数理统计 汪荣鑫 西安交通大学出版社 课后答案
- 格式:pdf
- 大小:10.63 MB
- 文档页数:96
随机过程习题解答第一章习题解答1.设随机变量X 服从几何分布,即:(),0,1,2,kP X k pqk ===。
求X 的特征函数,EX 及DX 。
其中01,1p q p <<=-是已知参数。
解()()jtxjtk k X k f t E ee pq ∞===∑ =()1jt k jtk pp qe qe ∞==-∑又200()kkk k q qE X kpq p kq p p p ∞∞======∑∑(其中 0(1)nnnn n n nx n x x ∞∞∞====+-∑∑∑)令 0()(1)nn S x n x ∞==+∑则 1000()(1)1xxnn k n xS t dt n t dt x x∞∞+===+==-∑∑⎰⎰同理 2(1)2kkkk k k k k kx k x kx x ∞∞∞∞=====+--∑∑∑∑令2()(1)kk S x k x ∞==+∑ 则211()(1)(1)xkk kk k k S t dt k t dt k xkx ∞∞∞+====+=+=∑∑∑⎰)2、(1) 求参数为(,)p b 的Γ分布的特征函数,其概率密度函数为(2) 其期望和方差;(3)证明对具有相同的参数的b 的Γ分布,关于参数p 具有可加性。
解 (1)设X 服从(,)p b Γ分布,则 (2)'1()(0)Xp E X fjb∴==(4)若(,)i i X p b Γ 1,2i = 则同理可得:()()i i P X b f t b jt∑=∑-3、设ln (),()(kZ F X E Zk =并求是常数)。
X 是一随机变量,()F x 是其分布函数,且是严格单调的,求以下随机变量的特征函数。
(1)(),(0,)Y aF X b a b =+≠是常数; (2)ln (),()(kZ F X E Z k =并求是常数)。
解(1)11{()}{()}[()]P F x y P x F y F F y y --<=<==(01y ≤≤) ∴00()0111y F y yy y <⎧⎪=≤≤⎨⎪>⎩∴()F x 在区间[0,1]上服从均匀分布()F x ∴的特征函数为11001()(1)jtx jtx jt X e f t e dx e jt jt ===-⎰ (2)ln ()()()[]jtz jt F x Z f t E e E e ===1ln 01jt ye dy ⋅⎰=111jty dy jt =+⎰4、设12n X X X ,,相互独立,且有相同的几何分布,试求1nkk X =∑的分布。
随机过程习题解答第一章习题解答1.设随机变量X 服从几何分布,即:(),0,1,2,kP X k pqk ===。
求X 的特征函数,EX 及DX 。
其中01,1p q p <<=-是已知参数。
解()()jtxjtk k X k f t E ee pq ∞===∑ =()1jt k jtk pp qe qe ∞==-∑又200()kkk k q qE X kpq p kq p p p ∞∞======∑∑(其中 0(1)nnnn n n nx n x x ∞∞∞====+-∑∑∑)令 0()(1)nn S x n x ∞==+∑则 1000()(1)1xxnn k n xS t dt n t dt x x∞∞+===+==-∑∑⎰⎰同理 2(1)2kkkk k k k k kx k x kx x ∞∞∞∞=====+--∑∑∑∑令2()(1)kk S x k x ∞==+∑ 则211()(1)(1)xkk kk k k S t dt k t dt k xkx ∞∞∞+====+=+=∑∑∑⎰)2、(1) 求参数为(,)p b 的Γ分布的特征函数,其概率密度函数为(2) 其期望和方差;(3)证明对具有相同的参数的b 的Γ分布,关于参数p 具有可加性。
解 (1)设X 服从(,)p b Γ分布,则 (2)'1()(0)Xp E X fjb∴==(4)若(,)i i X p b Γ 1,2i = 则同理可得:()()i i P X b f t b jt∑=∑-3、设ln (),()(kZ F X E Zk =并求是常数)。
X 是一随机变量,()F x 是其分布函数,且是严格单调的,求以下随机变量的特征函数。
(1)(),(0,)Y aF X b a b =+≠是常数; (2)ln (),()(kZ F X E Z k =并求是常数)。
解(1)11{()}{()}[()]P F x y P x F y F F y y --<=<==(01y ≤≤) ∴00()0111y F y yy y <⎧⎪=≤≤⎨⎪>⎩∴()F x 在区间[0,1]上服从均匀分布()F x ∴的特征函数为11001()(1)jtx jtx jt X e f t e dx e jt jt ===-⎰ (2)ln ()()()[]jtz jt F x Z f t E e E e ===1ln 01jt ye dy ⋅⎰=111jty dy jt =+⎰4、设12n X X X ,,相互独立,且有相同的几何分布,试求1nkk X =∑的分布。
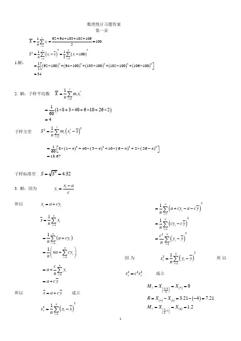
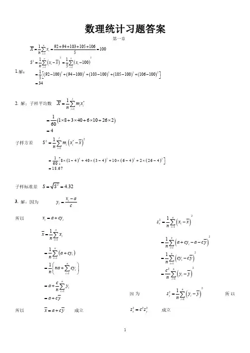
数理统计习题答案第一章1.解: ()()()()()()()12252112222219294103105106100511100519210094100103100105100106100534n i i n i i i i X x n S x x x n ===++++====-=-⎡⎤=-+-+-+-+-⎣⎦=∑∑∑2. 解:子样平均数 *11li i i X m x n ==∑()118340610262604=⨯+⨯+⨯+⨯=子样方差 ()22*11l i i i S m x x n ==-∑()()()()222218144034106422646018.67⎡⎤=⨯-+⨯-+⨯-+⨯-⎣⎦=子样标准差 2 4.32S S == 3. 解:因为i i x ay c-=所以 i i x a cy =+11ni i x x n ==∑()1111ni i ni i a cy n na cy n ===+⎛⎫=+ ⎪⎝⎭∑∑1nii c a y n a cy==+=+∑ 所以 x a cy =+ 成立()2211nxi i s x x n ==-∑()()()22122111ni i ini i nii a cy a c y n cy c yn c y y n====+--=-=-∑∑∑因为 ()2211nyi i s y yn ==-∑ 所以222x ys c s = 成立 ()()()()()172181203.2147.211.2e n n e nM X X R X X M X X +⎛⎫ ⎪⎝⎭⎛⎫+ ⎪⎝⎭====-=--====4. 解:变换 2000i i y x =-i1 2 3 4 5 6 7 8 9 i x 1939 1697 3030 2424 2020 2909 1815 2020 2310 i y-61-303103042420909-1852031011n i i y y n ==∑()161303103042420909185203109240.444=--++++-++=()2211n y i i s y y n ==-∑()()()()()()()()()222222222161240.444303240.4441030240.4449424240.44420240.444909240.444185240.44420240.444310240.444197032.247=--+--+-+⎡⎣-+-+-+⎤--+-+-⎦=利用3题的结果可知2220002240.444197032.247xyx y s s =+===5. 解:变换 ()10080i i y x =-i1 2 3 4 5 6 7 8 9 10 11 12 13 i x 79.98 80.04 80.02 80.04 80.03 80.03 80.04 79.97 80.05 80.03 80.02 80.00 80.02 i y-2424334-3532213111113n i i i i y y y n ====∑∑ []12424334353202132.00=-++++++-+++++=()2211n y i i s y y n ==-∑()()()()()()22222212 2.0032 2.005 2.0034 2.001333 2.003 2.005.3077=--+⨯-+-+⨯-⎡⎣⎤+⨯-+--⎦=利用3题的结果可知2248080.021005.30771010000yx yx s s -=+===⨯ 6. 解:变换()1027i i y x =-*i x23.5 26.1 28.2 30.4 i y -35 -9 12 34 i m234111li i i y m y n ==∑()13529312434101.5=-⨯-⨯+⨯+=-2710yx =+=26.85 ()2211lyi i i s m y y n ==-∑()()()()22221235 1.539 1.5412 1.534 1.510440.25⎤=⨯-++⨯-++⨯+++⎡⎣⎦= 221 4.4025100x y s s ==7解:身高 154158 158162 162166 166170 170174 174178 178182 组中值 156 160 164 168 172 176180学生数101426281282*11li i i x m x n ==∑()1156101601416426172121682817681802100166=⨯+⨯+⨯+⨯+⨯+⨯+⨯=()22*11l i i i s m x x n ==-∑()()()()()()()2222222110156166141601662616416628168166100121721668176166218016633.44=⨯-+⨯-+⨯-+⨯-⎡⎣⎤+⨯-+⨯-+⨯-⎦=8解:将子样值重新排列(由小到大)-4,-2.1,-2.1,-0.1,-0.1,0,0,1.2,1.2,2.01,2.22,3.2,3.21()()()()()172181203.2147.211.2e n n e nM X X R X X M X X +⎛⎫ ⎪⎝⎭⎛⎫+ ⎪⎝⎭====-=--====9解: 121211121211n n i ji j n x n x n n x n n ==+=+∑∑112212n x n xn n +=+()12221121n n i i s x x n n +==-+∑10.某射手进行20次独立、重复的射手,击中靶子的环数如下表所示:环数 10 9 8 7 6 5 4 频数23942试写出子样的频数分布,再写出经验分布函数并作出其图形。
随机过程习题解答第一章习题解答1.设随机变量X 服从几何分布,即:(),0,1,2,kP X k pqk ===。
求X 的特征函数,EX 及DX 。
其中01,1p q p <<=-是已知参数。
解()()jtxjtk k X k f t E ee pq ∞===∑ =()1jt k jtk pp qe qe ∞==-∑又200()kkk k q qE X kpq p kq p p p ∞∞======∑∑(其中 0(1)nnnn n n nx n x x ∞∞∞====+-∑∑∑)令 0()(1)nn S x n x ∞==+∑则 1000()(1)1xxnn k n xS t dt n t dt x x∞∞+===+==-∑∑⎰⎰同理 2(1)2kkkk k k k k kx k x kx x ∞∞∞∞=====+--∑∑∑∑令2()(1)kk S x k x ∞==+∑ 则211()(1)(1)xkk kk k k S t dt k t dt k xkx ∞∞∞+====+=+=∑∑∑⎰)2、(1) 求参数为(,)p b 的Γ分布的特征函数,其概率密度函数为(2) 其期望和方差;(3)证明对具有相同的参数的b 的Γ分布,关于参数p 具有可加性。
解 (1)设X 服从(,)p b Γ分布,则 (2)'1()(0)Xp E X fjb∴==(4)若(,)i i X p b Γ 1,2i = 则同理可得:()()i i P X b f t b jt∑=∑-3、设ln (),()(kZ F X E Zk =并求是常数)。
X 是一随机变量,()F x 是其分布函数,且是严格单调的,求以下随机变量的特征函数。
(1)(),(0,)Y aF X b a b =+≠是常数; (2)ln (),()(kZ F X E Z k =并求是常数)。
解(1)11{()}{()}[()]P F x y P x F y F F y y --<=<==(01y ≤≤) ∴00()0111y F y yy y <⎧⎪=≤≤⎨⎪>⎩∴()F x 在区间[0,1]上服从均匀分布()F x ∴的特征函数为11001()(1)jtx jtx jt X e f t e dx e jt jt ===-⎰ (2)ln ()()()[]jtz jt F x Z f t E e E e ===1ln 01jt ye dy ⋅⎰=111jty dy jt =+⎰4、设12n X X X ,,相互独立,且有相同的几何分布,试求1nkk X =∑的分布。
n i 1n i 1n i 1第一章1•在五块条件基本相同的田地上种植某种作物,亩产量分别为 (单位:斤) ,求子样平均数和子样方差。
解: -1 nX x i 100n i 121 n2 —2SX i x 34n i 12•从母体中抽取容量为 60的子样,它的频数分布求子样平均数与子样方差,并求子样标准差。
s .18.67 4.322 2 2x a cy,s x c s y 。
解:由变换y inX ii 1X i a 即X icy i ,nxa cy ina cnycnai 1X a cy由2 1n _21 n2c 2 n_ 2 2 2而s xX i Xa cy i a cy yi y C解:—1l* .Xmi i X4n i 1 2 1* 2 — 2sm i x i x 18.67ni 192, 94, 103, 105, 1063•子样平均数和子样方差的简化计算如下:设子样值 X i ,X 2, ,X n 的平均数为为x 。
作变换 y占一a ,得到y i , y 2,c,y n ,它的平均数为— 2y 和方差为S y X 和方差。
试证:ni 110得到它的子样的下列观测数据 (单位:磅/英寸2): 1815, 2020, 2310后利用第3题中的公式获得X 和s 2的数值。
i*m i y i4.对某种混凝土的抗压强度进行研究,1939, 1697, 3030, 2424, 2020, 2909,采用下面简化计算法计算子样平均数和方差。
先作变换 y iX i2000,再计算y 与s :,然解:作变换yX i2000,a 2000Y i2164 240.442240.444 2S X2Sy1 nn 2 — y iyi 12197032.2475.在冰的溶解热研究中, 测量从0.72 r 的冰变成 0c 的水所需热量,取作试验得到热量数据如下 :79.98, 80.04, 80.02,80.04,80.03,80.03, 80.04,79.97, 80.05, 80.03, 80.02, 80.00,80.02试用变换y i 100X i 80 简化计算法计算子样平均数和子样方差。
西安交通大学汪荣鑫随机过程第二版课后答案------------------------------------------作者xxxx------------------------------------------日期xxxx随机过程习题解答第一章习题解答1. 设随机变量X 服从几何分布,即:(),0,1,2,k P X k pq k ===。
求X 的特征函数,EX 及DX 。
其中01,1p q p <<=-是已知参数。
解()()jtxjtk k X k f t E ee pq ∞===∑ 0()k jtkk p q e∞==∑ =0()1jtkjt k pp qe qe ∞==-∑ 又20()kk k k q qE X kpq p kq pp p∞∞======∑∑ 222()()[()]q D X E X E X P =-=(其中 00(1)nnn n n n nxn x x ∞∞∞====+-∑∑∑)令 0()(1)n n S x n x ∞==+∑则 100()(1)1xxnn k n xS t dt n t dt x x∞∞+===+==-∑∑⎰⎰22201()()(1)11(1)1(1)xn n dS x S t dt dxx xnx x x x ∞=∴==-∴=-=---⎰∑同理 2(1)2kkkk k k k k k x k x kx x ∞∞∞∞=====+--∑∑∑∑令20()(1)k k S x k x ∞==+∑ 则211()(1)(1)xkk k k k k S t dt k t dt k xkx ∞∞∞+====+=+=∑∑∑⎰)2、(1) 求参数为(,)p b 的Γ分布的特征函数,其概率密度函数为1,0()0,0()0,0p p bxb x e x p x b p p x --⎧>⎪=>>Γ⎨⎪≤⎩(2) 其期望和方差;(3) 证明对具有相同的参数的b 的Γ分布,关于参数p 具有可加性。