常用晶体管特性参数表
- 格式:doc
- 大小:113.00 KB
- 文档页数:4
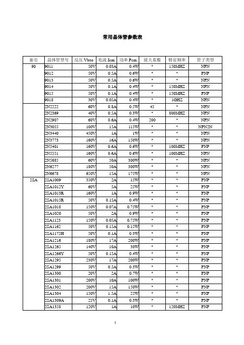
常用晶体管参数表索引晶体管型号反压Vbeo 电流Icm 功率Pcm 放大系数特征频率管子类型9011 50V 0.03A 0.4W * 150MHZ NPN9012 50V 0.5A 0.6W * * PNP9013 50V 0.5A 0.6W * * NPN9014 50V 0.1A 0.4W * 150MHZ NPN9015 50V 0.1A 0.4W * 150MHZ PNP9018 30V 0.05A 0.4W * 1GHZ NPN2N2222 60V 0.8A 0.5W 45 * NPN2N2369 40V 0.5A 0.3W * 800MHZ NPN2N2907 60V 0.6A 0.4W 200 * NPN2N3055 100V 15A 115W * * NPN2N2N3440 450V 1A 1W * * NPN2N3773 160V 16A 150W * * NPN2N5401 160V 0.6A 0.6W * 100MHZ PNP2N5551 160V 0.6A 0.6W * 100MHZ NPN2N5685 60V 50A 300W * * NPN2N6277 180V 50A 300W * * NPN2N6678 650V 15A 175W * * NPN2SA 2SA1009 350V 2A 15W ** PNP2SA1012Y 60V 5A 25W ** PNP2SA1013R 160V 1A 0.9W * * PNP2SA1015R 50V 0.15A 0.4W * * PNP2SA1018 150V 0.07A 0.75W * * PNP2SA1020 50V 2A 0.9W * * PNP2SA1123 150V 0.05A 0.75W * * PNP2SA1162 50V 0.15A 0.15W * * PNP2SA1175H 50V 0.1A 0.3W * * PNP2SA1216 180V 17A 200W * * PNP2SA1265 140V 10A 30W ** PNP2SA1266Y 50V 0.15A 0.4W * * PNP2SA1295 230V 17A 200W * * PNP2SA1299 50V 0.5A 0.3W * * PNP2SA1300 20V 2A 0.7W * * PNP2SA1301 200V 10A 100W * * PNP2SA1302 200V 15A 150W * * PNP2SA1304 150V 1.5A 25W ** PNP2SA1309A 25V 0.1A 0.3W * * PNP2SA1358 120V 1A 10W *120MHZ PNP2SA1390 35V 0.5A 0.3W * * PNP2SA1444 100V 1.5A 2W * 80MHZ PNP2SA1494 200V 17A 200W * 20MHZ PNP2SA1516 180V 12A 130W * 25MHZ PNP2SA1668 200V 2A 25W *20MHZ PNP2SA1785 400V 1A 1W * 140MHZ PNP2SA1943 230V 15A 150W * * PNP2SA562T 30V 0.4A 0.3W * * PNP2SA564A 25V 0.1A 0.25W * * PNP2SA608F 30V 0.1A 0.25W * * PNP2SA673 50V 0.5A 0.4W * * PNP2SA720-Q 50V 0.5A 0.4W * * PNP2SA778AK 180V 0.05A 0.2W * * PNP2SA904 90V 0.05A 0.2W * * PNP2SA933S 50V 0.1A 0.9W * * PNP2SA940 150V 1.5A 1.5W * * PNP2SA950Y 150V 0.8A 0.6W * * PNP2SA966Y 30V 1.5A 0.9W * * PNP2SA968Y 160V 1.5A 25W ** PNP2SB 2SB1013A 30V 0.5A 0.3W * * PNP2SB1020 100V 7A 40W 6000 * PNP(达林顿)2SB1079 100V 20A 100W 5000 * PNP(达林顿)2SB1185 60V 3A 25W *75MHZ PNP2SB1238 80V 0.7A 1W * 100MHZ PNP2SB1240 40V 2A 1W * 100MHZ PNP2SB1243 40V 3A 1W * 70MHZ PNP2SB1316 100V 2A 10W 15000 * PNP(达林顿)2SB1317 180V 15A 150W * * PNP2SB1335 80V 4A 30W ** PNP2SB1375 60V 3A 2W * * PNP2SB1400 120V 6A 25W 1000-20000 * PNP(达林顿)2SB1429 180V 15A 150W * * PNP2SB1494 120V 25A 120W * * PNP(达林顿)2SB449 50V 3.5A 22W ** PNP2SB564A 45V 0.05A 0.25W * * PNP2SB642-R 60V 0.2A 0.4W * * PNP2SB647 120V 1A 0.9W * 140MHZ PNP2SB649 180V 1.5A 1W * * PNP2SB669 70V 4A 40W ** PNP(达林顿)2SB675 60V 7A 40W ** PNP(达林顿)2SB686 100V 6A 60W ** PNP2SB688 120V 8A 80W ** PNP2SB734 60V 1A 1W * * PNP2SB744 70V 3A 10W ** PNP2SB772 40V 3A 10W ** PNP2SB774T 30V 0.01A 0.25W * * PNP2SB817 160V 12A 100W * * PNP2SB834 60V 3A 30W ** PNP2SB940 200V 2A 30W ** PNP2SC 2SC1008 80V 0.7A 0.8W * 50MHZ NPN2SC1047 30V 0.015A 0.15W * * NPN2SC106 60V 1.5A 15W ** NPN2SC1162 35V 1.5A 10W ** NPN2SC1213D 50V 0.5A 0.4W * * NPN2SC1214C 50V 0.5A 0.6W * * NPN2SC1222 60V 0.1A 0.25W * 100MHZ NPN2SC1317-R 30V 0.5A 0.4W * * NPN2SC1360 50V 0.05A 0.5W * * NPN2SC1494 36V 6A 40W *175MHZ NPN2SC1507 300V 0.2A 15W ** NPN2SC1514 300V 0.1A 1.25W * * NPN2SC1569 300V 0.15A 1.5W * * NPN2SC1573A 250V 0.07A 0.6W * * NPN 2SC1627Y 80V 0.3A 0.6W * * NPN2SC1674 30V 0.02A 0.1W * * NPN2SC1685 30V 0.1A 0.25W * * NPN2SC1685Q 30V 0.1A 0.25W * * NPN2SC1740 50V 0.3A 0.3W * * NPN2SC1815Y 60V 0.15A 0.4W * * NPN2SC1827 80V 4A 30W ** NPN2SC1846 45V 1A 1.2W * * NPN2SC1855 20V 0.02A 0.25W * 550MHZ NPN2SC1875 50V 0.15A 0.4W * * NPN2SC1890A 120V 0.05A 0.3W * * NPN 2SC1906 30V 0.05A 0.3W * * NPN2SC1923 40V 0.02A 0.1W * * NPN2SC1942 1500V 3A 100W * * NPN2SC1959 30V 0.4A 0.5W * * NPN2SC1983R 80V 3A 30W ** NPN2SC2027 1500V 5A 50W ** NPN2SC2068 70V 0.2A 0.62W * * NPN2SC2073 150V 1.5A 25W ** NPN2SC2120Y 30V 0.8A 0.6W * * NPN2SC2125 2200V 5A 50W ** NPN2SC2168 200V 2A 30W ** NPN2SC2188 45V 0.05A 0.6W * * NPN2SC2190 450V 5A 100W * * NPN2SC2216 50V 0.05A 0.3W * * NPN2SC2229 200V 0.05A 0.8W * * NPN2SC2236 30V 1.5A 0.9W * * NPN2SC2238 160V 1.5A 25W ** NPN2SC227 300V 0.1A 0.75W * * NPN2SC2271N 300V 0.1A 0.75W * * NPN 2SC2371 300V 0.1A 10W ** NPN2SC2377 20V 0.015A 0.2W * * NPN2SC2377C 30V 0.15A 0.2W * * NPN 2SC2383Y 160V 1A 0.9W * * NPN 2SC2456 300V 0.1A 10W ** NPN2SC2482 150V 0.1A 0.9W * * NPN2SC2568 300V 0.2A 10W ** NPN2SC2570A 25V 0.07A 0.6W * * NPN 2SC2594 40V 5A 10W ** NPN2SC2610 300V 0.1A 0.8W * * NPN2SC2611 300V 0.1A 1.25W * * NPN2SC2621 300V 0.2A 10W ** NPN2SC2636Y 30V 0.05A 0.4W * * NPN 2SC2653H 250V 0.2A 15W ** NPN2SC2655Y 60V 2A 0.9W * * NPN2SC2688 300V 0.2A 10W ** NPN2SC2717 35V 0.8A 7.5W * * NPN2SC2785 60V 0.1A 0.3W * * NPN2SC2839 30V 0.1A 0.1W * * NPN2SC2878 50V 0.3A 0.4W * * NPN2SC2923 300V 0.2A 15W ** NPN2SC304CD 60V 0.5A 0.8W * * NPN2SC3063 300V 0.1A 1.2W * * NPN2SC3114 60V 0.15A 0.2W * * NPN2SC3153 900V 6A 100W * * NPN2SC3198G 60V 0.15A 0.4W * * NPN 2SC3265Y 30V 0.8A 0.2W * * NPN2SC3271 300V 0.1A 5W * * NPN2SC3279 30V 2A 0.75W * * NPN2SC3300 100V 15A 100W * * NPN2SC3310 500V 5A 40W 20 * NPN2SC3320 500V 15A 80W ** NPN2SC3328 80V 2A 0.9W * * NPN2SC3355 20V 0.15A * * 6500MHZ NPN 2SC3358 20V 0.15A * * 7000MHZ NPN 2SC3399 50V 0.1A 0.3W * * NPN2SC3402 50V 0.1A 0.3W * * NPN2SC3413C 40V 0.1A 0.5W * * NPN2SC3457 1100V 3A 50W 12 * NPN2SC3460 1100V 6A 100W 12 * NPN2SC3480 1500V 3.5A 80W ** NPN2SC3482 1500V 6A 120W * * NPN2SC3484 1500V 3.5A 80W ** NPN2SC3485 1500V 5A 120W * * NPN2SC3486 1500V 6A 120W * * NPN2SC3505 900V 6A 80W 12 * NPN2SC3527 500V 15A 100W 13 * NPN2SC3595 30V 0.5A 1.2W 90 * NPN2SC3679 900V 5A 100W * * NPN2SC3680 900V 7A 120W * * NPN2SC3685 1500V 6A 120W * * NPN2SC3686 1500V 7A 120W * * NPN2SC3687 1500V 8A 150W * * NPN2SC3688 1500V 10A 150W * * NPN2SC3720 1200V 10A 200W * * NPN2SC3729 1500V 5A 50W ** NPN2SC3783 900V 5A 100W * * NPN2SC380 35V 0.03A 0.25W * * NPN2SC3807 30V 2A 1.2W * 260MHZ NPN2SC383 20V 0.05A 0.2W * * NPN2SC3858 200V 17A 200W * 20MHZ NPN 2SC3866 900V 3A 40W ** NPN2SC3873 500V 12A 75W *30MHZ NPN2SC3883 1500V 5A 50W ** NPN2SC3886 1400V 8A 50W *8MHZ NPN2SC388A 20V 0.02A 0.2W * * NPN2SC3893 1400V 8A 50W *8MHZ NPN2SC3907 180V 12A 130W * 30MHZ NPN 2SC3953 120V 0.2A 1.3W * 400MHZ NPN 2SC3987 50V 3A 20W 1000 * NPN(达林顿) 2SC3997 1500V 15A 250W * * NPN2SC3998 1500V 25A 250W * * NPN2SC4024 100V 10A 35W ** NPN2SC403 50V 0.1A 0.1W * * NPN2SC4038 50V 0.1A 0.3W * 180MHZ NPN2SC4059 600V 15A 130W * * NPN2SC4106 500V 7A 50W *20MHZ NPN2SC4111 1500V 10A 250W * * NPN2SC4119 1500V 15A 250W * * NPN2SC4199A 1500V 10A 100W * * NPN 2SC4231 800V 2A 30W ** NPN2SC4242 450V 7A 40W ** NPN2SC4288 1400V 12A 200W * * NPN2SC4291 1500V 5A 100W * * NPN2SC4297 500V 12A 75W ** NPN2SC4303A 1500V 6A 80W ** NPN2SC4429 1100V 8A 60W ** NPN2SC4517 550V 3A 30W ** NPN2SC4582 600V 15A 75W ** NPN2SC458D 30V 0.1A 0.2W * * NPN2SC4706 900V 14A 130W * 6MHZ NPN 2SC4742 1500V 6A 50W ** NPN(带阻尼) 2SC4745 1500V 6A 50W ** NPN2SC4747 1500V 10A 50W ** NPN2SC4769 1500V 7A 60W ** NPN(带阻尼) 2SC4913 2000V 0.2A 35W ** NPN2SC4924 800V 10A 70W ** NPN2SC4927 1500V 8A 50W ** NPN2SC4941 1500V 6A 65W ** NPN2SC4953 500V 2A 25W ** NPN2SC495Y 70V 0.8A 5W * * NPN2SC5020 1000V 7A 100W * * NPN2SC5068 1500V 10A 50W ** NPN2SC5086 1500V 10A 50W ** NPN2SC5088 1500V 10A 50W ** NPN2SC5132 1500V 16A 50W ** NPN2SC5200 230V 15A 150W * * NPN2SC5207 1500V 10A 50W ** NPN2SC5243 1500V 15A 200W * * NPN2SC5244 1500V 15A 200W * * NPN2SC5250 1000V 7A 100W * * NPN2SC5251 1500V 12A 50W ** NPN2SC5252 1500V 15A 100W * * NPN2SC536F 40V 0.1A 0.25W * * NPN2SC752G 40V 0.2A 0.2W * * NPN2SC815 60V 0.2A 0.25W * * NPN2SC828 45V 0.05A 0.25W * * NPN2SC900 30V 0.03A 0.25W * 100MHZ NPN 2SC945 50V 0.1A 0.25W * * NPN2SD 2SD1010 50V 0.05A 0.3W * * NPN 2SD1016 1500V 7A 50W ** NPN2SD1025 200V 8A 50W ** NPN(达林顿) 2SD1037 150V 30A 180W * * NPN2SD1047 160V 12A 100W * * NPN2SD1078 50V 2A 20W ** NPN2SD1133 70V 4A 40W ** NPN2SD1138C 150V 2A 30W ** NPN2SD1143 1500V 5A 65W ** NPN2SD1163A 350V 7A 40W *60MHZ NPN 2SD1172 1500V 5A 65W ** NPN2SD1173 1500V 5A 70W ** NPN2SD1174 1500V 5A 85W ** NPN2SD1175 1500V 5A 100W * * NPN2SD1175 1500V 5A 100W * * NPN2SD1219 1500V 3A 65W ** NPN2SD1226 60V 3A 35W ** NPN2SD1246 30V 2A 0.75W * * NPN2SD1264A 200V 2A 30W ** NPN2SD1266 60V 3A 35W ** NPN2SD1271A 130V 7A 40W ** NPN2SD1273 80V 3A 40W *50MHZ NPN2SD1274A 150V 5A 40W ** NPN2SD1290 1500V 3A 50W ** NPN2SD1302 25V 0.5A 0.5W * 200MHZ NPN2SD1341 1500V 5A 50W ** NPN2SD1342 1500V 5A 50W ** NPN2SD1343 1500V 6A 50W ** NPN2SD1344 1500V 6A 50W ** NPN2SD1378 80V 0.7A 10W ** NPN2SD1391 1500V 5A 80W ** NPN2SD1396 1500V 2.5A 50W ** NPN2SD1397 1500V 3.5A 50W ** NPN2SD1398 1500V 5A 50W ** NPN2SD1399 1500V 6A 60W ** NPN2SD1402 1500V 5A 120W * * NPN2SD1403 1500V 6A 50W ** NPN2SD1405Y 50V 3A 30W ** NPN2SD1410 1500V 3.5A 80W ** NPN2SD1415 80V 7A 40W 6000 * NPN(达林顿) 2SD1416 80V 7A 40W 6000 * NPN(达林顿) 2SD1426 1500V 3.5A 80W ** NPN2SD1426 1500V 3.5A 80W ** NPN2SD1427 1500V 5A 80W ** NPN2SD1428 1500V 6A 80W ** NPN2SD1431 1500V 5A 80W ** NPN2SD1431 1500V 5A 80W ** NPN2SD1432 1500V 6A 80W ** NPN2SD1433 1500V 7A 80W ** NPN2SD1434 1700V 5A 80W ** NPN2SD1454 1700V 4A 50W ** NPN2SD1455 1500V 5A 50W ** NPN2SD1456 1500V 6A 50W ** NPN2SD1480 80V 4A 25W ** NPN2SD1497 1500V 6A 50W ** NPN2SD1499 100V 5A 40W ** NPN2SD1541 1500V 3A 50W ** NPN2SD1541 1500V 3A 50W ** NPN2SD1544 1500V 3.5A 40W ** NPN2SD1545 1500V 5A 50W ** NPN2SD1546 1500V 6A 50W ** NPN2SD1547 1500V 7A 50W ** NPN2SD1548 1500V 10A 50W ** NPN2SD1554 1500V 3.5A 40W ** NPN2SD1555 1500V 5A 50W ** NPN2SD1556 1500V 6A 50W ** NPN2SD1559 100V 20A 20W 5000 * NPN(达林顿)2SD1577 1500V 5A 80W ** NPN2SD1585 60V 3A 15W ** NPN2SD1590 150V 8A 25W 15000 * NPN(达林顿)2SD1632 1500V 4A 70W ** NPN2SD1635 1500V 5A 100W * * NPN2SD1640 120V 2A 1.2W 4000-40000 * NPN(达林顿) 2SD1650 1500V 3.5A 50W ** NPN2SD1651 1500V 5A 60W ** NPN2SD1652 1500V 6A 60W ** NPN2SD1653 1500V 2.5A 50W ** NPN2SD1654 1500V 3.5A 50W ** NPN2SD1655 1500V 5A 60W ** NPN2SD1656 1500V 6A 60W ** NPN2SD1710 1500V 6A 100W * * NPN2SD1711 1500V 7A 100W * * NPN2SD1718 180V 15A 3.2W * 20MHZ NPN2SD1729 1500V 3.5A 60W ** NPN2SD1730 1500V 5A 100W * * NPN2SD1731 1500V 6A 100W * * NPN2SD1732 1500V 7A 120W * * NPN2SD1737 1500V 3.5A 60W ** NPN2SD1738 1500V 5A 100W * * NPN2SD1739 1500V 6A 100W * * NPN2SD1762 60V 3A 25W *90MHZ NPN2SD1847 50V 1A 1W * * NPN(低噪)2SD1876 1500V 3A 50W ** NPN2SD1877 800V 4A 50W ** NPN2SD1879 1500V 6A 60W ** NPN2SD1880 1500V 8A 70W ** NPN2SD1881 1500V 10A 70W ** NPN2SD1882 1500V 3A 50W ** NPN2SD1883 1500V 4A 50W ** NPN2SD1884 1500V 5A 60W ** NPN2SD1885 1500V 6A 60W ** NPN2SD1886 1500V 8A 70W ** NPN2SD1887 1500V 10A 70W ** NPN2SD1911 1500V 5A 50W ** NPN2SD1930 100V 2A 1.2W 1000 * NPN(达林顿)2SD1941 1500V 6A 50W ** NPN2SD1975 180V 15A 150W * * NPN2SD1978 120V 1.5A 1W 30000 * NPN(达林顿)2SD1980 100V 2A 10W 1000-10000 * NPN(达林顿)2SD1993 50V 0.1A 0.4W * * NPN2SD1994 60V 1A 1W * * NPN2SD1997 40V 3A 1.5W * 100MHZ NPN2SD2008 80V 1A 1.5W * * NPN2SD2012 60V 3A 2W * * NPN2SD2027 1500V 5A 50W ** NPN2SD2036 60V 1A 1.2W * * NPN2SD2057 1500V 5A 100W * * NPN2SD2155 180V 15A 150W * * NPN2SD2156 120V 25A 125W 2000-20000 * NPN(达林顿) 2SD2334 1500V 5A 80W ** NPN2SD2335 1500V 7A 100W * * NPN2SD2388 90V 3A 1.2W * * NPN(达林顿)2SD2445 1500V 12.5A 120W * * NPN2SD325 50V 3A 25W ** NPN2SD348 1500V 7A 50W ** NPN2SD3505 900V 6A 50W ** NPN2SD385 100V 7A 30W ** NPN(达林顿)2SD400 25V 1A 0.75W * * NPN2SD401AK 200V 2A 25W ** NPN2SD40C 40V 0.5A 40W ** NPN(达林顿)2SD415 120V 0.8A 5W * * NPN2SD438 500V 1A 0.75W * 100MHZ NPN2SD547 600V 50A 400W * * NPN2SD553Y 70V 7A 40W ** NPN2SD560 150V 5A 30W ** NPN(达林顿)2SD601AR 60V 0.1A 0.2W * * NPN2SD667 120V 1A 0.9W * 140MHZ NPN(达林顿)2SD669 180V 1.5A 1W * 140MHZ NPN2SD773 20V 2A 1W * * NPN2SD774 100V 1A 1W * * NPN2SD787 20V 2A 0.9W * * NPN2SD788 20V 2A 0.9W * * NPN2SD789 100V 1A 0.9W * * NPN2SD802 900V 6A 50W ** NPN2SD819 1500V 3.5A 50W ** NPN2SD820 1500V 5A 50W ** NPN2SD821 1500V 6A 50W ** NPN2SD822 1500V 7A 50W ** NPN2SD838 2500V 3A 50W ** NPN2SD850 1500V 3A 25W ** NPN2SD852 1500V 5A 70W ** NPN2SD869 1500V 3.5A 50W ** NPN2SD869 1500V 3.5A 50W ** NPN2SD870 1500V 5A 50W ** NPN2SD870 1500V 5A 50W ** NPN2SD871 1500V 6A 50W ** NPN2SD871 1500V 6A 50W ** NPN2SD880 60V 3A 30W ** NPN2SD8806 60V 3A 30W ** NPN2SD882 40V 3A 10W ** NPN2SD898B 1500V 3A 50W ** NPN2SD899A 1500V 4A 50W ** NPN2SD900B 1500V 5A 50W ** NPN2SD903 1500V 7A 50W ** NPN2SD904 1500V 7A 60W ** NPN2SD905 1400V 8A 50W ** NPN2SD906 1400V 8A 50W ** NPN2SD950 1500V 3.5A 80W ** NPN2SD951 1500V 3A 65W ** NPN2SD952 1500V 3A 70W ** NPN2SD953 1500V 7A 95W ** NPN2SD954 1500V 5A 95W ** NPN2SD957A 1500V 6A 50W ** NPN2SD965 40V 5A 0.75W * * NPN2SD966 60V 5A 1W * * NPN2SD973 30V 1A 1W * * NPN2SD994 1500V 8A 50W ** NPN2SD995 2500V 3A 50W ** NPN2SDK55 400V 4A 60W ** NPN2SK 2SK301-Q * 0.14A 0.25W * * N沟场效应管2SK301-R * 0.14A 0.25W * * N沟场效应管BC BC307 50V 0.2A 0.3W * * PNPBC327 50V 0.8A 0.6W * * PNPBC337 50V 0.8A 0.6W * * NPNBC338 50V 0.8A 0.6W * * NPNBC546 80V 0.2A 0.5W * * NPNBC547 50V 0.2A 0.5W * 300MHZ NPNBC548B 30V 0.2A 0.5W * * NPNBC636 45V 1A 0.8W * * PNPBD BD135 45V 1.5A 12.5W * * NPNBD136 45V 1.5A 12.5W * * PNPBD137 60V 1.5A 12.5W * * NPNBD138 60V 1.5A 12.5W * * PNPBD237 100V 2A 25W ** NPNBD238 100V 2A 25W ** PNPBD243 45V 6A 65W ** NPNBD244 45V 6A 65W ** PNPBD681 100V 4A 40W ** NPNBD682 100V 4A 40W ** PNPBD941F 120V 3A 19W ** NPNBF BF324 30V 0.26A 0.25W * * PNPBF458 250V 0.1A 10W ** NPNBS BS170 60V 0.3A 0.63W * * NMOS场效应BU(*)BU108 1500V 5A 12.5W * * NPN BU208A 1500V 5A 12.5W * * NPNBU208D 1500V 5A 12.5W * * NPNBU209A 1700V 5A 12.5W * * NPNBU2506 1500V 7A 50W ** NPNBU2508 700V 8A 125W * * NPNBU2520 800V 10A 150W * * NPNBU2522 1500V 11A 150W * * NPNBU2525 1500V 12A 150W * * NPNBU2527 1500V 15A 150W * * NPNBU2532 1500V 15A 150W * * NPNBU308 1500V 5A 12.5W * * NPNBU323 450V 10A 125W * * NPN(达林顿) BU406 400V 7A 60W ** NPNBU500 1500V 6A 75W ** NPNBU508A 1500V 7.5A 75W ** NPNBU508A 1500V 8A 125W * * NPNBU806 400V 8A 60W ** NPNBU932R 500V 15A 150W * * NPNBUH515 1500V 10A 80W ** NPNBUS13A 1000V 15A 175W * * NPNBUS14A 1000V 30A 250W * * NPNBUT11 1500V 5A 80W ** NPNBUT11A 1000V 5A 100W * * NPNBUT12A 450V 10A 125W * * NPNBUV26 90V 14A 65W ** NPNBUV28A 225V 10A 65W ** NPNBUV48A 450V 15A 150W * * NPNBUW13A 1000V 15A 150W * * NPN BUX84 800V 2A 40W ** NPNBUX98A 400V 30A 210W * * NPNBUY71 2200V 2A 40W ** NPNBUZ11A 50V 25A 75W ** NMOS场效应BUZ20 100V 12A 75W ** NMOS场效应DTC DTC114ES 50V 0.1A 0.25W * * NPN DTC124ES 50V 0.1A 0.25W * * PNPIRF IRF130 100V 14A 79W ** NMOS场效应IRF230 200V 9A 79W ** NMOS场效应IRF440 500V 8A 125W * * NMOS场效应IRF530 100V 14A 79W ** NMOS场效应IRF540 100V 28A 150W * * NMOS场效应IRF541 80V 28A 150W * * NMOS场效应IRF610 200V 3.3A 43W ** NMOS场效应IRF630 200V 9A 75W ** NMOS场效应IRF640 200V 18A 125W * * NMOS场效应IRF720 400V 3.3A 50W ** NMOS场效应IRF730 400V 5.5A 75W ** NMOS场效应IRF740 400V 10A 125W * * NMOS场效应IRF830 500V 4.5A 75W ** NMOS场效应IRF840 500V 8A 125W * * NMOS场效应IRF9530 100V 12A 75W ** PMOS场效应IRF9531 60V 12A 75W ** PMOS场效应IRF9541 60V 19A 125W * * PMOS场效应IRF9610 200V 1A 20W ** PMOS场效应IRF9630 200V 6.5A 75W ** PMOS场效应IRFBC20 600V 2.5A 50W ** NMOS场效应IRFBC30 600V 3.6A 74W ** NMOS场效应IRFBC40 600V 6.2A 125W * * NMOS场效应IRFBE30 800V 2.8A 75W ** NMOS场效应IRFD113 60V 0.8A 1W * * NMOS场效应IRFD120 100V 1.3A 1W * * NMOS场效应IRFD123 80V 1.1A 1W * * NMOS场效应IRFD9120 100V 1A 1W * * NMOS场效应IRFI730 400V 4A 32W ** NMOS场效应IRFI744 400V 4A 32W ** NMOS场效应IRFP054 60V 65A 180W * * NMOS场效应IRFP140 100V 30A 150W * * NMOS场效应IRFP150 100V 40A 180W * * NMOS场效应IRFP240 200V 19A 150W * * NMOS场效应IRFP250 200V 33A 180W * * NMOS场效应IRFP340 400V 10A 150W * * NMOS场效应IRFP350 400V 16A 180W * * NMOS场效应IRFP353 350V 14A 180W * * NMOS场效应IRFP440 500V 8A 150W * * NMOS场效应IRFP450 500V 14A 180W * * NMOS场效应IRFP460 500V 20A 250W * * NMOS场效应IRFP9140 100V 19A 150W * * PMOS场效应IRFP9240 200V 12A 150W * * PMOS场效应IRFPF40 900V 4.7A 150W * * NMOS场效应IRFPG42 1000V 4A 150W * * NMOS场效应IRFS9630 200V 6.5A 75W ** PMOS场效应IRFU020 50V 15A 42W ** NMOS场效应MJ(E)MJ10012 400V 10A 175W * * NPN(达林顿) MJ10015 400V 50A 200W * * NPNMJ10016 500V 50A 200W * * NPNMJ10025 850V 20A 250W * * NPNMJ11032 120V 50A 300W * * NPNMJ11033 120V 50A 300W * * NPNMJ13333 400V 20A 175W * * NPNMJ15024 400V 16A 250W * * NPNMJ15025 400V 16A 250W * * PNPMJ2955 60V 15A 115W * * PNPMJ3055 60V 15A 115W * * NPNMJ4502 90V 30A 200W * * PNPMJE13003 400V 1.5A 14W ** NPNMJE13005 400V 4A 60W ** NPNMJE13007 1500V 2.5A 60W ** NPNMJE2955T 60V 10A 75W ** NPNMJE340 300V 0.5A 20W ** NPNMJE350 300V 0.5A 20W ** NPNMN MN650 1500V 6A 80W ** NPNRN RN1204 50V 0.1A 0.3W * * NPNTIP TIP102 100V 8A 2W * * NPNTIP122 100V 8A 65W ** NPNTIP127 100V 8A 65W ** PNPTIP142 100V 10A 125W * * NPN TIP147 100V 10A 125W * * PNP TIP31C 100V 3A 40W ** NPNTIP32C 100V 3A 40W ** PNPTIP35C 100V 25A 125W * * NPNTIP36C 100V 25A 125W * * PNP TIP41C 100V 6A 65W ** NPNTIP42C 100V 6A 65W ** PNPUN UN4111 50V 0.1A 0.25W * * PNP UN4211 50V 0.1A 0.25W * * NPNUN4212 50V 0.1A 0.25W * * NPNUN4213 50V 0.1A 0.25W * * NPN。
常用场效应管和晶体管参数大全用户评论(1)关键字:晶体管参数(6)场效应管(6)常用场效应管和晶体管参数大全IRFU020 50V 15A 42W * * NMOS场效应IRFPG42 1000V 4A 150W * * NMOS场效应IRFPF40 900V 4.7A 150W * * NMOS场效应IRFP9240 200V 12A 150W * * PMOS场效应IRFP9140 100V 19A 150W * * PMOS场效应IRFP460 500V 20A 250W * * NMOS场效应IRFP450 500V 14A 180W * * NMOS场效应IRFP440 500V 8A 150W * * NMOS场效应IRFP353 350V 14A 180W * * NMOS场效应IRFP350 400V 16A 180W * * NMOS场效应IRFP340 400V 10A 150W * * NMOS场效应IRFP250 200V 33A 180W * * NMOS场效应IRFP240 200V 19A 150W * * NMOS场效应IRFP150 100V 40A 180W * * NMOS场效应IRFP140 100V 30A 150W * * NMOS场效应IRFP054 60V 65A 180W * * NMOS场效应IRFI744 400V 4A 32W * * NMOS场效应IRFI730 400V 4A 32W * * NMOS场效应IRFD9120 100V 1A 1W * * NMOS场效应IRFD123 80V 1.1A 1W * * NMOS场效应IRFD120 100V 1.3A 1W * * NMOS场效应IRFD113 60V 0.8A 1W * * NMOS场效应IRFBE30 800V 2.8A 75W * * NMOS场效应IRFBC40 600V 6.2A 125W * * NMOS场效应IRFBC30 600V 3.6A 74W * * NMOS场效应IRFBC20 600V 2.5A 50W * * NMOS场效应IRFS9630 200V 6.5A 75W * * PMOS场效应IRF9630 200V 6.5A 75W * * PMOS场效应IRF9541 60V 19A 125W * * PMOS场效应IRF9531 60V 12A 75W * * PMOS场效应IRF9530 100V 12A 75W * * PMOS场效应IRF840 500V 8A 125W * * NMOS场效应IRF830 500V 4.5A 75W * * NMOS场效应IRF740 400V 10A 125W * * NMOS场效应IRF730 400V 5.5A 75W * * NMOS场效应IRF720 400V 3.3A 50W * * NMOS场效应IRF640 200V 18A 125W * * NMOS场效应IRF630 200V 9A 75W * * NMOS场效应IRF610 200V 3.3A 43W * * NMOS场效应IRF541 80V 28A 150W * * NMOS场效应IRF540 100V 28A 150W * * NMOS场效应IRF530 100V 14A 79W * * NMOS场效应IRF230 200V 9A 79W * * NMOS场效应IRF130 100V 14A 79W * * NMOS场效应BUZ20 100V 12A 75W * * NMOS场效应BUZ11A 50V 25A 75W * * NMOS场效应BS170 60V 0.3A 0.63W * * NMOS场效应常用场效应管及晶体管参数(2)晶体管型号反压Vbe0 电流Icm 功率Pcm 放大系数特征频率管子类型2SC4582 600V 15A 75W * * NPN2SC4517 550V 3A 30W * * NPN2SC4429 1100V 8A 60W * * NPN2SC4297 500V 12A 75W * * NPN2SC4288 1400V 12A 200W * * NPN2SC4242 450V 7A 40W * * NPN2SC4231 800V 2A 30W * * NPN2SC4119 1500V 15A 250W * * NPN2SC4111 1500V 10A 250W * * NPN2SC4106 500V 7A 50W * 20MHZ NPN2SC4059 600V 15A 130W * * NPN2SC4038 50V 0.1A 0.3W * 180MHZ NPN 2SC4024 100V 10A 35W * * NPN2SC3998 1500V 25A 250W * * NPN2SC3997 1500V 15A 250W * * NPN2SC3987 50V 3A 20W 1000 * NPN(达林顿) 2SC3953 120V 0.2A 1.3W * 400MHZ NPN 2SC3907 180V 12A 130W * 30MHZ NPN 2SC3893 1400V 8A 50W * 8MHZ NPN2SC3886 1400V 8A 50W * 8MHZ NPN2SC3873 500V 12A 75W * 30MHZ NPN2SC3866 900V 3A 40W * * NPN2SC3858 200V 17A 200W * 20MHZ NPN2SC3807 30V 2A 1.2W * 260MHZ NPN2SC3783 900V 5A 100W * * NPN2SC3720 1200V 10A 200W * * NPN2SC3680 900V 7A 120W * * NPN2SC3679 900V 5A 100W * * NPN2SC3595 30V 0.5A 1.2W 90 * NPN2SC3527 500V 15A 100W 13 * NPN2SC3505 900V 6A 80W 12 * NPN2SC3460 1100V 6A 100W 12 * NPN2SC3457 1100V 3A 50W 12 * NPN2SC3358 20V 0.15A * * 7000MHZ NPN2SC3355 20V 0.15A * * 6500MHZ NPN2SC3320 500V 15A 80W * * NPN2SC3310 500V 5A 40W 20 * NPN2SC3300 100V 15A 100W * * NPN2SC1855 20V 0.02A 0.25W * 550MHZ NPN2SC1507 300V 0.2A 15W * * NPN常用场效应管及晶体管参数(3)--------------------------------------------------------------------------------晶体管型号反压Vbe0 电流Icm 功率Pcm 放大系数特征频率管子类型2SC1494 36V 6A 40W * 175MHZ NPN2SC1222 60V 0.1A 0.25W * 100MHZ NPN2SC1162 35V 1.5A 10W * * NPN2SC1008 80V 0.7A 0.8W * 50MHZ NPN2SC900 30V 0.03A 0.25W * 100MHZ NPN2SC828 45V 0.05A 0.25W * * NPN2SC815 60V 0.2A 0.25W * * NPN2SC380 35V 0.03A 0.25W * * NPN2SC106 60V 1.5A 15W * * NPN2SB1494 120V 25A 120W * * PNP(达林顿)2SB1429 180V 15A 150W * * PNP2SB1400 120V 6A 25W 1000-20000 * PNP(达林顿)2SB1375 60V 3A 2W * * PNP2SB1335 80V 4A 30W * * PNP2SB1317 180V 15A 150W * * PNP2SB1316 100V 2A 10W 15000 * PNP(达林顿)2SB1243 40V 3A 1W * 70MHZ PNP2SB1240 40V 2A 1W * 100MHZ PNP2SB1238 80V 0.7A 1W * 100MHZ PNP2SB1185 60V 3A 25W * 75MHZ PNP2SB1079 100V 20A 100W 5000 * PNP(达林顿)2SB1020 100V 7A 40W 6000 * PNP(达林顿)2SB834 60V 3A 30W * * PNP2SB817 160V 12A 100W * * PNP2SB772 40V 3A 10W * * PNP2SB744 70V 3A 10W * * PNP2SB734 60V 1A 1W * * PNP2SB688 120V 8A 80W * * PNP2SB675 60V 7A 40W * * PNP(达林顿)2SB669 70V 4A 40W * * PNP(达林顿)2SB649 180V 1.5A 1W * * PNP2SB647 120V 1A 0.9W * 140MHZ PNP2SB449 50V 3.5A 22W * * PNP2SA1943 230V 15A 150W * * PNP2SA1785 400V 1A 1W * 140MHZ PNP2SA1668 200V 2A 25W * 20MHZ PNP2SA1516 180V 12A 130W * 25MHZ PNP2SA1494 200V 17A 200W * 20MHZ PNP2SA1444 100V 1.5A 2W * 80MHZ PNP2SA1358 120V 1A 10W * 120MHZ PNP2SA1302 200V 15A 150W * * PNP2SA1301 200V 10A 100W * * PNP2SA1295 230V 17A 200W * * PNP2SA1265 140V 10A 30W * * PNP2SA1216 180V 17A 200W * * PNP--------------------------------------------------------------------------------常用场效应管及晶体管参数(4)--------------------------------------------------------------------------------晶体管型号反压Vbe0 电流Icm 功率Pcm 放大系数特征频率管子类型2SA1162 50V 0.15A 0.15W * * PNP2SA1123 150V 0.05A 0.75W * * PNP2SA1020 50V 2A 0.9W * * PNP2SA1009 350V 2A 15W * * PNP2N6678 650V 15A 175W * * NPN2N5685 60V 50A 300W * * NPN2N6277 180V 50A 300W * * NPN2N5551 160V 0.6A 0.6W * 100MHZ NPN2N5401 160V 0.6A 0.6W * 100MHZ PNP2N3773 160V 16A 150W * * NPN2N3440 450V 1A 1W * * NPN2N3055 100V 15A 115W * * NPN2N2907 60V 0.6A 0.4W 200 * NPN2N2369 40V 0.5A 0.3W * 800MHZ NPN 2N2222 60V 0.8A 0.5W 45 * NPN 9018 30V 0.05A 0.4W * 1G NPN9015 50V 0.1A 0.4W * 150MHZ PNP 9014 50V 0.1A 0.4W * 150MHZ NPN 9013 50V 0.5A 0.6W * * NPN9012 50V 0.5A 0.6W * * PNP9011 50V 0.03A 0.4W * 150MHZ NPN TIP147 100V 10A 125W * * PNPTIP142 100V 10A 125W * * NPNTIP127 100V 8A 65W * * PNPTIP122 100V 8A 65W * * NPNTIP102 100V 8A 2W * * NPNTIP42C 100V 6A 65W * * PNPTIP41C 100V 6A 65W * * NPNTIP36C 100V 25A 125W * * PNP TIP35C 100V 25A 125W * * NPN TIP32C 100V 3A 40W * * PNPTIP31C 100V 3A 40W * * NPNMJE13007 1500V 2.5A 60W * * NPN MJE13005 400V 4A 60W * * NPN MJE13003 400V 1.5A 14W * * NPN MJE2955T 60V 10A 75W * * NPN MJE350 300V 0.5A 20W * * NPN MJE340 300V 0.5A 20W * * NPN MJ15025 400V 16A 250W * * PNPMJ13333 400V 20A 175W * * NPNMJ11033 120V 50A 300W * * NPNMJ11032 120V 50A 300W * * NPNMJ10025 850V 20A 250W * * NPNMJ10016 500V 50A 200W * * NPN--------------------------------------------------------------------------------常用场效应管及晶体管参数(5)--------------------------------------------------------------------------------晶体管型号反压Vbe0 电流Icm 功率Pcm 放大系数特征频率管子类型BUH515 1500V 10A 80W * * NPNBU2532 1500V 15A 150W * * NPNBU2527 1500V 15A 150W * * NPNBU2525 1500V 12A 150W * * NPNBU2522 1500V 11A 150W * * NPNBU2520 800V 10A 150W * * NPNBU2508 700V 8A 125W * * NPNBU2506 1500V 7A 50W * * NPNBU932R 500V 15A 150W * * NPNBU806 400V 8A 60W * * NPNBU406 400V 7A 60W * * NPNBU323 450V 10A 125W * * NPN(达林顿) BF458 250V 0.1A 10W * * NPNBD682 100V 4A 40W * * PNPMJ10012 400V 10A 175W * * NPN(达林顿) MJ4502 90V 30A 200W * * PNPMJ3055 60V 15A 115W * * NPNMJ2955 60V 15A 115W * * PNPMN650 1500V 6A 80W * * NPNBUX98A 400V 30A 210W * * NPNBUX84 800V 2A 40W * * NPNBUW13A 1000V 15A 150W * * NPNBUV48A 450V 15A 150W * * NPNBUV28A 225V 10A 65W * * NPNBUV26 90V 14A 65W * * NPNBUT12A 450V 10A 125W * * NPNBUT11A 1000V 5A 100W * * NPNBUS14A 1000V 30A 250W * * NPNBD681 100V 4A 40W * * NPNBD244 45V 6A 65W * * PNPBD243 45V 6A 65W * * NPNBD238 100V 2A 25W * * PNPBD237 100V 2A 25W * * NPNBD138 60V 1.5A 12.5W * * PNPBD137 60V 1.5A 12.5W * * NPNBD136 45V 1.5A 12.5W * * PNPBD135 45V 1.5A 12.5W * * NPNBC547 50V 0.2A 0.5W * 300MHZ NPN BC546 80V 0.2A 0.5W * * NPNBC338 50V 0.8A 0.6W * * NPNBC337 50V 0.8A 0.6W * * NPNBC327 50V 0.8 0.6W * * PNPBC307 50V 0.2AA 0.3W * * PNP--------------------------------------------------------------------------------常用场效应管及晶体管参数(6)--------------------------------------------------------------------------------晶体管型号反压Vbe0 电流Icm 功率Pcm 放大系数特征频率管子类型2SDK55 400V 4A 60W * * NPN2SD2445 1500V 12.5A 120W * * NPN2SD2388 90V 3A 1.2W * * NPN(达林顿)2SD2335 1500V 7A 100W * * NPN2SD2334 1500V 5A 80W * * NPN2SD2156 120V 25A 125W 2000-20000 * NPN(达林顿)2SD2155 180V 15A 150W * * NPN2SD2036 60V 1A 1.2W * * NPN2SD2012 60V 3A 2W * * NPN2SD2008 80V 1A 1.5W * * NPN2SD1997 40V 3A 1.5W * 100MHZ NPN2SD1994 60V 1A 1W * * NPN2SD1993 50V 0.1A 0.4W * * NPN2SD1980 100V 2A 10W 1000-10000 * NPN(达林顿) 2SD1978 120V 1.5A 1W 30000 * NPN(达林顿)2SD1975 180V 15A 150W * * NPN2SD1930 100V 2A 1.2W 1000 * NPN(达林顿)2SD1847 50V 1A 1W * * NPN(低噪)2SD1762 60V 3A 25W * 90MHZ NPN2SD1718 180V 15A 3.2W * 20MHZ NPN2SD1640 120V 2A 1.2W 4000-40000 * NPN(达林顿)2SD1590 150V 8A 25W 15000 * NPN(达林顿)2SD1559 100V 20A 20W 5000 * NPN(达林顿)2SD1415 80V 7A 40W 6000 * NPN(达林顿)2SD1416 80V 7A 40W 6000 * NPN(达林顿)2SD1302 25V 0.5A 0.5W * 200MHZ NPN2SD1273 80V 3A 40W * 50MHZ NPN2SD1163A 350V 7A 40W * 60MHZ NPN2SD1047 160V 12A 100W * * NPN2SD1037 150V 30A 180W * * NPN2SD1025 200V 8A 50W * * NPN(达林顿)2SD789 100V 1A 0.9W * * NPN2SD774 100V 1A 1W * * NPN2SD669 180V 1.5A 1W * 140MHZ NPN2SD667 120V 1A 0.9W * 140MHZ NPN( 达林顿) 2SD560 150V 5A 30W * * NPN( 达林顿)2SD547 600V 50A 400W * * NPN2SD438 500V 1A 0.75W * 100MHZ NPN2SD415 120V 0.8A 5W * * NPN2SD385 100V 7A 30W * * NPN( 达林顿)2SD325 50V 3A 25W * * NPN2SD40C 40V 0.5A 40W * * NPN( 达林顿)2SC5252 1500V 15A 100W * * NPN2SC5251 1500V 12A 50W * * NPN2SC5250 1000V 7A 100W * * NPN--------------------------------------------------------------------------------常用场效应管及晶体管参数(7)--------------------------------------------------------------------------------晶体管型号反压Vbe0 电流Icm 功率Pcm 放大系数特征频率管子类型2SC5244 1500V 15A 200W * * NPN2SC5243 1500V 15A 200W * * NPN2SC5207 1500V 10A 50W * * NPN2sc5200 230V 15A 150W * * NPN2sc5132 1500V 16A 50W * * NPN2sc5088 1500V 10A 50W * * NPN2sc5086 1500V 10A 50W * * NPN2sc5068 1500V 10A 50W * * NPN2sc5020 1000V 7A 100W * * NPN2sc4953 500V 2A 25W * * NPN2sc4941 1500V 6A 65W * * NPN2sc4927 1500V 8A 50W * * NPN2sc4913 2000V 0.2A 35W * * NPN2sc4769 1500V 7A 60W * * NPN( 带阻尼) 2sc4747 1500V 10A 50W * * NPN2sc4745 1500V 6A 50W * * NPN2sc4742 1500V 6A 50W * * NPN( 带阻尼) 2sc4706 900V 14A 130W * 6MH NPN2SD1887 1500V 10A 70W * * NPN2SD1886 1500V 8A 70W * * NPN2SD1885 1500V 6A 60W * * NPN2SD1884 1500V 5A 60W * * NPN2SD1883 1500V 4A 50W * * NPN2SD1882 1500V 3A 50W * * NPN2SD1881 1500V 10A 70W * * NPN2SD1880 1500V 8A 70W * * NPN2SD1878 1500V 5A 60W * * NPN 2SD1876 1500V 3A 50W * * NPN 2SD1739 1500V 6A 100W * * NPN 2SD1738 1500V 5A 100W * * NPN 2SD1737 1500V 3.5A 60W * * NPN 2SD1732 1500V 7A 120W * * NPN 2SD1731 1500V 6A 100W * * NPN 2SD1730 1500V 5A 100W * * NPN 2SD1729 1500V 3.5A 60W * * NPN 2SD1711 1500V 7A 100W * * NPN 2SD1710 1500V 6A 100W * * NPN 2SD1656 1500V 6A 60W * * NPN 2SD1655 1500V 5A 60W * * NPN 2SD1654 1500V 3.5A 50W * * NPN2SD1652 1500V 6A 60W * * NPN2SD1651 1500V 5A 60W * * NPN--------------------------------------------------------------------------------常用场效应管及晶体管参数(8)--------------------------------------------------------------------------------晶体管型号反压Vbe0 电流Icm 功率Pcm 放大系数特征频率管子类型2SD1650 1500V 3.5A 50W * * NPN2SD1635 1500V 5A 100W * * NPN2SD1632 1500V 4A 70W * * NPN2SD1577 1500V 5A 80W * * NPN2SD1548 1500V 10A 50W * * NPN 2SD1547 1500V 7A 50W * * NPN 2SD1546 1500V 6A 50W * * NPN 2SD1545 1500V 5A 50W * * NPN 2SD1456 1500V 6A 50W * * NPN 2SD1455 1500V 5A 50W * * NPN 2SD1454 1700V 4A 50W * * NPN 2SD1434 1700V 5A 80W * * NPN 2SD1431 1500V 5A 80W * * NPN 2SD1426 1500V 3.5A 80W * * NPN 2SD1402 1500V 5A 120W * * NPN 2SD1399 1500V 6A 60W * * NPN 2SD1344 1500V 6A 50W * * NPN 2SD1343 1500V 6A 50W * * NPN2SD1941 1500V 6A 50W * * NPN 2SD1911 1500V 5A 50W * * NPN 2SD1341 1500V 5A 50W * * NPN 2SD1219 1500V 3A 65W * * NPN 2SD1290 1500V 3A 50W * * NPN 2SD1175 1500V 5A 100W * * NPN 2SD1174 1500V 5A 85W * * NPN 2SD1173 1500V 5A 70W * * NPN 2SD1172 1500V 5A 65W * * NPN 2SD1143 1500V 5A 65W * * NPN 2SD1142 1500V 3.5A 50W * * NPN 2SD1016 1500V 7A 50W * * NPN 2SD995 2500V 3A 50W * * NPN2SD994 1500V 8A 50W * * NPN2SD954 1500V 5A 95W * * NPN2SD952 1500V 3A 70W * * NPN2SD904 1500V 7A 60W * * NPN2SD903 1500V 7A 50W * * NPN2SD871 1500V 6A 50W * * NPN2SD870 1500V 5A 50W * * NPN2SD869 1500V 3.5A 50W * * NPN2SD838 2500V 3A 50W * * NPN2SD822 1500V 7A 50W * * NPN2SD821 1500V 6A 50W * * NPN--------------------------------------------------------------------------------常用场效应管及晶体管参数(9)--------------------------------------------------------------------------------晶体管型号反压Vbe0 电流Icm 功率Pcm 放大系数特征频率管子类型2SD348 1500V 7A 50W * * NPN2SC4303A 1500V 6A 80W * * NPN2SC4292 1500V 6A 100W * * NPN2SC4291 1500V 5A 100W * * NPN2SC4199A 1500V 10A 100W * * NPN2SC3883 1500V 5A 50W * * NPN2SC3729 1500V 5A 50W * * NPN2SC3688 1500V 10A 150W * * NPN2SC3687 1500V 8A 150W * * NPN2SC3686 1500V 7A 120W * * NPN2SC3685 1500V 6A 120W * * NPN 2SC3486 1500V 6A 120W * * NPN 2SC3485 1500V 5A 120W * * NPN 2SC3484 1500V 3.5A 80W * * NPN 2SC3482 1500V 6A 120W * * NPN 2SC3481 1500V 5A 120W * * NPN 2SC3480 1500V 3.5A 80W * * NPN 2SC2125 2200V 5A 50W * * NPN 2SC2027 1500V 5A 50W * * NPN BUY71 2200V 2A 40W * * NPNBU508A 1500V 7.5A 75W * * NPN BU500 1500V 6A 75W * * NPNBU308 1500V 5A 12.5W * * NPN BU209A 1700V 5A 12.5W * * NPN BU208D 1500V 5A 12.5W * * NPNBU108 1500V 5A 12.5W * * NPN2SD1585 60V 3A 15W * * NPN2SD773 20V 2A 1W * * NPN2SC2785 60V 0.1A 0.3W * * NPN2SC403 50V 0.1A 0.1W * * NPN2SD1246 30V 2A 0.75W * * NPN2SC2570A 25V 0.07A 0.6W * * NPN 2SC1047 30V 0.015A 0.15W * * NPN 2SC3114 60V 0.15A 0.2W * * NPN2SD400 25V 1A 0.75W * * NPN2SC1923 40V 0.02A 0.1W * * NPN2SC2621 300V 0.2A 10W * * NPN2SC2568 300V 0.2A 10W * * NPN2SC2216 50V 0.05A 0.3W * * NPN2SC536F 40V 0.1A 0.25W * * NPN2SA608F 30V 0.1A 0.25W * * PNP2SD1271A 130V 7A 40W * * NPN2SD1133 70V 4A 40W * * NPN--------------------------------------------------------------------------------常用场效应管及晶体管参数(10)--------------------------------------------------------------------------------晶体管型号反压Vbe0 电流Icm 功率Pcm 放大系数特征频率管子类型2SC1890A 120V 0.05A 0.3W * * NPN2SA1304 150V 1.5A 25W * * PNP 2SD1274A 150V 5A 40W * * NPN2SC2371 300V 0.1A 10W * * NPN 2SA966Y 30V 1.5A 0.9W * * PNP2SD1378 80V 0.7A 10W * * NPN2SD553Y 70V 7A 40W * * NPNRN1204 50V 0.1A 0.3W * * NPN2SD1405Y 50V 3A 30W * * NPN2SC2878 50V 0.3A 0.4W * * NPN2SC1959 30V 0.4A 0.5W * * NPN2SC1569 300V 0.15A 1.5W * * NPN 2SC2383Y 160V 1A 0.9W * * NPN 2SA1299 50V 0.5A 0.3W * * PNP2SB564A 45V 0.05 0.25W * * PNPBU508A 1500V 8A 125W * * NPN BUT11 1500V 5A 80W * * NPN2SD3505 900V 6A 50W * * NPN2SD906 1400V 8A 50W * * NPN2SD905 1400V 8A 50W * * NPN2SC1942 1500V 3A 100W * * NPN 2SD1397 1500V 3.5A 50W * * NPN 2SD1396 1500V 2.5A 50W * * NPN 2SC3153 900V 6A 100W * * NPN 2SD1403 1500V 6A 50W * * NPN 2SD1410 1500V 3.5A 80W * * NPN 2SD2057 1500V 5A 100W * * NPN 2SD2027 1500V 5A 50W * * NPN 2SD953 1500V 7A 95W * * NPN2SD950 1500V 3.5A 80W * * NPN 2SD852 1500V 5A 70W * * NPN 2SD850 1500V 3A 25W * * NPN 2SD900B 1500V 5A 50W * * NPN 2SD899A 1500V 4A 50W * * NPN 2SD898B 1500V 3A 50W * * NPN 2SD871 1500V 6A 50W * * NPN 2SD870 1500V 5A 50W * * NPN 2SD869 1500V 3.5A 50W * * NPN 2SD1433 1500V 7A 80W * * NPN 2SD1432 1500V 6A 80W * * NPN 2SD1431 1500V 5A 80W * * NPN 2SD820 1500V 5A 50W * * NPN 常用场效应管及晶体管参数(11)--------------------------------------------------------------------------------晶体管型号反压Vbe0 电流Icm 功率Pcm 放大系数特征频率管子类型2SD819 1500V 3.5A 50W * * NPN2SD1497 1500V 6A 50W * * NPN2SD1398 1500V 5A 50W * * NPN2SD1427 1500V 5A 80W * * NPN2SD1428 1500V 6A 80W * * NPN2SD1426 1500V 3.5A 80W * * NPN2SC2068 70V 0.2A 0.62W * * NPN2SC1627Y 80V 0.3A 0.6W * * NPN2SC495Y 70V 0.8A 5W * * NPN2SC388A 20V 0.02A 0.2W * * NPN2SA940 150V 1.5A 1.5W * * PNP2SC2120Y 30V 0.8A 0.6W * * NPN 2SD1555 1500V 5A 50W * * NPN2SD8806 60V 3A 30W * * NPN2SC2456 300V 0.1A 10W * * NPN 2SA1300 20V 2A 0.7W * * PNP2SC304CD 60V 0.5A 0.8W * * NPN 2SC2238 160V 1.5A 25W * * NPN 2SC3328 80V 2A 0.9W * * NPN2SC2190 450V 5A 100W * * NPN2SA968Y 160V 1.5A 25W * * PNP2SC3402 50V 0.1A 0.3W * * NPN2SC2168 200V 2A 30W * * NPN2SC3198G 60V 0.15A 0.4W * * NPN2SC1827 80V 4A 30W * * NPN2SA1266Y 50V 0.15A 0.4W * * PNP 2SD880 60V 3A 30W * * NPN2SC1906 30V 0.05A 0.3W * * NPN 2SC945 50V 0.1A 0.25W * * NPN2SC3279 30V 2A 0.75W * * NPN2SC2229 200V 0.05A 0.8W * * NPN 2SC2236 30V 1.5A 0.9W * * NPN2SC383 20V 0.05A 0.2W * * NPN2SA950Y 150V 0.8A 0.6W * * PNP BC548B 30V 0.2A 0.5W * * NPN2SC3399 50V 0.1A 0.3W * * NPN2SD1455 1500V 5A 50W * * NPN2SC1983R 80V 3A 30W * * NPN2SC1213D 50V 0.5A 0.4W * * NPN2SA778AK 180V 0.05A 0.2W * * PNPDTC114ES 50V 0.1A 0.25W * * NPN2SC3413C 40V 0.1A 0.5W * * NPN常用场效应管及晶体管参数(12)---------------------------------------晶体管型号反压Vbe0 电流Icm 功率Pcm 放大系数特征频率管子类型2SC2611 300V 0.1A 1.25W * * NPN2SC1514 300V 0.1A 1.25W * * NPNDTC124ES 50V 0.1A 0.25W * * PNP2SD1078 50V 2A 20W * * NPN2SD788 20V 2A 0.9W * * NPN2SD882 40V 3A 10W * * NPN2SD787 20V 2A 0.9W * * NPN2SD401AK 200V 2A 25W * * NPN2SC2610 300V 0.1A 0.8W * * NPN2SC2271N 300V 0.1A 0.75W * * NPN 2SC1740 50V 0.3A 0.3W * * NPN2SC1214C 50V 0.5A 0.6W * * NPN2SC458D 30V 0.1A 0.2W * * NPN2SA673 50V 0.5A 0.4W * * PNP2SD1556 1500V 6A 50W * * NPN2SD1499 100V 5A 40W * * NPN2SD1264A 200V 2A 30W * * NPN2SD1010 50V 0.05A 0.3W * * NPN2SD966 60V 5A 1W * * NPN2SD601AR 60V 0.1A 0.2W * * NPN2SC3265Y 30V 0.8A 0.2W * * NPN2SC3063 300V 0.1A 1.2W * * NPN2SC2594 40V 5A 10W * * NPN2SC1317-R 30V 0.5A 0.4W * * NPN2SB1013A 30V 0.5A 0.3W * * PNP2SD1226 60V 3A 35W * * NPN2SC2636Y 30V 0.05A 0.4W * * NPN2SB940 200V 2A 30W * * PNP2SA720-Q 50V 0.5A 0.4W * * PNP2SD1391 1500V 5A 80W * * NPN2SC2188 45V 0.05A 0.6W * * NPN2SK301-R * 0.14A 0.25W * * N沟场效应管2SD1266 60V 3A 35W * * NPN2SD1175 1500V 5A 100W * * NPN2SD973 30V 1A 1W * * NPN2SC2923 300V 0.2A 15W * * NPN2SC2653H 250V 0.2A 15W * * NPN2SC2377C 30V 0.15A 0.2W * * NPN2SC1685Q 30V 0.1A 0.25W * * NPN2SC1573A 250V 0.07A 0.6W * * NPN2SB642-R 60V 0.2A 0.4W * * PNP2SA1309A 25V 0.1A 0.3W * * PNP2SA1018 150V 0.07A 0.75W * * PNP2SA564A 25V 0.1A 0.25W * * PNP--------------------------------------------------------------------------------常用场效应管及晶体管参数(13)--------------------------------------------------------------------------------晶体管型号反压Vbe0 电流Icm 功率Pcm 放大系数特征频率管子类型2SK301-Q * 0.14A 0.25W * * N沟场效应管2SD1541 1500V 3A 50W * * NPN2SC1685 30V 0.1A 0.25W * * NPN2SC1573A 250V 0.07A 0.6W * * NPN2SA1309A 25V 0.1A 0.3W * * PNPUN4213 50V 0.1A 0.25W * * NPNUN4211 50V 0.1A 0.25W * * NPNUN4212 50V 0.1A 0.25W * * NPNUN4111 50V 0.1A 0.25W * * PNP2SD1541 1500V 3A 50W * * NPN2SC2839 30V 0.1A 0.1W * * NPN2SC2258 250V 0.1A 1W * * NPN2SC1846 45V 1A 1.2W * * NPN2SC1573A 250V 0.07A 0.6W * * NPN 2SA1309A 25V 0.1A 0.3W * * PNP2SD1544 1500V 3.5A 40W * * NPN 2SD802 900V 6A 50W * * NPN2SC2717 35V 0.8A 7.5W * * NPN2SC2482 150V 0.1A 0.9W * * NPN2SC2073 150V 1.5A 25W * * NPN2SC1815Y 60V 0.15A 0.4W * * NPN 2SB774T 30V 0.01A 0.25W * * PNP 2SA1015R 50V 0.15A 0.4W * * PNP 2SA904 90V 0.05A 0.2W * * PNP。
常用晶体管参数表索引晶体管型号反压Vbeo 电流Icm 功率Pcm 放大系数特征频率管子类型9011 50V 0.03A 0.4W * 150MHZ NPN9012 50V 0.5A 0.6W * * PNP9013 50V 0.5A 0.6W * * NPN9014 50V 0.1A 0.4W * 150MHZ NPN9015 50V 0.1A 0.4W * 150MHZ PNP9018 30V 0.05A 0.4W * 1GHZ NPN2N2222 60V 0.8A 0.5W 45 * NPN2N2369 40V 0.5A 0.3W * 800MHZ NPN2N2907 60V 0.6A 0.4W 200 * NPN2N3055 100V 15A 115W * * NPN2N2N3440 450V 1A 1W * * NPN2N3773 160V 16A 150W * * NPN2N5401 160V 0.6A 0.6W * 100MHZ PNP2N5551 160V 0.6A 0.6W * 100MHZ NPN2N5685 60V 50A 300W * * NPN2N6277 180V 50A 300W * * NPN2N6678 650V 15A 175W * * NPN2SA 2SA1009 350V 2A 15W * * PNP2SA1012Y 60V 5A 25W * * PNP2SA1013R 160V 1A 0.9W * * PNP2SA1015R 50V 0.15A 0.4W * * PNP2SA1018 150V 0.07A 0.75W * * PNP2SA1020 50V 2A 0.9W * * PNP2SA1123 150V 0.05A 0.75W * * PNP2SA1162 50V 0.15A 0.15W * * PNP2SA1175H 50V 0.1A 0.3W * * PNP2SA1216 180V 17A 200W * * PNP2SA1265 140V 10A 30W * * PNP2SA1266Y 50V 0.15A 0.4W * * PNP2SA1295 230V 17A 200W * * PNP2SA1299 50V 0.5A 0.3W * * PNP2SA1300 20V 2A 0.7W * * PNP2SA1301 200V 10A 100W * * PNP2SA1302 200V 15A 150W * * PNP2SA1304 150V 1.5A 25W * * PNP2SA1309A 25V 0.1A 0.3W * * PNP2SA1358 120V 1A 10W * 120MHZ PNP2SA1390 35V 0.5A 0.3W * * PNP2SA1444 100V 1.5A 2W * 80MHZ PNP2SA1494 200V 17A 200W * 20MHZ PNP2SA1516 180V 12A 130W * 25MHZ PNP2SA1668 200V 2A 25W * 20MHZ PNP2SA1785 400V 1A 1W * 140MHZ PNP2SA1943 230V 15A 150W * * PNP2SA562T 30V 0.4A 0.3W * * PNP2SA564A 25V 0.1A 0.25W * * PNP2SA608F 30V 0.1A 0.25W * * PNP2SA673 50V 0.5A 0.4W * * PNP2SA720-Q 50V 0.5A 0.4W * * PNP2SA778AK 180V 0.05A 0.2W * * PNP2SA904 90V 0.05A 0.2W * * PNP2SA933S 50V 0.1A 0.9W * * PNP2SA940 150V 1.5A 1.5W * * PNP2SA950Y 150V 0.8A 0.6W * * PNP2SA966Y 30V 1.5A 0.9W * * PNP2SA968Y 160V 1.5A 25W * * PNP2SB 2SB1013A 30V 0.5A 0.3W * * PNP2SB1020 100V 7A 40W 6000 * PNP(达林顿)2SB1079 100V 20A 100W 5000 * PNP(达林顿)2SB1185 60V 3A 25W * 75MHZ PNP2SB1238 80V 0.7A 1W * 100MHZ PNP2SB1240 40V 2A 1W * 100MHZ PNP2SB1243 40V 3A 1W * 70MHZ PNP2SB1316 100V 2A 10W 15000 * PNP(达林顿)2SB1317 180V 15A 150W * * PNP2SB1335 80V 4A 30W * * PNP2SB1375 60V 3A 2W * * PNP2SB1400 120V 6A 25W 1000-20000 * PNP(达林顿)2SB1429 180V 15A 150W * * PNP2SB1494 120V 25A 120W * * PNP(达林顿)2SB449 50V 3.5A 22W * * PNP2SB564A 45V 0.05A 0.25W * * PNP2SB642-R 60V 0.2A 0.4W * * PNP2SB647 120V 1A 0.9W * 140MHZ PNP2SB649 180V 1.5A 1W * * PNP2SB669 70V 4A 40W * * PNP(达林顿)2SB675 60V 7A 40W * * PNP(达林顿)2SB686 100V 6A 60W * * PNP2SB688 120V 8A 80W * * PNP2SB734 60V 1A 1W * * PNP2SB744 70V 3A 10W * * PNP2SB772 40V 3A 10W * * PNP2SB774T 30V 0.01A 0.25W * * PNP2SB817 160V 12A 100W * * PNP2SB834 60V 3A 30W * * PNP2SB882 60V - 1.7W * * PNP2SB940 200V 2A 30W * * PNP2SC 2SC1008 80V 0.7A 0.8W * 50MHZ NPN 2SC1047 30V 0.015A 0.15W * * NPN2SC106 60V 1.5A 15W * * NPN2SC1162 35V 1.5A 10W * * NPN2SC1213D 50V 0.5A 0.4W * * NPN2SC1214C 50V 0.5A 0.6W * * NPN2SC1222 60V 0.1A 0.25W * 100MHZ NPN2SC1317-R 30V 0.5A 0.4W * * NPN2SC1360 50V 0.05A 0.5W * * NPN2SC1494 36V 6A 40W * 175MHZ NPN2SC1507 300V 0.2A 15W * * NPN2SC1514 300V 0.1A 1.25W * * NPN2SC1569 300V 0.15A 1.5W * * NPN2SC1573A 250V 0.07A 0.6W * * NPN 2SC1627Y 80V 0.3A 0.6W * * NPN2SC1674 30V 0.02A 0.1W * * NPN2SC1685 30V 0.1A 0.25W * * NPN2SC1685Q 30V 0.1A 0.25W * * NPN2SC1740 50V 0.3A 0.3W * * NPN2SC1815Y 60V 0.15A 0.4W * * NPN2SC1827 80V 4A 30W * * NPN2SC1846 45V 1A 1.2W * * NPN2SC1855 20V 0.02A 0.25W * 550MHZ NPN2SC1875 50V 0.15A 0.4W * * NPN2SC1890A 120V 0.05A 0.3W * * NPN 2SC1906 30V 0.05A 0.3W * * NPN2SC1923 40V 0.02A 0.1W * * NPN2SC1942 1500V 3A 100W * * NPN2SC1959 30V 0.4A 0.5W * * NPN2SC1983R 80V 3A 30W * * NPN2SC2027 1500V 5A 50W * * NPN2SC2068 70V 0.2A 0.62W * * NPN2SC2073 150V 1.5A 25W * * NPN2SC2120Y 30V 0.8A 0.6W * * NPN2SC2125 2200V 5A 50W * * NPN2SC2168 200V 2A 30W * * NPN2SC2188 45V 0.05A 0.6W * * NPN2SC2190 450V 5A 100W * * NPN2SC2216 50V 0.05A 0.3W * * NPN2SC2229 200V 0.05A 0.8W * * NPN2SC2236 30V 1.5A 0.9W * * NPN2SC2238 160V 1.5A 25W * * NPN2SC227 300V 0.1A 0.75W * * NPN2SC2271N 300V 0.1A 0.75W * * NPN 2SC2371 300V 0.1A 10W * * NPN2SC2377 20V 0.015A 0.2W * * NPN2SC2377C 30V 0.15A 0.2W * * NPN2SC2383Y 160V 1A 0.9W * * NPN2SC2456 300V 0.1A 10W * * NPN2SC2482 150V 0.1A 0.9W * * NPN2SC2568 300V 0.2A 10W * * NPN2SC2570A 25V 0.07A 0.6W * * NPN2SC2594 40V 5A 10W * * NPN2SC2610 300V 0.1A 0.8W * * NPN2SC2611 300V 0.1A 1.25W * * NPN2SC2621 300V 0.2A 10W * * NPN2SC2636Y 30V 0.05A 0.4W * * NPN2SC2653H 250V 0.2A 15W * * NPN2SC2655Y 60V 2A 0.9W * * NPN2SC2688 300V 0.2A 10W * * NPN2SC2717 35V 0.8A 7.5W * * NPN2SC2785 60V 0.1A 0.3W * * NPN2SC2839 30V 0.1A 0.1W * * NPN2SC2878 50V 0.3A 0.4W * * NPN2SC2923 300V 0.2A 15W * * NPN2SC304CD 60V 0.5A 0.8W * * NPN2SC3063 300V 0.1A 1.2W * * NPN2SC3114 60V 0.15A 0.2W * * NPN2SC3153 900V 6A 100W * * NPN2SC3198G 60V 0.15A 0.4W * * NPN2SC3265Y 30V 0.8A 0.2W * * NPN2SC3271 300V 0.1A 5W * * NPN2SC3279 30V 2A 0.75W * * NPN2SC3300 100V 15A 100W * * NPN2SC3310 500V 5A 40W 20 * NPN2SC3320 500V 15A 80W * * NPN2SC3328 80V 2A 0.9W * * NPN2SC3355 20V 0.15A * * 6500MHZ NPN2SC3358 20V 0.15A * * 7000MHZ NPN2SC3399 50V 0.1A 0.3W * * NPN2SC3402 50V 0.1A 0.3W * * NPN2SC3413C 40V 0.1A 0.5W * * NPN2SC3457 1100V 3A 50W 12 * NPN2SC3460 1100V 6A 100W 12 * NPN2SC3480 1500V 3.5A 80W * * NPN2SC3482 1500V 6A 120W * * NPN2SC3484 1500V 3.5A 80W * * NPN2SC3485 1500V 5A 120W * * NPN2SC3486 1500V 6A 120W * * NPN2SC3505 900V 6A 80W 12 * NPN2SC3527 500V 15A 100W 13 * NPN2SC3595 30V 0.5A 1.2W 90 * NPN2SC3679 900V 5A 100W * * NPN2SC3680 900V 7A 120W * * NPN2SC3685 1500V 6A 120W * * NPN2SC3686 1500V 7A 120W * * NPN2SC3687 1500V 8A 150W * * NPN2SC3688 1500V 10A 150W * * NPN2SC3720 1200V 10A 200W * * NPN2SC3729 1500V 5A 50W * * NPN2SC3783 900V 5A 100W * * NPN2SC380 35V 0.03A 0.25W * * NPN2SC3807 30V 2A 1.2W * 260MHZ NPN2SC383 20V 0.05A 0.2W * * NPN2SC3858 200V 17A 200W * 20MHZ NPN2SC3866 900V 3A 40W * * NPN2SC3873 500V 12A 75W * 30MHZ NPN2SC3883 1500V 5A 50W * * NPN2SC3886 1400V 8A 50W * 8MHZ NPN2SC388A 20V 0.02A 0.2W * * NPN2SC3893 1400V 8A 50W * 8MHZ NPN2SC3907 180V 12A 130W * 30MHZ NPN2SC3953 120V 0.2A 1.3W * 400MHZ NPN 2SC3987 50V 3A 20W 1000 * NPN(达林顿)2SC3997 1500V 15A 250W * * NPN2SC3998 1500V 25A 250W * * NPN2SC4024 100V 10A 35W * * NPN2SC403 50V 0.1A 0.1W * * NPN2SC4038 50V 0.1A 0.3W * 180MHZ NPN2SC4059 600V 15A 130W * * NPN2SC4106 500V 7A 50W * 20MHZ NPN2SC4111 1500V 10A 250W * * NPN2SC4119 1500V 15A 250W * * NPN2SC4199A 1500V 10A 100W * * NPN2SC4231 800V 2A 30W * * NPN2SC4242 450V 7A 40W * * NPN2SC4288 1400V 12A 200W * * NPN2SC4291 1500V 5A 100W * * NPN2SC4297 500V 12A 75W * * NPN2SC4303A 1500V 6A 80W * * NPN2SC4429 1100V 8A 60W * * NPN2SC4517 550V 3A 30W * * NPN2SC4582 600V 15A 75W * * NPN2SC458D 30V 0.1A 0.2W * * NPN2SC4706 900V 14A 130W * 6MHZ NPN 2SC4742 1500V 6A 50W * * NPN(带阻尼) 2SC4745 1500V 6A 50W * * NPN2SC4747 1500V 10A 50W * * NPN2SC4769 1500V 7A 60W * * NPN(带阻尼) 2SC4913 2000V 0.2A 35W * * NPN2SC4924 800V 10A 70W * * NPN2SC4927 1500V 8A 50W * * NPN2SC4941 1500V 6A 65W * * NPN2SC4953 500V 2A 25W * * NPN2SC495Y 70V 0.8A 5W * * NPN2SC5020 1000V 7A 100W * * NPN2SC5068 1500V 10A 50W * * NPN2SC5086 1500V 10A 50W * * NPN2SC5088 1500V 10A 50W * * NPN2SC5132 1500V 16A 50W * * NPN2SC5200 230V 15A 150W * * NPN2SC5207 1500V 10A 50W * * NPN2SC5243 1500V 15A 200W * * NPN2SC5244 1500V 15A 200W * * NPN2SC5250 1000V 7A 100W * * NPN2SC5251 1500V 12A 50W * * NPN2SC5252 1500V 15A 100W * * NPN2SC536F 40V 0.1A 0.25W * * NPN2SC752G 40V 0.2A 0.2W * * NPN2SC815 60V 0.2A 0.25W * * NPN2SC828 45V 0.05A 0.25W * * NPN2SC900 30V 0.03A 0.25W * 100MHZ NPN 2SC945 50V 0.1A 0.25W * * NPN2SD 2SD1010 50V 0.05A 0.3W * * NPN 2SD1016 1500V 7A 50W * * NPN2SD1025 200V 8A 50W * * NPN(达林顿) 2SD1037 150V 30A 180W * * NPN2SD1047 160V 12A 100W * * NPN2SD1078 50V 2A 20W * * NPN2SD1133 70V 4A 40W * * NPN2SD1138C 150V 2A 30W * * NPN2SD1143 1500V 5A 65W * * NPN2SD1163A 350V 7A 40W * 60MHZ NPN 2SD1172 1500V 5A 65W * * NPN2SD1173 1500V 5A 70W * * NPN2SD1174 1500V 5A 85W * * NPN2SD1175 1500V 5A 100W * * NPN2SD1175 1500V 5A 100W * * NPN2SD1219 1500V 3A 65W * * NPN2SD1226 60V 3A 35W * * NPN2SD1246 30V 2A 0.75W * * NPN2SD1264A 200V 2A 30W * * NPN2SD1266 60V 3A 35W * * NPN2SD1271A 130V 7A 40W * * NPN2SD1273 80V 3A 40W * 50MHZ NPN2SD1274A 150V 5A 40W * * NPN2SD1290 1500V 3A 50W * * NPN2SD1302 25V 0.5A 0.5W * 200MHZ NPN 2SD1341 1500V 5A 50W * * NPN2SD1342 1500V 5A 50W * * NPN2SD1343 1500V 6A 50W * * NPN2SD1344 1500V 6A 50W * * NPN2SD1378 80V 0.7A 10W * * NPN2SD1391 1500V 5A 80W * * NPN2SD1396 1500V 2.5A 50W * * NPN2SD1397 1500V 3.5A 50W * * NPN2SD1398 1500V 5A 50W * * NPN2SD1399 1500V 6A 60W * * NPN2SD1402 1500V 5A 120W * * NPN2SD1403 1500V 6A 50W * * NPN2SD1405Y 50V 3A 30W * * NPN2SD1410 1500V 3.5A 80W * * NPN2SD1415 80V 7A 40W 6000 * NPN(达林顿) 2SD1416 80V 7A 40W 6000 * NPN(达林顿) 2SD1426 1500V 3.5A 80W * * NPN2SD1426 1500V 3.5A 80W * * NPN2SD1427 1500V 5A 80W * * NPN2SD1428 1500V 6A 80W * * NPN2SD1431 1500V 5A 80W * * NPN2SD1431 1500V 5A 80W * * NPN2SD1432 1500V 6A 80W * * NPN2SD1433 1500V 7A 80W * * NPN2SD1434 1700V 5A 80W * * NPN2SD1454 1700V 4A 50W * * NPN2SD1455 1500V 5A 50W * * NPN2SD1456 1500V 6A 50W * * NPN2SD1480 80V 4A 25W * * NPN2SD1497 1500V 6A 50W * * NPN2SD1499 100V 5A 40W * * NPN2SD1541 1500V 3A 50W * * NPN2SD1541 1500V 3A 50W * * NPN2SD1544 1500V 3.5A 40W * * NPN2SD1545 1500V 5A 50W * * NPN2SD1546 1500V 6A 50W * * NPN2SD1547 1500V 7A 50W * * NPN2SD1548 1500V 10A 50W * * NPN2SD1554 1500V 3.5A 40W * * NPN2SD1555 1500V 5A 50W * * NPN2SD1556 1500V 6A 50W * * NPN2SD1559 100V 20A 20W 5000 * NPN(达林顿)2SD1577 1500V 5A 80W * * NPN2SD1585 60V 3A 15W * * NPN2SD1590 150V 8A 25W 15000 * NPN(达林顿)2SD1632 1500V 4A 70W * * NPN2SD1635 1500V 5A 100W * * NPN2SD1640 120V 2A 1.2W 4000-40000 * NPN(达林顿) 2SD1650 1500V 3.5A 50W * * NPN2SD1651 1500V 5A 60W * * NPN2SD1652 1500V 6A 60W * * NPN2SD1653 1500V 2.5A 50W * * NPN2SD1654 1500V 3.5A 50W * * NPN2SD1655 1500V 5A 60W * * NPN2SD1656 1500V 6A 60W * * NPN2SD1710 1500V 6A 100W * * NPN2SD1711 1500V 7A 100W * * NPN2SD1718 180V 15A 3.2W * 20MHZ NPN2SD1729 1500V 3.5A 60W * * NPN2SD1730 1500V 5A 100W * * NPN2SD1731 1500V 6A 100W * * NPN2SD1732 1500V 7A 120W * * NPN2SD1737 1500V 3.5A 60W * * NPN2SD1738 1500V 5A 100W * * NPN2SD1739 1500V 6A 100W * * NPN2SD1762 60V 3A 25W * 90MHZ NPN2SD1847 50V 1A 1W * * NPN(低噪)2SD1876 1500V 3A 50W * * NPN2SD1877 800V 4A 50W * * NPN2SD1879 1500V 6A 60W * * NPN2SD1880 1500V 8A 70W * * NPN2SD1881 1500V 10A 70W * * NPN2SD1882 1500V 3A 50W * * NPN2SD1883 1500V 4A 50W * * NPN2SD1884 1500V 5A 60W * * NPN2SD1885 1500V 6A 60W * * NPN2SD1886 1500V 8A 70W * * NPN2SD1887 1500V 10A 70W * * NPN2SD1911 1500V 5A 50W * * NPN2SD1930 100V 2A 1.2W 1000 * NPN(达林顿)2SD1941 1500V 6A 50W * * NPN2SD1975 180V 15A 150W * * NPN2SD1978 120V 1.5A 1W 30000 * NPN(达林顿)2SD1980 100V 2A 10W 1000-10000 * NPN(达林顿)2SD1993 50V 0.1A 0.4W * * NPN2SD1994 60V 1A 1W * * NPN2SD1997 40V 3A 1.5W * 100MHZ NPN2SD2008 80V 1A 1.5W * * NPN2SD2012 60V 3A 2W * * NPN2SD2027 1500V 5A 50W * * NPN2SD2036 60V 1A 1.2W * * NPN2SD2057 1500V 5A 100W * * NPN2SD2155 180V 15A 150W * * NPN2SD2156 120V 25A 125W 2000-20000 * NPN(达林顿) 2SD2334 1500V 5A 80W * * NPN2SD2335 1500V 7A 100W * * NPN2SD2388 90V 3A 1.2W * * NPN(达林顿)2SD2445 1500V 12.5A 120W * * NPN2SD325 50V 3A 25W * * NPN2SD348 1500V 7A 50W * * NPN2SD3505 900V 6A 50W * * NPN2SD385 100V 7A 30W * * NPN(达林顿)2SD400 25V 1A 0.75W * * NPN2SD401AK 200V 2A 25W * * NPN2SD40C 40V 0.5A 40W * * NPN(达林顿)2SD415 120V 0.8A 5W * * NPN2SD438 500V 1A 0.75W * 100MHZ NPN2SD547 600V 50A 400W * * NPN2SD553Y 70V 7A 40W * * NPN2SD560 150V 5A 30W * * NPN(达林顿)2SD601AR 60V 0.1A 0.2W * * NPN2SD667 120V 1A 0.9W * 140MHZ NPN(达林顿)2SD669 180V 1.5A 1W * 140MHZ NPN2SD773 20V 2A 1W * * NPN2SD774 100V 1A 1W * * NPN2SD787 20V 2A 0.9W * * NPN2SD788 20V 2A 0.9W * * NPN2SD789 100V 1A 0.9W * * NPN2SD802 900V 6A 50W * * NPN2SD819 1500V 3.5A 50W * * NPN2SD820 1500V 5A 50W * * NPN2SD821 1500V 6A 50W * * NPN2SD822 1500V 7A 50W * * NPN2SD838 2500V 3A 50W * * NPN2SD850 1500V 3A 25W * * NPN2SD852 1500V 5A 70W * * NPN2SD869 1500V 3.5A 50W * * NPN2SD869 1500V 3.5A 50W * * NPN2SD870 1500V 5A 50W * * NPN2SD870 1500V 5A 50W * * NPN2SD871 1500V 6A 50W * * NPN2SD871 1500V 6A 50W * * NPN2SD880 60V 3A 30W * * NPN2SD8806 60V 3A 30W * * NPN2SD882 40V 3A 10W * * NPN2SD898B 1500V 3A 50W * * NPN2SD899A 1500V 4A 50W * * NPN2SD900B 1500V 5A 50W * * NPN2SD903 1500V 7A 50W * * NPN2SD904 1500V 7A 60W * * NPN2SD905 1400V 8A 50W * * NPN2SD906 1400V 8A 50W * * NPN2SD950 1500V 3.5A 80W * * NPN2SD951 1500V 3A 65W * * NPN2SD952 1500V 3A 70W * * NPN2SD953 1500V 7A 95W * * NPN2SD954 1500V 5A 95W * * NPN2SD957A 1500V 6A 50W * * NPN2SD965 40V 5A 0.75W * * NPN2SD966 60V 5A 1W * * NPN2SD973 30V 1A 1W * * NPN2SD994 1500V 8A 50W * * NPN2SD995 2500V 3A 50W * * NPN2SDK55 400V 4A 60W * * NPN2SK 2SK301-Q * 0.14A 0.25W * * N沟场效应管2SK301-R * 0.14A 0.25W * * N沟场效应管BC BC307 50V 0.2A 0.3W * * PNPBC327 50V 0.8A 0.6W * * PNPBC337 50V 0.8A 0.6W * * NPNBC338 50V 0.8A 0.6W * * NPNBC546 80V 0.2A 0.5W * * NPNBC547 50V 0.2A 0.5W * 300MHZ NPNBC548B 30V 0.2A 0.5W * * NPNBC636 45V 1A 0.8W * * PNPBD BD135 45V 1.5A 12.5W * * NPNBD136 45V 1.5A 12.5W * * PNPBD137 60V 1.5A 12.5W * * NPNBD138 60V 1.5A 12.5W * * PNPBD237 100V 2A 25W * * NPNBD238 100V 2A 25W * * PNPBD243 45V 6A 65W * * NPNBD244 45V 6A 65W * * PNPBD681 100V 4A 40W * * NPNBD682 100V 4A 40W * * PNPBD941F 120V 3A 19W * * NPNBF BF324 30V 0.26A 0.25W * * PNPBF458 250V 0.1A 10W * * NPNBS BS170 60V 0.3A 0.63W * * NMOS场效应BU(*) BU108 1500V 5A 12.5W * * NPNBU208A 1500V 5A 12.5W * * NPNBU208D 1500V 5A 12.5W * * NPNBU209A 1700V 5A 12.5W * * NPNBU2506 1500V 7A 50W * * NPNBU2508 700V 8A 125W * * NPNBU2520 800V 10A 150W * * NPNBU2522 1500V 11A 150W * * NPNBU2525 1500V 12A 150W * * NPNBU2527 1500V 15A 150W * * NPNBU2532 1500V 15A 150W * * NPNBU308 1500V 5A 12.5W * * NPNBU323 450V 10A 125W * * NPN(达林顿)BU406 400V 7A 60W * * NPNBU500 1500V 6A 75W * * NPNBU508A 1500V 7.5A 75W * * NPNBU508A 1500V 8A 125W * * NPNBU806 400V 8A 60W * * NPNBU932R 500V 15A 150W * * NPNBUH515 1500V 10A 80W * * NPNBUS13A 1000V 15A 175W * * NPNBUS14A 1000V 30A 250W * * NPNBUT11 1500V 5A 80W * * NPNBUT11A 1000V 5A 100W * * NPNBUT12A 450V 10A 125W * * NPNBUV26 90V 14A 65W * * NPNBUV28A 225V 10A 65W * * NPNBUV48A 450V 15A 150W * * NPNBUW13A 1000V 15A 150W * * NPNBUX84 800V 2A 40W * * NPNBUX98A 400V 30A 210W * * NPNBUY71 2200V 2A 40W * * NPNBUZ11A 50V 25A 75W * * NMOS场效应BUZ20 100V 12A 75W * * NMOS场效应DTC DTC114ES 50V 0.1A 0.25W * * NPN DTC124ES 50V 0.1A 0.25W * * PNPIRF IRF130 100V 14A 79W * * NMOS场效应IRF230 200V 9A 79W * * NMOS场效应IRF440 500V 8A 125W * * NMOS场效应IRF530 100V 14A 79W * * NMOS场效应IRF540 100V 28A 150W * * NMOS场效应IRF541 80V 28A 150W * * NMOS场效应IRF610 200V 3.3A 43W * * NMOS场效应IRF630 200V 9A 75W * * NMOS场效应IRF640 200V 18A 125W * * NMOS场效应IRF720 400V 3.3A 50W * * NMOS场效应IRF730 400V 5.5A 75W * * NMOS场效应IRF740 400V 10A 125W * * NMOS场效应IRF830 500V 4.5A 75W * * NMOS场效应IRF840 500V 8A 125W * * NMOS场效应IRF9530 100V 12A 75W * * PMOS场效应IRF9531 60V 12A 75W * * PMOS场效应IRF9541 60V 19A 125W * * PMOS场效应IRF9610 200V 1A 20W * * PMOS场效应IRF9630 200V 6.5A 75W * * PMOS场效应IRFBC20 600V 2.5A 50W * * NMOS场效应IRFBC30 600V 3.6A 74W * * NMOS场效应IRFBC40 600V 6.2A 125W * * NMOS场效应IRFBE30 800V 2.8A 75W * * NMOS场效应IRFD113 60V 0.8A 1W * * NMOS场效应IRFD120 100V 1.3A 1W * * NMOS场效应IRFD123 80V 1.1A 1W * * NMOS场效应IRFD9120 100V 1A 1W * * NMOS场效应IRFI730 400V 4A 32W * * NMOS场效应IRFI744 400V 4A 32W * * NMOS场效应IRFP054 60V 65A 180W * * NMOS场效应IRFP140 100V 30A 150W * * NMOS场效应IRFP150 100V 40A 180W * * NMOS场效应IRFP240 200V 19A 150W * * NMOS场效应IRFP250 200V 33A 180W * * NMOS场效应IRFP340 400V 10A 150W * * NMOS场效应IRFP350 400V 16A 180W * * NMOS场效应IRFP353 350V 14A 180W * * NMOS场效应IRFP440 500V 8A 150W * * NMOS场效应IRFP450 500V 14A 180W * * NMOS场效应IRFP460 500V 20A 250W * * NMOS场效应IRFP9140 100V 19A 150W * * PMOS场效应IRFP9240 200V 12A 150W * * PMOS场效应IRFPF40 900V 4.7A 150W * * NMOS场效应IRFPG42 1000V 4A 150W * * NMOS场效应IRFS9630 200V 6.5A 75W * * PMOS场效应IRFU020 50V 15A 42W * * NMOS场效应MJ(E) MJ10012 400V 10A 175W * * NPN(达林顿) MJ10015 400V 50A 200W * * NPNMJ10016 500V 50A 200W * * NPNMJ10025 850V 20A 250W * * NPNMJ11032 120V 50A 300W * * NPNMJ11033 120V 50A 300W * * NPNMJ13333 400V 20A 175W * * NPNMJ15024 400V 16A 250W * * NPNMJ15025 400V 16A 250W * * PNPMJ2955 60V 15A 115W * * PNPMJ3055 60V 15A 115W * * NPNMJ4502 90V 30A 200W * * PNPMJE13003 400V 1.5A 14W * * NPNMJE13005 400V 4A 60W * * NPNMJE13007 1500V 2.5A 60W * * NPNMJE2955T 60V 10A 75W * * NPNMJE340 300V 0.5A 20W * * NPNMJE350 300V 0.5A 20W * * NPNMN MN650 1500V 6A 80W * * NPNRN RN1204 50V 0.1A 0.3W * * NPNTIP TIP102 100V 8A 2W * * NPNTIP122 100V 8A 65W * * NPNTIP127 100V 8A 65W * * PNPTIP142 100V 10A 125W * * NPNTIP147 100V 10A 125W * * PNPTIP31C 100V 3A 40W * * NPNTIP32C 100V 3A 40W * * PNPTIP35C 100V 25A 125W * * NPNTIP36C 100V 25A 125W * * PNPTIP41C 100V 6A 65W * * NPNTIP42C 100V 6A 65W * * PNPUN UN4111 50V 0.1A 0.25W * * PNPUN4211 50V 0.1A 0.25W * * NPNUN4212 50V 0.1A 0.25W * * NPNUN4213 50V 0.1A 0.25W * * NPN(注:文件素材和资料部分来自网络,供参考。
常用场效应管和晶体管参数大全用户评论(1)关键字:晶体管参数(6)场效应管(6)常用场效应管和晶体管参数大全IRFU020 50V 15A 42W * * NMOS场效应IRFPG42 1000V 4A 150W * * NMOS场效应IRFPF40 900V 4.7A 150W * * NMOS场效应IRFP9240 200V 12A 150W * * PMOS场效应IRFP9140 100V 19A 150W * * PMOS场效应IRFP460 500V 20A 250W * * NMOS场效应IRFP450 500V 14A 180W * * NMOS场效应IRFP440 500V 8A 150W * * NMOS场效应IRFP353 350V 14A 180W * * NMOS场效应IRFP350 400V 16A 180W * * NMOS场效应IRFP340 400V 10A 150W * * NMOS场效应IRFP250 200V 33A 180W * * NMOS场效应IRFP240 200V 19A 150W * * NMOS场效应IRFP150 100V 40A 180W * * NMOS场效应IRFP140 100V 30A 150W * * NMOS场效应IRFP054 60V 65A 180W * * NMOS场效应IRFI744 400V 4A 32W * * NMOS场效应IRFI730 400V 4A 32W * * NMOS场效应IRFD123 80V 1.1A 1W * * NMOS场效应IRFD120 100V 1.3A 1W * * NMOS场效应IRFD113 60V 0.8A 1W * * NMOS场效应IRFBE30 800V 2.8A 75W * * NMOS场效应IRFBC40 600V 6.2A 125W * * NMOS场效应IRFBC30 600V 3.6A 74W * * NMOS场效应IRFBC20 600V 2.5A 50W * * NMOS场效应IRFS9630 200V 6.5A 75W * * PMOS场效应IRF9630 200V 6.5A 75W * * PMOS场效应IRF9610 200V 1A 20W * * PMOS场效应IRF9541 60V 19A 125W * * PMOS场效应IRF9531 60V 12A 75W * * PMOS场效应IRF9530 100V 12A 75W * * PMOS场效应IRF840 500V 8A 125W * * NMOS场效应IRF830 500V 4.5A 75W * * NMOS场效应IRF740 400V 10A 125W * * NMOS场效应IRF730 400V 5.5A 75W * * NMOS场效应IRF720 400V 3.3A 50W * * NMOS场效应IRF640 200V 18A 125W * * NMOS场效应IRF630 200V 9A 75W * * NMOS场效应IRF610 200V 3.3A 43W * * NMOS场效应IRF540 100V 28A 150W * * NMOS场效应IRF530 100V 14A 79W * * NMOS场效应IRF440 500V 8A 125W * * NMOS场效应IRF230 200V 9A 79W * * NMOS场效应IRF130 100V 14A 79W * * NMOS场效应BUZ20 100V 12A 75W * * NMOS场效应BUZ11A 50V 25A 75W * * NMOS场效应BS170 60V 0.3A 0.63W * * NMOS场效应常用场效应管及晶体管参数(2)晶体管型号反压Vbe0 电流Icm 功率Pcm 放大系数特征频率管子类型2SC4582 600V 15A 75W * * NPN2SC4517 550V 3A 30W * * NPN2SC4429 1100V 8A 60W * * NPN2SC4297 500V 12A 75W * * NPN2SC4288 1400V 12A 200W * * NPN2SC4242 450V 7A 40W * * NPN2SC4231 800V 2A 30W * * NPN2SC4119 1500V 15A 250W * * NPN2SC4111 1500V 10A 250W * * NPN2SC4106 500V 7A 50W * 20MHZ NPN2SC4059 600V 15A 130W * * NPN2SC4038 50V 0.1A 0.3W * 180MHZ NPN 2SC4024 100V 10A 35W * * NPN2SC3998 1500V 25A 250W * * NPN2SC3997 1500V 15A 250W * * NPN2SC3987 50V 3A 20W 1000 * NPN(达林顿) 2SC3953 120V 0.2A 1.3W * 400MHZ NPN 2SC3907 180V 12A 130W * 30MHZ NPN 2SC3893 1400V 8A 50W * 8MHZ NPN2SC3886 1400V 8A 50W * 8MHZ NPN2SC3873 500V 12A 75W * 30MHZ NPN2SC3866 900V 3A 40W * * NPN2SC3858 200V 17A 200W * 20MHZ NPN 2SC3807 30V 2A 1.2W * 260MHZ NPN2SC3783 900V 5A 100W * * NPN2SC3720 1200V 10A 200W * * NPN2SC3680 900V 7A 120W * * NPN2SC3679 900V 5A 100W * * NPN2SC3595 30V 0.5A 1.2W 90 * NPN2SC3527 500V 15A 100W 13 * NPN2SC3505 900V 6A 80W 12 * NPN2SC3460 1100V 6A 100W 12 * NPN2SC3457 1100V 3A 50W 12 * NPN2SC3358 20V 0.15A * * 7000MHZ NPN2SC3355 20V 0.15A * * 6500MHZ NPN2SC3320 500V 15A 80W * * NPN2SC3310 500V 5A 40W 20 * NPN2SC3300 100V 15A 100W * * NPN2SC1855 20V 0.02A 0.25W * 550MHZ NPN2SC1507 300V 0.2A 15W * * NPN常用场效应管及晶体管参数(3)--------------------------------------------------------------------------------晶体管型号反压Vbe0 电流Icm 功率Pcm 放大系数特征频率管子类型2SC1494 36V 6A 40W * 175MHZ NPN2SC1222 60V 0.1A 0.25W * 100MHZ NPN2SC1162 35V 1.5A 10W * * NPN2SC1008 80V 0.7A 0.8W * 50MHZ NPN2SC900 30V 0.03A 0.25W * 100MHZ NPN2SC828 45V 0.05A 0.25W * * NPN2SC815 60V 0.2A 0.25W * * NPN2SC380 35V 0.03A 0.25W * * NPN2SC106 60V 1.5A 15W * * NPN2SB1494 120V 25A 120W * * PNP(达林顿)2SB1429 180V 15A 150W * * PNP2SB1400 120V 6A 25W 1000-20000 * PNP(达林顿)2SB1375 60V 3A 2W * * PNP2SB1335 80V 4A 30W * * PNP2SB1317 180V 15A 150W * * PNP2SB1316 100V 2A 10W 15000 * PNP(达林顿)2SB1243 40V 3A 1W * 70MHZ PNP2SB1240 40V 2A 1W * 100MHZ PNP2SB1238 80V 0.7A 1W * 100MHZ PNP2SB1185 60V 3A 25W * 75MHZ PNP2SB1079 100V 20A 100W 5000 * PNP(达林顿)2SB1020 100V 7A 40W 6000 * PNP(达林顿)2SB834 60V 3A 30W * * PNP2SB817 160V 12A 100W * * PNP2SB772 40V 3A 10W * * PNP2SB744 70V 3A 10W * * PNP2SB734 60V 1A 1W * * PNP2SB688 120V 8A 80W * * PNP2SB675 60V 7A 40W * * PNP(达林顿)2SB669 70V 4A 40W * * PNP(达林顿)2SB649 180V 1.5A 1W * * PNP2SB647 120V 1A 0.9W * 140MHZ PNP2SB449 50V 3.5A 22W * * PNP2SA1943 230V 15A 150W * * PNP2SA1785 400V 1A 1W * 140MHZ PNP2SA1668 200V 2A 25W * 20MHZ PNP2SA1516 180V 12A 130W * 25MHZ PNP2SA1494 200V 17A 200W * 20MHZ PNP2SA1444 100V 1.5A 2W * 80MHZ PNP2SA1358 120V 1A 10W * 120MHZ PNP2SA1302 200V 15A 150W * * PNP2SA1301 200V 10A 100W * * PNP2SA1295 230V 17A 200W * * PNP2SA1265 140V 10A 30W * * PNP2SA1216 180V 17A 200W * * PNP--------------------------------------------------------------------------------常用场效应管及晶体管参数(4)--------------------------------------------------------------------------------晶体管型号反压Vbe0 电流Icm 功率Pcm 放大系数特征频率管子类型2SA1162 50V 0.15A 0.15W * * PNP2SA1123 150V 0.05A 0.75W * * PNP2SA1020 50V 2A 0.9W * * PNP2SA1009 350V 2A 15W * * PNP2N6678 650V 15A 175W * * NPN2N5685 60V 50A 300W * * NPN2N6277 180V 50A 300W * * NPN2N5551 160V 0.6A 0.6W * 100MHZ NPN2N5401 160V 0.6A 0.6W * 100MHZ PNP2N3773 160V 16A 150W * * NPN2N3440 450V 1A 1W * * NPN2N3055 100V 15A 115W * * NPN2N2907 60V 0.6A 0.4W 200 * NPN2N2369 40V 0.5A 0.3W * 800MHZ NPN2N2222 60V 0.8A 0.5W 45 * NPN9018 30V 0.05A 0.4W * 1G NPN9015 50V 0.1A 0.4W * 150MHZ PNP9014 50V 0.1A 0.4W * 150MHZ NPN9013 50V 0.5A 0.6W * * NPN9012 50V 0.5A 0.6W * * PNP9011 50V 0.03A 0.4W * 150MHZ NPN TIP147 100V 10A 125W * * PNPTIP142 100V 10A 125W * * NPNTIP127 100V 8A 65W * * PNPTIP122 100V 8A 65W * * NPNTIP102 100V 8A 2W * * NPNTIP42C 100V 6A 65W * * PNPTIP41C 100V 6A 65W * * NPNTIP36C 100V 25A 125W * * PNPTIP35C 100V 25A 125W * * NPNTIP32C 100V 3A 40W * * PNPTIP31C 100V 3A 40W * * NPNMJE13007 1500V 2.5A 60W * * NPN MJE13005 400V 4A 60W * * NPN MJE13003 400V 1.5A 14W * * NPN MJE2955T 60V 10A 75W * * NPN MJE350 300V 0.5A 20W * * NPN MJE340 300V 0.5A 20W * * NPNMJ15025 400V 16A 250W * * PNP MJ15024 400V 16A 250W * * NPN MJ13333 400V 20A 175W * * NPNMJ11033 120V 50A 300W * * NPNMJ11032 120V 50A 300W * * NPNMJ10025 850V 20A 250W * * NPNMJ10016 500V 50A 200W * * NPN--------------------------------------------------------------------------------常用场效应管及晶体管参数(5)--------------------------------------------------------------------------------晶体管型号反压Vbe0 电流Icm 功率Pcm 放大系数特征频率管子类型BUS13A 1000V 15A 175W * * NPNBUH515 1500V 10A 80W * * NPNBU2532 1500V 15A 150W * * NPNBU2527 1500V 15A 150W * * NPNBU2525 1500V 12A 150W * * NPNBU2522 1500V 11A 150W * * NPNBU2520 800V 10A 150W * * NPNBU2508 700V 8A 125W * * NPNBU2506 1500V 7A 50W * * NPNBU932R 500V 15A 150W * * NPNBU806 400V 8A 60W * * NPNBU406 400V 7A 60W * * NPNBU323 450V 10A 125W * * NPN(达林顿) BF458 250V 0.1A 10W * * NPNBD682 100V 4A 40W * * PNPMJ10015 400V 50A 200W * * NPNMJ10012 400V 10A 175W * * NPN(达林顿) MJ4502 90V 30A 200W * * PNPMJ3055 60V 15A 115W * * NPNMJ2955 60V 15A 115W * * PNPMN650 1500V 6A 80W * * NPNBUX98A 400V 30A 210W * * NPNBUX84 800V 2A 40W * * NPNBUW13A 1000V 15A 150W * * NPNBUV48A 450V 15A 150W * * NPNBUV28A 225V 10A 65W * * NPNBUV26 90V 14A 65W * * NPNBUT12A 450V 10A 125W * * NPNBUT11A 1000V 5A 100W * * NPNBUS14A 1000V 30A 250W * * NPNBD681 100V 4A 40W * * NPNBD244 45V 6A 65W * * PNPBD243 45V 6A 65W * * NPNBD238 100V 2A 25W * * PNPBD237 100V 2A 25W * * NPNBD138 60V 1.5A 12.5W * * PNPBD137 60V 1.5A 12.5W * * NPNBD136 45V 1.5A 12.5W * * PNPBD135 45V 1.5A 12.5W * * NPNBC547 50V 0.2A 0.5W * 300MHZ NPNBC546 80V 0.2A 0.5W * * NPNBC338 50V 0.8A 0.6W * * NPNBC337 50V 0.8A 0.6W * * NPNBC327 50V 0.8 0.6W * * PNPBC307 50V 0.2AA 0.3W * * PNP--------------------------------------------------------------------------------常用场效应管及晶体管参数(6)--------------------------------------------------------------------------------晶体管型号反压Vbe0 电流Icm 功率Pcm 放大系数特征频率管子类型2SDK55 400V 4A 60W * * NPN2SD2445 1500V 12.5A 120W * * NPN2SD2388 90V 3A 1.2W * * NPN(达林顿)2SD2335 1500V 7A 100W * * NPN2SD2334 1500V 5A 80W * * NPN2SD2156 120V 25A 125W 2000-20000 * NPN(达林顿) 2SD2155 180V 15A 150W * * NPN2SD2036 60V 1A 1.2W * * NPN2SD2012 60V 3A 2W * * NPN2SD2008 80V 1A 1.5W * * NPN2SD1997 40V 3A 1.5W * 100MHZ NPN2SD1994 60V 1A 1W * * NPN2SD1993 50V 0.1A 0.4W * * NPN2SD1980 100V 2A 10W 1000-10000 * NPN(达林顿)2SD1978 120V 1.5A 1W 30000 * NPN(达林顿)2SD1975 180V 15A 150W * * NPN2SD1930 100V 2A 1.2W 1000 * NPN(达林顿)2SD1847 50V 1A 1W * * NPN(低噪)2SD1762 60V 3A 25W * 90MHZ NPN2SD1718 180V 15A 3.2W * 20MHZ NPN2SD1640 120V 2A 1.2W 4000-40000 * NPN(达林顿)2SD1590 150V 8A 25W 15000 * NPN(达林顿)2SD1559 100V 20A 20W 5000 * NPN(达林顿)2SD1415 80V 7A 40W 6000 * NPN(达林顿)2SD1416 80V 7A 40W 6000 * NPN(达林顿)2SD1302 25V 0.5A 0.5W * 200MHZ NPN2SD1273 80V 3A 40W * 50MHZ NPN2SD1163A 350V 7A 40W * 60MHZ NPN2SD1047 160V 12A 100W * * NPN2SD1037 150V 30A 180W * * NPN2SD1025 200V 8A 50W * * NPN(达林顿)2SD789 100V 1A 0.9W * * NPN2SD774 100V 1A 1W * * NPN2SD669 180V 1.5A 1W * 140MHZ NPN2SD667 120V 1A 0.9W * 140MHZ NPN( 达林顿) 2SD560 150V 5A 30W * * NPN( 达林顿)2SD547 600V 50A 400W * * NPN2SD438 500V 1A 0.75W * 100MHZ NPN2SD415 120V 0.8A 5W * * NPN2SD385 100V 7A 30W * * NPN( 达林顿)2SD325 50V 3A 25W * * NPN2SD40C 40V 0.5A 40W * * NPN( 达林顿)2SC5252 1500V 15A 100W * * NPN2SC5250 1000V 7A 100W * * NPN--------------------------------------------------------------------------------常用场效应管及晶体管参数(7)--------------------------------------------------------------------------------晶体管型号反压Vbe0 电流Icm 功率Pcm 放大系数特征频率管子类型2SC5244 1500V 15A 200W * * NPN2SC5243 1500V 15A 200W * * NPN2SC5207 1500V 10A 50W * * NPN2sc5200 230V 15A 150W * * NPN2sc5132 1500V 16A 50W * * NPN2sc5088 1500V 10A 50W * * NPN2sc5086 1500V 10A 50W * * NPN2sc5068 1500V 10A 50W * * NPN2sc5020 1000V 7A 100W * * NPN2sc4953 500V 2A 25W * * NPN2sc4941 1500V 6A 65W * * NPN2sc4927 1500V 8A 50W * * NPN2sc4913 2000V 0.2A 35W * * NPN2sc4769 1500V 7A 60W * * NPN( 带阻尼) 2sc4747 1500V 10A 50W * * NPN2sc4745 1500V 6A 50W * * NPN2sc4742 1500V 6A 50W * * NPN( 带阻尼) 2sc4706 900V 14A 130W * 6MH NPN2SD1887 1500V 10A 70W * * NPN2SD1886 1500V 8A 70W * * NPN2SD1885 1500V 6A 60W * * NPN2SD1884 1500V 5A 60W * * NPN2SD1883 1500V 4A 50W * * NPN2SD1882 1500V 3A 50W * * NPN2SD1881 1500V 10A 70W * * NPN2SD1880 1500V 8A 70W * * NPN2SD1879 1500V 6A 60W * * NPN2SD1878 1500V 5A 60W * * NPN2SD1876 1500V 3A 50W * * NPN2SD1739 1500V 6A 100W * * NPN2SD1738 1500V 5A 100W * * NPN2SD1737 1500V 3.5A 60W * * NPN2SD1732 1500V 7A 120W * * NPN2SD1730 1500V 5A 100W * * NPN2SD1729 1500V 3.5A 60W * * NPN2SD1711 1500V 7A 100W * * NPN2SD1710 1500V 6A 100W * * NPN2SD1656 1500V 6A 60W * * NPN2SD1655 1500V 5A 60W * * NPN2SD1654 1500V 3.5A 50W * * NPN2SD1653 1500V 2.5A 50W * * NPN2SD1652 1500V 6A 60W * * NPN2SD1651 1500V 5A 60W * * NPN--------------------------------------------------------------------------------常用场效应管及晶体管参数(8)--------------------------------------------------------------------------------晶体管型号反压Vbe0 电流Icm 功率Pcm 放大系数特征频率管子类型2SD1650 1500V 3.5A 50W * * NPN2SD1635 1500V 5A 100W * * NPN2SD1632 1500V 4A 70W * * NPN2SD1554 1500V 3.5A 40W * * NPN 2SD1548 1500V 10A 50W * * NPN 2SD1547 1500V 7A 50W * * NPN 2SD1546 1500V 6A 50W * * NPN 2SD1545 1500V 5A 50W * * NPN 2SD1456 1500V 6A 50W * * NPN 2SD1455 1500V 5A 50W * * NPN 2SD1454 1700V 4A 50W * * NPN 2SD1434 1700V 5A 80W * * NPN 2SD1431 1500V 5A 80W * * NPN 2SD1426 1500V 3.5A 80W * * NPN 2SD1402 1500V 5A 120W * * NPN 2SD1399 1500V 6A 60W * * NPN 2SD1344 1500V 6A 50W * * NPN 2SD1343 1500V 6A 50W * * NPN 2SD1342 1500V 5A 50W * * NPN 2SD1941 1500V 6A 50W * * NPN 2SD1911 1500V 5A 50W * * NPN 2SD1341 1500V 5A 50W * * NPN 2SD1219 1500V 3A 65W * * NPN 2SD1290 1500V 3A 50W * * NPN2SD1174 1500V 5A 85W * * NPN2SD1173 1500V 5A 70W * * NPN2SD1172 1500V 5A 65W * * NPN2SD1143 1500V 5A 65W * * NPN2SD1142 1500V 3.5A 50W * * NPN2SD1016 1500V 7A 50W * * NPN2SD995 2500V 3A 50W * * NPN2SD994 1500V 8A 50W * * NPN2SD957A 1500V 6A 50W * * NPN2SD954 1500V 5A 95W * * NPN2SD952 1500V 3A 70W * * NPN2SD904 1500V 7A 60W * * NPN2SD903 1500V 7A 50W * * NPN2SD871 1500V 6A 50W * * NPN2SD870 1500V 5A 50W * * NPN2SD869 1500V 3.5A 50W * * NPN2SD838 2500V 3A 50W * * NPN2SD822 1500V 7A 50W * * NPN2SD821 1500V 6A 50W * * NPN--------------------------------------------------------------------------------常用场效应管及晶体管参数(9)--------------------------------------------------------------------------------晶体管型号反压Vbe0 电流Icm 功率Pcm 放大系数特征频率管子类型2SD348 1500V 7A 50W * * NPN2SC4303A 1500V 6A 80W * * NPN2SC4292 1500V 6A 100W * * NPN2SC4291 1500V 5A 100W * * NPN2SC4199A 1500V 10A 100W * * NPN2SC3883 1500V 5A 50W * * NPN2SC3729 1500V 5A 50W * * NPN2SC3688 1500V 10A 150W * * NPN2SC3687 1500V 8A 150W * * NPN2SC3686 1500V 7A 120W * * NPN2SC3685 1500V 6A 120W * * NPN2SC3486 1500V 6A 120W * * NPN2SC3485 1500V 5A 120W * * NPN2SC3484 1500V 3.5A 80W * * NPN2SC3482 1500V 6A 120W * * NPN2SC3480 1500V 3.5A 80W * * NPN 2SC2125 2200V 5A 50W * * NPN2SC2027 1500V 5A 50W * * NPN BUY71 2200V 2A 40W * * NPNBU508A 1500V 7.5A 75W * * NPN BU500 1500V 6A 75W * * NPNBU308 1500V 5A 12.5W * * NPNBU209A 1700V 5A 12.5W * * NPN BU208D 1500V 5A 12.5W * * NPN BU208A 1500V 5A 12.5W * * NPN BU108 1500V 5A 12.5W * * NPN2SD1585 60V 3A 15W * * NPN2SD773 20V 2A 1W * * NPN2SC2785 60V 0.1A 0.3W * * NPN2SC403 50V 0.1A 0.1W * * NPN2SD1246 30V 2A 0.75W * * NPN2SC2570A 25V 0.07A 0.6W * * NPN 2SC1047 30V 0.015A 0.15W * * NPN 2SC3114 60V 0.15A 0.2W * * NPN2SD400 25V 1A 0.75W * * NPN2SC1923 40V 0.02A 0.1W * * NPN2SC2568 300V 0.2A 10W * * NPN2SC2216 50V 0.05A 0.3W * * NPN2SC1674 30V 0.02A 0.1W * * NPN2SC536F 40V 0.1A 0.25W * * NPN2SA608F 30V 0.1A 0.25W * * PNP2SD1271A 130V 7A 40W * * NPN2SD1133 70V 4A 40W * * NPN--------------------------------------------------------------------------------常用场效应管及晶体管参数(10)--------------------------------------------------------------------------------晶体管型号反压Vbe0 电流Icm 功率Pcm 放大系数特征频率管子类型2SC1890A 120V 0.05A 0.3W * * NPN2SC1360 50V 0.05A 0.5W * * NPN2SA1304 150V 1.5A 25W * * PNP2SD1274A 150V 5A 40W * * NPN2SC2371 300V 0.1A 10W * * NPN2SD1378 80V 0.7A 10W * * NPN2SD553Y 70V 7A 40W * * NPNRN1204 50V 0.1A 0.3W * * NPN2SD1405Y 50V 3A 30W * * NPN2SC2878 50V 0.3A 0.4W * * NPN2SC1959 30V 0.4A 0.5W * * NPN2SC1569 300V 0.15A 1.5W * * NPN 2SC2383Y 160V 1A 0.9W * * NPN 2SA1299 50V 0.5A 0.3W * * PNP2SB564A 45V 0.05 0.25W * * PNP 2SD1877 800V 4A 50W * * NPN BU508A 1500V 8A 125W * * NPN BUT11 1500V 5A 80W * * NPN2SD3505 900V 6A 50W * * NPN2SD906 1400V 8A 50W * * NPN2SD905 1400V 8A 50W * * NPN2SC1942 1500V 3A 100W * * NPN 2SD1397 1500V 3.5A 50W * * NPN 2SD1396 1500V 2.5A 50W * * NPN 2SC3153 900V 6A 100W * * NPN2SD1403 1500V 6A 50W * * NPN2SD1410 1500V 3.5A 80W * * NPN2SD2057 1500V 5A 100W * * NPN2SD2027 1500V 5A 50W * * NPN2SD953 1500V 7A 95W * * NPN2SD951 1500V 3A 65W * * NPN2SD950 1500V 3.5A 80W * * NPN2SD852 1500V 5A 70W * * NPN2SD850 1500V 3A 25W * * NPN2SD900B 1500V 5A 50W * * NPN2SD899A 1500V 4A 50W * * NPN2SD898B 1500V 3A 50W * * NPN2SD871 1500V 6A 50W * * NPN2SD870 1500V 5A 50W * * NPN2SD869 1500V 3.5A 50W * * NPN2SD1433 1500V 7A 80W * * NPN2SD1432 1500V 6A 80W * * NPN2SD1431 1500V 5A 80W * * NPN2SD820 1500V 5A 50W * * NPN常用场效应管及晶体管参数(11)--------------------------------------------------------------------------------晶体管型号反压Vbe0 电流Icm 功率Pcm 放大系数特征频率管子类型2SD819 1500V 3.5A 50W * * NPN2SD1497 1500V 6A 50W * * NPN2SD1398 1500V 5A 50W * * NPN2SD1427 1500V 5A 80W * * NPN2SD1428 1500V 6A 80W * * NPN2SD1426 1500V 3.5A 80W * * NPN2SC2068 70V 0.2A 0.62W * * NPN2SC1627Y 80V 0.3A 0.6W * * NPN2SC495Y 70V 0.8A 5W * * NPN2SC388A 20V 0.02A 0.2W * * NPN2SB686 100V 6A 60W * * PNP2SA940 150V 1.5A 1.5W * * PNP2SC2120Y 30V 0.8A 0.6W * * NPN2SD1555 1500V 5A 50W * * NPN2SD8806 60V 3A 30W * * NPN2SC2456 300V 0.1A 10W * * NPN2SA1300 20V 2A 0.7W * * PNP2SC304CD 60V 0.5A 0.8W * * NPN2SC2238 160V 1.5A 25W * * NPN2SC3328 80V 2A 0.9W * * NPN2SC2190 450V 5A 100W * * NPN2SA968Y 160V 1.5A 25W * * PNP2SC3402 50V 0.1A 0.3W * * NPN2SC2168 200V 2A 30W * * NPN2SC3198G 60V 0.15A 0.4W * * NPN 2SC2655Y 60V 2A 0.9W * * NPN2SC1827 80V 4A 30W * * NPN2SA1266Y 50V 0.15A 0.4W * * PNP 2SD880 60V 3A 30W * * NPN2SC1906 30V 0.05A 0.3W * * NPN 2SC945 50V 0.1A 0.25W * * NPN2SC3279 30V 2A 0.75W * * NPN2SC2229 200V 0.05A 0.8W * * NPN 2SC2236 30V 1.5A 0.9W * * NPN2SC383 20V 0.05A 0.2W * * NPN2SA950Y 150V 0.8A 0.6W * * PNP BC548B 30V 0.2A 0.5W * * NPN2SC3399 50V 0.1A 0.3W * * NPN2SD1455 1500V 5A 50W * * NPN2SC1983R 80V 3A 30W * * NPN2SC227 300V 0.1A 0.75W * * NPN2SA778AK 180V 0.05A 0.2W * * PNPDTC114ES 50V 0.1A 0.25W * * NPN2SC3413C 40V 0.1A 0.5W * * NPN常用场效应管及晶体管参数(12)---------------------------------------晶体管型号反压Vbe0 电流Icm 功率Pcm 放大系数特征频率管子类型2SC2611 300V 0.1A 1.25W * * NPN2SC1514 300V 0.1A 1.25W * * NPNDTC124ES 50V 0.1A 0.25W * * PNP2SD1078 50V 2A 20W * * NPN2SA1390 35V 0.5A 0.3W * * PNP2SD788 20V 2A 0.9W * * NPN2SD882 40V 3A 10W * * NPN2SD787 20V 2A 0.9W * * NPN2SD401AK 200V 2A 25W * * NPN2SC2610 300V 0.1A 0.8W * * NPN2SC2271N 300V 0.1A 0.75W * * NPN2SC1740 50V 0.3A 0.3W * * NPN2SC1214C 50V 0.5A 0.6W * * NPN2SA673 50V 0.5A 0.4W * * PNP2SD1556 1500V 6A 50W * * NPN2SD1499 100V 5A 40W * * NPN2SD1264A 200V 2A 30W * * NPN2SD1010 50V 0.05A 0.3W * * NPN2SD966 60V 5A 1W * * NPN2SD601AR 60V 0.1A 0.2W * * NPN2SC3265Y 30V 0.8A 0.2W * * NPN2SC3063 300V 0.1A 1.2W * * NPN2SC2594 40V 5A 10W * * NPN2SC1317-R 30V 0.5A 0.4W * * NPN2SB1013A 30V 0.5A 0.3W * * PNP2SD1226 60V 3A 35W * * NPN2SC2636Y 30V 0.05A 0.4W * * NPN2SB940 200V 2A 30W * * PNP2SA720-Q 50V 0.5A 0.4W * * PNP2SD1391 1500V 5A 80W * * NPN2SC2188 45V 0.05A 0.6W * * NPN2SK301-R * 0.14A 0.25W * * N沟场效应管2SD1266 60V 3A 35W * * NPN2SD1175 1500V 5A 100W * * NPN2SD973 30V 1A 1W * * NPN2SC2923 300V 0.2A 15W * * NPN2SC2653H 250V 0.2A 15W * * NPN2SC2377C 30V 0.15A 0.2W * * NPN2SC1685Q 30V 0.1A 0.25W * * NPN2SC1573A 250V 0.07A 0.6W * * NPN2SB642-R 60V 0.2A 0.4W * * PNP2SA1309A 25V 0.1A 0.3W * * PNP2SA1018 150V 0.07A 0.75W * * PNP2SA564A 25V 0.1A 0.25W * * PNP--------------------------------------------------------------------------------常用场效应管及晶体管参数(13)--------------------------------------------------------------------------------晶体管型号反压Vbe0 电流Icm 功率Pcm 放大系数特征频率管子类型2SK301-Q * 0.14A 0.25W * * N沟场效应管2SD1541 1500V 3A 50W * * NPN2SC1685 30V 0.1A 0.25W * * NPN2SC1573A 250V 0.07A 0.6W * * NPN 2SA1309A 25V 0.1A 0.3W * * PNP UN4213 50V 0.1A 0.25W * * NPN UN4211 50V 0.1A 0.25W * * NPN UN4212 50V 0.1A 0.25W * * NPN UN4111 50V 0.1A 0.25W * * PNP2SD1541 1500V 3A 50W * * NPN2SD965 40V 5A 0.75W * * NPN2SC2839 30V 0.1A 0.1W * * NPN2SC2258 250V 0.1A 1W * * NPN2SC1846 45V 1A 1.2W * * NPN2SC1573A 250V 0.07A 0.6W * * NPN 2SA1309A 25V 0.1A 0.3W * * PNP2SD1544 1500V 3.5A 40W * * NPN 2SD802 900V 6A 50W * * NPN2SC2717 35V 0.8A 7.5W * * NPN2SC2482 150V 0.1A 0.9W * * NPN2SC2073 150V 1.5A 25W * * NPN2SC1815Y 60V 0.15A 0.4W * * NPN 2SB774T 30V 0.01A 0.25W * * PNP 2SA1015R 50V 0.15A 0.4W * * PNP2SA904 90V 0.05A 0.2W * * PNP 2SA562T 30V 0.4A 0.3W * * PNP。
设计、制作常用二极管资料大全29RM3Z-RM3C 2.5A 200-1000V 0.97DO-201AD 30RM4Z-RM4C3A 200-1000V 0.97DO-201ADI F V RRM V F Trr A V V μs 11F1-1F71A 50-1000V 1.30.15-0.5R-12FR10-FR601A-6A 50-1000V 1.30.15-0.531N4933-1N49371A 50-600V 1.20.2DO-4141N4942-1N49481A 200-1000V 1.30.15-0.5DO-415BA157-BA1591A 400-1000V 1.30.15-0.25DO-416MR850-MR8583A 100-800V 1.30.2DO-201AD 7EU1-EU20.25A-1A100-1000V1.30.4DO-41820DF1-20DF102A 100-1000V 1.30.2DO-15930DF1-30DF103A 100-1000V 1.30.2DO-201AD10RU1-RU40.25A-3A 100-1000V 1.30.411ERA22-02~100.5A 200-1000V 1.30.4R-112ERA18-02~100.8A200-1000V1.30.4R-113ERB43-02~100.5A 200-1000V 1.30.4DO-4114ERB44-02~101A 200-1000V 1.30.4DO-1515ERC18-02~10 1.2A 200-1000V 1.30.4DO-1516ERD28-02~10 1.5A 200-1000V 1.30.4DO-201AD 17ERD29-02~10 2.5A 200-1000V 1.30.4DO-201AD 18ERD32-02~103A 200-1000V 1.30.4DO-201AD 19ERD09-13~153A1300-1500V1.50.6R-51SK1-02~30 1.5A 200-3000V 1.3-40.5-1DO-152SK2-02~301A 200-3000V 1.3-40.5-1DO-413SK3-02~302A 200-3000V 1.3-40.5-1DO-154SK4-02~300.5A 300-3000V 1.3-40.5-1DO-4152CG04-2CG300.2A 300-3000V 1.3-40.5-1DO-4112CN1-2CN1C 1A 200-1200V 1.32DO-4122CN2D-2CN2M 0.5A 200-1000V 1.32DO-4132CN3D-2CN3M 1A 200-1000V 1.36DO-4142CN4D-2CN4M 1.5A 200-1000V 1.30.8DO-1552CN5D-2CN5M 1.5A 200-1000V 11DO-1562CN6D-2CN6M1A200-1000V1.36DO-41(1)快恢复塑封整流二极管(2)SK、2CG系列快恢复整流二极管(3)快恢复塑封阻尼二极管2.快恢复塑封整流二极管序号型号外形72CN12D-2CN12M3A200-1000V 1.31DO-201AD8RH1Z-RH1C0.6A200-1000V 1.34DO-41 9TVR4J-TVR4N 1.2A600-1000V 1.220DO-151ERA34-100.1A1000V30.15R-12ERA32-02~101A200-1000V 1.30.1DO-413ERB32-02~101.2A200-1000V 1.30.1DO-154ERC30-02~101.5A200-1000V 1.30.1DO-155ERC32-02~103A200-1000V 1.30.1DO-201AD6EG01E-EG01C0.5A200-1000V20.1DO-41 7EG1E-EG1C1A200-1000V 1.80.1DO-41 8RG10Z-RG10C 1.2A200-1000V20.1DO-15 9RG2Z-RG2C 1.5A200-1000V 1.80.1DO-15 10RG4Z-RG4C3A200-1000V20.1D0-201ADI F V RRM V F TrrA V V ns1SF10-SF501-5A50-1000V0.95-1.7352SF80-SF1608-16A50-600V0.95-1.435TO-220 3EGP10-EGP501-5A50-200V 1.1354ERC38~04-ERC38~101A400-1000V 1.750DO-415RL2-RL2C2A400-1000V 1.750DO-15 6RL3-RL3C3A400-1000V 1.750DO-201AD71H1-1H81A50-1000V 1.1-1.750-75R-18HER10-HER601-6A50-1000V 1.1-1.750-759HER80-HER1608-6A50-1000V 1.1-1.750-75TO-22010UF10-UF601-6A50-1000V 1.1-1.750-7511EL1Z-EL1 1.5A200-350V 1.350DO-151MUR120-MUR11201A200-1200V0.95-1.535-50DO-412MUR420-MUR41204A200-1200V0.95-1.635-75DO-201AD3MUR820-MUR81208A200-1200V 1.3-2.135-75TO-220AC4MUR1020-MUR1012010A200-1200V 1.3-2.135-75TO-220AC5MUR1520-MUR1512015A200-1200V 1.3-2.135-75TO-220AC6MUR2020-MUR2012020A200-1200V 1.3-2.135-75TO-220AB7MUR3020-MUR3012030A200-1200V 1.3-2.135-75TO-247AD(2)MUR超快恢复整流二极管4.超快恢复塑封二极管序号型号外形(1)超快恢复塑封二极管3.超高频塑封二极管8MUR6020-MUR6012060A200-1200V 1.3-2.135-75TO-247AD1RHRP820-RHRP81208A200-1200V 2.1-3.235-70TO-220AC2RHRP1520-RHRP1512015A200-1200V 2.1-3.240-75TO-220AC3RHRP3020-RHRP3012030A200-1200V 2.1-3.245-75TO-220AC4RHRG3020-RHRG3012030A200-1200V 2.1-3.245-75TO-247AC5RHRG5020-RHRG5012050A200-1200V 2.1-3.250-100TO-247AC6RHRG6020-RHRG6012060A200-1200V 2.1-3.245-75TO-247AD1BYW29-100~2008A100-200V 1.125TO-220AC2BYV29-300~5009A300-500V 1.2560TO-220AC3BYQ28-100~20010A100-200V 1.120TO-220AB4BYT28-300~50010A300-500V 1.460TO-220AB5BYV79-100~20014A100-200V 1.330TO-220AC6BYT79-300~50014A300-500V 1.460TO-220AC7BYV32-100~20020A100-200V 1.125TO-220AB8BYV34-300~50020A300-500V 1.160TO-220AB9BYV42-100~20030A100-200V 1.128TO-220AB10BYV44-300~50030A300-500V 1.2560TO-220ABI F V RRM V FA V V11N5817-1N58191A20-40V0.45-0.6DO-4121N5820-1N58223A20-40V0.45-0.6DO-201AD3SRT12-SRT1001A20-100V0.55-0.85R-14SR10-SR501-5A20-100V0.55-0.855SB120-SB1B01A20-100V0.55-0.85DO-41 6SB220-SB2B02A20-100V0.55-0.85DO-15 7SB320-SB3B03A20-100V0.55-0.85DO-201AD 8SB520-SB5B05A20-100V0.55-0.85D0-201AD9ERA81-002~0091A20-90V0.55-0.9DO-4110ERB81-002~0092A20-90V0.55-0.9DO-15(1)肖特基塑封整流二极管(3)RHRP、RHRG超快恢复二极管(4)BYV29~79、BYT28~79超快恢复二极管5.肖特基整流二极管序号型号外形11ERC81-002~0093A20-90V0.55-0.9DO201AD12EK03-EK091A20-90V0.55-0.81DO-41 13EK13-EK19 1.5A20-90V0.55-0.81DO-15 14EK33-EK392A20-90V0.55-0.81DO-15 15EK43-EK493A20-90V0.55-0.81DO-201AD1MBR1020-MBR106010A20-60V0.57-0.8TO-220AC2MBR1620-MBR166016A20-60V0.57-0.8TO-220AC3MBR2020CT-2060CT20A20-60V0.57-0.8TO-220AB4MBR2520CT-2560CT25A20-60V0.57-0.8TO-220AB5MBR3020PT-3060PT30A20-60V0.57-0.8TO-247AD6MBR4020PT-4060PT40A20-60V0.57-0.8TO-247AD7MBR6020PT-6060PT60A20-60V0.57-0.8TO-247AD8PBYR735-7457A20-45V0.56-0.66TO-220AC9PBYR1020-106010A20-60V0.56-0.77TO-220AC10PBYR1635-166016A20-60V0.56-0.77TO-220AC11PBYR2020CT-2045CT20A20-45V0.56-0.65TO-220AB12PBYR3035PT-3060PT30A20-60V0.56-0.77TO-247ADI F V RRM V F TrrA V V ns1BYV26A-BYV26E1A200-1000V 1.50.03DO-204AP2BYV12-BYV16 1.5A100-1000V 1.50.3DO-204AP3BYV96A-BYV96E1.5A100-1000V 1.50.3DO-204AP4BYV27-50~2002A50-200V 1.10.025DO-204AP5BYV28-50~2003.5A50-200V 1.10.03G36BYT52A-BYT52M1A50-1000V 1.30.2DO-204AP7BYT54A-BYT54M1.25A50-1000V 1.50.1DO-204AP8BYT53A-BYT53M1.5A50-1000V 1.10.05DO-204AP9BYT56A-BYT56M3A200-1000V 1.40.1G310BYM26A-BYM26M2.3A200-1000V 1.50.03G3(1)BYV、BYT、BYM、BYW玻球快恢复二极管(2)MBR、PBYR系列大电流肖特基整流二极管6.玻球快恢复二极管、玻钝芯片塑封二极管序号型号外形11BYM36A-BYM36M 3A 200-1000V 1.10.15G312BYW32-BYW382A 200-1000V 1.10.2DO-204AP 13BYW52-BYW562A 200-1000V 1.14DO-204AP 14BYW72-BYW763A 200-600V 1.10.2G315BYW96A-BYW96E 3A 200-1000V 1.50.2G316BY2283A 1500V 1.520G317GP10-GP301-3A 50-1000V 1.118RGP01-10~RGP01-200.1A 1000-2000V 20.2-0.5DO-4119RGP05-10~RGP05-200.5A 1000-2000V 20.2-0.5DO-4120RGP10-RGP601-6A50-2000V1.30.15-0.51PD0112-PD01600.1A 1200-6000V 1.2-5DO-412PD0312-PD03600.3A 1200-6000V 1.2-5DO-153PD0512-PD05600.5A 1200-6000V 1.2-5DO-154PD112-PD1301A 1200-3000V 1.2-4DO-155PD1512-PD1530 1.5A 1200-3000V 1.2-4DO-156PD212-PD2202A 1200-2000V 1.2-2.5DO-201AD 7PD312-PD3203A 1200-2000V 1.2-2.5DO-201AD 8PD612-PD6206A1200-2000V1.2-2.5R-69TR0112-TR01600.1A 1200-6000V 1.5-80.5-0.8DO-4110TR0312-TR03600.3A 1200-6000V 1.5-80.5-0.8DO-1511TR0512-TR05600.5A 1200-6000V 1.5-80.5-0.8DO-1512TR112-TR1301A 1200-3000V 1.5-60.5-0.8DO-1513TR1512-TR1530 1.5A 1200-3000V 1.5-60.5-0.8DO-1514TR212-TR2202A 1200-2000V 1.5-2.70.5-0.8DO-201AD 15TR312-TR3203A 1200-2000V 1.5-2.70.5-0.7DO-201AD 16TR612-TR6206A 1200-2000V 1.5-2.70.5-0.8R-617PR01-PR10.1-1A 1200-3000V 1.5-40.1-0.5DO-1518RC20.3A 2000V 30.5DO-4119RU4D-RP3F1.5A-2A 1300-1500V1.50.3DO-201ADP ZM V Z W V 1稳BZX550.5W 2.4V-47V 21N5985B~1N6031B0.5W2.4V-200V8.稳压二极管序号名称型号(2)GP、RGP系列玻钝芯片塑封二极管7.PD、TR、PR系列高压塑封二极管3压1N4728~1N47641W 3.3V-100V 41N5911B~1N5956B 1.5W 2.7V-200V 5二2CW37-2.4~360.5W 2.4V-36V 62CW51-2CW680.25W 3V-28.5V 7极2CW101-2CW1211W 3V-37.5V 82DW50-2DW641W 41V-190V 9管2DW80-2DW1903W 41V-190V 102DW110-2DW15110W 4.3V-470V 112DW170-2DW20250W 4.3V-200V 温度补偿稳压二极管I C V RM Trr mA V ns 11N4148150100V 4DO-3521N4149-1N415415035-100V 2月4日DO-3531N4446-1N445415040-100V 1月4日DO-3541N91475100V 4DO-355BAV17-BAV2125025-250V 50DO-356BAW75-BAW7630035-75V 4DO-3572CK70-2CK7910-28020-60V 3月10日DO-3582CK80-2CK8510-30020-60V 5月10日DO-3591S1553-1S155510070-35V 3DO-35101S2471-1S2473130-11090-40V3DO-350.2W5.8V-6.6V9.高速开关二极管序号型号外形122DW230-2DW236。
常用场效应管及晶体管参数66681场效应管(Field-Effect Transistor,FET)和晶体管(Transistor)是现代电子学中最常用的两种电子元件。
它们广泛应用于电子设备中的放大、开关和数码电子电路等方面。
本文将对常用的场效应管和晶体管参数进行介绍。
1.场效应管的参数1.1耐压(VDSS):表示场效应管的最大耐受电压,单位为伏特(V)。
1.2额定电流(ID):表示场效应管的最大额定电流,单位为安培(A)。
1.3 漏极-源极导通电阻(RDS(on)): 表示在漏极-源极之间,当场效应管处于导通状态时的阻值,单位为欧姆(Ω)。
1.4 阈值电压(VGS(th)): 表示在栅极和源极之间,场效应管刚开始导通时所需的栅极-源极电压,单位为伏特(V)。
1.5 输入电容(Ciss): 表示场效应管的输入电容,单位为法拉(F)。
1.6 输出电容(Coss): 表示场效应管的输出电容,单位为法拉(F)。
1.7 开关时间(ton、toff): 表示场效应管从导通到截止以及从截止到导通的时间,单位为纳秒(ns)。
2.晶体管的参数2.1最大耐压(VCEO):表示晶体管的最大耐受电压,单位为伏特(V)。
2.2最大额定电流(IC):表示晶体管的最大额定电流,单位为安培(A)。
2.3 饱和压降(VCE(sat)): 表示晶体管在饱和区时,集电极和发射极之间的电压降,单位为伏特(V)。
2.4 开路电流放大倍数(hfe): 表示晶体管的直流电流放大倍数。
2.5 输入电阻(hie): 表示晶体管的输入电阻,单位为欧姆(Ω)。
2.6 输出电阻(hoe): 表示晶体管的输出电阻,单位为欧姆(Ω)。
2.7 动态电阻(rce、Rce): 表示晶体管在放大区时,集电极和发射极间的动态电阻,单位为欧姆(Ω)。
3.总结场效应管和晶体管是现代电子设备中非常重要的元件,具有各自独特的特性和参数。
在实际应用中,我们需要根据具体情况选择适合的场效应管或晶体管,并合理使用其参数进行设计和调整。
常用场效应管和晶体管参数大全-------------------------------------------------------------------------------- 常用场效应管及晶体管参数(1)-------------------------------------------------------------------------------- 常用场效应管和晶体管参数大全IRFU020 50V 15A 42W * * NMOS场效应IRFPG42 1000V 4A 150W * * NMOS场效应IRFPF40 900V 4.7A 150W * * NMOS场效应IRFP9240 200V 12A 150W * * PMOS场效应IRFP9140 100V 19A 150W * * PMOS场效应IRFP460 500V 20A 250W * * NMOS场效应IRFP450 500V 14A 180W * * NMOS场效应IRFP440 500V 8A 150W * * NMOS场效应IRFP353 350V 14A 180W * * NMOS场效应IRFP350 400V 16A 180W * * NMOS场效应IRFP340 400V 10A 150W * * NMOS场效应IRFP250 200V 33A 180W * * NMOS场效应IRFP240 200V 19A 150W * * NMOS场效应IRFP150 100V 40A 180W * * NMOS场效应IRFP140 100V 30A 150W * * NMOS场效应IRFP054 60V 65A 180W * * NMOS场效应IRFI744 400V 4A 32W * * NMOS场效应IRFI730 400V 4A 32W * * NMOS场效应IRFD9120 100V 1A 1W * * NMOS场效应IRFD123 80V 1.1A 1W * * NMOS场效应IRFD120 100V 1.3A 1W * * NMOS场效应IRFD113 60V 0.8A 1W * * NMOS场效应IRFBE30 800V 2.8A 75W * * NMOS场效应IRFBC40 600V 6.2A 125W * * NMOS场效应IRFBC30 600V 3.6A 74W * * NMOS场效应IRFBC20 600V 2.5A 50W * * NMOS场效应IRFS9630 200V 6.5A 75W * * PMOS场效应IRF9630 200V 6.5A 75W * * PMOS场效应IRF9610 200V 1A 20W * * PMOS场效应IRF9541 60V 19A 125W * * PMOS场效应IRF9531 60V 12A 75W * * PMOS场效应IRF9530 100V 12A 75W * * PMOS场效应IRF840 500V 8A 125W * * NMOS场效应IRF830 500V 4.5A 75W * * NMOS场效应IRF740 400V 10A 125W * * NMOS场效应IRF730 400V 5.5A 75W * * NMOS场效应IRF720 400V 3.3A 50W * * NMOS场效应IRF640 200V 18A 125W * * NMOS场效应IRF630 200V 9A 75W * * NMOS场效应IRF610 200V 3.3A 43W * * NMOS场效应IRF541 80V 28A 150W * * NMOS场效应IRF540 100V 28A 150W * * NMOS场效应IRF530 100V 14A 79W * * NMOS场效应IRF440 500V 8A 125W * * NMOS场效应IRF230 200V 9A 79W * * NMOS场效应IRF130 100V 14A 79W * * NMOS场效应BUZ20 100V 12A 75W * * NMOS场效应BUZ11A 50V 25A 75W * * NMOS场效应BS170 60V 0.3A 0.63W * * NMOS场效应4n60F 600V 4A 33W * * N-CHANNELSSP4N60 4A 600VSSP4N90 4A 900V 140WSSP5N90 5A 900V 150W6N60 6A 600V 125W7N90 7A 900V 150W-------------------------------------------------------------------------------- 常用场效应管及晶体管参数(2)-------------------------------------------------------------------------------- 晶体管型号反压Vbe0 电流Icm 功率Pcm 放大系数特征频率管子类型2SC4582 600V 15A 75W * * NPN2SC4517 550V 3A 30W * * NPN2SC4429 1100V 8A 60W * * NPN2SC4297 500V 12A 75W * * NPN2SC4288 1400V 12A 200W * * NPN2SC4242 450V 7A 40W * * NPN2SC4231 800V 2A 30W * * NPN2SC4119 1500V 15A 250W * * NPN2SC4111 1500V 10A 250W * * NPN2SC4106 500V 7A 50W * 20MHZ NPN2SC4059 600V 15A 130W * * NPN2SC4038 50V 0.1A 0.3W * 180MHZ NPN2SC4024 100V 10A 35W * * NPN2SC3998 1500V 25A 250W * * NPN2SC3997 1500V 15A 250W * * NPN2SC3987 50V 3A 20W 1000 * NPN(达林顿)2SC3953 120V 0.2A 1.3W * 400MHZ NPN2SC3907 180V 12A 130W * 30MHZ NPN2SC3893 1400V 8A 50W * 8MHZ NPN2SC3886 1400V 8A 50W * 8MHZ NPN2SC3873 500V 12A 75W * 30MHZ NPN2SC3866 900V 3A 40W * * NPN2SC3858 200V 17A 200W * 20MHZ NPN2SC3807 30V 2A 1.2W * 260MHZ NPN2SC3783 900V 5A 100W * * NPN2SC3720 1200V 10A 200W * * NPN2SC3680 900V 7A 120W * * NPN2SC3679 900V 5A 100W * * NPN2SC3595 30V 0.5A 1.2W 90 * NPN2SC3527 500V 15A 100W 13 * NPN2SC3505 900V 6A 80W 12 * NPN2SC3460 1100V 6A 100W 12 * NPN2SC3457 1100V 3A 50W 12 * NPN2SC3358 20V 0.15A * * 7000MHZ NPN2SC3355 20V 0.15A * * 6500MHZ NPN2SC3320 500V 15A 80W * * NPN2SC3310 500V 5A 40W 20 * NPN2SC3300 100V 15A 100W * * NPN2SC1855 20V 0.02A 0.25W * 550MHZ NPN2SC1507 300V 0.2A 15W * * NPN------------------------------------------------------------------常用场效应管及晶体管参数(3)------------------------------------------------------------------晶体管型号反压Vbe0 电流Icm 功率Pcm 放大系数特征频率管子类型2SC1494 36V 6A 40W * 175MHZ NPN2SC1222 60V 0.1A 0.25W * 100MHZ NPN2SC1162 35V 1.5A 10W * * NPN2SC1008 80V 0.7A 0.8W * 50MHZ NPN2SC900 30V 0.03A 0.25W * 100MHZ NPN2SC828 45V 0.05A 0.25W * * NPN2SC815 60V 0.2A 0.25W * * NPN2SC380 35V 0.03A 0.25W * * NPN2SC106 60V 1.5A 15W * * NPN2SB1494 120V 25A 120W * * PNP(达林顿)2SB1429 180V 15A 150W * * PNP2SB1400 120V 6A 25W 1000-20000 * PNP(达林顿)2SB1375 60V 3A 2W * * PNP2SB1335 80V 4A 30W * * PNP2SB1317 180V 15A 150W * * PNP2SB1316 100V 2A 10W 15000 * PNP(达林顿)2SB1243 40V 3A 1W * 70MHZ PNP2SB1240 40V 2A 1W * 100MHZ PNP2SB1238 80V 0.7A 1W * 100MHZ PNP2SB1185 60V 3A 25W * 75MHZ PNP2SB1079 100V 20A 100W 5000 * PNP(达林顿)2SB1020 100V 7A 40W 6000 * PNP(达林顿)2SB834 60V 3A 30W * * PNP2SB817 160V 12A 100W * * PNP2SB772 40V 3A 10W * * PNP2SB744 70V 3A 10W * * PNP2SB734 60V 1A 1W * * PNP2SB688 120V 8A 80W * * PNP2SB675 60V 7A 40W * * PNP(达林顿)2SB669 70V 4A 40W * * PNP(达林顿)2SB649 180V 1.5A 1W * * PNP2SB647 120V 1A 0.9W * 140MHZ PNP2SB449 50V 3.5A 22W * * PNP2SA1943 230V 15A 150W * * PNP2SA1785 400V 1A 1W * 140MHZ PNP2SA1668 200V 2A 25W * 20MHZ PNP2SA1516 180V 12A 130W * 25MHZ PNP2SA1494 200V 17A 200W * 20MHZ PNP2SA1444 100V 1.5A 2W * 80MHZ PNP2SA1358 120V 1A 10W * 120MHZ PNP2SA1302 200V 15A 150W * * PNP2SA1301 200V 10A 100W * * PNP2SA1295 230V 17A 200W * * PNP2SA1265 140V 10A 30W * * PNP2SA1216 180V 17A 200W * * PNP----------------------------------------------------------------- 常用场效应管及晶体管参数(4)-----------------------------------------------------------------晶体管型号反压Vbe0 电流Icm 功率Pcm 放大系数特征频率管子类型2SA1162 50V 0.15A 0.15W * * PNP2SA1123 150V 0.05A 0.75W * * PNP2SA1020 50V 2A 0.9W * * PNP2SA1009 350V 2A 15W * * PNP2N6678 650V 15A 175W * * NPN2N5685 60V 50A 300W * * NPN2N6277 180V 50A 300W * * NPN2N5551 160V 0.6A 0.6W * 100MHZ NPN2N5401 160V 0.6A 0.6W * 100MHZ PNP2N3773 160V 16A 150W * * NPN2N3440 450V 1A 1W * * NPN2N3055 100V 15A 115W * * NPN2N2907 60V 0.6A 0.4W 200 * NPN2N2369 40V 0.5A 0.3W * 800MHZ NPN2N2222 60V 0.8A 0.5W 45 * NPN9018 30V 0.05A 0.4W * 1G NPN9015 50V 0.1A 0.4W * 150MHZ PNP9014 50V 0.1A 0.4W * 150MHZ NPN9013 50V 0.5A 0.6W * * NPN9012 50V 0.5A 0.6W * * PNP9011 50V 0.03A 0.4W * 150MHZ NPNTIP147 100V 10A 125W * * PNPTIP142 100V 10A 125W * * NPNTIP127 100V 8A 65W * * PNPTIP122 100V 8A 65W * * NPNTIP102 100V 8A 2W * * NPNTIP42C 100V 6A 65W * * PNPTIP41C 100V 6A 65W * * NPNTIP36C 100V 25A 125W * * PNPTIP35C 100V 25A 125W * * NPNTIP32C 100V 3A 40W * * PNPTIP31C 100V 3A 40W * * NPNMJE13007 1500V 2.5A 60W * * NPNMJE13005 400V 4A 60W * * NPNMJE13003 400V 1.5A 14W * * NPNMJE2955T 60V 10A 75W * * NPNMJE350 300V 0.5A 20W * * NPNMJE340 300V 0.5A 20W * * NPNMJ13333 400V 20A 175W * * NPNMJ11033 120V 50A 300W * * NPNMJ11032 120V 50A 300W * * NPNMJ10025 850V 20A 250W * * NPNMJ10016 500V 50A 200W * * NPN------------------------------------------------------------------常用场效应管及晶体管参数(5)-----------------------------------------------------------------晶体管型号反压Vbe0 电流Icm 功率Pcm 放大系数特征频率管子类型BUS13A 1000V 15A 175W * * NPNBUH515 1500V 10A 80W * * NPNBU2532 1500V 15A 150W * * NPNBU2527 1500V 15A 150W * * NPNBU2525 1500V 12A 150W * * NPNBU2522 1500V 11A 150W * * NPNBU2520 800V 10A 150W * * NPNBU2508 700V 8A 125W * * NPNBU2506 1500V 7A 50W * * NPNBU932R 500V 15A 150W * * NPNBU806 400V 8A 60W * * NPNBU406 400V 7A 60W * * NPNBU323 450V 10A 125W * * NPN(达林顿)BF458 250V 0.1A 10W * * NPNBD682 100V 4A 40W * * PNPMJ10015 400V 50A 200W * * NPNMJ10012 400V 10A 175W * * NPN(达林顿)MJ4502 90V 30A 200W * * PNPMJ3055 60V 15A 115W * * NPNMJ2955 60V 15A 115W * * PNPMN650 1500V 6A 80W * * NPNBUX98A 400V 30A 210W * * NPNBUX84 800V 2A 40W * * NPNBUW13A 1000V 15A 150W * * NPNBUV48A 450V 15A 150W * * NPNBUV28A 225V 10A 65W * * NPNBUV26 90V 14A 65W * * NPNBUT12A 450V 10A 125W * * NPNBD681 100V 4A 40W * * NPNBD244 45V 6A 65W * * PNPBD243 45V 6A 65W * * NPNBD238 100V 2A 25W * * PNPBD237 100V 2A 25W * * NPNBD138 60V 1.5A 12.5W * * PNPBD137 60V 1.5A 12.5W * * NPNBD136 45V 1.5A 12.5W * * PNPBD135 45V 1.5A 12.5W * * NPNBC547 50V 0.2A 0.5W * 300MHZ NPNBC546 80V 0.2A 0.5W * * NPNBC338 50V 0.8A 0.6W * * NPNBC337 50V 0.8A 0.6W * * NPNBC327 50V 0.8 0.6W * * PNPBC307 50V 0.2AA 0.3W * * PNP-------------------------------------------------------------------常用场效应管及晶体管参数(6)-------------------------------------------------------------------晶体管型号反压Vbe0 电流Icm 功率Pcm 放大系数特征频率管子类型2SDK55 400V 4A 60W * * NPN2SD2445 1500V 12.5A 120W * * NPN2SD2388 90V 3A 1.2W * * NPN(达林顿)2SD2335 1500V 7A 100W * * NPN2SD2334 1500V 5A 80W * * NPN2SD2156 120V 25A 125W 2000-20000 * NPN(达林顿)2SD2155 180V 15A 150W * * NPN2SD2036 60V 1A 1.2W * * NPN2SD2012 60V 3A 2W * * NPN2SD2008 80V 1A 1.5W * * NPN2SD1997 40V 3A 1.5W * 100MHZ NPN2SD1994 60V 1A 1W * * NPN2SD1993 50V 0.1A 0.4W * * NPN2SD1980 100V 2A 10W 1000-10000 * NPN(达林顿)2SD1978 120V 1.5A 1W 30000 * NPN(达林顿)2SD1975 180V 15A 150W * * NPN2SD1930 100V 2A 1.2W 1000 * NPN(达林顿)2SD1847 50V 1A 1W * * NPN(低噪)2SD1762 60V 3A 25W * 90MHZ NPN2SD1718 180V 15A 3.2W * 20MHZ NPN2SD1640 120V 2A 1.2W 4000-40000 * NPN(达林顿)2SD1590 150V 8A 25W 15000 * NPN(达林顿)2SD1559 100V 20A 20W 5000 * NPN(达林顿)2SD1415 80V 7A 40W 6000 * NPN(达林顿)2SD1416 80V 7A 40W 6000 * NPN(达林顿)2SD1302 25V 0.5A 0.5W * 200MHZ NPN2SD1273 80V 3A 40W * 50MHZ NPN2SD1163A 350V 7A 40W * 60MHZ NPN2SD1047 160V 12A 100W * * NPN2SD1037 150V 30A 180W * * NPN2SD1025 200V 8A 50W * * NPN(达林顿)2SD789 100V 1A 0.9W * * NPN2SD774 100V 1A 1W * * NPN2SD669 180V 1.5A 1W * 140MHZ NPN2SD667 120V 1A 0.9W * 140MHZ NPN( 达林顿)2SD560 150V 5A 30W * * NPN( 达林顿)2SD547 600V 50A 400W * * NPN2SD438 500V 1A 0.75W * 100MHZ NPN2SD415 120V 0.8A 5W * * NPN2SD385 100V 7A 30W * * NPN( 达林顿)2SD325 50V 3A 25W * * NPN2SD40C 40V 0.5A 40W * * NPN( 达林顿)2SC5252 1500V 15A 100W * * NPN2SC5251 1500V 12A 50W * * NPN2SC5250 1000V 7A 100W * * NPN------------------------------------------------------------------常用场效应管及晶体管参数(7)------------------------------------------------------------------晶体管型号反压Vbe0 电流Icm 功率Pcm 放大系数特征频率管子类型2SC5244 1500V 15A 200W * * NPN2SC5243 1500V 15A 200W * * NPN2SC5207 1500V 10A 50W * * NPN2sc5200 230V 15A 150W * * NPN2sc5132 1500V 16A 50W * * NPN2sc5088 1500V 10A 50W * * NPN2sc5086 1500V 10A 50W * * NPN2sc5068 1500V 10A 50W * * NPN2sc5020 1000V 7A 100W * * NPN2sc4953 500V 2A 25W * * NPN2sc4941 1500V 6A 65W * * NPN2sc4927 1500V 8A 50W * * NPN2sc4924 800V 10A 70W * * NPN2sc4913 2000V 0.2A 35W * * NPN2sc4769 1500V 7A 60W * * NPN( 带阻尼)2sc4747 1500V 10A 50W * * NPN2sc4745 1500V 6A 50W * * NPN2sc4742 1500V 6A 50W * * NPN( 带阻尼)2sc4706 900V 14A 130W * 6MH NPN2SD1887 1500V 10A 70W * * NPN2SD1886 1500V 8A 70W * * NPN2SD1885 1500V 6A 60W * * NPN2SD1884 1500V 5A 60W * * NPN2SD1883 1500V 4A 50W * * NPN2SD1882 1500V 3A 50W * * NPN2SD1881 1500V 10A 70W * * NPN2SD1880 1500V 8A 70W * * NPN2SD1879 1500V 6A 60W * * NPN2SD1878 1500V 5A 60W * * NPN2SD1876 1500V 3A 50W * * NPN2SD1739 1500V 6A 100W * * NPN2SD1738 1500V 5A 100W * * NPN2SD1737 1500V 3.5A 60W * * NPN2SD1732 1500V 7A 120W * * NPN2SD1731 1500V 6A 100W * * NPN2SD1730 1500V 5A 100W * * NPN2SD1729 1500V 3.5A 60W * * NPN2SD1711 1500V 7A 100W * * NPN2SD1710 1500V 6A 100W * * NPN2SD1656 1500V 6A 60W * * NPN2SD1655 1500V 5A 60W * * NPN2SD1654 1500V 3.5A 50W * * NPN2SD1653 1500V 2.5A 50W * * NPN2SD1652 1500V 6A 60W * * NPN2SD1651 1500V 5A 60W * * NPN------------------------------------------------------------------ 常用场效应管及晶体管参数(8)------------------------------------------------------------------晶体管型号反压Vbe0 电流Icm 功率Pcm 放大系数特征频率管子类型2SD1650 1500V 3.5A 50W * * NPN2SD1635 1500V 5A 100W * * NPN2SD1632 1500V 4A 70W * * NPN2SD1577 1500V 5A 80W * * NPN2SD1554 1500V 3.5A 40W * * NPN2SD1548 1500V 10A 50W * * NPN2SD1547 1500V 7A 50W * * NPN2SD1546 1500V 6A 50W * * NPN2SD1545 1500V 5A 50W * * NPN2SD1456 1500V 6A 50W * * NPN2SD1455 1500V 5A 50W * * NPN2SD1454 1700V 4A 50W * * NPN2SD1434 1700V 5A 80W * * NPN2SD1431 1500V 5A 80W * * NPN2SD1426 1500V 3.5A 80W * * NPN2SD1402 1500V 5A 120W * * NPN2SD1399 1500V 6A 60W * * NPN2SD1344 1500V 6A 50W * * NPN2SD1343 1500V 6A 50W * * NPN2SD1342 1500V 5A 50W * * NPN2SD1941 1500V 6A 50W * * NPN2SD1911 1500V 5A 50W * * NPN2SD1341 1500V 5A 50W * * NPN2SD1219 1500V 3A 65W * * NPN2SD1290 1500V 3A 50W * * NPN2SD1175 1500V 5A 100W * * NPN2SD1174 1500V 5A 85W * * NPN2SD1173 1500V 5A 70W * * NPN2SD1172 1500V 5A 65W * * NPN2SD1143 1500V 5A 65W * * NPN2SD1142 1500V 3.5A 50W * * NPN2SD1016 1500V 7A 50W * * NPN2SD995 2500V 3A 50W * * NPN2SD994 1500V 8A 50W * * NPN2SD957A 1500V 6A 50W * * NPN2SD954 1500V 5A 95W * * NPN2SD952 1500V 3A 70W * * NPN2SD904 1500V 7A 60W * * NPN2SD903 1500V 7A 50W * * NPN2SD871 1500V 6A 50W * * NPN2SD870 1500V 5A 50W * * NPN2SD869 1500V 3.5A 50W * * NPN2SD838 2500V 3A 50W * * NPN2SD822 1500V 7A 50W * * NPN2SD821 1500V 6A 50W * * NPN------------------------------------------------------------------常用场效应管及晶体管参数(9)------------------------------------------------------------------晶体管型号反压Vbe0 电流Icm 功率Pcm 放大系数特征频率管子类型2SD348 1500V 7A 50W * * NPN2SC4303A 1500V 6A 80W * * NPN2SC4292 1500V 6A 100W * * NPN2SC4291 1500V 5A 100W * * NPN2SC4199A 1500V 10A 100W * * NPN2SC3883 1500V 5A 50W * * NPN2SC3729 1500V 5A 50W * * NPN2SC3688 1500V 10A 150W * * NPN2SC3687 1500V 8A 150W * * NPN2SC3686 1500V 7A 120W * * NPN2SC3685 1500V 6A 120W * * NPN2SC3486 1500V 6A 120W * * NPN2SC3485 1500V 5A 120W * * NPN2SC3484 1500V 3.5A 80W * * NPN2SC3482 1500V 6A 120W * * NPN2SC3481 1500V 5A 120W * * NPN2SC3480 1500V 3.5A 80W * * NPN2SC2125 2200V 5A 50W * * NPN2SC2027 1500V 5A 50W * * NPNBUY71 2200V 2A 40W * * NPNBU508A 1500V 7.5A 75W * * NPNBU500 1500V 6A 75W * * NPNBU308 1500V 5A 12.5W * * NPNBU209A 1700V 5A 12.5W * * NPNBU208D 1500V 5A 12.5W * * NPNBU208A 1500V 5A 12.5W * * NPNBU108 1500V 5A 12.5W * * NPN2SD1585 60V 3A 15W * * NPN2SC403 50V 0.1A 0.1W * * NPN2SD1246 30V 2A 0.75W * * NPN2SC2570A 25V 0.07A 0.6W * * NPN2SC1047 30V 0.015A 0.15W * * NPN2SC3114 60V 0.15A 0.2W * * NPN2SD400 25V 1A 0.75W * * NPN2SC1923 40V 0.02A 0.1W * * NPN2SC2621 300V 0.2A 10W * * NPN2SC2568 300V 0.2A 10W * * NPN2SC2216 50V 0.05A 0.3W * * NPN2SC1674 30V 0.02A 0.1W * * NPN2SC536F 40V 0.1A 0.25W * * NPN2SA608F 30V 0.1A 0.25W * * PNP2SD1271A 130V 7A 40W * * NPN2SD1133 70V 4A 40W * * NPN---------------------------------------------------------------------常用场效应管及晶体管参数(10)---------------------------------------------------------------------晶体管型号反压Vbe0 电流Icm 功率Pcm 放大系数特征频率管子类型2SC1890A 120V 0.05A 0.3W * * NPN2SC1360 50V 0.05A 0.5W * * NPN2SA1304 150V 1.5A 25W * * PNP2SD1274A 150V 5A 40W * * NPN2SC2371 300V 0.1A 10W * * NPN2SA966Y 30V 1.5A 0.9W * * PNP2SD1378 80V 0.7A 10W * * NPN2SD553Y 70V 7A 40W * * NPNRN1204 50V 0.1A 0.3W * * NPN2SD1405Y 50V 3A 30W * * NPN2SC2878 50V 0.3A 0.4W * * NPN2SC1959 30V 0.4A 0.5W * * NPN2SC1569 300V 0.15A 1.5W * * NPN2SC2383Y 160V 1A 0.9W * * NPN2SA1299 50V 0.5A 0.3W * * PNP2SB564A 45V 0.05 0.25W * * PNP2SD1877 800V 4A 50W * * NPNBU508A 1500V 8A 125W * * NPN2SD906 1400V 8A 50W * * NPN2SD905 1400V 8A 50W * * NPN2SC1942 1500V 3A 100W * * NPN2SD1397 1500V 3.5A 50W * * NPN2SD1396 1500V 2.5A 50W * * NPN2SC3153 900V 6A 100W * * NPN2SD1403 1500V 6A 50W * * NPN2SD1410 1500V 3.5A 80W * * NPN2SD2057 1500V 5A 100W * * NPN2SD2027 1500V 5A 50W * * NPN2SD953 1500V 7A 95W * * NPN2SD951 1500V 3A 65W * * NPN2SD950 1500V 3.5A 80W * * NPN2SD852 1500V 5A 70W * * NPN2SD850 1500V 3A 25W * * NPN2SD900B 1500V 5A 50W * * NPN2SD899A 1500V 4A 50W * * NPN2SD898B 1500V 3A 50W * * NPN2SD871 1500V 6A 50W * * NPN2SD870 1500V 5A 50W * * NPN2SD869 1500V 3.5A 50W * * NPN2SD1433 1500V 7A 80W * * NPN2SD1432 1500V 6A 80W * * NPN2SD1431 1500V 5A 80W * * NPN2SD820 1500V 5A 50W * * NPN-------------------------------------------------------------------常用场效应管及晶体管参数(11)-------------------------------------------------------------------晶体管型号反压Vbe0 电流Icm 功率Pcm 放大系数特征频率管子类型2SD819 1500V 3.5A 50W * * NPN2SD1497 1500V 6A 50W * * NPN2SD1398 1500V 5A 50W * * NPN2SD1427 1500V 5A 80W * * NPN2SD1428 1500V 6A 80W * * NPN2SD1426 1500V 3.5A 80W * * NPN2SC2068 70V 0.2A 0.62W * * NPN2SC1627Y 80V 0.3A 0.6W * * NPN2SB686 100V 6A 60W * * PNP2SA940 150V 1.5A 1.5W * * PNP2SC2120Y 30V 0.8A 0.6W * * NPN2SD1555 1500V 5A 50W * * NPN2SD8806 60V 3A 30W * * NPN2SC2456 300V 0.1A 10W * * NPN2SA1300 20V 2A 0.7W * * PNP2SC304CD 60V 0.5A 0.8W * * NPN2SC2238 160V 1.5A 25W * * NPN2SC3328 80V 2A 0.9W * * NPN2SC2190 450V 5A 100W * * NPN2SA968Y 160V 1.5A 25W * * PNP2SC3402 50V 0.1A 0.3W * * NPN2SC2168 200V 2A 30W * * NPN2SC3198G 60V 0.15A 0.4W * * NPN2SC2655Y 60V 2A 0.9W * * NPN2SC1827 80V 4A 30W * * NPN2SA1266Y 50V 0.15A 0.4W * * PNP2SD880 60V 3A 30W * * NPN2SC1906 30V 0.05A 0.3W * * NPN2SC945 50V 0.1A 0.25W * * NPN2SC3279 30V 2A 0.75W * * NPN2SC2229 200V 0.05A 0.8W * * NPN2SC2236 30V 1.5A 0.9W * * NPN2SC383 20V 0.05A 0.2W * * NPN2SA950Y 150V 0.8A 0.6W * * PNPBC548B 30V 0.2A 0.5W * * NPN2SC3399 50V 0.1A 0.3W * * NPN2SD1455 1500V 5A 50W * * NPN2SC1983R 80V 3A 30W * * NPN2SC227 300V 0.1A 0.75W * * NPN2SC1213D 50V 0.5A 0.4W * * NPN2SA778AK 180V 0.05A 0.2W * * PNPDTC114ES 50V 0.1A 0.25W * * NPN2SC3413C 40V 0.1A 0.5W * * NPN------------------------------------------------------------------------- 常用场效应管及晶体管参数(12)------------------------------------------------------------------------- 晶体管型号反压Vbe0 电流Icm 功率Pcm 放大系数特征频率管子类型2SC2611 300V 0.1A 1.25W * * NPN2SC1514 300V 0.1A 1.25W * * NPNDTC124ES 50V 0.1A 0.25W * * PNP2SD1078 50V 2A 20W * * NPN2SA1390 35V 0.5A 0.3W * * PNP2SD788 20V 2A 0.9W * * NPN2SD882 40V 3A 10W * * NPN2SD787 20V 2A 0.9W * * NPN2SD401AK 200V 2A 25W * * NPN2SC2610 300V 0.1A 0.8W * * NPN2SC2271N 300V 0.1A 0.75W * * NPN2SC1740 50V 0.3A 0.3W * * NPN2SC1214C 50V 0.5A 0.6W * * NPN2SC458D 30V 0.1A 0.2W * * NPN2SA673 50V 0.5A 0.4W * * PNP2SD1556 1500V 6A 50W * * NPN2SD1499 100V 5A 40W * * NPN2SD1264A 200V 2A 30W * * NPN2SD1010 50V 0.05A 0.3W * * NPN2SD966 60V 5A 1W * * NPN2SD601AR 60V 0.1A 0.2W * * NPN2SC3265Y 30V 0.8A 0.2W * * NPN2SC3063 300V 0.1A 1.2W * * NPN2SC2594 40V 5A 10W * * NPN2SC1317-R 30V 0.5A 0.4W * * NPN2SB1013A 30V 0.5A 0.3W * * PNP2SD1226 60V 3A 35W * * NPN2SC2636Y 30V 0.05A 0.4W * * NPN2SB940 200V 2A 30W * * PNP2SA720-Q 50V 0.5A 0.4W * * PNP2SD1391 1500V 5A 80W * * NPN2SC2188 45V 0.05A 0.6W * * NPN2SK301-R * 0.14A 0.25W * * N沟场效应管2SD1266 60V 3A 35W * * NPN2SD1175 1500V 5A 100W * * NPN2SD973 30V 1A 1W * * NPN2SC2923 300V 0.2A 15W * * NPN2SC2653H 250V 0.2A 15W * * NPN2SC2377C 30V 0.15A 0.2W * * NPN2SC1685Q 30V 0.1A 0.25W * * NPN2SC1573A 250V 0.07A 0.6W * * NPN2SB642-R 60V 0.2A 0.4W * * PNP2SA1309A 25V 0.1A 0.3W * * PNP2SA1018 150V 0.07A 0.75W * * PNP2SA564A 25V 0.1A 0.25W * * PNP------------------------------------------------------------------常用场效应管及晶体管参数(13)------------------------------------------------------------------晶体管型号反压Vbe0 电流Icm 功率Pcm 放大系数特征频率管子类型2SK301-Q * 0.14A 0.25W * * N沟场效应管2SD1541 1500V 3A 50W * * NPN2SC1685 30V 0.1A 0.25W * * NPN2SC1573A 250V 0.07A 0.6W * * NPN2SA1309A 25V 0.1A 0.3W * * PNPUN4213 50V 0.1A 0.25W * * NPNUN4211 50V 0.1A 0.25W * * NPNUN4212 50V 0.1A 0.25W * * NPNUN4111 50V 0.1A 0.25W * * PNP2SD1541 1500V 3A 50W * * NPN2SD965 40V 5A 0.75W * * NPN2SC2839 30V 0.1A 0.1W * * NPN2SC2258 250V 0.1A 1W * * NPN2SC1846 45V 1A 1.2W * * NPN2SC1573A 250V 0.07A 0.6W * * NPN2SA1309A 25V 0.1A 0.3W * * PNP2SD1544 1500V 3.5A 40W * * NPN2SD802 900V 6A 50W * * NPN2SC2717 35V 0.8A 7.5W * * NPN2SC2482 150V 0.1A 0.9W * * NPN2SC2073 150V 1.5A 25W * * NPN2SC1815Y 60V 0.15A 0.4W * * NPN2SB774T 30V 0.01A 0.25W * * PNP2SA1015R 50V 0.15A 0.4W * * PNP2SA904 90V 0.05A 0.2W * * PNP2SA562T 30V 0.4A 0.3W * * PNP。
三极管型号及参数大全三极管(Transistor)是一种由半导体材料制成的电子器件,常用于放大和开关电路中。
根据导电类型的不同,可以将三极管分为NPN型和PNP型。
以下是一些常见的三极管型号及其参数:1.2N2222:是一种NPN型小功率晶体管,它的最大集电极电流(IC)为600mA,最大击穿电压(VCEO)为40V,最大功耗(PD)为600mW,封装形式一般为TO-922.2N2907:是一种PNP型小功率晶体管,它的最大集电极电流(IC)为600mA,最大击穿电压(VCEO)为40V,最大功耗(PD)为600mW,封装形式一般为TO-923.BC547:是一种NPN型小功率晶体管,它的最大集电极电流(IC)为100mA,最大击穿电压(VCEO)为45V,最大功耗(PD)为500mW,封装形式一般为TO-924.BC557:是一种PNP型小功率晶体管,它的最大集电极电流(IC)为100mA,最大击穿电压(VCEO)为45V,最大功耗(PD)为500mW,封装形式一般为TO-925.2N3055:是一种NPN型功率晶体管,它的最大集电极电流(IC)为15A,最大击穿电压(VCEO)为60V,最大功耗(PD)为115W,封装形式一般为TO-36.2N3906:是一种PNP型小功率晶体管,它的最大集电极电流(IC)为200mA,最大击穿电压(VCEO)为40V,最大功耗(PD)为625mW,封装形式一般为TO-928.BD136:是一种PNP型中功率晶体管,它的最大集电极电流(IC)为1.5A,最大击穿电压(VCEO)为45V,最大功耗(PD)为12.5W,封装形式一般为TO-1269.TIP31C:是一种NPN型功率晶体管,它的最大集电极电流(IC)为3A,最大击穿电压(VCEO)为40V,最大功耗(PD)为40W,封装形式一般为TO-220。
10.TIP32C:是一种PNP型功率晶体管,它的最大集电极电流(IC)为3A,最大击穿电压(VCEO)为40V,最大功耗(PD)为40W,封装形式一般为TO-220。
常用晶体管参数查询Daten ohne Gewahr2N109GE-P 35V 0.15A 0.165W| 2N1304GE-N 25V 0.3A 0.15W 10MHz2N1305GE-P 30V 0.3A 0.15W 5MHz| 2N1307GE-P 30V 0.3A 0.15W B>602N1613SI-N 75V 1A 0.8W 60MHz| 2N1711SI-N 75V 1A 0.8W 70MHz2N1893SI-N 120V 0.5A 0.8W| 2N2102SI-N 120V 1A 1W <120MHz2N2148GE-P 60V 5A 12.5W| 2N2165SI-P 30V 50mA 0.15W 18MHz2N2166SI-P 15V 50mA 0.15W 10MHz| 2N2219A SI-N 40V 0.8A 0.8W 250MHz 2N2222A SI-N 40V 0.8A 0.5W 300MHz| 2N22232xSI-N 100V 0.5A 0.6W >502N2223A2xSI-N 100V 0.5A 0.6W >50| 2N2243A SI-N 120V 1A 0.8W 50MHz2N2369A SI-N 40V 0.2A .36W 12/18ns| 2N2857SI-N 30V 40mA 0.2W >1GHz2N2894SI-P 12V 0.2A 1.2W 60/90ns| 2N2905A SI-P 60V 0.6A 0.6W 45/1002N2906A SI-P 60V 0.6A 0.4W 45/100| 2N2907A SI-P 60V 0.6A 0.4W 45/1002N2917SI-N 45V 0.03A >60Mz| 2N2926SI-N 25V 0.1A 0.2W 300MHz2N2955GE-P 40V 0.1A 0.15W 200MHz| 2N3019SI-N 140V 1A 0.8W 100MHz 2N3053SI-N 60V 0.7A 5W 100MHz| 2N3054SI-N 90V 4A 25W 3MHz2N3055SI-N 100V 15A 115W 800kHz| 2N3055SI-N 100V 15A 115W 800kHz2N3055H SI-N 100V 15A 115W 800kHz| 2N3251SI-P 50V 0.2A 0.36W2N3375SI-N 40V 0.5A 11.6W 500MHz| 2N3439SI-N 450V 1A 10W 15MHz2N3440SI-N 300V 1A 10W 15MHz| 2N3441SI-N 160V 3A 25W POWER2N3442SI-N 160V 10A 117W 0.8MHz| 2N3495SI-P 120V 0.1A 0.6W >150MHz 2N3502SI-P 45V 0.6A 0.7W 200MHz| 2N3553SI-N 65V 0.35A 7W 500MHz2N3571SI-N 30V 0.05A 0.2W 1.4GHz| 2N3583SI-N 250/175V 2A 35W >10MHz 2N3632SI-N 40V 0.25A 23W 400MHz| 2N3646SI-N 40V 0.2A 0.2W2N3700SI-N 140V 1A 0.5W 200MHz| 2N3707SI-N 30V 0.03A 0.36W 100MHz 2N3708SI-N 30V 0.03A 0.36W 80MHz| 2N3716SI-N 100V 10A 150W 4MHz2N3725SI-N 80V 0.5A 1W 35/60ns| 2N3740SI-P 60V 4A 25W >4MHz2N3741SI-N 80V 4A 25W >4MHz| 2N3742SI-N 300V 0.05A 1W >30MHz2N3767SI-N 100V 4A 20W >10MHz| 2N3771SI-N 50V 30A 150W POWER 2N3772SI-N 100V 20A 150W POWER| 2N3773SI-N 160V 16A 150W POWER 2N3792SI-P 80V 10A 150W 4MHz| 2N3819N-FET 25V 20mA 0.36W2N3820P-FET 20V 15mA 0.36W| 2N3821N-FET 50V 2.5mA 0.3W2N3824N-FET 50V 10mA 0.3W <250E| 2N3866SI-N 55V 0.4A 1W 175MHz2N3904SI-N 60V 0.2A .35W 300MHz| 2N3906SI-P 40V 0.2A .35W 250MHz2N3909P-FET 20V 10MA 0.3W| 2N3958N-FET 50V 5mA 0.25W2N3963SI-P 80V 0.2A 0.36W >40MHz| 2N3972N-FET 40V 50mA 1.8W2N4001SI-N 100V 1A 15W 40MHz| 2N4033SI-P 80V 1A 0.8W 150MHz2N4036SI-P 90V 1A 1W 60MHz| 2N409GE-P 13V 15mA 80mW 6.8MHz 2N4126SI-P 25V 200mA HF| 2N4220N-FET 30V 0.2A2N4236SI-P 80V 3A 1W >3MHz| 2N427GE-P 30V 0.4A 0.15W B>402N428GE-P 30V 0.4A 0.15W B>60| 2N4286SI-N 30V 0.05A 0.25W2N4287SI-N 45V 0.1A 0.25W 40MHz| 2N4291SI-P 40V 0.2A 0.25W 150MH2N4302N-FET 30V 0.5mA 0.3W| 2N4347SI-N 140V 5A 100W 0.8MHz2N4348SI-N140V10A120W >0.2MHz| 2N4351N-FET 30V30mA0.3W 140KHz2N4391N-FET 40V 50mA 30E Up<10V| 2N4392N-FET 40V 25mA 60E Up<5V2N4393N-FET 40V 5mA 100E Up<3V| 2N4401SI-N 60V 0.6A 200MHz2N4403SI-P 40V 0.6A 200MHz| 2N4416N-FET 30V 15mA VHF/UHF2N4420SI-N 40V 0.2A 0.36W| 2N4427SI-N 40V 0.4A 1W 175MHz2N4906SI-P 80V 5A 87.5W >4MHz| 2N4920SI-P 80V 1A 30W2N4923SI-N 80V 1A 30W| 2N5038SI-N 150V 20A 140W 0.5us2N5090SI-N 55V 0.4A 4W 5mA| 2N5109SI-N 40V 0.5A 2.5W 1.5GHz2N5116P-FET 30V 5mA 150E Up<4V| 2N5154SI-N 100V 2A 10W2N5179SI-N 20V 50mA 0.2W >1GHz| 2N5192SI-N 80V 4A 40W 2MHz2N5240SI-N 375V 5A 100W >2MHz| 2N5298SI-N 80V 4A 36W >0.8MHz2N5308N-DARL 40V 0.3A 0.4W B>7K| 2N5320SI-N100V 2A10W AFSWITCH2N5322SI-P 100V 2A 10W AFSWITCH| 2N5401SI-P 160V 0.6A 0.31W2N5416SI-P 350V 1A 10W 15MHz| 2N5433N-FET 25V 0.4A 0.3W 7E2N5457N-FET 25V 1mA Up<6V| 2N5458N-FET 25V 2.9mA UNI2N5460P-FET 40V 5mA Up<6V GEN.P| 2N5461P-FET 40V 9mA 0.31W2N5462P-FET 40V 16mA Up<9V GEN.| 2N5484N-FET 25V 5mA 0.31W2N5485P-FET 25V 4mA Up<4V| 2N5551SI-N 180V 0.6A 0.31W VID.2N5589SI-N 36V 0.6A 3W 175MHz| 2N5639N-FET 30V 10mA 310mW2N5672SI-N 150V 30A 140W 0.5us| 2N5680SI-P 120V 1A 1W2N5682SI-N 120V 1A 1W >30MHz| 2N5684SI-P 80V 50A 200W2N5686SI-N80V50A300W >2MHz|2N5770SI-N30V0.05A 0.7W >900MHz2N5771SI-P 15V 50mA 625mW >850MHz| 2N5876SI-P 80V 10A 150W >4MHz2N5878SI-N 80V 10A 150W >4MHz| 2N5879SI-N 60V 10A 150W >4MHz2N5884SI-P 80V 25A 200W AFPOWSW| 2N5886SI-N 80V 25A 200W >4MHz2N6031SI-P 140V 16A 200W 1MHz| 2N6050P-DARL+D 60V 12A 100W2N6059SI-N 100V 12A 150W| 2N6083SI-N 36V 5A PQ=30W 175MHz2N6098SI-N 70V 10A 75W AFPOWSWITCH |2N6099SI-N70V 10A75W AFPOWSWITCH2N6109SI-P 60V 7A 40W 10MHz| 2N6124SI-P 45V 4A 40W2N6211SI-P 275V 2A 20W 20MHz| 2N6213SI-P 400V 2A 35W >20MHz2N6248SI-P 110V 15A 125W >6MHz| 2N6284N-DARL 100V 20A 160W B>752N6287P-DARL 100V 20A 160W| 2N6292SI-N 80V 7A 40W2N6356N-DARL 50V 20A 150W B>150| 2N6422SI-P 500V 2A 35W >10MHz2N6427N-DARL 40V 0.5A 0.625W| 2N6476SI-P 130V 4A 16W 5MHz2N6488SI-N 90V 15A 75W| 2N6491SI-P 90V 15A 30W2N6517SI-N 350V 0.5A 0.625W >40| 2N6520SI-P 350V 0.5A 0.625W >402N6547SI-N 850/400V 15A 175W| 2N6556SI-P 100V 1A 10W >75MHz2N6609SI-P 160V 16A 150W 2MHz| 2N6660N-FET 60V 2A 6.25W 3E2N6661N-FET 90V 2A 6.2W 4E| 2N6675SI-N 400V 15A2N6678SI-N 400V 15A| 2N6716SI-N 60V 2A 2W 50MHz2N6718SI-N 100V 2A 2W 50MHz| 2N6725N-DARL 60V 2A 1W B>15K2N6728SI-P 60V 2A 2W >50MHz| 2N697SI-N 60V 1A 0.6W <50MHz2N7002N-FET 60V 0.115A 0.2W 7E5| 2N914SI-N 40V 0.5A <40/40NS SW2N918SI-N 30V 50mA 0.2W 600MHz| 2SA1006B SI-P 250V 1.5A 25W 80MHz2SA1009SI-P 350V 2A 15W| 2SA1011SI-P 160V 1.5A 25W 120MHz2SA1013SI-P 160V 1A 0.9W 50MHz| 2SA1015SI-P 50V 0.15A 0.4W 80MHz2SA1016SI-P100V0.05A0.4W110MHz| 2SA1017SI-P 120V50mA0.5W 110MHz2SA1018SI-P 250V 70mA 0.75W >50MHz| 2SA1020SI-P 50V 2A 0.9W 100MHz2SA1027SI-P 50V 0.2A 0.25W 100MHz| 2SA1029SI-P 30V 0.1A 0.2W 280MHz 2SA1034SI-P 35V 50mA 0.2W 200MHz| 2SA1037SI-P 50V 0.4A 140MHz FR 2SA1048SI-P 50V 0.15A 0.2W 80MHz| 2SA1049SI-P 120V 0.1A 0.2W 100MHz 2SA1061SI-P 100V 6A 70W 15MHz| 2SA1062SI-N 120V 7A 80W 15MHz2SA1065SI-P 150V 10A 120W 50MHz| 2SA1084SI-P 90V 0.1A 0.4W 90MHz2SA1103SI-P 100V 7A 70W 20MHz| 2SA1106SI-P 140V 10A 100W 20MHz2SA1110SI-P 120V 0.5A 5W 250MHz| 2SA1111SI-P 150V 1A 20W 200MHz2SA1112SI-P 180V 1A 20W 200MHz| 2SA1115SI-P 50V 0.2A 200MHz UNI2SA1120SI-P 35V 5A 170MHz| 2SA1123SI-P 150V 50mA 0.75W 200MHz 2SA1124SI-P 150V 50mA 1W 200MHz| 2SA1127SI-P 60V 0.1A 0.4W 200MHz 2SA1141SI-P 115V 10A 100W 90MHz| 2SA1142SI-P 180V 0.1A 8W 180MHz2SA1145SI-P150V50mA0.8W200MHz|2SA1150SI-P35V0.8A0.3W 120MHz2SA1156SI-P 400V 0.5A 10W POWER| 2SA1160SI-P 20V 2A 0.9W 150MHz2SA1163SI-P 120V 0.1A 100MHz| 2SA1170SI-P 200V 17A 200W 20MHz2SA1185SI-P 50V 7A 60W 100MHz| 2SA1186SI-P 150V 10A 100W2SA1200SI-P 150V50mA0.5W120MHz| 2SA1201SI-P120V0.8A0.5W 120MHz2SA1206SI-P 15V 0.05A 0.6W| 2SA1207SI-P 180V 70mA 0.6W 150MHz2SA1208SI-P 180V 0.07A 0.9W| 2SA1209SI-P 180V 0.14A 10W2SA1210SI-P 200V 0.14A 10W| 2SA1213SI-P 50V 2A 0.5W 120MHz2SA1215SI-P 160V 15A 150W 50MHz| 2SA1216SI-P 180V 17A 200W 40MHz 2SA1220A SI-P 120V 1.2A 20W 160MHz| 2SA1221SI-P 160V 0.5A 1W 45MHz2SA1225SI-P 160V 1.5A 15W 100MHz| 2SA1227A SI-P 140V 12A 120W 60MHz 2SA1232SI-P 130V 10A 100W 60MHz| 2SA1241SI-P 50V 2A 10W 100MHz2SA1242SI-P 35V 5A 1W 170MHz| 2SA1244SI-P 60V 5A 20W 60MHz2SA1249SI-P 180V 1.5A 10W 120MHz| 2SA1261SI-P 100V 10A 60W POWER2SA1262SI-P 60V 4A 30W 15MHz| 2SA1264N SI-P 120V 8A 80W 30MHz2SA1265N SI-P140V10A100W30MHz| 2SA1266SI-P50V0.15A0.4W POWER2SA1268SI-N120V0.1A0.3W100MHz|2SA1270SI-P35V0.5A 0.5W 200MHz2SA1271SI-P 30V 0.8A 0.6W 120MHz| 2SA1275SI-P 160V 1A 0.9W 20MHz2SA1282SI-P 20V 2A 0.9W 80MHz| 2SA1283SI-P 60V 1A 0.9W 85MHz2SA1292SI-P 80V 15A 70W 100MHz| 2SA1293SI-P 100V 5A 30W 0.2us2SA1294SI-P 230V 15A 130W| 2SA1295SI-P 230V 17A 200W 35MHz2SA1296SI-P 20V 2A 0.75W 120MHz| 2SA1298SI-P 30V 0.8A 0.2W 120MHz 2SA1300SI-P 10V 2A 0.75W 140MHz| 2SA1302SI-P 200V15A 150W 25MHz 2SA1303SI-P 150V 14A 125W 50MHz| 2SA1306SI-P 160V 1.5A 20W2SA1306A SI-P 180V 1.5A 20W 100MHz| 2SA1307SI-P 60V 5A 20W 0.1us2SA1309SI-P 30V 0.1A 0.3W 80MHz| 2SA1310SI-P 60V 0.1A 0.3W 200MHz 2SA1315SI-P 80V 2A 0.9W 0.2us| 2SA1316SI-P 80V 0.1A 0.4W 50MHz2SA1317SI-P 60V 0.2A 0.3W 200MHz| 2SA1318SI-P 60V 0.2A 0.5W 200MHz 2SA1319SI-P 180V 0.7A 0.7W 120MHz| 2SA1321SI-P250V 50mA 0.9W 100MHz2SA1328SI-P 60V 12A 40W 0.3us| 2SA1329SI-P 80V 12A 40W 0.3us2SA1345SI-N 50V 0.1A 0.3W 250MHz| 2SA1346SI-P 50V 0.1A 200MHz2SA1348SI-P 50V 0.1A 200MHz| 2SA1349P-ARRAY 80V 0.1A 0.4W 1702SA1352SI-P 200V 0.1A 5W 70MHz| 2SA1357SI-P 35V 5A 10W 170MHz2SA1358SI-P 120V 1A 10W 120MHz| 2SA1359SI-P 40V 3A 10W 100MHz2SA1360SI-P 150V 50mA 5W 200MHz| 2SA1361SI-P 250V 50mA 80MHz2SA1370SI-P 200V 0.1A 1W 150MHz| 2SA1371E SI-P 300V 0.1A 1W 150MHz 2SA1376SI-P 200V 0.1A 0.75W 120MHz| 2SA1380SI-P 200V 0.1A 1.2W2SA1381SI-P 300V 0.1A 150MHz| 2SA1382SI-P 120V 2A 0.9W 0.2us2SA1383SI-P 180V 0.1A 10W 180MHz| 2SA1386SI-P 160V15A 130W 40MHz 2SA1387SI-P 60V 5A 25W 80MHz| 2SA1392SI-P 60V 0.2A 0.4W 200MHz 2SA1396SI-P 100V 10A 30W| 2SA1399SI-P 55V 0.4A 0.9W 150MHz2SA1400SI-P 400V 0.5A 10W| 2SA1403SI-P 80V 0.5A 10W 800MHz2SA1405SI-P 120V 0.3A 8W 500MHz| 2SA1406SI-P 200V0.1A 7W 400MHz 2SA1407SI-P 150V 0.1A 7W 400MHz| 2SA1413SI-P 600V1A 10W 26MHz2SA1428SI-P 50V 2A 1W 100MHz| 2SA1431SI-P 35V 5A 1W 170MHz2SA1441SI-P 100V 5A 25W <300ns| 2SA1443SI-P 100V 10A 30W2SA1450SI-P 100V 0.5A 0.6W 120MHz| 2SA1451SI-P 60V 12A 30W 70MHz2SA1460SI-P 60V 1A 1W <40NS| 2SA1470SI-P 80V 7A 25W 100MHz2SA1475SI-P 120V 0.4A 15W 500MHz| 2SA1476SI-P 200V0.2A 15W 400MHz 2SA1477SI-P 180V 0.14A 10W 150MHz| 2SA1488SI-P 60V 4A 25W 15MHz2SA1489SI-P 80V 6A 60W 20MHz| 2SA1490SI-P 120V 8A 80W 20MHz2SA1491SI-P 140V 10A 100W 20MHz| 2SA1494SI-P 200V 17A 200W 20MHz 2SA1507SI-P 180V 1.5A 10W 120MHz| 2SA1515SI-P 40V 1A 0.3W 150MHz2SA1516SI-P 180V 12A 130W 25MHz| 2SA1519SI-P 50V 0.5A 0.3W 200MHz 2SA1535A SI-P 180V 1A 40W 200MHz| 2SA1538SI-P 120V 0.2A 8W 400MHz 2SA1539SI-P 120V 0.3A 8W 400MHz| 2SA1540SI-P 200V0.1A 7W 300MHz 2SA1541SI-P 200V 0.2A 7W 300MHz| 2SA1553SI-P 230V15A 150W 25MHz 2SA1566SI-N 120V 0.1A 0.15W 130MHz| 2SA1567SI-P 50V12A 35W 40MHz2SA1568SI-P 60V 12A 40W| 2SA1577SI-P 32V 0.5A0.2W 200MHz2SA1593SI-P 120V 2A 15W 120MHz| 2SA1601SI-P 60V 15A 45W2SA1606SI-P 180V 1.5A 15W 100MHz| 2SA1615SI-P 30V 10A 15W 180MHz2SA1626SI-P 400V 2A 1W 0.5/2.7us| 2SA1633SI-P 150V 10A 100W 20MHz2SA1643SI-P 50V 7A 25W 75MHz| 2SA1667SI-P 150V 2A 25W 20MHz2SA1668SI-P 200V 2A 25W 20MHz| 2SA1670SI-P 80V 6A 60W 20MHz2SA1671SI-P 120/120V 8A 75W 20MHz| 2SA1672SI-P 140V 10A 80W 20MHz 2SA1673SI-P 180V 15A 85W 20MHz| 2SA1680SI-P 60V 2A 0.9W 100/400ns 2SA1684SI-P 120V 1.5A 20W 150MHz|2SA1694SI-P 120/120V 8A 80W 20MHz2SA1695SI-P 140V 10A 80W 20MHz| 2SA1703SI-P 30V 1.5A 1W 180MHz2SA1706SI-P 60V 2A 1W| 2SA1708SI-P 120V 1A 1W 120MHz2SA1726SI-P 80V 6A 50W 20MHz| 2SA1776SI-P 400V 1A 1W2SA1803SI-P 80V 6A 55W 30MHz| 2SA1837SI-P 230V 1A 20W 70MHz2SA1930SI-P 180V 2A 20W 200MHz| 2SA1962SI-P 230V 15A 130W 25MHz 2SA329GE-P 15V 10mA 0.05W| 2SA467SI-P 40V 0,4A 0,3W2SA473SI-P 30V 3A 10W 100MHz| 2SA483SI-P 150V 1A 20W 9MHz2SA493SI-P 50V 0.05A 0.2W 80MHz| 2SA495SI-P 35V0.1A 0.2W 200MHz2SA562SI-P 30V 0.5A 0.5W 200MHz| 2SA566SI-P 100V 0.7A 10W 100MHz2SA608SI-N 40V 0.1A 0.1W 180MHz| 2SA614SI-P 80V 1A 15W 30MHz2SA620SI-P 30V 0.05A 0.2W 120MHz| 2SA626SI-P 80V 5A 60W 15MHz2SA628SI-P 30V 0.1A 100MHz| 2SA639SI-P 180V50mA 0,25W2SA642SI-P 30V 0.2A 0.25W 200MHz| 2SA643SI-P 40V 0.5A 0.5W 180MHz2SA653SI-P 150V 1A 15W 5MHz| 2SA684SI-P 60V1A 1W 200MHz2SA699SI-P 40V 2A 10W 150MHz| 2SA708A SI-P 100V 0.7A 0.8W 50MHz2SA720SI-P 60V 0.5A 0.6W 200MHz| 2SA725SI-P 35V0.1A 0.15W 100MHz2SA733SI-P 60V 0.15A 0.25W 50MHz| 2SA738SI-P 25V 1.5A 8W 160MHz2SA747SI-P 120V 10A 100W 15MHz| 2SA756SI-P 100V 6A 50W 20MHz2SA762SI-P 110V 2A 23W 80MHz| 2SA765SI-P 80V6A 40W 10MHz2SA768SI-P 60V 4A 30W 10MHz| 2SA769SI-P 80V4A 30W 10MHz2SA770SI-P 60V 6A 40W 10MHz| 2SA771SI-P 80V6A 40W 2MHz2SA777SI-P 80V 0.5A 0.75W 120MHz| 2SA778A SI-P 180V 0.05A 0.2W 60MHz 2SA781SI-P 20V 0.2A 0.2W <80/16| 2SA794SI-P 100V 0.5A 5W 120MHz2SA794A SI-P 120V 0.5A 5W 120MHz| 2SA812SI-P 50V 0.1A 0.15W2SA814SI-P 120V 1A 15W 30MHz| 2SA816SI-P 80V0.75A 1.5W 100MHz2SA817SI-P 80V 0.3A 0.6W 100MHz| 2SA817A SI-P 80V 0.4A 0.8W 100MHz2SA836SI-P 55V 0.1A 0.2W 100MHz| 2SA838SI-P 30V30mA 0.25W 300MHz 2SA839SI-P 150V 1.5A 25W 6MHz| 2SA841SI-P 60V 0.05A 0.2W 140MHz2SA858SI-P 150V 50mA 0.5W 100MHz| 2SA872SI-P 90V 0.05A 0.2W 120MHz 2SA872A SI-P 120V 50mA 0.3W120MHz| 2SA884SI-P 65V 0.2A 0.27W 140MHz2SA885SI-P 45V 1A 5W 200MHz| 2SA886SI-P 50V1.5A 1.2W2SA893SI-P 90V 50mA 0.3W| 2SA900SI-P 18V 1A 1.2W2SA914SI-P 150V 0.05A 200MHz| 2SA915SI-P 120V0.05A 0.8W 80MHz2SA916SI-P 160V 0.05A 1W 80MHz| 2SA921SI-P 120V 20mA 0.25W 200MHz 2SA933SI-P 50V 0.1A 0.3W| 2SA934SI-P 40V 0.7A 0.75W2SA935SI-P 80V 0.7A 0.75W 150MHz| 2SA937SI-P 50V 0.1A 0.3W 140MHz2SA940SI-P 150V 1.5A 25W 4MHz| 2SA941SI-P 120V 0.05A 0.3W 150MHz2SA949SI-P 150V 50mA 0.8W 120MHz| 2SA965SI-P 120V 0.8A 0.9W 120MHz 2SA966SI-P 30V 1.5A 0.9W 120MHz| 2SA968SI-P 160V 1.5A 25W 100MHz2SA970SI-P 120V 0.1A 100MHz| 2SA982SI-P 140V 8A 80W 20MHz2SA984SI-P 60V 0.5A 0.5W 120MHz| 2SA985SI-P 120V 1.5A 25W 180MHz2SA988SI-P 120V 0.05A 0.5W| 2SA991SI-P 60V 0.1A 0.5W 90MHz2SA992SI-P 100V 0.05A 0.2W| 2SA995SI-P 100V 0.05A 0.4W 100MHz2SB1009SI-P 40V 2A 10W 100MHz| 2SB1010SI-P 40V 2A 0.75W 100MHz2SB1012K P-DARL 120V 1.5A 8W| 2SB1013SI-P 20V 2A 0.7W2SB1015SI-P 60V 3A 25W 0.4us| 2SB1016SI-P 100V 5A 30W 5MHz2SB1017SI-P 80V 4A 25W 9MHz| 2SB1018SI-P 100V 7A 30W 0.4us2SB1020P-DARL+D100V 7A 30W 0.8us| 2SB1023P-DARL+D60V 3A 20W B=5K2SB1035SI-P 30V 1A 0.9W 100MHz| 2SB1039SI-P 100V 4A 40W 20MHz2SB1050SI-P 30V 5A 1W 120MHz| 2SB1055SI-P 120V 6A 70W 20MHz2SB1065SI-P 60V 3A 10W| 2SB1066SI-P 50V 3A 1W 70MHz2SB1068SI-P 20V 2A 0.75W 180MHz| 2SB1071SI-P 40V 4A 25W 150MHz2SB1077P-DARL 60V 4A 40W B>1K| 2SB1086SI-P 160V 1.5A 20W 50MHz2SB1098P-DARL+D 100V 5A 20W B=80| 2SB1099P-DARL+D 100V 8A 25W B=6K2SB1100P-DARL+D 100V 10A 30W B=6| 2SB1109SI-P 160V 0.1A 1.25W2SB1109S SI-P 160V 0.1A 1.25W| 2SB1117SI-P 30V 3A 1W 280MHz2SB1120SI-P 20V 2.5A 0.5W 250MHz| 2SB1121T SI-P 30V 2A 150MHz2SB1123SI-P 60V 2A 0.5W 150MHz| 2SB1132SI-P 40V 1A 0.5W 150MHz2SB1133SI-P 60V 3A 25W 40MHz| 2SB1134SI-P 60V 5A 25W 30W2SB1135SI-P 60V 7A 30W 10MHz| 2SB1136SI-P 60V 12A 30W 10MHz2SB1140SI-P 25V 5A 10W 320MHz| 2SB1141SI-P 20V 1.2A 10W 150MHz2SB1143SI-P 60V 4A 10W 140MHz| 2SB1146P-DARL 120V 6A 25W2SB1149P-DARL 100V 3A 15W B=10K| 2SB1151SI-P 60V 5A 20W2SB1154SI-P 130V 10A 70W 30MHz| 2SB1156SI-P 130V 20A 100W2SB1162SI-P 160V 12A 120W| 2SB1163SI-P 170V 15A 150W2SB1166SI-P 60V 8A 20W 130MHz| 2SB1168SI-P 120V 4A 20W 130MHz2SB1182SI-P 40V 2A 10W 100MHz| 2SB1184SI-P 60V 3A 15W 70MHz2SB1185SI-P 50V 3A 25W 70MHz| 2SB1186SI-P 120V 1.5A 20W 50MHz2SB1187SI-P 80V 3A 35W| 2SB1188SI-P 40V 2A 100MHz2SB1202SI-P 60V 3A 15W 150MHz| 2SB1203SI-P 60V 5A 20W 130MHz2SB1204SI-P 60V 8A 20W 130MHz| 2SB1205SI-P 25V 5A 10W 320MHz2SB1212SI-P 160V 1.5A 0.9W 50MHz| 2SB1223P-DARL+D70V 4A 20W 20MHz2SB1236SI-P 120V 1.5A 1W 50MHz| 2SB1237SI-P 40V 1A 1W 150MHz2SB1238SI-P 80V 0.7A 1W 100MHz| 2SB1240SI-P 40V 2A 1W 100MHz2SB1243SI-P 60V 3A 1W| 2SB1254P-DARL 160V 7A 70W2SB1255P-DARL 160V 8A 100W B>5K| 2SB1258P-DARL+D100V 6A 30WB>1K2SB1274SI-P 60V3A30W 100MHz| 2SB1282P-DARL+D100V4A 25W 50MHz2SB1292SI-P 80V5A 30W| 2SB1302SI-P 25V 5A 320MHz2SB1318P-DARL+D 100V 3A 1W B>200| 2SB1326SI-P 30V 5A 0.3W 120MHz 2SB1329SI-P 40V1A 1.2W 150MHz| 2SB1330SI-P 32V 0.7A 1.2W 100MHz2SB1331SI-P 32V2A 1.2W 100MHz| 2SB1353E SI-P 120V 1.5A 1.8W 50MHz2SB1361SI-P 150V 9A 100W 15MHz| 2SB1370SI-P 60V 3A 30W 15MHz2SB1373SI-P 160V 12A 2.5W 15MHz| 2SB1375SI-P 60V 3A 25W 9MHz2SB1382P-DARL+D 120V 16A 75W B>2| 2SB1393SI-P 30V 3A 2W 30MHz2SB1420SI-P 120V 16A 80W 50MHz| 2SB1425SI-P 20V 2A 1W 90MHz2SB1429SI-P 180V 15A 150W 10MHz| 2SB1434SI-P 50V 2A 1W 110MHz2SB1468SI-P 60/30V 12A 25W| 2SB1470P-DARL 160V 8A 150W B>5K2SB1490P-DARL 160V 7A 90W B>5K| 2SB1493P-DARL 160/140V 7A 70W 202SB1503P-DARL160V8A 120W B>5K| 2SB1556P-DARL140V8A 120W B>5K2SB1557P-DARL140V7A 100W B>5K| 2SB1559P-DARL160V8A 80W B>5K2SB1560P-DARL 160V 10A 100W 50MHz| 2SB1565SI-P 80V 3A 25W 15MHz2SB1587P-DARL+D160V 8A 70W B>5K| 2SB1624P-DARL110V6A 60W B>5K2SB206GE-P 80V 30A 80W| 2SB324GE-P 32V 1A 0.25W2SB337GE-P 50V 7A 30W LF-POWER| 2SB407GE-P 30V 7A 30W2SB481GE-P 32V 1A 6W 15KHz| 2SB492GE-P 25V 2A 6W2SB511E SI-P 35V 1.5A 10W 8MHz| 2SB524SI-P 60V 1.5A 10W 70MHz2SB527SI-P 110V0.8A 10W 70MHz| 2SB531SI-P 90V 6A 50W 8MHz2SB536SI-P 130V1.5A 20W 40MHz| 2SB537SI-P 130V 1.5A 20W 60MHz2SB541SI-P 110V8A 80W 9MHz| 2SB544SI-P 25V 1A 0.9W 180MHz2SB546A SI-P 200V 2A 25W 5MHz| 2SB549SI-P 120V 0.8A 10W 80MHz2SB557SI-P 120V8A 80W| 2SB560SI-P 100V 0.7A 0.9W 100MHz2SB561SI-P 25V 0.7A 0.5W| 2SB564SI-P 30V 1A 0.8W2SB598SI-P 25V 1A 0.5W 180MHz| 2SB600SI-P 200V 15A 200W 4MHz2SB601P-DARL 100V 5A 30W| 2SB605SI-P 60V 0.7A 0.8W 120MHz2SB621SI-N 25V 1.5A 0.6W 200MHz| 2SB621A SI-N 50V 1A 0.75W 200MHz2SB631SI-P 100V1A 8W| 2SB632SI-P 25V 2A 10W 100MHz2SB633SI-P 100V6A 40W 15MHz| 2SB637SI-P 50V 0.1A 0.3W 200MHz2SB641SI-P 30V 0.1A 120MHz| 2SB647SI-P 120V 1A 0.9W 140MHz2SB649A SI-P 160V 1.5A 1W 140MHz| 2SB656SI-P 160V 12A 125W 20MHz2SB673P-DARL+D 100V 7A 40W 0.8us| 2SB676P-DARL 100V 4A 30W 0.15us 2SB681SI-N 150V 12A 100W 13MHz| 2SB688SI-P 120V 8A 80W 10MHz2SB700SI-P 160V12A 100W| 2SB703SI-P 100V 4A 40W 18MHz2SB705SI-P 140V10A 120W 17MHz| 2SB707SI-P 80V 7A 40W POWER2SB709SI-P 45V 0.1A 0.2W 80MHz| 2SB716SI-P 120V 0.05A 0.75W2SB720SI-P 200V2A25W100MHz| 2SB727P-DARL+D120V6A50W B>1K2SB731SI-P 60V 1A 10W 75MHz| 2SB733SI-P 20V 2A 1W >50MHz2SB734SI-P 60V 1A 1W 80MHz| 2SB739SI-P 20/16V 2A 0.9W 80MHz2SB740SI-P 70V 1A 0.9W| 2SB744SI-P 70V 3A 10W 45MHz2SB750P-DARL+D 60V 2A 35W B>100| 2SB753SI-P 100V 7A 40W 0.4us2SB764SI-P 60V 1A 0.9A 150MHz| 2SB765P-DARL+D 120V 3A 30W B>1K2SB766SI-P 30V 1A 200MHz| 2SB772SI-P 40V 3A 10W 80MHz2SB774SI-P 30V 0.1A 0.4W 150MHz| 2SB775SI-P 100V 6A 60W 13MHz2SB776SI-P 120V 7A 70W 15MHz| 2SB788SI-P 120V 0.02A 0.4W 150MHz2SB791P-DARL+D120V 8A 40W B>10| 2SB794P-DARL+D60V 1.5A 10W B=72SB795P-DARL+D 80V 1.5A 10W B<3| 2SB808SI-P 20V 0.7A 0.25W 250MHz 2SB810SI-P 30V 0.7A 0.35W 160MHz| 2SB815SI-P 20V 0.7A 0.25W 250MHz2SB816SI-P 150V 8A 80W 15MHz| 2SB817SI-P 160V 12A 100W2SB817F SI-P 160V 12A 90W 15MHz| 2SB819SI-P 50V 1.5A 1W 150MHz2SB822SI-P 40V 2A 0.75W 100MHz| 2SB824SI-P 60V 5A 30W 30 MHz2SB825SI-P 60V 7A 40W 10MHz| 2SB826SI-P 60V 12A 40W 10MHz2SB827SI-P 60V 7A 80W 10MHz| 2SB828SI-P 60V 12A 80W 10MHz2SB829SI-P 60V 15A 90W 20MHz| 2SB857SI-P 50V 4A 40W NF/S-L2SB861SI-P 200V 2A 30W| 2SB863SI-P 140V 10A 100W 15MHz2SB865P-DARL 80V 1.5A 0.9W| 2SB873SI-P 30V 5A 1W 120MHz2SB882P-DARL+D70V 10A 40W B>5K| 2SB883P-DARL+D70V 15A 70W B=5K2SB884P-DARL 110V 3A 30W B=4K| 2SB885P-DARL+D110V3A 35W B=4K2SB891SI-P 40V 2A 5W 100MHz| 2SB892SI-P 60V 2A 1W2SB895A P-DARL60V1A B=8000| 2SB897P-DARL+D100V10A 80W B>12SB908P-DARL+D 80V 4A 15W 0.15us| 2SB909SI-P 40V 1A 1W 150MHz2SB922SI-P 120V 12A 80W 20MHz| 2SB926SI-P 30V 2A 0.75W2SB938A P-DARL+D 60V 4A 40W B>1K| 2SB940SI-P 200V 2A 35W 30MHz 2SB941SI-P 60V 3A 35W POWER| 2SB945SI-P 130V 5A 40W 30MHz2SB946SI-P 130V 7A 40W 30MHz| 2SB950A P-DARL+D 80V 4A 40W B>1K 2SB953A SI-P 50V7A 30W 150MHz| 2SB955P-DARL+D120V10A 50W B=42SB975P-DARL+D 100V 8A 40W B>6K| 2SB976SI-P 27V 5A 0.75W 120MHz 2SB985SI-P 60V 3A 1W 150MHz| 2SB986SI-P 60V 4A 10W 150MHz2SB988SI-P 60V 3A 30W <400/2200| 2SC1000SI-N 55V 0.1A 0.2W 80MHz2SC1008SI-N 80V0.7A0.8W 75MHz|2SC1012A SI-N 250V60mA 0.75W >80MHz2SC1014SI-N 50V 1.5A 7W| 2SC1017SI-N 75V 1A 60mW 120MHz2SC1030SI-N 150V 6A 50W| 2SC1046SI-N 1000V 3A 25W2SC1047SI-N 30V 20mA 0.4W 650MHz| 2SC1050SI-N 300V 1A 40W2SC1051SI-N150V 7A 60W 8MHz|2SC1061SI-N 50V 3A25W 8MHz=H1062SC1070SI-N 30V 20mA 900MHz| 2SC1080SI-N 110V 12A 100W 4MHz2SC109SI-N 50V 0.6A 0.6W| 2SC1096SI-N 40V 3A 10W 60MHz2SC1106SI-N 350V 2A 80W| 2SC1114SI-N 300V 4A 100W 10MHz2SC1115SI-N 140V 10A 100W 10MHz| 2SC1116SI-N 180V 10A 100W 10MHz 2SC1161SI-P 160V 12A 120W| 2SC1162SI-N 35V 1.5A 10W 180MHz2SC1172SI-N 1500V 5A 50W| 2SC1195SI-N 200V 2.5A 100W2SC1213C SI-N 50V 0.5A 0.4W UNI| 2SC1214SI-N 50V 0.5A 0.6W 50MHz2SC1215SI-N 30V 50mA 0.4W 1.2GHZ| 2SC1216SI-N 40V 0.2A 0.3W <20/402SC1226SI-N 40/50V 2A 10W 150MHz| 2SC1238SI-N 35V 0.15A 5W 1.7GHz2SC1247A SI-N 50V 0.5A 0.4W 60MHz| 2SC1308SI-N 1500V 7A 50W2SC1312SI-N 35V 0.1A 0.15W 100MHz| 2SC1318SI-N 60V 0.5A 0.6W 200MHz 2SC1343SI-N 150V 10A 100W 14MHz| 2SC1345SI-N 55V 0.1A 0.1W 230MHz 2SC1359SI-N30V 30mA0.4W250MHz| 2SC1360SI-N50V0.05A 1W >300MHz2SC1362SI-N 50V 0.2A 0.25W 140MHz| 2SC1368SI-N 25V 1.5A 8W 180MHz2SC1382SI-N 80V 0.75A 5W 100MHz| 2SC1384SI-N 60V 1A 1W 200MHz2SC1393SI-N 30V 20mA 250 mW 700MHz| 2SC1398SI-N 70V 2A 15W2SC1413A SI-N 1200V 5A 50W| 2SC1419SI-N 50V 2A 20W 5MHz2SC1426SI-N 35V 0.2A 2.7GHz| 2SC1431SI-N 110V 2A 23W 80MHz2SC1432N-DARL30V 0.3A0.3W B=40| 2SC1439SI-N 150V50mA0.5W 130MHz2SC1445SI-N 100V 6A 40W 10MHz| 2SC1446SI-N 300V 0.1A 10W 55MHz2SC1447SI-N 300V 0.15A 20W 80MHz| 2SC1448SI-N 150V 1.5A 25W 3MHz2SC1449SI-N 40V 2A 5W 60MHz| 2SC1450SI-N 150V 0.4A 20W2SC1454SI-N 300V 4A 50W 10MHz| 2SC1474-4SI-N 20V 2A 0.75W 80MHz2SC1501SI-N 300V 0.1A 10W 55MHz| 2SC1505SI-N 300V 0.2A 15W2SC1507SI-N 300V 0.2A 15W 80MHz| 2SC1509SI-N 80V 0.5A 1W 120MHz2SC1515SI-N 200V 0.05A 0.2W 110MHz| 2SC1520SI-N 300V 0.2A 12,5W2SC1545N-DARL 40V 0.3A 0.3W B=1K| 2SC1567SI-N 100V 0.5A 5W 120MHz 2SC1570SI-N 55V 0.1A 0.2W 100MHz| 2SC1571SI-N 40V 0.1A 0.2W 100MHz2SC1573SI-N 200V 0.1A 1W 80MHz| 2SC1577SI-N 500V 8A 80W 7MHz2SC1583SI-N 50V 0.1A 0.4W 100MHz| 2SC1619SI-N 100V 6A 50W 10MHz2SC1623SI-N 60V 0.1A 0.2W 250MHz| 2SC1624SI-N 120V 1A 15W 30MHz2SC1627SI-N 80V 0.4A 0.8W 100MHz| 2SC1674SI-N 30V .02A 600MC RF/IF2SC1675SI-N 50V .03A 0.25W| 2SC1678SI-N 65V 3A 3W2SC1685SI-N60V0.1A 150MC UNI| 2SC1688SI-N 50V30mA0.4W 550MHz2SC1708A SI-N120V 50mA0.2W150MHz|2SC1729SI-N 35V 3.5A16W 500MHz2SC1730SI-N 30V 0.05A 1.1GHz UHF| 2SC1740SI-N 40V 100mA 0.3W2SC1741SI-N 40V 0.5A 0.3W 250MHz| 2SC1756SI-N 300V 0.2A >50MHz2SC1760SI-N 100V 1A 7.9W 80MHz| 2SC1775A SI-N 120V 0.05A 0.2W UNI2SC1781SI-N 50V 0.5A 0.35W| 2SC1815SI-N 50V 0.15A 0.4W 80MHz2SC1815BL SI-N 60V 0.15A 0.4W B>350| 2SC1815GR SI-N 60V 0.15A 0.4W B>2002SC1815Y SI-N 60V 0.15A 0.4W B>120| 2SC1827SI-N 100V 4A 30W 10MHz2SC1832N-DARL 500V 15A 150W B>10| 2SC1841SI-N 120V 0.05A 0.5W2SC1844SI-N 60V 0.1A 0.5W 100MHz| 2SC1845SI-N 120V 0.05A 0.5W2SC1846SI-N 120V 0.05A 0.5W| 2SC1847SI-N 50V 1.5A 1.2W2SC1855SI-N 20V20mA0.25W550MHz| 2SC1871SI-N450V15A150W <1/3us2SC1879N-DARL+D120V2A 0.8W B>1|2SC1890SI-N90V0.05A0.3W 200MHz2SC1895SI-N 1500V 6A 50W 2MHz| 2SC1906SI-N 19V 0.05A 0.3W2SC1907SI-N 30V 0.05A 1100MHz| 2SC1913SI-N 150V 1A 15W 120MHz2SC1914SI-N 90V 50mA 0.2W 150MHz| 2SC1921SI-N 250V 0.05A 0.6W2SC1922SI-N 1500V 2.5A 50W| 2SC1923SI-N 30V 20mA 10mW 550MHz2SC1929SI-N 300V 0.4A 25W 80MHz| 2SC1941SI-N 160V 50mA 0.8W2SC1944SI-N 80V 6A PQ=16W| 2SC1945SI-N 80V 6A 20W2SC1946A SI-N 35V 7A 50W| 2SC1947SI-N 35V 1A 4W/175MHz2SC1953SI-N 150V 0.05A 1.2W 70MHz| 2SC1957SI-N 40V 1A 1.8W/27MHz2SC1959SI-N 30V 0.5A 0.5W 200MHz| 2SC1967SI-N 35V 2A 8W 470MHz2SC1968SI-N 35V 5A 3W 470MHz| 2SC1969SI-N 60V 6A 20W2SC1970SI-N 40V 0.6A 5W| 2SC1971SI-N 35V 2A 12.5W2SC1972SI-N 35V 3.5A 25W| 2SC1975SI-N 120V 2A 3.8W 50MHz2SC1980SI-N 120V 20mA 0.25W 200MHz| 2SC1984SI-N 100V 3A 30W B=7002SC1985SI-N 80V 6A 40W 10MHz| 2SC2023SI-N 300V 2A 40W 10MHz2SC2026SI-N 30V 0.05A 0.25W| 2SC2027SI-N 1500/800V 5A 50W2SC2036SI-N 80V 1A PQ=1..4W| 2SC2053SI-N 40V 0.3A 0.6W 500MHz2SC2055SI-N 18V 0,3A 0,5W| 2SC2058SI-N 40V 0.05A 0.25W2SC2060SI-N 40V 0.7A 0.75W 150MHz| 2SC2061SI-N 80V 1A 0.75W 120MHz 2SC2068SI-N 300V 0.05A 95MHz| 2SC2073SI-N 150V 1.5A 25W 4MHz2SC2078SI-N 80V 3A 10W 150MHz| 2SC2086SI-N 75V 1A 0.45W/27MHz2SC2092SI-N 75V3A 5W 27MHz| 2SC2094SI-N 40V 3.5A PQ>15W 175MHz2SC2097SI-N 50V 15A PQ=85W| 2SC2120SI-N 30V 0.8A 0.6W 120MHz2SC2122SI-N 800V 10A 50W| 2SC2166SI-N 75V 4A 12.5W RFPOWER2SC2168SI-N 200V 2A 30W 10MHz| 2SC2200SI-N 500V 7A 40W 1US2SC2209SI-N 50V 1.5A 10W 150MHz|2SC2216SI-N45V 50mA0.3W 300MHz2SC2228SI-N 160V 0.05A 0.75W >50| 2SC2229SI-N 200V 50mA 0.8W 120MHz 2SC2230SI-N 200V 0.1A 0.8W 50MHz| 2SC2233SI-N 200V 4A 40W 8MHz2SC2235SI-N 120V 0.8A 0.9W 120MHz| 2SC2236SI-N 30V 1.5A 0.9W 120MHz 2SC2237SI-N 35V2A PQ>7.5W175MHz| 2SC2238SI-N160V 1.5A25W 100MHz2SC2240SI-N 120V 50mA .3W 100MHz| 2SC2261SI-N 180V 8A 80W 15MHz2SC2267SI-N 400/360V 0.1A 0.4W| 2SC2270SI-N 50V 5A 10W 100MHz2SC2271SI-N 300V0.1A 0.9W 50MHz| 2SC2275SI-N 120V 1.5A 25W 200MHz2SC2283SI-N38V 0.75A 2.8W(500MHz| 2SC2287SI-N38V 1.5A7.1W 175MHz2SC2295SI-N 30V 0.03A 0.2W 250MHz| 2SC2307SI-N 500V 12A 100W 18MHz 2SC2308SI-N 55V 0.1A 0.2W 230MHz| 2SC2310SI-N 55V 0.1A 0.2W 230MHz2SC2312SI-N 60V 6A 18.5W/27MHz| 2SC2314SI-N 45V 1A 5W2SC2320SI-N 50V 0,2A 0,3W| 2SC2329SI-N 38V 0.75A 2W 175MHz2SC2331SI-N 150V2A15W POWER| 2SC2333SI-N 500/400V 2A 40W2SC2334SI-N 150V7A40W POWER| 2SC2335SI-N 500V 7A 40W POWER2SC2336B SI-N250V 1.5A25W95MHz| 2SC2344SI-N180V 1.5A25W 120MHz2SC2347SI-N15V50mA 250mW650MHz| 2SC2362SI-N120V50mA0.4W 130MHz2SC2363SI-N 120V50mA 0.5W 130MHz| 2SC2365SI-N 600V 6A 50W POWER 2SC2369SI-N 25V 70mA 0.25W 4.5GHz| 2SC2383SI-N 160V 1A 0.9W 100MHz 2SC2389SI-N120V 50mA0.3W140MHz| 2SC2407SI-N35V 0.15A 0.16W 500MHz2SC2412SI-N 50V 0.1A 180MHz| 2SC2433SI-N 120V 30A 150W 80MHz2SC2440SI-N 450V5A40W| 2SC2458SI-N 50V 0.15A 0.2W 80MHz2SC2466SI-N 30V 0.05A 2.2GHz| 2SC2482SI-N 300V 0.1A 0.9W 50MHz2SC2485SI-N 100V6A70W15MHz| 2SC2486SI-N 120V 7A 80W 15MHz2SC2491SI-N 100V6A40W15MHz| 2SC2497SI-N 70V 1.5A 5W 150MHz2SC2498SI-N 30V 0.05A 0.3W 3.5GHz| 2SC2508SI-N 40V 6A 50W 175MHz2SC2510SI-N55V20A 250W(28MHz)| 2SC2512SI-N 30V 50mA 900MHz TUNE2SC2516SI-N 150V5A30W<0.5/2us| 2SC2517SI-N 150V 5A 30W <0.5/2us2SC2538SI-N 40V 0.4A 0.7W| 2SC2539SI-N 35V 4A 17W 175MHz2SC2542SI-N 450V5A40W| 2SC2547SI-N 120V 0.1A 0.4W2SC2551SI-N 300V0.1A 0.4W 80MHz| 2SC2552SI-N 500V 2A 20W2SC2553SI-N 500V5A40W1us| 2SC2562SI-N 60V 5A 25W 0.1us2SC2563SI-N 120V8A80W90MHz| 2SC2570A SI-N 25V 70mA 0.6W2SC2579SI-N 160V8A80W20MHz| 2SC2581SI-N 200V 10A 100W2SC2590SI-N 120V0.5A 5W 250MHz| 2SC2592SI-N 180V 1A 20W 250MHz2SC2603SI-N 50V 0.2A 0.3W| 2SC2610SI-N 300V 0.1A 0.8W 80MHz2SC2611SI-N 300V 0.1A 0.8W 80MHz| 2SC2621E SI-N 300V 0.2A 10W >50MHz 2SC2625SI-N 450V10A 80W| 2SC2630SI-N 35V 14A 100W2SC2631SI-N150V50mA 0,75W 160MHz| 2SC2632SI-N150V50mA 1W 160MHz2SC2634SI-N 60V 0.1A 0.4W 200MHz| 2SC2653SI-N 350V 0.2A 15W >50MHz2SC2654SI-N 40V 7A 40W| 2SC2655SI-N 50V 2A 0.9W 0.1us2SC2656SI-N 450V7A80W<1.5/4.5| 2SC2660SI-N 200V 2A 30W 30MHz2SC2668SI-N30V 20mA0.1W550MHz|2SC2671SI-N15V80mA0.6W 5.5GHz2SC2682SI-N 180V0.1A 8W 180MHz| 2SC2690SI-N 120V 1.2A 20W 160MHz2SC2694SI-N 35V 20A 140W| 2SC2705SI-N 150V 50mA 0.8W 200MHz2SC2706SI-N140V10A100W90MHz| 2SC2712SI-N50V0.15A 0.15W 80MHz2SC2714SI-N30V20mA0.1W550MHz| 2SC2717SI-N30V50mA0.3W 300MHz2SC2724SI-N 30V 30mA 200MHz| 2SC2749SI-N 500V 10A 100W 50MHz2SC2750SI-N150V15A100W POWER| 2SC2751SI-N500V 15A120W 50MHz2SC2752SI-N 500V 0.5A 10W <1/3.5| 2SC2753SI-N 17V 0.07A 0.3W 5GHz2SC2759SI-N 30V 50mA 0.2W 2.3GHz| 2SC2786SI-N 20V 20mA 600MHz2SC2787SI-N 50V 30mA 0.3W 250MHz| 2SC2791SI-N 900V 5A 100W2SC2792SI-N 850V 2A 80W| 2SC2793SI-N 900V 5A 100W2SC2802SI-N300V0.2A10W80MHz| 2SC2808SI-N100V50mA0.5W 140MHz2SC2810SI-N 500V 7A 50W 18MHz| 2SC2812SI-N 55V 0.15A 0.2W 100MHz 2SC2814SI-N 30V 0.03A 320MHz F| 2SC2825SI-N 80V 6A 70W B>5002SC2837SI-N150V10A100W70MHz| 2SC2839SI-N20V30mA 0.15W 320MHz2SC2851SI-N 36V 0.3A 1W 1.5GHz| 2SC2873SI-N 50V 2A 0.5W 120MHz2SC2878SI-N20V 0.3A 0.4W 30MHz| 2SC2879SI-N 45V 25A PEP=100W 28MHz2SC2882SI-N 90V 0.4A 0.5W 100MHz| 2SC288A SI-N 35V 20mA 0.15W2SC2898SI-N 500V 8A 50W| 2SC2901SI-N 40V 0.2A 0.6W <12/182SC2908SI-N200V5A 50W 50MHz| 2SC2910SI-N160V70mA0.9W 150MHz2SC2911SI-N180V140mA 10W150MHz| 2SC2912SI-N200V140mA10W 150MHz2SC2922SI-N 180V 17A 200W 50MHz| 2SC2923SI-N 300V 0.1A 140MHz2SC2928SI-N 1500V 5A 50W| 2SC2939SI-N 500V 10A 100W 2.5us2SC2958SI-N 160V 0.5A 1W| 2SC2979SI-N 800V 3A 40W2SC2987SI-N 140V 12A 120W 60MHz| 2SC2988SI-N 36V 0.5A 175MHz2SC2999SI-N 20V 30mA 750MHz| 2SC3001SI-N 20V 3A PQ=7W(175MHz) 2SC3019SI-N 35V 0.4A 0.6W 520MHz| 2SC3020SI-N 35V 1A 10W2SC3022SI-N 35V 7A 50W| 2SC3026SI-N 1700V 5A 50W POWER2SC3030N-DARL 900V 7A 80W| 2SC3039SI-N 500V 7A 52W2SC3042SI-N 500/400V 12A 100W| 2SC3052F SI-N 50V 0.2A 0.15W 200MHz2SC3063SI-N 300V 0.1A 1.2W 140MHz| 2SC30672xSI-N 130V 50mA 0.5W 160 2SC3068SI-N 30V 0.3A Ueb=15V B>8| 2SC3071SI-N 120V 0.2A Ueb=15V B>2SC3073SI-N 30V 3A 15W 100MHz| 2SC3074SI-N 60V 5A 20W 120MHz2SC3075SI-N 500V 0.8A 10W 1/1.5us| 2SC3089SI-N 800V 7A 80W2SC3101SI-N 250V 30A 200W 25MHz| 2SC3102SI-N 35V 18A 170W 520MHz 2SC3112SI-N50V0.15A0.4W100MHz| 2SC3116SI-N180V 0.7A10W 120MHz2SC3117SI-N 180V 1.5A 10W 120MHz| 2SC3133SI-N 60V 6A 1.5W 27MHz。