数理统计答案第四章汪荣鑫
- 格式:doc
- 大小:430.00 KB
- 文档页数:6
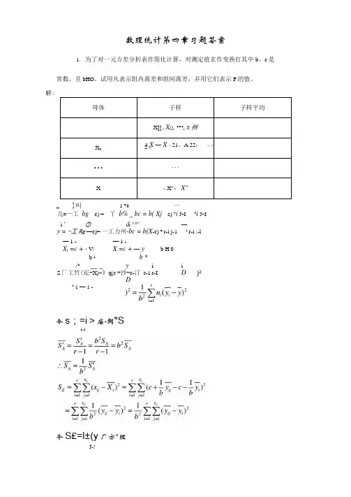
数理统计第四章习题答案1.为了对一元方差分析表作简化计算,对测定值玄作变换打其中b、c是常数,且bHO。
试用凡表示组内离差和组间离差,并用它们表示F的值。
解:母体子样子样平均X]] , X l2, •••, x州X2x X — X 八21,A 22,>八2旳•••• • •X 心.X":X"_ ]叫 1 %一儿=—工bg _ c) = _ 丫b% _ bc = b( Xj _ c) n i J-I n i J-I_ i ’①& r n' —y = -工Rg—c)= 一工力州-bc = b(X-c) n r-i j-1 ,l r-i ;-l— 1 - — 1 -X i =c + - V/ X =c + — y b H 0b • b */•__ _ y i _ i _S厂工竹(疋-X)~》q(c +沙-c-汀r-1 r-I DD令s;=i>庙-弼"S1-1令S£=l±(y厂亦"理J-!)2r 1 — 1 -电=b£n-r n一r—1 7T —F = — = ^ = F fS E右石S;2、有四个厂生产1.5伏的3号干电池。
现从每个工厂产品中各取一子样,测量苴寿命得到数值如下:问四个厂干电池寿命有无显著差异(Q = 5%) ?解:假设丹0 : M = “2 = “3 = “4H\:m“2血从不全为零r = 4 n x =5 n2 = 4 ® =5 n4 =6 n = 20 X = 24.52经il査表得九os (3,16) = 3.24I 如"4745<耘(3,⑹故接受即可认为四个干电池寿命无显箸差异。
3、抽查某地区三所小学五年级男学生的身髙,得数拯如下:试问该地区三所小学五年级男学生的平均身高是否有显著差异(a = 5%)? 解:假设H°:“=“2=“3H\ :丛“2 “3不全相等r = 3 n A=n2=n3=6 X = 140.9278仏(2」5) = 3・68F = 4.373 >3.68 = ^(2,15)二拒绝H()故可认为该地区三所小学五年级男生平均身髙有显著差异。
数理统计习题答案第一章1.解: ()()()()()()()12252112222219294103105106100511100519210094100103100105100106100534n i i n i i i i X x n S x x x n ===++++====-=-⎡⎤=-+-+-+-+-⎣⎦=∑∑∑2. 解:子样平均数 *11li i i X m x n ==∑()118340610262604=⨯+⨯+⨯+⨯=子样方差 ()22*11l i i i S m x x n ==-∑()()()()222218144034106422646018.67⎡⎤=⨯-+⨯-+⨯-+⨯-⎣⎦=子样标准差 2 4.32S S == 3. 解:因为i i x ay c-=所以 i i x a cy =+11ni i x x n ==∑()1111ni i ni i a cy n na cy n ===+⎛⎫=+ ⎪⎝⎭∑∑1nii c a y n a cy==+=+∑ 所以 x a cy =+ 成立()2211nxi i s x x n ==-∑()()()22122111ni i ini i nii a cy a c y n cy c yn c y y n====+--=-=-∑∑∑因为 ()2211nyi i s y yn ==-∑ 所以222x ys c s = 成立 ()()()()()172181203.2147.211.2e n n e nM X X R X X M X X +⎛⎫ ⎪⎝⎭⎛⎫+ ⎪⎝⎭====-=--====4. 解:变换 2000i i y x =-i1 2 3 4 5 6 7 8 9 i x 1939 1697 3030 2424 2020 2909 1815 2020 2310 i y-61-303103042420909-1852031011n i i y y n ==∑()161303103042420909185203109240.444=--++++-++=()2211n y i i s y y n ==-∑()()()()()()()()()222222222161240.444303240.4441030240.4449424240.44420240.444909240.444185240.44420240.444310240.444197032.247=--+--+-+⎡⎣-+-+-+⎤--+-+-⎦=利用3题的结果可知2220002240.444197032.247xyx y s s =+===5. 解:变换 ()10080i i y x =-i1 2 3 4 5 6 7 8 9 10 11 12 13 i x 79.98 80.04 80.02 80.04 80.03 80.03 80.04 79.97 80.05 80.03 80.02 80.00 80.02 i y-2424334-3532213111113n i i i i y y y n ====∑∑ []12424334353202132.00=-++++++-+++++=()2211n y i i s y y n ==-∑()()()()()()22222212 2.0032 2.005 2.0034 2.001333 2.003 2.005.3077=--+⨯-+-+⨯-⎡⎣⎤+⨯-+--⎦=利用3题的结果可知2248080.021005.30771010000yx yx s s -=+===⨯ 6. 解:变换()1027i i y x =-*i x23.5 26.1 28.2 30.4 i y -35 -9 12 34 i m234111li i i y m y n ==∑()13529312434101.5=-⨯-⨯+⨯+=-2710yx =+=26.85 ()2211lyi i i s m y y n ==-∑()()()()22221235 1.539 1.5412 1.534 1.510440.25⎤=⨯-++⨯-++⨯+++⎡⎣⎦= 221 4.4025100x y s s ==7解:身高 154158 158162 162166 166170 170174 174178 178182 组中值 156 160 164 168 172 176180学生数101426281282*11li i i x m x n ==∑()1156101601416426172121682817681802100166=⨯+⨯+⨯+⨯+⨯+⨯+⨯=()22*11l i i i s m x x n ==-∑()()()()()()()2222222110156166141601662616416628168166100121721668176166218016633.44=⨯-+⨯-+⨯-+⨯-⎡⎣⎤+⨯-+⨯-+⨯-⎦=8解:将子样值重新排列(由小到大)-4,-2.1,-2.1,-0.1,-0.1,0,0,1.2,1.2,2.01,2.22,3.2,3.21()()()()()172181203.2147.211.2e n n e nM X X R X X M X X +⎛⎫ ⎪⎝⎭⎛⎫+ ⎪⎝⎭====-=--====9解: 121211121211n n i ji j n x n x n n x n n ==+=+∑∑112212n x n xn n +=+()12221121n n i i s x x n n +==-+∑10.某射手进行20次独立、重复的射手,击中靶子的环数如下表所示:环数 10 9 8 7 6 5 4 频数23942试写出子样的频数分布,再写出经验分布函数并作出其图形。
第一章随机过程的基本概念1.设随机过程X(t)=X cosω0t,-∞ <t< +∞,其中ω0是正常数,而X是标准正态变量。
试求X(t)的一维概率分布解:∵当cosω0t=0 即ω0 t =(k + 1)π 即t=1(k+1)π时2 ω0 2p{x(t)=0}=1若 c o ωs0t≠ 0 即t ≠1 (k+ 1 )π时2ω0F (x, t)= P{X (x)≤ x}= P{X cosω0t ≤ x} 当 c o ωs0t> 0 时此时若 c o ωs0t同理有⎧ x ⎫ 1 x - ξ 22F (x, t)= P⎨X ≤ ⎬ = cosω0t e dξ⎩ cosω0t ⎭ 2π⎰0∂F (x, t ) 1 - x2 1f (x, t)= = e 2 c o 2sω 0t⋅∂x c o sω0tπ< 0 时⎧ x ⎫ ⎧ x ⎫F (x, t)= P⎨X ≥ ⎬ = 1 -P⎨x< ⎬⎩ cosω0t⎭ ⎩ cosω0t⎭1 x e- ξ 2= 1 - cosω0t 2 dξ⎰0- x21f (x, t)= - 2 c o 2sω t ⋅c o ωs0t综上当:cosω0t≠0 即t ≠1 (k+ 1 )π时ω0 21 1 - x2f (x, t) e 2 cos2 ω0t| cosω0 t |π2.利用投掷一枚硬币的试验,定义随机过程为⎧cos πt , 出现正面X (t ) = ⎨⎩ 2t , 出现反面1假定“出现正面”和“出现反面”的概率各为 1 2 。
试确定 X (t ) 的一维分布函数 F (x , 2)和 F (x ,1) ,以及二维分布函数 F (x 1 , x 2 ;12 ,1)解:(1)先求 F (x , 1 )2⎧ π 出现正面 ⎧0⎛ 1 ⎫ ⎪cos 2 , 出现正面显然 X⎪ = ⎨= ⎨1出现反面 ⎝ 2 ⎭ ⎪2 - , 出现反面 ⎩12⎩⎛ 1 ⎫随机变量 X ⎪ 的可能取值只有 0,1 两种可能,于是⎝ 2 ⎭⎧ ⎛ 1 ⎫ ⎫ 1⎧ ⎛ 1 ⎫⎫ 1 P ⎨X⎪ = 0⎬ =P ⎨X⎪ = 1⎬ =⎩ ⎝ 2 ⎭⎭ 2 ⎩ ⎝ 2 ⎭⎭ 2所以⎧ 0 x < 0⎛1 ⎫ ⎪ 1F x ,⎪ =⎨ 0 ≤ x < 1⎝2 ⎭ 2⎪1 x ≥ 1⎩再求 F (x ,1)⎧cos π 出现正面 ⎧-1 出现正面显然 X (1) = ⎨= ⎨⎩2出现反面 ⎩2出现反面p {X (1) = -1}= p {X (1) = 2}= 12所以⎧0x < -1⎪ 1F (x ,1) = ⎪-1 ≤ x < 2⎨ 2⎪⎪1x ≥ 2⎩1(2) 计算 F (x 1 , x 2 ; 2 ,1)1 0 出现正面-1 出现正面X () = ⎨出现反面, X (1) = ⎨出现反面2⎩1⎩2于是⎛ 1 ⎫⎧ ⎛ 1 ⎫ ⎫ F x x 1 , x 2 ; ,1⎪ =p ⎨X ⎪ ≤ x 1 ; X (1) ≤ x 2 ⎬⎝2 ⎭⎩⎝ 2 ⎭⎭⎧0 x 1 < 0- ∞ < x 2 < +∞⎪或 x 1 ≥ 0, x 2 < -1⎪⎪ 10 ≤ x 1 < 1, 2 ≤ x 2= ⎨2 ⎪ 或 x 1> 1,⎪ -1 ≤ x 2 < 2⎪⎩1x 1 > 1,x 2 ≥ 23.设随机过程 {X (t ),-∞ < t < +∞}共有三条样本曲线X (t,ϖ1 ) = 1, X (t,ϖ 2 ) = sin t , X (t,ϖ 3 ) = cos t且 p(ϖ1 ) = p(ϖ 2 ) = p(ϖ 3 ) = 1 , 试求随机过程 X (t ) 数学期望 EX(t) 和相关函数3 R x (t 1,t 2)。
第四章数字待征4・1 解:£(X) = Vx p ;=iE (门=2>少产09I•.甲机床生产的零件茨品数多于乙机床生产蹒件次融,又•.•两硼床的^的产量相同 ••.乙机床生产的豹的质量较好.4・2解;X 的所有可能取值为:3, 4, 5E(X) = Vxp. =3x0・l + 4x0.3 + 5x0.6 =4.5P{X= 5}=fl0.6尸心3}=P{X = 4} =00$T =0001*OOS-粹(000—畔1-了 +呻i =ooor z OOH护(x)/J =(y)jL l = £Oxt = ^ = CY)y (LO £)&-/!«审伽里必坊叱也範銮黔砲OK申站尋卄d .[(d_DT】= 二Y = — = ^-i)^Z= d^Z = Cr)j……£ = [ = “¥«_【対={—汕4.10裁见课本后面231页参考答秦心腿抿題1泊: 4.11解:设i酒为“,方差为(J:,则X~N( UP(A F>96)=1-P(X<96)= 1-P( )所以酸在60到84的抚率为P(60 S X S 84) = P(竺丄 < 丄上12 a4151)=20(1)-1-2x0.8413 ・1=0.68264.!2E(X 2) = OxO4+l :xO.3 + 22xO2+3:xO 1 = 2£(5X 2 + 4) = 4x0.4+(5xl 2 + 4)x0.3 + (5x22 + 4)x0 2+(5x3:+ 4)x0.1 = 14EQ ・)=£(2X) = F 2xe^dx =£( V) = H V |: + 不呦4.13 H :=2(-厂)|; = 24 15聲看课本后面231页答案E(T) = E(<?4) = {「Q-3x4.14 H: r = —3设球的肓径为x 则:/(x) = ^-a■a<x<b其它4^Xi够胡_子)胡尹兄◎挣牛在 夕卜吕(》如4.16 解:仁(x)=匸/(〔>)4 = f. 12yd> = 4xf (v)=匸fg)e=j l lydx=12y -12y3£W =匸/「(X)•曲叮 4.X逐 WE(T)=匸/ (x) ydy = [ 12y -12y*d> = |E(AT)= [f f(x,y)xydxdy = [f 12xy dxdy = ' 12xtic =0<><xS 03 0 2E(X、心(环讼諒4.&=|£(丫)=匚/())y0 = fl2y°-12ydy =;4"解•.X与Y相互独立,■• •EQT) = E(X)E(D = f 疋还f〉/迪.二(扌斗:)J; "(4)°JO= jx(一“i|;+J;/•⑥)=亍[5 + (r 灯)卩彳x(5+l) = 44.18, 4.19, 4・20势看课本后面231, 232页答秦• 9•4上设X表示10颗骰子皈的点数之和,X (心1丄…10)表示第:颗般子出现的点«,则X^X:,且X\,X“・X*是*1独立同分布的,又E(A;)=1X1+2X1+...+6X1=A1o o 6 610 10 九^£(A^ = £(yXJ = X£W = 1Ox^ = 35MI Z64.22爹看课本后面232页答案4.23 E(X\ = OxO4 + l2xO.3 + 22xO2+35xO 1 = 2D(X)= £(X:)-[£(X)]2 =2-l2=l£(F2)=O X O.3+12X O5+22X O.2+32X O=1.3z)(y)=£(r2)-[£(r)j2=1.3-0.^ =0.49 4.24E(X:)叮斗皿+胆毎存*卜护+护|;十¥ = ¥DW = E(X:) - [E(X)f =y-4 = |Var(X) = E(X:)-[E(X)f =[我[[加r],0 其它-1 < > < 1 其它4.25Zr(x) = {呼—0 其它二扌-1<X<10其它w •计 m 吏支ue >n ¥x =p > “轻H£5>^V 3«20)P A#・0Z —X GUNbl -%十»・x )4+・:+(E 4.+c r )4MKs s(T )Q +(电Q «(W+...+W +WQ »§(小)2•士小 N+示)3 Hf …咅麗&。
数理统计习题答案 第一章1.解:()()()()()()()12252112222219294103105106100511100519210094100103100105100106100534n i i n i i i i X x n S x x x n ===++++====-=-⎡⎤=-+-+-+-+-⎣⎦=∑∑∑2. 解:子样平均数 *11li i i X m x n ==∑()118340610262604=⨯+⨯+⨯+⨯=子样方差 ()22*11l i i i S m x x n ==-∑()()()()222218144034106422646018.67⎡⎤=⨯-+⨯-+⨯-+⨯-⎣⎦=子样标准差4.32S == 3. 解:因为i i x ay c-=所以 i i x a cy =+11ni i x x n ==∑()1111ni i ni i a cy n na cy n ===+⎛⎫=+ ⎪⎝⎭∑∑1nii c a y n a cy==+=+∑ 所以 x a cy =+ 成立()2211nxi i s x x n ==-∑()()()22122111ni i ini i nii a cy a c y n cy c yn c y y n====+--=-=-∑∑∑因为 ()2211nyi i s y yn ==-∑ 所以222x ys c s = 成立 ()()()()()172181203.2147.211.2e n n e nM X X R X X M X X +⎛⎫ ⎪⎝⎭⎛⎫+ ⎪⎝⎭====-=--====4. 解:变换 2000i i y x =-11n i i y y n ==∑()61303103042420909185203109240.444=--++++-++=()2211n y i i s y y n ==-∑()()()()()()()()()222222222161240.444303240.4441030240.4449424240.44420240.444909240.444185240.44420240.444310240.444197032.247=--+--+-+⎡⎣-+-+-+⎤--+-+-⎦=利用3题的结果可知2220002240.444197032.247xyx y s s =+===5. 解:变换 ()10080i i y x =-13111113n i i i i y y y n ====∑∑ []12424334353202132.00=-++++++-+++++=()2211n y i i s y y n ==-∑()()()()()()22222212 2.0032 2.005 2.0034 2.001333 2.003 2.005.3077=--+⨯-+-+⨯-⎡⎣⎤+⨯-+--⎦=利用3题的结果可知2248080.021005.30771010000yx ys s -=+===⨯ 6. 解:变换()1027i i y x =-11li i i y m y n ==∑()13529312434101.5=-⨯-⨯+⨯+=-2710yx =+=26.85 ()2211lyi i i s m y y n ==-∑()()()()22221235 1.539 1.5412 1.534 1.510440.25⎤=⨯-++⨯-++⨯+++⎡⎣⎦= 221 4.4025100x y s s ==*11li i i x m x n ==∑()1156101601416426172121682817681802100166=⨯+⨯+⨯+⨯+⨯+⨯+⨯=()22*11l i i i s m x x n ==-∑()()()()()()()2222222110156166141601662616416628168166100121721668176166218016633.44=⨯-+⨯-+⨯-+⨯-⎡⎣⎤+⨯-+⨯-+⨯-⎦=8解:将子样值重新排列(由小到大)-4,-2.1,-2.1,-0.1,-0.1,0,0,1.2,1.2,2.01,2.22,3.2,3.21()()()()()172181203.2147.211.2e n n e nM X X R X X M X X +⎛⎫ ⎪⎝⎭⎛⎫+ ⎪⎝⎭====-=--====9解: 121211121211n n i ji j n x n x n n x n n ==+=+∑∑112212n x n xn n +=+()12221121n n ii s x x n n +==-+∑试写出子样的频数分布,再写出经验分布函数并作出其图形。
数理统计习题答案第一章1.解: ()()()()()()()12252112222219294103105106100511100519210094100103100105100106100534n i i n i i i i X x n S x x x n ===++++====-=-⎡⎤=-+-+-+-+-⎣⎦=∑∑∑2. 解:子样平均数 *11li i i X m x n ==∑()118340610262604=⨯+⨯+⨯+⨯=子样方差 ()22*11l i i i S m x x n ==-∑()()()()222218144034106422646018.67⎡⎤=⨯-+⨯-+⨯-+⨯-⎣⎦=子样标准差4.32S ==3. 解:因为i i x ay c-=所以 i i x a cy =+11ni i x x n ==∑()1111ni i ni i a cy n na cy n ===+⎛⎫=+ ⎪⎝⎭∑∑1nii c a y n a c y==+=+∑ 所以 x a c y =+ 成立()2211nxi i s x x n ==-∑()()()22122111ni i ini i nii a cy a c y n cy c yn c y y n====+--=-=-∑∑∑因为 ()2211n y i i s y yn ==-∑ 所以222x ys c s = 成立()()()()()172181203.2147.211.2e n n e nM X X R X X M X X +⎛⎫ ⎪⎝⎭⎛⎫+ ⎪⎝⎭====-=--====4. 解:变换 2000i i y x =-11n i i y y n ==∑()61303103042420909185203109240.444=--++++-++= ()2211n y i i s y y n ==-∑()()()()()()()()()222222222161240.444303240.4441030240.4449424240.44420240.444909240.444185240.44420240.444310240.444197032.247=--+--+-+⎡⎣-+-+-+⎤--+-+-⎦=利用3题的结果可知2220002240.444197032.247xyx y s s =+===5. 解:变换 ()10080i i y x =-13111113n i i i i y y y n ====∑∑ []12424334353202132.00=-++++++-+++++=()2211n y i i s y y n ==-∑()()()()()()22222212 2.0032 2.005 2.0034 2.001333 2.003 2.005.3077=--+⨯-+-+⨯-⎡⎣⎤+⨯-+--⎦=利用3题的结果可知2248080.021005.30771010000yx yx s s -=+===⨯ 6. 解:变换()1027i i y x =-11li i i y m y n ==∑()13529312434101.5=-⨯-⨯+⨯+=-2710yx =+=26.85 ()2211lyi i i s m y y n ==-∑()()()()22221235 1.539 1.5412 1.534 1.510440.25⎤=⨯-++⨯-++⨯+++⎡⎣⎦= 221 4.4025100x y s s ==170 170174178*11li i i x m x n ==∑()1156101601416426172121682817681802100166=⨯+⨯+⨯+⨯+⨯+⨯+⨯=()22*11li i i s m x x n ==-∑()()()()()()()2222222110156166141601662616416628168166100121721668176166218016633.44=⨯-+⨯-+⨯-+⨯-⎡⎣⎤+⨯-+⨯-+⨯-⎦= 8解:将子样值重新排列(由小到大)-4,-2.1,-2.1,-0.1,-0.1,0,0,1.2,1.2,2.01,2.22,3.2,3.21()()()()()172181203.2147.211.2e n n e nM X X R X X M X X +⎛⎫ ⎪⎝⎭⎛⎫+ ⎪⎝⎭====-=--====9解: 121211121211n n i ji j n x n x n n x n n ==+=+∑∑112212n x n xn n +=+()12221121n n ii s x x n n +==-+∑()()()1212221122111122121222222111222112212122222211221122112212121222211211122121n n i i n n i ji j x xn n x x n x n x n n n n n s x n sx n x n xn n n n n s n s n x n x n x n x n n n n n n n n n x n n s n sn n +====-++⎛⎫+=- ⎪++⎝⎭+++⎛⎫+=-⎪++⎝⎭⎛⎫+++=+- ⎪+++⎝⎭+++=++∑∑∑()()()()()()22212211222122222112212112212122121222212121122212122n n x n x n x n n n s n s n n x n n x n n x x n n n n n n x x n s n s n n n n +-++++-=+++-+=+++解:()20040.1460.3670.75790.9910110x x x F x x x x <⎧⎪≤<⎪⎪≤<=⎨≤<⎪⎪≤<⎪≥⎩15415816216617017417812. 解: ()ix P λ i Ex λ= i Dx λ= 1,2,,i n =⋅⋅⋅1122111111n n i i i i nni i i i n E X E x Ex n n n n DX Dx Dx n n n nλλλλ============∑∑∑∑13.解:(),i x U a b 2i a bEx += ()212i b a Dx -= 1,2,,i n =⋅⋅⋅ 在此题中()1,1ix U - 0i Ex = 13i Dx = 1,2,,i n =⋅⋅⋅112111101113n ni i i i nni ii i E X E x Ex n n DX Dx Dx n n n ==========∑∑∑∑14.解:因为 ()2,iX N μσ 0i X Eμσ-= 1i X Dμσ-=所以()0,1i X N μσ- 1,2,,i n =⋅⋅⋅由2χ分布定义可知()222111nni ii i X Y Xμμσσ==-⎛⎫=-= ⎪⎝⎭∑∑服从2χ分布所以 ()2Yn χ15. 解:因为 ()0,1i X N 1,2,,i n =⋅⋅⋅ ()1230,3X X X N ++0E=1=所以()0,1N()221χ同理()221χ由于2χ分布的可加性,故()222123Y χ=+可知 13C =16. 解:(1)因为 ()20,i X N σ 1,2,,i n =⋅⋅⋅()0,1iX N σ所以 ()22121ni i X Y n χσσ=⎛⎫= ⎪⎝⎭∑(){}11122Y Y y F y P Y y P σσ⎧⎫=≤=≤⎨⎬⎩⎭ ()220yf x dx σχ=⎰()()211'221Y Y y f y F y f χσσ⎛⎫==⨯ ⎪⎝⎭因为 ()2122202200n x n x e x n f x x χ--⎧⎪>⎪⎛⎫=⎨Γ ⎪⎪⎝⎭⎪≥⎩所以 ()21122202200n y n n Y y e y n f y y σσ--⎧⎪>⎪⎛⎫=⎨Γ ⎪⎪⎝⎭⎪≤⎩(2) 因为 ()20,i X N σ 1,2,,i n =⋅⋅⋅()0,1iX N σ所以 ()22221ni i X nY n χσσ=⎛⎫= ⎪⎝⎭∑(){}()22222220nyY nYny F y P Y y P f x dx σχσσ⎧⎫=≤=≤=⎨⎬⎩⎭⎰()()222'22Y Y ny n f y F y f χσσ⎛⎫==⎪⎝⎭故 ()221222202200n n ny n n Y n y e y n f y y σσ--⎧⎪>⎪⎛⎫=⎨Γ ⎪⎪⎝⎭⎪≤⎩(3)因为 ()20,iX N σ 1,2,,i n =⋅⋅⋅()10,1niN=所以()22311niYnχσ=⎛=⎝(){}()()2233321ynYYF y P Y y P y f x dxnσχσ⎧⎫=≤=≤=⎨⎬⎩⎭⎰()()()233'2211Y Yyf y F y fn nχσσ⎛⎫== ⎪⎝⎭()()22100xxf xxχ-⎧>=≤⎩故()232000ynYyf yyσ-⎧>=≤⎩(4)因为()20,iX N σ1,2,,i n=⋅⋅⋅所以()()1224210,11niniNYχσ==⎛=⎝(){}()()()()()22422444221'2211yYYY yF y P Y y P f x dxyf y F y fσχχχσσσσ⎧⎫=≤=≤=⎨⎬⎩⎭⎛⎫== ⎪⎝⎭⎰故()242000yYyf yyσ-⎧>=≤⎩17.解:因为()X t n存在相互独立的U,V()0,1U N()2V nχ使X =()221Uχ则 221U X V n=由定义可知()21,F n χ18解:因为 ()20,i X N σ 1,2,,i n =⋅⋅⋅()10,1ni N =()221n mi i n X m χσ+=+⎛⎫⎪⎝⎭∑所以()1nniX Y t m ==(2)因为()0,1iX N σ1,2,,i n m =⋅⋅⋅+()()221221ni i n mi i n X n X m χσχσ=+=+⎛⎫ ⎪⎝⎭⎛⎫ ⎪⎝⎭∑∑所以 ()221122211,ni n i ii n mn mi ii n i n X m X n Y F n m X n X mσσ==++=+=+⎛⎫⎪⎝⎭==⎛⎫ ⎪⎝⎭∑∑∑∑19.解:用公式计算()20.010.019090χ=查表得 0.01 2.33U =代入上式计算可得 ()20.01909031.26121.26χ=+=20.解:因为 ()2X n χ 2E n χ= 22D n χ=由2χ分布的性质3可知()0,1N{}P X c P ≤=≤22lim t n P dt -→∞-∞≤==Φ 故 {}P X c ≤≈Φ第 二 章1.,0()0,0()()1()111x x x x xe xf x x E x f x xdx xe dxxe e d x e xλλλλλλλλλλλλ-+∞+∞--∞+∞+∞--+∞-⎧≥=⎨<⎩=⋅==-+=-==⎰⎰⎰令从而有 1x λ∧=2.()111121).()(1)(1)1111k k x x E x k p p p k p ppp ∞∞--===-=-==⎡⎤--⎣⎦∑∑令1p =X所以有1p X∧=2).其似然函数为1`11()(1)(1)ni x i i nX nn i L P P p p p -=-=∑=-=-∏1ln ()ln ()ln(1)n i i L P n p X n p ==+--∑1ln 1()01ni i d L n X n dp p p ==--=-∑解之得11nii np XX∧===∑3.解:因为总体X服从U(a ,b )所以()2122!2!!()12ni i a b n E X r n r X X X X a b S X b X =∧∧+=--⎧=⎪⎪⎨-⎪=⎪⎩⎧=-⎪⎨⎪=+⎩∑222(a-b )() D (X )=12令E (X )= D (X )=S ,1S =n a+b2()a4. 解:(1)设12,,n x x x 为样本观察值则似然函数为:111()(),01,1,2,,ln ()ln ln ln ln 0n ni i i nii inii L x x i nL n x d L nxd θθθθθθθθ-====<<==+=+=∏∑∑(-1)解之得:11ln ln nii nii nxnxθθ=∧==-==∑∑(2)母体X 的期望1()()1E x xf x dx x dx θθθθ+∞-∞===+⎰⎰而样本均值为:11()1nii X x n E x X X Xθ=∧===-∑令得5.。
P168
2解:假设0
1234:H μμμμ=== 112
34:H μμμμ不全为零
1234454562024.52r n n n n n X =======
经计算可得下列反差分析表:
查表得0.05(3,16) 3.24F =
0.0517.8837
0.4745(3,16)37.6887
F F =
=<
故接受0H 即可认为四个干电池寿命无显着差异 3 解:假设0
123:H μμμ==
1123:H μμμ不全相等
12336140.9278r n n n X =====
经计算可得下列方差分析表:
0.050.05(2,15) 3.68
4.373 3.68(2,15)
F F F ==>=
∴拒绝0H 故可认为该地区三所小学五年级男生平均身高有显着差异。
4 解: 假设01234:H μμμμ===
11234:H μμμμ不全相等
123445100.535r n n n n X ======
0.05(3,16) 3.24F = 0.05(3,16) 3.24F F >=
∴拒绝0H 故可认为这几支伏特计之间有显着差异。
5 解:假设012345:H μμμμμ====
112345:H μμμμμ不全相等
60 1234553
89.6r n n n n n X =======
0.050.05(4,10) 3.4815.18(4,10)F F F ==>
∴拒绝0H 故可认为温度对得率有显着影响
2
151515
11(,(
))X X N n n μμσ--+ 由T 检验法知:
()T t n r =
-
给定的置信概率为10.95α-=
0.025{()}0.95P T t n r <-=
故15μμ-的置信概率为的置信区间为
150.025150.025((,()E E X X t n r X X t n r ----+-
2.236E S =
== 0.025(10) 2.2281t =
由上面的数据代入计算可得:
150.025150.0259084 2.2281 2.236 1.932210.0678E E X X t X X t --=--⨯=-+=
故15μμ-的置信区间为( , )
2
343434
11(,(
))X X N n n μμσ--+ 由T 检验法知:
()X X T t n r =
-
34μμ-的置信区间为:
340.025340.025((,()E E X X t n r X X t n r ----+-
代入数据计算得:
340.025340.02510 2.2281 2.236 5.932714.0678E E X X t X X t --=-⨯=-+=
故34μμ-的置信区间为( , ) 8 解:假设01123:0H ααα=== 假设021234:0H ββββ====
r
0.01(2,6)10.92F = 0.01(3,6)9.78F = 0.01(2,6)A F F < 0.01(3,6)B F F >
故接受01H ,拒绝02H
即可认为不同加压水平对纱支强度无显着差异;既可认为不同机器对纱支强度有显着差异。
9 解:假设011234:0H αααα==== 假设02123:0H βββ=== 假设03:01,2,3,4;1,2,3ij H i j γ===
433,A B r s k F F ===和I F 的值
可按入夏二元方差分析表来引进
来源 离差平方和
自由度
均方离差
F 值
机器A
3 A F = B F =
I F =
机器B
2 交互作用 6 误差
24 总和
35
0.05(3,24) 3.01F = 0.05(2,24) 3.40F = 0.05(6,24) 2.51F = 0.05(3,24)A F F < 0.05(2,24)B F F > 0.05(6,24)I F F >
故接受01H ,拒绝02H ,03H
即可认为机器之间的差异不显着,操作工之间的差异显着,交互作用的影响也显着。
10、 解:假设01123:0H ααα===
021234:0H ββββ==== 03:01,2,3,;
1,2,3,4ij H i j γ===
38
3
42,A B r s k F F ===和I F 的值可按入夏二元方差分析表
来源 离差平方和
自由度 均方离差
F 值 浓度A 2 A F = B F =
I F =
温度B 3 交互作用 6 误差
12 总和
23
0.05(2,12) 3.89F = 0.05(3,12) 3.49F = 0.05(6,12) 3.00F = 0.05(2,12)A F F > 0.05(3,12)B F F < 0.05(6,12)I F F <
故拒绝01H ,接受02H ,03H
即可认为浓度对得率的影响显着,而温度和交互作用对得率的影响不显着。