川大版高数第四册最全答案
- 格式:pdf
- 大小:4.43 MB
- 文档页数:37
第一章 复数与复变函数(1) 1.计算)(1)2;i i i i i -=-=-()122(12)(34)(2)5102122.;345(34)(34)591655i i i i i i i i i i i i +-++--+++=+=-=---+-+5551(3).;(1)(2)(3)(13)(3)102i i i i i i i ===------4222(4).(1)[(1)](2)4;i i i -=-=-=-1122())]a bi =+=112224sin )]()(cossin );22i a b i θθθθ=+=++3.设1z=2;z i 试用三角形式表示12z z 及12z z 。
解:121cossin;(cos sin );44266z i z i ππππ=+=+ 121155[cos()sin()](cos sin );2464621212z z i i ππππππ=+++=+ 122[cos()sin()]2(cos sin );46461212z i i z ππππππ=-+-=+11.设123,,z z z 三点适合条件1230z z z ++=及1231;z z z ===试证明123,,z z z 是一个内接于单位圆z =1的正三角形的顶点。
证明:1230;z z ++=z 123231;312;;z z z z z z z z z ∴=--=--=-- 122331;z z z z z z ∴-=-=-123,,z z z ∴所组成的三角形为正三角形。
1231z z z ===123,,z z z ∴为以z 为圆心,1为半径的圆上的三点。
即123z ,z ,z 是内接于单位圆的正三角形。
21z z z z -•-arg(1)2;k αβγπ∴++=-+ (0,);(0,);(0,);απβπγπ∈∈∈(0,3);αββπ∴++∈ 0;k ∴=;αβγπ∴++=第一章 复数与复变函数(2)7.试解方程()4400z a a +=>。
高等代数第四版习题答案【篇一:高等代数第四章矩阵练习题参考答案】xt>一、判断题1. 对于任意n阶矩阵a,b,有a?b?a?b.错.2. 如果a2?0,则a?0.错.如a11?2?,a?0,但a?0.1?1?23. 如果a?a?e,则a为可逆矩阵.正确.a?a2?e?a(e?a)?e,因此a可逆,且a?1?a?e.4. 设a,b都是n阶非零矩阵,且ab?0,则a,b的秩一个等于n,一个小于n. 错.由ab?0可得r(a)?r(b)?n.若一个秩等于n,则该矩阵可逆,另一个秩为零,与两个都是非零矩阵矛盾.只可能两个秩都小于n.5.a,b,c为n阶方阵,若ab?ac, 则b?c.错.如a11??21??32?,b?,c,有ab?ac,但b?c.1?1?2?1?3?2?6.a为m?n矩阵,若r(a)?s,则存在m阶可逆矩阵p及n阶可逆矩阵q,使?ispaq0?0??. 0??正确.右边为矩阵a的等价标准形,矩阵a等价于其标准形.7.n阶矩阵a可逆,则a*也可逆.*?a*a?|a|e正确.由a可逆可得|a|?0,又aa.因此a*也可逆,且(a*)?1?1a. |a|8.设a,b为n阶可逆矩阵,则(ab)*?b*a*.正确.(ab)(ab)*?|ab|e?|a||b|e.又(ab)(b*a*)?a(bb*)a*?a|b|ea*?|b|aa*?|a||b|e.因此(ab)(ab)*?(ab)(b*a*).由a,b为n阶可逆矩阵可得ab可逆,两边同时左乘式ab的逆可得(ab)*?b*a*.二、选择题1.设a是n阶对称矩阵,b是n阶反对称矩阵(bt??b),则下列矩阵中为反对称矩阵的是(b ).(a) ab?ba (b) ab?ba(c) (ab)2 (d) bab(a)(d)为对称矩阵,(b)为反对称矩阵,(c)当a,b可交换时为对称矩阵.2. 设a是任意一个n阶矩阵,那么( a)是对称矩阵.(a) aa (b) a?a (c)a(d) a?a3.以下结论不正确的是( c ).(a) 如果a是上三角矩阵,则a也是上三角矩阵;(b) 如果a是对称矩阵,则 a也是对称矩阵;(c) 如果a是反对称矩阵,则a也是反对称矩阵;(d) 如果a是对角阵,则a也是对角阵.4.a是m?k矩阵, b是k?t矩阵, 若b的第j列元素全为零,则下列结论正确的是(b )(a) ab的第j行元素全等于零;(b)ab的第j列元素全等于零;(c) ba的第j行元素全等于零; (d) ba的第j列元素全等于零;2222tt2t5.设a,b为n阶方阵,e为n阶单位阵,则以下命题中正确的是(d )(a) (a?b)2?a2?2ab?b2(b) a2?b2?(a?b)(a?b)(c) (ab)2?a2b2 (d) a2?e2?(a?e)(a?e)6.下列命题正确的是(b ).(a) 若ab?ac,则b?c(b) 若ab?ac,且a?0,则b?c(c) 若ab?ac,且a?0,则b?c(d) 若ab?ac,且b?0,c?0,则b?c7. a是m?n矩阵,b是n?m矩阵,则( b).(a) 当m?n时,必有行列式ab?0;(b) 当m?n时,必有行列式ab?0(c) 当n?m时,必有行列式ab?0;(d) 当n?m时,必有行列式ab?0.ab为m阶方阵,当m?n时,r(a)?n,r(b)?n,因此r(ab)?n?m,所以ab?0.8.以下结论正确的是( c)(a) 如果矩阵a的行列式a?0,则a?0;(b) 如果矩阵a满足a?0,则a?0;(c) n阶数量阵与任何一个n阶矩阵都是可交换的;(d) 对任意方阵a,b,有(a?b)(a?b)?a?b9.设?1?,2?,3?,4是非零的四维列向量,a?(?1,?2,?3,?4),a*为a的伴随矩阵,222已知ax?0的基础解系为(1,0,2,0)t,则方程组a*x?0的基础解系为( c ).(a)?1,?2,?3.(b)?1??2,?2??3,?3??1.(c)?2,?3,?4.(d)?1??2,?2??3,?3??4,?4??1.10t由ax?0的基础解系为(1,0,2,0)可得(?1,?2,?3,?4)0,?1?2?3?0. ?2?0?因此(a),(b)中向量组均为线性相关的,而(d)显然为线性相关的,因此答案为(c).由a*a?a*(?1,?2,?3,?4)?(a*?1,a*?2,a*?3,a*?4)?o可得?1,?2,?3,?4均为a*x?0的解.10.设a是n阶矩阵,a适合下列条件( c )时,in?a必是可逆矩阵nn(a) a?a (b) a是可逆矩阵 (c) a?0(b) a主对角线上的元素全为零11.n阶矩阵a是可逆矩阵的充分必要条件是( d)(a) a?1 (b) a?0 (c) a?a (d)a?012.a,b,c均是n阶矩阵,下列命题正确的是( a)(a) 若a是可逆矩阵,则从ab?ac可推出ba?ca(b) 若a是可逆矩阵,则必有ab?ba(c) 若a?0,则从ab?ac可推出b?c(d) 若b?c,则必有ab?ac13.a,b,c均是n阶矩阵,e为n阶单位矩阵,若abc?e,则有(c ) (a) acb?e (b)bac?e(c)bca?e (d) cba?e14.a是n阶方阵,a是其伴随矩阵,则下列结论错误的是( d )(a) 若a是可逆矩阵,则a也是可逆矩阵;(b) 若a是不可逆矩阵,则a也是不可逆矩阵;***t**(c) 若a?0,则a是可逆矩阵;(D)aa?a.aa*?ae?a.*15.设a是5阶方阵,且a?0,则a?(D)234n(a) a (b) a (c) a(d) a16.设a是a?(aij)n?n的伴随阵,则aa中位于(i,j)的元素为(B) (a) **?ak?1njkaki (b) ?ak?1nkjaki (c) ?ajkaik (d) ?akiakj k?1k?1nn应为a的第i列元素的代数余子式与a的第j列元素对应乘积和.a11a1na11a1n17.设a, b,其中aij是aij的代数余子式,则(c ) an1?ann???an1?ann??(a) a是b的伴随 (b)b是a的伴随(c)b是a?的伴随(d)以上结论都不对18.设a,b为方阵,分块对角阵ca0?*,则c? ( C ) ??0b?0? *?bb?0?? abb*??a*(a) c0?aa*0?(b)c??*?b??0?ba*(c)c0?aba*0?? (d) c??ab*??0利用cc*?|c|e验证.19.已知a46??135?,下列运算可行的是( c ) ,b1?2??246?(a) a?b (b)a?b (c)ab(d)ab?ba【篇二:高等代数第4章习题解】题4.11、计算(1)(2,0,3,1)?3(0,1,2,4)?1(1,0,1,5) 2(2)5(0,1,2)?(1,1,0)?(1,1,1) 215517(1,0,1,5)?(,?3,?,?) 2222解:(1)(2,0,3,1)?3(0,1,2,4)?(2)5(0,1,2)?(1,19,0)?(1,1,1)?(0,,9) 222、验证向量加法满足交换律、结合律。
2006川大高等代数及答案编辑整理:尊敬的读者朋友们:这里是精品文档编辑中心,本文档内容是由我和我的同事精心编辑整理后发布的,发布之前我们对文中内容进行仔细校对,但是难免会有疏漏的地方,但是任然希望(2006川大高等代数及答案)的内容能够给您的工作和学习带来便利。
同时也真诚的希望收到您的建议和反馈,这将是我们进步的源泉,前进的动力。
本文可编辑可修改,如果觉得对您有帮助请收藏以便随时查阅,最后祝您生活愉快业绩进步,以下为2006川大高等代数及答案的全部内容。
四川大学2006年攻读硕士学位研究生入学考试题六、(本题满分10分)设,。
对于任意正整数,求,⎥⎥⎥⎦⎤⎢⎢⎢⎣⎡=321u ⎥⎥⎥⎦⎤⎢⎢⎢⎣⎡-=012v n n T uv E )(+其中为三阶单位矩阵,表示的转置.E T v v 解: 令,有,T uv E A +=T T T T uv uv uv E uv E A ++=+=2)(22由,有0=u v T Tuv E A 22+=由归纳法,设时,有1-=k n Tk uv k E A )1(1-+=-时,有k n =TT T k k kuv E uv k E uv E AA A +=-++==-])1()[(1则有⎥⎥⎥⎦⎤⎢⎢⎢⎣⎡-+--+=⎥⎥⎥⎦⎤⎢⎢⎢⎣⎡---+=+=+=136012401203602402)(n n n n n n n n n n n n E nuv E uv E A T n T n 七、(本题满分10分)证明:数域上的阶方阵是一个数量矩阵当且仅F n A 当与所有阶初等矩阵可交换,(数量矩阵是形如的矩阵,其中,n E λF ∈λE 是单位矩阵).证明:必要性:令是阶初等矩阵,由、,得B n B EB AB λλ==B E B BA λλ==)(BA AB =故与所有阶初等矩阵可交换A n 充分性:令nnnn n n E k E k E k E k E k B ++++++= 21211112121111由,得()BA AB =A E AE ij ij =n j i ,,2,1, =有⎥⎥⎥⎥⎥⎥⎥⎥⎥⎦⎤⎢⎢⎢⎢⎢⎢⎢⎢⎢⎣⎡==⎥⎥⎥⎥⎦⎤⎢⎢⎢⎢⎣⎡=0000000000000000000000002121jn j j ij ni i i ij a a a A E a a a AE 得()且,则,故0=ij a j i ≠jj ii a a =nn a a a a ==== 332211EA λ=八、(本题满分10分) 设线性方程组有解,其中是数域β=AX n m ij a A ⨯=)(上的矩阵,,。
数学分析第四版答案简介《数学分析第四版》是一本经典的数学教材,主要介绍了数学分析的基本概念、理论和方法。
本文档旨在提供《数学分析第四版》习题的答案,帮助读者更好地理解和掌握数学分析的知识。
第一章简介1.1 数学分析的基本概念习题答案:1.由已知条件可知,当a=a时,a(a)=a(a)成立。
所以函数a(a)是一个常函数。
2.对于任意实数a和a,有a(a+a)=a(a)+a(a),即函数a(a)满足加法性。
根据题意,我们需要证明a(aa)=a(a)a(a)。
证明:设实数a和a,并令a=a和 $b=\\frac{y}{x}$,根据加法性,我们有:$$ f(a+b) = f(a) + f(b) \\quad \\text{(1)} $$将a=a和 $b=\\frac{y}{x}$ 代入上式,得到:$$ f\\left(x + \\frac{y}{x}\\right) = f(x) +f\\left(\\frac{y}{x}\\right) \\quad \\text{(2)} $$又根据题目条件,我们知道a(aa)=a(a)a(a),将$b=\\frac{y}{x}$ 代入该式,得到:$$ f(xy) = f\\left(x\\cdot\\frac{y}{x}\\right) =f(x)f\\left(\\frac{y}{x}\\right) \\quad \\text{(3)} $$将式 (3) 代入式 (2),得到:$$ f\\left(x + \\frac{y}{x}\\right) = f(xy) \\quad \\text{(4)} $$根据题目条件中的函数性质,我们得到:$$ x+\\frac{y}{x} = xy $$上式可以转化为二次方程的形式,解得:$$ x^2 - xy + \\frac{y}{x} = 0 $$由上式可知,a是方程a2−aa+a=0的一个根。
根据韦达定理,该方程的两个根分别为:$$ x_1 = \\frac{y+\\sqrt{y^2+4}}{2} \\quad \\text{和}\\quad x_2 = \\frac{y-\\sqrt{y^2+4}}{2} $$由于题目中没有限制a的取值范围,所以a可以取任意实数。
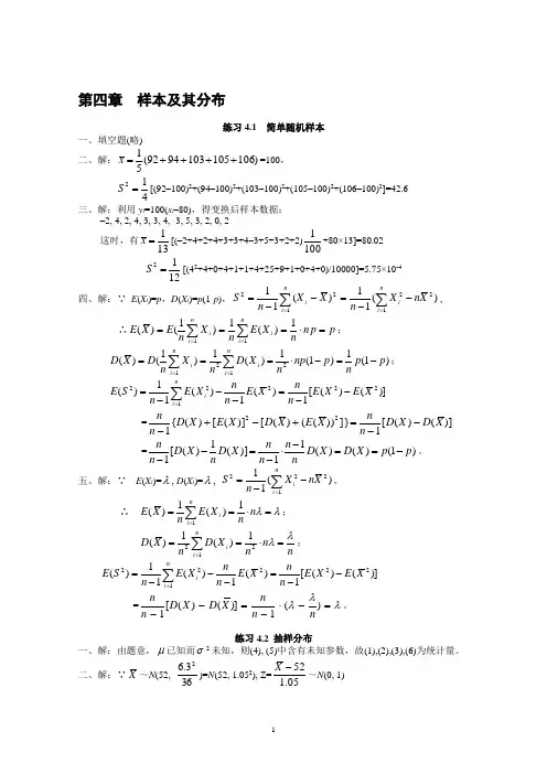
第四册参 考 答 案第七章 §7.41.(1)])1ln()[1(11C x x y x+-+-=-; (2))(C e x y x n +=; (3)x e C x y sin )(-+=; (4)y y y C x ln ln ln ln ⋅-=; (5)2213y Cy x +=; (6)xx y cos 1--=π. 2.)ln 41(x x y -=. 3.)()(313133913+-=-x e x x ϕ. 4.(1)x Cx y ln 11++=; (2)2214)ln (C x x y +=; (3))ln 2(42C y y x +-=. §7.51.(1)3221)3(C x C x C e x y x +++-=; (2)21ln C x C y +=;(3)21)cos(ln C C x y ++-=;(4)⎪⎪⎩⎪⎪⎨⎧>'+<'+-<'+-=; 1 ),(sh , 1 ),sin( ,1 ),(sh 212121111y C C y C C y C C y C x C xC x (5)21)arcsin(C e C y x +=.2.(1)x y sec ln =; (2)41)1(+=x y . §7.61.2)(21x e C x C y +=,22x xe y =. 3.x e x C x C y ++=221;第七章 总复习题1.(1)B ;(2)C ;(3)A ;(4)A ;(5)D ;(6)D ;(7)B ;(8)A ;(9)B ;(10)C.2.(1)x C x y cos )(+=; (2))1sin cos (21++=x C x C e y x ;(3)x x e x C e C y 21221)(--++=; (4)x x e x e x C C y 221221)(--++=; (5)Cx y x =-4)4(; (6)x x C x C y 2sin cos 21-+=; (7))2sin 2cos (21x C x C e y x +=-; (8))ln (sin C x x x e y x +-=-; (9)1ln 2+=-x y y ; (10)x e x C C y x ++=)(21.3.(1)y e u f y e u f x x x z sin )()sin )((222'+''=∂∂,y e u f y e u f x x yz sin )()cos )((222'-''=∂∂, 代入原“偏微分方程”而化为 0)()(=-''u f u f ,故 u u e C e C u f -+=21)(; (2)由题意知yy x f y x xy xy x x f x f xy x xy x f ∂-+∂∂+'∂=-+=+''=])()([2])([)(22)(2,则)(x f满足2)()(x x f x f =+'',且1)0( ,0)0(='=f f ,求得 2sin cos 2)(2-++=x x x x f , 再由xu y x x x y x xy P ∂∂=-++-+=]2sin cos 2[)(2 和 y x x x x Q 22sin 2cos ++-=yu∂∂=求得 xy y x x y x y y x u 2sin 2cos ),(2221++-=,故全微分方程的通解为 C xy y x x y x y =++-2sin 2cos 2221; (3)C xy y x x =-+223(全微分方程,通过凑微分即可找到),(y x u ,从而易得其解);(4)由线性叠加原理并观察可发现:x e y y -=-31 和 x e y y y y 23123)(2)(=-+-应 是对应的齐次方程的解,所以齐次方程为02=-'-''y y y ;再把)(21y y 或代入方程的左端,可知非齐次项应为x e x x f )21()(-=,故该微分方程为x e x y y y )21(2-=-'-''; (5)这是简单的积分方程,两端求导得x e x f x f 22)(3)(+=',即x e x f x f 22)(3)(=-' 且1)0(=f ,于是转化成了一阶线性方程的初值问题,容易求得x x e e x f 2323)(-=; (6)把二重积分化为极坐标得⎰⎰⎰=ttf f 2 0212 0212 0d )(2d )(d ρρρπρρρθπ,并对原方程两端求导得22)(28)(24⋅+='t t f e t t f t πππ,即248)(8)(t e t t f t t f πππ=-'且1)0(=f 容易求得该一阶线性方程初值问题的解为 242)14()(t et t f ππ+=;(7)旋转体的体积⎰=-=tx x f f t f t t V 1223d )()]1()([)(ππ,约去π并两端对t 求导得)()]()(2[221t f t f t t f t ='+,即)(x f y = 满足 2322y y y x x=+',这是齐次方程,也是2=n 的贝努利方程,其通解为31x C x y +=,而要求的特解为31xx y +=; (8)当1<x 时,2)(=x ϕ,22=-'y y 的通解为121-=x e C y ;当1>x 时,0)(=x ϕ,02=-'y y 的通解为x e C y 22=.由y 在) ,(∞+-∞内连续,特别在1=x 处连续,应有22211e C e C =-,所以2212---=-=e C eC C ,故通解为 ⎪⎩⎪⎨⎧>-≤-=-,1 ,)(,1,1222x e e C x Ce y xx 而满足条件的特解(1=C )为 ⎪⎩⎪⎨⎧>-≤-=-;1 ,)1(,1 , 1 222x e e x e y xx(9)21ln )(C x C x f +=.4.①⎰-=xta ax t et f ey 0 d )(; ② 由①知:若k x f ≤)(,则当0≥x 时,便有)1(d d )( d )()( 0x a ak xt a x a xt a x a x t a x a e t e ke t e t f e t e t f e x y -----=≤≤=⎰⎰⎰. 第八章 §8.21.2=λ;4-=μ.2.}1 ,1 ,1{31-或}1 ,1 ,1{31--.3.4-=z 时最小,最小夹角为4π.4.23-. 5.(1))(2b a ⨯; (2))(3c b a ⨯∙;(3)c b a ∙⨯)(2; (4)22b a ⋅.7.设},,{z y x =e ,则1222=++=z y x e ,022=+-=∙z y x c e ,又b a e 、、共面,可知 } , ,{ ,02323132-==+e z y 或 } , ,{323132--=e .8.31.双曲柱面;单页双曲面;椭圆抛物面;椭圆抛物面.2.0)2(4)(2=+-+z x z y .3.04)1(925222=--+z y x . 4.(1)绕y 轴:1222=-+y z x(单叶双曲面);绕z 轴:194222=-+y x z (双叶双曲面);(2)+--+--3)2(3)2(22z x y z y x 8)(3)2(22z y x x y z ++=--5.(1)0122222=-+-+z z y x ;(2)π32.§8.41.(1)直线; (2)椭圆; (3)抛物线; (4)圆.2.t z t y t x sin 3 ,sin ,cos 2323===,π20≤≤t .第八章 总复习题1.4.2.1.3.30.4.0322=-+z y x .5.0=-z y .6.043=+--z y x .7.023=++-z y x .8. )4 ,2 ,5(-.9. 0143=+-+z y x 和.0352=+--z y x第九章 §9.41.(1)3323xx xx e e e x e ++; (2)0;(3))(2212f y f x f x '+'+; 223123223f y x f x f x ''+''+'; (4)y uv u y v uv sin )2(cos )2(22-+-; y x uv u y x v uv cos )2(sin )2(22-+--; (5)]sin cos )([12x x a z y a a e ax++-+.2.][x t x y f x f ∂∂∂∂∂∂∂∂∂∂⋅++ψϕϕ. 3.证:y x f f x f22ηξ∂∂∂∂∂∂+=, x y f fyf2)2(ηξ∂∂∂∂∂∂+-=,]22[2]22[2222222y x y y x x f ff ff x f ηξηηξξξ∂∂∂∂∂∂∂∂∂++++=ξηηξξ∂∂∂∂∂∂+++=f f ff y xy x 248422222 , ①]2)2([2]2)2([2222222222x y x x y y ff f f f y f ηξηηξξξ∂∂∂∂∂∂∂∂∂∂∂∂∂∂+-++---= ξηηξξ∂∂∂∂∂∂-+-=f ff f x xy y 248422222, ②∴22222222)(4)(42222ηξ∂∂∂∂∂∂∂∂+++=+f f y f x f y x y x0])[(4222222=++=∂∂∂∂ηξff y x . 4.证:)()(2u f u f y x z '-∂=, )()2)(()(1u f y u f y u f z-'-⋅∂=,∴ 2222)(1)()(2)(1)()(2111][][y zu f y u f u f y u f y u f u f y x xy z y x z x ==+=+'+'-∂∂∂∂.5.2112f f z y x '+'- ; 2f z y'-.6.2x e-;22222y y e y e--+-. 7.g g f f f y x f x y xy x y ''-'-''-'-''+'12221111.§9.51.(1)y x d d --; (2)-1,1.2.(1)xy e F yz F xyz e F zz x z-='-='-= , ,, ∴ xye yz F z z x -''∂=-=; (2)x zz xy y x e x z xy e e z z z ∂∂∂∂⋅+-==12 ,,∴xye yz z -∂=(3)z xy y xz x yz z e xyz e z z d d d d d d ++=⇒=xye y xz x yz z z -+=⇒d d d ,∴ xye yz x zz -∂∂=,xye xz y z z -∂∂=3.dy dx dz 2-=4.22y x uy vx +-;22yx ux vy ++. 5.1)cos (sin sin +-v v e v ; ]1)cos (sin [cos +--v v e u e v u u; 1)cos (sin cos +--v v e vu ; ]1)cos (sin [sin +-+v v e u ve u u. 6.)1)(()(yx F F y x f x y x f ''-+'++.§9.61.共有两条,两切点分别为 )1 ,1 ,1(-- 和 ) , ,(111--;点)1 ,1 ,1(--处的切线方程为 312111+--+==z y x ,而点 ) , ,(111-- 处的切线方程为 3271291131+--+==z y x .2.)3 ,1 ,3(--; 133113-++==z y x . 3.提示:视x 为参数,则曲线方程为 x z x y x x -=-==2 ,2 ,,任意点的切向量}, ,1{2211xx---=T ,所求切线为 2111211---+-==z y x ;而法平面为 0)1()2()1(21=--+--z y x . 4.0)1(2)2(=-+-y x 即 42=+y x ; 12z y x ==-- ,即 ⎪⎩⎪⎨⎧==--.0 ,2112z y x 5. 542=-+z y x .6.提示:曲面上任一点),,(c b a P 处的法向量为 } , , {2112f n f m f f '-'-''=n ,该法向量与定方向}1 , ,{m n =s 垂直,故切平面与定直线(以s 为方向向量)平行.7.提示:曲面上任一点),,(000z y x P 处的法向量为 } , ,{0212121z y x =n ,点P 处的切0)()()(021*******=-+-+-z z y y x x z y x ,即10=++z a z y a y x a x ,它在三坐标轴上的截距之和为a a a z y x a z a y a x a ==++=++)(000000是常数.评注:空间曲线上一点处的切线与法平面的核心是曲线在此点的切向量,而曲面上一点处的切平面与法线的核心是曲面在此点的法向量.第九章 总复习题1.(1)D ; (2)A ; (3)C ; (4)C .2.0.3.不连续.4.0.5.⎪⎩⎪⎨⎧=≠='⎪⎩⎪⎨⎧=≠='+-+).0 ,0(),(,0 ),0 ,0(),( ,),( );0 ,0(),( ,0 ),0 ,0(),( ,),(2222222223)()()(2y x y x y x f y x y x y x f y x y x x yy x xy x 6.][3222221121121f f y ye y e e e x y x x x x''+'+''+''+''+''+'ϕϕϕϕϕ.7.y x f f f z d d 12121''''+'-;121f f z ''+'; 121f x f '-'-. 8.0=ϕ或π.9.有两个,切点分别为)1 ,1 ,3(和)17 ,17 ,3(---,切平面分别为 279=-+z y x 和2717179=+--z y x . 10.26810e+.11.三角形的三个顶点分别为)2 ,0( , )1 ,3( , )1 ,3(--C B A 或)1 ,3( ),1 ,3( ),2 ,0(C B A '--''. 12.最冷点(2,-1);最热点(0,4).第十章 §10.3(1)1.(1)⎰⎰⎰--y x z z y x f y x 01 011d ),,(d d 2; (2)⎰⎰⎰-yx x z z y x f y x 01 01d ),,(d d 2. 2.(1)101)366(21)1(2 01 0d d d ==⎰⎰⎰---y x x z y x y x I ; (2)e z e x y I yx z y-==⎰⎰⎰+27 01 0 d d d ; (3)6π; (4)4811 01 010 222d d d ==⎰⎰⎰---y x x z z y x y x I . §10.3(2)1.(1)⎰⎰⎰--+----++2222222 2221 1 11 d )(d d y x yx x x z z y x f y x ;(2)⎰⎰⎰-+22 2212 0d )(d d ρρπρρρθz z f ;(3)⎰⎰⎰2242 0d sin )(d d r r r f ϕϕθππ.2.(1)πρρθρρπ53249 232 02d d d =⎰⎰⎰-z ;(2)πθρρθρπ522 02132 0d cos d d =⎰⎰⎰z .3.(1)原式=πϕϕθππ)258(13442 0d sin d d -=⎰⎰⎰r r ;(2)原式=467cos 2 0342 0d cos sin d d a r r a πϕϕϕθϕππ=⎰⎰⎰.4.(1)ππρρθπρππ4d sin d d 3 02 0 -==⎰⎰⎰z z I ;(2)πϕϕϕθϕϕππ1211cos 2 cos 1342 0 d cos sin d d ==⎰⎰⎰r r I ; (3)πϕϕθππ)12(d sin d d 548623 0442-==⎰⎰⎰r r I .5.1 01 0d d d d ===⎰⎰⎰⎰⎰⎰Ωyx xz y x V V . §10.41.922≤+y x D :,y x y x y x S yz x z d d )2()2(1d d )()(1d 2222++=++=∂∂∂∂, =++=⎰⎰Dy x y x S 22d d )(41)13737(-π.2. 1≤+y x D :,y x y x S y y yz x z d d d d )()(1d 229122-+∂∂∂∂=++=, ==⎰⎰-+Dy y y x S 91d d 22)arcsin 83(1231--. 3.32. 4.(1)b a I ab I y x 331331 ,==; (2)b a I ab I y x 3434 ,ππ==. 评注:①二重积分最直接的应用是计算曲顶柱体的体积;②用二重积分计算曲面面积的核心是:写出曲面的面元在相应的坐标面上的表示; ③用二重积分计算不同的物理量,因问题的性质的不同而有所差异.第十章 总复习题1.(1)8031;(2)39832)(a -π(⎰⎰⎰⎰--=θπππρρθρρθcos 022 222 0d d d d a aI ).2.(1)π3250(令 x x z y === ,sin ,cos θρθρ,则 ⎰⎰⎰=523102 02d d d ρπρρθx I );(2)24abc π(提示:⎰⎰⎰------=222222221 01 1 d d d b ya xc axb a xb aaz z y x I 或“先二后一”为 ⎰⎰⎰⎰-==cc z D c z z ab y x z z I zd )1(d d d 22π,其中2221:c zb y a x z D -≤+是椭圆盘).3.π3256. 4.提示:利用变限积分求导,先证明等式两端关于x 的二阶导数相等,故应有21 02210 0 0 d ))((d )(d d C x C t t x t f t t f u v x uv x ++-=⎰⎰⎰⎰,分别在上式及求导后的式子中令0=x ,可得 021==C C .5.提示:利用变换⎩⎨⎧=+=-uy x ty x 去做.第十一章 §11.31.421a π(用格林公式化为⎰⎰+Dy x y x 22d d )(再利用极坐标计算). 2.(1)0(直接用格林公式,yP y x x y xQ∂∂+-∂∂==22222)(); (2)π2(“挖掉原点”再用格林公式:设εC 是以原点为心,半径为ε的顺时针圆周,则在由C 和εC 所围成的闭区域εD 上用格林公式得0d d )( =-=⎰⎰⎰∂∂∂∂+εεD yPx Q CC y x ,所以,⎰⎰⎰-=-=εεC C C,其中-εC 是逆时针圆周:)20( sin ,cos πθθεθε≤≤==y x ,把这方程代入上式右端积分的被积表达式中而化为定积分πθπ2d 2 0=⎰).3.(1)0(直接用格林公式); (2)π2(参照2(2)“挖掉原点”再用格林公式).4.281ma π(添加直线段OA 围成封闭曲线OA L C +=再用格林公式,则 原式2221 )(0d d d d a DOAC m y x m y Q x P π⋅=-=-+=⎰⎰⎰⎰). 评注:利用格林公式是简化平面内封闭曲线上曲线积分计算的重要而有效的方法,可分三种情况:①曲线是封闭的,且被积表达式中的函数在曲线所围成的闭区域上有连续的一阶偏 导数,则直接用格林公式简化(如题1、2(1)和3(1));②曲线虽是封闭的,但被积表 达式中的函数在曲线所围成的闭区域内有“奇点”,则不能直接用格林公式,而是要用很小 的圆包住奇点再“挖掉”它,在曲线与圆所围成的“多连通区域”上用格林公式,达到简化 的目的(如题2(2)和3(2));还可以直接化为定积分计算;③曲线不是封闭的,可考虑 添加某段曲线(通常都是直线段,最简单),使之围成封闭曲线,再用格林公式(如题4). 你会发现:格林公式确实大大简化了曲线积分的计算,因此,要很好的掌握这种方法.5.由题意:0)()(212=+'+x f x f x x ,解此微分方程,再利用1)0(=f ,得211)(x x f +=.6.23-(在0>x 右半平面曲线积分与路径无关,选择折线段化为定积分直接计算;或者: 原式232112)2,1()1,2()2,1( )1,2( ][)()(d -=--=-=-=⎰x yx y). 评注:当曲线积分与路径无关时,选择最简单的直线段来做积分是简化其计算的最直接而有效的方法(如题6、7的第一种算法);还可以利用“原函数”的概念如同牛顿——莱布尼兹公式那样去计算(如题6、7的第二种算法);利用曲线积分与路径无关还可以求解含有曲线积分的积分方程中的未知函 数(如题5). 7.⎰⎰+-==),( ),( d d ),( ),( 002200d ),(y x y x y x x y y x y x y x u y x u ⎰⎰++-+=y y x x x x y y 02202200d d ηξηξy y x x x y ====+-=ηηηξξξ000arctan arctan y yx x 0000arctan arctan arctan arctan -+-= ,arctan arctan ]cot arc [arctan arctan arctan 2000000π-+=+-+=y x x y y x y x y x x y 故 C y x u x y +=arctan ),((C 为任意常数). 8.把原表达式拆分成两部分为n n y x yy x x y x x y y x )(d d )(d d 2222+++-+,由上题知:当1=n 时,第一部分为yarctan d ,而此时第二部分恰为 )]ln([d 221y x +, 故 1=n ,从而 C y x y x u x y+++=)ln(arctan ),(2221(C 为任意常数).9.证:因)(u f 连续,所以,表达式)d d )((y x y x f ++是某二元函数的全微分,从而左端的积分处处与路径无关,于是,左⎰⎰⎰⎰++=+=ba b a a a y y a f x x f 0),( )0,( )0,( )0,0( d )(d )(==+=⎰⎰⎰++ba ba aa x x f x x f x x f 00 d )(d )(d )(右.§11.41.提示:)1(2:y x z S --=在xoy 面的投影为10 ,10:≤≤-≤≤x x y D xy ,=S dy x y x yz x z d d 3d d )()(122=++∂∂∂∂,原式201d d 3)1(2=⋅--⋅=⎰⎰xyD y x y x xy .2.提示:由对称性,上下半球面上的积分相等,221y x z S --=:上在xoy 面的投影为122≤+y x D xy :(是圆盘),y x y x S y x y x y y x x d d d d 1d 222222221111------=++=,原式210 12 01122d d 2d d 2222πρρθρρπ==⋅+=⎰⎰⎰⎰---xyDy x y x y x .3.提示:由对称性,前后两半柱面上的积分相等,22y R x S -=:前在yoz 面的投影为H z R y R D yz ≤≤≤≤-0 ,:(是矩形),y z y z S y R R y R y d d d d 01d 22222--=++=,原式H HzR RRy R Dy R R z R z y R z y yzarctan 2d d 2d d 20 1 1 12222π==⋅=⎰⎰⎰⎰+---+. 4.提示:22y x z S +=:在xoy 面的投影为122≤+y x D xy :(是圆盘),第一象限的部分记为1D ,y x y x S d d )(41d 22++=,原式⎰⎰+++=xyDy x y x y x xy 2222d d )(41)(⎰⎰+++=12222d d )(41)(4D yx y x y x xy=⋅+⋅⋅⋅⎰⎰=1222d 41sin cos d 4ρρρρθρθρθπ极坐标)15125(4201-.5.提示:22y x z S +=:在xoy 面的投影为ax y x D xy 222≤+:(是圆盘),第一象限的部分记为1D ,=S d y x y x y x y y x x d d 2d d 1222222=++++,并利用奇偶性和对称性,得原式⎰⎰⎰⎰+=+++=xyxyD Dy x y x x y x y x y x xy 22 22d d 22d d 2])([41564cos 2 02 02d cos d 22a a =⋅⋅⎰⎰=θπρρρθρθ极坐标.6.提示:222y x a z S --=:在xoy 面的投影为ax y x D xy ≤+22:(是圆盘),第一象限的部分记为1D ,=S d y x y x y x a ay x a y y x a x d d d d 122222222222------=++,由对称性得)1(2d d 2d d2d 2cos 012221222-===⎰⎰=⎰⎰⎰⎰---πθρπρρθa a yx S S a a D y x a a S极坐标. 7.提示:密度22),,(y x z y x +=ρ,上半球面222y x R z S --=:在xoy 面的投影为222R y x D xy ≤+:(是圆盘),球面的面元为=S d y x y x R Rd d 222--,由对称性得⎰⎰⎰⎰+==SSS y x S z y x m 22 d 2d ),,(2ρ⎰⎰--+=xyD y x R Ry x y x 22d d 2222⎰⎰=-⋅RR R 02d d 4222ρρρθρπ极坐标32 0d 4222R R RR πρπρρ==⎰-.评注:根据曲面方程的具体形式,把对面积的曲面积分化成相应坐标面上的二重积分,是计算对面积的曲面积分的最基本的方法;关键是曲面在相应坐标面的投影区域的确定以及曲面面元的表达式;并且奇偶性和对称性的使用也是常采用的手段之一;最后再根据所化成的二重积分的具体形式选择合适的坐标系来算出这个二重积分.§11.51.提示:三部分积分分别化为二重积分计算.S 相对于x 轴正向而言是后侧,其方程为-=x221y x --,S 在yoz 面的投影为0 ,0 ,122≥≥≤+z y z y D yz :(是41单位圆盘),于是⎰⎰⎰⎰⎰⎰---=----=yzyzD D Sz y z y z y z y z y x 22 222 2d d )1(d d )1(d d ;S 相对于y轴正向而言是右侧,其方程为221z x y --=,S 在xoz 面的投影为,122≤+z x D xz :0 ,0≥≤z x (是41单位圆盘),于是,=--=⎰⎰⎰⎰xzD Sx z z x x z y 222 2d d )1(d d⎰⎰--yzDx z z x 22d d )1(,与第一部分积分正好抵消;S 相对于z 轴正向而言是上侧,其方程为221y x z --=,S 在xoy 面的投影为0 ,0 ,122≥≤≤+y x y x D xy :(是41单位圆盘),于是,822 222 2d d )1(d d )1(d d π=--=--=⎰⎰⎰⎰⎰⎰xyxzD D Sy x y x y x y x y x z , 2.34R π(提示:由对称性可知:三部分积分相等,都等于334R π; 或用高斯公式化为⎰⎰⎰Ωd 3 V 球V 3=). 3.h R 441π(提示:柱面S 在xoy 面的投影面积为0,所以第三部分积分为0;而 ⎰⎰⎰⎰⎰⎰-+-=-后半后前半前S S Sz y yz x z y yz x z y yz x 3 3 3d d )(d d )(d d )((两部分yz -的积分正好抵消,而3x 的积分相等)443 322d d )(2hR z y y R yzD π=-=⎰⎰; =-⎰⎰S x z y x2d d 2⎰⎰⎰⎰-+-左半左右半右S S x z y x x z y x 2 2d d 2d d 2(两部分相等)⎰⎰--=zxD x z x R x 222d d 22421hR π-=. 注意:体会积分号中的“前半前”、“后半后”、“右半右”和“左半左”的含义,理解了这几句话,你也就对曲面的“侧”理解得差不多了).4.0(每一部分积分都“分片”计算,其结果正好相互抵销(很麻烦);最简单的方法是直接利用高斯公式而化为0d 0 =⎰⎰⎰ΩV ). 评注:根据曲面方程的具体形式,以及曲面所指定的“侧”,把对坐标的曲面积分化成相 应坐标面上的二重积分,是计算对坐标的曲面积分的最基本的方法;它远比对面积的曲面积分复杂,牵涉到曲面的“侧”(曲面换个侧,积分差一负号),曲面往相应坐标面投影时有正 负号的选取问题,这是与第一型曲面积分最大的区别;分清楚给定曲面的“侧”是基础;曲 面在相应坐标面投影区域的确定是关键;有些积分要“逐片”分别来计算,很麻烦,要小心.第十一章 总复习题1.提示:由对称性,只需求曲线在第一象限的积分.曲线的参数方程为40 ,sin 2cos ,cos 2cos πθθθθθ≤≤==a y a x , 原式)1(4d sin 4d )()(sin 2cos 422242422-=='+'=⎰⎰a a y x a ππθθθθθθθ. 2.提示:曲线的参数方程为20 ,sin ,cos 3232πθθθ≤≤⎪⎩⎪⎨⎧==a y a x 为第一象限的部分,再由对称性,原式3734344d cos sin 3sin 8d 224 a a a s y C =⋅==⎰⎰πθθθθ.3.提示:以x 为参数,22)d d (2422222)d ()d ()d ()d ()d ()d (zy y x x x a x x z y x s +++=++= 22241)d )(298(2x a ax x z ++=,(可理解为“广义勾股定理”)原式⎰⎰-+=++=a a x a a x x a ax x 02256172169 02221d )(2d 298aa a a a a a a x x x x 0256172169169512172561721692169222)(ln )(2⎥⎦⎤⎢⎣⎡-++--+=+ ]ln 21727219200[1738425225121+--=a a a .(此题难且复杂)4.b a a a b 22212)(+-π(提示:添加直线段OA 围成封闭曲线OA C L +=再用格林公式). 5.x xQ2=∂∂,则)(),(2y f x y x Q +=,再由⎰⎰=),1( )0 ,0( )1 ,( )0 ,0( t t 求得12)(-=y y f ,从而12),(2-+=y x y x Q .6.令λλ)( ,)(224224y x x Q y x xy P +-=+=,则P Q ∂∂=,可知1-=λ,于是C y Q x P y x u x y x y x +=+=⎰200arctan d d ),(),( ),( .7.提示:把曲线的参数方程直接代入被积表达式之中而化为定积分直接计算得)(3331h a +. 8.614(参照§10.4的题1化为二重积分计算).9.π62417(先写出上半椭球面上点),,(z y x P 处的切平面 +-+-∏)()(2y Y x X x y: 0)(2=-+z Z z ,则2232232)2()()(2)()(),,(z x z z y x x y yz y x ++-+-+-=ρ298222942223224242y x zy x z y x --++++==,而椭球面的面元为y x S zy x d d d 242982--=,于是,⎰⎰S z y x z S ),,(d ρ=⋅=⎰⎰----xyD zy x y x z y x 2424d d 29822982⎰⎰--xyDy x y x 298241d d )4((再令θρθρsin 3 ,cos 2==y x ,叫广义极坐标,则 πθρ20 ,10≤≤≤≤,而 θρρθρρd d 6d d 32d d ==y x )πρρθρθρθπ6d )sin 3cos 24(d 6241712298222 041=⋅--=⎰⎰). 10.提示:先补上有向平面)( 02221a y x z S ≤+=:(取下侧)和)( 32222a y x z S ≤+=:(取上侧),并用高斯公式得原式⎰⎰⎰⎰⎰⎰⎰⎰--==++2121 S S S S S S (1S 的积分为0)222 6333d d 3d )111( a a a y x V xyD πππ=-⋅=-++=⎰⎰⎰⎰⎰Ω.提示:利用两类曲面积分之间的关系、高斯公式证明.12.因为2,0 ,z y x z z y x x R Q P ++++===,则R Q P , ,在S 所围成的闭区域上有不连续点(不妨叫“奇点”),所以,高斯公式不能用.可分片计算如下:⎰⎰⎰⎰⎰⎰++=++==xyD R y x R R z zy x z Sy x y x d d d d 22222222上上,⎰⎰⎰⎰⎰⎰-++--=++-==xyD R y x R R z zy x z Sy x y x )()( d d d d 22222222下下,与上面积分正好抵消;R z y z y yzD z R y R S z y x x S21 d d 2d d 222π===⎰⎰⎰⎰⎰⎰+-++前侧. 13.解法一:原式⎰⎰++=上S ay x a z z y ax 21]d d )(d d []d d d d d d )([ 21⎰⎰⎰⎰⎰⎰+++=后半前前半后上S S Sa z y ax z y ax y x a z⎰⎰⎰⎰------=yzxyD D a z y z y a a y x y x a a 222 22221d d d d )([ ]d )d ( 222⎰⎰---+yzD z y z y a a321 222 22221]d d 2d d )([a z y z y a a y x y x a a yzxyD D a π-=------=⎰⎰⎰⎰. 解法二:补上有向平面⎩⎨⎧=≤+,0,:222*z a y x S (取下侧),则原式⎰⎰++=上Say x a z z y ax 21]d d )(d d []d d )(d d d d )(d d [**2 21⎰⎰⎰⎰++-++=+SSS a y x a z z y ax y x a z z y ax (前一个用高斯公式)]d d d )23([ 2 1⎰⎰⎰⎰⎰++-=ΩxyD y x a V z a (Ω为下半球体,xy D 为区域222a y x ≤+)322 041441]d d d 2[]d 22[22a z z a a V z a a a aaπρπρρθπππ-=--=+--=⎰⎰⎰⎰⎰⎰--Ω. 14.100小时.第十二章 §12.31.(1))3 ,3[-; (2)) ,[3131-; (3))2 ,2(-; (4))0 ,1[-; (5)]3 ,3[-; (6)) ,(∞+-∞.2.(1)x x x S x x -+=-+arctan ln )(211141 (11<<-x ); (2)⎪⎩⎪⎨⎧=≠--=,0 , ,0 ),2ln()(211x x x x S x (22<≤-x );(3)3)1(2)(x x S -= (11<<-x ); (4)x x x x S cos sin )(+= (+∞<<∞-x ).§12.41.) ,( ,!)(ln 0∞+-∞∈∑∞=x x n a n nn .2.(1)) ,( ,)!2(24)1(21022∞+-∞∈⋅-+∑∞=x x n n nn n ; (2))1 ,1( ,]321[01-∈+-∑∞=+x x n n n ;(3)∑∞=--∈-+11] ,( ,)1(ln n n nn a a x x na a ;(4)) ,( ,)!12)(12()1(012∞+-∞∈++-∑∞=+x x n n n n n . 3.1 , )0( )!1(11=≠+∑∞=-S x x n n n n . 4.(1))2 ,0( ,)1)(1()1(0∈-+-∑∞=x x n n n n ;(2)]2 ,0( ,)1()1(10ln 111∈--∑∞=-x x n n n n . 5.∑∞=--+--11212)3()!12(3)1(n n n nx n π,) ,(∞+-∞∈x .6.∑∞=+++-11)4)(3121(n nn n x ,)2 ,6(--∈x . §12.51.(1)1.0986; (2)0.9994.2.5.3.nn n x n n ⋅∑∞=4cos !20π,) ,(∞+-∞∈x . 第十二章 总复习题1.(1)C ; (2)D ; (3)B ; (4)C ; (5)D .2.(1)发散; (2)收敛; (3)收敛; (4)收敛; (5)收敛; (6)收敛.3.提示:以2)!(n n u nn =为通项的正级数由比值判别法可知是收敛的,从而通项趋向于零.4.当10<≤β,α为任意实数时,原级数收敛;当1>β,α为任意实数时,原级数发散; 当1=β时,若1-<α,则原级数收敛;若1-≥α,则原级数发散.5.提示:2424224 0dtan tan d )1(sec tand tan ----=-==⎰⎰⎰n n n nn a x x x x x x x a πππ2423401d sec tan tan )2(tan------=⎰n n n a x x x x n xππn n n n n a n a n a a a n )2()1(1])[2(1222----=-+--=---,∴ 211---=n n n a a ,即 n n n a a -=++112,从而 112++=+n n n a a .于是 (1)11)(11141313121211111121=+-++-+-+-=⋅=++∞=+∞=+∑∑ n n n n n n n n n a a ; (2)显然,对一切N ∈n ,0d tan4 0 >=⎰πx x a nn ,又由 112++=+n n n a a 可知: 对一切N ∈n , 110+=<n n a , 故对任意的常数0>λ,级数∑∑∑∞=+∞=∞=<+⋅<11111111n n n nn n n n a λλλ 收敛(11>+=λp 的 p -级数).6.(1)条件收敛; (2)1<a 时,原级数绝对收敛;1>a 时,原级数发散;1-=a 时,原级数发散;1=a 时,原级数条件收敛.7.提示:由0lim )(0=→x x f x ,又)(x f 在0=x 的邻域内具有连续的二阶导数,可推出=)0(f0)0( ,0='f .将)(x f 在0=x 的某邻域内展成一阶泰勒公式(即麦克劳林公式)221221)()()0()0()(x f x f x f f x f ⋅''=⋅''+'+=ξξ(ξ在0与x 之间). 又由题设知)(x f ''在属于邻域内包含原点的一个小闭区间连续,从而有界,因此,存在正数0>M ,使得M x f ≤'')(,于是 2221)()(x x f x f M ≤''=ξ,令nx 1=,则 2121)(n Mnf⋅≤,因为∑∞=121n n 收敛,故∑∞=11)(n nf 绝对收敛. 8.(1)⎩⎨⎧=⋃-∈--+=;0 ,0),1 ,0()0 ,1( ),1ln()1(1)(1x x x x S x(2)2)2(1)(x x x S --=,)2 ,0(∈x ;(3)221)(x xx S -=,),(2222-∈x ; (4)224)1()(2xx x ex S ++=,) ,(∞+-∞∈x .9.)1(11-. 10.(1)1;(2))1sin 1(cos 1+. 11.∑∞=+++-022)22)(12()1(n n nx n n ,]1 ,1[-∈x . 12.∑∑∞=--∞=---+--112102)21()!12()1(21cos 2)21()!2()1(21sin 2n n n n n n x n x n ,) ,(∞+-∞∈x . 13.-1; 0. 14.∑∞=---=122)12cos()12(1425)(n x n n x f ππ,]1 ,1[-∈x ;62π. 15.∑∞=++-=0222)12(cos )12(18)(n x n n x f ππ,]2 ,0(∈x .。
高等数学教材四答案完整版第一章:极限与连续1.1 极限的概念与性质1.1.1 数列极限的定义与性质对于数列$a_n$,当$n$趋向于无穷时,如果存在实数$a$,使得对于任意给定的正数$\varepsilon$,总存在正整数$N$,使得当$n>N$时,$|a_n-a|<\varepsilon$成立,那么我们称$a$为数列$a_n$的极限,记作$\lim_{n\to\infty} a_n=a$。
1.1.2 函数极限的定义与性质对于函数$f(x)$,当$x$趋向于$c$时,如果存在实数$L$,使得对于任意给定的正数$\varepsilon$,总存在正数$\delta$,使得当$0<|x-c|<\delta$时,$|f(x)-L|<\varepsilon$成立,那么我们称$L$为函数$f(x)$的极限,记作$\lim_{x\to c}f(x)=L$。
1.2 基本极限公式与极限计算1.2.1 三角函数极限1) $\lim_{x\to 0}\frac{\sin x}{x}=1$2) $\lim_{x\to 0}\frac{1-\cos x}{x}=0$3) $\lim_{x\to 0}\frac{\tan x}{x}=1$4) $\lim_{x\to 0}\frac{a^x-1}{x}=\ln a$,其中$a>0$1.2.2 自然对数的底$\lim_{x\to \infty}(1+\frac{1}{x})^x=e$1.2.3 无穷小与无穷大1) 当$x$趋向于$0$时,$x^n$与$x$同阶无穷小。
2) 当$x$趋向于无穷时,$a^x$与$x^n$同阶无穷大($a>1$,$n$为正整数)。
3) 当$x$趋向于无穷时,$a^x$与$b^x$同阶无穷大($a>1,b>1$)。
第二章:一元函数微分学2.1 导数的概念与性质2.1.1 导数的定义导数是描述函数变化率的概念。
第四章 样本及其分布练习4.1 简单随机样本一、填空题(略) 二、解:)1061051039492(51++++=x =100, 412=S [(92–100)2+(94–100)2+(103–100)2+(105–100)2+(106–100)2]=42.6三、解:利用y i =100(x i –80),得变换后样本数据:–2, 4, 2, 4, 3, 3, 4, -3, 5, 3, 2, 0, 2这时,有131=x [(–2+4+2+4+3+3+4–3+5+3+2+2)1001+80×13]=80.02 1212=S [(42+4+0+4+1+1+4+25+9+1+0+4+0)/10000]=5.75×10-4四、解:∵ E (X i )=p ,D (X i )=p (1-p ),)(11)(11122212∑∑==--=--=ni i i n i X n X n X X n S , ∴p p n n X E n X n E X E i n i n i i =⋅===∑∑==1)(1)1()(11;)1(1)1(1)(1)1()(2121p p n p np n X D n X n D X D i n i n i i -=-⋅===∑∑==;)]()([1)(1)(11)(222212X E X E n n X E n n X E n S E in i --=---=∑= =)]()([1]}))(()([)]([)({122X D X D n n X E X D X E X D n n --=+-+- =)1()()(11)](1)([1p p X D X D nn n n X D n X D n n -==-⋅-=--。
五、解:∵ E (X i )=λ, D (X i )=λ, )(111222∑=--=ni i X n X n S ,∴ λλ=⋅==∑=n n X E n X E i n i 1)(1)(1;n n nX D n X D i n i λλ=⋅==∑=2121)(1)(;)]()([1)(1)(11)(222212X E X E n n X E n n X E n S E in i --=---=∑= =λλλ=-⋅-=--)(1)]()([1nn n X D X D n n 。
高中第四册数学期末考试试卷答案2021年高中第四册数学期末考试试卷答案【】多了解一些考试资讯信息,关于先生和家长来讲十分重要,查字典数学网为大家整理了2021年高中第四册数学期末考试试卷答案一文,希望对大家有协助。
一、DCABC;BBCCC;CD.二、13、 14、2 15、21 16、三、17.【解析】18.【解析】(Ⅰ) 2分4分5分由得, ( )., 7分故的单调递增区间为 ( ). 8分(Ⅱ) ,那么 9分10分19.【解析】(1) ;(2)20.【解析】此题考察团圆形随机变量及其散布列的求法,希冀的求法,考察了等能够事情概率的求法公式,是一道运用概率处置实效果的运用题,此类题型随着高考革新的深化,在高考的试卷上出现的频率越来越高,应加以研讨体会此类题的规范解法.(1)求甲,乙两组各抽取的人数,依据分层的规那么计算即可;(2)从甲组抽取的工人中恰有1名女工这个事情说明是从甲组中抽取了一男一女,计算出总抽法的种数与)从甲组抽取的工人中恰有1名女工的种数,用古典概率公式即可求解;(3)令X表示抽取的3名工人中男工人的人数,那么X可取值:0,1,2,3,依次算出每和种状况的概率,列出散布列,据公式求出其希冀值即可.解: (1)答:从甲组抽取2名,从乙组抽取1名(2)从甲组抽取的工人中恰有1名女工的概率为(3)X可取值:0,1,2,3X的散布列为21.【解析】(Ⅰ)由题意知,,解得5分(Ⅱ)设,与椭圆方程联立得由于AB为直径的圆过点M(0,1),所以教员做:请你仿此自己改一下;设,K存在时,设直线联立得8分又同理 10分解得当k不存在时,为等腰, 由C、B、M三点共线易失掉22.【解析】本试题主要是考察了导数在研讨函数中的运用。
(1)由于∵函数在处与直线相切解得a,b的值。
并且,求导数的符号与函数单调性的关系失掉最值。
(2)先生做:教员做:由于当b=0时,假定不等式对一切的都成立,那么对一切的都成立,即对一切的都成立转化与化归思想的运用。
高中第四册数学期末试题答案解析2021年高中第四册数学期末试题答案解析【】查字典数学网高中频道的编辑就为您预备了2021年高中第四册数学期末试题答案解析一、选择题(每题5分,共60分,以下每题所给选项只要一项契合题意,请将正确答案的序号填涂在答题卡上)1.下面事情:①延续两次掷一枚硬币,两次都出现正面朝上;②异性电荷,相互吸引;③在规范大气压下,水在100℃结冰,是随机事情的有 CA.②;B.③;C.①;D.②、③2. 是的 AA.充沛不用要条件B.必要不充沛条件C.充要条件D.既不充沛又不用要条件3.以下各数中最小的数是 DA.85(9)B.210(6)C.1000(4)D.111111(2)4.数据a1,a2,a3,,an的方差为A,那么数据2a1,2a2,2a3,,2an的方差为 DA.A/2B.AC.2AD.4A5.在长为10 cm的线段AB上任取一点P,并以线段AP为边作正方形,这个正方形的面积介于25 cm2与49 cm2之间的概率为 BA. B. C. D.6.某校高中生共有900人,其中高一年级300人,高二年级200人,高三年级400人,现采用分层抽样抽取一个容量为45的样本,那么高一、高二、高三各年级抽取人数区分为 D A.15,5,25 B.15,15,15 C.10,5,30 D.15,10,20n=0while n100n=n+1n=n*nwendprint nend7.运转右图顺序时,WHILE循环体内语句的执行次数是 BA.5B.4C.3D.98.命题P:,那么为 AA. B.C. D.9.设圆C与圆外切,与直线y=0相切,那么C的圆心轨迹为 AA.抛物线B.双曲线C.椭圆D.圆10.设双曲线的渐近线方程为,那么的值为 ( C)A.4B.3C.2D.111.F是抛物线的焦点,A,B是该抛物线上的两点, ,那么线段AB的中点到y轴的距离为 ( B)A. B. 1 C. D.12.某人射击5枪,命中3枪,3枪中恰有2枪连中的概率为( A )A. B. C. D.第二卷(非选择题共90分)二.填空题(本大题共4个小题,每题5分,共20分)13.用秦九韶算法计算当x=5时多项式f (x)=5 +4 +3 +2 +x+1的值 18556 .14 .对某电子元件停止寿命追踪调查,状况如下.寿命(h) 100~200 200~300 300~400 400~500 500~600 个数 20 30 80 40 30估量元件寿命在100~400 h以内的在总体中占的比例 0.6515.命题为假命题,那么实数的取值范围为16.从装有5只红球、5只白球的袋中任意取出3只球,有事情:① 取出2只红球和1只白球与取出1只红球和2只白球② 取出2只红球和1只白球与取出3只红球③ 取出3只红球与取出3只球中至少有1只白球④ 取出3只红球与取出3只白球.其中是统一事情的有 3三.解答题(共6各小题,第17题10分,其他12分,共70分)17.求证:ABC是等边三角形的充要条件是a2+b2+c2=ab+ac+bc, (a,b,c是ABC的三条边.)证:充沛性:假定ABC是等边三角形,那么有a=b=c成立,左边=3a2=左边必要性:假设有a2+b2+c2=ab+ac+bc,那么两边同乘以2得2a2+2b2+2c2= 2ab+2bc+2ca,整理得(a-b)2+(b-c)2+(c-a)2=0故有a=b=c成立,即三角形是等边三角形18.(本小题总分值12分)某迷宫有三个通道,进入迷宫的每团体都要经过一扇智能门.初次抵达此门,系统会随机(即等能够)为你翻开一个通道.假定是1号通道,那么需求1小时走出迷宫;假定是2号、3号通道,那么区分需求2小时、3小时前往智能门.再次抵达智能门时,系统会随机翻开一个你未到过的通道,直至走出迷宫为止.(1)求走出迷宫时恰恰用了l小时的概率;(2)求走出迷宫的时间超越3小时的概率.解:(1)设A表示走出迷宫时恰恰用了1小时这一事情,那么 .(2) 设B表示走出迷宫的时间超越3小时这一事情,那么 .19. 对甲、乙两名自行车赛手在相反条件下停止了6次测试,测得他们的最大速度(m/s)的数据如下表.甲 27 38 30 37 35 31乙 33 29 38 34 28 36(1)画出茎叶图,由茎叶图你能取得哪些信息?(2)区分求出甲、乙两名自行车赛手最大速度(m/s)数据的平均数、中位数、规范差,并判别选谁参与竞赛更适宜. 解:(1)画茎叶图,中间数为数据的十位数?从这个茎叶图上可以看出,甲、乙的得分状况都是散布平均的,只是乙更好一些;乙的中位数是35,甲的中位数是33.因此乙发扬比拟动摇,总体得分状况比甲好.?(2) =33, =33; =3.96, =3.56;甲的中位数是33,乙的中位数是35. 综合比拟选乙参与竞赛较为适宜.20.假定关于某设备的运用年限x和所支出的维修费用y(万元),有如下表的统计资料:运用年限x 2 3 4 5 6维修费用y 2.2 3.8 5.5 6.5 7.0假定由资料可知y对x呈线性相关关系,试求:(3) 线性回归直线方程;(4) 估量运用年限为 10年时,维修费用是多少?Y=1.23x+0.08 12.38万21.椭圆C的左右焦点区分是( ,0),( ,0),离心率是,直线y=t与椭圆C交于不同的两点M,N,以线段MN为直径作圆P,圆心为P.(1)求椭圆C的方程(2)假定圆P与x轴相切,求圆心P的坐标.解:(Ⅰ)由于,且,所以所以椭圆C的方程为(Ⅱ)由题意知由得所以圆P的半径为解得所以点P的坐标是(0, )22.(本小题总分值12分)斜率为1的直线与双曲线交于两点,的中点为 . (I)求的离心率;(II)设的右顶点为 ,右焦点为 , ,证明:过的圆与轴相切.(Ⅰ)由题设知,的方程为:,代入C的方程,并化简,得,设,那么①由为BD的中点知,故即,②故所以C的离心率(Ⅱ)由①②知,C的方程为:,故无妨设,又,故,解得,或 (舍去),故,连结MA,那么由,知,从而 ,且轴,因此以M为圆心,MA为半径的圆经过A、B、D三点,且在点A处与轴相切,所以过A、B、D三点的圆与轴相切.只需大家用心学习,仔细温习,就有能够在高考的战场上考取自己理想的效果。
高中第四册数学期末测试题答案解析高中第四册数学期末测试题答案解析一、选择题(本大题共10小题,每小题3分,共30分.在每小题给出的四个选项中,只有一项是符合题目要求的)1.已知集合,,则 ( C )A. B. C. D.2. 设是定义在上的奇函数,当时,,则 ( A )A. B. C.1 D.33. 已知向量满足,则 ( D )A.0B.1C.2D.4.设是等比数列,则是数列是递增数列的( B )A.充分而不必要条件B.必要而不充分条件C.充分必要条件D.既不充分也不必要条件5. 设m,n是两条不同的直线,、、是三个不同的平面,给出下列命题,正确的是( B )A.若,,则B.若,,则C.若,,则D.若,,,则 [来6. 函数y=sin(2x+)的图象沿x轴向左平移个单位后,得到一个偶函数的图象,则的一个可能的值为( A )A. B. C. D.7.已知的内角A,B,C所对的边分别为a,b,c,若的可能取值为( D )已知数列的首项, .(Ⅰ)求证:数列为等比数列;(Ⅱ)若,求最大的正整数 .-45、高中第四册数学期末测试题-519.(本题满分10分)如图所示,平面平面,且四边形为矩形,四边形为直角梯形,,,, .(Ⅰ)求证平面 ;(Ⅱ)求平面与平面所成锐二面角的余弦值.四边形为直角梯形,四边形为矩形,,,又,平面,,又平面平面,为平面与平面所成锐二面角的平面角.即平面与平面所成锐二面角的余弦值为 .(法二)(Ⅰ) 四边形为直角梯形,四边形为矩形,又平面平面,且,取,得 .平面,平面一个法向量为,设平面与平面所成锐二面角的大小为,则 .因此,平面与平面所成锐二面角的余弦值为 .20.(本题满分10分)已知椭圆的两个焦点分别为,且,点在椭圆上,且的周长为6.(Ⅰ)求椭圆的方程;(Ⅱ)若点的坐标为,不过原点的直线与椭圆相交于不同两点,设线段的中点为,且三点共线.设点到直线的距离为,求的取值范围.解:(Ⅰ)由已知得,且,解得,又所以椭圆的方程为(Ⅱ) 当直线与轴垂直时,由椭圆的对称性可知:点在轴上,且原点不重合,显然三点不共线,不符合题设条件.所以可设直线的方程为,由消去并整理得:①则,即,设,且,则点,因为三点共线,则,即,而,所以此时方程①为,且因为所以21. (本题满分12分)本文导航 1、首页2、高中第四册数学期末测试题-23、高中第四册数学期末测试题-34、高中第四册数学期末测试题-45、高中第四册数学期末测试题-5已知是不全为的实数,函数,,方程有实根,且的实数根都是的根,反之,的实数根都是的根.(Ⅰ)求的值;(Ⅱ)若,求的取值范围.解(Ⅰ)设是的根,那么,则是的根,则即,所以 . (Ⅱ) ,所以,即的根为0和-1,①当时,则这时的根为一切实数,而,所以符合要求. 当时,因为 =0的根不可能为0和,所以必无实数根,②当时, = = ,即函数在,恒成立,又,所以,即所以 ;③当时, = = ,即函数在,恒成立,又,所以,,而,舍去综上,所以 .以上就是查字典数学网的编辑为您准备的高中第四册数学期末测试题答案解析。