-。
试确定当输入为)(4)(31t x t x =时的全响应。
2、 已知信号()x t 如图二所示,且设其傅立叶变换式为()X ω,试分析以下特征:(1)其相位谱()φω。
(2)(0)X 。
(3)()X d ωω∞-∞⎰。
(4)1{Re[]}f X ω-()五、计算题(20分) [每题10分]1、 已知线性时不变系统传输函数()H s 的零极点分布如图四所示,单位冲激响应()h t 的初值(0)2h +=,求:(1)求系统函数()H s ;(2)求频率转移函数()H j ω;(3)求系统的单位冲激响应()h t ;(4)求激励()100cos(445)()x t t u t =+。
信号与系统期末考试试题6课程名称: 信号与系统一、选择题(共10题,每题3分 ,共30分,每题给出四个答案,其中只有一个正确的)1、 卷积f 1(k+5)*f 2(k-3) 等于 。
(A )f 1(k)*f 2(k) (B )f 1(k)*f 2(k-8)(C )f 1(k)*f 2(k+8)(D )f 1(k+3)*f 2(k-3)2、 积分dt t t ⎰∞∞--+)21()2(δ等于 。
(A )1.25(B )2.5(C )3(D )5 3、 序列f(k)=-u(-k)的z 变换等于 。
(A )1-z z (B )-1-z z(C )11-z (D )11--z4、 若y(t)=f(t)*h(t),则f(2t)*h(2t)等于 。
(A ))2(41t y (B ))2(21t y (C ))4(41t y (D ))4(21t y 5、 已知一个线性时不变系统的阶跃相应g(t)=2e -2t u(t)+)(t δ,当输入f(t)=3e —t u(t)时,系统的零状态响应y f (t)等于(A )(-9e -t +12e -2t )u(t) (B )(3-9e -t +12e -2t )u(t)(C ))(t δ+(-6e -t +8e -2t )u(t) (D )3)(t δ +(-9e -t +12e -2t )u(t)6、 连续周期信号的频谱具有(A ) 连续性、周期性 (B )连续性、收敛性 (C )离散性、周期性 (D )离散性、收敛性7、 周期序列2)455.1(0+k COS π的 周期N 等于(A ) 1(B )2(C )3(D )4 8、序列和()∑∞-∞=-k k 1δ等于(A )1 (B) ∞ (C) ()1-k u (D) ()1-k ku9、单边拉普拉斯变换()se s s s F 2212-+=的愿函数等于 ()()t tu A ()()2-t tu B ()()()t u t C 2- ()()()22--t u t D 10、信号()()23-=-t u tet f t的单边拉氏变换()s F 等于()A ()()()232372+++-s e s s ()()223+-s e B s()()()2323++-s se C s ()()332++-s s e D s二、填空题(共9小题,每空3分,共30分)1、卷积和[(0.5)k+1u(k+1)]*)1(k -δ=________________________2、单边z 变换F(z)=12-z z的原序列f(k)=______________________ 3、已知函数f(t)的单边拉普拉斯变换F(s)=1+s s,则函数y(t)=3e -2t ·f(3t)的单边拉普拉斯变换Y(s)=_________________________4、频谱函数F(j ω)=2u(1-ω)的傅里叶逆变换f(t)=__________________5、单边拉普拉斯变换ss s s s F +++=2213)(的原函数f(t)=__________________________ 6、已知某离散系统的差分方程为)1(2)()2()1()(2-+=----k f k f k y k y k y ,则系统的单位序列响应h(k)=_______________________7、已知信号f(t)的单边拉氏变换是F(s),则信号⎰-=2)()(t dx x f t y 的单边拉氏变换Y(s)=______________________________8、描述某连续系统方程为()()()()()t f t f t y t y t y +=++''''52该系统的冲激响应h(t)=9、写出拉氏变换的结果()=t u 66 ,=k t 22三、(8分)已知信号()()()⎪⎩⎪⎨⎧><==↔./1,0,/1,1s rad s rad jw F j F t f ωωω设有函数()(),dt t df t s =求⎪⎭⎫⎝⎛2ωs 的傅里叶逆变换。
期末试题一、选择题(每小题可能有一个或几个正确答案,将正确的题号填入[ ]内) 1.f (5-2t )是如下运算的结果————————( ) (A )f (-2t )右移5 (B )f (-2t )左移5 (C )f (-2t )右移25 (D )f (-2t )左移252.已知)()(),()(21t u e t f t u t f at -==,可以求得=)(*)(21t f t f —————() (A )1-at e - (B )at e -(C ))1(1at e a -- (D )at e a-13.线性系统响应满足以下规律————————————( )(A )若起始状态为零,则零输入响应为零。
(B )若起始状态为零,则零状态响应为零。
(C )若系统的零状态响应为零,则强迫响应也为零。
(D )若激励信号为零,零输入响应就是自由响应。
4.若对f (t )进行理想取样,其奈奎斯特取样频率为f s ,则对)231(-t f 进行取样,其奈奎斯特取样频率为————————( )(A )3f s (B )s f 31 (C )3(f s -2) (D ))2(31-s f 5.理想不失真传输系统的传输函数H (jω)是 ————————( )(A )0j tKe ω- (B )0t j Keω- (C )0t j Keω-[]()()c c u u ωωωω+--(D )00j t Keω- (00,,,c t k ωω为常数)6.已知Z 变换Z 1311)]([--=zn x ,收敛域3z >,则逆变换x (n )为——( ) (A ))(3n u n (C )3(1)nu n -(B ))(3n u n -- (D ))1(3----n u n二.(15分)已知f(t)和h(t)波形如下图所示,请计算卷积f(t)*h(t),并画出f(t)*h(t)波形。
三、(15分)四.(20分)已知连续时间系统函数H(s),请画出三种系统模拟框图(直接型/级联型/并联型)。
. 五.(20分)某因果离散时间系统由两个子系统级联而成,如题图所示,若描述两个子系统的差分方程分别为:)()1(31)()1(6.0)(4.0)(11n y n y n y n x n x n y =---+=x (n )y 1(n )(n )H 1(z )H 2(z )1.求每个子系统的系统函数H 1(z )和H 2(z ); 2.求整个系统的单位样值响应h (n );3.粗略画出子系统H 2(z )的幅频特性曲线;ss s s s H 10755)(23+++=《信号与系统》试题一标准答案说明:考虑的学生现场答题情况,由于时间问题,时间考试分数进行如下变化:1)第六题改为选做题,不计成绩,答对可适当加分;2)第五题改为20分。
一、1.C 2. C 3. AD 4. B 5.B 6.A二、三、四.(20分)已知连续时间系统函数H(s),请画出三种系统模拟框图(直接型/级联型/并联型)。
.ss s s s H 10755)(23+++=五、答案:1. 1123()52()0.40.60z H z z z z-+=+=>2111()113133zH z z z z -==>-- 2. 121312111()()(1)()(1)53531553nn nh n u n u n n u n δ-⎛⎫⎛⎫⎛⎫=+-=+- ⎪ ⎪⎪⎝⎭⎝⎭⎝⎭3.Re(z )j Im(z )⨯132()j H e Ω32 34π2πΩ期末试题2 一、选择题(2分/题,共20分)1) 信号x(n), n=0,1,2,3,…是能量有限的意思是a) x(n)有限;b) |x(n)|有界;c)()2n x n ∞=<∞∑; d)()01Nn x n N=<∞∑。
c2) 一个实信号x(t)的偶部是a) x(t)+x(-t); b) 0.5(x(t)+x(-t)); c) |x(t)|-|x(-t)|; d) x(t)-x(-t)。
b 3) LTI 连续时间系统输入为(),0ate u t a ->,冲击响应为h(t)=u(t), 则输出为a)()11at e a --; b) ()()11at e t a δ--; c) ()()11ate u t a --; d) ()()11at e t aδ---。
c 4) 设两个LTI 系统的冲击响应为h(t)和h 1(t),则这两个系统互为逆系统的条件是 a) ()()()1h t h t t δ*=; b) ()()()1h t h t u t *=; a c) ()()()1h t h t u t *=-; d) ()()10h t h t *=。
5) 一个LTI 系统稳定指的是a) 对于周期信号输入,输出也是周期信号;b)对于有界的输入信号,输出信号趋向于零;c)对于有界输入信号,输出信号为常数信号;d)对于有界输入信号,输出信号也有界 d6) 离散信号的频谱一定是a) 有界的;b) 连续时间的;c) 非负的;d) 连续时间且周期的。
d 7) 对于系统()()()dy t y t x t dtτ+=,其阶跃响应为 a) ()/1t e u t τ-⎡⎤-⎣⎦; b) ()/1t e t τδ-⎡⎤-⎣⎦; c) ()/1t e u t τ-⎡⎤+⎣⎦; d) ()/1t e t τδ-⎡⎤+⎣⎦. a8) 离散时间LTI 因果系统的系统函数的ROC 一定是a) 在一个圆的外部且包括无穷远点; b)一个圆环区域;c) 一个包含原点的圆盘;d) 一个去掉原点的圆盘。
a 9) 因果系统的系统函数为11,01a az ->-,则a) 当a>2时,系统是稳定的;b) 当a<1 时,系统是稳定的;c) 当a=3时,系统是稳定的;d) 当a 不等于无穷大时,系统是稳定的。
b10) 信号的傅立叶变换可以看成是拉普拉斯变换的特例,如果a) 拉普拉斯变换的收敛域不包含虚轴;b) 拉普拉斯变换的收敛域包含单位圆;c) 拉普拉斯变换的收敛域包含虚轴;d)拉普拉斯变换的收敛域不包含单位圆。
c二、填空题 (3分/题,共24分)1. 信号()()()2cos 101sin 41x t t t =+--的基波周期是( π)2.信号()1, 380, n x n ≤≤⎧=⎨⎩其它和()1, 4150, n h n ≤≤⎧=⎨⎩其它的卷积为( ()6, 7116, 121824, 19230,n n n y n n n -≤≤⎧⎪≤≤⎪=⎨-≤≤⎪⎪⎩其它)3.信号()252cos 4sin 33x t t t ππ⎛⎫⎛⎫=++⎪ ⎪⎝⎭⎝⎭的傅立叶系数为( *0225512,,22a a a a a j --=====- ) 4.因果LTI 系统差分方程()()()1y n ay n x n --=,1a <,则该系统的单位冲击响应为( h(n)=a n u(n))5.信号()1112n u n -⎛⎫- ⎪⎝⎭的傅立叶变换为( 12j j e e ωω---) 6.连续时间LTI 系统的系统函数是()0j t H j e ωω-=,则系统的增益和相位是( 1和0t ω-)7.理想低通滤波器()01,0,H j ωωωωω⎧≤⎪=⎨>⎪⎩的冲击响应是( ()sin c t h t t ωπ=)8.系统函数()32221148z z zH z z z -+=++表示的系统的因果特性为(回答因果或非因果 非因果)三、简答题 (6分/题,共24分)1. 试给出拉普拉斯变换、Z 变换与傅立叶变换的定义并简述它们间的关系。
拉普拉斯变换()()st X s x t e dt +∞--∞=⎰Z 变换()()nn X z x n z+∞-=-∞=∑傅立叶变换()X如果拉普拉斯变换的收敛域包含j ω轴,当s j ω=时,拉普拉斯变换就是连续时间傅立叶变换。
如果Z 变换的收敛域包含复平面单位圆,当Z=exp(j ω)时,Z 变换就是离散时间傅立叶变换。
当上述条件不成立时傅立叶变换不存在,但是拉普拉斯变换或Z 变换可能存在,这说明这两种变换确实是傅立叶变换的推广。
2. 试回答什么是奈奎斯特率,求信号()()2sin 4000t x t t ππ⎛⎫= ⎪⎝⎭的奈奎斯特率。
带限信号x(t)当Max ωω>时,对应的傅立叶变换()0X j ω=,则有当采样频率22sampling Max Tπωω=>时,信号x(t)可以由样本(),0,1,2,...x nT n =±±唯一确定,而2Max ω即为奈奎斯特率。
16000pi3. 试叙述离散时间信号卷积的性质,求出信号()()()122nn x n u n u n ⎛⎫=+- ⎪⎝⎭和()()h n u n =卷积。
离散或连续卷积运算具有以下性质:交换率,分配律,结合率()()()()()()122nn x n h n u n u n u n u n ⎛⎫*=*+-* ⎪⎝⎭=()11112, 0212, 012n n n u n n ++⎛⎫⎛⎫- ⎪ ⎪≥⎧⎝⎭ ⎪+⎨ ⎪<⎩- ⎪⎝⎭4. 试回答什么是线性时不变系统,判定系统()()21y t t x t =-是否为线性的,是否为时不变的。
系统满足线性性,即()()12ay t by t +是()()12ax t bx t +的响应同时满足是不变性,即()x t 的输出为()y t 则()0x t t -的输出为()0y t t - 该系统是线性的,但不是时不变的四、计算题 (8分/题,32分)1. 连续时间LTI 系统的系统函数为()2KH s s =+,采用几何分析法画出其幅频相应图,说明该系统对应的滤波器是何种频率选择性滤波器。
解:2)(+=s Ks H ,2->σ 当jwes =,即取纵坐标轴上的值,)()(ωj es e H s H jw==AK e H j =|)(|ω讨论A 随着Ω的变化而发生的变化:0=Ω,A=2, 2|)(|Ke H j =ω,2=Ω,A=22, 22|)(|K e H j =ω,∞→Ω,A ∞→, 0|)(|→ωj e H 则频率响应的模特性大概如图:2.利用傅立叶级数的解析公式计算连续时间周期信号(基波频率为0ωπ=)() 1.5,011.5,12t x t t ≤<⎧=⎨-≤<⎩的系数。
该傅立叶级数系数为/20,03sin 2,0k jk k k a e k k πππ-=⎧⎪⎪⎛⎫=⎨⎪⎝⎭⎪≠⎪⎩3.对于()2132X s s s =++求出当Re{s}<-2和-2<Re{s}<-1时对应的时域信号()x t 。