第八章 复合函数的微分法
- 格式:ppt
- 大小:1.52 MB
- 文档页数:24
8.4多元复合函数的微分法在一元函数微分学中,复合函数的链式求导法则是最重要的求导法则之一,它解决了很多比较复杂的函数的求导问题.对于多元函数,也有类似的求导法则.8.4.1多元复合函数的求导法则 1.二元复合函数求导法则与一元复合函数求导相比,二元复合函数的求导问题要复杂的多.对于二元函数),(v u f z =,中间变量u 和v 都可以是x 和y 的二元函数;也可以只是某一个变量t 的函数,还可能中间变量u 和v 分别是不同个数自变量的函数,譬如u 是y x ,的函数,而v 只是x 的函数;等等。
下面讨论二元复合函数的求导法则,对二元以上的多元函数的求导法则可类似推出.定理8.4.1设函数),(v u f z =是v u ,的函数,),(),,(y x v y x u ψϕ==.若),(),,(y x y x ψϕ在点),(y x 处偏导数都存在,),(v u f z =在对应点),(v u 处可微,则复合函数)],(),,([y x y x f z ψϕ=在点),(y x 处关于y x ,的两个偏导数都存在,且yv v z y u u z y z x v v z x u u z x z ∂∂⋅∂∂+∂∂⋅∂∂=∂∂∂∂⋅∂∂+∂∂⋅∂∂=∂∂, (8-1) 我们借助于复合函数的函数结构图对复合函数求偏导数的过程进行分析.函数)],(),,([y x y x f z ψϕ=的结构图,如图8-4所示.从函数结构图可以看出,z 和x 的函数关系可以由两条路径得到.一条是经中间变量u 到达自变量x ,还有一条是经中间变量v 到达自变量x 的.从公式(1)的第一式可以看出,z 和x 的函数关系有两条路径,对应公式中就有两项,其中每一项由两个因子的乘积表示,两个因子的乘积都是函数关于中间变量的偏导数和中间变量关于自变量的偏导数的乘积构成.例8.4.1设)sin(y x e z xy+=,求x z ∂∂和yz ∂∂. 解:令y x v xy u +==,,则v e z usin = 函数结构图,如图8-5所示.x z ∂∂=u z ∂∂x u ∂∂⋅+v z ∂∂xv ∂∂⋅=sin cos uu e v y e v ⋅+ =sin()cos()xy xye x y y e x y +++,y z ∂∂=u z ∂∂y u ∂∂⋅+v z ∂∂yv ∂∂⋅=sin cos uu e v x e v ⋅+=sin()cos()xy xye x y x e x y +++. 例8.4.2设2)(2y x y x z -+=,求x z ∂∂和yz ∂∂. 解:令22,y x v y x u -=+=,则vu z =,函数结构图,如图8-5所示.x z ∂∂=u z ∂∂x u ∂∂⋅+v z ∂∂xv∂∂⋅=1ln v v vu u u -+ =2222122()()()ln()x y x yx y x y x y x y ----+++-,y z ∂∂=u z ∂∂y u ∂∂⋅+v z ∂∂yv∂∂⋅=12ln (2)v v vu y u u y -+- =22221222()()2()ln()x y x yy x y x y y x y x y ----+-+-.2.二元复合函数求导法则的推广和变形多元复合函数的中间变量可能是一个,也可能多于一个,同样,自变量的个数可能只有一个,也可能是两个或者更多.我们可以对定理1进行推广和变形,分以下几种情形讨论:(1)当函数z 有两个中间变量,而自变量只有一个,即)(),(),,(t v v t u u v u f z ===.函数结构图,如图8-6所示.因此(8-1)变形成为dtdv v z dt du u z dt dz ⋅∂∂+⋅∂∂=.因为复合结果和中间变量都是t 的一元函数,应该使用一元函数的导数记号;为了与一元函数的导数相区别,我们称复合后一元函数的导数dtdz 为全导数.当函数z 有三个中间变量,而自变量只有一个,即)(),(),(),,,(t w w t v v t u u w v u f z ====.函数结构图,如图8-7所示.因此公式(8-1)可以推广成为 dt dw w z dt dv v z dt du u z dt dz ⋅∂∂+⋅∂∂+⋅∂∂=.(2)当函数z 有一个中间变量,而自变量有两个.例如),(),,(y x u x u f z ϕ==.函数结构图,如图8-8所示.此时(8-1)变形成为.yu u f y z x f x u u f x z ∂∂⋅∂∂=∂∂∂∂+∂∂⋅∂∂=∂∂, 在上面第一个式中,xz∂∂表示在复合函数]),,([x y x f z ϕ=中,把y 看作常量,求得的z 对x 的偏导数;xf∂∂表示在复合函数],[x u f z =中,把u 看作常量,求得的z 对x 的偏导数,因此x z ∂∂和xf ∂∂表示的含义不同,在求偏导数是一定要注意,记号上不能混淆. 例如),(),(y x u u f z ϕ==,函数结构图,如图8-9所示.此时(8-1)变形成为.yu du dz y z x u du dz x z ∂∂⋅=∂∂∂∂⋅=∂∂,(3)当函数z 有两个中间变量,而自变量有三个,即),,(),,,(),,(w v u y y w v u x x y x f z ===.函数结构图,如图8-10所示。
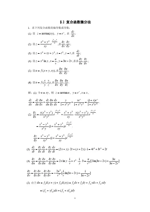
§2 复合函数微分法1.求下列复合函数的偏导数或导数: (1) 设 )arctan(xy z =, xe y =, 求dxdz ; (2) 设xyy x e xyyx z 2222++=,求yz x z ∂∂∂∂,; (3) 设22y xy x z ++=,2t x =,t y =,求dtdz ; (4) 设y x z ln 2=,v u x =,v u y 23−=,求求vz u z ∂∂∂∂,;(5) 设),(xy y x f u +=,求yux u ∂∂∂∂,; (6) 设),(z y y x f u =,求zu y u x u ∂∂∂∂∂∂,,. 解:(1) 令xy u =, 则 u z arctan =, xe y =,x x =,xxx ex e x y x xe y x y dx dy y u du dz x u du dz dx dz 2222221)1(11++=+++=∂∂+∂∂=. (2)xyy x xyy x e y x y x y xy y x e y x y x y x z 22222222222222)()(++−⋅++−=∂∂xyy x e xy yx yx y x 22)1(22222+++−=.xyy x e xy yx xy y x y z 22)1(22222+++−=∂∂(3)t t t y x t y x dtdy y z dt dx x z dt dz 2341)2(2)2(23++=⋅++⋅+=∂∂+∂∂= (4)]233)23ln(2[311ln 222v u uv u vu y x v y x u y y z u x x z u z −+−=⋅⋅+⋅=∂∂∂∂+∂∂∂∂=∂∂ ]231)23ln(1[222v u v u vv u v yy z v x x z v z −+−−=∂∂∂∂+∂∂∂∂=∂∂ (5) 由于xdy f ydx f dy f dx f xy d f y x d f du 221121)()(+++=++=dy xf f dx yf f )()(2121+++=所以2121,xf f yu yf f x u +=∂∂+=∂∂. (6)22121,1,1f z y z u f z f yx y u f y x u −=∂∂+−=∂∂=∂∂. 2.设 )(22y x f yz −=,其中f 为可微函数,验证211y z y z y x z x =∂∂+∂∂. 证:设22y x u −=,则)()(22u f u f xy x u u z x z ′=∂∂∂∂=∂∂,)()()(222u f u f u f y y z +′=∂∂, 所以 22)()(2)()(211yz u f u f y yu f u f y yzy x z x =′++′−=∂∂+∂∂. 3.设 )sin (sin sin y x f y z −+=,其中f 为可微函数,证明:1sec sec =∂∂+∂∂y yzx x z . 证:设y x u sin sin −=, 则x u f x z cos )(′=∂∂,y u f yzcos ))(1(′−=∂∂,所以 1))(1()(sec sec =′−+′=∂∂+∂∂u f u f y yzx x z 4.设 ),(y x f 可微,证明: 在坐标旋转变换θθsin cos v u x −=,θθcos sin v u y +=之下,22)()(y x f f +是一个形式不变量,即若),cos sin ,sin cos (),(θθθθv u v u f v u g +−=则必有2222)()()()(v u y x g g f f +=+ (其中旋转角θ是常数).证:因为θθsin cos y x u f f g +=,θθcos )sin (y x v f f g +−=,22)()(v u g g +θθθθθθθθcos sin 2cos sin cos sin 2sin cos 22222222y x y x y x y x f f f f f f f f −+++= 22222222)()()cos (sin )cos (sin y x y x f f f f +=+++=θθθθ故2222)()()()(v u y x g g f f +=+.5.设)(u f 是可微函数, )23()2(),(t x f t x f t x F −++=,试求:)0,0(x F 与)0,0(t F解:f f f F x ′=⋅′+′=43, 0)2(2=−⋅′+⋅′=f f F t 故 )0(4)0,0(f F x ′=, 0)0,0(=t F .6.若函数),,(z y x F u =满足恒等式),,(),,(z y x F t tz ty tx F k= )0(>k ,则称),,(z y x F 为k 次齐次函数. 试证下述关于齐次函数的欧拉定理:可微函数 ),,(z y x F 为k 次齐次函数的充要条件是:),,(),,(),,(),,(z y x kF z y x zF z y x yF z y x xF z y x =++,并证明:xy yx xy z −+=222为2次齐次函数.证明:必要性:设),,(),,(z y x F t tz ty tx F k=,令tz ty tx ===ζηξ,,,代入上式并两边对t 求导得),,(),,(),,(),,(1z y x F kt zF yF xF k −=++ζηξζηξζηξζηξ.令1=t , 则有),,(),,(),,(),,(z y x kF z y x zF z y x yF z y x xF z y x =++.充分性:设),,(1),,,(tz ty tx F t t z y x G k= )0(>t ,令tz ty tx ===ζηξ,,, 求G 关于t 的偏导数得[]{}),,(),,(),,(),,(11ζηξζηξζηξζηξζηξkF t zF yF xF tt G k −++=∂∂+. 由已知 0=∂∂t G,于是G 仅是关于z y x ,,的函数. 记 ),,(),,(z y x G z y x =ϕ, 所以),,(),,(tz ty tx F z y x t k =φ, 令1=t , 则有),,(),,(z y x F z y x =φ.因此),,(),,(tz ty tx F z y x F t k =.故F 为k 次齐次函数. 因为 ),())(()()())((),(2222y x z t ty tx ty tx ty tx ty tx z =−+=,所以),(y x z 为2次齐次函数.7.设),,(z y x f 具有性质),,(),,(z y x f t z t y t tx f nmk= )0(>t ,证明: (1) ,,1(),,(m knxz x y f x z y x f =; (2) ),,(),,(),,(),,(z y x nf z y x mzf z y x kyf z y x xf z y x =++. 证:(1) 在),,(),,(z y x f t z t y t tx f nmk=中令 xt 1=,得),,(),,1(z y x f x x z x y f n m k −=,即),,1(),,(mk nx z x y f x z y x f =(2) 令z t y t tx mk===ζηξ,,,并对),,(),,(z y x f t z t y t tx f nmk=两边关于t 求导得),,(),,(),,(),,(111z y x f nt zf mt yf kt xf n m k −−−=++ζηξζηξζηξζηξ,令1=t , 则有),,(),,(),,(),,(z y x nf z y x mzf z y x kyf z y x xf z y x =++.8.设由行列式表示的函数)( )( )( )()(1111t a t a t a t a t D nn n n "##"=,其中 ),,2,1,( )(n j i t a ij "= 的导数都存在,证明∑=′′=nk nn n kn kn t a t a t a t a t a t a dt t dD 111111)( )( )( )( )( )()("##"##" . 证:记 ),,2,1,( )(n j i t a x ij ij "==,且nnn n n nnn ij x x x x x x x x x x x x x f ),,,,,(2122221112111211"""""""""=, (1)由行列式定义知f 为2n 元可微函数,易见))(,),(,),(),(()(1211t a t a t a t a f t D nn ij ""=.于是由复合函数求导法则知)()(1,1,t a x fdt dx x f t D ijijnj i ij ij nj i ′⋅∂∂=⋅∂∂=′∑∑==. (2) 记(1)的右边行列式中ij x 的代数余子式为ij A ,则ij ij nj i nn ij A x x x x x f ∑==1,1211),,,,,("",从而 ij ij A x f=∂∂ 代入(2)得)()()(11t A t a t D ij ijn i nj ′==′∑∑==.其中)(t A ij 是将ij A 的元素kL x 换为)(t a kL 后得的1−n 阶行列式,它恰为行列式)( )( )( )( )( )( )( )( )(212111211t a t a t a t a t a t a t a t a t a nn n n kn k kn "###"###"′′′ 中)(t a ij′的代数余子式, 于是由(3)知 ∑=′′′=′n i nn nn n ini i n t a t a t a t a t a t a t a t a t a t D 112111211)( )( )( )( )( )( )( )( )()("###"###".。
复合函数微分什么是复合函数微分?在数学中,一种被广泛应用的工具就是函数。
如果两个(或更多)函数相互作用,形成了新的函数,那么这种构成新函数的方式就被称为“复合函数”,也被称作“组合函数”。
复合函数的微分,也被称为复合函数的导数,指的是在函数中进行微分时,相继执行的一系列函数的导数相乘的结果。
关于复合函数微分,也就是求 $y = f(g(x))$ 的导数,我们已有一个方法:链规则。
假设我们有两个函数 $f(x)$ 和 $g(x)$,那么它们的复合函数$h(x) = f(g(x))$。
那么复合函数的导数就可以表示为:$$\frac{dh}{dx} = \frac{df}{dg} \times \frac{dg}{dx}$$这种方法就是链规则,它是一种用于计算复合函数导数的方法。
需要注意的是,由于两个函数组成了复合函数,所以在微分的时候,要先求出里面最先执行的函数的导数,再求下一个,一直到最后一个函数。
举个例子,假设我们有一个函数 $h(x) = (x^2 + 3)^3$,我们现在要求它的导数,也就是 $h'(x)$。
那么我们可以使用链规则来求解。
我们可以将 $h(x)$ 分开成两个函数:$$f(x) = x^3$$$$g(x) = x^2 + 3$$相应地,可以写出它们的导数:$$f'(x) = 3x^2$$$$g'(x) = 2x$$将它们代入链规则的公式中,就可以求出 $h'(x)$:$$(x^2 + 3)^3)' = 3(x^2 + 3)^2 \times (x^2 + 3)'$$$$= 3(x^2 + 3)^2 \times 2x$$$$= 6x(x^2 + 3)^2$$总结一下,复合函数微分是一种计算复合函数导数的方法。
其核心就是链规则,在求解中,我们需要分别求出每个函数的导数,并进行相应的处理。
除了求导数之外,复合函数还可以应用在微积分、概率论等数学领域,成为一个非常重要的概念。
复合函数微分法复合函数微分法是一种求解复合函数的数学方法,它是一种运用微积分求解连续复合函数的数学方法。
它是用微分学的结果来求复合函数的微分形式,对连续复合函数进行一阶或多阶的求导,从而解决复杂的函数方程。
复合函数微分法的定义及基本原理复合函数微分法是指在一次函数或多次函数的基础上,把另一函数加进去,构成复合函数,然后通过求导来求得复合函数的微分形式。
基本原理是,假设有一组未知函数f(x),其中f是复合函数,它由一个函数g(x)和另一个函数h(g(x))组成,即f(x)=h(g(x))。
进行复合函数微分法时,首先求g(x)的导数,然后再求取h(g(x))的导数,从而得到f(x)的导数。
复合函数微分法的具体应用复合函数微分法可以应用于各种函数的求解,比如求复杂函数的微分形式、求函数及其极限、求积分等。
具体来说,复合函数微分法可以帮助解决有一次函数和多次函数组成的复合函数方程,其中可包括多项式函数、指数函数、对数函数等。
一次函数求导时,可以用一次函数微分法,求出函数的导数;多次函数求导时,可以用链式法则,求出函数的导数。
另外,对于函数的极限或积分的求解,都可以用复合函数微分法。
比如,求取指数函数的极限时,可以用复合函数微分法,从而很容易求取指数函数的极限。
复合函数微分法的优势复合函数微分法具有很多优势,比如:(1)复合函数微分法可以解决复杂的函数方程,这是其最大的优势;(2)复合函数微分法能同时运用一次函数微分法和链式法则,可以求出各种复杂函数的导数;(3)复合函数微分法可以计算函数的极限,也可以计算积分,从而方便得到方程的解析解。
总结复合函数微分法是一种求解复合函数的数学方法,它是用微分学的结果来求复合函数的微分形式,用于求解复杂函数方程、函数极限和积分等问题。
复合函数微分法具有解决复杂函数方程、同时运用一次函数微分法和链式法则、计算函数极限和积分等优势,是一种有效的复合函数求解方法。