川大版高数第三册答案(1)
- 格式:doc
- 大小:6.56 MB
- 文档页数:130
资料范本本资料为word版本,可以直接编辑和打印,感谢您的下载蠕虫病毒的特征与防治地点:__________________时间:__________________说明:本资料适用于约定双方经过谈判,协商而共同承认,共同遵守的责任与义务,仅供参考,文档可直接下载或修改,不需要的部分可直接删除,使用时请详细阅读内容研究生课程论文(2008-2009学年第二学期)蠕虫病毒的特征与防治摘要随着网络的发展,以网络传播的蠕虫病毒利用网络全球互联的优势和计算机系统及网络系统安全性上的漏洞,己经成为计算机系统安全的一大的威胁。
采用网络传播的蠕虫病毒与传统的计算机病毒在很多方面都有许多不同的新特点。
本文对蠕虫病毒的特征和防御策略进行了研究,透彻分析了几个流行的蠕虫病毒的本质特征和传播手段,并提出了防治未知病毒以及变形病毒的解决方案与虚拟机相结合的基于攻击行为的着色判决PN机蠕虫检测方法。
关键词: 蠕虫,病毒特征,病毒防治1引言“蠕虫”这个生物学名词于1982年由Xerox PARC的John F. Shoeh等人最早引入计算机领域,并给出了计算机蠕虫的两个最基本的特征:“可以从一台计算机移动到另一台计算机”和“可以自我复制”。
最初,他们编写蠕虫的目的是做分布式计算的模型试验。
1988年Morris蠕虫爆发后,Eugene H. Spafford为了区分蠕虫和病毒,给出了蠕虫的技术角度的定义。
“计算机蠕虫可以独立运行,并能把自身的一个包含所有功能的版本传播到另外的计算机上。
”计算机蠕虫和计算机病毒都具有传染性和复制功能,这两个主要特性上的一致,导致二者之间是非常难区分的。
近年来,越来越多的病毒采取了蠕虫技术来达到其在网络上迅速感染的目的。
因而,“蠕虫”本身只是“计算机病毒”利用的一种技术手段[1]。
2蠕虫病毒的特征及传播1、一般特征:(1)独立个体,单独运行;(2)大部分利用操作系统和应用程序的漏洞主动进行攻击;(3)传播方式多样;(4)造成网络拥塞,消耗系统资源;(5)制作技术与传统的病毒不同,与黑客技术相结合。
第一章 行列式1.()()[][][]23154110103631254=520010=8(1)3(1)321(1)(2)(3)2441(1)3214243(1)321012)4n n n n n n n n m n m n n n m n m n n m 1τ=++++=2τ+++++-τ-⋯=-+-+-+⋯+2+1+0===+τ-⋯=+=+τ-⋯=⋯()该数列为奇排列()该排列为偶排列() 当或时,为偶数,排列为偶排列当或时,为奇数,排列为奇排列(其中,,()[][][]12(1)13521)246(2)0123(1)244113521)246(2)424313521)246(2)012)2.(1)(2)(n n n n n n n m n m n n n m n m n n m i i i k n n n -τ⋯-⋯=++++⋯+-===+τ⋯-⋯=+=+τ⋯-⋯=⋯⋯-+-+( 当或时,(为偶数,排列为偶排列当或时,(为奇数,排列为奇排列(其中,,解:已知排列的逆序数为,这个数按从大到小排列时逆序数为()()111112(1)3)2(1)2x x x n x n x n n n n n n x i r i i i n x r i n x n n i i i i i i -+-+---+⋯+2+1+0=----τ⋯=-τ⋯个.设第数之后有个数比小,则倒排后的位置变为,其后个数比小,两者相加为故3 证明:.因为:对换改变排列的奇偶性,即一次变换后,奇排列改变为偶排列,偶排列改变为奇排列∴当n ≥2时,将所有偶排列变为奇排列,将所有奇排列变为偶排列 因为两个数列依然相等,即所有的情况不变。
∴偶排列与奇排列各占一半。
4 (1)13243341a a a a 不是行列式的项 14233142a a a a 是行列式的项 因为它的列排排列逆序列τ=(4321)=3+2+0+0=5为奇数,∴应带负号(2)5142332451a a a a a 不是行列式的项 1352413524a a a a a =1324354152a a a a a 因为它的列排排列逆序列τ(34512)=2+2+2+0+0=6 为偶数∴应带正号。
10年川大高等代数及答案编辑整理:尊敬的读者朋友们:这里是精品文档编辑中心,本文档内容是由我和我的同事精心编辑整理后发布的,发布之前我们对文中内容进行仔细校对,但是难免会有疏漏的地方,但是任然希望(10年川大高等代数及答案)的内容能够给您的工作和学习带来便利。
同时也真诚的希望收到您的建议和反馈,这将是我们进步的源泉,前进的动力。
本文可编辑可修改,如果觉得对您有帮助请收藏以便随时查阅,最后祝您生活愉快业绩进步,以下为10年川大高等代数及答案的全部内容。
四川大学2010年攻读硕士学位研究生入学考试题一、A 为实数域R 上的n 阶实对称矩阵。
解答下列各题,每小题满分10分. 1.证明:矩阵A E n +-1可逆,这里n E 是n 阶单位阵。
证明:A 为实数域R 上的n 阶实对称矩阵,则A 可对角化即存在可逆矩阵P ,使得Λ=-AP P 1,A 的特征值为n λλλ,,,21 (R k ∈λ))())((1)1(12111i i i P E P P E P A E n n n n ±±±=Λ+-=Λ+-=+---λλλ由0)(≠±i k λ,则01≠+-A E n ,故A E n +-1可逆。
2。
设函数f :R R R n n →⨯为:AY X Y X f '),(=,n R Y X ∈,。
证明:f 不是零函数当且仅当存在nR X ∈0使得0),(00≠X X f证明:充分性:由存在nR X ∈0使得0),(00≠X X f ,则f 不是零函数必要性:由A 为实数域R 上的n 阶实对称矩阵,则A 可正交对角化 令r A r =)(,A 的非零特征值为i λ(r i ,,2,1 =)即存在正交矩阵),,,(21n Q ααα =,使得)0,,0,,,,('21个r n r diag AQ Q -=Λ=λλλ 取i X α=0,有0'),(00≠==i i i A X X f λαα3.设A xE x f n -=)(是A 的特征多项式,设)('x f 为)(x f 的导数且)()('x f x f 。
习题1.11.解下列不等式(用区间表示).⑴172<-x ,⑵12≥-x ,⑶()()021<--x x ,⑷2212<+<-x ,⑸412<<x ,⑹232322+->+-x x x x .解:⑴1721<-<-x 826<<x 43<<x )(.4,3∈x ⑵1212-≤-≥-x x 或13≤≥x x 或(][).,31,+∞∞-∈ x ⑶2,121-==x x 12<<-x ().1,2-∈x ⑷⎪⎪⎩⎪⎪⎨⎧->+<+221221x x ⇒⎪⎪⎩⎪⎪⎨⎧>++>++02520232x x x x ⇓()()()()⎩⎨⎧>++>++02520232x x x x ⎪⎭⎫ ⎝⎛+∞-⎪⎭⎫ ⎝⎛-∞-∈⇒->-<⇒⎪⎪⎩⎪⎪⎨⎧->-<->-<⇒,2325,2325225232 x x x x x x x 或或或解得.⑸2141<<x 当0>x 时,2141<<x .当0<x 时,41212141-<<-⇒<-<x x .综合上述:⎪⎭⎫⎝⎛⎪⎭⎫ ⎝⎛--∈21,4141,21 x .⑹不成立时,2323230232222+->+-=+-≥+-x x x x x x x x .考虑0232<+-x x 的情形,232322-+-=+-x x x x −−−−→−原不等式变为().2,1210232323222∈⇒<<⇒<+-⇒+->-+-x x x x x x x x 2.求函数值.⑴()12--=x x x f ,求()()(),0,2,2f f f -⑵()x x x x x f 6116234-+-=,求()()(),4,1,0f f f ⑶()⎪⎩⎪⎨⎧+=,2,12x x x f ,0,0+∞<<≤<∞-x x 求()()(),2,0,2f f f -⑷()x x x f +-=11,求()x f -,()1+x f ,⎪⎭⎫⎝⎛x f 1,⑸设)(a ())(,b b ax x f +=())(,2c x x f =()xa x f =,求()()().hx f h x f x -+=ϕ解:⑴()()(),20,342,02-=-=-=f f f ⑵()()(),244,01,00===f f f ⑶()()(),42,10,52===-f f f ⑷()(),111,21,11+-=⎪⎭⎫ ⎝⎛+-=+-+=-x x x f x x x f x x x f ⑸)(a ()(),a hbax b h x a x =--++=ϕ)(b ()(),222h x hx h x x +=-+=ϕ)(c ()(),1ha a h a a x h x x h x -=-=+ϕ3.求函数的定义域.⑴,12xx y +=⑵,112-=x y ⑶,112xy -=⑷,11922-+-=x x y ⑸(),721lg x y -=⑹,sin 1xy π=⑺,12arccosxxy +=⑻(),ln ln x y =⑼,22x x y -+=⑽()⎪⎩⎪⎨⎧≤≤<≤<-=.21,,10,1,0,12x e x x x x x f x解:⑴01≠+x .1-≠⇒x ⑵.1012±≠−−→−≠-x x 解得⑶.11012<<-−−→−>-x x 解得⑷092≥-x ①012>-x ②联立①②解得:.3113≤<-<≤-x x 或⑸.30721<⇒>-x x ⑹).,2,1,0(,),2,1,0(,0sin ⋅⋅⋅±±=≠⇒⋅⋅⋅±±=≠⇒≠k k x k k x x πππ⑺.1311121≤≤-−−→−≤+≤-x x x 解得⑻.10ln >⇒>x x ⑼.21022≤≤-−−→−≥-+x x x 解得⑽①0<x 时R x ∈,结合前提:,0<x ②10<≤x 时0≠x ,结合前提:,10<<x ③21≤≤x 时R x ∈,结合前提:.21≤≤x 综合上诉:定义域为.200≤<<x x 或4.求下列函数的定义域和值域.⑴x y sin =,⑵()x y 1-=,⑶().cos 21lg x y -=解:⑴()),,2,1,0(,1220sin ⋅⋅⋅±±=+≤≤⇒≥k k x k x ππ.10≤≤y⑵.1),(12±=+=y n m m nx 为整数⑶),,2,1,0(,2352321cos 0cos 21⋅⋅⋅±±=+<<+⇒<⇒>-k k x k x x ππππ.3lg 3cos 210,3cos 211,1cos 1≤⇒≤-<≤-≤-≤≤-y x x x 5.下列函数是否表同一函数?为什么?⑴()()x x x x f lg 2lg 2==ϕ与,⑵()()2x x x x f ==ϕ与,⑶()()1==x xxx f ϕ与.解:⑴()x f 定义域0,02≠>x x ,()x ϕ定义域0>x ,定义域不同,∴否⑵()()0,≥∈x R x f ϕ,值域不同,∴否⑶()x f 定义域0≠x ,()x ϕ定义域R x ∈,定义域不同,∴否6.判断下列函数在所示区间内的增减性.⑴x y cos =()π≤≤x 0,⑵x y ln =()+∞<<x 0,⑶2xy =().0≤<∞-x 解:⑴根据图像判断,单调减⑵根据图像判断,单调增⑶根据图像判断,单调减7.指出下列函数的奇偶性.⑴()33x x x f -=,⑵()x x f 2cos 4=,⑶()x x x f sin =,⑷()12+=x x f ,⑸()xe xf =,⑹()()()323211x x x f ++-=,⑺()x xx f +-=11ln ,⑻()1212+-=x x x f ,⑼().cos sin x x x f -=解:⑴定义域R x ∈,R x ∈-∀,()33x x x f +-=-()x f -=,∴奇函数⑵定义域R x ∈,R x ∈-∀,()()()x f x x x f ==-=-2cos 42cos 4,∴偶函数⑶定义域R x ∈,R x ∈-∀,()()()x f x x x x x f ==--=-sin sin ,∴偶函数⑷定义域R x ∈,R x ∈-∀,()()()x f x x x f =+=+-=-1122,∴偶函数⑸定义域R x ∈,R x ∈-∀,()()x f ee xf x x≠==--1,同理()()x f x f -≠-,∴非奇非偶⑹定义域R x ∈,R x ∈-∀,()()()()x f x x x f =-++=-323211,∴偶函数⑺定义域()()11011011-<>⇒>+-⇒>+-x x x x x x或,()()+∞-∞-∈-∀,11, x ,()()()()()[]()x f xxx x x x x x x f -=+--=+---=--+=-+=-11ln 1ln 1ln 1ln 1ln 11ln ,∴奇函数⑻定义域R x ∈,R x ∈-∀,()()x f x f xx x x xx x xx x -=+--=+-=+-=+-=---121221212212211212,∴奇函数⑼定义域R x ∈,R x ∈-∀,()()()xx x x x f cos sin cos sin --=---=-()()()()x f x f x f x f -≠-≠-,,∴非奇非偶8.证明()21ln xx y ++=为奇函数.证:先求定义域:xx x x x x x +>++∴=>+2221,1 01,0,0;01,02,022>++=+≤>++>=+>x x x x x x x x x x x 即时即时综合上述:012>++x x 恒成立,又012>+x ,∴定义域为R x ∈.R x ∈-∀,()()221ln 1ln x x x x yyxx xx +++++-=+=-=()()[]x x x x -+++=2211ln ()01ln 1ln 22==-+=x x ,xx xx yy=-=-=∴,∴()21ln xx y ++=为奇函数,得证9.设()x f 为定义在()+∞∞-,内的任意函数,证明()()()x f x f x F -+=1为偶函数,()()()x f x f x F --=2为奇函数.证:①()()()()()()011=---+-=--x f x f x f x f x F x F ,即()()x F x F 11=-,∴偶函数②()()()()()()022=--+--=+-x f x f x f x f x F x F ,即()()x F x F 22-=-,∴奇函数10.求下列周期函数的最小正周期.⑴2sinx y =,⑵x y 2cos =,⑶x n B x n A y λλcos sin +=,⑷x x x y 3sin 312sin 21sin ++=,⑸x y 2sin =.解:⑴)⋅⋅⋅±±=+=⎪⎭⎫⎝⎛+=,2,1,0(,24sin 22sin 2sink k x k x x ππ,1=k 取得最小正周期π4.⑵()()),2,1,0(,2cos 22cos 2cos ⋅⋅⋅±±=+=+=k k x k x x ππ,1=k 取最小正周期π.⑶()()πϕλϕλλλk x n B A x n B A x n B x n A 2sin sin cos sin 2222+++=++=+),2,1,0((tan ,2sin 22⋅⋅⋅±±==⎥⎦⎤⎢⎣⎡+⎪⎭⎫ ⎝⎛++=k a bn k x n B A ϕϕλπλ,1=k 时取得最小正周期λπn 2.⑷x sin 的最小正周期π2,x 2sin 21最小正周期π,x 3sin 31最小正周期π32.π2是32,,2πππ的倍数,∴y 是周期函数,最小正周期是π2.⑸),2,1,0(,21)(2cos 212cos 212122cos 1sin 2⋅⋅⋅±±=++-=-=-=k k x x x x π,1=k 时取最小正周期π.11.证明[]x x y -=为周期函数,并求它的最小正周期.证:①Z x ∈时,[]0=-=-=x x x x y ,为周期函数,周期为R x ∈∀,②Z x ∉时,令)(,为小数部分为整数部分,b a b a x +=,[]ba b a x x y =-+=-=Z T ∈∀,()T x f +的小数部分也为b .即()()x f T x f =+,∴y 为周期函数,周期为Z T T ∈,,综合上述:R x ∈,[]x x y -=为周期函数,周期为Z T T ∈,,最小正周期为1.12.写出由下列函数组构成的复合函数,并求复合函数的定义域.⑴(),1,arcsin 2x v v y -==⑵,1,ln 2x u u y -==⑶,2,log ,2122x x v v u u y a +===⑷.tan ,log ,12x v v u u y a ==+=解:⑴(),1arcsin 2x y -=().20111,112≤≤−−→−≤-≤-≤≤-x x v 解得⑵().1101,1ln 22<<-−−→−>--=x x x y 解得⑶,2log 2122x x y a +=.20022-<>⇒>+x x x x 或⑷,tan log 12x y a +=).,2,1,0(,20tan ⋅⋅⋅±±=+<<⇒>k k x k x πππ13.⑴设()(),2,2xx x x f ==ϕ求()[]x f ϕ和()[]x f ϕ,⑵设(),11xx f -=求()[]x f f ,⑶设(),2312+-=+x x x f 求().x f 解:⑴()[]()()[],2,4222x xx x f x f ===ϕϕ⑵()[],11111xx xx f f -=--=⑶()()(),615112++-+=+x x x f 令()().65,65,122+-=+-=+=x x x f t t t f x t14.求下列函数的反函数及反函数的定义域.⑴()+∞<≤=x x y 02,⑵)0112≤≤--=x x y ,⑶11-=x y ,⑷110+=x y ,⑸xxy +-=11,()⎪⎩⎪⎨⎧+∞<<≤≤<<∞-=.4 ,2,41 ,,1 , 62x x x x x y x 解:⑴,,x y y x ==,0≥x ⑵,1,122x y y x --=--=,10≤≤x ⑶,0,1,1≠+=+=x xx y y y x ⑷,0,1lg ,1lg >-=-=x x y y x ⑸,1,11,11-≠+-=+-=x xx y y y x ⑹⎪⎩⎪⎨⎧+∞<<≤≤<<-∞=,16,log ,161,,1,2x x x x x x y 注:先逆推y ,再值域对应定义域。
川大版高数_物理类专用_第三册1. 引言川大版高数是中国四川大学推出的一套高等数学教材,分为多册。
本文档将介绍川大版高数的物理类专用第三册内容。
2. 内容概述物理类专用第三册是川大版高数系列的一部分,主要介绍了与物理相关的高等数学知识。
本册主要包括以下几个方面的内容:1.微分方程2.矢量分析3.置换与反射4.复变函数5.特殊函数6.微分方程的初值问题7.应用题下面将对以上每个部分进行详细介绍。
3. 微分方程微分方程是物理学中常用的数学工具之一,用于描述自然界中的变化过程。
本册中的微分方程部分主要介绍了一阶和二阶微分方程的求解方法,包括常系数线性齐次微分方程、非齐次微分方程、欧拉方程等,同时还涉及到一些常见的应用问题。
4. 矢量分析矢量分析是研究矢量场的数学方法,广泛应用于物理学中。
本册中的矢量分析部分主要涵盖了矢量的基本概念,如数量积、矢量积等,同时还介绍了曲线、曲面的参数化表示,以及与曲线、曲面相关的重要公式和定理。
5. 置换与反射在物理学中,置换和反射是常见的几何变换。
本册中的置换与反射部分主要介绍了置换和反射的基本概念,如置换的定义、置换的合成以及反射的性质等。
6. 复变函数复变函数是研究复数域上的函数的数学分支,其在物理学中也有广泛的应用。
本册中的复变函数部分主要介绍了复数的基本概念、复变函数的导数和积分,以及一些与复变函数相关的定理和公式。
7. 特殊函数特殊函数是用于解决特殊类型问题的一类数学函数。
本册中的特殊函数部分主要介绍了常见的特殊函数,如贝塞尔函数、勒让德多项式、连带勒让德函数等,以及这些特殊函数的性质和应用。
8. 微分方程的初值问题微分方程的初值问题是指在已知微分方程的一个解的初始条件下,求解满足该条件的解。
本册中的微分方程的初值问题部分主要介绍了一阶微分方程和二阶线性齐次微分方程的初值问题的求解方法。
9. 应用题应用题是通过将数学方法应用于实际问题而得出的题目。
本册中的应用题部分主要涵盖了物理学中常见的应用问题,如运动学、力学、热学等问题,并结合微分方程、矢量分析和特殊函数等知识进行求解。
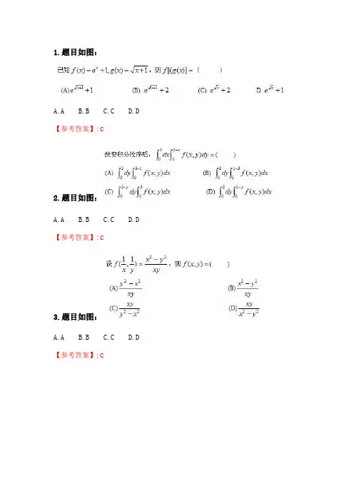
A.AB.BC.CD.D 【参考答案】: C2.题目如图:A.AB.BC.CD.D 【参考答案】: C3.题目如图:A.AB.BC.CD.D 【参考答案】: CA.AB.BC.CD.D 【参考答案】: C5.题目如图:A.AB.BC.CD.D 【参考答案】: C6.题目如图:A.AB.BC.CD.D 【参考答案】: C7.题目如图:A.AB.BC.CD.D【参考答案】: C8.题目如图:A.AB.BC.CD.D 【参考答案】: C9.题目如图:A.AB.BC.CD.D 【参考答案】: C10.题目如图:A.AB.BC.CD.D 【参考答案】: C11.题目如图:A.AB.BC.CD.D 【参考答案】: C12.题目如图:A.AB.BC.CD.D【参考答案】: C13.题目如图:A.奇函数B.偶函数C.非奇非偶函数D.以上均不对【参考答案】: B14.题目如图:A.AB.BC.CD.D【参考答案】: C15.题目如图:A.AB.BC.CD.D【参考答案】: C16.题目如图:A.-3B.-2C.-1D.0【参考答案】: C17.题目如图:A.AB.BC.CD.D 【参考答案】: C18.题目如图:A.AB.BC.CD.D 【参考答案】: C19.题目如图:A.AB.BC.CD.D 【参考答案】: C20.题目如图:A.AB.BC.CD.D21.题目如图:A.充分条件,但不是必要条件B.必要条件,但不是充分条件C.充分必要条件D.既不是充分条件也不是必要条件【参考答案】: B22.题目如图:A.0B.1C.2D.3【参考答案】: B23.题目如图:A.奇函数B.偶函数C.非奇非偶函数D.以上均不对【参考答案】: A24.题目如图:A.AB.BC.CD.D【参考答案】: B25.题目如图:A.AB.BC.CD.D。
川大版高数-物理类专用-第三册-答案————————————————————————————————作者:————————————————————————————————日期:第一章 行列式1.()()[][][]23154110103631254=520010=8(1)3(1)321(1)(2)(3)2441(1)3214243(1)321012)4n n n n n n n n m n m n n n m n m n n m 1τ=++++=2τ+++++-τ-⋯=-+-+-+⋯+2+1+0===+τ-⋯=+=+τ-⋯=⋯()该数列为奇排列()该排列为偶排列() 当或时,为偶数,排列为偶排列当或时,为奇数,排列为奇排列(其中,,()[][][]12(1)13521)246(2)0123(1)244113521)246(2)424313521)246(2)012)2.(1)(2)(n n n n n n n m n m n n n m n m n n m i i i k n n n -τ⋯-⋯=++++⋯+-===+τ⋯-⋯=+=+τ⋯-⋯=⋯⋯-+-+( 当或时,(为偶数,排列为偶排列当或时,(为奇数,排列为奇排列(其中,,解:已知排列的逆序数为,这个数按从大到小排列时逆序数为()()111112(1)3)2(1)2x x x n x n x n n n n n n x i r i i i n x r i n x n n i i i i i i -+-+---+⋯+2+1+0=----τ⋯=-τ⋯个.设第数之后有个数比小,则倒排后的位置变为,其后个数比小,两者相加为故3 证明:.因为:对换改变排列的奇偶性,即一次变换后,奇排列改变为偶排列,偶排列改变为奇排列∴当n ≥2时,将所有偶排列变为奇排列,将所有奇排列变为偶排列 因为两个数列依然相等,即所有的情况不变。
∴偶排列与奇排列各占一半。
4 (1)13243341a a a a 不是行列式的项 14233142a a a a 是行列式的项 因为它的列排排列逆序列τ=(4321)=3+2+0+0=5为奇数,∴应带负号(2)5142332451a a a a a 不是行列式的项 1352413524a a a a a =1324354152a a a a a 因为它的列排排列逆序列τ(34512)=2+2+2+0+0=6 为偶数∴应带正号。
川大《高等数学(文)》第一次作业答案(总8页)--本页仅作为文档封面,使用时请直接删除即可----内页可以根据需求调整合适字体及大小--《高等数学(文)》第一次作业答案你的得分:完成日期:2013年12月09日 16点29分说明:每道小题括号里的答案是您最高分那次所选的答案,而选项旁的标识是标准答案。
一、单项选择题。
本大题共25个小题,每小题分,共分。
在每小题给出的选项中,只有一项是符合题目要求的。
1.( B )A.奇函数B.偶函数C.非奇非偶函数D.以上均不对2.( B )A.[-1,0)B.(0,-1]C.[-1,+1]D.R3.( B )A.0B.1C.2D.34.( D )A.-1B.0C.1D.不存在5.( B )A.有一条渐近线B.有二条渐近线C.有三条渐近线D.无渐近线6.( C )A.1B.2C.3D.47.( C )A.AB.BC.CD.D8.( C )A.AB.BC.CD.D9.( D )A.AB.BC.CD.D10.( C )A.0B.1C.2D.311.( B )A.AB.BC.CD.D12.( B )A.AB.BC.CD.D13.( B )A.4B.6C.2D.314.( D )A.3B.2C.1D.015.( C )A.AB.BC.CD.D16.( B )A.AB.BC.CD.D17.( B )A.仅有一条B.至少有一条C.不一定存在D.不存在18.( B )A.AB.BC.CD.D19.( B )A.AB.BC.CD.D20.( B )A.AC.CD.D21.( B )A.AB.BC.CD.D22.( B )A.AB.BC.CD.D23.( B )A.AB.BD.D24.( A )A.AB.BC.CD.D25.( C )A.AB.BC.CD.D@Copyright2007 四川大学网络教育学院版权所有。
第三册 参考答案第七章 §7.11.(1)A ;(2)A ;(3)C ;(4)B ;(5)D ;(6)E ;(7)A.2.022=+-y xy x .3.(1)21xy y -=';(2)02='+''y y y . 4.(1)2x y =';(2)提示:如图所示,曲线)(x y y =在点),(y x P 处的法线方程为)(1x X y Y y --=-',则)0 , (y y x Q '+,因RQ PR =,由中点坐标公式,得 02=+'x y y ,此即曲线)(x y y =所应满足的方程.§7.21.(1))1()1(22-=+x C y ; (2)C xx y +-=221arctan ;(3)3)1(tan -=xe C y ;(4)C x y =++433)1(4;(5)yCey x y x 211=+---.2.(1)x y cos 2=-; (2))1(22122xye ee+=;(3)22sec )1(=+y e x .3.72500=v . 4.x y n =.§7.31.(1)1+=Cx xey ; (2))ln 2(22C x x y+=; (3)C x yeyx=+.2.(1))2(ln 222+=x x y ; (2)122=++yxy x .§7.71.(1)x x e C e C y 3221-+=; (2))3sin 3cos (21x C x C e y x +=-;(3)xxeC e C y )21(2)21(1-++=; (4)x e x C C y )(21+=.2.(1)x e y x3cos 4=; (2)2)2(x ex y -+=; (3)x e y -+=2.3.)1(0tM K eKv M s --=.§7.81.x e B Ax x 2)(+; x Ae ; B Ax +; x D Cx x B Ax sin )(cos )(+++;x E x D x C x B xAex3sin 3cos 2sin 2cos 3++++.2.(1)x x x e x x e C e C )121(221+-+; (2)x x e C e C x x sin 103cos 101221-++;(3))sin 101cos 101(221x x e e C e C xx x +++-. 3.(1)x x x 2sin 31sin 31cos +--;(2)252752++-x x e e ;(3)x xx e e e 2971)(21-+.4.提示:这是积分方程,它可转化为微分方程的初值问题来解.原方程两端对x 求导,得)(d )(1)()( 0x x t t x x e x xxϕϕϕϕ-⋅-+='⎰,即 ⎰-='xxt t e x 0 d )()(ϕϕ,再一次求导得xe x x =+'')()(ϕϕ,且1)0(=ϕ和1)0(='ϕ(在原方程和求导后的方程令0=x 即得).这是微分方程的初值问题:对应的齐次方程的通解为x C x C Y sin cos 21+=;而非齐次方程的一个特解为xe y 21*=,所以,非齐次方程的通解为*)(y Y x +=ϕ+=x C cos 1xe x C 212sin +.由初始条件可定出2121==C C ,故 =)(x ϕ)cos (sin 21xe x x ++.5.去掉本题.§7.91.xC x C y 21+=. 2.x x x C C x y 221ln )ln (++=.第八章 §8.11.(略).2.c b a 7 115+-.3. 证明:如右图.)(21)(2121OC OA OA OC OA AC OA AE OA OE +=-+=+=+=同理有 )(21OD OB OE +=故 OE OD OC OB OA 4=+++4.A 在xOy 面上; B 在原点; C 在x 轴上; D 在y 轴上; E 在yOz 面上.5.关于xOy 面:),,(c b a -; 关于yOz 面:),,(c b a -;关于xOz 面:),,(c b a -; 关于原点: ),,(c b a ---.6.与原点:25; 与x 轴:34; 与y 轴:41; 与z 轴:5.7.),0,0(914. 8.(1)21; (2)夹角293arccos =θ.9.(1)垂直于x 轴,平行于yOz 面; (2)指向与y 轴正向一致,垂直于xOz 面; (3)平行于z 轴,垂直于xOy 面.10.3 ,38 ,3===c b a ;0003 ,38 ,3 c c b b a a ===. 11.13,j 7.§8.51.(1)1=m ; (2)3=m .2.(1)平行于yOz 面; (2)平行于z 轴; (3)通过y 轴; (4)通过原点.3.(1)4573=+-z y x ; (2)043=--+z y x ; (3)032=--z y x ; (4)02=+z y ; (5)2=++z y x .4.03 03=-=+y x y x 及.5.365. §8.61.531124-+-==z y x . 2. 311121----==z y x ; t z t y t x 31 ,1 ,21+=+=-=.3. 14322---==z y x . 4.0592298=---z y x . 5.0=ϕ.6.(1)平行;(2)垂直;(3)直线在平面上.7.),,(323235-. 8.223. 9.⎩⎨⎧=-+-=--+.014,0117373117z y x z y x 10.25116131-+==z y x .11. 23121112--=+=+z y x . 12. 2817162511261--=-=-z y x 或⎩⎨⎧=+--=++-.02025,0342411z y x z y x 13.证:如图所示,P 是0M 在L 上的投影(即垂足),不妨取PM =s (为什么?),则由向量积(叉乘)的几何意义可知s =∆S MPMRt0d d ⋅==s 21,所证等式成立.第九章 §9.11.(1)1-+x y ; (2)y x xy 463++; (3)0 1>+<y x x 且;(4)22222R z y x r ≤++≤; (5)122≥+y x .2.(1)0;(2)e .3.(2)提示:只需证当) ,(y x 沿过原点的射线kx y =趋向于)0 ,0( 时的极限不相等(因k 而异).4.提示:在)0 ,0() ,(≠y x 处连续,在点)0 ,0(处不连续(因沿曲线2kx y =趋向于)0 ,0(时的极限不相等(因k 而异),从而极限不存在).5.(1)间断点集合}2),{(2x y y x =; (2)间断点集合}0),{(=xy y x .评注:①二重极限要远比一元函数的极限复杂;②证某一点的极限不存在,只需证沿着不同特殊方式的极限相异即可;③二元函数的间断点可形成一条曲线,余此类推.§9.21.(1)yx yx yx y2222csc,csc 2-; (2)])1[ln()1( ,)1(112xyxy y y xy xy xy y +-++++;(3)zzzyx 1111--, 1111)(---z zz y x , ))(ln()(211zyx z y x -;(4)y y x2ln, 2)1(--x yx x , y xyyx x ln 11--+; (5)2e 121 ,; (6))()(at x at x --+ϕϕ, )]()([at x at x a -++ϕϕ.2.0limlim)0,0(000)0,0()0,(0==='∆-→∆∆-∆→∆xx xf x f x x f )0,0(limlim)0,0(),0(000y yf y f y yy f '===∆-∆→∆∆-→∆.3.提示:按定义.4.4π. 5.(1)xy y x xz sin sin 6322-=∂∂,x y y x yz sin 6sin 322+-=∂∂,x y y x yx z cos 3cos 3222+=∂∂∂;(2)2222222222222222)()(2)(2 , ,y x xy y x zy x xyyzy x xyxz+-∂∂∂+-∂∂+∂∂===.§9.31.(1)y x xxy d d 12+-, y x d d 2141+-, 0; (2)62.0 ,6.0--;(3)z xy xy y yzx x y zxzz zzz d )ln()(d d 11++--.2.提示:证连续性:∵ 2241)()]([)(2322222212322220)0,0(),(yx f y x f y x y x y x yx +≤≤-=-+++,∴ )0 ,0(),(lim 00f y x f y x =→→,即 ),(y x f 在点)0 ,0(处连续;又0limlim)0,0(000)0,0()0,(0==='∆-→∆∆-∆→∆xx xf x f x x f )0,0(limlim)0,0(),0(0000y yf y f y yy f '===∆-∆→∆∆-→∆;但因 0)]0,0()0 ,0([])0,0()0,0([)0,0(--∆+∆+=∆⋅'+∆⋅'-∆f y x f y f x f f y x 232222])()[()()(y x y x ∆+∆∆∆= 当0)()(22→∆+∆=y x ρ时,不是比ρ高阶的无穷小,事实上,22])()[()()(00])()[()()(0)()(limlim232222232222y x y x y x y x y x y x ∆+∆=∆+∆∆∆→∆→∆∆+∆∆∆→ρρ22222])()[()()(00limy x y x y x ∆+∆∆∆→∆→∆=根本不存在(可参看§8.1的3(2)和4),从而该函数在点)0 ,0(处不可微.评注:本题是一个“函数在一点连续且偏导数存在但不可微”的典型题目,再一次说明了二元函数在局部的特性要远比一元函数复杂,论证的过程有点抽象,但实际上又回到了可微的定义上,理解了这个题目,可以说你也就理解了全微分的概念.3.提示:对任意的),(y x ,) ,([]),(),([),(y y x x f y y x f x y x f y x f y x ∆+∆+=∆⋅'+∆⋅'-∆ ]2[])()[(]2[)],(2222y x x xy y x y y x x y x x xy y x f ∆⋅+∆⋅--∆+∆+=∆⋅+∆⋅-- y x x y y x ∆∆+∆+∆=2)()(2,当0)()(22→∆+∆=y x ρ时,它是比ρ高阶的无穷小,故由定义可知:y x z 2= 在),(y x 处可微,从而处处可微.4.3)dm (68.37d =≈∆V V .5.(1)97.0; (2)180360321ππ+-.评注:与一元函数类似,二元函数的全微分可以从两个方面去理解:①数量关系方面,它是函数全增量的主要部分,当ρ很小时,用全微分近似代替全增量,舍弃的是比ρ要高阶的无穷小,因而就可以用全微分近似代替全增量来做近似计算(题4、题5正是这样);②几何方面,在一点附近,可以用函数曲面(指二元函数的图形)在此点处的切平面来近似代替函数曲面,这仍叫“以直代曲”.从此两方面去考量全微分的话,你就对全微分有了一个比较全面的认识.§9.71.31} ,{}2 ,2{}30cos ,60{cos )1 ,1(2321)1 ,1(-=∙-=∙=∂∂z l z grad .2.3},,{}1 ,1 ,1{)1 ,1 ,1(313131)1 ,1 ,1(=∙=∙=∂∂n u nu grad .3.ϕϕϕϕϕϕcos sin }sin ,{cos }1 ,1{}sin ,{cos )1 ,1()1 ,1(+=∙=∙=∂∂f lf grad)sin(24πϕ+=;(1)当4πϕ=时,该导数有最大值2;(2)当45πϕ=时,该导数有最小值2-;(3)当4πϕ-=时,该导数为0.4.}66 ,24 ,32{ --+++=z y x y x f grad ,k j i 623}6 ,2 ,3{)0,0,0( --=--=f grad , j i 36}0 ,3 ,6{)1 ,1 ,1( +==f grad .5.}2 ,0 ,2{)1 ,0 ,1(-=u grad , }0 ,2 ,0{)0 ,1 ,0(=u grad , 2πθ= . 评注:梯度是函数在一点处变化最快的方向,该点处方向导数的最大值就是梯度的模.§9.81.(1)1)1 ,4(-=-z 为极小值,无极大; (2)221)1,(ez -=-为极小值,无极大; (3)23333m ax m in ),( ,0)0,0(====ππz z z z .2.3128max 48)0 ,4(+=-==f f M ,0)0 ,0( m in ===f f m .3.交线⎪⎩⎪⎨⎧=+=++1,122543y x z y x 上的点),,(z y x P 到xOy 面的距离z d =,于是问题变为:求),(y x 满足122=+y x ,且使)1(543y xz d --==最小(即只要24322)]1(5[y xzd --==最小即可,因绝对值用起来不方便).这是条件极值,所求之点为),,(12355354P ,最近距离为1235. 4.将a 分成n 等份(每份n a ),其平方和最小(为n a 2). 5.极小值3)3,9(=z ;极大值3)3,9(-=--z .提示:原方程两边分别对x 和y 求导,当⎩⎨⎧==00yx z z 时得到⎩⎨⎧=-+-=-010303z y x y x ,即⎩⎨⎧==yzyx 3。
第一章 行列式1.()()[][][]23154110103631254=520010=8(1)3(1)321(1)(2)(3)2441(1)3214243(1)321012)4n n n n n n n n m n m n n n m n m n n m 1τ=++++=2τ+++++-τ-⋯=-+-+-+⋯+2+1+0===+τ-⋯=+=+τ-⋯=⋯()该数列为奇排列()该排列为偶排列() 当或时,为偶数,排列为偶排列当或时,为奇数,排列为奇排列(其中,,()[][][]12(1)13521)246(2)0123(1)244113521)246(2)424313521)246(2)012)2.(1)(2)(n n n n n n n m n m n n n m n m n n m i i i k n n n -τ⋯-⋯=++++⋯+-===+τ⋯-⋯=+=+τ⋯-⋯=⋯⋯-+-+( 当或时,(为偶数,排列为偶排列当或时,(为奇数,排列为奇排列(其中,,解:已知排列的逆序数为,这个数按从大到小排列时逆序数为()()111112(1)3)2(1)2x x x n x n x n n n n n n x i r i i i n x r i n x n n i i i i i i -+-+---+⋯+2+1+0=----τ⋯=-τ⋯个.设第数之后有个数比小,则倒排后的位置变为,其后个数比小,两者相加为故3 证明:.因为:对换改变排列的奇偶性,即一次变换后,奇排列改变为偶排列,偶排列改变为奇排列∴当n ≥2时,将所有偶排列变为奇排列,将所有奇排列变为偶排列 因为两个数列依然相等,即所有的情况不变。
∴偶排列与奇排列各占一半。
4 (1)13243341a a a a 不是行列式的项 14233142a a a a 是行列式的项 因为它的列排排列逆序列τ=(4321)=3+2+0+0=5为奇数,∴应带负号(2)5142332451a a a a a 不是行列式的项 1352413524a a a a a =1324354152a a a a a 因为它的列排排列逆序列τ(34512)=2+2+2+0+0=6 为偶数∴应带正号。
习题十一1.一门高射炮向敌机连发三炮,每炮击中敌机的概率为0.9.设X 表示击中敌机的炮弹数,求EX ,DX .解:依题得:33()0.90.1,0,1,2,3k k k p x k C k -=== 所以X 的分布律为:所以:()22222200.00110.02720.24330.729 2.7()00.00110.02720.24330.729 2.70.27EX DX E X EX EX EX =⨯+⨯+⨯+⨯==-=-=⨯+⨯+⨯+⨯-=2.设随机变量X 具有分布律1{}(0,1,2,)!k P X k p k ek ==== ,求EX解:00001111111!(1)!!k k k k k k EX x p k e ek e k e k e +∞+∞+∞+∞======⋅===⋅=-∑∑∑∑ 注:从题看出,X 服从1λ=的泊松分布(P327)。
3.解:()()00.410.320.230.1100.310.520.2300.9E E =⨯+⨯+⨯+⨯==⨯+⨯+⨯+⨯=甲乙4.设随机变量X 服从下列分布,求EX ,DX .(2)Γ分布10,0,()(0,0),0()p p bx x p x b p b x e x p --≤⎧⎪=>>⎨>⎪Γ⎩均为常数解:+0++100100()()()11()()11(1)()()()()p pp bxp bx pp p p t tp EX xp x dxb b x x e dx x e dxp p b t b bx t e dt t e dt p b b b p p p p p b p b p b∞∞∞---+∞+∞--+===ΓΓ⎛⎫=⋅=⋅ ⎪ΓΓ⎝⎭=⋅Γ+=⋅Γ=ΓΓ⎰⎰⎰⎰⎰伽马函数的性质同理得:22(1)p p EX b+=所以:()222p DX EX EX b=-=5.设随机变量X 的概率密度为(),,xp x Ae x -=-∞<<+∞求:(1)系数A ;(2)EX ;(3)DX 解:0(1)()21xx xxp x dx Ae dx Ae dx Ae Ae A +∞+∞--+∞-∞-∞-∞=+=-==⎰⎰⎰所以12A =000(2)()1111(11)02222x x x x EX xp x dxx e dx x e dx xe dx xe dx +∞-∞+∞+∞---∞-∞=⎡⎤=⋅+⋅=+=-+=⎢⎥⎣⎦⎰⎰⎰⎰⎰22202220(3)()1()22x x DX EX EX EXx p x dx x e dx x e dx +∞+∞--∞-∞=-=⎡⎤==+=⎢⎥⎣⎦⎰⎰⎰ 7. 设随机变量X 服从几何分布,即分布律为:1{}(1,2,)(01,1),k k P X k p pq k p q p -====<<=-试求EX ,DX . 解:1121112222122222111(1)1111()k k k k k k k k k k p EX kp kpqp kq q pq q DX EX EX k p p k q p p p p p +∞+∞+∞--===+∞+∞-=======-+=-=-=-=-=∑∑∑∑∑8.设随机变量X 的概率密度为23,01,()0,.x x p x ⎧≤≤=⎨⎩其它 (1)4;(2)XY X Y e -==求的数学期望.解:1130(1)(4)44()433;EY E X EX xp x dx x dx =====⎰⎰1112210(2)(()33615Xxxx EY E e e p x dx x e dx x de e -----===-=-⎰⎰⎰)=10.设随机变量12X X ,的概率密度分别为1212,3,1212120,30,()()0,0,0,0.x x X X e x e x p x p x x x --⎧⎧>>==⎨⎨≤≤⎩⎩ 求21212(),(3)E X X E X X +-.解:123121211220014()3133x x E X X EX EX x e dx x e dx +∞+∞--+=+=+⋅=+=⎰⎰123222121211220(3)333211x x E X X EX EX x e dx x e dx +∞+∞---=-=-⋅=-=⎰⎰11. 设随机变量12X X ,相互独立,概率密度分别为2123211212214,01,0,()()20,0,0.x X X x x e x p x p x x -⎧⎧≤≤>⎪==⎨⎨⎩⎪≤⎩,其它求12()E X X解:21321212111220148()==42.255x E X X EX EX x x dx x e dx +∞-⋅⋅⋅=⨯=⎰⎰12.设随机向量(,)X Y 的概率密度为3,01,0,(,)0,x x y x p x y <<<<⎧=⎨⎩其它.求()E XY 解:()11240033()33210xE XY xy xdxdy x ydy dx x dx +∞+∞-∞-∞=⋅===⎰⎰⎰⎰⎰14.解:由题得,01EY DY EZ DZ σ====,,,222222242(538)5385520(538)259259EV E X Y Z EX EY EZ EX aDV D X Y Z DX DY DZ aσ∴=+-+=+-+=+=+=+-+=++=++15.设随机变量12,,n X X X 相互独立,且服从同一分布,数学期望为μ,方差为2σ,求这些变量的算术平均值11ni i X X n ==∑的数学期望及方差。
第一章 行列式1.()()[][][]23154110103631254=520010=8(1)3(1)321(1)(2)(3)2441(1)3214243(1)321012)4n n n n n n n n m n m n n n m n m n n m 1τ=++++=2τ+++++-τ-⋯=-+-+-+⋯+2+1+0===+τ-⋯=+=+τ-⋯=⋯()该数列为奇排列()该排列为偶排列() 当或时,为偶数,排列为偶排列当或时,为奇数,排列为奇排列(其中,,()[][][]12(1)13521)246(2)0123(1)244113521)246(2)424313521)246(2)012)2.(1)(2)(n n n n n n n m n m n n n m n m n n m i i i k n n n -τ⋯-⋯=++++⋯+-===+τ⋯-⋯=+=+τ⋯-⋯=⋯⋯-+-+( 当或时,(为偶数,排列为偶排列当或时,(为奇数,排列为奇排列(其中,,解:已知排列的逆序数为,这个数按从大到小排列时逆序数为()()111112(1)3)2(1)2x x x n x n x n n n n n n x i r i i i n x r i n x n n i i i i i i -+-+---+⋯+2+1+0=----τ⋯=-τ⋯个.设第数之后有个数比小,则倒排后的位置变为,其后个数比小,两者相加为故3 证明:.因为:对换改变排列的奇偶性,即一次变换后,奇排列改变为偶排列,偶排列改变为奇排列∴当n ≥2时,将所有偶排列变为奇排列,将所有奇排列变为偶排列 因为两个数列依然相等,即所有的情况不变。
∴偶排列与奇排列各占一半。
4 (1)13243341a a a a 不是行列式的项 14233142a a a a 是行列式的项 因为它的列排排列逆序列τ=(4321)=3+2+0+0=5为奇数,∴应带负号(2)5142332451a a a a a 不是行列式的项 1352413524a a a a a =1324354152a a a a a 因为它的列排排列逆序列τ(34512)=2+2+2+0+0=6 为偶数∴应带正号。
第一章 行列式1.()()[][][]23154110103631254=520010=8(1)3(1)321(1)(2)(3)2441(1)3214243(1)321012)4n n n n n n n n m n m n n n m n m n n m 1τ=++++=2τ+++++-τ-⋯=-+-+-+⋯+2+1+0===+τ-⋯=+=+τ-⋯=⋯()该数列为奇排列()该排列为偶排列() 当或时,为偶数,排列为偶排列当或时,为奇数,排列为奇排列(其中,,()[][][]12(1)13521)246(2)0123(1)244113521)246(2)424313521)246(2)012)2.(1)(2)(n n n n n n n m n m n n n m n m n n m i i i k n n n -τ⋯-⋯=++++⋯+-===+τ⋯-⋯=+=+τ⋯-⋯=⋯⋯-+-+( 当或时,(为偶数,排列为偶排列当或时,(为奇数,排列为奇排列(其中,,解:已知排列的逆序数为,这个数按从大到小排列时逆序数为()()111112(1)3)2(1)2x x x n x n x n n n n n n x i r i i i n x r i n x n n i i i i i i -+-+---+⋯+2+1+0=----τ⋯=-τ⋯个.设第数之后有个数比小,则倒排后的位置变为,其后个数比小,两者相加为故3 证明:.因为:对换改变排列的奇偶性,即一次变换后,奇排列改变为偶排列,偶排列改变为奇排列∴当n ≥2时,将所有偶排列变为奇排列,将所有奇排列变为偶排列 因为两个数列依然相等,即所有的情况不变。
∴偶排列与奇排列各占一半。
4 (1)13243341a a a a 不是行列式的项 14233142a a a a 是行列式的项 因为它的列排排列逆序列τ=(4321)=3+2+0+0=5为奇数,∴应带负号(2)5142332451a a a a a 不是行列式的项 1352413524a a a a a =1324354152a a a a a 因为它的列排排列逆序列τ(34512)=2+2+2+0+0=6 为偶数∴应带正号。
5 解: 112332441223344114233142a a a a a a a a a a a a 利用τ为正负数来做,一共六项,τ为正,则带正号,τ为负则带负号来做。
6 解:(1)因为它是左下三角形112122313233..........12300...00...0......n n n nna a a a a a a a a a =112131411223242233433444...............0...00 0 (0000)...n n n n nna a a a a a a a a a a a a a a =()()1231122331n nn a a a a τ⋅⋅⋅-⋅⋅⋅=112233nn a a a a ⋅⋅⋅ (2)11123141521222324253132414251520000000a a a a a a a a a a a a a a a a =()22232425113211425200010000a a a a a a a a +-+()21`232425213112415100010000a a a a a a a a +-=()()1111112212211010a a a a ++-⋅--⋅=0(3)1200340021131751-=()1212121313451+++-⋅-=32 (4)0000000000000xy x y x y x y yx=()()01212023120000011000x y xy xy x y y x y xx yy x++++++-+-=55x y + 7.证明:11121212212............n nn n nna a a a a a a a a ⋅⋅⋅⋅⋅⋅=将行列式转化为11122120...00...0 0n n a a a a a 若 零元多于2n n -个时,行列式可变为211200...00 0...0n n a a a 故可知行列式为0.8.(1)204136113131212331---=--52041361112302331----=4310361112302331--=-54310594012302331-=-54314315945212106301231370--==-()()1122121212111212112122111112121212122112121122121.)().)1101=y mx b x y x y y y m x x y y y x b x y x x y y x y y x y x y y x b b y x x x x x x y y x y x yy x x x x x x y x y x y y y x y x =+-=--=⋅+----=⋅+⇒=-=-----=⋅+--=-- 第一章 高数 3册9.(1).经过(,,斜率代入(,则又由左边()()2122112122112120x x y x y y y x y x yy x x x x x -+-==--=⋅+--右边则问题特征:()()()()()22222222sin cos cos 2sin cos cos 2sin cos cos 2cos c 10.145os cos 2.=+=221=b cc a a b b c c a a b b c c a b a bc a c a b b c a c a b b c a c a b a b c a b c a b c αααβββγγγααα'''''''''''''''''''''''''''''''''''''''''''''+++++++++-利用性质和分成六个行列式相加其余结合为零故原式性质2()()22222222222222cos 1cos cos 2cos cos cos 22cos 1cos cos 2cos cos cos 22cos 1cos 1-2+(1)_cos 2cos 2cos cos 2cos 2cos cos 1052cos 2cos cos 2αααββββββγγγγγγαααβββγγγ---=-=--()列列性质()()()()()()22222342222222222222000013.000401111111010101010111.12324323yzxz xzx y z xyz xyz xyz x z y x xz xy y z x yyz x y yz xz xy zyx z y z x zxyz y z y xyz xyz z x z yz xz xy y x y x a bc d a a b a b ca b c d a a b a b ca b c d a a ⨯⨯⨯−−−−→←−−−−⋅⋅⨯⋅==⋅⋅+++++++++++++列列列列()()()()()()()()()()()()()()1-122+323423+43-3446310630002324320020363106300363000200b a bc a b c da b c d a b c d aa ba b c a a b a b c a a ba b ca ab a a b a b caa ba b c da ab a bc a a a b a⋅⋅-⋅⋅-⋅++++++++++++−−−−−→−−−−−−→←−−−−−←−−−−−−+++++++++++−−−−−→=←−−−−−+列加到行行列行行行行()()()()()()()()()()()()1-2+21-3+31-+1+1112131*********23311231231000-103-12622-1-20-1032-1-2-30-102620321-1234!004200013n n n n n n n n n n n nn nn n n nx a a a a a x x a a x x x a x x x x x ⨯⨯⨯−−−−−→←−−−−−⨯=⨯⨯⨯⨯==LL L L L L L M M M M M M M M LLL L L L M MM L L L L L L L L L L列列列列列列降阶()()()()()()()()312232233231221331122133********21-+21+131131-+11111101-1110010n n n n nn nn nn n n nx n nn n x n nn n a x a a x x a x x x a x a x a x a x a x a x a x a x a x a x a x x x a x a x ⨯⨯-----------−−−−−−→-⨯⨯⨯-←−−−−−−-LL L L L L L L L LL L L L L L L LL L L L L L LLL列列列列降阶习题一 13 (1)000000000000x y x y D x y y x=L L M M M L M M L L根据“定义法”(2.3.4.5...)1(1)(1)nI n n n n n D x y x y -=+-=+-(2)1231110002200011n n D n n--=+---L L L LL L L L LL根据“降阶法”~n (1)n(n+1)23n-1n 2n(n+1)34n 12n(n+1)12n-2n-12D −−−−−→L L L L L LLLL 将第2列加到第列上得-1123n-1123n-1n 011111341n(n+1)n(n+1)=01111221122101111n n nn n n n -−−−−−−→----L L LL L LL L L L L L L L L L L LL将前一行乘以加到后一行得(2)~(n)(1)1111-n -1111-n 111-n 1-111-n 1n(n+1)(n-1)=211-n 11-11111-n 111−−−−−→L L L L L L LL L L LL L L L LL 将列加到列上得变为阶1111-n 111-n 1n(n+1)=-211-n 111111L L L L L L L L L-1(1)(2)~(n)110110(1)-210100nn n n n ⨯--+−−−−→-L LL L L L L L L L列加到列2(1)(2)3222(1)2112222(1)11(1)(1)(1)(1)222n n nn n n n n n n n n n n nn ---+--+---+++=---=-=-(3)212122222111112111111a12111(1)(1)(1)(2)(1)12(2)(2)(1)(2)(1)11(1)(1)n n n n n n n n a a a a a a n a a a a a a a n a a a a a a a n a n a n a n -----------+---−−−→---+------+-+-+-+L L L L L L LLLLL MMMMM LL 转置(1)2(-1)1!2!(1)!n n n -−−−−−→-L 范达蒙行列式注:根据范达蒙行列式原式=123(1)(1)(2)(1)(1)1!2!(1)!n n n ++++----+=--L gL L(1)(2)(2)n ---+g L L L-1 =(1)2(1)1!2!(1)!n n n ---L(4)122111111111122122222222nn 122-111111111a nn n n nn n n n n n n n n n n n n n n n n n a a b a b a b b a a b a b a b b n a a b a b a b b --------++++++++L L LLLLLL L 第行提出得12211111111112122222n-11212222211111211111111n n n nn n n nn nn n n n n n n n n n n n n b a b a ba ba b b b b a a aa a a ab b b b a a a a -----+-++++-++++L L L L L LL LLL=2111112111112122222n-11212222211111211111111n n n nn n n n nnn n n n n n n n n n n n n b b b b a a a a b b b b a a a a a a a b b b b a a a a ---+-++++-++++L L L L L L LLL L =1231()()j n n n n i n j i i j i jb b a a a a a b a b a a ππ+-=-L14 (1)证明:cossincos222cossincos 222+cossincos222αβαβαββγβγβγγαγαγα-++-++-+ sincossincos2222=coscos ++22sincos sincos2222βγβγαβαβαββγγαγαγαγα++++---++sincos-22+cos++2sincos22αβαβγαβγβγ++ ++=cos(sin coscossin)cos(sincoscossin)2222222222αββγγαβγγαβγαβγααβγα-++++-++---+cos(sincoscossin)22222γααββγαββγ-++++-cos sin cos sin cos sin222222αββαβγβγγααγ------=-+ 111sin()sin ()sin()222βαγβαγ=-+-+- []1sin()sin()sin()2βααγγβ=-+-+- (2)证明:123422221234444412341111x x x x x x x x xxxx12341x x x x +++=(3)12(-1)(1)~()na x a a a a a a x a a an a a a a x a a a a aa+++LL M M M M M 最后一行乘以加到行得 121212300000000000n n n x x x x x a ax x x x x a a a a a==L LL L M M M M M L L(4)“递推法”01211000100001000n n a a x a x a x-----L L MM M M M L L 01n+n112100100010100(-1)(1)00001n n n a a x x xa a x x +------+--L L L L M M M M M M M M L L 降阶 11n n xD a --=+12221112011:n n n n n n D xD a D xD a D a x a x a ------=+=+∴=+++LL 由此类推15.(1)=+ =(ab+1)(cd+1)-[a(-d)]=(ab+1)(cd+1)+ad==(4-6) (-1-15)=32=++精品教育=-a(c-d)-a(d-b) -a(d-c)精品教育=abd= abd(c-b)(d-b)(c-d)精品教育(4) ===(== 16.范达行列式V()=31()x x -L13221()())()n n n n x x x x x x x x --=---L L (21211111221111111n n n n n n x x x a a a a a a a ------⎡⎤⎢⎥⎢⎥⎢⎥⎢⎥⎢⎥⎢⎥⎣⎦L L LL M MLL−−−→←−−−转量行列式12122111111211111n n n n n n x a a a x a xa a a ------⎡⎤⎢⎥⎢⎥⎢⎥⎢⎥⎢⎥⎢⎥⎣⎦L LM L M M M M LM =121()(n a x a x a x ----L L )()21(a -a )11n a a --L L ()32(a -a )L 1212n n n a a ----L ()(a -a )(1)因为121n a a -L L a 为常数。