三极管参数表
- 格式:pdf
- 大小:200.73 KB
- 文档页数:17
常用三极管数据三极管是一种常用的电子元件,用于放大和开关电路。
在电子设备中,三极管的性能参数对于电路的设计和性能至关重要。
下面是常用三极管的数据,包括型号、最大额定值、电流增益、最大功率和封装类型等。
1. 型号:BC547- 最大额定值:- 集电极-基极电压:45V- 集电极-发射极电压:45V- 集电极电流:100mA- 电流增益:200-800- 最大功率:500mW- 封装类型:TO-922. 型号:2N3904- 最大额定值:- 集电极-基极电压:40V- 集电极-发射极电压:6V- 集电极电流:200mA- 电流增益:100-300- 最大功率:625mW- 封装类型:TO-923. 型号:2N3906- 最大额定值:- 集电极-基极电压:40V - 集电极-发射极电压:6V - 集电极电流:200mA- 电流增益:100-300- 最大功率:625mW- 封装类型:TO-924. 型号:BC337- 最大额定值:- 集电极-基极电压:45V - 集电极-发射极电压:5V - 集电极电流:800mA- 电流增益:100-630- 最大功率:625mW- 封装类型:TO-925. 型号:BC327- 最大额定值:- 集电极-基极电压:45V- 集电极-发射极电压:5V- 集电极电流:800mA- 电流增益:100-630- 最大功率:625mW- 封装类型:TO-92以上是常用的五种三极管型号及其相关数据。
这些数据是根据厂商提供的规格书和测试数据整理得到的。
不同型号的三极管适合于不同的电路应用,如放大器、开关和稳压器等。
在选择三极管时,需要根据具体的电路要求和设计需求来确定最合适的型号。
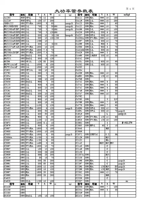
常用三极管技术参数列表1名称封装极性功能耐压电流功率频率配对管2D633 28 NPN 音频功放开关 100V 7A 40W 达林顿39013 21 NPN 低频放大 50V 901249014 21 NPN 低噪放大 50V 150HMZ 901559015 21 PNP 低噪放大 50V 150MHZ 901469018 21 NPN 高频放大 30V 1000MHZ78050 21 NPN 高频放大 40V 1W 100MHZ 855088550 21 PNP 高频放大 40V 1W 100MHZ 80502N2222 21 NPN 通用 60V 25/200NS9102N2369 4A NPN 开关 40V 800MHZ112N2907 4A NPN 通用 60V 26/70NS2N3055 12 NPN 功率放大 100V 15A 115W MJ295512132N3440 6 NPN 视放开关 450V 1A 1W 15MHZ 2N6609142N3773 12 NPN 音频功放开关 160V 16A 50W152N3904 21E NPN 通用 60V162N2906 21C PNP 通用 40V172N2222A 21铁 NPN 高频放大 75V 300MHZ2N6718 21铁 NPN 音频功放开关 100V 2A 2W18192N5401 21 PNP 视频放大 160V 100MHZ 2N5551202N5551 21 NPN 视频放大 160V 100MHZ 2N54012N5685 12 NPN 音频功放开关 60V 50A 300W21222N6277 12 NPN 功放开关 180V 50A 250W9012 21 PNP 低频放大 50V 901323242N6678 12 NPN 音频功放开关 650V 15A 175W 15MHZ259012 贴片 PNP 低频放大 50V 9013263DA87A 6 NPN 视频放大 100V 1W273DG6B 6 NPN 通用 20V 150MHZ283DG6C 6 NPN 通用 25V 250MHZ3DG6D 6 NPN 通用 30V 150MHZ2930MPSA42 21E NPN 电话视频放大 300V MPSA9231MPSA92 21E PNP 电话视频放大 300V MPSA42MPS2222A 21 NPN 高频放大 75V 300MHZ32339013 贴片 NPN 低频放大 50V 9012343DK2B 7 NPN 开关 30V353DD15D 12 NPN 电源开关 300V 5A 50W363DD102C 12 NPN 电源开关 300V 5A 50W373522V 5V稳压管38A634 28E PNP 音频功放开关 40V 2A 10W39A708 6 PNP 音频开关 80V40A715C 29 PNP 音频功放开关 35V 10W 160MHZ41A733 21 PNP 通用 50V 180MHZA741 4 PNP 开关 20V 70/120NS4243A781 39B PNP 开关 20V 80/160NSA928 ECB PNP 通用 20V 1A4445A933 21 PNP 通用 50V 140MHZ46A940 28 PNP 音频功放开关 150V 25W 4MHZ C207347A966 21 PNP 音频激励输出 30V 100MHZ C223648A950 21 PNP 通用 30V49A968 28 PNP 音频功放开关 160V 25W 100MHZ C2238A1009 BCE PNP 功放开关 350V 2A 15W5051A1220P 29 PNP 音频功放开关 120V 20W 150MHZ52A1013 21 PNP 视频放大 160V 1A C2383A1015 21 PNP 通用 60V 8MHZ C181553542N6050 12 PNP 音频功放开关 60V 12A 150W552N6051 12 PNP 音频功放开关 80V 12A 150W56A1175 PNP 通用 60V 180MHZ57A1213 贴片 PNP 超高频 50V 80MHZ58A719 ECB PNP 通用 30V 200MHZ59B12 G-PNP 音频 30V60B1114 ECB PNP 通用贴片 20V 2A 180MHZ61B205 锗管 PNP 音频功放开关 80V 20A 80W62B1215 BCE PNP 功放开关贴片 120V 3A 20W 130MHZC294 6 NPN 栾生对管 25V 200MHZ6364C1044 6 NPN 视放 45V65C1216 6 NPN 高速开关 40V T,20nS66C1344 ECB NPN 通用低噪 30V 230MHZ67C1733 6 NPN 栾生对管 30V 2GHZ68C1317 21ECB NPN 通用 30V 200MHZ69C546 21ECB NPN 高放 30V 600MHZ70C680 11 NPN 音频功放开关 200V 2A 30W 20MHZ71C665 12 NPN 音频功放开关 125V 5A 50W 15MHZ72C4581 BCE NPN 电源开关 600V 10A 65W 20MHZ73C4584 BCE NPN 电源开关 1200V 6A 65W 20MHZC4897 BCE NPN 行管 1500V 20A 150W7475C4928 BCE NPN 行管 1500V 15A 150W76C5411 BCE NPN 彩显行管17” 1500V 14A 60W77HQ1F3P 贴片 NPN 功放开关 20V 2A 2W78TIP132 28 NPN 音频功放开关 100V 8A 70W TIP13779A1020 21 PNP 音频开关 50V 2AA1123 21 PNP 低噪放大 150V8081A1162 21D PNP 通用贴片 50V82A1216 BCE PNP 功放开关 180V 17A 200W 20MHZ C2922A1265 BCE PNP 功放开关 140V 10A 100W 30MHZ C31828384A1295 BCE PNP 功放开关 230V 17A 200W 30MHZ C3264 85A1301 BCE PNP 功放开关 160V 12A 120W 30MHZ C3280C3280 BCE NPN 功放开关 160V 12A 120W 30MHZ A13018687A1302 BCE PNP 功放开关 200V 15A 120W 30MHZ C3281C3281 BCE NPN 功放开关 200V 15A 120W 30MHZ A13028889A1358 BCE PNP 120V 1A 10W 120MHZ90A1444 BCE PNP 高速电源开关 100V 15A 30W 80MHZ91A1494 BCE PNP 功放开关 200V 17A 200W 20MHZ C3858 92A1516 BCE PNP 功放开关 180V 12A 130W 25MHZ93A1668 BCE PNP 电源开关 200V 2A 25W 20MHZA1785 BCE PNP 驱动 120V 1A 1W 140MHZ9495A1941 BCE PNP 音频功放形状 140V 10A 100W C519896C5198 BCE NPN 音频功放形状 140V 10A 100W A1941A1943 BCE PNP 功放开关 230V 15AA 150W C52009798C5200 BCE NPN 功放开关 230V 15A 150W A194399A1988 BCE PNP 功放开关100B449 锗管 12 PNP 功放开关 50V101B647 21 PNP 通用 120V 1A 140MHZ D667102D667 21 NPN 通用 120V 1A 140MHZ B649103B1375 BCE PNP 音频功放 60V 3A 2W 9MHZ104D40C BCE NPN105对讲机用10640V 40W 75MHB688 BCE PNP 音频功放开关 120V 8A 80W D718107108B734 39B PNP 通用 60V 1A 1W D774109B649 29 PNP 视放 180V 20W D669110D669 29 NPN 视频放大 180V 20W 140MHZ B649111B669 28 PNP 达林顿功放 70V 4A 40W112B675 28 PNP 达林顿功放 60V 7A 40W113B673 28 PNP 达林顿功放 100V 7A 40W114B631K 29 PNP 音频功放开关 120V 1A 8W 130MHZ D600K 115D600K 29 NPN 音频功放开关 120V 1A 8W 130MHZ B631K 116C3783 BCE NPN 高压高速开关 900V 5A 100W117B1400 28B PNP 达林顿功放 120V 6A 25W D1590B744 29 PNP 音频功放开关 70V 3A 10W118119B1020 28 PNP 功放开关 100V 7A 40W120B1240 39B PNP 功放开关 40V 2A 1W 100MHZ121B1185 28B PNP 功放开关 60V 3A 25W 70MHZ D1762 122B1079 30 PNP 达林顿功放 100V 20A 100W D1559123B772 29 PNP 音频功放开关 40V 3A 10W D882B774 21 PNP 通用 30V124125B817 30 PNP 音频功放形状 160V 12A 100W D1047126B834 28 PNP 功放开关 60V 3A 30WB1316 54B PNP 达林顿功放 100V 2A 10W127128B1317 BCE PNP 音频功放 180V 15A 150W D1975129B1494 BCE PNP 达林顿功放 120V 20A 120W D2256B1429 BCE PNP 功放开关 180V 15A 150W130131C380 21 NPN 高频放大 35V 250MHZC458 21 NPN 通用 30V 230MHZ132133C536 21 NPN 通用 40V 180MHZ1342N6609 12 PNP 音频功放开关 160V 15A 150W >2MHZ 2N3773 135C3795 BCE NPN 高压高速开关 900V 5A 40W136C2458 21ECB NPN 通用低噪 50V137C3030 BCE NPN 开关管 900V 7A 80W. 达林顿C3807 BCE NPN 低噪放大 30V 2A 260MHZ138139C3858 BCE NPN 功放开关 200V 17A 200W 20MHZ A1494140D985 29 NPN 达林顿功放 150V ± 10WC2036 29 NPN 高放低噪 80V 1A 1-4W141142C2068 28E NPN 视频放大 300V 80MHZ143C2073 28 NPN 功率放大 150V 25W 4MHZ A940144C3039 28 NPN 电源开关 500V 7A 50W145C3058 12 NPN 开关管 600V 30A 200W146C3148 28 NPN 电源开关 900V 3A 40W147C3150 28 NPN 电源开关 900V 3A 50W148C3153 30 NPN 电源开关 900V 6A 100W149C3182 30 NPN 功放开关 140V 10A 100W A1265150C319821 NPN 高频放大 60V 130MHZ3DK4B 7 NPN 开关 40V1511523DK7C 7 NPN 开关 25V1533D15D 12 NPN 电源开关 300V 5A 50W154C2078 28 NPN 音频功放开关 80V 3A 10W 150MHZ155C2120 21 NPN 通用 30V156C2228 21 NPN 视频放大 160V157C2230 21 NPN 视频放大 200V158C2233 28 NPN 音频功放开关 200V 4A 40W159C2236 21 NPN 通用 30V A966160C1733 小铁 NPN 孪生对管 30V 2GHZ161C1317 21EBC NPN 通用 30V 200MHZC2238 28 NPN 音频功放开关 160V 25W 100MHZ A968162163C752 21 NPN 通用 30V 300MHZ164C815 21 NPN 通用 60V165C828 21 NPN 通用 45V166C900 21 NPN 低噪放大 30V 100MHZ167C945 21 NPN 通用 50V 250MHZC1008 21 NPN 通用 80V 50MHZ168169C1162 21 NPN 音频功放 35V 10W170C1213 39B NPN 监视器专用 30VC1222 21 NPN 低噪放大 60V 100MHZ171172C1494 40A NPN 发射 36V 6A PQ=40W 175MHZ173C1507 28 NPN 视放 300V 15WC1674 21 NPN HF/ZF 30V 600MHZ174175C1815 21 NPN 通用 60V 8MHZ A1015C1855 21F NPN HF/ZF 20V 550MHZ176177C1875 12 NPN 彩行 1500V 50W178C1906 21 NPN 高频放大 30V 1000MHZ179C1942 12 NPN 彩行 1500V 3A 50W180C1959 21 NPN 通用 30V 300MHZ181C1970 28 NPN 手机发射 40V PQ= 175MHZC1971 28A NPN 手机发射 35V 2A 175MHZ182183C1972 28A NPN 手机发射 35V PQ=15W 175MHZ184C2320 21 NPN 通用 50V 200MHZC2012 21 NPN 高放 30V 200MHZ185186C2027 12 NPN 行管 1500V 5A 50W187D814 BCE NPN 低噪放大贴片 150V 150MHZ188C5142 BCE NPN 彩行 1500V 20A 200W189D998 BCE NPN 音频功放开关 120V 10A 80W <1/3US190D2253 BCE NPN 彩显行管 1700V 6A 50W191D110 12 NPN 音频功放开关 130V 10A 100W 1MHZ192C2335 28 NPN 视频功放 500V 7A 40W193C2373 28 NPN 功放 200V 40W194C2383 21 NPN 视频开关 160V 1A A1013C3300 30 NPN 音频功放开关 100V 15A 100W195196C3310 28C NPN 电源开关 500V 5A 40W197C3320 28C NPN 电源开头 500V 15A 80W198C3355 21F NPN 高频放大 20V 6500MHZ199C3358 40B NPN 高频放大 20V 7000MHZ200C3457 BCE NPN 电源开关 1100V 3A 50W201C3460 BCE NPN 电源开关 1100V 6A 100W202C3466 BCE NPN 电源开关 1200V 8A 120W203C3505 28B NPN 电源开关 900V 6A 80W204C3527 BCE NPN 电源开关 500V 15A 100W205C3528 BCE NPN 电源开关 500V 20A 150WC3866 BCE NPN 高压高速开关 900V 3A 40W206207C2443 大铁 NPN 功放开关 600V 50A 400W208C2481 29 NPN 音频功放开关 150V 20W209C2482 21 NPN 视频放大 300V210C2500 21 NPN 通用 30V 2A 150MHZ211C2594 29 NPN 音频功放开关 40V 5A 10WC2611 29 NPN 视频放大 300V212213C2625 30 NPN 音频功放开关 450V 10A 80W214C2682 29 NPN NF/Vid 180V 8WC2688 29 NPN 视放管 300V 10W 80MHZ215216C2690 29 NPN 音频功放开关 120V 20W 150MHZ A1220P 217C2751 BCE NPN 电源开关 500V 15A 120WC2837 30 NPN 音频功放开关 150V 10A 100W218219C3873 BCE NPN 高压高速开关 500V 12A 75W 30MHZC3886 BCE NPN 开关行管 1400V 8A 50W 8MHZ220221C3893 28B NPN 行管 1400V 8A 50W 8MHZ222C3907 28B NPN 功放开关 180V 12A 130W 30MHZ223C3595 29 NPN 射频 30V224C4059 BCE NPN 高速开关 600V 15V 130W225C4106 BCE NPN 电源开关 500V 7A 50W 20MHZ?C4111 BCE NPN 开关行管 1500V 10A 150W226227C3679 BCE NPN 电源开关 900V 5A 100W 6MHZ228C2898 28 NPN 音频功放开关 500V 8A 50WC2922 43 NPN 音频功放开关 180V 17A 200W 50MHZ A1216 229230C3026 12 NPN 开关管 1700V 5A 50W231D986 29 NPN 达林顿功放 150-80V ± 10W232C3262 BCE NPN 功放 800V 10A 100W233C3264 BCE NPN PA功放开关 230V 17A 200WB=170 A1295 234C3280 30 NPN 音频功放开关 160V 12A 120WB=100235C3281 30 NPN 音频功放开关 200V 15A 150W 30MHZ236C3680 BCE NPN 电源开关 900V 7A 120W 6MHZ237C3688 BCE NPN 彩行 1500V 10A 150W238C3720 12 NPN 彩行 1200V 10A 200WC3953 29 NPN 视放 120V 400MHZ239240C3987 28 NPN 达林顿 50V 3A 20W241C3995 BCE NPN 行管 1500V 12A 180W242D1025 28 NPN 达林顿功放 200V 8A 50W243C3997 BCE NPN 行管 1500V 15A 250W244C3998 BCE NPN 行管 1500V 25A 250W245C4024 BCE NPN 功放开关 100V 10A 35W 24MHZ246C4038 BCE NPN 门电路 50V 180MHZ247D1037 BCE NPN 音频功放开关 150V 30A 180W248D1047 30 NPN 音频功放开关 160V 12A 100W B817249C4119 BCE NPN 微波炉开关 1500V 15A 250WC4231 50C NPN 音频功放 800V 2A 30W250251C4237 BCE NPN 高压高速开关 1000V 8A 120W 30MHZ252C4242 BCE NPN 高压高速开关 450V 7A 40W253C4297 BCE NPN 电源开关 500V 12A 75W 10MHZ254C4429 BCE NPN 电源开关 1100V 8A 60W255C4517 BCE NPN 音频功放 550V 3A 30W 6MHZC4532 BCE NPN 大屏行管 1700V 10A 200W256257C4582 BCE NPN 电源开关 600V 15A 75W 20MHZ258ON4673 BCE NPNON4873 BCE NPN259260C5244 BCE NPN 彩行 1700V 15A 200W261C5249 BCE NPN 功放开关 600V 3A 35W 6MHZC5250 BCE NPN 开关 1000V 7A 100W262263C5251 BCE NPN 彩行 1500V 12A 50WD1071 28 NPN 达林顿功放 300V 6A 40W264265C4706 BCE NPN 电源开关 900V 14A 130W 6MHZ266C4382 BCE NPN 功放开关 200V 2A 25W 20MHZ A1668 267C4742 46 NPN 彩行 1500V 6A 50W268C4745 46 NPN 彩行 1500V 6A 50W269C4747 46 NPN 彩行 1500V 10A 50WC4769 BCE NPN 微机行管 1500V 7A 60W270271C4913 BCE NPN 大屏视放管 2000V 35W272C4924 BCE NPN 音频功放 800V 10A 70WC4927 BCE NPN 行管 1500V 8A 50W273274C4927 BCE NPN SONY29行管 1500V 8A 50W275C4941 BCE NPN 行管 1500V 6A 65W 500/380NS276C4953 BCE NPN 功放开关 500V 2A 25W t=300nS277C5020 BCE NPN 彩行 1000V 7A 100W278C5068 BCE NPN 彩行 1500V 10A 50W279C5086 BCE NPN 彩行 1500V 10A 50W280C5088 BCE NPN 彩行 1500V 10A 50W281C5129 BCE NPN 彩显行管 1500V 8A 50W282D1163A 28 NPN 行偏转用 350V 7A 40W 60MHZD1175 12 NPN 行偏转用 1500V 5A 100W283284C5132 BCE NPN 彩行 1500V 16A 50W285C5144 BCE NPN 大屏彩行 1700V 20A 200W286C5148 BCE NPN 大屏彩行 1500V 8A 50W287C5149 BCE NPN 高速高频行管 1500V 8A 50W288C5198 BCE NPN 功放开关 140V 10A 100W289C5200 BCE NPN 功放开关 230V 15A 150W A1943290D1273 28 NPN 音频功放 80V 3A 40W 50MHZ291C5207 BCE NPN 彩行 1500V 10A 50W292C5243 BCE NPN 彩行 1700V 15A 200W293C5252 BCE NPN 彩行 1500V 15A 100WC5294 BCE NPN 彩行 1500V 20A t=200MS294295C5296 BCE NPN 开关管带阻 1500V 8A 80W296C5297 BCE NPN 开关管 1500V 16A 60W297C5331 BCE NPN 大屏彩显行管 1500V 15A 180W298D325 BCE NPN 功放开关 50V 3A 25W299D385 11 NPN 达林顿功放 100V 7A 30WD400 21 NPN 通用 25V 1A300301D1302 21 NPN 音频 25V 200MHZ302D1397 BCE NPN 开关 1500V 50W 3MHZD1398 BCE NPN 开关 1500V 5A 50W 3MHZ303304D1403 BCE NPN 彩行 1500V 6A 120W305D401 28 NPN 音频功放开关 200V 2A 20WD415 29 NPN 音频功放开关 120V 5W306307D438 21 NPN 通用 500V 1A 100MHZD560 BCE NPN 达林顿功放 150V 5A 30W308309D637 39E NPN 通用 60V 150MHZ310D667 21 NPN 视频放大 120V 1A 140MHZ B647311D1403 BCE NPN 彩行 1500V 6A 120W312D1415 BCE NPN 功放电源开关 100V 7A 40W 达林顿313D718 30 NPN 音频功放开关 120V 8A 80W B668D774 39B NPN 通用 100V 1A 1W B734314315D789 21 NPN 音频输出 100V 1A316D820 12 NPN 彩行 1500V 5A 50WD870 12 NPN 彩行 1500V 5A 50W317318D880 28 NPN 音频功放开关 60V 3A 10W319D882 29 NPN 音频功放开关 40V 3A 30W B772320D884 28 NPN 音频功放开关 330V 7A 40W321D898 12 NPN 彩行 1500V 3A 50W322D951 12 NPN 彩行 1500V 3A 65W323D965 21 NPN 音频 40V 5A324D966 21 NPN 音频 40V 5A 1W325D633拆 28 NPN 音频功放开关 100V 7A 40W达林顿326D1431 28B NPN 彩行 1500V 5A 80WD1433 28B NPN 彩行 1500V 7A 80W327328D1980 61B NPN 达林顿 100V 2A 10W329D1981 EBC NPN 达林顿 100V 2A 1W330D1993 45B NPN 音频低噪 55V331D1416 BCE NPN 功放电源开关 80V 7A 40W 达林顿332D1427 BCE NPN 彩行 1500V 5A 80W 带阻尼333BU2525AF 30 NPN 开关功放 1500V 12A 150W 350NS334D1428 28B NPN 彩行 1500V 6A 80W 带阻尼335BU2525AX 30 NPN 开关功放 1500V 12A 150W 350NS336D1439 BCE NPN 彩行 1500V 3A 80W337D1541 28B NPN 彩行 1500V 3A 80WD1545 28B NPN 彩行 1500V 5A 50W338339D1547 BCE NPN 彩行 1500V 7A 80W340BU2527AF 30 NPN 开关功放 1500V 15A 150W341D1554 BCE NPN 彩行 1500V 80W342D1555 BCE NPN 彩行 1500V 5A 80W343D1556 BCE NPN 彩行 1500V 6A 80WD1559 BCE NPN 达林顿功放 100V 20A 100W B1079344345D1590 28 NPN 达林顿功放 150V 8A 25W346D1623 28B NPN 彩行 1500V 4A 70WD1640 29 NPN 达林顿功放 120V 2A347348D1651 SP NPN 彩行 1500V 5A 60W 3MHZ349D1710 BCE NPN 彩行 1500V 5A 50WD1718 28C NPN 音频功放 180V 15A 150W 20MHZ350351D1762 BCE NPN 音频功放开关 60V 3A 25W 90MHZ B1185D1843 BCE NPN 低噪放大 50V 1A 1W352353D1849 50A NPN 彩行 1500V 7A 120W354D1850 50A NPN 彩行 1500V 7A 120W355D1859 50A NPN 音频 80V 1W 120MHZ356D1863 50A NPN 音频 120V 1A 1W 100MHZ357D1724 29 NPN 开关 120V 3A 180MHZD1877 30 NPN 彩行 1500V 4A 50W 带阻尼358359D1879 30 NPN 彩行 1500V 6A 60W 带阻尼360D1887 20 NPN 彩行 1500V 10 70WD1930 21 NPN 达林顿 100V 2A 达林顿361362D1975 53A NPN 音频功放 180V 15A 150W B1317363BU2532AW 30 NPN 开关功放 1500V 15A 150W364D1978 21 NPN 达林顿 120V365D1994A EBC NPN 音频驱动 60V 1A 1W366BD237 29 NPN 音频功放 100V 2A 25W BD238367BD238 29 PNP 音频功放 100V 2A 25W BD237368BU2520AF 30 NPN 开关功放 1500V 10A 150W 1/500NS 369BU2520DF 30 NPN 开关功放 1500V 10A 150W 1/500NS 370BU2520DX 30 NPN 开关功放 1500V 10A 50W 600NSBUH515 BCE NPN 行管 1500V 10A 80W371372BUH515D BCE NPN 行管 1500V 10A 80W373BUS13A 12 NPN 开关功放 1000V 15A 175W374D1997 45B NPN 激励管 40V 3A 100MHZ375D2008 EBC NPN 音频功放 80V 1A376D2012 BCE NPN 音频功放 60V 3A 2W 3MHZ377D2136 EBC NPN 功放 80V 1A378D2155 53A NPN 音频功放 180V 15A 150W379D2256 46 NPN 达林顿功放 120V 25A 125W B1494380D2334 28B NPN 彩行 1500V 5A 80W381D2335 BCE NPN 彩行 1500V 7A 100W 带阻尼D2349 BCE NPN 大屏彩显行管 1500V ±10A 50W382383D1959 BCE NPN 彩行 1400V 10A 50W384D2374 BCE NPN 功放开关 60V 3A 25W 30MHZ385D2375 BCE NPN 高放大倍数 80V 3A 25W 50MHZ386D2388 EBC NPN 达林顿 90V 3A387D2445 BCE NPN 彩行 1500V 120WD2498 BCE NPN 彩行 1500V 6A 50W388389D2588 BCE NPN 点火器用390DK55 BCE NPN 开关 400V 4A 60WBC307 21a PNP 通用 50V391392BC327 CBE PNP 低噪音频 50V BC337393BC337 21a NPN 音频激励低噪 50V BC327BC338 21a NPN 通用激励 50V394395BC546 21a NPN 通用 80VBC547 CBE NPN 通用 50V 300MHZ396397BD135 29 NPN 音频功放 45V398BD136 29 PNP 音频功放 45V BD137399BD137 29 NPN 音频功放 60V BD136400BD138 29 PNP 音频功放 60V BD139401BD139 29 PNP 音频功放 80V BD138BUS14A 12 NPN 开关功放 1000V 30A 250W402403BUT11A 28 NPN 开关功放 1000V 5A 100W404BD243 28 NPN 音频功放 45V 6A 65W BD244BD244 28 PNP 音频功放 45V 6A 65W BD243405406BD681 29 NPN 达林顿功放 100V 4A 40W BD682407BD682 29 PNP 达林顿功放 100V 4A 40W BD681408BF458 29 NPN 视放 250V 10W409BU208A 12 NPN 彩行 1500V 5A410BU208D 12 NPN 彩行 1500V 5A411BU323 28 NPN 达林顿功放 450V 10A 125W412BU406 28 NPN 行管 400V 7A 60W413BU508A 28 NPN 行管 1500V 75W414BU508A 28 NPN 行管 1500V 75WBU508D 28 NPN 行管 1500V 75W415416BU806 28 NPN 功放 400V 8A 60W417BU932R 12 NPN 功放 500V 15A 150W418BUT12A 28 NPN 开关功放 450V 10A 125W419BU941 12 NPN 功放开关 500V 15A 175W 达林顿420BU1508DX 28 NPN 开关功放 1500V 8A 35W421BU2506DX 30 NPN 开关功放 1500V 7A 50W 600NS422BU2508AF 30 NPN 开关功放 1500V 8A 125W 600NS423BU2508AX 30 NPN 开关功放 1500V 8A 125W 600NS424BU2508DF 30 NPN 开关功放 1500V 8A 125W 600NS425BU2508DX 30 NPN 开关功放 1500V 8A 50W 600NSBUV26 28 NPN 音频功放开关 90V 14A 65W 250NS426427BU2522AF 30 NPN 开关功放 1500V 11A 150W 350NS428MJ15024 12 NPN 音频功放开关 400V 16A 250W 4MHZ MJ15025 429MJ15025 12 PNP 音频功放开关 400V 16A 250W 4MHZ MJ15024 430MJE271 29 PNP 达林顿 100V 2A 15W 6MHZ431BUV28A 28 NPN 音频功放开关 225V 10A 65W 250NSBUV48A 30 NPN 音频功放开关 450V 15A 150W432433BUW13A 30 NPN 功放开关 1000V 15A 150W434BUX48 12 NPN 功放开关 850V 15A 125WBUX84 30 NPN 功放开关 800V 2A 40W435436BUX98A 12 NPN 功放开关 400V 30A 210W 5MHZ437DK55 28 NPN 功放开关 400V 4A 65WDTA114 PNP 10K-10K 160V438439DTC143 NPN 录像机用HPA100 BCE NPN 大屏彩显行管 1500V 10A 150W440441HPA150 BCE NPN 大屏彩显行管 1500V 15A 150W442HSE830 BCE PNP 音频功放 80V 115W 1MHZ HSE800443HSE838 BCE NPN 音频功放 80V 115W 1MHZ HSE830444MN650 BCE NPN 行管 1500V 6A 80W445MJ802 12 NPN 音频功放开关 90V 30A 200W MJ4502MJ2955 12 PNP 音频功放开关 60V 15A 115W MJ3055446447MJ3055 12 NPN 音频功放开关 60V 15A 115W MJ2955448MJ4502 12 PNP 音频功放开关 90V 30A 200W MJ802MJ10012 12 NPN 达林顿 400V 10A 175W449450MJ10015 12 NPN 电源开关 400V 50A 200W451MJ10016 12 NPN 电源开关 500V 50A 200W452MJ10025 12 电源开关 850V 20A 250W453MJ11032 12 NPN 电源开关 120V 50A 300W MJ11033454MJ11033 12 PNP 电源开关 120V 50A 300W MJ11032455MJ13333 12 NPN 电源开关 400V 20A 175W456MJ11015 12 PNP 铁达林顿 500V 10A457MJ14003 12 PNP 铁458MJE340 29 NPN 视放 300V 20W MJE350MJE350 29 PNP 视放 300V 20W MJE340459460MJE2955T BCE PNP 音频功放开关 60V 10A 75W 2MHZ MJE3055T 461MJE3055T BCE NPN 音频功放开关 70V 10A 75W 2MHZ MJE2955T 462MJE5822 BCE PNP 音频功放开关 500V 8A 80W463MJE9730 BCE NPN464MJE13003 29 NPN 功放开关 400V 14W465MJE13005 28 NPN 功放开关 400V 4A 60W466MJE13007 28 NPN 功放开关 1500V 60W467KSE800 28 NPN 达林顿 140V 4A 20W468TIP31C BCE NPN 功放开关 100V 3A 40W 3MHZ TIP32469TIP32C BCE PNP 功放开关 100V 3A 40W 3MHZ TIP31TIP35C 30 NPN 音频功放开关 100V 25A 125W 3MHZ TIP36470471TIP36C 30 PNP 音频功放开关 100V 25A 125W 3MHZ TIP35472TIP41C 30 NPN 音频功放开关 100V 6A 65W 3MHZ TIP42473TIP42C 30 PNP 音频功放开关 100V 6A 65W 3MHZ TIP41474TIP102 28 NPN 音频功放开关 100V 8A 2W475TIP105 28 PNP 音频功放开关 60V 15A 80W 达林顿TIP122 28 NPN 音频功放开关 100V 5A 65W TIP127476477TIP127 28 PNP 音频功放开关 100V 5A 65W TIP122478TIP137 28 PNP 音频功放开关 100V 8A 70W TIP132TIP142 30 NPN 音频功放开关 100V 10A 125W TIP147479480TIP142大 30 NPN 音频功放开关 100V 10A 125W TIP147481TIP147 30 PNP 音频功放开关 100V 10A 125W TIP142TIP147大 30 PNP 音频功放开关 100V 10A 125W TIP142482483TIP152 BCE 电梯用达林顿 400V 3A 65WTL431 21 电压基准源484485BT33 电压结晶体管486UGN3144 SGO 霍尔开关60MIAL1 电磁/微波炉 1000V 60A 300W487488T30G40 BCE NPN 大功率开关管 400V 30A 300W 4895609 21 NPN 音频低频放大 50V 56104905610 21 PNP 音频低频放大 50V 56104919626 21 NPN 通用492。
2SA564A25V0.1A0.25W**PNP 2SA608F30V0.1A0.25W**PNP 2SA67350V0.5A0.4W**PNP 2SA720-Q50V0.5A0.4W**PNP 2SA778AK180V0.05A0.2W**PNP 2SA90490V0.05A0.2W**PNP 2SA933S50V0.1A0.9W**PNP 2SA940150V 1.5A 1.5W**PNP 2SA950Y150V0.8A0.6W**PNP 2SA966Y30V 1.5A0.9W**PNP 2SA968Y160V 1.5A25W**PNP 2SB1013A30V0.5A0.3W**PNP2SB1020100V7A40W6000*PNP(达林顿)2SB1079100V20A100W5000*PNP(达林顿)2SB118560V3A25W*75MHZ PNP 2SB123880V0.7A1W*100MHZ PNP 2SB124040V2A1W*100MHZ PNP 2SB124340V3A1W*70MHZ PNP2SB1316100V2A10W15000*PNP(达林顿)2SB1317180V15A150W**PNP 2SB133580V4A30W**PNP 2SB137560V3A2W**PNP2SB1400120V6A25W1000-20000*PNP(达林顿)2SB1429180V15A150W**PNP2SB1494120V25A120W**PNP(达林顿)2SB44950V 3.5A22W**PNP 2SB564A45V0.050.25W**PNP 2SB642-R60V0.2A0.4W**PNP 2SB647120V1A0.9W*140MHZ PNP 2SB649180V 1.5A1W**PNP2SB66970V4A40W**PNP(达林顿)2SB67560V7A40W**PNP(达林顿)2SB686100V6A60W**PNP 2SB688120V8A80W**PNP 2SB73460V1A1W**PNP 2SB74470V3A10W**PNP 2SB77240V3A10W**PNP 2SB774T30V0.01A0.25W**PNP 2SB817160V12A100W**PNP 2SB83460V3A30W**PNP 2SB88260V- 1.7W**PNP 2SB940200V2A30W**PNP 2SC100880V0.7A0.8W*50MHZ NPN 2SC104730V0.015A0.15W**NPN 2SC10660V 1.5A15W**NPN2SC1214C50V0.5A0.6W**NPN 2SC122260V0.1A0.25W*100MHZ NPN 2SC1317-R30V0.5A0.4W**NPN 2SC136050V0.05A0.5W**NPN 2SC149436V6A40W*175MHZ NPN 2SC1507300V0.2A15W**NPN 2SC1507300V0.2A15W**NPN 2SC1514300V0.1A 1.25W**NPN 2SC1569300V0.15A 1.5W**NPN 2SC1573A250V0.07A0.6W**NPN 2SC1573A250V0.07A0.6W**NPN 2SC1573A250V0.07A0.6W**NPN 2SC1627Y80V0.3A0.6W**NPN 2SC167430V0.02A0.1W**NPN 2SC168530V0.1A0.25W**NPN 2SC1685Q30V0.1A0.25W**NPN 2SC174050V0.3A0.3W**NPN 2SC1815Y60V0.15A0.4W**NPN 2SC182780V4A30W**NPN 2SC184645V1A 1.2W**NPN 2SC185520V0.02A0.25W*550MHZ NPN 2SC185520V0.02A0.25W*550MHZ NPN 2SC187550V0.15A0.4W**NPN 2SC1890A120V0.05A0.3W**NPN 2SC190630V0.05A0.3W**NPN 2SC192340V0.02A0.1W**NPN 2SC19421500V3A100W**NPN 2SC195930V0.4A0.5W**NPN 2SC1983R80V3A30W**NPN 2SC20271500V5A50W**NPN 2SC206870V0.2A0.62W**NPN 2SC2073150V 1.5A25W**NPN 2SC2120Y30V0.8A0.6W**NPN 2SC21252200V5A50W**NPN 2SC2168200V2A30W**NPN 2SC218845V0.05A0.6W**NPN 2SC2190450V5A100W**NPN 2SC221650V0.05A0.3W**NPN 2SC2229200V0.05A0.8W**NPN 2SC223630V 1.5A0.9W**NPN 2SC2238160V 1.5A25W**NPN 2SC2258250V0.1A1W**NPN 2SC227300V0.1A0.75W**NPN 2SC2271N300V0.1A0.75W**NPN 2SC2371300V0.1A10W**NPN 2SC237720V0.015A0.2W**NPN 2SC2377C30V0.15A0.2W**NPN 2SC2383Y160V1A0.9W**NPN2SC2568300V0.2A10W**NPN 2SC2570A25V0.07A0.6W**NPN 2SC259440V5A10W**NPN 2SC2610300V0.1A0.8W**NPN 2SC2611300V0.1A 1.25W**NPN 2SC2621300V0.2A10W**NPN 2SC2636Y30V0.05A0.4W**NPN 2SC2653H250V0.2A15W**NPN 2SC2655Y60V2A0.9W**NPN 2SC2688300V0.2A10W**NPN 2SC271735V0.8A7.5W**NPN 2SC278560V0.1A0.3W**NPN 2SC283930V0.1A0.1W**NPN 2SC287850V0.3A0.4W**NPN 2SC2923300V0.2A15W**NPN 2SC304CD60V0.5A0.8W**NPN 2SC3063300V0.1A 1.2W**NPN 2SC311460V0.15A0.2W**NPN 2SC3153900V6A100W**NPN 2SC3198G60V0.15A0.4W**NPN 2SC3265Y30V0.8A0.2W**NPN 2SC3271300V0.1A5W**NPN 2SC327930V2A0.75W**NPN 2SC3300100V15A100W**NPN 2SC3300100V15A100W**NPN 2SC3310500V5A40W20*NPN 2SC3310500V5A40W20*NPN 2SC3320500V15A80W**NPN 2SC3320500V15A80W**NPN 2SC332880V2A0.9W**NPN 2SC335520V0.15A**6500MHZ NPN 2SC335520V0.15A**6500MHZ NPN 2SC335820V0.15A**7000MHZ NPN 2SC335820V0.15A**7000MHZ NPN 2SC339950V0.1A0.3W**NPN 2SC340250V0.1A0.3W**NPN 2SC3413C40V0.1A0.5W**NPN 2SC34571100V3A50W12*NPN 2SC34571100V3A50W12*NPN 2SC34601100V6A100W12*NPN 2SC34601100V6A100W12*NPN 2SC34801500V 3.5A80W**NPN 2SC34811500V5A120W**NPN 2SC34821500V6A120W**NPN 2SC34841500V 3.5A80W**NPN 2SC34851500V5A120W**NPN 2SC34861500V6A120W**NPN 2SC3505900V6A80W12*NPN2SC3527500V15A100W13*NPN2SC3527500V15A100W13*NPN2SC359530V0.5A 1.2W90*NPN2SC359530V0.5A 1.2W90*NPN2SC3679900V5A100W**NPN2SC3679900V5A100W**NPN2SC3680900V7A120W**NPN2SC3680900V7A120W**NPN2SC36851500V6A120W**NPN2SC36861500V7A120W**NPN2SC36871500V8A150W**NPN2SC36881500V10A150W**NPN2SC37201200V10A200W**NPN2SC37201200V10A200W**NPN2SC37291500V5A50W**NPN2SC3783900V5A100W**NPN2SC38035V0.03A0.25W**NPN2SC380730V2A 1.2W*260MHZ NPN2SC38320V0.05A0.2W**NPN2SC3858200V17A200W*20MHZ NPN2SC3866900V3A40W**NPN2SC3873500V12A75W*30MHZ NPN2SC38831500V5A50W**NPN2SC38861400V8A50W*8MHZ NPN2SC388A20V0.02A0.2W**NPN2SC38931400V8A50W*8MHZ NPN2SC3907180V12A130W*30MHZ NPN2SC3953120V0.2A 1.3W*400MHZ NPN2SC398750V3A20W1000*NPN(达林顿) 2SC39971500V15A250W**NPN2SC39981500V25A250W**NPN2SC4024100V10A35W**NPN2SC40350V0.1A0.1W**NPN2SC403850V0.1A0.3W*180MHZ NPN2SC4059600V15A130W**NPN2SC4106500V7A50W*20MHZ NPN2SC41111500V10A250W**NPN2SC41191500V15A250W**NPN2SC4199A1500V10A100W**NPN2SC4231800V2A30W**NPN2SC4242450V7A40W**NPN2SC42881400V12A200W**NPN2SC42911500V5A100W**NPN2SC42921500V6A100W**NPN2SC4297500V12A75W**NPN2SC4303A1500V6A80W**NPN2SC44291100V8A60W**NPN2SC4517550V3A30W**NPN2SC4582600V15A75W**NPN2sc4706900V14A130W*6MH NPN2sc47421500V6A50W**NPN( 带阻尼)2sc47451500V6A50W**NPN 2sc47471500V10A50W**NPN2sc47691500V7A60W**NPN( 带阻尼)2sc49132000V0.2A35W**NPN2sc4924800V10A70W**NPN2sc49271500V8A50W**NPN2sc49411500V6A65W**NPN2sc4953500V2A25W**NPN2SC495Y70V0.8A5W**NPN2sc50201000V7A100W**NPN2sc50681500V10A50W**NPN2sc50861500V10A50W**NPN2sc50881500V10A50W**NPN2sc51321500V16A50W**NPN2sc5200230V15A150W**NPN2SC52071500V10A50W**NPN2SC52431500V15A200W**NPN2SC52441500V15A200W**NPN2SC52501000V7A100W**NPN2SC52511500V12A50W**NPN2SC52521500V15A100W**NPN2SC536F40V0.1A0.25W**NPN2SC752G40V0.2A0.2W**NPN2SC81560V0.2A0.25W**NPN2SC82845V0.05A0.25W**NPN2SC90030V0.03A0.25W*100MHZ NPN2SC94550V0.1A0.25W**NPN2SD101050V0.05A0.3W**NPN2SD10161500V7A50W**NPN2SD1025200V8A50W**NPN(达林顿) 2SD1037150V30A180W**NPN2SD1047160V12A100W**NPN2SD107850V2A20W**NPN2SD113370V4A40W**NPN2SD1138C150V2A30W**NPN2SD11421500V 3.5A50W**NPN2SD11431500V5A65W**NPN2SD1163A350V7A40W*60MHZ NPN2SD11721500V5A65W**NPN2SD11731500V5A70W**NPN2SD11741500V5A85W**NPN2SD11751500V5A100W**NPN2SD11751500V5A100W**NPN2SD12191500V3A65W**NPN2SD122660V3A35W**NPN2SD124630V2A0.75W**NPN2SD1271A130V7A40W**NPN2SD127380V3A40W*50MHZ NPN2SD1274A150V5A40W**NPN2SD12901500V3A50W**NPN2SD130225V0.5A0.5W*200MHZ NPN2SD13411500V5A50W**NPN2SD13421500V5A50W**NPN2SD13431500V6A50W**NPN2SD13441500V6A50W**NPN2SD137880V0.7A10W**NPN2SD13911500V5A80W**NPN2SD13961500V 2.5A50W**NPN2SD13971500V 3.5A50W**NPN2SD13981500V5A50W**NPN2SD13991500V6A60W**NPN2SD14021500V5A120W**NPN2SD14031500V6A50W**NPN2SD1405Y50V3A30W**NPN2SD14101500V 3.5A80W**NPN2SD141580V7A40W6000*NPN(达林顿) 2SD141680V7A40W6000*NPN(达林顿) 2SD14261500V 3.5A80W**NPN2SD14261500V 3.5A80W**NPN2SD14271500V5A80W**NPN2SD14281500V6A80W**NPN2SD14311500V5A80W**NPN2SD14311500V5A80W**NPN2SD14321500V6A80W**NPN2SD14331500V7A80W**NPN2SD14341700V5A80W**NPN2SD14541700V4A50W**NPN2SD14551500V5A50W**NPN2SD14551500V5A50W**NPN2SD14561500V6A50W**NPN2SD148080V4A25W**NPN2SD14971500V6A50W**NPN2SD1499100V5A40W**NPN2SD15411500V3A50W**NPN2SD15411500V3A50W**NPN2SD15441500V 3.5A40W**NPN2SD15451500V5A50W**NPN2SD15461500V6A50W**NPN2SD15471500V7A50W**NPN2SD15481500V10A50W**NPN2SD15541500V 3.5A40W**NPN2SD15551500V5A50W**NPN2SD15561500V6A50W**NPN2SD1559100V20A20W5000*NPN(达林顿)2SD1590150V8A25W15000*NPN(达林顿) 2SD16321500V4A70W**NPN2SD16351500V5A100W**NPN2SD1640120V2A 1.2W4000-40000*NPN(达林顿) 2SD16501500V 3.5A50W**NPN2SD16511500V5A60W**NPN2SD16521500V6A60W**NPN2SD16531500V 2.5A50W**NPN2SD16541500V 3.5A50W**NPN2SD16551500V5A60W**NPN2SD16561500V6A60W**NPN2SD17101500V6A100W**NPN2SD17111500V7A100W**NPN2SD1718180V15A 3.2W*20MHZ NPN2SD17291500V 3.5A60W**NPN2SD17301500V5A100W**NPN2SD17311500V6A100W**NPN2SD17321500V7A120W**NPN2SD17371500V 3.5A60W**NPN2SD17381500V5A100W**NPN2SD17391500V6A100W**NPN2SD176260V3A25W*90MHZ NPN2SD184750V1A1W**NPN(低噪) 2SD18761500V3A50W**NPN2SD1877800V4A50W**NPN2SD18781500V5A60W**NPN2SD18791500V6A60W**NPN2SD18801500V8A70W**NPN2SD18811500V10A70W**NPN2SD18821500V3A50W**NPN2SD18831500V4A50W**NPN2SD18841500V5A60W**NPN2SD18851500V6A60W**NPN2SD18861500V8A70W**NPN2SD18871500V10A70W**NPN2SD19111500V5A50W**NPN2SD1930100V2A 1.2W1000*NPN(达林顿) 2SD19411500V6A50W**NPN2SD1975180V15A150W**NPN2SD1978120V 1.5A1W30000*NPN(达林顿) 2SD1980100V2A10W1000-10000*NPN(达林顿) 2SD199350V0.1A0.4W**NPN2SD199460V1A1W**NPN2SD199740V3A 1.5W*100MHZ NPN2SD200880V1A 1.5W**NPN2SD201260V3A2W**NPN2SD20271500V5A50W**NPN2SD203660V1A 1.2W**NPN2SD2155180V15A150W**NPN2SD2156120V25A125W2000-20000*NPN(达林顿) 2SD23341500V5A80W**NPN2SD23351500V7A100W**NPN2SD238890V3A 1.2W**NPN(达林顿) 2SD24451500V12.5A120W**NPN2SD32550V3A25W**NPN2SD3481500V7A50W**NPN2SD3505900V6A50W**NPN2SD385100V7A30W**NPN( 达林顿)2SD40025V1A0.75W**NPN 2SD401AK200V2A25W**NPN2SD40C40V0.5A40W**NPN( 达林顿)2SD415120V0.8A5W**NPN 2SD438500V1A0.75W*100MHZ NPN 2SD547600V50A400W**NPN 2SD553Y70V7A40W**NPN2SD560150V5A30W**NPN( 达林顿)2SD601AR60V0.1A0.2W**NPN2SD667120V1A0.9W*140MHZ NPN( 达林顿)2SD669180V 1.5A1W*140MHZ NPN 2SD77320V2A1W**NPN 2SD774100V1A1W**NPN 2SD78720V2A0.9W**NPN 2SD78820V2A0.9W**NPN 2SD789100V1A0.9W**NPN 2SD802900V6A50W**NPN 2SD8191500V 3.5A50W**NPN 2SD8201500V5A50W**NPN 2SD8211500V6A50W**NPN 2SD8221500V7A50W**NPN 2SD8382500V3A50W**NPN 2SD8501500V3A25W**NPN 2SD8521500V5A70W**NPN 2SD8691500V 3.5A50W**NPN 2SD8691500V 3.5A50W**NPN 2SD8701500V5A50W**NPN 2SD8701500V5A50W**NPN 2SD8711500V6A50W**NPN 2SD8711500V6A50W**NPN 2SD88060V3A30W**NPN 2SD880660V3A30W**NPN 2SD88240V3A10W**NPN 2SD898B1500V3A50W**NPN 2SD899A1500V4A50W**NPN 2SD900B1500V5A50W**NPN 2SD9031500V7A50W**NPN2SD9051400V8A50W**NPN2SD9061400V8A50W**NPN2SD9501500V 3.5A80W**NPN2SD9511500V3A65W**NPN2SD9521500V3A70W**NPN2SD9531500V7A95W**NPN2SD9541500V5A95W**NPN2SD957A1500V6A50W**NPN2SD96540V5A0.75W**NPN2SD96660V5A1W**NPN2SD97330V1A1W**NPN2SD9941500V8A50W**NPN2SD9952500V3A50W**NPN2SDK55400V4A60W**NPN2SK301-Q*0.14A0.25W**N沟场效应管2SK301-R*0.14A0.25W**N沟场效应管BC30750V0.2AA0.3W**PNPBC32750V0.80.6W**PNPBC33750V0.8A0.6W**NPNBC33850V0.8A0.6W**NPNBC54680V0.2A0.5W**NPNBC54750V0.2A0.5W*300MHZ NPNBC548B30V0.2A0.5W**NPNBC63645V1A0.8W**PNPBD13545V 1.5A12.5W**NPNBD13645V 1.5A12.5W**PNPBD13760V 1.5A12.5W**NPNBD13860V 1.5A12.5W**PNPBD237100V2A25W**NPNBD238100V2A25W**PNPBD24345V6A65W**NPNBD24445V6A65W**PNPBD681100V4A40W**NPNBD682100V4A40W**PNPBD941F120V3A19W**NPNBF32430V0.26A0.25W**PNPBF458250V0.1A10W**NPNBU1081500V5A12.5W**NPNBU208A1500V5A12.5W**NPNBU208D1500V5A12.5W**NPNBU209A1700V5A12.5W**NPNBU25061500V7A50W**NPNBU2508700V8A125W**NPNBU2520800V10A150W**NPNBU25221500V11A150W**NPNBU25251500V12A150W**NPNBU25271500V15A150W**NPNBU25321500V15A150W**NPNBU3081500V5A12.5W**NPNBU406400V7A60W**NPNBU5001500V6A75W**NPNBU508A1500V8A125W**NPNBU508A1500V7.5A75W**NPNBU806400V8A60W**NPNBU932R500V15A150W**NPN BUH5151500V10A80W**NPN BUS13A1000V15A175W**NPN BUS14A1000V30A250W**NPN BUT111500V5A80W**NPN BUT11A1000V5A100W**NPN BUT12A450V10A125W**NPN BUV2690V14A65W**NPN BUV28A225V10A65W**NPN BUV48A450V15A150W**NPN BUW13A1000V15A150W**NPN BUX84800V2A40W**NPN BUX98A400V30A210W**NPN BUY712200V2A40W**NPN DTC114ES50V0.1A0.25W**NPN DTC124ES50V0.1A0.25W**PNPMJ10012400V10A175W**NPN(达林顿) MJ10015400V50A200W**NPNMJ10016500V50A200W**NPNMJ10025850V20A250W**NPNMJ11032120V50A300W**NPNMJ11033120V50A300W**NPNMJ13333400V20A175W**NPNMJ15024400V16A250W**NPNMJ15025400V16A250W**PNPMJ295560V15A115W**PNPMJ305560V15A115W**NPNMJ450290V30A200W**PNP MJE13003400V 1.5A14W**NPN MJE13005400V4A60W**NPN MJE130071500V 2.5A60W**NPN MJE2955T60V10A75W**NPN MJE340300V0.5A20W**NPN MJE350300V0.5A20W**NPNMN6501500V6A80W**NPNRN120450V0.1A0.3W**NPNTIP102100V8A2W**NPNTIP122100V8A65W**NPNTIP127100V8A65W**PNPTIP142100V10A125W**NPNTIP147100V10A125W**PNPTIP31C100V3A40W**NPNTIP32C100V3A40W**PNPTIP35C100V25A125W**NPNTIP36C100V25A125W**PNPTIP41C100V6A65W**NPN TIP42C100V6A65W**PNP UN411150V0.1A0.25W**PNP UN421150V0.1A0.25W**NPN UN421250V0.1A0.25W**NPN UN421350V0.1A0.25W**NPN。
三极管参数代换表三极管参数大全型号耐压(V) 电流(A) 功率(W) 型号耐压(V) 电流(A) 功率(W) B857 70V 4A 40W BU2508A 1500V 8A 125WBU2508AF 1500V 8A 45W BU2508DF 1500V 8A 45WBU2520AF 1500V 10A 45W BU2520AX 1500V 10A 45WBU2520DF 1500V 10A 45W BU2520DX 1500V 10A 45WBU2522AF 1500V 10A 45W BU2522AX 1500V 10A 45WBU2522DF 1500V 10A 45W BU2522DX 1500V 10A 45WBU2525AF 1500V 12A 45W BU2525AX 1500V 12A 45WBU2527AF 1500V 12A 45W BU2527AX 1500V 12A 45WBU2532AL 1500V 15A 150W BU2532AW 1500V 16A 125WBU2725DX 1700V 12A 45W BU406 400V 5A 60WBU4522AF 1500V 10A 45W BU4522AX 1500V 10A 45WBU4523AF 1500V 11A 45W BU4523AX 1500V 11A 45WBU4525AF 1500V 12A 45W BU4525DF 1500V 12A 45WBU4530AL 1500V 16A 125W BU4530AW 1500V 16A 125WBUH1015 1500V 14A 70W BUH315D 1500V 6A 44WBUT11A 1000V 5A 100W C3039 500V 7A 50WC3886A 1500V 8A 50W C3996 1500V 15A 180WC3997 1500V 20A 250W C3998 1500V 25A 250Wc4242 450V 7A 40W C4288A 1600V 12A 200WC4532 1700V 10A 200W C4634 1500V 0.01A 2WC4686A 1500V 50mA 10W C4762 1500V 7A 50WC4769 1500V 7A 60W C4891 1500V 15A 75WC4897 1500V 20A 150W C4924 1500V 10A 70WC5027 1100V 50W C5039 800V 5A 30WC5045 1600V 15A 75W C5047 1600V 25A 25WC5048 1500V 12A 50W C5086 1500V 10A 50WC5088 1500V 8A 60W C5129 1500V 10A 50WC5142 1500V 20A 200W C5144 1700V 20A 200WC5148 1500V 8A 50W C5149 1500V 8A 50WC5243 1700V 15A 200W C5243 1700V 15A 200WC5244 1500V 20A 200W C5244A 1600V 20A 200WC5250 1500V 8A 50W C5251 1500V 12A 50WC5252 1500V 15A 50W C5294 1500V 20A 120WC5296 1500V 8A 60W C5297 1500V 8A 60WC5301 1500V 20A 120W C5302 1500V 15A 75WC5331 1500V 15A 180W C5386 1500V 7A 50WC5387 1500V 10A 50W C5404 1500V 9A 50WC5404 1500V 9A 50W C5406 1500V 14A 100WC5407 1700V 15A 100W C5411 1500V 14A 60WC5423 1700V 15A 100W C5440 1500V 15A 60WC5445 1500V 25A 200W C5446 1700V 18A 200WC5449 1500 12A 50W C5515 1500V 17AC5516 1500V 20A C5521 1500V 13A 50WC5552 1700V 16A 65W C5570 1700V 28A 220WC5583 1500V 17A 150W C5584 1500V 20A 150WC5587 1500V 17A 75W C5589 1500V 18A 200WC5597 1700V 22A 200W C5612 2000V 22A 220WC5686 2000V 20A 70W C5801 1500V 8A 50W 48kHzC5802 1500V 10A 60W 69KHz C5803 1500V 12A 70W 84KHz C5855 1500V 12A 50W C5904 1500V 17AC5905 1700V 20A C5914 1500V 12AC5928 约13A C5929 约15AC5931 1700V 15A 8 D1088 300V 6A 30W B>2000D1273-P NPN 80V 3A 40W D1878 1500V 5A 60WD1879 1500V 6A 60W D2058 60V 3A 25WD2356 1500V 20A 200W D5703 1500V 10A 70WHPA100 1500V 10A 150W HPA150 1500V 15A 150WJ5804 1500V 14A J6810 1500V 10AJ6812 1500V 12A 60W J6815 1500V 15A 60WJ6820 1500V 20A 60W J6825 1500V 25A 150WJ6910 1700V 10A 60W J6916 1700V 16A 60WJ6920 1700V 20A 60W MJE13007 NPN 700V 80WMJE13009 NPN 700V 100W MJL16218 1500V 15A 170W MJW16212 1500V 10A ST2001 1500V 10A 55WST2310FX 1500V 12A TIP102 NPN 100V 8A 80WTIP122 NPN 100V 5A 65W TIP127 PNP 100V 8A 65WTIP31C NPN 100V 3A 40W TIP32C PNP 100V 3A 40WTIP41C NPN 100V 6A 65W TIP42 PNP 40V 6A 65WTIP42A PNP 60V 6A 65W TIP42C PNP 100V 6A 65WTIP50C 400V 1A 40W用大功率高耐压场效应管参数114种2SK534 800 5 100 2SK1045 900 5 1502SK538 900 3 100 2SK1081 800 7 1252SK557 500 12 100 2SK1082 800 6 1252SK560 500 15 100 2SK1119 1000 4 1002SK56 500 9 125 2SK1120 1000 8 1502SK566 800 3 78 2SK1198 800 3 752SK644 500 10 125 2SK1249 500 15 1302SK719 900 5 120 2SK1250 500 20 1502SK725 500 15 125 2SK1271 1400 15 2402SK727 900 5 125 2SK1280 500 18 1502SK774 500 18 120 2SK1341 900 5 1002SK785 500 20 150 2SK1342 900 8 1002SK787 900 8 150 2SK1357 900 5 1252SK788 500 13 150 2SK1358 900 9 1502SK790 500 15 150 2SK1451 900 5 1202SK955 800 9 150 2SK1498 500 20 1202SK962 900 8 150 2SK1500 500 25 1602SK1019 500 30 300 2SK1502 900 7 1202SK1020 500 30 300 2SK1512 850 10 1502SK1531 500 15 150 IRFP150 100 41 1802SK1537 900 5 100 IRFP151 60 19 1802SK1539 900 10 150 IRFP240 200 31 1502SK1563 500 12 150 IRFP250 200 31 1802SK1649 900 6 100 IRFP251 150 33 1802SK1794 900 6 150 IRFP254 250 23 1802SK2038 900 6 125 IRFP350 400 16 180IRF350 500 13 150 IRFP351 350 16 180IRF360 400 25 300 IRFP360 400 23 250IRF440 500 8 125 IRFP450 500 14 180IRF450 500 13 150 IRFP451 450 14 180IRF451 450 13 150 IRFP452 500 12 180IRF460 500 21 300 IRFP460 500 20 250IRF740 400 10 125 MTH8N50 500 8 120IRF820 500 2.5 50 MTH8N60 600 8 120IRF834 500 5 100 MTH10N50 500 10 120IRF840 500 8 125 MTH12N50 500 12 120IRF841 450 8 125 H12N45 450 12 120IRF842 500 7 125 H13N50 500 13 150MTH14N50 500 14 150 MTP5N45 450 5 75MTH20N20 200 20 120 MTP5N50 500 5 75MTH25N20 200 25 150 MTP6N60 600 6 125 MTH30N10 100 30 120 IXGH10N100 1000 10 100 MTH35N15 150 35 150 IXGH15N100 1000 15 150 MTH40N10 100 40 150 IXGH20N60 600 20 150 MTM6N80 800 6 120 IXGH25N100 1000 25 200 MTM6N90 900 6 150 GH30N60 600 30 180MTM8N50 500 8 100 GH30N100 1000 30 250 MTM8N90 900 8 150 GH40N60 600 40 200MTM10N20 200 10 75 IXTH24N50 500 24 250 MTM20N20 200 20 125 IXTH30N20 200 30 180 MTM25N10 100 25 100 IXTH30N30 300 30 180 MTM30N10 100 30 120 IXTH30N50 500 30 300 MTM40N10 100 40 150 IXTH40N30 300 40 250 MTP3N60 600 3 75 IXTH50N10 100 50 150MTP3N100 1000 3 75 IXTH50N20 200 50 150MTP4N60 600 4 50 IXTH67N10 100 67 200MTP4N80 800 4 50 IXTH75N10 100 75 13553D633 NPN 音频功放100V 达林顿7A 40W 达林顿9013 NPN 低频放大50V 0.5A 0.625W 90129014 NPN 低噪放大50V 0.1A 0.4W 150HMZ 90159015 PNP 低噪放大50V 0.1A 0.4W 150MHZ 90149018 NPN 高频放大30V 0.05A 0.4W 1000MHZ8050 NPN 高频放大40V 1.5A 1W 100MHZ 85508550 PNP 高频放大40V 1.5A 1W 100MHZ 80502N2222 NPN 通用60V 0.8A 0.5W 25/200NS2N2369 NPN 开关40V 0.5A 0.3W 800MHZ2N2907 NPN 通用60V 0.6A 0.4W 26/70NS2N3055 NPN 功率放大100V 15A 115W MJ29552N3440 NPN 视放450V 1A 1W 15MHZ 2N66092N3773 NPN 音频功放160V 16A 50W2N3904 NPN 通用60V 0.2A2N2906 PNP 通用40V 0.2A2N2222A NPN 高频放大75V 0.6A 0.625W 300MHZ2N6718 NPN 音频放大100V 2A 2W2N5401 PNP 视频放大160V 0.6A 0.625W 100MHZ 2N5551 2N5551 NPN 视频放大160V 0.6A 0.625W 100MHZ 2N5401 2N5685 NPN 音频功放60V 50A 300W2N6277 NPN 功放180V 50A 250W9012 PNP 低频放大50V 0.5A 0.625W 90132N6678 NPN 音频功放650V 15A 175W 15MHZ9012 PNP 低频放大50V 0.5A 0.625W 90133DA87A NPN 视频放大100V 0.1A 1W3DG6B NPN 通用20V 0.02A 0.1W 150MHZ3DG6C NPN 通用25V 0.02A 0.1W 250MHZ3DG6D NPN 通用30V 0.02A 0.1W 150MHZMPSA42 NPN 电话视频300V 0.5A 0.625W MPSA92MPSA92 PNP 电话视频300V 0.5A 0.625W MPSA42MPS2222ANPN 高频放大75V 0.6A 0.625W 300MHZ9013 NPN 低频放大50V 0.5A 0.625W 90123DK2B NPN 开关30V 0.03A 0.2W3DD15D NPN 电源开关300V 5A 50W3DD102C NPN 电源开关300V 5A 50W3522V 稳压管5VA634 PNP 音频功放40V 2A 10WA708 PNP 音频开关80V 0.7A 0.8WA715C PNP 音频功放35V 2.5A 10W 160MHZA733 PNP 通用50V 0.1A 180MHZA741 PNP 开关20V 0.1A 70/120NSA781 PNP 开关20V 0.2A 80/160NSA928 PNP 通用20V 1A 0.25WA933 PNP 通用50V 0.1A 140MHZA940 PNP 音频功放150V 1.5A 25W 4MHZ C2073 A966 PNP 音频激励30V 1.5A 0.9W 100MHZ C2236 A950 PNP 通用30V 0.8A 0.6WA968 PNP 音频功放160V 1.5A 25W 100MHZ C2238 A1009 PNP 功放开关350V 2A 15WA1220P PNP 音频功放120V 1.5A 20W 150MHZA1013 PNP 视频放大160V 1A 0.9W C2383A1015 PNP 通用60V 0.1A 0.4W 8MHZ C18152N6050 PNP 音频功放60V 12A 150W2N6051 PNP 音频功放80V 12A 150W名称极性功能耐压V 电流A 功率W 频率配对管A1175 PNP 通用60V 0.10A 0.25W 180MHZA1213 PNP 超高频50V 0.15A 80MHZA719 PNP 通用30V 0.50A 0.625W 200MHZB12 PNP 音频30V 0.05A 0.05WB1114 PNP 通用20V 2A 180MHZB205 PNP 音频功放80V 20A 80WB1215 PNP 功放开关120V 3A 20W 130MHZC294 NPN 栾生对管25V 0.05A 200MHZC1044 NPN 视放45V 0.3A 2.2GHZC1216 NPN 高速开关40V 0.2A T,20nSC1344 NPN 通用低噪30V 0.10 230MHZC1733 NPN 栾生对管30V 0.05A 2GHZC1317 NPN 通用30V 0.5A 0.625W 200MHZC546 NPN 高放30V 0.03A 0.15W 600MHZC680 NPN 音频功放200V 2A 30W 20MHZC665 NPN 音频功放125V 5A 50W 15MHZC4581 NPN 电源开关600V 10A 65W 20MHZC4584 NPN 电源开关1200V 6A 65W 20MHZC4897 NPN 行管1500V 20A 150WC4928 NPN 行管1500V 15A 150WC5411 NPN 彩显行管1500V 14A 60WHQ1F3P NPN 功放开关20V 2A 2WTIP132 NPN 音频功放100V 8A 70W TIP137A1020 PNP 音频50V 2A 0.9WA1123 PNP 低噪放大150V 0.05A 0.75WA1162 PNP 通用50V 0.15A 0.15WA1216 PNP 功放开关180V 17A 200W 20MHZ C2922 A1265 PNP 功放开关140V 10A 100W 30MHZ C3182 A1295 PNP 功放开关230V 17A 200W 30MHZ C3264 A1301 PNP 功放开关160V 12A 120W 30MHZ C3280C3280 NPN 功放开关160V 12A 120W 30MHZ A1301 A1302 PNP 功放开关200V 15A 120W 30MHZ C3281 C3281 NPN 功放开关200V 15A 120W 30MHZ A1302 A1358 PNP 120V 1A 10W 120MHZA1444 PNP 高速电源100V 15A 30W 80MHZA1494 PNP 功放开关200V 17A 200W 20MHZ C3858 A1516 PNP 功放开关180V 12A 130W 25MHZA1668 PNP 电源开关200V 2A 25W 20MHZA1785 PNP 驱动120V 1A 1W 140MHZA1941 PNP 音频功放140V 10A 100W C5198C5198 NPN 音频功放140V 10A 100W A1941A1943 PNP 功放开关230V 15AA 150W C5200C5200 NPN 功放开关230V 15A 150W A1943A1988 PNP 功放开关B449 PNP 功放开关50V 3.5A 22.5WB647 PNP 通用120V 1A 0.9W 140MHZ D667D667 NPN 通用120V 1A 0.9W 140MHZ B649B1375 PNP 音频功放60V 3A 2W 9MHZD40C NPN 对讲机用40V 0.5A 40W 75MHB688 PNP 音频功放120V 8A 80W D718B734 PNP 通用60V 1A 1W D774B649 PNP 视放180V 1.5A 20W D669D669 NPN 视频放大180V 1.5A 20W 140MHZ B649 B669 PNP 达林顿功70V 4A 40WB675 PNP 达林顿功60V 7A 40WB673 PNP 达林顿功100V 7A 40WB631K PNP 音频功放120V 1A 8W 130MHZ D600K D600K NPN 音频功放120V 1A 8W 130MHZ B631K C3783 NPN 高压高速900V 5A 100WB1400 PNP 达林顿功120V 6A 25W D1590B744 PNP 音频功放70V 3A 10WB1020 PNP 功放开关100V 7A 40WB1240 PNP 功放40V 2A 1W 100MHZB1185 PNP 功放60V 3A 25W 70MHZ D1762B1079 PNP 达林顿功100V 20A 100W D1559B772 PNP 音频功放40V 3A 10W D882B774 PNP 通用30V 0.1A 0.25WB817 PNP 音频功放160V 12A 100W D1047B834 PNP 功放开关60V 3A 30WB1316 PNP 达林顿功100V 2A 10WB1317 PNP 音频功放180V 15A 150W D1975B1494 PNP 达林顿功120V 20A 120W D2256B1429 PNP 功放开关180V 15A 150WC380 NPN 高频放大35V 0.03A 250MHZC458 NPN 通用30V 0.1A 230MHZC536 NPN 通用40V 0.1A 180MHZ2N6609 PNP 音频功放160V 15A 150W >2MHZ 2N3773 C3795 NPN 高压高速900V 5A 40WC2458 NPN 通用低噪50V 0.15A 0.2WC3030 NPN 开关管900V 7A 80W 达林顿C3807 NPN 低噪放大30V 2A 1.2W 260MHZC3858 NPN 功放开关200V 17A 200W 20MHZ A1494D985 NPN 达林顿功150V ±1.5A 10WC2036 NPN 高放低噪80V 1A 1-4WC2068 NPN 视频放大300V 0.05A 1.5W 80MHZC2073 NPN 功率放大150V 1.5A 25W 4MHZ A940C3039 NPN 电源开关500V 7A 50WC3058 NPN 开关管600V 30A 200WC3148 NPN 电源开关900V 3A 40WC3150 NPN 电源开关900V 3A 50WC3153 NPN 电源开关900V 6A 100WC3182 NPN 功放开关140V 10A 100W A1265C3198 NPN 高频放大60V 0.15A 0.4W 130MHZ3DK4B NPN 开关40V 0.8A 0.8W3DK7C NPN 开关25V 0.05A 0.3W3D15D NPN 电源开关300V 5A 50WC2078 NPN 音频功放80V 3A 10W 150MHZC2120 NPN 通用30V 0.8A 0.6WC2228 NPN 视频放大160V 0.05A 0.75WC2230 NPN 视频放大200V 0.1A 0.8WC2233 NPN 音频功放200V 4A 40WC2236 NPN 通用30V 1.5A 0.9W A966C1733 NPN 孪生对管30V 2GHZC1317 NPN 通用30V 0.5A 0.625W 200MHZC2238 NPN 音频功放160V 1.5A 25W 100MHZ A968C752 NPN 通用30V 0.1A 300MHZ名称极性功能耐压V 电流A 功率W 频率配对管C815 NPN 通用60V 0.2A 0.25WC828 NPN 通用45V 0.05A 0.25WC900 NPN 低噪放大30V 0.03A 100MHZC945 NPN 通用50V 0.1A 0.5W 250MHZC1008 NPN 通用80V 0.7A 0.8W 50MHZC1162 NPN 音频功放35V 1.5A 10WC1213 NPN 监视器专30V 0.5A 0.4WC1222 NPN 低噪放大60V 0.1A 100MHZC1494 NPN 发射36V 6A PQ=40W 175MHZC1507 NPN 视放300V 0.2A 15WC1674 NPN HF/ZF 30V 0.02A 600MHZC1815 NPN 通用60V 0.15A 0.4W 8MHZ A1015C1855 NPN HF/ZF 20V 0.02A 550MHZC1875 NPN 彩行1500V 3.5A 50WC1906 NPN 高频放大30V 0.05A 1000MHZC1942 NPN 彩行1500V 3A 50WC1959 NPN 通用30V 0.4A 0.5W 300MHZC1970 NPN 手机发射40V 0.6A 1.3W 175MHZC1971 NPN 手机发射35V 2A 7.0W 175MHZC1972 NPN 手机发射35V 3.5A 15W 175MHZC2320 NPN 通用50V 0.2A 0.3W 200MHZC2012 NPN 高放30V 0.03A 200MHZC2027 NPN 行管1500V 5A 50WD814 NPN 低噪放大150V 0.05A 1 50MHZC5142 NPN 彩行1500V 20A 200WD998 NPN 音频功放120V 10A 80W <1/3USD2253 NPN 彩显行管1700V 6A 50WD110 NPN 音频功放130V 10A 100W 1MHZC2335 NPN 视频500V 7A 40WC2373 NPN 功放200V 7.5A 40WC2383 NPN 视频开关160V 1A 0.9W A1013C3300 NPN 音频功放100V 15A 100WC3310 NPN 电源开关500V 5A 40WC3320 NPN 电源开头500V 15A 80WC3355 NPN 高频放大20V 0.1A 6500MHZC3358 NPN 高频放大20V 0.1A 7000MHZC3457 NPN 电源开关1100V 3A 50WC3460 NPN 电源开关1100V 6A 100WC3466 NPN 电源开关1200V 8A 120WC3505 NPN 电源开关900V 6A 80WC3527 NPN 电源开关500V 15A 100WC3528 NPN 电源开关500V 20A 150WC3866 NPN 高压高速900V 3A 40WC2443 NPN 功放开关600V 50A 400WC2481 NPN 音频功放150V 1.5A 20WC2482 NPN 视频放大300V 0.1A 0.9WC2500 NPN 通用30V 2A 0.9W 150MHZC2594 NPN 音频功放40V 5A 10WC2611 NPN 视频放大300V 0.1A 1.25WC2625 NPN 音频功放450V 10A 80WC2682 NPN NF/Vid 180V 0.1A 8WC2688 NPN 视放管300V 0.2A 10W 80MHZC2690 NPN 音频功放120V 1.2A 20W 1 50MHZ A1220P C2751 NPN 电源开关500V 15A 120WC2837 NPN 音频功放150V 10A 100WC3873 NPN 高压高速500V 12A 75W 30MHZC3886 NPN 开关行1400V 8A 50W 8MHZC3893 NPN 行管1400V 8A 50W 8MHZC3907 NPN 功放开关180V 12A 130W 30MHZC3595 NPN 射频30V 0.5A 1.2WC4059 NPN 高速开关600V 15V 130W 0.5/2.2US C4106 NPN 电源开关500V 7A 50W 20MHZ?C4111 NPN 开关行1500V 10A 150WC3679 NPN 电源开关900V 5A 100W 6MHZC2898 NPN 音频功放500V 8A 50WC2922 NPN 音频功放180V 17A 200W 50MHZ A1216 C3026 NPN 开关管1700V 5A 50WD986 NPN 达林顿功150-80V 1.5A 10WC3262 NPN 功放800V 10A 100WC3264 NPN PA功放230V 17A 200WB=170 A1295 C3280 NPN 音频功放160V 12A 120WB=100C3281 NPN 音频功放200V 15A 150W 30MHZC3680 NPN 电源开关900V 7A 120W 6MHZC3688 NPN 彩行1500V 10A 150WC3720 NPN 彩行1200V 10A 200WC3953 NPN 视放120V 0.2A 1.3W 400MHZC3987 NPN 达林顿50V 3A 20WC3995 NPN 行管1500V 12A 180WD1025 NPN 达林顿功200V 8A 50WC3997 NPN 行管1500V 15A 250WC3998 NPN 行管1500V 25A 250WC4024 NPN 功放开关100V 10A 35W 24MHZC4038 NPN 门电路50V 0.1A 0.3W 180MHZD1037 NPN 音频功放150V 30A 180WD1047 NPN 音频功放160V 12A 100W B817C4119 NPN 微波炉1500V 15A 250WC4231 NPN 音频功放800V 2A 30WC4237 NPN 高压高速1000V 8A 120W 30MHZC4242 NPN 高压高速450V 7A 40WC4297 NPN 电源开关500V 12A 75W 10MHZC4429 NPN 电源开关1100V 8A 60WC4517 NPN 音频功放550V 3A 30W 6MHZC4532 NPN 大屏行管1700V 10A 200WC4582 NPN 电源开关600V 15A 75W 20MHZC5244 NPN 彩行1700V 15A 200WC5249 NPN 功放开关600V 3A 35W 6MHZC5250 NPN 开关1000V 7A 100WC5251 NPN 彩行1500V 12A 50WD1071 NPN 达林顿功300V 6A 40WC4706 NPN 电源开关900V 14A 130W 6MHZC4382 NPN 功放开关200V 2A 25W 20MHZ A1668 C4742 NPN 彩行1500V 6A 50WC4745 NPN 彩行1500V 6A 50WC4747 NPN 彩行1500V 10A 50WC4769 NPN 微机行管1500V 7A 60WC4913 NPN 大屏视放2000V 0.02A 35WC4924 NPN 音频功放800V 10A 70WC4927 NPN 行管1500V 8A 50WC4927 NPN SONY29行1500V 8A 50WC4941 NPN 行管1500V 6A 65W 500/380NSC4953 NPN 功放开关500V 2A 25W t=300nSC5020 NPN 彩行1000V 7A 100WC5068 NPN 彩行1500V 10A 50WC5086 NPN 彩行1500V 10A 50WC5088 NPN 彩行1500V 10A 50WC5129 NPN 彩显行管1500V 8A 50WD1163A NPN 行偏转用350V 7A 40W 60MHZD1175 NPN 行偏转用1500V 5A 100WC5132 NPN 彩行1500V 16A 50WC5144 NPN 大屏彩行1700V 20A 200WC5148 NPN 大屏彩行1500V 8A 50WC5149 NPN 高速高频1500V 8A 50WC5198 NPN 功放开关140V 10A 100WC5200 NPN 功放开关230V 15A 150W A1943D1273 NPN 音频功放80V 3A 40W 50MHZC5207 NPN 彩行1500V 10A 50WC5243 NPN 彩行1700V 15A 200WC5252 NPN 彩行1500V 15A 100WC5294 NPN 彩行1500V 20A 200MSC5296 NPN 开关管1500V 8A 80WC5297 NPN 开关管1500V 16A 60WC5331 NPN 大屏彩显1500V 15A 180WD325 NPN 功放开关50V 3A 25WD385 NPN 达林顿功100V 7A 30WD400 NPN 通用25V 1A 0.75WD1302 NPN 音频25V 0.5A 0.5W 200MHZD1397 NPN 开关1500V 3.5A 50W 3MHZD1398 NPN 开关1500V 5A 50W 3MHZD1403 NPN 彩行1500V 6A 120WD401 NPN 音频功放200V 2A 20WD415 NPN 音频功放120V 0.8A 5WD438 NPN 通用500V 1A 0.75W 100MHZD560 NPN 达林顿功150V 5A 30WD637 NPN 通用60V 0.1A 150MHZD667 NPN 视频放大120V 1A 0.9W 140MHZ B647 D1403 NPN 彩行1500V 6A 120WD1415 NPN 功放电源100V 7A 40W 达林顿D718 NPN 音频功放120V 8A 80W B668D774 NPN 通用100V 1A 1W B734D789 NPN 音频输出100V 1A 0.90D820 NPN 彩行1500V 5A 50WD870 NPN 彩行1500V 5A 50WD880 NPN 音频功放60V 3A 10WD882 NPN 音频功放40V 3A 30W B772D884 NPN 音频功放330V 7A 40WD898 NPN 彩行1500V 3A 50WD951 NPN 彩行1500V 3A 65WD965 NPN 音频40V 5A 0.75WD966 NPN 音频40V 5A 1WD633 拆NPN 音频功放100V 7A 40W 达林顿D1431 NPN 彩行1500V 5A 80WD1433 NPN 彩行1500V 7A 80WD1980 NPN 达林顿100V 2A 10WD1981 NPN 达林顿100V 2A 1WD1993 NPN 音频低噪55V 0.1A 0.4WD1416 NPN 功放电源80V 7A 40W 达林顿D1427 NPN 彩行1500V 5A 80W 带阻尼BU2525AFNPN 开关功放1500V 12A 150W 350NS D1428 NPN 彩行1500V 6A 80W 带阻尼BU2525AXNPN 开关功放1500V 12A 150W 350NS D1439 NPN 彩行1500V 3A 80WD1541 NPN 彩行1500V 3A 80WD1545 NPN 彩行1500V 5A 50WD1547 NPN 彩行1500V 7A 80WBU2527AFNPN 开关功放1500V 15A 150WD1554 NPN 彩行1500V 3.5A 80WD1555 NPN 彩行1500V 5A 80WD1556 NPN 彩行1500V 6A 80WD1559 NPN 达林顿功100V 20A 100W B1079D1590 NPN 达林顿功150V 8A 25WD1623 NPN 彩行1500V 4A 70WD1640 NPN 达林顿功120V 2A 1.2WD1651 NPN 彩行1500V 5A 60W 3MHZD1710 NPN 彩行1500V 5A 50WD1718 NPN 音频功放180V 15A 50W 20MHZD1762 NPN 音频功放60V 3A 25W 90MHZ B1185 D1843 NPN 低噪50V 1A 1WD1849 NPN 彩行1500V 7A 120WD1850 NPN 彩行1500V 7A 120WD1859 NPN 音频80V 0.7A 1W 120MHZD1863 NPN 音频120V 1A 1W 100MHZD1724 NPN 开关120V 3A 180MHZD1877 NPN 彩行1500V 4A 50W 带阻尼D1879 NPN 彩行1500V 6A 60W 带阻尼D1887 NPN 彩行1500V 10 70WD1930 NPN 达林顿100V 2A 1.2W 达林顿D1975 NPN 音频功放180V 15A 150W B1317BU2532AWNPN 开关功放1500V 15A 150WD1978 NPN 达林顿120V 1.5A 0.9WD1994A NPN 音频驱动60V 1A 1WBD237 NPN 音频功100V 2A 25W BD238BD238 PNP 音频功100V 2A 25W BD237BU2520AFNPN 开关功放1500V 10A 150W 1/500NS BU2520DFNPN 开关功放1500V 10A 150W 1/500NS BU2520DXNPN 开关功放1500V 10A 50W 600NS BUH515 NPN 行管1500V 10A 80WBUH515D NPN 行管1500V 10A 80WBUS13A NPN 开关功放1000V 15A 175WD1997 NPN 激励管40V 3A 1.5W 100MHZD2008 NPN 音频功放80V 1A 1.2WD2012 NPN 音频功放60V 3A 2W 3MHZD2136 NPN 功放80V 1A 1.2WD2155 NPN 音频功放180V 15A 150WD2256 NPN 达林顿功120V 25A 125W B1494D2334 NPN 彩行1500V 5A 80WD2335 NPN 彩行1500V 7A 100W 带阻尼D2349 NPN 大屏彩显1500V 10A 50WD1959 NPN 彩行1400V 10A 50WD2374 NPN 功放开关60V 3A 25W 30MHZD2375 NPN 高放大倍80V 3A 25W 50MHZD2388 NPN 达林顿90V 3A 1.2WD2445 NPN 彩行1500V 12.5A 120WD2498 NPN 彩行1500V 6A 50WD2588 NPN 点火器用DK55 NPN 开关400V 4A 60WBC307 PNP 通用50V 0.2A 0.3WBC327 PNP 低噪音50V 0.8A 0.625W BC337BC337 NPN 音频激励50V 0.8A 0.625W BC327 BC338 NPN 通用激50V 0.8A 0.6WBC546 NPN 通用80V 0.2A 0.5WBC547 NPN 通用50V 0.2A 0.5W 300MHZBD135 NPN 音频功45V 1.5A 12.5WBD136 PNP 音频功45V 1.5A 12.5W BD137BD137 NPN 音频功60V 1.5A 12.5W BD136BD138 PNP 音频功60V 1.5A 12.5W BD139BD139 PNP 音频功80V 1.5A 12.5W BD138BUS14A NPN 开关功放1000V 30A 250WBUT11A NPN 开关功放1000V 5A 100WBD243 NPN 音频功45V 6A 65W BD244BD244 PNP 音频功45V 6A 65W BD243BD681 NPN 达林顿功100V 4A 40W BD682BD682 PNP 达林顿功100V 4A 40W BD681BF458 NPN 视放250V 0.1A 10WBU208A NPN 彩行1500V 5A 12.5WBU208D NPN 彩行1500V 5A 12.5WBU323 NPN 达林顿功450V 10A 125WBU406 NPN 行管400V 7A 60WBU508A NPN 行管1500V 7.5A 75WBU508A NPN 行管1500V 7.5A 75WBU508D NPN 行管1500V 7.5A 75WBU806 NPN 功放400V 8A 60WBU932R NPN 功放500V 15A 150WBUT12A NPN 开关功放450V 10A 125WBU941 NPN 功放开关500V 15A 175W 达林顿BU1508DXNPN 开关功放1500V 8A 35WBU2506DXNPN 开关功放1500V 7A 50W 600NSBU2508AFNPN 开关功放1500V 8A 125W 600NSBU2508AXNPN 开关功放1500V 8A 125W 600NSBU2508DFNPN 开关功放1500V 8A 125W 600NSBU2508DXNPN 开关功放1500V 8A 50W 600NSBUV26 NPN 音频功放90V 14A 65W 250NSBU2522AFNPN 开关功放1500V 11A 150W 350NSMJ15024 NPN 音频功放400V 16A 250W 4MHZ MJ15025 MJ15025 PNP 音频功放400V 16A 250W 4MHZ MJ15024 MJE271 PNP 达林顿100V 2A 15W 6MHZBUV28A NPN 音频功放225V 10A 65W 250NSBUV48A NPN 音频功放450V 15A 150WBUW13A NPN 功放开关1000V 15A 150WBUX48 NPN 功放开关850V 15A 125WBUX84 NPN 功放开关800V 2A 40WBUX98A NPN 功放开关400V 30A 210W 5MHZDK55 NPN 功放开关400V 4A 65WDTA114 PNP 10K-10K 160V 0.6A 0.625WDTC143 NPN 录像机用4.7kHPA100 NPN 大屏彩显1500V 10A 150WHPA150 NPN 大屏彩显1500V 15A 150WHSE830 PNP 音频功放80V 115W 1MHZ HSE800HSE838 NPN 音频功放80V 115W 1MHZ HSE830MN650 NPN 行管1500V 6A 80WMJ802 NPN 音频功放90V 30A 200W MJ4502MJ2955 PNP 音频功放60V 15A 115W MJ3055MJ3055 NPN 音频功放60V 15A 115W MJ2955MJ4502 PNP 音频功放90V 30A 200W MJ802MJ10012 NPN 达林顿400V 10A 175WMJ10015 NPN 电源开关400V 50A 200WMJ10016 NPN 电源开关500V 50A 200WMJ10025 NPN 电源开关850V 20A 250WMJ11032 NPN 电源开关120V 50A 300W MJ11033MJ11033 PNP 电源开关120V 50A 300W MJ11032MJ13333 NPN 电源开关400V 20A 175WMJ11015 PNP 铁达林顿500V 10AMJ14003 PNP 铁MJE340 NPN 视放300V 0.5A 20W MJE350MJE350 PNP 视放300V 0.5A 20W MJE340MJE2955TPNP 音频功放60V 10A 75W 2MHZ MJE3055T MJE3055TNPN 音频功放70V 10A 75W 2MHZ MJE2955T MJE5822 PNP 音频功放500V 8A 80WMJE13003NPN 功放开关400V 1.5A 14WMJE13005NPN 功放开关400V 4A 60WMJE13007NPN 功放开关1500V 2.5A 60WKSE800 NPN 达林顿140V 4A 20WTIP31C NPN 功放开关100V 3A 40W 3MHZ TIP32TIP32C PNP 功放开关100V 3A 40W 3MHZ TIP31TIP35C NPN 音频功放100V 25A 125W 3MHZ TIP36 TIP36C PNP 音频功放100V 25A 125W 3MHZ TIP35 TIP41C NPN 音频功放100V 6A 65W 3MHZ TIP42TIP42C PNP 音频功放100V 6A 65W 3MHZ TIP41TIP102 NPN 音频功放100V 8A 2WTIP105 PNP 音频功放60V 80W 达林顿TIP122 NPN 音频功放100V 5A 65W TIP127TIP127 PNP 音频功放100V 5A 65W TIP122TIP137 PNP 音频功放100V 8A 70W TIP132TIP142 NPN 音频功放100V 10A 125W TIP147TIP142 大NPN 音频功放100V 10A 125W TIP147 TIP147 PNP 音频功放100V 10A 125W TIP142TIP147 大PNP 音频功放100V 10A 125W TIP142 TIP152 BCE 电梯用达400V 3A 65WTL431 电压基准源BT33 电压结晶体管UGN3144 SGO 霍尔开关60MIAL1 电磁/微1000V 60A 300WT30G40 NPN 大功率开400V 30A 300W 5609 NPN 音频低频50V 0.8A 0.625W 5610 5610 PNP 音频低频50V 0.8A 0.625W 5610 9626 NPN 通用TT2062 1500V 18A 85WBU208A 50W 1500V 5A 电源开关管BU508A 75W 1500V 8A 电源开关管BU2508AF 45W 1500V 8A 行管BU2508DF* 125W 1500V 8A 行管BU2508D* 125W 1500V 8A 行管BU2520AF 45W 1500V 10A 行管BU2520AX 45W 1500V 10A 行管BU2520DF* 125W 1500V 10A 行管BU2522AF 45W 1500V 10A 行管BU2522DF* 80W 1500V 10A 行管BU2525DF* 45W 800V 12A 行管BUH515 60W 1500V 8A 行管BUH515D 60W 1500V 8A 行管C1520 10W 250V 0.2A 视放C1566 1.2W 250V 0.1A 视放C1573 0.6W 250V 0.07A 视放C1875 50W 1500V 3.5A 电源开关管C3153 100W 900V 6A 电源开关管C3026 50W 1700V 5A 行管C3457 50W 1100V 3A 电源开关管C3459 90W 1100V 4.5A 电源开关管C3460 100W 1100V 6A 电源开关管C3461 140W 1100V 8A 行管C3683* 50W 1500V 5A 行管C3686 50W 1400V 8A 行管C3687 150W 1500V 8A 行管C3481 120W 1500V 5A 电源开关管C3688 150W 1500V 10A 行管C3842* 120W 1500V 6A 行管C3883* 50W 1500V 5A 行管C3885 50W 1400V 7A 行管C3886 50W 1400V 8A 行管C3887 80W 1400V 7A 行管C3888 80W 1400V 80A 行管C3889 80W 1400V 80A 行管C3891* 50W 1400V 6A 行管C3892* 50W 1400V 7A 行管C3895 60W 1400V 7A 行管C3896 70W 1400V 8A 行管C3897* 180W 1500V 12A 行管C3897 250W 1500V 25A 行管C3998 250W 1500V 25A 行管C4122* 60W 1500V 6A 行管C4123* 60W 1500V 7A 行管C4124* 70W 1500V 8A 行管C4125* 70W 1500V 10A 行管C4237 150W 800V 10A 行管C4269* 60W 1500V 7A 行管C4293* 50W 1500V 5A 行管C4294* 50W 1500V 6A 行管C4589* 50W 1500V 10A 行管C4742* 50W 1500V 6A 行管C4744* 50W 1500V 6A 行管C4747 50W 1500V 10A 行管C4769* 60W 1500V 7A 行管C4770 60W 1500V 7A 行管C5048 50W 1500V 12A 行管C5088 45W 1500V 8A 行管C5129 50W 1500V 6A 行管C5144 200W 1700V 20A 行管C5148 50W 1500V 8A 行管C5250 50W 1500V 8A 行管C5297 60W 1500V 8A 行管C5299 60W 1400V 8A 行管C5339 50W 1500V 7A 行管C5418 120W 1500V 6A 行管D1396* 50W 1500V 2A 行管D1398* 50W 1500V 5A 行管D1402 120W 1500V 5A 电源开关管D1403 120W 1500V 6A 电源开关管D1426* 80W 1500V 3.5A 行管D1427* 80W 1500V 5A 行管D1428* 80W 1500V 6A 行管D1433 80W 1500V 7A 行管D1434 80W 1500V 5A 行管D1455* 50W 1500V 5A 行管D1554* 40W 1500V 3.5A 行管D1555 50W 1500V 5A 电源开关管D1878* 60W 1500V 6A 行管D1879* 60W 1500V 5A 行管D1881* 70W 1500V 10A 行管D1886 70W 1500V 8A 行管D1887 70W 1500V 10A 行管D2125* 50W 1500V 5A 行管D870* 50W 1500V 5A 行管2SA562 CG673B.2SB689 预视放2SA670 2SA1069.2SB513 电源调整管2SA673 2SA719.2SA697 帧激励2SA715 3CF3A.2SB529 场输出管2SA778A 3CG21C.CG75-1AB 开关电源误差放大2SA778AK C3CG21G、CG75-1A 开关电源误差放大2SA844D 3CG21C、CG75-1AB 视放2SA844E 3CG21G 视放2SA940 CD568B 场输出管2SA6395 2SA778、2SA858 行激励管2SB337 B337 电源调整管2SB407 3L780 电源调整管2SB548 3CF3B、2SA794 场输出管2SB566AK CD77-1A、3CF5A 电源调整管2SB556K CD77-1A、3CF5B 电源调整2SB621 3CG23B、2SB1035 电源推动管2SC458 3DG4A、2SC664 行振荡2SC536 3DG4A、2SC2320 电源推动管2SC562 G6738、B689 预视放2SC633 3DG6B、2SC1684 行振荡管2SC634 3DG12B 行振荡管2SC643A D2027、2SD818 行输出管2SC680A 3DD205B、2SC1025 场输出2SC681 3DD102B、2SC901 行输出2SC734 3DX200B、2SC2274 行振荡管2SC828 3DG56B、2SC3330 电源误差放大管2SC935 3DD102D、2SD320 电源调整管2SC8937 D2027、2SD818 行输出管进口与国产显示器常用三极管代换表2SC1034 2SD818、2SD299 行输出管2SC1162 FA433A、2SC2068 场输出枕形校正2SC1172 D2027、2SD820 行输出管2SC1209 3DG12A、2SD734 电源误差放大管2SC1213 3DG130A、2SC2120 电源误差放大管2SC1213A 3DG12B、2SC1247A 电源误差放大2SC1214 3DA151A、2SC2002 枕形校正2SC1308 D209、2SD820 行输出管2SC1318 3DG12A、2SC2274 行激励管2SC1364 3DX2038、2SC2320 行激励管2SC1505 DA1722B、2SC1757 行视放2SC1507 DA1722B、2SC1756、2SC1757 行激励管2SC1364 3DX2038、C23020 行激励管2SC1520 DA1722B、2SC2068 预视放2SC1566 3DA151D、2SC1514 视放2SC1573 3DA87C、2SC1762 视放2SC1672 3DD102B、2SC2433 电源调整管2SC1685 3DD180、2SC1570 脉冲开关2SC1819 3DA151D、2SC2425 视放2SC1890A 3DA878、2SC2363 视放2SC1905 3DA151D、2SD1163 视放2SC1942 D209、2SD1401 行输出管2SC2233 3DD12B、2SC2373 行输出2SD201 3DD102A、2SD125A 电源调整管2SD226 3DD207、2SD315 电源调整管2SD299 D2027、2SC1308 行输出管2SD350 D2027、2SD348 行输出管2SD380 D209、2SD348 行输出管2SD869 2SD993、2SD898B 行输出管C3150 C3151、C3152 开关管BU508A BU508D、C3893、C3895、C3897 开关管场效应管主要参数表2SK534 100W 5A 800V2SK538 100W 3A 900V2SK557 100W 12A 500V2SK560 100W 15A 500V2SK566 78W 3A 800V2SK644 125W 10A 500V2SK719 120W 5A 900V2SK725 125W 15A 500V2SK727 125W 5A 900V2SK774 120W 18A 500V2SK785 150W 20A 500V2SK787 150W 8A 900V2SK788 150W 13A 500V2SK790 150W 15A 500V2SK872 150W 6A 900V2SK955 150W 9A 800V2SK956 150W 9A 800V2SK962 150W 8A 900V2SK1019 300W 30A 500V2SK1020 300W 30A 500V2SK1045 150W 5A 900V2SK1081 125W 7A 800V2SK1082 125W 6A 800V2SK1117 100W 6A 600V2SK1118 45W 6A 600V2SK1119 100W 4A 1000V 2SK1120 150W 8A 1000V 2SK1171 240W 5A 1400V 2SK1198 75W 3A 800V2SK1249 130W 15A 500V 2SK1250 150W 20A 500V 2SK1271 240W 15A 1400V 2SK1280 150W 18A 500V 2SK1281 120W 4A 700V2SK1341 100W 5A 900V2SK1342 100W 8A 900V2SK1356 40W 3A 900V2SK1357 125W 5A 900V2SK1358 150W 9A 900V2SK1451 120W 5A 900V2SK1498 120W 20A 500V 2SK1500 160W 25A 500V 2SK1502 120W 7A 900V2SK1507 50W 6A 600V2SK1512 150W 10A 850V 2SK1531 150W 15A 500V 2SK1537 100W 5A 900V2SK1539 150W 10A 900V 2SK1563 150W 12A 500V 2SK1649 100W 6A 900V2SK1794 150W 6A 900V2SK2038 125W 6A 900V2N7000 0.4W 0.2A 60V BUZ385 125W 6A 500VGH30N60 180W 30A 600V GH30N100 250W 30A 1000V GH40N60 200W 40A 600V H1245 120W 12A 450VH13N50 150W 13A 500V IBF834 100W 3A 500VIPF440 125W 8A 500VIRT450 150W 13A 500V IRF350 150W 13A 500V IRF360 300W 25A 400V IRF440 125W 8A 500VIRF451 150W 13A 450VIRF460 300W 21A 500VIRF620 40W 5A 200VIRF630 75W 9A 200VIRF634 75W 8.1A 250VIRF640 125W 18A 200VIRF730 75W 5.5A 400VIRF740 125W 10A 400VIRF820 50W 2.5A 500VIRF830 75W 4.5A 500VIRF834 100W 5A 500VIRF840 125W 8A 500VIRF841 125W 8A 450VIRF842 125W 7A 500VIRF9610 20W 1A 200VIRF9630 75W 6.5A 200VIRF9640 125W 11A 200VIRF450 150W 13A 500VIRFD113 1W 0.8A 80VIRFD123 1W 1.1A 80VFIRP150 180W 41A 100V IRFP151 180W 19A 60VIRFP240 150W 31A 200V IRFP250 180W 31A 200V IRFP251 180W 33A 150V IRFP254 180W 23A 250V IRFP350 180W 16A 400V IRFP351 180W 16A 350V IRFP360 250W 23A 400V IRFP450 180W 14A 500V IRFP452 180W 12A 500V IRFP460 250W 20A 500V IRFBC40 125W 6.2A 600VIRF4P51 180W 14A 450V IXGH10N100 100W 10A 1000V IXGH15N100 150W 150A 1000V IXGH20N60 150W 20A 600V IXTH50N30 150W 50A 300V IXTH50X20 250W 50A 200V IXTH67N10 200W 67A 100V LXTH24N50 250W 24A 500V LXTH30N20 180W 30A 200V LXTH30N30 180W 30A 300V LXTH30N50 300W 30A 500V。
三极管参数代换表三极管参数大全集团标准化工作小组 #Q8QGGQT-GX8G08Q8-GNQGJ8-MHHGN#三极管参数代换表三极管参数大全型号耐压(V) 电流(A) 功率(W) 型号耐压(V) 电流(A) 功率(W) B857 70V 4A 40W BU2508A 1500V 8A 125WBU2508AF 1500V 8A 45W BU2508DF 1500V 8A 45WBU2520AF 1500V 10A 45W BU2520AX 1500V 10A 45WBU2520DF 1500V 10A 45W BU2520DX 1500V 10A 45WBU2522AF 1500V 10A 45W BU2522AX 1500V 10A 45WBU2522DF 1500V 10A 45W BU2522DX 1500V 10A 45WBU2525AF 1500V 12A 45W BU2525AX 1500V 12A 45WBU2527AF 1500V 12A 45W BU2527AX 1500V 12A 45WBU2532AL 1500V 15A 150W BU2532AW 1500V 16A 125WBU2725DX 1700V 12A 45W BU406 400V 5A 60WBU4522AF 1500V 10A 45W BU4522AX 1500V 10A 45WBU4523AF 1500V 11A 45W BU4523AX 1500V 11A 45WBU4525AF 1500V 12A 45W BU4525DF 1500V 12A 45WBU4530AL 1500V 16A 125W BU4530AW 1500V 16A 125WBUH1015 1500V 14A 70W BUH315D 1500V 6A 44WBUT11A 1000V 5A 100W C3039 500V 7A 50WC3886A 1500V 8A 50W C3996 1500V 15A 180WC3997 1500V 20A 250W C3998 1500V 25A 250Wc4242 450V 7A 40W C4288A 1600V 12A 200WC4532 1700V 10A 200W C4634 1500V 2WC4686A 1500V 50mA 10W C4762 1500V 7A 50WC4769 1500V 7A 60W C4891 1500V 15A 75WC4897 1500V 20A 150W C4924 1500V 10A 70WC5027 1100V 50W C5039 800V 5A 30WC5045 1600V 15A 75W C5047 1600V 25A 25WC5048 1500V 12A 50W C5086 1500V 10A 50WC5088 1500V 8A 60W C5129 1500V 10A 50WC5142 1500V 20A 200W C5144 1700V 20A 200WC5148 1500V 8A 50W C5149 1500V 8A 50WC5243 1700V 15A 200W C5243 1700V 15A 200WC5244 1500V 20A 200W C5244A 1600V 20A 200WC5250 1500V 8A 50W C5251 1500V 12A 50WC5252 1500V 15A 50W C5294 1500V 20A 120WC5296 1500V 8A 60W C5297 1500V 8A 60WC5301 1500V 20A 120W C5302 1500V 15A 75WC5331 1500V 15A 180W C5386 1500V 7A 50WC5387 1500V 10A 50W C5404 1500V 9A 50WC5404 1500V 9A 50W C5406 1500V 14A 100WC5407 1700V 15A 100W C5411 1500V 14A 60WC5423 1700V 15A 100W C5440 1500V 15A 60WC5445 1500V 25A 200W C5446 1700V 18A 200WC5449 1500 12A 50W C5515 1500V 17AC5516 1500V 20A C5521 1500V 13A 50WC5552 1700V 16A 65W C5570 1700V 28A 220WC5583 1500V 17A 150W C5584 1500V 20A 150WC5587 1500V 17A 75W C5589 1500V 18A 200WC5597 1700V 22A 200W C5612 2000V 22A 220WC5686 2000V 20A 70W C5801 1500V 8A 50W 48kHzC5802 1500V 10A 60W 69KHz C5803 1500V 12A 70W 84KHz C5855 1500V 12A 50W C5904 1500V 17AC5905 1700V 20A C5914 1500V 12AC5928 约13A C5929 约15AC5931 1700V 15A 8 D1088 300V 6A 30W B>2000D1273-P NPN 80V 3A 40W D1878 1500V 5A 60WD1879 1500V 6A 60W D2058 60V 3A 25WD2356 1500V 20A 200W D5703 1500V 10A 70WHPA100 1500V 10A 150W HPA150 1500V 15A 150WJ5804 1500V 14A J6810 1500V 10AJ6812 1500V 12A 60W J6815 1500V 15A 60WJ6820 1500V 20A 60W J6825 1500V 25A 150WJ6910 1700V 10A 60W J6916 1700V 16A 60WJ6920 1700V 20A 60W MJE13007 NPN 700V 80WMJE13009 NPN 700V 100W MJL16218 1500V 15A 170W MJW16212 1500V 10A ST2001 1500V 10A 55WST2310FX 1500V 12A TIP102 NPN 100V 8A 80WTIP122 NPN 100V 5A 65W TIP127 PNP 100V 8A 65WTIP31C NPN 100V 3A 40W TIP32C PNP 100V 3A 40WTIP41C NPN 100V 6A 65W TIP42 PNP 40V 6A 65WTIP42A PNP 60V 6A 65W TIP42C PNP 100V 6A 65WTIP50C 400V 1A 40W用大功率高耐压场效应管参数114种2SK534 800 5 100 2SK1045 900 5 1502SK538 900 3 100 2SK1081 800 7 1252SK557 500 12 100 2SK1082 800 6 1252SK560 500 15 100 2SK1119 1000 4 1002SK56 500 9 125 2SK1120 1000 8 1502SK566 800 3 78 2SK1198 800 3 752SK644 500 10 125 2SK1249 500 15 1302SK719 900 5 120 2SK1250 500 20 1502SK725 500 15 125 2SK1271 1400 15 2402SK727 900 5 125 2SK1280 500 18 1502SK774 500 18 120 2SK1341 900 5 1002SK785 500 20 150 2SK1342 900 8 1002SK787 900 8 150 2SK1357 900 5 1252SK788 500 13 150 2SK1358 900 9 1502SK790 500 15 150 2SK1451 900 5 1202SK955 800 9 150 2SK1498 500 20 1202SK962 900 8 150 2SK1500 500 25 1602SK1019 500 30 300 2SK1502 900 7 1202SK1020 500 30 300 2SK1512 850 10 1502SK1531 500 15 150 IRFP150 100 41 1802SK1537 900 5 100 IRFP151 60 19 1802SK1539 900 10 150 IRFP240 200 31 1502SK1563 500 12 150 IRFP250 200 31 1802SK1649 900 6 100 IRFP251 150 33 1802SK1794 900 6 150 IRFP254 250 23 1802SK2038 900 6 125 IRFP350 400 16 180IRF350 500 13 150 IRFP351 350 16 180IRF360 400 25 300 IRFP360 400 23 250IRF440 500 8 125 IRFP450 500 14 180IRF450 500 13 150 IRFP451 450 14 180IRF451 450 13 150 IRFP452 500 12 180IRF460 500 21 300 IRFP460 500 20 250IRF740 400 10 125 MTH8N50 500 8 120IRF820 500 50 MTH8N60 600 8 120IRF834 500 5 100 MTH10N50 500 10 120IRF840 500 8 125 MTH12N50 500 12 120IRF841 450 8 125 H12N45 450 12 120IRF842 500 7 125 H13N50 500 13 150MTH14N50 500 14 150 MTP5N45 450 5 75MTH20N20 200 20 120 MTP5N50 500 5 75MTH25N20 200 25 150 MTP6N60 600 6 125 MTH30N10 100 30 120 IXGH10N100 1000 10 100 MTH35N15 150 35 150 IXGH15N100 1000 15 150 MTH40N10 100 40 150 IXGH20N60 600 20 150 MTM6N80 800 6 120 IXGH25N100 1000 25 200 MTM6N90 900 6 150 GH30N60 600 30 180MTM8N50 500 8 100 GH30N100 1000 30 250 MTM8N90 900 8 150 GH40N60 600 40 200MTM10N20 200 10 75 IXTH24N50 500 24 250 MTM20N20 200 20 125 IXTH30N20 200 30 180 MTM25N10 100 25 100 IXTH30N30 300 30 180 MTM30N10 100 30 120 IXTH30N50 500 30 300 MTM40N10 100 40 150 IXTH40N30 300 40 250 MTP3N60 600 3 75 IXTH50N10 100 50 150MTP3N100 1000 3 75 IXTH50N20 200 50 150 MTP4N60 600 4 50 IXTH67N10 100 67 200MTP4N80 800 4 50 IXTH75N10 100 75 13553D633 NPN 音频功放100V 达林顿7A 40W 达林顿9013 NPN 低频放大50V 90129014 NPN 低噪放大50V 150HMZ 9015 9015 PNP 低噪放大50V 150MHZ 9014 9018 NPN 高频放大30V 1000MHZ8050 NPN 高频放大40V 1W 100MHZ 8550 8550 PNP 高频放大40V 1W 100MHZ 80502N2222 NPN 通用60V 25/200NS2N2369 NPN 开关40V 800MHZ2N2907 NPN 通用60V 26/70NS2N3055 NPN 功率放大100V 15A 115W MJ2955 2N3440 NPN 视放450V 1A 1W 15MHZ 2N6609 2N3773 NPN 音频功放160V 16A 50W2N3904 NPN 通用60V2N2906 PNP 通用40V2N2222A NPN 高频放大75V 300MHZ2N6718 NPN 音频放大100V 2A 2W2N5401 PNP 视频放大160V 100MHZ 2N5551 2N5551 NPN 视频放大160V 100MHZ 2N5401 2N5685 NPN 音频功放60V 50A 300W2N6277 NPN 功放180V 50A 250W9012 PNP 低频放大50V 90132N6678 NPN 音频功放650V 15A 175W 15MHZ 9012 PNP 低频放大50V 90133DA87A NPN 视频放大100V 1W3DG6B NPN 通用20V 150MHZ3DG6C NPN 通用25V 250MHZ3DG6D NPN 通用30V 150MHZMPSA42 NPN 电话视频300V MPSA92MPSA92 PNP 电话视频300V MPSA42MPS2222ANPN 高频放大75V 300MHZ9013 NPN 低频放大50V 90123DK2B NPN 开关30V3DD15D NPN 电源开关300V 5A 50W3DD102C NPN 电源开关300V 5A 50W3522V 稳压管5VA634 PNP 音频功放40V 2A 10WA708 PNP 音频开关80VA715C PNP 音频功放35V 10W 160MHZA733 PNP 通用50V 180MHZA741 PNP 开关20V 70/120NSA781 PNP 开关20V 80/160NSA928 PNP 通用20V 1AA933 PNP 通用50V 140MHZA940 PNP 音频功放150V 25W 4MHZ C2073A966 PNP 音频激励30V 100MHZ C2236A950 PNP 通用30VA968 PNP 音频功放160V 25W 100MHZ C2238A1009 PNP 功放开关350V 2A 15WA1220P PNP 音频功放120V 20W 150MHZA1013 PNP 视频放大160V 1A C2383A1015 PNP 通用60V 8MHZ C18152N6050 PNP 音频功放60V 12A 150W2N6051 PNP 音频功放80V 12A 150W名称极性功能耐压V 电流A 功率W 频率配对管A1175 PNP 通用60V 180MHZA1213 PNP 超高频50V 80MHZA719 PNP 通用30V 200MHZB12 PNP 音频30VB1114 PNP 通用20V 2A 180MHZB205 PNP 音频功放80V 20A 80WB1215 PNP 功放开关120V 3A 20W 130MHZC294 NPN 栾生对管25V 200MHZC1044 NPN 视放45VC1216 NPN 高速开关40V T,20nSC1344 NPN 通用低噪30V 230MHZC1733 NPN 栾生对管30V 2GHZC1317 NPN 通用30V 200MHZC546 NPN 高放30V 600MHZC680 NPN 音频功放200V 2A 30W 20MHZC665 NPN 音频功放125V 5A 50W 15MHZC4581 NPN 电源开关600V 10A 65W 20MHZC4584 NPN 电源开关1200V 6A 65W 20MHZC4897 NPN 行管1500V 20A 150WC4928 NPN 行管1500V 15A 150WC5411 NPN 彩显行管1500V 14A 60WHQ1F3P NPN 功放开关20V 2A 2WTIP132 NPN 音频功放100V 8A 70W TIP137A1020 PNP 音频50V 2AA1123 PNP 低噪放大150VA1162 PNP 通用50VA1216 PNP 功放开关180V 17A 200W 20MHZ C2922 A1265 PNP 功放开关140V 10A 100W 30MHZ C3182 A1295 PNP 功放开关230V 17A 200W 30MHZ C3264A1301 PNP 功放开关160V 12A 120W 30MHZ C3280 C3280 NPN 功放开关160V 12A 120W 30MHZ A1301 A1302 PNP 功放开关200V 15A 120W 30MHZ C3281 C3281 NPN 功放开关200V 15A 120W 30MHZ A1302 A1358 PNP 120V 1A 10W 120MHZA1444 PNP 高速电源100V 15A 30W 80MHZA1494 PNP 功放开关200V 17A 200W 20MHZ C3858 A1516 PNP 功放开关180V 12A 130W 25MHZA1668 PNP 电源开关200V 2A 25W 20MHZA1785 PNP 驱动120V 1A 1W 140MHZA1941 PNP 音频功放140V 10A 100W C5198C5198 NPN 音频功放140V 10A 100W A1941A1943 PNP 功放开关230V 15AA 150W C5200C5200 NPN 功放开关230V 15A 150W A1943A1988 PNP 功放开关B449 PNP 功放开关50VB647 PNP 通用120V 1A 140MHZ D667D667 NPN 通用120V 1A 140MHZ B649B1375 PNP 音频功放60V 3A 2W 9MHZD40C NPN 对讲机用40V 40W 75MHB688 PNP 音频功放120V 8A 80W D718B734 PNP 通用60V 1A 1W D774B649 PNP 视放180V 20W D669D669 NPN 视频放大180V 20W 140MHZ B649B669 PNP 达林顿功70V 4A 40WB675 PNP 达林顿功60V 7A 40WB673 PNP 达林顿功100V 7A 40WB631K PNP 音频功放120V 1A 8W 130MHZ D600KD600K NPN 音频功放120V 1A 8W 130MHZ B631KC3783 NPN 高压高速900V 5A 100WB1400 PNP 达林顿功120V 6A 25W D1590B744 PNP 音频功放70V 3A 10WB1020 PNP 功放开关100V 7A 40WB1240 PNP 功放40V 2A 1W 100MHZB1185 PNP 功放60V 3A 25W 70MHZ D1762B1079 PNP 达林顿功100V 20A 100W D1559B772 PNP 音频功放40V 3A 10W D882B774 PNP 通用30VB817 PNP 音频功放160V 12A 100W D1047B834 PNP 功放开关60V 3A 30WB1316 PNP 达林顿功100V 2A 10WB1317 PNP 音频功放180V 15A 150W D1975B1494 PNP 达林顿功120V 20A 120W D2256B1429 PNP 功放开关180V 15A 150WC380 NPN 高频放大35V 250MHZC458 NPN 通用30V 230MHZC536 NPN 通用40V 180MHZ2N6609 PNP 音频功放160V 15A 150W >2MHZ 2N3773 C3795 NPN 高压高速900V 5A 40WC2458 NPN 通用低噪50VC3030 NPN 开关管900V 7A 80W 达林顿C3807 NPN 低噪放大30V 2A 260MHZC3858 NPN 功放开关200V 17A 200W 20MHZ A1494D985 NPN 达林顿功150V ± 10WC2036 NPN 高放低噪80V 1A 1-4WC2068 NPN 视频放大300V 80MHZC2073 NPN 功率放大150V 25W 4MHZ A940C3039 NPN 电源开关500V 7A 50WC3058 NPN 开关管600V 30A 200WC3148 NPN 电源开关900V 3A 40WC3150 NPN 电源开关900V 3A 50WC3153 NPN 电源开关900V 6A 100WC3182 NPN 功放开关140V 10A 100W A1265C3198 NPN 高频放大60V 130MHZ3DK4B NPN 开关40V3DK7C NPN 开关25V3D15D NPN 电源开关300V 5A 50WC2078 NPN 音频功放80V 3A 10W 150MHZC2120 NPN 通用30VC2228 NPN 视频放大160VC2230 NPN 视频放大200VC2233 NPN 音频功放200V 4A 40WC2236 NPN 通用30V A966C1733 NPN 孪生对管30V 2GHZC1317 NPN 通用30V 200MHZC2238 NPN 音频功放160V 25W 100MHZ A968C752 NPN 通用30V 300MHZ名称极性功能耐压V 电流A 功率W 频率配对管C815 NPN 通用60VC828 NPN 通用45VC900 NPN 低噪放大30V 100MHZC945 NPN 通用50V 250MHZC1008 NPN 通用80V 50MHZC1162 NPN 音频功放35V 10WC1213 NPN 监视器专30VC1222 NPN 低噪放大60V 100MHZC1494 NPN 发射36V 6A PQ=40W 175MHZ C1507 NPN 视放300V 15WC1674 NPN HF/ZF 30V 600MHZC1815 NPN 通用60V 8MHZ A1015C1855 NPN HF/ZF 20V 550MHZC1875 NPN 彩行1500V 50WC1906 NPN 高频放大30V 1000MHZC1942 NPN 彩行1500V 3A 50WC1959 NPN 通用30V 300MHZC1970 NPN 手机发射40V 175MHZC1971 NPN 手机发射35V 2A 175MHZC1972 NPN 手机发射35V 15W 175MHZC2320 NPN 通用50V 200MHZC2012 NPN 高放30V 200MHZC2027 NPN 行管1500V 5A 50WD814 NPN 低噪放大150V 1 50MHZC5142 NPN 彩行1500V 20A 200WD998 NPN 音频功放120V 10A 80W <1/3US D2253 NPN 彩显行管1700V 6A 50WD110 NPN 音频功放130V 10A 100W 1MHZ C2335 NPN 视频500V 7A 40WC2373 NPN 功放200V 40WC2383 NPN 视频开关160V 1A A1013C3300 NPN 音频功放100V 15A 100WC3310 NPN 电源开关500V 5A 40WC3320 NPN 电源开头500V 15A 80WC3355 NPN 高频放大20V 6500MHZC3358 NPN 高频放大20V 7000MHZC3457 NPN 电源开关1100V 3A 50WC3460 NPN 电源开关1100V 6A 100WC3466 NPN 电源开关1200V 8A 120WC3505 NPN 电源开关900V 6A 80WC3527 NPN 电源开关500V 15A 100WC3528 NPN 电源开关500V 20A 150WC3866 NPN 高压高速900V 3A 40WC2443 NPN 功放开关600V 50A 400WC2481 NPN 音频功放150V 20WC2482 NPN 视频放大300VC2500 NPN 通用30V 2A 150MHZC2594 NPN 音频功放40V 5A 10WC2611 NPN 视频放大300VC2625 NPN 音频功放450V 10A 80WC2682 NPN NF/Vid 180V 8WC2688 NPN 视放管300V 10W 80MHZC2690 NPN 音频功放120V 20W 1 50MHZ A1220P C2751 NPN 电源开关500V 15A 120WC2837 NPN 音频功放150V 10A 100WC3873 NPN 高压高速500V 12A 75W 30MHZC3886 NPN 开关行1400V 8A 50W 8MHZC3893 NPN 行管1400V 8A 50W 8MHZC3907 NPN 功放开关180V 12A 130W 30MHZC3595 NPN 射频30VC4059 NPN 高速开关600V 15V 130WC4106 NPN 电源开关500V 7A 50W 20MHZ?C4111 NPN 开关行1500V 10A 150WC3679 NPN 电源开关900V 5A 100W 6MHZC2898 NPN 音频功放500V 8A 50WC2922 NPN 音频功放180V 17A 200W 50MHZ A1216 C3026 NPN 开关管1700V 5A 50WD986 NPN 达林顿功150-80V 10WC3262 NPN 功放800V 10A 100WC3264 NPN PA功放230V 17A 200WB=170 A1295 C3280 NPN 音频功放160V 12A 120WB=100C3281 NPN 音频功放200V 15A 150W 30MHZC3680 NPN 电源开关900V 7A 120W 6MHZC3688 NPN 彩行1500V 10A 150WC3720 NPN 彩行1200V 10A 200WC3953 NPN 视放120V 400MHZC3987 NPN 达林顿50V 3A 20WC3995 NPN 行管1500V 12A 180WD1025 NPN 达林顿功200V 8A 50WC3997 NPN 行管1500V 15A 250WC3998 NPN 行管1500V 25A 250WC4024 NPN 功放开关100V 10A 35W 24MHZC4038 NPN 门电路50V 180MHZD1037 NPN 音频功放150V 30A 180WD1047 NPN 音频功放160V 12A 100W B817C4119 NPN 微波炉1500V 15A 250WC4231 NPN 音频功放800V 2A 30WC4237 NPN 高压高速1000V 8A 120W 30MHZC4242 NPN 高压高速450V 7A 40WC4297 NPN 电源开关500V 12A 75W 10MHZC4429 NPN 电源开关1100V 8A 60WC4517 NPN 音频功放550V 3A 30W 6MHZC4532 NPN 大屏行管1700V 10A 200WC4582 NPN 电源开关600V 15A 75W 20MHZC5244 NPN 彩行1700V 15A 200WC5249 NPN 功放开关600V 3A 35W 6MHZC5250 NPN 开关1000V 7A 100WC5251 NPN 彩行1500V 12A 50WD1071 NPN 达林顿功300V 6A 40WC4706 NPN 电源开关900V 14A 130W 6MHZC4382 NPN 功放开关200V 2A 25W 20MHZ A1668 C4742 NPN 彩行1500V 6A 50WC4745 NPN 彩行1500V 6A 50WC4747 NPN 彩行1500V 10A 50WC4769 NPN 微机行管1500V 7A 60WC4913 NPN 大屏视放2000V 35WC4924 NPN 音频功放800V 10A 70WC4927 NPN 行管1500V 8A 50WC4927 NPN SONY29行1500V 8A 50WC4941 NPN 行管1500V 6A 65W 500/380NSC4953 NPN 功放开关500V 2A 25W t=300nSC5020 NPN 彩行1000V 7A 100WC5068 NPN 彩行1500V 10A 50WC5086 NPN 彩行1500V 10A 50WC5088 NPN 彩行1500V 10A 50WC5129 NPN 彩显行管1500V 8A 50WD1163A NPN 行偏转用350V 7A 40W 60MHZD1175 NPN 行偏转用1500V 5A 100WC5132 NPN 彩行1500V 16A 50WC5144 NPN 大屏彩行1700V 20A 200WC5148 NPN 大屏彩行1500V 8A 50WC5149 NPN 高速高频1500V 8A 50WC5198 NPN 功放开关140V 10A 100WC5200 NPN 功放开关230V 15A 150W A1943D1273 NPN 音频功放80V 3A 40W 50MHZC5207 NPN 彩行1500V 10A 50WC5243 NPN 彩行1700V 15A 200WC5252 NPN 彩行1500V 15A 100WC5294 NPN 彩行1500V 20A 200MSC5296 NPN 开关管1500V 8A 80WC5297 NPN 开关管1500V 16A 60WC5331 NPN 大屏彩显1500V 15A 180WD325 NPN 功放开关50V 3A 25WD385 NPN 达林顿功100V 7A 30WD400 NPN 通用25V 1AD1302 NPN 音频25V 200MHZD1397 NPN 开关1500V 50W 3MHZD1398 NPN 开关1500V 5A 50W 3MHZD1403 NPN 彩行1500V 6A 120WD401 NPN 音频功放200V 2A 20WD415 NPN 音频功放120V 5WD438 NPN 通用500V 1A 100MHZD560 NPN 达林顿功150V 5A 30WD637 NPN 通用60V 150MHZD667 NPN 视频放大120V 1A 140MHZ B647D1403 NPN 彩行1500V 6A 120WD1415 NPN 功放电源100V 7A 40W 达林顿D718 NPN 音频功放120V 8A 80W B668D774 NPN 通用100V 1A 1W B734D789 NPN 音频输出100V 1AD820 NPN 彩行1500V 5A 50WD870 NPN 彩行1500V 5A 50WD880 NPN 音频功放60V 3A 10WD882 NPN 音频功放40V 3A 30W B772D884 NPN 音频功放330V 7A 40WD898 NPN 彩行1500V 3A 50WD951 NPN 彩行1500V 3A 65WD965 NPN 音频40V 5AD966 NPN 音频40V 5A 1WD633 拆NPN 音频功放100V 7A 40W 达林顿D1431 NPN 彩行1500V 5A 80WD1433 NPN 彩行1500V 7A 80WD1980 NPN 达林顿100V 2A 10WD1981 NPN 达林顿100V 2A 1WD1993 NPN 音频低噪55VD1416 NPN 功放电源80V 7A 40W 达林顿D1427 NPN 彩行1500V 5A 80W 带阻尼BU2525AFNPN 开关功放1500V 12A 150W 350NS D1428 NPN 彩行1500V 6A 80W 带阻尼BU2525AXNPN 开关功放1500V 12A 150W 350NS D1439 NPN 彩行1500V 3A 80WD1541 NPN 彩行1500V 3A 80WD1545 NPN 彩行1500V 5A 50WD1547 NPN 彩行1500V 7A 80WBU2527AFNPN 开关功放1500V 15A 150WD1554 NPN 彩行1500V 80WD1555 NPN 彩行1500V 5A 80WD1556 NPN 彩行1500V 6A 80WD1559 NPN 达林顿功100V 20A 100W B1079D1590 NPN 达林顿功150V 8A 25WD1623 NPN 彩行1500V 4A 70WD1640 NPN 达林顿功120V 2AD1651 NPN 彩行1500V 5A 60W 3MHZD1710 NPN 彩行1500V 5A 50WD1718 NPN 音频功放180V 15A 50W 20MHZD1762 NPN 音频功放60V 3A 25W 90MHZ B1185D1843 NPN 低噪50V 1A 1WD1849 NPN 彩行1500V 7A 120WD1850 NPN 彩行1500V 7A 120WD1859 NPN 音频80V 1W 120MHZD1863 NPN 音频120V 1A 1W 100MHZD1724 NPN 开关120V 3A 180MHZD1877 NPN 彩行1500V 4A 50W 带阻尼D1879 NPN 彩行1500V 6A 60W 带阻尼D1887 NPN 彩行1500V 10 70WD1930 NPN 达林顿100V 2A 达林顿D1975 NPN 音频功放180V 15A 150W B1317BU2532AWNPN 开关功放1500V 15A 150WD1978 NPN 达林顿120VD1994A NPN 音频驱动60V 1A 1WBD237 NPN 音频功100V 2A 25W BD238BD238 PNP 音频功100V 2A 25W BD237BU2520AFNPN 开关功放1500V 10A 150W 1/500NS BU2520DFNPN 开关功放1500V 10A 150W 1/500NS BU2520DXNPN 开关功放1500V 10A 50W 600NS BUH515 NPN 行管1500V 10A 80WBUH515D NPN 行管1500V 10A 80WBUS13A NPN 开关功放1000V 15A 175WD1997 NPN 激励管40V 3A 100MHZD2008 NPN 音频功放80V 1AD2012 NPN 音频功放60V 3A 2W 3MHZD2136 NPN 功放80V 1AD2155 NPN 音频功放180V 15A 150WD2256 NPN 达林顿功120V 25A 125W B1494D2334 NPN 彩行1500V 5A 80WD2335 NPN 彩行1500V 7A 100W 带阻尼D2349 NPN 大屏彩显1500V 10A 50WD1959 NPN 彩行1400V 10A 50WD2374 NPN 功放开关60V 3A 25W 30MHZD2375 NPN 高放大倍80V 3A 25W 50MHZD2388 NPN 达林顿90V 3AD2445 NPN 彩行1500V 120WD2498 NPN 彩行1500V 6A 50WD2588 NPN 点火器用DK55 NPN 开关400V 4A 60WBC307 PNP 通用50VBC327 PNP 低噪音50V BC337BC337 NPN 音频激励50V BC327BC338 NPN 通用激50VBC546 NPN 通用80VBC547 NPN 通用50V 300MHZBD135 NPN 音频功45VBD136 PNP 音频功45V BD137BD137 NPN 音频功60V BD136BD138 PNP 音频功60V BD139BD139 PNP 音频功80V BD138BUS14A NPN 开关功放1000V 30A 250WBUT11A NPN 开关功放1000V 5A 100WBD243 NPN 音频功45V 6A 65W BD244BD244 PNP 音频功45V 6A 65W BD243BD681 NPN 达林顿功100V 4A 40W BD682BD682 PNP 达林顿功100V 4A 40W BD681BF458 NPN 视放250V 10WBU208A NPN 彩行1500V 5ABU208D NPN 彩行1500V 5ABU323 NPN 达林顿功450V 10A 125WBU406 NPN 行管400V 7A 60WBU508A NPN 行管1500V 75WBU508A NPN 行管1500V 75WBU508D NPN 行管1500V 75WBU806 NPN 功放400V 8A 60WBU932R NPN 功放500V 15A 150WBUT12A NPN 开关功放450V 10A 125WBU941 NPN 功放开关500V 15A 175W 达林顿BU1508DXNPN 开关功放1500V 8A 35WBU2506DXNPN 开关功放1500V 7A 50W 600NS BU2508AFNPN 开关功放1500V 8A 125W 600NS BU2508AXNPN 开关功放1500V 8A 125W 600NSBU2508DFNPN 开关功放1500V 8A 125W 600NSBU2508DXNPN 开关功放1500V 8A 50W 600NSBUV26 NPN 音频功放90V 14A 65W 250NSBU2522AFNPN 开关功放1500V 11A 150W 350NSMJ15024 NPN 音频功放400V 16A 250W 4MHZ MJ15025 MJ15025 PNP 音频功放400V 16A 250W 4MHZ MJ15024 MJE271 PNP 达林顿100V 2A 15W 6MHZBUV28A NPN 音频功放225V 10A 65W 250NSBUV48A NPN 音频功放450V 15A 150WBUW13A NPN 功放开关1000V 15A 150WBUX48 NPN 功放开关850V 15A 125WBUX84 NPN 功放开关800V 2A 40WBUX98A NPN 功放开关400V 30A 210W 5MHZDK55 NPN 功放开关400V 4A 65WDTA114 PNP 10K-10K 160VDTC143 NPN 录像机用HPA100 NPN 大屏彩显1500V 10A 150WHPA150 NPN 大屏彩显1500V 15A 150WHSE830 PNP 音频功放80V 115W 1MHZ HSE800HSE838 NPN 音频功放80V 115W 1MHZ HSE830MN650 NPN 行管1500V 6A 80WMJ802 NPN 音频功放90V 30A 200W MJ4502MJ2955 PNP 音频功放60V 15A 115W MJ3055MJ3055 NPN 音频功放60V 15A 115W MJ2955MJ4502 PNP 音频功放90V 30A 200W MJ802MJ10012 NPN 达林顿400V 10A 175WMJ10015 NPN 电源开关400V 50A 200WMJ10016 NPN 电源开关500V 50A 200WMJ10025 NPN 电源开关850V 20A 250WMJ11032 NPN 电源开关120V 50A 300W MJ11033MJ11033 PNP 电源开关120V 50A 300W MJ11032MJ13333 NPN 电源开关400V 20A 175WMJ11015 PNP 铁达林顿500V 10AMJ14003 PNP 铁MJE340 NPN 视放300V 20W MJE350MJE350 PNP 视放300V 20W MJE340MJE2955TPNP 音频功放60V 10A 75W 2MHZ MJE3055T MJE3055TNPN 音频功放70V 10A 75W 2MHZ MJE2955T MJE5822 PNP 音频功放500V 8A 80WMJE13003NPN 功放开关400V 14WMJE13005NPN 功放开关400V 4A 60WMJE13007NPN 功放开关1500V 60WKSE800 NPN 达林顿140V 4A 20WTIP31C NPN 功放开关100V 3A 40W 3MHZ TIP32 TIP32C PNP 功放开关100V 3A 40W 3MHZ TIP31 TIP35C NPN 音频功放100V 25A 125W 3MHZ TIP36 TIP36C PNP 音频功放100V 25A 125W 3MHZ TIP35 TIP41C NPN 音频功放100V 6A 65W 3MHZ TIP42 TIP42C PNP 音频功放100V 6A 65W 3MHZ TIP41 TIP102 NPN 音频功放100V 8A 2WTIP105 PNP 音频功放60V 80W 达林顿TIP122 NPN 音频功放100V 5A 65W TIP127TIP127 PNP 音频功放100V 5A 65W TIP122TIP137 PNP 音频功放100V 8A 70W TIP132TIP142 NPN 音频功放100V 10A 125W TIP147TIP142 大NPN 音频功放100V 10A 125W TIP147 TIP147 PNP 音频功放100V 10A 125W TIP142TIP147 大PNP 音频功放100V 10A 125W TIP142 TIP152 BCE 电梯用达400V 3A 65WTL431 电压基准源BT33 电压结晶体管UGN3144 SGO 霍尔开关60MIAL1 电磁/ 60A 300WT30G40 NPN 大功率开400V 30A 300W5609 NPN 音频低频50V 56105610 PNP 音频低频50V 56109626 NPN 通用TT2062 1500V 18A 85WBU208A 50W 1500V 5A 电源开关管BU508A 75W 1500V 8A 电源开关管BU2508AF 45W 1500V 8A 行管BU2508DF* 125W 1500V 8A 行管BU2508D* 125W 1500V 8A 行管BU2520AF 45W 1500V 10A 行管BU2520AX 45W 1500V 10A 行管BU2520DF* 125W 1500V 10A 行管BU2522AF 45W 1500V 10A 行管BU2522DF* 80W 1500V 10A 行管BU2525DF* 45W 800V 12A 行管BUH515 60W 1500V 8A 行管BUH515D 60W 1500V 8A 行管C1520 10W 250V 视放C1566 250V 视放C1573 250V 视放C1875 50W 1500V 电源开关管C3153 100W 900V 6A 电源开关管C3026 50W 1700V 5A 行管C3457 50W 1100V 3A 电源开关管C3459 90W 1100V 电源开关管C3460 100W 1100V 6A 电源开关管C3461 140W 1100V 8A 行管C3683* 50W 1500V 5A 行管C3686 50W 1400V 8A 行管C3687 150W 1500V 8A 行管C3481 120W 1500V 5A 电源开关管C3688 150W 1500V 10A 行管C3842* 120W 1500V 6A 行管C3883* 50W 1500V 5A 行管C3885 50W 1400V 7A 行管C3886 50W 1400V 8A 行管C3887 80W 1400V 7A 行管C3888 80W 1400V 80A 行管C3889 80W 1400V 80A 行管C3891* 50W 1400V 6A 行管C3892* 50W 1400V 7A 行管C3893* 50W 1400V 8A 行管C3895 60W 1400V 7A 行管C3896 70W 1400V 8A 行管C3897* 180W 1500V 12A 行管C3897 250W 1500V 25A 行管C3998 250W 1500V 25A 行管C4122* 60W 1500V 6A 行管C4123* 60W 1500V 7A 行管C4124* 70W 1500V 8A 行管C4125* 70W 1500V 10A 行管C4237 150W 800V 10A 行管C4269* 60W 1500V 7A 行管C4293* 50W 1500V 5A 行管C4294* 50W 1500V 6A 行管C4589* 50W 1500V 10A 行管C4742* 50W 1500V 6A 行管C4744* 50W 1500V 6A 行管C4747 50W 1500V 10A 行管C4769* 60W 1500V 7A 行管C4770 60W 1500V 7A 行管C5048 50W 1500V 12A 行管C5088 45W 1500V 8A 行管C5129 50W 1500V 6A 行管C5144 200W 1700V 20A 行管C5148 50W 1500V 8A 行管C5250 50W 1500V 8A 行管C5297 60W 1500V 8A 行管C5299 60W 1400V 8A 行管C5339 50W 1500V 7A 行管C5418 120W 1500V 6A 行管D1396* 50W 1500V 2A 行管D1398* 50W 1500V 5A 行管D1402 120W 1500V 5A 电源开关管D1403 120W 1500V 6A 电源开关管D1426* 80W 1500V 行管D1427* 80W 1500V 5A 行管D1428* 80W 1500V 6A 行管D1433 80W 1500V 7A 行管D1434 80W 1500V 5A 行管D1455* 50W 1500V 5A 行管D1554* 40W 1500V 行管D1555 50W 1500V 5A 电源开关管D1878* 60W 1500V 6A 行管D1879* 60W 1500V 5A 行管D1880* 70W 1500V 8A 行管D1881* 70W 1500V 10A 行管D1886 70W 1500V 8A 行管D1887 70W 1500V 10A 行管D2125* 50W 1500V 5A 行管D870* 50W 1500V 5A 行管2SA562 预视放2SA670 电源调整管2SA673 帧激励2SA715 场输出管2SA778A 开关电源误差放大2SA778AK C3CG21G、CG75-1A 开关电源误差放大2SA844D 3CG21C、CG75-1AB 视放2SA844E 3CG21G 视放2SA940 CD568B 场输出管2SA6395 2SA778、2SA858 行激励管2SB337 B337 电源调整管2SB407 3L780 电源调整管2SB548 3CF3B、2SA794 场输出管2SB566AK CD77-1A、3CF5A 电源调整管2SB556K CD77-1A、3CF5B 电源调整2SB621 3CG23B、2SB1035 电源推动管2SC458 3DG4A、2SC664 行振荡2SC536 3DG4A、2SC2320 电源推动管2SC562 G6738、B689 预视放2SC633 3DG6B、2SC1684 行振荡管2SC634 3DG12B 行振荡管2SC643A D2027、2SD818 行输出管2SC680A 3DD205B、2SC1025 场输出2SC681 3DD102B、2SC901 行输出2SC734 3DX200B、2SC2274 行振荡管2SC828 3DG56B、2SC3330 电源误差放大管2SC935 3DD102D、2SD320 电源调整管2SC8937 D2027、2SD818 行输出管进口与国产显示器常用三极管代换表2SC1034 2SD818、2SD299 行输出管2SC1162 FA433A、2SC2068 场输出枕形校正2SC1172 D2027、2SD820 行输出管2SC1209 3DG12A、2SD734 电源误差放大管2SC1213 3DG130A、2SC2120 电源误差放大管2SC1213A 3DG12B、2SC1247A 电源误差放大2SC1214 3DA151A、2SC2002 枕形校正2SC1308 D209、2SD820 行输出管2SC1318 3DG12A、2SC2274 行激励管2SC1364 3DX2038、2SC2320 行激励管2SC1505 DA1722B、2SC1757 行视放2SC1507 DA1722B、2SC1756、2SC1757 行激励管2SC1364 3DX2038、C23020 行激励管2SC1520 DA1722B、2SC2068 预视放2SC1566 3DA151D、2SC1514 视放2SC1573 3DA87C、2SC1762 视放2SC1672 3DD102B、2SC2433 电源调整管2SC1685 3DD180、2SC1570 脉冲开关2SC1819 3DA151D、2SC2425 视放2SC1890A 3DA878、2SC2363 视放2SC1905 3DA151D、2SD1163 视放2SC1942 D209、2SD1401 行输出管2SC2233 3DD12B、2SC2373 行输出2SD201 3DD102A、2SD125A 电源调整管2SD226 3DD207、2SD315 电源调整管2SD299 D2027、2SC1308 行输出管2SD350 D2027、2SD348 行输出管2SD380 D209、2SD348 行输出管2SD869 2SD993、2SD898B 行输出管C3150 C3151、C3152 开关管BU508A BU508D、C3893、C3895、C3897 开关管场效应管主要参数表2SK534 100W 5A 800V2SK538 100W 3A 900V2SK557 100W 12A 500V2SK560 100W 15A 500V2SK566 78W 3A 800V2SK644 125W 10A 500V2SK719 120W 5A 900V2SK725 125W 15A 500V2SK727 125W 5A 900V2SK774 120W 18A 500V2SK785 150W 20A 500V2SK787 150W 8A 900V2SK788 150W 13A 500V2SK790 150W 15A 500V2SK872 150W 6A 900V2SK955 150W 9A 800V2SK956 150W 9A 800V2SK962 150W 8A 900V2SK1019 300W 30A 500V2SK1020 300W 30A 500V2SK1045 150W 5A 900V2SK1081 125W 7A 800V2SK1082 125W 6A 800V2SK1117 100W 6A 600V2SK1118 45W 6A 600V2SK1119 100W 4A 1000V2SK1120 150W 8A 1000V2SK1171 240W 5A 1400V2SK1198 75W 3A 800V2SK1249 130W 15A 500V2SK1250 150W 20A 500V2SK1271 240W 15A 1400V2SK1280 150W 18A 500V2SK1281 120W 4A 700V2SK1341 100W 5A 900V2SK1342 100W 8A 900V2SK1356 40W 3A 900V2SK1357 125W 5A 900V2SK1358 150W 9A 900V2SK1451 120W 5A 900V2SK1498 120W 20A 500V2SK1500 160W 25A 500V2SK1502 120W 7A 900V2SK1507 50W 6A 600V2SK1512 150W 10A 850V2SK1531 150W 15A 500V2SK1537 100W 5A 900V2SK1539 150W 10A 900V2SK1563 150W 12A 500V2SK1649 100W 6A 900V2SK1794 150W 6A 900V2SK2038 125W 6A 900V2N7000 60VBUZ385 125W 6A 500VGH30N60 180W 30A 600V GH30N100 250W 30A 1000V GH40N60 200W 40A 600VH1245 120W 12A 450VH13N50 150W 13A 500V IBF834 100W 3A 500VIPF440 125W 8A 500VIRT450 150W 13A 500V IRF350 150W 13A 500V IRF360 300W 25A 400V IRF440 125W 8A 500VIRF451 150W 13A 450V IRF460 300W 21A 500V IRF620 40W 5A 200VIRF630 75W 9A 200VIRF634 75W 250VIRF640 125W 18A 200V IRF730 75W 400VIRF740 125W 10A 400V IRF820 50W 500VIRF830 75W 500VIRF834 100W 5A 500VIRF840 125W 8A 500VIRF841 125W 8A 450VIRF842 125W 7A 500VIRF9610 20W 1A 200VIRF9630 75W 200VIRF9640 125W 11A 200V IRF450 150W 13A 500VIRFD113 1W 80VIRFD123 1W 80VFIRP150 180W 41A 100V IRFP151 180W 19A 60VIRFP240 150W 31A 200V IRFP250 180W 31A 200V IRFP251 180W 33A 150V IRFP254 180W 23A 250V IRFP350 180W 16A 400V IRFP351 180W 16A 350V IRFP360 250W 23A 400V IRFP450 180W 14A 500V IRFP452 180W 12A 500V IRFP460 250W 20A 500V IRFBC40 125W 600VIRF4P51 180W 14A 450V IXGH10N100 100W 10A 1000V IXGH15N100 150W 150A 1000V IXGH20N60 150W 20A 600V IXTH50N30 150W 50A 300V IXTH50X20 250W 50A 200V IXTH67N10 200W 67A 100V LXTH24N50 250W 24A 500V LXTH30N20 180W 30A 200V LXTH30N30 180W 30A 300V LXTH30N50 300W 30A 500V LXTH40N30 250W 40A 300V LXTH50N10 150W 50A 100V LXTH50N20 150W 50A 200V LXTH67N70 200W 67A 100V LXTH75N10 200W 75A 100V MTH8N50 120W 8A 500VMTM6N80 120W 6A 800V METH10N50 120W 10A 500V MTH12N50 120W 12A 500V MTH14N50 150W 14A 500V MTH20N20 120W 20A 200V MTH25N10 150W 25A 200V MTH30N10 120W 30A 100V MTH35N15 150W 35A 150V MTH40N10 150W 40A 100V MTH8N60 120W 8A 600VMTM10N20 75W 10A 200V MTM20N20 125W 20A 200V MTM25N10 100W 25A 100VMTM30N10 120W 30A 100V MTM40N10 150W 40A 100V MTM6N90 150W 6A 900V MTM8N50 100W 8A 500V MTM8N90 150W 8A 900V MTP3N60 75W 3A 600V MTP3N100 75W 3A 1000V MTP4N60 50W 4A 600V MTP4N80 50W 4A 800V MTP5P25 75W 5A 250V MTP5N45 75W 5A 450V MTP5N50 75W 5A 500V MTP6N60 125W 6A 600V MTP6N60E 125W 6A 600V RFP50N05 132W 50A 50V RFP50N05L 110W 50A 50V D1175* 1500V 5A 100WD1279 1500V 10A 50WD1391* 1500V 5A 80WD1398* 1500V 5A 50WD1403 1500V 6A 120WD1426* 1500V 80WD1427* 1500V 5A 80WD1428* 1500V 6A 80WD1429* 1500V 80WD1431 1500V 5A 80WD1432* 1500V 6A 80WD1433* 1500V 7A 80WD1439* 1500V 3A 50WD1453 1500V 3A 50WD1497* 1500V 6A 50WD1545 1500V 5A 50WD1547 1500V 7A 50WD1554* 1500V 40WD1555* 1500V 5A 50WD1556* 1500V 6A 50WD1651* 1500V 5A 60WD1652* 1500V 6A 60WD1710 1500V 6A 100WD1878* 1500V 6A 50WD1879* 1500V 6A 60WD1880* 1500V 8A 70WD1881* 1500V 10A 70WD1884 1500V 5A 60WD1885 1500V 6A 60W。
常用三极管参数选型表272SD180320560180TO-251S-L 282SD180420860180TO-251S-L 292SD180515560120TO-251S-L 302SD1815203120180TO-251S-L 312SD184112025110TO-3P TV-HA 322SD184912071500TO-3PF TV-HA 332SD187********TO-3PE TV-HA 342SD187********TO-3PE TV-HA 352SD1907504150020TO-3PE S-L 362SD19751501518020TO-3PL NF-SL 372SD205710051500TO-3PF S-L/TV 382SD2058253603TO-220NF-S/L 392SD21371536030TO-92L NF-E 402SD2199407600.2us SMP-FD S-L 412SD225470613020TO-263422SD252160 2.51700TO-3PE HA 432SD25441556070MT-4442SD2578608800TO-3PE HA 452SD25807010800TO-3PEL HA 462SD2581TO-3PELHA 472SD2624HA 482SD2634HA 12N29550.150.14053ns TO-3-22N305511515100 2.5TO-3NF-S/L 22N3904-0.280-TO-92NF-S/L 22N39060.6250.240-TO-92NF-S/L 32N44020.6250.640255ns TO-92-42N44030.6250.640255ns TO-92-52N61074076010TO-220-62N61094076010TO-220-72N61114076010TO-220-82N6283------92N62884076010TO-220-102N62924076010TO-220-1KTC3230----TO-220-2MJE18212.538050TO-126NF-L 3MJE2001552565TO-126NF-L 4MJE29557510602TO-126NF-L序号型号P cm [W]I cm [A]V ceo [V]fT[MHz]封装用途V ceo [V]fT[MHz]封装用途序号型号P cm [W]I cm [A]数据手册PNPNIP PNP SANYO PNP NIP PNP SANYO PNP NIP PNP SANYO PNP SANYO PNP PNP NIP PNP SAK PNP SAK PNP SANYO PNP SANYO PNP HITACHI PNP PNP HITACHIPNP -PNP NIP PNP NIP PNP SANYO PNP SANYO PNP SANYO PNP SANYO PNP HITACHI PNP SANYO PNP SANYO PNP SANYO PNP MITSUBISHI 数据手册NPN MAT NPN NIP NPN TOSHIBA NPN NPNTOSHIBA说明生产厂商说明生产厂商NPN MITSUBISHINPN TOSHIBANPN MITSUBISHINPN MITSUBISHINPN MITSUBISHINPN TOBASHINPN SANYONPN TOSHIBANPN ToshibaNPN-NPNNPNNPN NIP-NPN SANYONPN SANYONPN SANYONPN SANYONPN SANYONPN SANYONPN SHINPN SANYONPN FJDNPN NIPNPN SANYONPN SANYONPN SANYONPN--NPN-NPN SANYONPN SANYO数据手册NPN SANYONPN SANYONPN SANYONPN SANYONPN SANYONPN SHINPN SHINPN TOS说明生产厂商NPN SANYONPN SANYONPN SANYONPN SANYONPN SANYONPN SAKNPN SANYONPN SANYONPN SANYONPNNPNNPNNPN SANYONPNNPNNPN SANYO数据说明生产厂商手册NPN SONNPN HITACHINPN TOBASHINPN TOBASHINPN NIPNPN SANYONPN SANYONPN SANYONPN SANYONPN TOSHIBANPN MATNPN HITASHINPN SANYONPN SANYONPN TOSHIBANPN TOSHIBANPN MATNPN MATNPN TOSHIBANPN TOSHIBANPN HITASHINPN HITACHINPN SANYONPN NIPNPN SANYONPN SANYONPN SANYONPN SANYONPN SANYONPN SANYONPN MATNPN SANYONPN SANYONPN SANYONPN MATNPN MATPNP MATNPN MATNPN SANYONPN MATNPNNPNNPN SANYONPN SANYONPN SANYO数据手册PNP MOTNPN SGSNPN-PNP-PNP FERPNP FERPNP NSC,RCAPNP NSC,RCAPNP NSC,RCA--NPN NSC,RCANPN NSC,RCA数据手册PNP--NPN FairchildNPN FAIRCHILDPNP FAIRCHILD说明生产厂商说明生产厂商NPN FAIRCHILDNPNON SemICond uctorNPNON SEMIcond uctorNPNON Semicond uctorNPNON Semicond uctoNPNON Semicond uctorPNPON Semicond uctorNPNON Semicond uctorPNP FAIRCHILDPNP FAIRCHILDNPN FAIRCHILDNPN FAIRCHILD--------NPN-PNP-NPN-NPN-PNP-PNP-PNP-数据手册NPN TIXPNP TIX说明生产厂商NPN TIXPNP TIXNPN TIXPNP TIXNPN TIXNPN TIXNPN TIX-;--PNP--。
三极管选型表⼆:常⽤NPN三极管型号及参数表序号型号P cm[W]I cm[A]V ceo[V]f T[MHz]封装⽤途说明⽣产⼚商0012SC1446100.1300TO-220NF-Vid/L NPN MAT0022SC1505150.230080TO-220Vid-L NPN NIP0032SC156912.50.15300100TO-220NPN TOSHIBA0042SC1623-0.15030SOT-23NPN0052SC18150.40.156080TO-92Uni NPN TOSHIBA 0062SC1819150.1300100TO-251Vid-L NPN MITSUBISHI 0072SC189250 2.515003TO-126TV-HA NPN TOSHIBA 0082SC20680.0530095TO-126CTV-C NPN MITSUBISHI 0092SC19717235175TO-220VHF-L NPN MITSUBISHI 0102SC197215 3.535175TO-220VHF-L NPN MITSUBISHI 0112SC207325 1.51504TO-220TV-VA NPN TOBASHI 0122SC2078438060TO-220AM-L NPN SANYO 0132SC23280.0320 2.2G TO-126UHF NPN TOSHIBA 0142SC23830.9116020CTV-NF NPN Toshiba 0152SC262580104501/3us TO-263FJD NPN0152SC26550.9250-TO-92MODTOSHIBA NPN0162SC269020 1.2120155TO-126NF-HF NPN0172SC2756-0.0220850SOT-23FJD NPN NIP0182SC30408084001/3.5us TO-3P S-L NPN SANYO 0192SC3042100124001/3.5us TO-3P S-L NPN SANYO 0202SC30836064001/3.5us TO-3P S-L NPN SANYO 0212SC30898078001/4us TO-3P S-L NPN SANYO 0222SC3090100108001/4us TO-3P S-L NPN SANYO 0232SC31140.40.1560100TO-92Hi-U NPN SANYO 0242SC326210010800B=10TO-3P S-L NPN SHI 0252SC3277901050020TO-3P S-L NPN SANYO 0262SC33208015500100TO-3P S-L NPN FJD0272SC33560.20.1207G SOT-23UHF NPN NIP0282SC34509010800 3.3us TO-3P S-L NPN SANYO0292SC345110015500 3.3us TO-3PBS-L NPN SANYO0302SC3636807900TO-3P HA_Hi NPN SANYO 0312SC3752----TO-220-NPN-0322SC3834-----NPN-0332SC3988150255003us5TO-3PBS-L NPN SANYO0342SC399725020800TO-3PBLHA-Hi NPN SANYO序⽣产⼚序号型号P cm[W]I cm[A]V ceo[V]f T[MHz]封装⽤途说明⽣产⼚商0012SC3998250251500TO-3PBHA-HiNPN SANYO0022SC410810012500 2.8us TO-3PS-L NPN SANYO0032SC410914016400 2.8us TO-3PBS-L NPN SANYO0042SC411016025500 2.8us TO-3PS-L NPN SANYO0052SC411115010150012.6us TO-3PS-L NPN SANYO0062SC4312806900 3.5us TO-3PS-L NPN SHI0072SC431310010900 3.5us TO-3PS-L NPN SHI0082SC432325mA1010G SOT-23UHF NPN TOS0092SC4424601640010GTO-3PMLNPN SANYO0102SC4425652540010GTO-3PMLUHF NPN SANYO0112SC4458457500 3.3usTO-3PMLS NPN SANYO0122SC44595010500 3.3usTO-3PMLS NPN SANYO0132SC44605515500 3.3usTO-3PMLS NPN SANYO0142SC44616525500 3.3usTO-3PMLSW NPN SANYO0152SC446780812020TO-3PNF-LNPN SAK0162SC449010.330070SOT-25CRT NPN SANYO0172SC44911 2.560SOT-25S_L NPN SANYO0182SC51966068030TO-3PNPN SANYO0192SC5243200151700TO-3PLM-HANPN0202SC5244200301500TO-3PLM-HANPN0212SC5294201500TO-3PEM-HANPN0222SC529660161500TO-3PMLM-HANPN SANYO0232SC529970101500TO-3PEM-HANPN0242SC5352---TO-3PEM-HANPN0252SC566910015230TO-3PBM-HANPN SANYO序号型号P cm[W]I cm[A]V ceo[V]f T[MHz]封装⽤途说明⽣产⼚商号型号P cm[W]I cm[A]V ceo[V]f T[MHz]封装⽤途说明⽣产⼚商0012SD291183704TO-3PNF-SLNPN SON0022SD66920 1.5180140TO-126NF-S NPN HITACHI0032SD718808120-TO-3PNF/S-LNPN TOBASHI0042SD8446075015TO-3PNF-S NPN TOBASHI0052SD8821034090TO-126NF NPN NIP0062SD89560610015TO-3PNF-S/LNPN SANYO0072SD89670712015TO-3PNF-S/LNPN SANYO0082SD1046801212015TO-3PBNF-S/LNPN SANYO0092SD10471001216015TO-3PNF-S/LNPN SANYO0102SD109280455TO-3PTV-R NPN TOSHIBA0112SD125640513030TO-220NF-S/LNPN MAT0122SD12594038050TO-251NF-S/LNPN HITASHI0132SD140212051500TO-3PTV-HANPN SANYO0142SD140312061500TO-3PTV-HANPN SANYO0152SD142680 3.51500TO-3PTV-HANPN TOSHIBA0162SD14395031500TO-126TV-HANPN TOSHIBA0172SD14417041500TO-3PTV-HANPN MAT0182SD15415031500TO-3PFTV-HANPN MAT0192SD155440 3.51500TO-3PFTV-HANPN TOSHIBA0202SD155********TO-3PF TV-HANPN TOSHIBA0212SD16090.1160140TO-126NF-S/LNPN HITASHI0222SD167710051500TO-3PTV-HANPN HITACHI0232SD164950 2.51500TO-3PETV-HANPN SANYO0242SD1691205601/3.5us TO-126NPN NIP0252SD180115260150TO-251S-L NPN SANYO0262SD180215360150TO-251S-L NPN SANYO0272SD180320560180TO-251S-L NPN SANYO0282SD180420860180TO-251S-L NPN SANYO0292SD180515560120TO-251S-L NPN SANYO0302SD1815203120180TO-251S-L NPN SANYO0312SD184112025110TO-3PTV-HANPN SANYO0322SD184912071500TO-3PFTV-HANPN MAT0332SD187********TO-3PETV-HANPN SANYO0342SD187********TO-3PETV-HANPN SANYO0352SD1907504150020TO-3PES-L NPN SANYO0362SD19751501518020TO-3PLNF-SLNPN MAT0372SD205710051500TO-3PFS-L/TVNPN MAT0382SD2058253603TO-220NF-S/LPNP MAT0392SD21371536030TO-92LNF-E NPN MAT0402SD2199407600.2us SMP-FDS-L NPN SANYO0412SD225470613020TO-263NPN MAT0422SD252160 2.51700TO-3PEHA NPN0432SD25441556070MT-4NPN0442SD2578608800TO-3PEHA NPN SANYO0452SD25807010800TO-3PELHA NPN SANYO0462SD2581TO-3PELHA NPN SANYO0472SD2624HA 0482SD2634HA 三极管选型表⼆:常⽤NPN三极管型号及参数表。
三极管参数代换表三极管参数大全型号耐压(V)电流(A)功率(W)型号耐压(V)电流(A)功率(W) B85770V4A40WBU2508A1500V8A125WBU2508AF1500V8A45WBU2508DF1500V8A45WBU2520AF1500V10A45WBU2520AX1500V10A45WBU2520DF1500V10A45WBU2520DX1500V10A45WBU2522AF1500V10A45WBU2522AX1500V10A45WBU2522DF1500V10A45WBU2522DX1500V10A45WBU2525AF1500V12A45WBU2525AX1500V12A45WBU2527AF1500V12A45WBU2527AX1500V12A45WBU2532AL1500V15A150WBU2532AW1500V16A125WBU2725DX1700V12A45WBU406400V5A60WBU4522AF1500V10A45WBU4522AX1500V10A45WBU4523AF1500V11A45WBU4523AX1500V11A45WBU4525AF1500V12A45WBU4525DF1500V12A45WBU4530AL1500V16A125WBU4530AW1500V16A125WBUHV14A70WBUH315D1500V6A44WBUT11A1000V5A100WC3039500V7A50WC3886A1500V8A50WCV15A180WCV20A250WCV25A250Wc4242450V7A40WC4288A1600V12A200WC4686A1500V50mA10WCV7A50WCV7A60WCV15A75WCV20A150WCV10A70WCV50WC5039800V5A30WCV15A75WCV25A25WCV12A50WCV10A50WCV8A60WCV10A50WCV20A200WCV20A200WCV8A50WCV8A50WCV15A200WCV15A200WCV20A200WC5244A1600V20A200WCV8A50WCV12A50WCV15A50WCV20A120WCV8A60WCV8A60WCV20A120WCV15A75WCV15A180WCV7A50WCV10A50WCV9A50WCV9A50WCV14A100WCV15A100WCV14A60WCV15A100WCV15A60WCV25A200WCV18A200WC12A50WCV17ACV20ACV13A50WCV16A65WCV28A220WCV17A150WCV20A150WCV17A75WCV18A200WCV22A200WCV22A220WCV20A70WCV8A50W48kHzCV10A60W69KHzCV12A70W84KHzCV12A50WCV17ACV20ACV12AC5928约13AC5929约15ACV15A8D1088300V6A30WB>2000D1273-PNPN80V3A40WDV5A60WDV6A60WD205860V3A25WDV20A200WDV10A70WHPA1001500V10A150WHPA1501500V15A150W JV14AJV10AJV12A60WJV15A60WJV20A60WJV25A150WJV10A60WJV16A60WJV20A60WMJE13007NPN700V80WMJE13009NPN700V100WMJL0V15A170W MJW0V10ASTV10A55WST2310FX1500V12ATIP102NPN100V8A80W TIP122NPN100V5A65WTIP127PNP100V8A65W TIP31CNPN100V3A40WTIP32CPNP100V3A40W TIP41CNPN100V6A65WTIP42PNP40V6A65W TIP42APNP60V6A65WTIP42CPNP100V6A65W TIP50C400V1A40W用大功率高耐压场效应管参数114种2SK002SK2SK002SK2SK1002SK2SK1002SK2SK52SK2SK82SK752SK1252SK2SK202SK2SK1252SK2SK252SK2SK1202SK2SK1502SK2SK502SK2SK1502SK2SK1502SK2SK502SK2SK502SK2SKSK2SKSK2SKIRFP2SKIRFP802SKIRFP1502SKIRFP1802SKIRFP1802SKIRFP1802SK125IRFP180IRF150IRFP180IRF300IRFP250IRF25IRFP180IRF150IRFP180IRF150IRFP180IRF300IRFP250IRF125MTH8N0IRF00MTH10N20IRF25MTH12N20IRF25H12N20IRF25H13N50MTH14N50MTP5NMTH20N20MTP5NMTH25N50MTP6N5MTH30N20IXGH10NMTH35N50IXGH15NMTH40N50IXGH20N50 MTM6N0IXGH25NMTM6N0GH30N80MTM8N0GH30NMTM8N0GH40N00MTM10N5IXTH24N50MTM20N25IXTH30N80 MTM25N00IXTH30N80 MTM30N20IXTH30N00 MTM40N50IXTH40N50 MTP3NIXTH50N50MTP3N75IXTH50N50MTP4NIXTH67N00MTP4NIXTH75ND633NPN音频功放100V达林顿7A40W达林顿9013NPN低频放大9014NPN低噪放大9015PNP低噪放大9018NPN高频放大8050NPN高频放大8550PNP高频放大2N2222NPN通用2N2369NPN开关2N2907NPN通用2N3055NPN功率放大100V15A115WMJ2955 2N3440NPN视放450V1A1W15MHZ2N6609 2N3773NPN音频功放160V16A50W2N3904NPN通用2N2906PNP通用2N2222ANPN高频放大2N6718NPN音频放大100V2A2W2N5401PNP视频放大2N5551NPN视频放大2N5685NPN音频功放60V50A300W2N6277NPN功放180V50A250W9012PNP低频放大2N6678NPN音频功放650V15A175W15MHZ 9012PNP低频放大3DA87ANPN视频放大3DG6BNPN通用3DG6CNPN通用3DG6DNPN通用MPSA42NPN电话视频MPSA92PNP电话视频MPS2222ANPN高频放大9013NPN低频放大3DK2BNPN开关3DD15DNPN电源开关300V5A50W3DD102CNPN电源开关300V5A50W3522V稳压管5VA634PNP音频功放40V2A10WA708PNP音频开关A715CPNP音频功放A733PNP通用A741PNP开关/120NSA781PNP开关/160NSA928PNP通用A933PNP通用A940PNP音频功放A966PNP音频激励A950PNP通用A968PNP音频功放A1009PNP功放开关350V2A15WA1220PPNP音频功放A1013PNP视频放大A1015PNP通用2N6050PNP音频功放60V12A150W2N6051PNP音频功放80V12A150W名称极性功能耐压V电流A功率W频率配对管A1175PNP通用A1213PNP超高频A719PNP通用B12PNP音频B1114PNP通用20V2A180MHZB205PNP音频功放80V20A80WB1215PNP功放开关120V3A20W130MHZC294NPN栾生对管C1044NPN视放C1216NPN高速开关,20nSC1344NPN通用低噪C1733NPN栾生对管C1317NPN通用C546NPN高放C680NPN音频功放200V2A30W20MHZC665NPN音频功放125V5A50W15MHZC4581NPN电源开关600V10A65W20MHZC4584NPN电源开关1200V6A65W20MHZC4897NPN行管1500V20A150WC4928NPN行管1500V15A150WC5411NPN彩显行管1500V14A60WHQ1F3PNPN功放开关20V2A2WTIP132NPN音频功放100V8A70WTIP137A1020PNP音频A1123PNP低噪放大A1162PNP通用A1216PNP功放开关180V17A200W20MHZC2922 A1265PNP功放开关140V10A100W30MHZC3182 A1295PNP功放开关230V17A200W30MHZC3264 A1301PNP功放开关160V12A120W30MHZC3280 C3280NPN功放开关160V12A120W30MHZA1301 A1302PNP功放开关200V15A120W30MHZC3281 C3281NPN功放开关200V15A120W30MHZA1302 A1358PNP120V1A10W120MHZA1444PNP高速电源100V15A30W80MHZA1494PNP功放开关200V17A200W20MHZC3858A1516PNP功放开关180V12A130W25MHZA1668PNP电源开关200V2A25W20MHZA1785PNP驱动120V1A1W140MHZA1941PNP音频功放140V10A100WC5198C5198NPN音频功放140V10A100WA1941A1943PNP功放开关230V15AA150WC5200C5200NPN功放开关230V15A150WA1943A1988PNP功放开关B449PNP功放开关B647PNP通用D667NPN通用B1375PNP音频功放60V3A2W9MHZD40CNPN对讲机用B688PNP音频功放120V8A80WD718B734PNP通用60V1A1WD774B649PNP视放D669NPN视频放大B669PNP达林顿功70V4A40WB675PNP达林顿功60V7A40WB673PNP达林顿功100V7A40WB631KPNP音频功放120V1A8W130MHZD600KD600KNPN音频功放120V1A8W130MHZB631KC3783NPN高压高速900V5A100WB1400PNP达林顿功120V6A25WD1590B744PNP音频功放70V3A10WB1020PNP功放开关100V7A40WB1240PNP功放40V2A1W100MHZB1185PNP功放60V3A25W70MHZD1762B1079PNP达林顿功100V20A100WD1559B772PNP音频功放40V3A10WD882B774PNP通用B817PNP音频功放160V12A100WD1047B834PNP功放开关60V3A30WB1316PNP达林顿功100V2A10WB1317PNP音频功放180V15A150WD1975B1494PNP达林顿功120V20A120WD2256B1429PNP功放开关180V15A150WC380NPN高频放大C458NPN通用C536NPN通用2N6609PNP音频功放160V15A150W>2MHZ2N3773 C3795NPN高压高速900V5A40WC2458NPN通用低噪C3030NPN开关管900V7A80W达林顿C3807NPN低噪放大C3858NPN功放开关200V17A200W20MHZA1494 D985NPN达林顿功150V±C2036NPN高放低噪80V1A1-4WC2068NPN视频放大C2073NPN功率放大C3039NPN电源开关500V7A50WC3058NPN开关管600V30A200WC3148NPN电源开关900V3A40WC3150NPN电源开关900V3A50WC3153NPN电源开关900V6A100WC3182NPN功放开关140V10A100WA1265C3198NPN高频放大3DK4BNPN开关3DK7CNPN开关3D15DNPN电源开关300V5A50WC2078NPN音频功放80V3A10W150MHZC2120NPN通用C2228NPN视频放大C2230NPN视频放大C2233NPN音频功放200V4A40WC2236NPN通用C1733NPN孪生对管30V2GHZC1317NPN通用C2238NPN音频功放C752NPN通用名称极性功能耐压V电流A功率W频率配对管C815NPN通用C828NPN通用C900NPN低噪放大C945NPN通用C1008NPN通用C1162NPN音频功放C1213NPN监视器专C1222NPN低噪放大C1494NPN发射36V6APQ=40W175MHZC1507NPN视放C1674NPNHF/C1815NPN通用C1855NPNHF/C1875NPN彩行C1906NPN高频放大C1942NPN彩行1500V3A50WC1959NPN通用C1970NPN手机发射C1971NPN手机发射C1972NPN手机发射C2320NPN通用C2012NPN高放C2027NPN行管1500V5A50WD814NPN低噪放大C5142NPN彩行1500V20A200WD998NPN音频功放120V10A80W<1/3US D2253NPN彩显行管1700V6A50WD110NPN音频功放130V10A100W1MHZ C2335NPN视频500V7A40WC2373NPN功放C2383NPN视频开关C3300NPN音频功放100V15A100WC3310NPN电源开关500V5A40WC3320NPN电源开头500V15A80WC3355NPN高频放大C3358NPN高频放大C3457NPN电源开关1100V3A50WC3460NPN电源开关1100V6A100WC3466NPN电源开关1200V8A120WC3505NPN电源开关900V6A80WC3527NPN电源开关500V15A100WC3528NPN电源开关500V20A150WC3866NPN高压高速900V3A40WC2443NPN功放开关600V50A400WC2481NPN音频功放C2482NPN视频放大C2500NPN通用C2594NPN音频功放40V5A10WC2611NPN视频放大C2625NPN音频功放450V10A80WC2682NPNNF/C2688NPN视放管C2690NPN音频功放C2751NPN电源开关500V15A120WC2837NPN音频功放150V10A100WC3873NPN高压高速500V12A75W30MHZ C3886NPN开关行1400V8A50W8MHZC3893NPN行管1400V8A50W8MHZC3907NPN功放开关180V12A130W30MHZ C3595NPN射频C4059NPN高速开关C4106NPN电源开关500V7A50W20MHZ? C4111NPN开关行1500V10A150WC3679NPN电源开关900V5A100W6MHZC2898NPN音频功放500V8A50WC2922NPN音频功放180V17A200W50MHZA1216 C3026NPN开关管1700V5A50WD986NPN达林顿功C3262NPN功放800V10A100WC3264NPNPA功放230V17A200WB=170A1295 C3280NPN音频功放160V12A120WB=100C3281NPN音频功放200V15A150W30MHZC3680NPN电源开关900V7A120W6MHZC3688NPN彩行1500V10A150WC3720NPN彩行1200V10A200WC3953NPN视放C3987NPN达林顿50V3A20WC3995NPN行管1500V12A180WD1025NPN达林顿功200V8A50WC3997NPN行管1500V15A250WC3998NPN行管1500V25A250WC4024NPN功放开关100V10A35W24MHZC4038NPN门电路D1037NPN音频功放150V30A180WD1047NPN音频功放160V12A100WB817C4119NPN微波炉1500V15A250WC4231NPN音频功放800V2A30WC4237NPN高压高速1000V8A120W30MHZC4242NPN高压高速450V7A40WC4297NPN电源开关500V12A75W10MHZC4429NPN电源开关1100V8A60WC4517NPN音频功放550V3A30W6MHZC4532NPN大屏行管1700V10A200WC4582NPN电源开关600V15A75W20MHZC5244NPN彩行1700V15A200WC5249NPN功放开关600V3A35W6MHZC5250NPN开关1000V7A100WC5251NPN彩行1500V12A50WD1071NPN达林顿功300V6A40WC4706NPN电源开关900V14A130W6MHZC4382NPN功放开关200V2A25W20MHZA1668 C4742NPN彩行1500V6A50WC4745NPN彩行1500V6A50WC4747NPN彩行1500V10A50WC4769NPN微机行管1500V7A60WC4913NPN大屏视放C4924NPN音频功放800V10A70WC4927NPN行管1500V8A50WC4927NPNSONY29行1500V8A50WC4941NPN行管1500V6A65W500/380NS C4953NPN功放开关500V2A25Wt=300nS C5020NPN彩行1000V7A100WC5068NPN彩行1500V10A50WC5086NPN彩行1500V10A50WC5088NPN彩行1500V10A50WC5129NPN彩显行管1500V8A50WD1163ANPN行偏转用350V7A40W60MHZ D1175NPN行偏转用1500V5A100WC5132NPN彩行1500V16A50WC5144NPN大屏彩行1700V20A200WC5148NPN大屏彩行1500V8A50WC5149NPN高速高频1500V8A50WC5198NPN功放开关140V10A100WC5200NPN功放开关230V15A150WA1943 D1273NPN音频功放80V3A40W50MHZC5207NPN彩行1500V10A50WC5243NPN彩行1700V15A200WC5252NPN彩行1500V15A100WC5294NPN彩行1500V20A200MSC5296NPN开关管1500V8A80WC5297NPN开关管1500V16A60WC5331NPN大屏彩显1500V15A180WD325NPN功放开关50V3A25WD385NPN达林顿功100V7A30WD400NPN通用D1302NPN音频D1397NPN开关D1398NPN开关1500V5A50W3MHZD1403NPN彩行1500V6A120WD401NPN音频功放200V2A20WD415NPN音频功放D438NPN通用D560NPN达林顿功150V5A30WD637NPN通用D667NPN视频放大D1403NPN彩行1500V6A120WD1415NPN功放电源100V7A40W达林顿D718NPN音频功放120V8A80WB668D774NPN通用100V1A1WB734D789NPN音频输出D820NPN彩行1500V5A50WD870NPN彩行1500V5A50WD880NPN音频功放60V3A10WD882NPN音频功放40V3A30WB772D898NPN彩行1500V3A50WD951NPN彩行1500V3A65WD965NPN音频D966NPN音频40V5A1WD633拆NPN音频功放100V7A40W达林顿D1431NPN彩行1500V5A80WD1433NPN彩行1500V7A80WD1980NPN达林顿100V2A10WD1981NPN达林顿100V2A1WD1993NPN音频低噪D1416NPN功放电源80V7A40W达林顿D1427NPN彩行1500V5A80W带阻尼BU2525AFNPN开关功放1500V12A150W350NS D1428NPN彩行1500V6A80W带阻尼BU2525AXNPN开关功放1500V12A150W350NS D1439NPN彩行1500V3A80WD1541NPN彩行1500V3A80WD1545NPN彩行1500V5A50WD1547NPN彩行1500V7A80WBU2527AFNPN开关功放1500V15A150WD1554NPN彩行D1555NPN彩行1500V5A80WD1556NPN彩行1500V6A80WD1559NPN达林顿功100V20A100WB1079D1590NPN达林顿功150V8A25WD1623NPN彩行1500V4A70WD1640NPN达林顿功D1651NPN彩行1500V5A60W3MHZD1710NPN彩行1500V5A50WD1718NPN音频功放180V15A50W20MHZD1762NPN音频功放60V3A25W90MHZB1185 D1843NPN低噪50V1A1WD1849NPN彩行1500V7A120WD1850NPN彩行1500V7A120WD1859NPN音频D1863NPN音频120V1A1W100MHZD1724NPN开关120V3A180MHZD1877NPN彩行1500V4A50W带阻尼D1879NPN彩行1500V6A60W带阻尼D1887NPN彩行1500V1070WD1930NPN达林顿达林顿D1975NPN音频功放180V15A150WB1317BU2532AWNPN开关功放1500V15A150WD1978NPN达林顿BD237NPN音频功100V2A25WBD238BD238PNP音频功100V2A25WBD237BU2520AFNPN开关功放1500V10A150W1/500NS BU2520DFNPN开关功放1500V10A150W1/500NS BU2520DXNPN开关功放1500V10A50W600NS BUH515NPN行管1500V10A80WBUH515DNPN行管1500V10A80WBUS13ANPN开关功放1000V15A175WD1997NPN激励管D2008NPN音频功放D2012NPN音频功放60V3A2W3MHZD2136NPN功放D2155NPN音频功放180V15A150WD2256NPN达林顿功120V25A125WB1494D2334NPN彩行1500V5A80WD2335NPN彩行1500V7A100W带阻尼D2349NPN大屏彩显1500V10A50WD1959NPN彩行1400V10A50WD2374NPN功放开关60V3A25W30MHZD2375NPN高放大倍80V3A25W50MHZD2388NPN达林顿D2445NPN彩行D2498NPN彩行1500V6A50WD2588NPN点火器用DK55NPN开关400V4A60WBC307PNP通用BC327PNP低噪音BC337NPN音频激励BC338NPN通用激BC546NPN通用BC547NPN通用BD135NPN音频功BD136PNP音频功BD137NPN音频功BD138PNP音频功BD139PNP音频功BUS14ANPN开关功放1000V30A250WBUT11ANPN开关功放1000V5A100WBD243NPN音频功45V6A65WBD244BD244PNP音频功45V6A65WBD243BD681NPN达林顿功100V4A40WBD682BD682PNP达林顿功100V4A40WBD681BF458NPN视放BU208ANPN彩行BU208DNPN彩行BU323NPN达林顿功450V10A125WBU406NPN行管400V7A60WBU508ANPN行管BU508ANPN行管BU508DNPN行管BU806NPN功放400V8A60WBU932RNPN功放500V15A150WBUT12ANPN开关功放450V10A125WBU941NPN功放开关500V15A175W达林顿BU1508DXNPN开关功放1500V8A35WBU2506DXNPN开关功放1500V7A50W600NSBU2508AFNPN开关功放1500V8A125W600NSBU2508AXNPN开关功放1500V8A125W600NSBU2508DFNPN开关功放1500V8A125W600NSBU2508DXNPN开关功放1500V8A50W600NSBUV26NPN音频功放90V14A65W250NSBU2522AFNPN开关功放1500V11A150W350NSMJ15024NPN音频功放400V16A250W4MHZMJ15025 MJ15025PNP音频功放400V16A250W4MHZMJ15024 MJE271PNP达林顿100V2A15W6MHZBUV28ANPN音频功放225V10A65W250NSBUV48ANPN音频功放450V15A150WBUW13ANPN功放开关1000V15A150WBUX48NPN功放开关850V15A125WBUX84NPN功放开关800V2A40WBUX98ANPN功放开关400V30A210W5MHZDK55NPN功放开关400V4A65WDTA114PNP10K-DTC143NPN录像机用HPA100NPN大屏彩显1500V10A150WHPA150NPN大屏彩显1500V15A150WHSE830PNP音频功放80V115W1MHZHSE800HSE838NPN音频功放80V115W1MHZHSE830MN650NPN行管1500V6A80WMJ802NPN音频功放90V30A200WMJ4502MJ2955PNP音频功放60V15A115WMJ3055MJ3055NPN音频功放60V15A115WMJ2955MJ4502PNP音频功放90V30A200WMJ802MJ10012NPN达林顿400V10A175WMJ10015NPN电源开关400V50A200WMJ10016NPN电源开关500V50A200WMJ10025NPN电源开关850V20A250WMJ11032NPN电源开关120V50A300WMJ11033MJ11033PNP电源开关120V50A300WMJ11032MJ13333NPN电源开关400V20A175WMJ11015PNP铁达林顿500V10AMJ14003PNP铁MJE340NPN视放MJE350PNP视放MJE2955TPNP音频功放60V10A75W2MHZMJE3055T MJE3055TNPN音频功放70V10A75W2MHZMJE2955T MJE5822PNP音频功放500V8A80WMJE13003NPN功放开关MJE13005NPN功放开关400V4A60WMJE13007NPN功放开关KSE800NPN达林顿140V4A20WTIP31CNPN功放开关100V3A40W3MHZTIP32TIP32CPNP功放开关100V3A40W3MHZTIP31TIP35CNPN音频功放100V25A125W3MHZTIP36 TIP36CPNP音频功放100V25A125W3MHZTIP35 TIP41CNPN音频功放100V6A65W3MHZTIP42TIP42CPNP音频功放100V6A65W3MHZTIP41TIP102NPN音频功放100V8A2WTIP105PNP音频功放60V80W达林顿TIP122NPN音频功放100V5A65WTIP127TIP127PNP音频功放100V5A65WTIP122TIP137PNP音频功放100V8A70WTIP132TIP142NPN音频功放100V10A125WTIP147TIP142大NPN音频功放100V10A125WTIP147 TIP147PNP音频功放100V10A125WTIP142TIP147大PNP音频功放100V10A125WTIP142 TIP152BCE电梯用达400V3A65WTL431电压基准源BT33电压结晶体管UGN3144SGO霍尔开关60MIAL1电磁/T30G40NPN大功率开400V30A300W5609NPN音频低频5610PNP音频低频9626NPN通用TTV18A85WBU208A50W1500V5A电源开关管BU508A75W1500V8A电源开关管BU2508AF45W1500V8A行管BU2508DF*125W1500V8A行管BU2508D*125W1500V8A行管BU2520AF45W1500V10A行管BU2520AX45W1500V10A行管BU2520DF*125W1500V10A行管BU2522AF45W1500V10A行管BU2522DF*80W1500V10A行管BU2525DF*45W800V12A行管BUH51560W1500V8A行管BUH515D60W1500V8A行管视放视放视放电源开关管C3153100W900V6A电源开关管C302650W1700V5A行管C345750W1100V3A电源开关管电源开关管C3460100W1100V6A电源开关管C3461140W1100V8A行管C3683*50W1500V5A行管C368650W1400V8A行管C3687150W1500V8A行管C3481120W1500V5A电源开关管C3688150W1500V10A行管C3842*120W1500V6A行管C3883*50W1500V5A行管C388550W1400V7A行管C388650W1400V8A行管C388780W1400V7A行管C388880W1400V80A行管C388980W1400V80A行管C3891*50W1400V6A行管C3892*50W1400V7A行管C3893*50W1400V8A行管C389560W1400V7A行管C389670W1400V8A行管C3897*180W1500V12A行管C3897250W1500V25A行管C3998250W1500V25A行管C4122*60W1500V6A行管C4123*60W1500V7A行管C4124*70W1500V8A行管C4125*70W1500V10A行管C4237150W800V10A行管C4269*60W1500V7A行管C4293*50W1500V5A行管C4294*50W1500V6A行管C4589*50W1500V10A行管C4742*50W1500V6A行管C4744*50W1500V6A行管C474750W1500V10A行管C4769*60W1500V7A行管C477060W1500V7A行管C504850W1500V12A行管C508845W1500V8A行管C512950W1500V6A行管C5144200W1700V20A行管C514850W1500V8A行管C525050W1500V8A行管C529760W1500V8A行管C529960W1400V8A行管C533950W1500V7A行管C5418120W1500V6A行管D1396*50W1500V2A行管D1398*50W1500V5A行管D1402120W1500V5A电源开关管D1403120W1500V6A电源开关管D1426*行管D1427*80W1500V5A行管D1428*80W1500V6A行管D143380W1500V7A行管D143480W1500V5A行管D1455*50W1500V5A行管D1554*行管D155550W1500V5A电源开关管D1878*60W1500V6A行管D1879*60W1500V5A行管D1880*70W1500V8A行管D1881*70W1500V10A行管D188670W1500V8A行管D188770W1500V10A行管D2125*50W1500V5A行管D870*50W1500V5A行管预视放电源调整管帧激励场输出管开关电源误差放大2SA778AKC3CG21G、CG75-1A开关电源误差放大2SA844D3CG21C、CG75-1AB视放2SA844E3CG21G视放2SA940CD568B场输出管2SA63952SA778、2SA858行激励管2SB337B337电源调整管2SB4073L780电源调整管2SB5483CF3B、2SA794场输出管2SB566AKCD77-1A、3CF5A电源调整管2SB556KCD77-1A、3CF5B电源调整2SB6213CG23B、2SB1035电源推动管2SC4583DG4A、2SC664行振荡2SC5363DG4A、2SC2320电源推动管2SC562G6738、B689预视放2SC6333DG6B、2SC1684行振荡管2SC6343DG12B行振荡管2SC643AD2027、2SD818行输出管2SC680A3DD205B、2SC1025场输出2SC6813DD102B、2SC901行输出2SC7343DX200B、2SC2274行振荡管2SC8283DG56B、2SC3330电源误差放大管2SC9353DD102D、2SD320电源调整管2SC8937D2027、2SD818行输出管进口与国产显示器常用三极管代换表2SC10342SD818、2SD299行输出管2SC1162FA433A、2SC2068场输出枕形校正2SC1172D2027、2SD820行输出管2SC12093DG12A、2SD734电源误差放大管2SC12133DG130A、2SC2120电源误差放大管2SC1213A3DG12B、2SC1247A电源误差放大2SC12143DA151A、2SC2002枕形校正2SC1308D209、2SD820行输出管2SC13183DG12A、2SC2274行激励管2SC13643DX2038、2SC2320行激励管2SC1505DA1722B、2SC1757行视放2SC1507DA1722B、2SC1756、2SC1757行激励管2SC13643DX2038、C23020行激励管2SC1520DA1722B、2SC2068预视放2SC15663DA151D、2SC1514视放2SC15733DA87C、2SC1762视放2SC16723DD102B、2SC2433电源调整管2SC16853DD180、2SC1570脉冲开关2SC18193DA151D、2SC2425视放2SC1890A3DA878、2SC2363视放2SC19053DA151D、2SD1163视放2SC1942D209、2SD1401行输出管2SC22333DD12B、2SC2373行输出2SD2013DD102A、2SD125A电源调整管2SD2263DD207、2SD315电源调整管2SD299D2027、2SC1308行输出管2SD350D2027、2SD348行输出管2SD380D209、2SD348行输出管2SD8692SD993、2SD898B行输出管C3150C3151、C3152开关管BU508ABU508D、C3893、C3895、C3897开关管场效应管主要参数表2SK534100W5A800V2SK538100W3A900V2SK557100W12A500V2SK560100W15A500V2SK56678W3A800V2SK644125W10A500V2SK719120W5A900V2SK725125W15A500V2SK727125W5A900V2SK774120W18A500V2SK785150W20A500V2SK787150W8A900V2SK788150W13A500V2SK790150W15A500V2SK872150W6A900V2SK955150W9A800V2SK956150W9A800V2SK962150W8A900V2SK1019300W30A500V2SK1020300W30A500V2SK1045150W5A900V2SK1081125W7A800V2SK1082125W6A800V2SK1117100W6A600V2SK111845W6A600V2SK1119100W4A1000V2SK1120150W8A1000V2SK1171240W5A1400V2SK119875W3A800V2SK1249130W15A500V2SK1250150W20A500V2SK1271240W15A1400V2SK1280150W18A500V2SK1281120W4A700V2SK1341100W5A900V2SK1342100W8A900V2SK135640W3A900V2SK1357125W5A900V2SK1358150W9A900V2SK1451120W5A900V2SK1498120W20A500V 2SK1500160W25A500V 2SK1502120W7A900V2SK150750W6A600V2SK1512150W10A850V 2SK1531150W15A500V 2SK1537100W5A900V2SK1539150W10A900V 2SK1563150W12A500V 2SK1649100W6A900V2SK1794150W6A900V2SK2038125W6A900VBUZ385125W6A500VGH30N60180W30A600V GH30N100250W30A1000V GH40N60200W40A600V H1245120W12A450VH13N50150W13A500V IBF834100W3A500VIPF440125W8A500VIRT450150W13A500V IRF350150W13A500V IRF360300W25A400V IRF440125W8A500VIRF451150W13A450V IRF460300W21A500V IRF62040W5A200VIRF63075W9A200VIRF640125W18A200V IRF740125W10A400VIRF834100W5A500VIRF840125W8A500VIRF841125W8A450VIRF842125W7A500VIRF961020W1A200VIRF9640125W11A200V IRF450150W13A500VFIRP150180W41A100V IRFP151180W19A60VIRFP240150W31A200V IRFP250180W31A200V IRFP251180W33A150V IRFP254180W23A250V IRFP350180W16A400V IRFP351180W16A350V IRFP360250W23A400V IRFP450180W14A500V IRFP452180W12A500V IRFP460250W20A500VIRF4P51180W14A450V IXGH10N100100W10A1000V IXGH15N100150W150A1000V IXGH20N60150W20A600V IXTH50N30150W50A300V IXTH50X20250W50A200V IXTH67N10200W67A100V LXTH24N50250W24A500V LXTH30N20180W30A200V LXTH30N30180W30A300V LXTH30N50300W30A500V LXTH40N30250W40A300V LXTH50N10150W50A100V LXTH50N20150W50A200V LXTH67N70200W67A100V LXTH75N10200W75A100V MTH8N50120W8A500VMTM6N80120W6A800V METH10N50120W10A500V MTH12N50120W12A500V MTH14N50150W14A500V MTH20N20120W20A200V MTH25N10150W25A200V MTH30N10120W30A100V MTH35N15150W35A150V MTH40N10150W40A100V MTH8N60120W8A600VMTM10N2075W10A200V MTM20N20125W20A200V MTM25N10100W25A100V MTM30N10120W30A100V MTM40N10150W40A100VMTM6N90150W6A900V MTM8N50100W8A500V MTM8N90150W8A900V MTP3N6075W3A600V MTP3N10075W3A1000V MTP4N6050W4A600V MTP4N8050W4A800V MTP5P2575W5A250V MTP5N4575W5A450V MTP5N5075W5A500V MTP6N60125W6A600V MTP6N60E125W6A600V RFP50N05132W50A50V RFP50N05L110W50A50V D1175*1500V5A100W DV10A50WD1391*1500V5A80WD1398*1500V5A50W DV6A120WD1426*D1427*1500V5A80WD1428*1500V6A80WD1429*DV5A80WD1432*1500V6A80WD1433*1500V7A80WD1439*1500V3A50W DV3A50WD1497*1500V6A50W DV5A50WDV7A50WD1554*D1555*1500V5A50WD1556*1500V6A50WD1651*1500V5A60WD1652*1500V6A60W DV6A100WD1878*1500V6A50WD1879*1500V6A60WD1880*1500V8A70WD1881*1500V10A70W DV5A60WDV6A60WDV10A70WD1910*1500V3A40WDV10A50WD2125*1500V5A50WD2251*1500V7A60WDV7A60WD2253*1700V6A50WDV5A80WDV7A100WD1271N150V7A40WD1273AN100V3A40WD1275AN80V2A35WD1266N80V3A35WD1264AN200V2A30WD88060V3A30WD1309N150V8A40WD401200V2A20WD1365N800V3A40WD88240V3A10WD1415N100V7A40WD1499N100V5A40WD176260V3A25WD2025N100V8A30WTIP102N100V8A80WTIP41C100V5A65WTIP122100V5A65WC2335N400V7A40WMJE13005N400V4A75WC3148N800V3A40WMJE13007N400V8A80WC3309N400V2A20W型号P/N电压V电流A功率W MJE13009NWC3310N400V5A30WC4004N800V1A30WC3039N400V7A50WC2233N200V4A40WC3852AN100V3A25WC4834N400V8A45WD313N60V3A30WC1383N30V1A1WD1071N450V6A40WTOSBUW11AN1000V5A100W电源TOSBUW12AN1000V10A125W电源TOSBUW13AN1000V15A175W电源TOSBU2508AFN1500V8A50W电源TOSBU2508DFN1500V8A50W行TOSBU2508AXN1500V8A50W电源TOSBU2508DXN1500V8A50W行TOSBU2520AFN1500V10A50W电源TOSBU2520DFN1500V10A50W行TOSBU2520AXN1500V10A50W电源/行TOSBU2520DXN1500V10A60W行TOSBU2522AXN1500V10A60W电源/行TOSBU2523AXN1500V10A60W电源/行TOSBU2527AXN1500V12A60W电源/行TOSBU2527DXN1500V12A60W行TOSC4236N1200V6A100W电源TOSC4237N1200V10A50W电源TOSD1541N1500V3A50W行TOSC4111N1500V10A150W电源TOSMN650N1500V5A80W电源TOSC4058N600V10A100W电源TOSD2333N1500V5A80W行TOSD2334N1500V5A80W电源TOSD2335N1500V7A100W行TOSC4706N900V14A130W电源STBUH715NN1500V10A60W电源STC3927N900V10A120W电源STC3679N900V5A100W电源STC5287N900V5A80W电源D2445N1500V6A50WC4745N1500V6A50W电源C4746N1500V8A50W电源C5250N1500V8A50W行C5207AN1500V10A50W电源D2300N1500V5A50W行C4297N500V12A75W电源C4927N1500V8A50W行D1959N1400V10A50W电源C4589N1500V10A50W电源C4877N1500V8A50W行KSD5072N1500V5A60W行KSD5076N1500V5A60W行KSC5803N1500V7A50W行KSC5386N1500V7A50W行IRF530N100V15A80WKSC5088N1500V8A50W电源IRF9530N100V13A75WKSD5702N1500V6A70W行IRF540N100V27A94WIRF9540N100V19A94WBUS13AN1000V15A175W电源BUS14AN1000V30A250W电源BUV48AN1000V15A150W电源IRF620200V5A40WC3552N1100V12A150W电源IRF9620200V5A40WC5386N1500V8A50W电源IRF630200V9A75WC4119N1500V15A250W达林顿+阻尼IRF640200V18A125WIRF740400V10A125WBT1366A双向中间引线通散热片BT1378A双向中间引线通散热片BT13810A双向中间引线通散热片BT13912A双向中间引线通散热片BTA066A双向中间线不通散热片D820N1500V5A80W电源D1047N160V12A100W行B817P160V12A100WD850N1500V3A65W电源D1559N100V20A100WD870N1500V5A50W行B1079P100V20A100WD905N1400V8A50W电源D2256N120V25A120WD871N1500V6A50W行B1494P120V25A120WD1204N500V15A100W电源D718N120V8A80W行B688P120V8A80WD1279N1400V10A50W电源D1435N100V15A100WD951N1500V3A65W行B1031P100V15A100WC1942N1500V3A50W电源带阻三极管D1173N1500V5A70W行C2027N1500V5A50W电源D1175N1500V5A100W行大功率功放管C3280N160V12A120WA1301P160V12A120WC3281N200V15A150WA1302P200V15A150WC5200N230V15A150WA1943P230V15A150W D2155N180V15A150W B1429P180V15A150W C5198N140V10A100W A1941P140V10A100W C5196N120V6A60W A1939P120V6A60W C3182N140V10A100W A1265P140V10A100WC1846N45V1A5WC3420N50V5A10WC3807N30V2A15WD400N25V1A1WD471N30V1A1WD966N40V5A1WD612N35V2A10WC2594N40V5A10W D1406N60V3A30WA683P30V1A1WA684P60V1A1WA1598P60V7A25W A1668P200V2A25WA1859AP180V2A20WB564P30V1A1WB892P60V2A1WB940P200V2A30WB946P130V7A40WB1015P60V3A25WB1274P60V3A20W BUT11AN1000V5A100W BUT11AFN1000V8A50W BUT12AFN1000V8A50W BU406N400V7A60WBU806N200V8A60WBU807N150V8A60WD998N120V10A80WD1710N15005A100W B778P120V10A80WD1651N1500V5A60W C4278N150V10A100W BU508AN1500V6A125W A1633P150V10A100W D1403N1500V120WC3895N1500V7A60W C3897N1500V10A70W C5302N1500V15A75W D1885N1500V6A60WC4468N200V10A80WD1886N1500V8A70WA1695P200V10A80WD1887N1500V10A70W TIP142N100V10A80W D1877N1500V4A50W TIP147P100V10A80W D1878N1500V5A60WC3907N180V12A130W D1879N1500V6A60WA1516P180V12A130W D1880N1500V8A70WC2837N150V10A100W D1881N1500V10A70W A1186P150V10A100W C4429N1100V8A60WC3858N200V17A200W C4769N1500V7A60WA1494P200V17A200W C5296N1500V8A60WC2922N180V17A200W C5297N1500V8A60WA1216P180V17A200W C5298N1500V10A70W C2921N160V15A150W C5299N1500V10A70W A1215P160V15A150WMJ15003N140V20A250W D1398N1500V5A80W MJ15004P140V20A250W D1453N1500V3A50W MJ15024N250V16A250W D1439N1500V3A50W MJ15025P250V16A250W C4424N1500V3A50W MJ11032N120V50A300W C3997N1500V20A250W MJ11033P120V50A300W C3998N1500V25A250W HPA100N1500V10A150WK1180500V10A85WIRF840500V8A125WK1181500V13A85WBUZ90600V4A75WK1938500V18A100W BUZ91600V8A150WK1916450V18A80W6N60600V6A125WK2611900V9A150W60N60600V60A150W K385400V10A120WK725500V15A125WK386450V10A120WK727900V5A125W IRFP150100V40A180W K785500V20A150W IRFP250200V30A190W K787900V8A150W IRFP350400V16A180W K790500V15A150W IRFP450500V14A180W K794900V5A150W IRFP460500V20A280W K798100V40A150W8NA80800V8A150WK1794900V6A100W5N90900V5A150WK1796900V10A150W 7N90900V7A150WK1081800V7A125W10NA601000V10A150W K1082900V6A125W8NA1001000V8A150W K2485900V6A100W9N80800V9A150WKV8A150W23N60600V23A180W K1198700V2A35W40N20200V40A180WIRFP254250V23A190W K1017450V20A150W K42860V10A50WK1018500V18A125W J12260V10A50WK1358900V9A150WK413140V8A100WK1217900V8A100WJ118140V8A100W K1248500V10A100W K399100V10A100W K2039900V5A100W J113100V10A100W K599450V15A100W K1058160V7A100W K560500V15A100W J162160V7A100W。
|常用三极管参数表下表是常用三极管的一些参数以及替换型号器件型号电压电流代换型号3DG901150V0.3A2N4124 CS9011 JE9011 901150V0.03ALM9011 SS9011901240V0.5A LM90129012(HH)40V0.5A SS90129012LT140V0.5A A12983DG901340V0.5A CS9013 JE9013 901340V0.5A LM90139013(HH)40V0.5A SS90139013LT140V0.5A C32653DG901450V0.15ACS9014 JE9014 901450V0.1A LM9014 SS90149014LT150V0.1A C1623901550V0.1A LM9015 SS9015TEC901550V0.15ABC557 2N3906TEC9015A50V0.15ABC557 2N3906TEC9015B50V0.15ABC557 2N3906TEC9015C50V0.15ABC557 2N39063DG901630V0.025A JE9016901630V0.25ASS9016TEC901640V0.025A BF240 BF254 BF594 805040V 1.5A SS80508050LT140V 1.5A KA3265ED805050V0.8A BC337SDT8550160V10A3DK104CSDT8550280V10A3DK104CSDT85503100V10A3DK104DSDT85504140V10A3DK104ESDT85505170V10A3DK104FSDT8550660V10A3DK104CSDT8550780V10A3DK104CSDT85508100V10A3DK104DSDT85509140V10A3DK104EED855050V0.8A BC337855040V 1.5A LM8550 SS85508550LT140V 1.5A KA32652SA101550V0.15ABC177 BC204 BC212 BC213 BC251 BC257 BC307 BC512 BC557 CG1015 CG673 2SC181560V0.15ABC174 BC182 BC184 BC190 BC384 BC414 BC546 DG458 DG18152SC1815L60V0.15ABC550 2SC2240 2S26742SC2675 2SC33782SC1815LT160V0.15A9014LT12SC94560V0.1A BC107 BC171 BC174 BC182 BC183 BC190 BC207 BC237 BC382 BC546 BC547BC582 DG945 2N2220 2N2221 2N2222 3DG120B3DG4312MMBT390440V0.2A BCW72 3DG120CMMBT390640V0.2A BCW70 3DG120CMMBT2222未知0.8A BCX19 3DG120CMMBT2222A75V0.6A3DK10CMMBT5401160V0.5A3CA3FMMBTA92300V0.5A3CG180HBC80750V0.5A BC338 BC537 BC635 3DK14BBC807R50V0.5A BCX17 BCX17R BCW68 BCW68R BC807-W50V0.5A BCX17 BCW68 2SB1219ABC81750V0.5A BCX19 BCW65 BCX66BC817R50V0.5A BCX19 BCX19R BCW65 BCW65R BCX66 BCW66RBC817-W50V0.5A BCX19 BCW65 BCW66 2SD1820 2SD1949BC84680V0.1A BCV71 BCV72BC846R80V0.1A BCV71 BCV71R BCV72 BCV72R BC846-W80V0.1A BCV71 BCV72 BCV72RBC84750V0.1A BCW71 BCW72 BCW81BC847R50V0.1A BCW71 BCW71R BCW72 BCW72R BCW81 BCW81RBC847-W50V0.1A BCW71 BCW72 BCW81 2SC4101 2SC4102BC84830V0.1A BCW31 BCW32 BCW33 BCW71 BCW72 BCW81BC848R30V0.1A BCW31 BCW31R BCW32 BCW32R BCW33 BCW33R BCW71 BCW71R BCW72 BCW72R BCW81 BCW81RBC848-W30V0.1A BCW31 BCW32 BCW33 BCW71 BCW72 BCW81 2SC4101 2SC4102 2SC4117BC85650V0.1A BCW89BC856R80V0.1A BCW89 BCW89RBC856-W80V0.1A BCW89 2SA1507 2SA1527BC85750V0.1A BCW69 BCW70 BCW89BC857R50V0.1A BCW69 BCW69R BCW70 BCW70R BCW89 BCW89RBC857-W50V0.1A BCW69 BCW70 BCW89 2SA1507 2SA1527BC85830V0.1A BCW29 BCW30 BCW69 BCW70 BCW89 BC858R30V0.1A BCW29 BCW29R BCW30 BCW30R BCW69 BCW69R BCW70 BCW70R BCW89 BCW89RBC858-W30V0.1A BCW29 BCW30 BCW69 BCW70 BCW89 2SA1507 2SA15272SA73360V0.1A BC177 BC204 BC212 BC213 BC251 BC257 BC307 BC513 BC557 3CG120C 3CG4312 MMUN211150V0.1A UN2111MUN211150V0.1A MMUN2111UN211150V0.1A FN1A4M DTA114EK RN24022SA1344MMUN211250V0.1A UN2112MUN211250V0.1A MMUN2112UN211250V0.1A FN1F4M DTA124EK RN24032SA1342MMUN211350V0.1A UN2113MUN211350V0.1A MMUN2113UN211350V0.1A FN1L4M DTA144EK RN24042SA1341MMUN221150V0.1A UN2211MUN221150V0.1A MMUN2211UN221150V0.1A DTC114EK FA1A4M RN1402 2SC3398MMUN221250V0.1A UN2212MUN221250V0.1A MMUN2212UN221250V0.1A DTC124EK FA1F4M RN1403 2SC3396MMUN221350V0.1A UN2213MUN221350V0.1A MMUN2213UN221350V0.1A DTC144EK FA1L4M RN1404 2SC33952SC335620V0.1A2SC3513 2SC3606 2SC3829 2SC3838K30V0.05ABF517 BF799 2SC30152SC3016彩显中易损大功率三极管主要参数表型号功率(W) 反压(V) 电流(A) 功能BU208A 50 1500 5 电源开关管BU508A 75 1500 8 电源开关管BU2508AF 45 1500 8 行管*BU2508DF 125 1500 8 行管*BU2508D 125 1500 8 行管BU2520AF 45 1500 10 行管BU2520AX 45 1500 10 行管* BU2520DF 125 1500 10 行管BU2522AF 45 1500 10 行管* BU2522DF 80 1500 10 行管* BU2525DF 45 800 12 行管BUH515 60 1500 8 行管C1520 10 250 0.2 视放C1566 1.2 250 0.1 视放C1573 0.6 250 0.07 视放C1875 50 1500 3.5 电源开关管C3153 100 900 6 电源开关管C3026 50 1700 5 行管C3457 50 1100 3 电源开关管C3459 90 1100 4.5 电源开关管C3460 100 1100 6 电源开关管C3461 140 1100 8 行管*C3683 50 1500 5 行管C3686 50 1400 8 行管C3687 150 1500 8 行管C3481 120 1500 5 电源开关管C3688 150 1500 10 行管*C3883 50 1500 5 行管C3885 50 1400 7 行管C3886 50 1400 8 行管C3887 80 1400 7 行管C3888 80 1400 80 行管C3889 80 1400 80 行管*C3891 50 1400 6 行管*C3892 50 1400 7 行管*C3893 50 1400 8 行管C3895 60W 1400V 7A 行管C3896 70 1400 8 行管*C3897 180 1500 12 行管C3897 250 1500 25 行管C3998 250 1500 25 行管*C4122 60 1500 6 行管*C4124 70 1500 8 行管*C4125 70 1500 10 行管C4237 150 800 10 行管*C4269 60 1500 7 行管*C4293 50 1500 5 行管*C4294 50 1500 6 行管*C4589 50 1500 10 行管*C4742 50 1500 6 行管*C4744 50 1500 6 行管C4747 50 1500 10 行管*C4769 60 1500 7 行管C4770 60 1500 7 行管C5048 50 1500 12 行管C5088 45 1500 8 行管C5129 50 1500 6 行管C5148 50 1500 8 行管C5250 50 1500 8 行管C5297 60 1500 8 行管C5299 60 1400 8 行管C5339 50 1500 7 行管C5418 120 1500 6 行管*D1396 50 1500 2 行管*D1398 50 1500 5 行管D1402 120 1500 5 电源开关管D1403 120 1500 6 电源开关管*D1426 80 1500 3.5 行管*D1427 80 1500 5 行管*D1428 80 1500 6 行管D1433 80 1500 7 行管D1434 80 1500 5 行管*D1554 40 1500 3.5 行管D1555 50 1500 5 电源开关管*D1878 60 1500 6 行管*D1879 60W 1500V 5A 行管*D1880 70 1500 8 行管*D1881 70 1500 10 行管D1886 70 1500 8 行管D1887 70 1500 10 行管*D2125 50 1500 5 行管*D870 50 1500 5 行管功率Pcm/W 反压BVCBO 电流ICM/A(*带阻尼)进口与国产显示器常用三极管代换表型号可代用型号用途价格2SA562 CG673B、2SB689 预视放2SA670 2SA1069、2SB513 电源调整管2SA673 2SA719、2SA697 帧激励2SA715 3CF3A、2SB529 场输出管2SA778A 3CG21C、CG75-1AB 开关电源误差放大2SA778AK C3CG21G、CG75-1A 开关电源误差放大2SA844D 3CG21C、CG75-1AB 视放2SA844E 3CG21G 视放2SA940 CD568B 场输出管2SA6395 2SA778、2SA858 行激励管2SB337 B337 电源调整管2SB407 3L780 电源调整管2SB548 3CF3B、2SA794 场输出管2SB566AK CD77-1A、3CF5A 电源调整管2SB556K CD77-1A、3CF5B 电源调整2SB621 3CG23B、2SB1035 电源推动管2SC458 3DG4A、2SC664 行振荡2SC536 3DG4A、2SC2320 电源推动管2SC562 G6738、B689 预视放2SC633 3DG6B、2SC1684 行振荡管2SC634 3DG12B 行振荡管2SC643A D2027、2SD818 行输出管2SC680A 3DD205B、2SC1025 场输出2SC681 3DD102B、2SC901 行输出2SC734 3DX200B、2SC2274 行振荡管2SC828 3DG56B、2SC3330 电源误差放大管2SC935 3DD102D、2SD320 电源调整管2SC8937 D2027、2SD818 行输出管2SC1034 2SD818、2SD299 行输出管2SC1162 FA433A、2SC2068 场输出枕形校正2SC1172 D2027、2SD820 行输出管2SC1209 3DG12A、2SD734 电源误差放大管2SC1213 3DG130A、2SC2120 电源误差放大管2SC1213A 3DG12B、2SC1247A 电源误差放大2SC1214 3DA151A、2SC2002 枕形校正2SC1308 D209、2SD820 行输出管2SC1318 3DG12A、2SC2274 行激励管2SC1364 3DX2038、2SC2320 行激励管2SC1505 DA1722B、2SC1757 行视放2SC1507 DA1722B、2SC1756、2SC1757 行激励管2SC1364 3DX2038、C23020 行激励管2SC1520 DA1722B、2SC2068 预视放2SC1566 3DA151D、2SC1514 视放2SC1573 3DA87C、2SC1762 视放2SC1672 3DD102B、2SC2433 电源调整管2SC1685 3DD180、2SC1570 脉冲开关2SC1819 3DA151D、2SC2425 视放2SC1890A 3DA878、2SC2363 视放2SC1905 3DA151D、2SD1163 视放2SC1942 D209、2SD1401 行输出管2SC2233 3DD12B、2SC2373 行输出2SD201 3DD102A、2SD125A 电源调整管2SD226 3DD207、2SD315 电源调整管2SD299 D2027、2SC1308 行输出管2SD350 D2027、2SD348 行输出管2SD380 D209、2SD348 行输出管2SD869 2SD993、2SD898B 行输出管C3150 C3151、C3152 开关管BU508A BU508D、C3893、C3895、C3897 开关管彩显中易损场效应管主要参数表型号功率Pcm/W 最大电流IDM/A D-S极间耐压价格2SK534 100W 5A 800V2SK538 100 3 9002SK557 100 12 5002SK560 100 15 5002SK566 78 3 800 2SK644 125 10 500 2SK719 120 5 900 2SK725 125 15 500 2SK727 125 5 900 2SK774 120 18 500 2SK785 150 20 500 2SK787 150 8 900 2SK788 150 13 500 2SK790 150 15 500 2SK872 150 6 900 2SK955 150 9 800 2SK956 150 9 800 2SK962 150 8 900 2SK1019 300 30 500 2SK1020 300 30 5002SK1081 125 7 800 2SK1082 125 6 800 2SK1117 100 6 600 2SK1118 45 6 600 2SK1119 100 4 1000 2SK1120 150 8 1000 2SK1171 240 5 1400 2SK1198 75 3 800 2SK1249 130 15 500 2SK1250 150 20 500 2SK1271 240 15 1400 2SK1280 150 18 500 2SK1281 120 4 700 2SK1341 100 5 900 2SK1342 100 8 9002SK1357 125 5 900 2SK1358 150 9 900 2SK1451 120 5 900 2SK1498 120 20 500 2SK1500 160 25 500 2SK1502 120 7 900 2SK1507 50 6 600 2SK1512 150 10 850 2SK1531 150 15 500 2SK1537 100 5 900 2SK1539 150 10 900 2SK1563 150 12 500 2SK1649 100 6 900 2SK1794 150 6 900 2SK2038 125 6 9002N7000 0.4 0.2 60BUZ385 125 6 500 GH30N60 180 30 600 GH30N100 250 30 1000 GH40N60 200 40 600H1245 120 12 450H13N50 150 13 500IBF834 100 3 500IPF440 125 8 500IRT450 150 13 500IRF350 150 13 500IRF360 300 25 400IRF440 125 8 500IRF451 150 13 450IRF460 300 21 500IRF620 40 5 200IRF634 75 8.1 250 IRF640 125 18 200 IRF730 75 5.5 400 IRF740 125 10 400 IRF820 50 2.5 500 IRF830 75 4.5 500 IRF834 100 5 500 IRF840 125 8 500 IRF841 125 8 450 IRF842 125 7 500 IRF9610 20 1 200 IRF9630 75 6.5 200 IRF9640 125 11 200 IRF450 150 13 500 IRFD113 1 0.8 80FIRP150 180 41 100IRFP151 180 19 60IRFP240 150 31 200IRFP250 180 31 200IRFP251 180 33 150IRFP254 180 23 250IRFP350 180 16 400IRFP351 180 16 350IRFP360 250 23 400IRFP450 180 14 500IRFP452 180 12 500IRFP460 250 20 500 IRFBC40 125 6.2 600IRF4P51 180 14 450 IXGH10N100 100 10 1000IXGH15N100 150 150 1000 IXGH20N60 150 20 600 IXTH50N30 150 50 300 IXTH50X20 250 50 200 IXTH67N10 200 67 100 LXTH24N50 250 24 500 LXTH30N20 180 30 200 LXTH30N30 180 30 300 LXTH30N50 300 30 500 LXTH40N30 250 40 300 LXTH50N10 150 50 100 LXTH50N20 150 50 200 LXTH67N70 200 67 100 LXTH75N10 200 75 100MTH8N50 120 8 500MTM6N80 120 6 800METH10N50 120 10 500 MTH12N50 120 12 500 MTH14N50 150 14 500 MTH20N20 120 20 200 MTH25N10 150 25 200 MTH30N10 120 30 100 MTH35N15 150 35 150 MTH40N10 150 40 100 MTH8N60 120 8 600 MTM10N20 75 10 200 MTM20N20 125 20 200 MTM25N10 100 25 100 MTM30N10 120 30 100 MTM40N10 150 40 100 MTM6N90 150 6 900 MTM8N50 100 8 500MTM8N90 150 8 900 MTP3N60 75 3 600 MTP3N100 75 3 1000 MTP4N60 50 4 600 MTP4N80 50 4 800 MTP5P25 75 5 250 MTP5N45 75 5 450 MTP5N50 75 5 500 MTP6N60 125 6 600 MTP6N60E 125 6 600 RFP50N05 132 50 50 RFP50N05L 110 50 50型号反压(V) 电流(A) 功率(W) β值阻尼D1175 1500 5 100 15 有D1279 1500 10 50 20 无D1391 1500 5 80 12 有D1398 1500 5 50 12 有D1403 1500 6 120 20 无D1426 1500 3.5 80 有D1427 1500 5 80 有D1428 1500 6 80 12 有D1429 1500 2.5 80 20 有D1431 1500 5 80 无D1432 1500 6 80 20 有D1433 1500 7 80 20 有D1439 1500 3 50 有D1453 1500 3 50 无D1497 1500 6 50 15 有D1545 1500 5 50 20 无D1547 1500 7 50 20 无D1554 1500 3.5 40 有D1555 1500 5 50 有D1556 1500 6 50 12 有D1651 1500 5 60 有D1652 1500 6 60 15 有D1710 1500 6 100 20 无D1878 1500 6 50 15 有D1879 1500 6 60 15 有D1880 1500 8 70 有D1881 1500 10 70 有D1884 1500 5 60 无D1885 1500 6 60 无D1887 1500 10 70 12 无D1910 1500 3 40 20 有D1959 1400 10 50 20 无D2125 1500 5 50 12 有D2251 1500 7 60 有D2252 1500 7 60 无D2253 1700 6 50 有D2334 1500 5 80 15 无D2335 1500 7 100 15 无型号P/N 参数备注及用途型号P/N 参数A940 P 150V1.5A25W 4MHz TO-220 D1271 N150V7A40WC2073 N 150V1.5A25W 4MHz TO-220 D1273A N100V3A40WA1304C3296 150V1.5A20W 4MHz D1275A N 80V2A35WB647D667 120V1A0.9W 140MHz D1266 N 80V3A35WB649D669 180V1.5A 140MHz D1264A N 200V2A30WB834D880 60V3A30W TO-220 D1309 N 150V8A40WB546D401 200V2A20W 5MHz D1365 N 800V3A40WB772D882 40V3A10W 80MHz D1415 N 100V7A40W56105609 50V0.8A0.625W 100MHz D1499 N 100V5A40WB1185D1762 60V3A25W 70MHz D2025 N 100V8A30WB1186D1763 120V1.5A20W 50MHz TIP102 N 100V8A80WTIP42CTIP41C 100V5A65W >3MHz TOP202 TOP222TIP127TIP122 100V5A65W >1000 TOP223 TOP224封装MJE13003 N 400V1.5A40WC2335 N 400V7A40W MJE13005 N 400V4A75W C3148 N 800V3A40W MJE13007 N 400V8A80W C3309 N 400V2A20W MJE13009 N 400V12A100WC3310 N 400V5A30WC4004 N 800V1A30W C388A N 25V0.02AC3039 N 400V7A50W C458 N 30V0.1A0.2WC2233 N 200V4A40W C536 N 40V0.1A0.2WC2373 N 200V7.5A40W C945 N 60V0.1A0.25W C3852A N 100V3A25W 15MHz >500 C752 N30V0.1A0.1WC4834 N 400V8A45W <300/140nS C1047 N30V0.02A65MHzC5027 N C1162 N 35V2.5A10WC5249 N C1213 N 50V0.5A0.4W D313 N 60V3A30W 8MHz C1360 N 50V0.05A1WD1138 N C1383 N 30V1A1WD1071 N 450V6A40W >500 C1473 N 300V0.07A0.75W 参数备注及用途型号参数备注及用途N 1500/600V3.5A40W 行TOS BUW11A N1000/450V5A100W 电源AF=50W PHIN 1500/600V5A50W 行TOS BUW12A N1000/450V10A125W 电源AF=50W PHIN 1500/600V6A50W 行TOS BUW13A N1000/450V15A175W 电源AF=50W PHIN 1700/600V6A50W 行TOS BU2508AF N1500/700V8A50W 电源PHI1500/700V8A50W 行PHIN 1500/600V5A80W 行TOS BU2508AX N 1500/700V8A50W 电源PHIN 1500/600V7A80W 电源TOS BU2508DX N 1500/700V8A50W 行PHIN 1500/600V7A80W 行TOS BU2520AF N 1500/800V10A50W 电源PHIN 1500/600V6A80W 行TOS BU2520DF N 1500/800V10A50W 行PHIN 1500V5A50W 电源/行TOS BU2520AX N 1500/800V10A50W 电源/行PHIN 1500V7A50W 电源/行TOS BU2520DX N 1500/800V10A60W 行PHIN 1400V10A50W 电源/行TOS BU2522AX N 1500/800V10A60W 电源/行PHIN 1500/600V6A50W 电源TOS BU2523AX N 1500/800V10A60W 电源/行PHI1500/800V12A60W 电源/行PHIN 1500/600V10A50W 电源TOS BU2527DX N1500/800V12A60W 行PHIN 1500/600V8A50W 电源TOS C4236 N1200/800V6A100W 电源SHIN 1500/600V8A50W 行TOS C4237 N1200/800V10A50W 电源SHIN 1700/600V8A50W 行TOS D1541 N 1500V3A50W 行MATN 1500/600V7A50W 行TOS C4111 N1500/700V10A150W 电源MATN 1500/600V8A50W 行TOS MN650 N 1500/600V5A80W电源SAKN 1500/600V10A50W 电源TOS C4058 N600/450V10A100W 电源SHIN 1500/600V8A50W 电源TOS D2333 N1500/600V5A80W 行MATN 1400/600V12A200W 电源TOS D2334 N1500/600V5A80W 电源MATN 900/800V5A100W 电源TOS D2335 N1500/600V7A100W 行MATN 1500V8A125W 电源TOS C4706 N 900/600V14A130W电源SAKN 1500/700V8A60W 电源ST BUH715N N1500/700V10A60W 电源STN 1500/700V8A60W 行ST C3927 N 900/600V10A120W电源SAKN 1500/700V10A57W 电源ST C3679 N900/800V5A100W 电源SAKN 1500/700V7A50W 行ST C5287 N 900/550V5A80W 电源SAK型号P/N 参数备注及用途型号P/N 参数D2445 N 1500/800V6A50W K30A 50VIdss>0.3up<5V C4745 N 1500/800V6A50W 电源HIT K11750VIdss>0.6up<10VC4746 N 1500/800V8A50W 电源HIT K11850VIdss>0.3up<1.5VC5250 N 1500V8A50W 行HIT K304 30VIdss>0.6up<4V C5207A N 1500/800V10A50W 电源HIT K1117600V6A100WD2300 N 1500V5A50W 行HIT K1118 600V6A45W C4297 N 500/400V12A75W 电源SAK K11191000V4A100WC4927 N 1500V8A50W 行HIT K2141 600V+/-6A35W D1959 N 1400/650V10A50W 电源HIT K1507600V9A50WC4589 N 1500/800V10A50W 电源HIT K1995900V+/-3A35WC4877 N 1500V8A50W 行HIT K1445 450V5A30WKSD5072 N 1500/800V5A60W 行SAM K2056800V4A40WKSD5076 N 1500/800V5A60W 行SAM IRFBC30600V3.6A74WKSC5802 IRFBC40R 600V6.2A125W KSC5803 N 1500/800V7A50W 行SAM IRFBC60KSC5386 N 1500/800V7A50W 行SAM IRF530N100V15A80WKSC5088 N 1500/800V8A50W 电源SAM IRF9530N100V13A75WKSD5702 N 1500V6A70W 行SAM IRF540N100V27A94WKSD5703 IRF9540N 100V19A94WBUS13A N 1000/450V15A175W 电源VAL TO-3 IRF610200V3.3A43WBUS14A N 1000/450V30A250W 电源VAL TO-3 IRF9610200V1.8A20WBUV48A N 1000/450V15A150W 电源ST IRF620200V5A40WC3552 N 1100/800V12A150W 电源SAK IRF9620200V5A40WC5386 N 1500/600V8A50W 电源TOS IRF630200V9A75WC4119 N 1500/800V15A250W 达林顿+阻尼IRF9630200V6.5A75W系列晶振455KHz-503KHz IRF640 200V18A125W3.57MHz-30MHz IRF9640 200V11A125W二极管开关管快恢复整流管IRF730 400V5.5A75W 稳压管阻尼管IRF740 400V10A125W型号参数特性型号参数BC327 P 50V0.8A0.625W 100MHz BTA08 8A双向BC337 N 50V0.8A0.625W 100MHz BTA12 12A双向BC328 P 30V0.8A0.625W 100MHz BTA20 20A双向BC338 N 30V0.8A0.625W 100MHz BTA26 26A双向BC369 P 25V1A.8W 65MHz BTA41 41A双向BC546 N 80V0.1A0.5W 300MHz BTA16 16A双向BC547 N 50V0.1A0.5W 300MHz 2P4M 3A单向BC558 N 30V0.1A0.5W 150MHz CR3AM 3A单向BC556 P 80V01A0.5W 150MHz TLC336 3A双向BC557 P 50V0.1A0.5W 150MHz BCR3AM 3A双向9011 N 50V0.03A0.4W 150MHz FD312 彩电用9012 P 40V0.5A0.625W FD315 彩电用9013 N 40V0.5A0.625W PH2369 彩电用9014 N 50V0.1A0.45W 150MHz 1W稳压管9015 P 50V0.1A0.45W 100MHz 1N4728A 3.3V 9016 N 30V0.025A0.4W 620MHz 1N4730A3.9V 9018 N 30V0.05A0.4W 700MHz 1N4732A 4.7V8050 N 40V1.5A1W 100MHz 1N4734A5.6V8550 P 40V1.5A1W 100MHz 1N4736A 6.8V2N5551 N 180V0.6A0.625W 100MHz 1N4738A 8.2V 2N5401 P 180V0.6A0.625W 100MHz 1N4740A 10V可控硅1N4742A 12V1A单向BT169 100-6 100-8 FOR1B FOR3G 1N4744A15V1A双向97A6 94A4 97A4 1N4746A 18V BT136 6A双向中间引线通散热片1N4748A 22VBT137 8A双向中间引线通散热片1N4750A 27VBT138 10A 双向中间引线通散热片1N4752A 33V BT139 12A双向中间引线通散热片1N4756A 47V BTA06 6A双向中间线不通散热片1N4764A 100V型号参数特性型号参数D820 N 1500/600V5A80W 电源D1047 N 160V12A100W D869 N 1500/600V3.5A50W 行B817 P 160V12A100W D850 N 1500/700V3A65W 电源D1559 N 100V20A100W D870 N 1500/600V5A50W 行B1079 P 100V20A100W D905 N 1400/650W8A50W 电源D2256 N 120V25A120W D871 N 1500/600V6A50W 行B1494 P 120V25A120W D1204 N 500/400V15A100W 电源D718 N 120V8A80WD898 N 1500V3.5A50W 行B688 P 120V8A80W D1279 N 1400/700V10A50W 电源D1435 N100V15A100WD951 N 1500V3A65W 行B1031 P 100V15A100W C1942 N 1500/800V3A50W 电源带阻三极管D1173 N 1500V5A70W 行RN1201 RN1202C2027 N 1500/800V5A50W 电源RN1206 RN2201 D1175 N 1500V5A100W 行RN1001 RN1001大功率功放管DTA114 DTA144C3280 N 160V12A120W HiFi TOS DTC144A1301 P 160V12A120W HiFi TOD 光藕及三端C3281 N 200V15A150W HiFi TOS 521-1 621-1A1302 P 200V15A150W HiFi TOS 631 632C5200 N 230V15A150W HiFi TOS 4N35 CNX62A A1943 P 230V15A150W HiFi TOS PC113 PC117 D2155 N 180V15A150W HiFi TOS SE090 SE110B1429 P 180V15A150W HiFi TOS SE120 SE125C5198 N 140V10A100W HiFi TOS SE135 SE140A1941 P 140V10A100W HiFi TOS 78(L)06 78(L)08 C5196 N 120V6A60W HiFi TOS 78(L)12 78(L)15A1939 P 120V6A60W HiFi TOS 78(L)24 79(L)05C3182 N 140V10A100W HiFi TOS 79(L)08 79(L)09 A1265 P 140V10A100W HiFi TOS 79(L)15 79(L)18型号P/N 参数备注及用途型号P/N 参数C1514 N 300V0.1A1.25W 80MHz Vid-L HIT C2481 N150V1.5A20WC1507 N 300V0.2A15W 80MHz Vid-L NIP C2611 N300V0.1A0.8WC1569 N 300V0.15A12.5W 100MHz Vid TOS C2330 N300V0.1A1WC1573 N 300V0.07A1W 80MHz NF Vid MAT C2331 N80V0.7A1WC1627 N 80V0.4A0.8W Uni TOS C2655 N 60V2A0.9WC1687 N 40V0.03A0.4W NF/ZF MAT C2688 N300V0.2A10WC1756 N 300V0.2A15W >50MHz SAY C2653 N350V0.2A15WC1740 N 50V0.1A0.3W 180MHz Uni TOS C2785 N60V0.1A0.25WC1815 N 60V0.15A0.4W >80MHz Uni TOS C2878 N50V0.3A0.4WC1846 N 45V1A5W 200MHzNF/S-LMAT C3355 N20V0.1A0.6WC1906 N 30V0.05A1GHz UHF HIT C3417 N 300V0.1A5W C1959 N 35V0.5A0.5W 300MHz Uni TOS C3419 N40V0.8A5WC2001 N 30V0.7A0.6W 70MHz Uni NIP C3420 N50V5A10WC2068 N 300V0.05A1.5W 95MHz Vid TOS C3807 N30V2A15WC2120 N 30V0.8A0.6W 120MHz Uni TOS C3789 N300V0.1A7WC2026 N 30V0.05A0.25W 2GHz UHF NIP C3198 N60V0.15A0.4WC2060 N 40V1A0.75W 150MHz Uni TOY C4075 N300V0.2A10WC2229 N 200V0.05A0.8W 120MHz Vid TOS C4544 N300V0.1A8WC2230 N 200V0.1A0.8W >50MHz Vid TOS D400 N25V1A1WC2271 N 300V0.1A0.9W Vid TOS D471 N 30V1A1W C2258 N 300V0.1A4W Vid MAT D965 N 40V5A0.75W C2240 N 120V0.1A0.3W 100MHz NF.rd TOS D966 N40V5A1WC2482 N 300V0.1A0.9W Vid TOS D612 N 35V2A10W C2236 N 30V1.5A0.9W Uni TOS D789 N 100V1A0.9W C2371 N 300V0.1A10W Vid NIP D1640 N 120V2A1.2WC2383 N 160V1A0.9W NF/VA TOS D415 N 120V0.8A10W C2482 N 300V0.1A0.9W Vid TOS C3946 N 350V0.2A15W C2594 N 40V5A10W 150MHz D1406 N 60V3A30W C2500 N 30V2A0.9W 150MHz Uni TOS。
|常用三极管参数表下表是常用三极管的一些参数以及替换型号器件型号电压电流代换型号3DG9011 50V 2N4124 CS9011 JE9011 9011 50V LM9011 SS90119012 40V LM90129012(HH) 40V SS90129012LT1 40V A12983DG9013 40V CS9013 JE90139013 40V LM90139013(HH) 40V SS90139013LT1 40V C32653DG9014 50V CS9014 JE90149014 50V LM9014 SS90149014LT1 50V C16239015 50V LM9015 SS9015TEC9015 50V BC557 2N3906TEC9015A 50V BC557 2N3906TEC9015B 50V BC557 2N3906TEC9015C 50V BC557 2N39063DG9016 30V JE90169016 30V SS9016TEC9016 40V BF240 BF254 BF5948050 40V SS80508050LT1 40V KA3265ED8050 50V BC337SDT85501 60V 10A 3DK104CSDT85502 80V 10A 3DK104CSDT85503 100V 10A 3DK104DSDT85504 140V 10A 3DK104ESDT85505 170V 10A 3DK104FSDT85506 60V 10A 3DK104CSDT85507 80V 10A 3DK104CSDT85508 100V 10A 3DK104DSDT85509 140V 10A 3DK104EED8550 50V BC3378550 40V LM8550 SS85508550LT1 40V KA32652SA1015 50V BC177 BC204 BC212 BC213 BC251 BC257 BC307 BC512 BC557 CG1015 CG673 2SC1815 60V BC174 BC182 BC184 BC190 BC384 BC414 BC546 DG458 DG18152SC1815L 60V BC550 2SC2240 2S26742SC2675 2SC33782SC1815LT1 60V 9014LT12SC945 60V BC107 BC171 BC174 BC182 BC183 BC190 BC207 BC237 BC382 BC546 BC547 BC582 DG945 2N2220 2N2221 2N2222 3DG120B 3DG4312 MMBT3904 40V BCW72 3DG120CMMBT3906 40V BCW70 3DG120CMMBT2222 未知BCX19 3DG120CMMBT2222A 75V 3DK10CMMBT5401 160V 3CA3FMMBTA92 300V 3CG180HBC807 50V BC338 BC537 BC635 3DK14BBC807R 50V BCX17 BCX17R BCW68 BCW68R BC807-W 50V BCX17 BCW68 2SB1219ABC817 50V BCX19 BCW65 BCX66BC817R 50V BCX19 BCX19R BCW65 BCW65R BCX66 BCW66RBC817-W 50V BCX19 BCW65 BCW66 2SD1820 2SD1949BC846 80V BCV71 BCV72BC846R 80V BCV71 BCV71R BCV72 BCV72RBC846-W 80V BCV71 BCV72 BCV72RBC847 50V BCW71 BCW72 BCW81BC847R 50V BCW71 BCW71R BCW72 BCW72R BCW81 BCW81RBC847-W 50V BCW71 BCW72 BCW81 2SC4101 2SC4102BC848 30V BCW31 BCW32 BCW33 BCW71 BCW72 BCW81BC848R 30V BCW31 BCW31R BCW32 BCW32R BCW33 BCW33R BCW71 BCW71R BCW72 BCW72R BCW81 BCW81RBC848-W 30V BCW31 BCW32 BCW33 BCW71 BCW72 BCW81 2SC4101 2SC4102 2SC4117BC856 50V BCW89BC856R 80V BCW89 BCW89RBC856-W 80V BCW89 2SA1507 2SA1527BC857 50V BCW69 BCW70 BCW89BC857R 50V BCW69 BCW69R BCW70 BCW70R BCW89 BCW89RBC857-W 50V BCW69 BCW70 BCW89 2SA1507 2SA1527BC858 30V BCW29 BCW30 BCW69 BCW70 BCW89BC858R 30V BCW29 BCW29R BCW30 BCW30R BCW69 BCW69R BCW70 BCW70R BCW89 BCW89RBC858-W 30V BCW29 BCW30 BCW69 BCW70 BCW89 2SA1507 2SA15272SA733 60V BC177 BC204 BC212 BC213 BC251 BC257 BC307 BC513 BC557 3CG120C 3CG4312 MMUN2111 50V UN2111MUN2111 50V MMUN2111UN2111 50V FN1A4M DTA114EK RN24022SA1344MMUN2112 50V UN2112MUN2112 50V MMUN2112UN2112 50V FN1F4M DTA124EK RN24032SA1342MMUN2113 50V UN2113MUN2113 50V MMUN2113UN2113 50V FN1L4M DTA144EK RN24042SA1341MMUN2211 50V UN2211MUN2211 50V MMUN2211UN2211 50V DTC114EK FA1A4M RN14022SC3398MMUN2212 50V UN2212MUN2212 50V MMUN2212UN2212 50V DTC124EK FA1F4M RN14032SC3396MMUN2213 50V UN2213MUN2213 50V MMUN2213UN2213 50V DTC144EK FA1L4M RN14042SC33952SC3356 20V 2SC3513 2SC3606 2SC38292SC3838K 30V BF517 BF799 2SC3015 2SC3016彩显中易损大功率三极管主要参数表型号功率(W) 反压(V) 电流(A) 功能BU208A 50 1500 5 电源开关管BU508A 75 1500 8 电源开关管BU2508AF 45 1500 8 行管*BU2508DF 125 1500 8 行管*BU2508D 125 1500 8 行管BU2520AF 45 1500 10 行管BU2520AX 45 1500 10 行管*BU2520DF 125 1500 10 行管BU2522AF 45 1500 10 行管*BU2522DF 80 1500 10 行管* BU2525DF 45 800 12 行管BUH515 60 1500 8 行管C1520 10 250 视放C1566 250 视放C1573 250 视放C1875 50 1500 电源开关管C3153 100 900 6 电源开关管C3026 50 1700 5 行管C3457 50 1100 3 电源开关管C3459 90 1100 电源开关管C3460 100 1100 6 电源开关管C3461 140 1100 8 行管*C3683 50 1500 5 行管C3686 50 1400 8 行管C3687 150 1500 8 行管C3481 120 1500 5 电源开关管C3688 150 1500 10 行管*C3883 50 1500 5 行管C3885 50 1400 7 行管C3886 50 1400 8 行管C3887 80 1400 7 行管C3888 80 1400 80 行管C3889 80 1400 80 行管*C3891 50 1400 6 行管*C3892 50 1400 7 行管*C3893 50 1400 8 行管C3895 60W 1400V 7A 行管C3896 70 1400 8 行管*C3897 180 1500 12 行管C3897 250 1500 25 行管C3998 250 1500 25 行管*C4122 60 1500 6 行管*C4124 70 1500 8 行管*C4125 70 1500 10 行管C4237 150 800 10 行管*C4269 60 1500 7 行管*C4293 50 1500 5 行管*C4294 50 1500 6 行管*C4589 50 1500 10 行管*C4742 50 1500 6 行管*C4744 50 1500 6 行管C4747 50 1500 10 行管*C4769 60 1500 7 行管C4770 60 1500 7 行管C5048 50 1500 12 行管C5088 45 1500 8 行管C5129 50 1500 6 行管C5148 50 1500 8 行管C5250 50 1500 8 行管C5297 60 1500 8 行管C5299 60 1400 8 行管C5339 50 1500 7 行管C5418 120 1500 6 行管*D1396 50 1500 2 行管*D1398 50 1500 5 行管D1402 120 1500 5 电源开关管D1403 120 1500 6 电源开关管*D1426 80 1500 行管*D1427 80 1500 5 行管*D1428 80 1500 6 行管D1433 80 1500 7 行管D1434 80 1500 5 行管*D1554 40 1500 行管D1555 50 1500 5 电源开关管*D1878 60 1500 6 行管*D1879 60W 1500V 5A 行管*D1880 70 1500 8 行管*D1881 70 1500 10 行管D1886 70 1500 8 行管D1887 70 1500 10 行管*D2125 50 1500 5 行管*D870 50 1500 5 行管功率Pcm/W 反压BVCBO 电流ICM/A (*带阻尼)进口与国产显示器常用三极管代换表型号可代用型号用途价格2SA562 CG673B、2SB689 预视放2SA670 2SA1069、2SB513 电源调整管2SA673 2SA719、2SA697 帧激励2SA715 3CF3A、2SB529 场输出管2SA778A 3CG21C、CG75-1AB 开关电源误差放大2SA778AK C3CG21G、CG75-1A 开关电源误差放大2SA844D 3CG21C、CG75-1AB 视放2SA844E 3CG21G 视放2SA940 CD568B 场输出管2SA6395 2SA778、2SA858 行激励管2SB337 B337 电源调整管2SB407 3L780 电源调整管2SB548 3CF3B、2SA794 场输出管2SB566AK CD77-1A、3CF5A 电源调整管2SB556K CD77-1A、3CF5B 电源调整2SB621 3CG23B、2SB1035 电源推动管2SC458 3DG4A、2SC664 行振荡2SC536 3DG4A、2SC2320 电源推动管2SC562 G6738、B689 预视放2SC633 3DG6B、2SC1684 行振荡管2SC634 3DG12B 行振荡管2SC643A D2027、2SD818 行输出管2SC680A 3DD205B、2SC1025 场输出2SC681 3DD102B、2SC901 行输出2SC734 3DX200B、2SC2274 行振荡管2SC828 3DG56B、2SC3330 电源误差放大管2SC935 3DD102D、2SD320 电源调整管2SC8937 D2027、2SD818 行输出管2SC1034 2SD818、2SD299 行输出管2SC1162 FA433A、2SC2068 场输出枕形校正2SC1172 D2027、2SD820 行输出管2SC1209 3DG12A、2SD734 电源误差放大管2SC1213 3DG130A、2SC2120 电源误差放大管2SC1213A 3DG12B、2SC1247A 电源误差放大2SC1214 3DA151A、2SC2002 枕形校正2SC1308 D209、2SD820 行输出管2SC1318 3DG12A、2SC2274 行激励管2SC1364 3DX2038、2SC2320 行激励管2SC1505 DA1722B、2SC1757 行视放2SC1507 DA1722B、2SC1756、2SC1757 行激励管2SC1364 3DX2038、C23020 行激励管2SC1520 DA1722B、2SC2068 预视放2SC1566 3DA151D、2SC1514 视放2SC1573 3DA87C、2SC1762 视放2SC1672 3DD102B、2SC2433 电源调整管2SC1685 3DD180、2SC1570 脉冲开关2SC1819 3DA151D、2SC2425 视放2SC1890A 3DA878、2SC2363 视放2SC1905 3DA151D、2SD1163 视放2SC1942 D209、2SD1401 行输出管2SC2233 3DD12B、2SC2373 行输出2SD201 3DD102A、2SD125A 电源调整管2SD226 3DD207、2SD315 电源调整管2SD299 D2027、2SC1308 行输出管2SD350 D2027、2SD348 行输出管2SD380 D209、2SD348 行输出管2SD869 2SD993、2SD898B 行输出管C3150 C3151、C3152 开关管BU508A BU508D、C3893、C3895、C3897 开关管彩显中易损场效应管主要参数表型号功率Pcm/W 最大电流IDM/A D-S极间耐压价格2SK534 100W 5A 800V2SK538 100 3 9002SK557 100 12 5002SK560 100 15 5002SK566 78 3 800 2SK644 125 10 500 2SK719 120 5 900 2SK725 125 15 500 2SK727 125 5 900 2SK774 120 18 500 2SK785 150 20 500 2SK787 150 8 900 2SK788 150 13 500 2SK790 150 15 500 2SK872 150 6 900 2SK955 150 9 800 2SK956 150 9 800 2SK962 150 8 900 2SK1019 300 30 500 2SK1020 300 30 5002SK1081 125 7 800 2SK1082 125 6 800 2SK1117 100 6 600 2SK1118 45 6 600 2SK1119 100 4 1000 2SK1120 150 8 1000 2SK1171 240 5 1400 2SK1198 75 3 800 2SK1249 130 15 500 2SK1250 150 20 500 2SK1271 240 15 1400 2SK1280 150 18 500 2SK1281 120 4 700 2SK1341 100 5 900 2SK1342 100 8 9002SK1357 125 5 900 2SK1358 150 9 900 2SK1451 120 5 900 2SK1498 120 20 500 2SK1500 160 25 500 2SK1502 120 7 900 2SK1507 50 6 600 2SK1512 150 10 850 2SK1531 150 15 500 2SK1537 100 5 900 2SK1539 150 10 900 2SK1563 150 12 500 2SK1649 100 6 900 2SK1794 150 6 900 2SK2038 125 6 9002N7000 60BUZ385 125 6 500 GH30N60 180 30 600 GH30N100 250 30 1000 GH40N60 200 40 600H1245 120 12 450H13N50 150 13 500 IBF834 100 3 500 IPF440 125 8 500 IRT450 150 13 500 IRF350 150 13 500 IRF360 300 25 400 IRF440 125 8 500 IRF451 150 13 450 IRF460 300 21 500IRF620 40 5 200IRF630 75 9 200IRF634 75 250 IRF640 125 18 200IRF730 75 400 IRF740 125 10 400IRF820 50 500IRF830 75 500 IRF834 100 5 500 IRF840 125 8 500 IRF841 125 8 450 IRF842 125 7 500 IRF9610 20 1 200 IRF9630 75 200 IRF9640 125 11 200 IRF450 150 13 500IRFD113 1 80IRFD123 1 80FIRP150 180 41 100IRFP151 180 19 60IRFP240 150 31 200IRFP250 180 31 200IRFP251 180 33 150IRFP254 180 23 250IRFP350 180 16 400IRFP351 180 16 350IRFP360 250 23 400IRFP450 180 14 500IRFP452 180 12 500IRFP460 250 20 500IRFBC40 125 600IRF4P51 180 14 450 IXGH10N100 100 10 1000IXGH15N100 150 150 1000 IXGH20N60 150 20 600 IXTH50N30 150 50 300 IXTH50X20 250 50 200 IXTH67N10 200 67 100 LXTH24N50 250 24 500 LXTH30N20 180 30 200 LXTH30N30 180 30 300 LXTH30N50 300 30 500 LXTH40N30 250 40 300 LXTH50N10 150 50 100 LXTH50N20 150 50 200 LXTH67N70 200 67 100 LXTH75N10 200 75 100MTH8N50 120 8 500MTM6N80 120 6 800METH10N50 120 10 500 MTH12N50 120 12 500 MTH14N50 150 14 500 MTH20N20 120 20 200 MTH25N10 150 25 200 MTH30N10 120 30 100 MTH35N15 150 35 150 MTH40N10 150 40 100 MTH8N60 120 8 600 MTM10N20 75 10 200 MTM20N20 125 20 200 MTM25N10 100 25 100 MTM30N10 120 30 100 MTM40N10 150 40 100 MTM6N90 150 6 900 MTM8N50 100 8 500MTM8N90 150 8 900 MTP3N60 75 3 600 MTP3N100 75 3 1000 MTP4N60 50 4 600 MTP4N80 50 4 800 MTP5P25 75 5 250 MTP5N45 75 5 450 MTP5N50 75 5 500 MTP6N60 125 6 600 MTP6N60E 125 6 600 RFP50N05 132 50 50 RFP50N05L 110 50 50型号反压 (V) 电流 (A) 功率(W) β值阻尼D1175 1500 5 100 15 有D1279 1500 10 50 20 无D1391 1500 5 80 12 有D1398 1500 5 50 12 有D1403 1500 6 120 20 无D1426 1500 80 有D1427 1500 5 80 有D1428 1500 6 80 12 有D1429 1500 80 20 有D1431 1500 5 80 无D1432 1500 6 80 20 有D1433 1500 7 80 20 有D1439 1500 3 50 有D1453 1500 3 50 无D1497 1500 6 50 15 有D1545 1500 5 50 20 无D1547 1500 7 50 20 无D1554 1500 40 有D1555 1500 5 50 有D1556 1500 6 50 12 有D1651 1500 5 60 有D1652 1500 6 60 15 有D1710 1500 6 100 20 无D1878 1500 6 50 15 有D1879 1500 6 60 15 有D1880 1500 8 70 有D1881 1500 10 70 有D1884 1500 5 60 无D1885 1500 6 60 无D1887 1500 10 70 12 无D1910 1500 3 40 20 有D1959 1400 10 50 20 无D2125 1500 5 50 12 有D2251 1500 7 60 有D2252 1500 7 60 无D2253 1700 6 50 有D2334 1500 5 80 15 无D2335 1500 7 100 15 无型号 P/N 参数备注及用途型号 P/N 参数A940 P 4MHz TO-220 D1271 N 150V7A40WC2073 N 4MHz TO-220 D1273A N 100V3A40WA1304C3296 4MHz D1275A N 80V2A35WB647D667 140MHz D1266 N 80V3A35WB649D669 140MHz D1264A N 200V2A30WB834D880 60V3A30W TO-220 D1309 N 150V8A40WB546D401 200V2A20W 5MHz D1365 N 800V3A40WB772D882 40V3A10W 80MHz D1415 N 100V7A40W56105609 100MHz D1499 N 100V5A40WB1185D1762 60V3A25W 70MHz D2025 N 100V8A30WB1186D1763 50MHz TIP102 N 100V8A80WTIP42CTIP41C 100V5A65W >3MHz TOP202 TOP222TIP127TIP122 100V5A65W >1000 TOP223 TOP224封装 MJE13003 NC2335 N 400V7A40W MJE13005 N 400V4A75WC3148 N 800V3A40W MJE13007 N 400V8A80WC3309 N 400V2A20W MJE13009 N 400V12A100WC3310 N 400V5A30WC4004 N 800V1A30W C388A NC3039 N 400V7A50W C458 N N 200V4A40W C536 N N C945 N N 100V3A25W 15MHz >500 C752 N N 400V8A45W<300/140nS C1047 NC5027 N C1162 NC5249 N C1213 N N 60V3A30W 8MHz C1360 ND1138 N C1383 N 30V1A1WD1071 N 450V6A40W >500 C1473 N 参数备注及用途型号参数备注及用途N 1500/ 行TOS BUW11A N 1000/450V5A100W 电源 AF=50W PHIN 1500/600V5A50W 行 TOS BUW12A N 1000/450V10A125W 电源 AF=50W PHIN 1500/600V6A50W 行 TOS BUW13A N 1000/450V15A175W 电源 AF=50W PHIN 1700/600V6A50W 行 TOS BU2508AF N 1500/700V8A50W 电源 PHIN 1500/ 行 TOS BU2508DF N 1500/700V8A50W 行 PHIN 1500/600V5A80W 行 TOS BU2508AX N 1500/700V8A50W 电源 PHIN 1500/600V7A80W 电源 TOS BU2508DX N 1500/700V8A50W行 PHIN 1500/600V7A80W 行 TOS BU2520AF N 1500/800V10A50W 电源 PHIN 1500/600V6A80W 行 TOS BU2520DF N 1500/800V10A50W 行PHIN 1500V5A50W 电源/行 TOS BU2520AX N 1500/800V10A50W电源/行 PHIN 1500V7A50W 电源/行 TOS BU2520DX N 1500/800V10A60W行 PHIN 1400V10A50W 电源/行 TOS BU2522AX N 1500/800V10A60W电源/行 PHIN 1500/600V6A50W 电源 TOS BU2523AX N 1500/800V10A60W电源/行 PHIN 1500/600V6A50W 行 TOS BU2527AX N 1500/800V12A60W 电源/行 PHIN 1500/600V10A50W 电源 TOS BU2527DX N 1500/800V12A60W行 PHIN 1500/600V8A50W 电源 TOS C4236 N 1200/800V6A100W 电源 SHIN 1500/600V8A50W 行 TOS C4237 N 1200/800V10A50W 电源SHIN 1700/600V8A50W 行 TOS D1541 N 1500V3A50W 行 MATN 1500/600V7A50W 行 TOS C4111 N 1500/700V10A150W 电源 MATN 1500/600V8A50W 行 TOS MN650 N 1500/600V5A80W 电源SAKN 1500/600V10A50W 电源 TOS C4058 N 600/450V10A100W 电源 SHIN 1500/600V8A50W 电源 TOS D2333 N 1500/600V5A80W 行MATN 1400/600V12A200W 电源 TOS D2334 N 1500/600V5A80W 电源 MATN 900/800V5A100W 电源 TOS D2335 N 1500/600V7A100W 行MATN 1500V8A125W 电源 TOS C4706 N 900/600V14A130W 电源SAKN 1500/700V8A60W 电源 ST BUH715N N 1500/700V10A60W 电源 STN 1500/700V8A60W 行 ST C3927 N 900/600V10A120W 电源SAKN 1500/700V10A57W 电源 ST C3679 N 900/800V5A100W 电源 SAKN 1500/700V7A50W 行 ST C5287 N 900/550V5A80W 电源 SAK 型号 P/N 参数备注及用途型号 P/N 参数D2445 N 1500/800V6A50W K30A 50VIdss><5VC4745 N 1500/800V6A50W 电源 HIT K117 50VIdss><10V C4746 N 1500/800V8A50W 电源 HIT K118 50VIdss>< C5250 N 1500V8A50W 行 HIT K304 30VIdss><4VC5207A N 1500/800V10A50W 电源 HIT K1117 600V6A100W D2300 N 1500V5A50W 行 HIT K1118 600V6A45WC4297 N 500/400V12A75W 电源 SAK K1119 1000V4A100W C4927 N 1500V8A50W 行 HIT K2141 600V+/-6A35WD1959 N 1400/650V10A50W 电源 HIT K1507 600V9A50W C4589 N 1500/800V10A50W 电源 HIT K1995 900V+/-3A35W C4877 N 1500V8A50W 行 HIT K1445 450V5A30W KSD5072 N 1500/800V5A60W 行 SAM K2056 800V4A40W KSD5076 N 1500/800V5A60W 行 SAM IRFBC30KSC5802 IRFBC40RKSC5803 N 1500/800V7A50W 行 SAM IRFBC60KSC5386 N 1500/800V7A50W 行 SAM IRF530N 100V15A80W KSC5088 N 1500/800V8A50W 电源 SAM IRF9530N 100V13A75W KSD5702 N 1500V6A70W 行 SAM IRF540N 100V27A94WKSD5703 IRF9540N 100V19A94WBUS13A N 1000/450V15A175W 电源 VAL TO-3 IRF610 BUS14A N 1000/450V30A250W 电源 VAL TO-3 IRF9610 BUV48A N 1000/450V15A150W 电源 ST IRF620 200V5A40W C3552 N 1100/800V12A150W 电源 SAK IRF9620 200V5A40W C5386 N 1500/600V8A50W 电源 TOS IRF630 200V9A75W C4119 N 1500/800V15A250W 达林顿+阻尼 IRF9630系列晶振 455KHz-503KHz IRF640 200V18A125WIRF9640 200V11A125W二极管开关管快恢复整流管 IRF730稳压管阻尼管 IRF740 400V10A125W型号参数特性型号参数BC327 P 100MHz BTA08 8A双向BC337 N 100MHz BTA12 12A双向BC328 P 100MHz BTA20 20A双向BC338 N 100MHz BTA26 26A双向BC369 P 65MHz BTA41 41A双向BC546 N 300MHz BTA16 16A双向BC547 N 300MHz 2P4M 3A单向BC558 N 150MHz CR3AM 3A单向BC556 P 150MHz TLC336 3A双向BC557 P 150MHz BCR3AM 3A双向9011 N 150MHz FD312 彩电用9012 P FD315 彩电用9013 N PH2369 彩电用9014 N 150MHz 1W稳压管9015 P 100MHz 1N4728A9016 N 620MHz9018 N 700MHz 1N4732A8050 N 100MHz8550 P 100MHz 1N4736A2N5551 N 100MHz 1N4738A2N5401 P 100MHz 1N4740A 10V可控硅 1N4742A 12V1A单向 BT169 100-6 100-8 FOR1B FOR3G 1N4744A 15V 1A双向 97A6 94A4 97A4 1N4746A 18V BT136 6A双向中间引线通散热片 1N4748A 22VBT137 8A双向中间引线通散热片 1N4750A 27VBT138 10A 双向中间引线通散热片 1N4752A 33VBT139 12A双向中间引线通散热片 1N4756A 47VBTA06 6A双向中间线不通散热片 1N4764A 100V型号参数特性型号参数D820 N 1500/600V5A80W 电源 D1047 N 160V12A100W D869 N 1500/ 行 B817 P 160V12A100WD850 N 1500/700V3A65W 电源 D1559 N 100V20A100W D870 N 1500/600V5A50W 行 B1079 P 100V20A100W D905 N 1400/650W8A50W 电源 D2256 N 120V25A120W D871 N 1500/600V6A50W 行 B1494 P 120V25A120W D1204 N 500/400V15A100W 电源 D718 N 120V8A80WD898 N 行 B688 P 120V8A80WD1279 N 1400/700V10A50W 电源 D1435 N 100V15A100W D951 N 1500V3A65W 行 B1031 P 100V15A100WC1942 N 1500/800V3A50W 电源带阻三极管D1173 N 1500V5A70W 行 RN1201 RN1202 C2027 N 1500/800V5A50W 电源 RN1206 RN2201 D1175 N 1500V5A100W 行 RN1001 RN1001大功率功放管 DTA114 DTA144C3280 N 160V12A120W HiFi TOS DTC144 A1301 P 160V12A120W HiFi TOD 光藕及三端C3281 N 200V15A150W HiFi TOS 521-1 621-1A1302 P 200V15A150W HiFi TOS 631 632C5200 N 230V15A150W HiFi TOS 4N35 CNX62AA1943 P 230V15A150W HiFi TOS PC113 PC117D2155 N 180V15A150W HiFi TOS SE090 SE110B1429 P 180V15A150W HiFi TOS SE120 SE125C5198 N 140V10A100W HiFi TOS SE135 SE140A1941 P 140V10A100W HiFi TOS 78(L)06 78(L)08C5196 N 120V6A60W HiFi TOS 78(L)12 78(L)15A1939 P 120V6A60W HiFi TOS 78(L)24 79(L)05C3182 N 140V10A100W HiFi TOS 79(L)08 79(L)09A1265 P 140V10A100W HiFi TOS 79(L)15 79(L)18型号 P/N 参数备注及用途型号 P/N 参数C1514 N 80MHz Vid-L HIT C2481 NC1507 N 80MHz Vid-L NIP C2611 N N 100MHz Vid TOSC2330 NC1573 N 80MHz NF Vid MAT C2331 NC1627 N Uni TOS C2655 NC1687 N NF/ZF MAT C2688 NC1756 N >50MHz SAY C2653 NC1740 N 180MHz Uni TOS C2785 N N >80MHz Uni TOS C2878 N N 45V1A5W 200MHzNF/S-LMAT C3355 N N UHF HITC3417 NC1959 N 300MHz Uni TOS C3419 NC2001 N 70MHz Uni NIP C3420 N 50V5A10WC2068 N 95MHz Vid TOS C3807 N 30V2A15WC2120 N 120MHz Uni TOS C3789 NC2026 N 2GHz UHF NIP C3198 N N 150MHz Uni TOY C4075NC2229 N 120MHz Vid TOS C4544 NC2230 N >50MHz Vid TOS D400 N 25V1A1WC2271 N Vid TOS D471 N 30V1A1WC2258 N Vid MAT D965 NC2240 N 100MHz TOS D966 N 40V5A1WC2482 N Vid TOS D612 N 35V2A10WC2236 N Uni TOS D789 NC2371 N Vid NIP D1640 NC2383 N NF/VA TOS D415 NC2482 N Vid TOS C3946 NC2594 N 40V5A10W 150MHz D1406 N 60V3A30W C2500 N 150MHz Uni TOS。
|常用三极管参数表下表是常用三极管的一些参数以及替换型号器件型号电压电流代换型号3DG9011 50V 0.3A 2N4124 CS9011 JE9011 9011 50V 0.03A L M9011 SS90119012 40V 0.5A LM90129012(HH) 40V 0.5A SS90129012LT1 40V 0.5A A12983DG9013 40V 0.5A CS9013 JE90139013 40V 0.5A LM90139013(HH) 40V 0.5A SS90139013LT1 40V 0.5A C32653DG9014 50V 0.15A C S9014 JE90149014 50V 0.1A LM9014 SS90149014LT1 50V 0.1A C16239015 50V 0.1A LM9015 SS9015TEC9015 50V 0.15A B C557 2N3906TEC9015A 50V 0.15A B C557 2N3906TEC9015B 50V 0.15A B C557 2N3906TEC9015C 50V 0.15A B C557 2N39063DG9016 30V 0.025A JE90169016 30V 0.25A S S9016TEC9016 40V 0.025A BF240 BF254 BF594 8050 40V 1.5A SS80508050LT1 40V 1.5A KA3265ED8050 50V 0.8A BC337SDT85501 60V 10A 3DK104CSDT85502 80V 10A 3DK104CSDT85503 100V 10A 3DK104DSDT85504 140V 10A 3DK104ESDT85505 170V 10A 3DK104FSDT85506 60V 10A 3DK104CSDT85507 80V 10A 3DK104CSDT85508 100V 10A 3DK104DSDT85509 140V 10A 3DK104EED8550 50V 0.8A BC3378550 40V 1.5A LM8550 SS85508550LT1 40V 1.5A KA32652SA1015 50V 0.15A B C177 BC204 BC212 BC213 BC251 BC257 BC307 BC512 BC557 CG1015 CG673 2SC1815 60V 0.15A B C174 BC182 BC184 BC190 BC384 BC414 BC546 DG458 DG18152SC1815L 60V 0.15A B C550 2SC2240 2S26742SC2675 2SC33782SC1815LT1 60V 0.15A 9014LT12SC945 60V 0.1A BC107 BC171 BC174 BC182 BC183 BC190 BC207 BC237 BC382 BC546 BC547 BC582 DG945 2N2220 2N2221 2N2222 3DG120B 3DG4312 MMBT3904 40V 0.2A BCW72 3DG120CMMBT3906 40V 0.2A BCW70 3DG120CMMBT2222 未知 0.8A BCX19 3DG120CMMBT2222A 75V 0.6A 3DK10CMMBT5401 160V 0.5A 3CA3FMMBTA92 300V 0.5A 3CG180HBC807 50V 0.5A BC338 BC537 BC635 3DK14BBC807R 50V 0.5A BCX17 BCX17R BCW68 BCW68R BC807-W 50V 0.5A BCX17 BCW68 2SB1219ABC817 50V 0.5A BCX19 BCW65 BCX66BC817R 50V 0.5A BCX19 BCX19R BCW65 BCW65R BCX66 BCW66RBC817-W 50V 0.5A BCX19 BCW65 BCW66 2SD1820 2SD1949BC846 80V 0.1A BCV71 BCV72BC846R 80V 0.1A BCV71 BCV71R BCV72 BCV72RBC846-W 80V 0.1A BCV71 BCV72 BCV72RBC847 50V 0.1A BCW71 BCW72 BCW81BC847R 50V 0.1A BCW71 BCW71R BCW72 BCW72R BCW81 BCW81RBC847-W 50V 0.1A BCW71 BCW72 BCW81 2SC4101 2SC4102BC848 30V 0.1A BCW31 BCW32 BCW33 BCW71 BCW72 BCW81BC848R 30V 0.1A BCW31 BCW31R BCW32 BCW32R BCW33 BCW33R BCW71 BCW71R BCW72 BCW72R BCW81 BCW81RBC848-W 30V 0.1A BCW31 BCW32 BCW33 BCW71 BCW72 BCW81 2SC4101 2SC4102 2SC4117BC856 50V 0.1A BCW89BC856R 80V 0.1A BCW89 BCW89RBC856-W 80V 0.1A BCW89 2SA1507 2SA1527 BC857 50V 0.1A BCW69 BCW70 BCW89BC857R 50V 0.1A BCW69 BCW69R BCW70 BCW70R BCW89 BCW89RBC857-W 50V 0.1A BCW69 BCW70 BCW89 2SA1507 2SA1527BC858 30V 0.1A BCW29 BCW30 BCW69 BCW70 BCW89BC858R 30V 0.1A BCW29 BCW29R BCW30 BCW30R BCW69 BCW69R BCW70 BCW70R BCW89 BCW89RBC858-W 30V 0.1A BCW29 BCW30 BCW69 BCW70 BCW89 2SA1507 2SA15272SA733 60V 0.1A BC177 BC204 BC212 BC213 BC251 BC257 BC307 BC513 BC557 3CG120C 3CG4312 MMUN2111 50V 0.1A UN2111MUN2111 50V 0.1A MMUN2111UN2111 50V 0.1A FN1A4M DTA114EK RN24022SA1344MMUN2112 50V 0.1A UN2112MUN2112 50V 0.1A MMUN2112UN2112 50V 0.1A FN1F4M DTA124EK RN24032SA1342MMUN2113 50V 0.1A UN2113MUN2113 50V 0.1A MMUN2113UN2113 50V 0.1A FN1L4M DTA144EK RN24042SA1341MMUN2211 50V 0.1A UN2211MUN2211 50V 0.1A MMUN2211UN2211 50V 0.1A DTC114EK FA1A4M RN14022SC3398MMUN2212 50V 0.1A UN2212MUN2212 50V 0.1A MMUN2212UN2212 50V 0.1A DTC124EK FA1F4M RN14032SC3396MMUN2213 50V 0.1A UN2213MUN2213 50V 0.1A MMUN2213UN2213 50V 0.1A DTC144EK FA1L4M RN14042SC33952SC3356 20V 0.1A 2SC3513 2SC3606 2SC38292SC3838K 30V 0.05A B F517 BF799 2SC3015 2SC3016彩显中易损大功率三极管主要参数表型号功率(W) 反压(V) 电流(A) 功能BU208A 50 1500 5 电源开关管BU508A 75 1500 8 电源开关管BU2508AF 45 1500 8 行管*BU2508DF 125 1500 8 行管*BU2508D 125 1500 8 行管BU2520AF 45 1500 10 行管BU2520AX 45 1500 10 行管*BU2520DF 125 1500 10 行管BU2522AF 45 1500 10 行管*BU2522DF 80 1500 10 行管* BU2525DF 45 800 12 行管BUH515 60 1500 8 行管C1520 10 250 0.2 视放C1566 1.2 250 0.1 视放C1573 0.6 250 0.07 视放C1875 50 1500 3.5 电源开关管C3153 100 900 6 电源开关管C3026 50 1700 5 行管C3457 50 1100 3 电源开关管C3459 90 1100 4.5 电源开关管C3460 100 1100 6 电源开关管C3461 140 1100 8 行管*C3683 50 1500 5 行管C3686 50 1400 8 行管C3687 150 1500 8 行管C3481 120 1500 5 电源开关管C3688 150 1500 10 行管*C3883 50 1500 5 行管C3885 50 1400 7 行管C3886 50 1400 8 行管C3887 80 1400 7 行管C3888 80 1400 80 行管C3889 80 1400 80 行管*C3891 50 1400 6 行管*C3892 50 1400 7 行管*C3893 50 1400 8 行管C3895 60W 1400V 7A 行管C3896 70 1400 8 行管*C3897 180 1500 12 行管C3897 250 1500 25 行管C3998 250 1500 25 行管*C4122 60 1500 6 行管*C4124 70 1500 8 行管*C4125 70 1500 10 行管C4237 150 800 10 行管*C4269 60 1500 7 行管*C4293 50 1500 5 行管*C4294 50 1500 6 行管*C4589 50 1500 10 行管*C4742 50 1500 6 行管*C4744 50 1500 6 行管C4747 50 1500 10 行管*C4769 60 1500 7 行管C4770 60 1500 7 行管C5048 50 1500 12 行管C5088 45 1500 8 行管C5129 50 1500 6 行管C5148 50 1500 8 行管C5250 50 1500 8 行管C5297 60 1500 8 行管C5299 60 1400 8 行管C5339 50 1500 7 行管C5418 120 1500 6 行管*D1396 50 1500 2 行管*D1398 50 1500 5 行管D1402 120 1500 5 电源开关管D1403 120 1500 6 电源开关管*D1426 80 1500 3.5 行管*D1427 80 1500 5 行管*D1428 80 1500 6 行管D1433 80 1500 7 行管D1434 80 1500 5 行管*D1554 40 1500 3.5 行管D1555 50 1500 5 电源开关管*D1878 60 1500 6 行管*D1879 60W 1500V 5A 行管*D1880 70 1500 8 行管*D1881 70 1500 10 行管D1886 70 1500 8 行管D1887 70 1500 10 行管*D2125 50 1500 5 行管*D870 50 1500 5 行管功率Pcm/W 反压BVCBO 电流ICM/A(*带阻尼)进口与国产显示器常用三极管代换表型号可代用型号用途价格2SA562 CG673B、2SB689 预视放2SA670 2SA1069、2SB513 电源调整管2SA673 2SA719、2SA697 帧激励2SA715 3CF3A、2SB529 场输出管2SA778A 3CG21C、CG75-1AB 开关电源误差放大2SA778AK C3CG21G、CG75-1A 开关电源误差放大2SA844D 3CG21C、CG75-1AB 视放2SA844E 3CG21G 视放2SA940 CD568B 场输出管2SA6395 2SA778、2SA858 行激励管2SB337 B337 电源调整管2SB407 3L780 电源调整管2SB548 3CF3B、2SA794 场输出管2SB566AK CD77-1A、3CF5A 电源调整管2SB556K CD77-1A、3CF5B 电源调整2SB621 3CG23B、2SB1035 电源推动管2SC458 3DG4A、2SC664 行振荡2SC536 3DG4A、2SC2320 电源推动管2SC562 G6738、B689 预视放2SC633 3DG6B、2SC1684 行振荡管2SC634 3DG12B 行振荡管2SC643A D2027、2SD818 行输出管2SC680A 3DD205B、2SC1025 场输出2SC681 3DD102B、2SC901 行输出2SC734 3DX200B、2SC2274 行振荡管2SC828 3DG56B、2SC3330 电源误差放大管2SC935 3DD102D、2SD320 电源调整管2SC8937 D2027、2SD818 行输出管2SC1034 2SD818、2SD299 行输出管2SC1162 FA433A、2SC2068 场输出枕形校正2SC1172 D2027、2SD820 行输出管2SC1209 3DG12A、2SD734 电源误差放大管2SC1213 3DG130A、2SC2120 电源误差放大管2SC1213A 3DG12B、2SC1247A 电源误差放大2SC1214 3DA151A、2SC2002 枕形校正2SC1308 D209、2SD820 行输出管2SC1318 3DG12A、2SC2274 行激励管2SC1364 3DX2038、2SC2320 行激励管2SC1505 DA1722B、2SC1757 行视放2SC1507 DA1722B、2SC1756、2SC1757 行激励管2SC1364 3DX2038、C23020 行激励管2SC1520 DA1722B、2SC2068 预视放2SC1566 3DA151D、2SC1514 视放2SC1573 3DA87C、2SC1762 视放2SC1672 3DD102B、2SC2433 电源调整管2SC1685 3DD180、2SC1570 脉冲开关2SC1819 3DA151D、2SC2425 视放2SC1890A 3DA878、2SC2363 视放2SC1905 3DA151D、2SD1163 视放2SC1942 D209、2SD1401 行输出管2SC2233 3DD12B、2SC2373 行输出2SD201 3DD102A、2SD125A 电源调整管2SD226 3DD207、2SD315 电源调整管2SD299 D2027、2SC1308 行输出管2SD350 D2027、2SD348 行输出管2SD380 D209、2SD348 行输出管2SD869 2SD993、2SD898B 行输出管C3150 C3151、C3152 开关管BU508A BU508D、C3893、C3895、C3897 开关管彩显中易损场效应管主要参数表型号功率Pcm/W 最大电流IDM/A D-S极间耐压价格2SK534 100W 5A 800V2SK538 100 3 9002SK557 100 12 5002SK560 100 15 5002SK566 78 3 800 2SK644 125 10 500 2SK719 120 5 900 2SK725 125 15 500 2SK727 125 5 900 2SK774 120 18 500 2SK785 150 20 500 2SK787 150 8 900 2SK788 150 13 500 2SK790 150 15 500 2SK872 150 6 900 2SK955 150 9 800 2SK956 150 9 800 2SK962 150 8 900 2SK1019 300 30 500 2SK1020 300 30 5002SK1081 125 7 800 2SK1082 125 6 800 2SK1117 100 6 600 2SK1118 45 6 600 2SK1119 100 4 1000 2SK1120 150 8 1000 2SK1171 240 5 1400 2SK1198 75 3 800 2SK1249 130 15 500 2SK1250 150 20 500 2SK1271 240 15 1400 2SK1280 150 18 500 2SK1281 120 4 700 2SK1341 100 5 900 2SK1342 100 8 9002SK1357 125 5 900 2SK1358 150 9 900 2SK1451 120 5 900 2SK1498 120 20 500 2SK1500 160 25 500 2SK1502 120 7 900 2SK1507 50 6 600 2SK1512 150 10 850 2SK1531 150 15 500 2SK1537 100 5 900 2SK1539 150 10 900 2SK1563 150 12 500 2SK1649 100 6 900 2SK1794 150 6 900 2SK2038 125 6 9002N7000 0.4 0.2 60BUZ385 125 6 500 GH30N60 180 30 600 GH30N100 250 30 1000 GH40N60 200 40 600H1245 120 12 450H13N50 150 13 500IBF834 100 3 500IPF440 125 8 500IRT450 150 13 500IRF350 150 13 500IRF360 300 25 400IRF440 125 8 500IRF451 150 13 450IRF460 300 21 500IRF620 40 5 200IRF634 75 8.1 250 IRF640 125 18 200 IRF730 75 5.5 400 IRF740 125 10 400 IRF820 50 2.5 500 IRF830 75 4.5 500 IRF834 100 5 500 IRF840 125 8 500 IRF841 125 8 450 IRF842 125 7 500 IRF9610 20 1 200 IRF9630 75 6.5 200 IRF9640 125 11 200 IRF450 150 13 500 IRFD113 1 0.8 80FIRP150 180 41 100IRFP151 180 19 60IRFP240 150 31 200IRFP250 180 31 200IRFP251 180 33 150IRFP254 180 23 250IRFP350 180 16 400IRFP351 180 16 350IRFP360 250 23 400IRFP450 180 14 500IRFP452 180 12 500IRFP460 250 20 500 IRFBC40 125 6.2 600IRF4P51 180 14 450 IXGH10N100 100 10 1000IXGH15N100 150 150 1000 IXGH20N60 150 20 600 IXTH50N30 150 50 300 IXTH50X20 250 50 200 IXTH67N10 200 67 100 LXTH24N50 250 24 500 LXTH30N20 180 30 200 LXTH30N30 180 30 300 LXTH30N50 300 30 500 LXTH40N30 250 40 300 LXTH50N10 150 50 100 LXTH50N20 150 50 200 LXTH67N70 200 67 100 LXTH75N10 200 75 100MTH8N50 120 8 500MTM6N80 120 6 800METH10N50 120 10 500 MTH12N50 120 12 500 MTH14N50 150 14 500 MTH20N20 120 20 200 MTH25N10 150 25 200 MTH30N10 120 30 100 MTH35N15 150 35 150 MTH40N10 150 40 100 MTH8N60 120 8 600 MTM10N20 75 10 200 MTM20N20 125 20 200 MTM25N10 100 25 100 MTM30N10 120 30 100 MTM40N10 150 40 100 MTM6N90 150 6 900 MTM8N50 100 8 500MTM8N90 150 8 900 MTP3N60 75 3 600 MTP3N100 75 3 1000 MTP4N60 50 4 600 MTP4N80 50 4 800 MTP5P25 75 5 250 MTP5N45 75 5 450 MTP5N50 75 5 500 MTP6N60 125 6 600 MTP6N60E 125 6 600 RFP50N05 132 50 50 RFP50N05L 110 50 50型号反压(V) 电流(A) 功率(W) β值阻尼D1175 1500 5 100 15 有D1279 1500 10 50 20 无D1391 1500 5 80 12 有D1398 1500 5 50 12 有D1403 1500 6 120 20 无D1426 1500 3.5 80 有D1427 1500 5 80 有D1428 1500 6 80 12 有D1429 1500 2.5 80 20 有D1431 1500 5 80 无D1432 1500 6 80 20 有D1433 1500 7 80 20 有D1439 1500 3 50 有D1453 1500 3 50 无D1497 1500 6 50 15 有D1545 1500 5 50 20 无D1547 1500 7 50 20 无D1554 1500 3.5 40 有D1555 1500 5 50 有D1556 1500 6 50 12 有D1651 1500 5 60 有D1652 1500 6 60 15 有D1710 1500 6 100 20 无D1878 1500 6 50 15 有D1879 1500 6 60 15 有D1880 1500 8 70 有D1881 1500 10 70 有D1884 1500 5 60 无D1885 1500 6 60 无D1887 1500 10 70 12 无D1910 1500 3 40 20 有D1959 1400 10 50 20 无D2125 1500 5 50 12 有D2251 1500 7 60 有D2252 1500 7 60 无D2253 1700 6 50 有D2334 1500 5 80 15 无D2335 1500 7 100 15 无型号P/N 参数备注及用途型号P/N 参数A940 P 150V1.5A25W 4MHz TO-220 D1271 N150V7A40WC2073 N 150V1.5A25W 4MHz TO-220 D1273A N100V3A40WA1304C3296 150V1.5A20W 4MHz D1275A N 80V2A35WB647D667 120V1A0.9W 140MHz D1266 N 80V3A35WB649D669 180V1.5A 140MHz D1264A N 200V2A30WB834D880 60V3A30W TO-220 D1309 N 150V8A40WB546D401 200V2A20W 5MHz D1365 N 800V3A40WB772D882 40V3A10W 80MHz D1415 N 100V7A40W56105609 50V0.8A0.625W 100MHz D1499 N 100V5A40WB1185D1762 60V3A25W 70MHz D2025 N 100V8A30WB1186D1763 120V1.5A20W 50MHz TIP102 N 100V8A80WTIP42CTIP41C 100V5A65W >3MHz TOP202 TOP222TIP127TIP122 100V5A65W >1000 TOP223 TOP224 封装MJE13003 N 400V1.5A40WC2335 N 400V7A40W MJE13005 N 400V4A75W C3148 N 800V3A40W MJE13007 N 400V8A80W C3309 N 400V2A20W MJE13009 N 400V12A100WC3310 N 400V5A30WC4004 N 800V1A30W C388A N 25V0.02AC3039 N 400V7A50W C458 N 30V0.1A0.2WC2233 N 200V4A40W C536 N 40V0.1A0.2WC2373 N 200V7.5A40W C945 N 60V0.1A0.25W C3852A N 100V3A25W 15MHz >500 C752 N30V0.1A0.1WC4834 N 400V8A45W <300/140nS C1047 N30V0.02A65MHzC5027 N C1162 N 35V2.5A10WC5249 N C1213 N 50V0.5A0.4W D313 N 60V3A30W 8MHz C1360 N 50V0.05A1WD1138 N C1383 N 30V1A1WD1071 N 450V6A40W >500 C1473 N 300V0.07A0.75W 参数备注及用途型号参数备注及用途N 1500/600V3.5A40W 行TOS BUW11A N1000/450V5A100W 电源AF=50W PHIN 1500/600V5A50W 行TOS BUW12A N1000/450V10A125W 电源AF=50W PHIN 1500/600V6A50W 行TOS BUW13A N1000/450V15A175W 电源AF=50W PHIN 1700/600V6A50W 行TOS BU2508AF N1500/700V8A50W 电源PHI1500/700V8A50W 行PHIN 1500/600V5A80W 行TOS BU2508AX N 1500/700V8A50W 电源PHIN 1500/600V7A80W 电源TOS BU2508DX N 1500/700V8A50W 行PHIN 1500/600V7A80W 行TOS BU2520AF N 1500/800V10A50W 电源PHIN 1500/600V6A80W 行TOS BU2520DF N 1500/800V10A50W 行PHIN 1500V5A50W 电源/行TOS BU2520AX N 1500/800V10A50W 电源/行PHIN 1500V7A50W 电源/行TOS BU2520DX N 1500/800V10A60W 行PHIN 1400V10A50W 电源/行TOS BU2522AX N 1500/800V10A60W 电源/行PHIN 1500/600V6A50W 电源TOS BU2523AX N 1500/800V10A60W 电源/行PHI1500/800V12A60W 电源/行PHIN 1500/600V10A50W 电源TOS BU2527DX N1500/800V12A60W 行PHIN 1500/600V8A50W 电源TOS C4236 N1200/800V6A100W 电源SHIN 1500/600V8A50W 行TOS C4237 N1200/800V10A50W 电源SHIN 1700/600V8A50W 行TOS D1541 N 1500V3A50W 行MATN 1500/600V7A50W 行TOS C4111 N1500/700V10A150W 电源MATN 1500/600V8A50W 行TOS MN650 N 1500/600V5A80W电源SAKN 1500/600V10A50W 电源TOS C4058 N600/450V10A100W 电源SHIN 1500/600V8A50W 电源TOS D2333 N1500/600V5A80W 行MATN 1400/600V12A200W 电源TOS D2334 N1500/600V5A80W 电源MATN 900/800V5A100W 电源TOS D2335 N1500/600V7A100W 行MATN 1500V8A125W 电源TOS C4706 N 900/600V14A130W电源SAKN 1500/700V8A60W 电源ST BUH715N N1500/700V10A60W 电源STN 1500/700V8A60W 行ST C3927 N 900/600V10A120W电源SAKN 1500/700V10A57W 电源ST C3679 N900/800V5A100W 电源SAKN 1500/700V7A50W 行ST C5287 N 900/550V5A80W 电源SAK型号P/N 参数备注及用途型号P/N 参数D2445 N 1500/800V6A50W K30A 50VIdss>0.3up<5V C4745 N 1500/800V6A50W 电源HIT K11750VIdss>0.6up<10VC4746 N 1500/800V8A50W 电源HIT K11850VIdss>0.3up<1.5VC5250 N 1500V8A50W 行HIT K304 30VIdss>0.6up<4V C5207A N 1500/800V10A50W 电源HIT K1117600V6A100WD2300 N 1500V5A50W 行HIT K1118 600V6A45W C4297 N 500/400V12A75W 电源SAK K11191000V4A100WC4927 N 1500V8A50W 行HIT K2141 600V+/-6A35W D1959 N 1400/650V10A50W 电源HIT K1507600V9A50WC4589 N 1500/800V10A50W 电源HIT K1995900V+/-3A35WC4877 N 1500V8A50W 行HIT K1445 450V5A30WKSD5072 N 1500/800V5A60W 行SAM K2056800V4A40WKSD5076 N 1500/800V5A60W 行SAM IRFBC30600V3.6A74WKSC5802 IRFBC40R 600V6.2A125W KSC5803 N 1500/800V7A50W 行SAM IRFBC60KSC5386 N 1500/800V7A50W 行SAM IRF530N100V15A80WKSC5088 N 1500/800V8A50W 电源SAM IRF9530N100V13A75WKSD5702 N 1500V6A70W 行SAM IRF540N100V27A94WKSD5703 IRF9540N 100V19A94WBUS13A N 1000/450V15A175W 电源VAL TO-3 IRF610200V3.3A43WBUS14A N 1000/450V30A250W 电源VAL TO-3 IRF9610200V1.8A20WBUV48A N 1000/450V15A150W 电源ST IRF620200V5A40WC3552 N 1100/800V12A150W 电源SAK IRF9620200V5A40WC5386 N 1500/600V8A50W 电源TOS IRF630200V9A75WC4119 N 1500/800V15A250W 达林顿+阻尼IRF9630200V6.5A75W系列晶振455KHz-503KHz IRF640 200V18A125W3.57MHz-30MHz IRF9640 200V11A125W二极管开关管快恢复整流管IRF730 400V5.5A75W 稳压管阻尼管IRF740 400V10A125W型号参数特性型号参数BC327 P 50V0.8A0.625W 100MHz BTA08 8A双向BC337 N 50V0.8A0.625W 100MHz BTA12 12A双向BC328 P 30V0.8A0.625W 100MHz BTA20 20A双向BC338 N 30V0.8A0.625W 100MHz BTA26 26A双向BC369 P 25V1A.8W 65MHz BTA41 41A双向BC546 N 80V0.1A0.5W 300MHz BTA16 16A双向BC547 N 50V0.1A0.5W 300MHz 2P4M 3A单向BC558 N 30V0.1A0.5W 150MHz CR3AM 3A单向BC556 P 80V01A0.5W 150MHz TLC336 3A双向BC557 P 50V0.1A0.5W 150MHz BCR3AM 3A双向9011 N 50V0.03A0.4W 150MHz FD312 彩电用9012 P 40V0.5A0.625W FD315 彩电用9013 N 40V0.5A0.625W PH2369 彩电用9014 N 50V0.1A0.45W 150MHz 1W稳压管9015 P 50V0.1A0.45W 100MHz 1N4728A 3.3V 9016 N 30V0.025A0.4W 620MHz 1N4730A3.9V 9018 N 30V0.05A0.4W 700MHz 1N4732A 4.7V8050 N 40V1.5A1W 100MHz 1N4734A5.6V8550 P 40V1.5A1W 100MHz 1N4736A 6.8V2N5551 N 180V0.6A0.625W 100MHz 1N4738A 8.2V 2N5401 P 180V0.6A0.625W 100MHz 1N4740A 10V可控硅1N4742A 12V1A单向BT169 100-6 100-8 FOR1B FOR3G 1N4744A15V1A双向97A6 94A4 97A4 1N4746A 18V BT136 6A双向中间引线通散热片1N4748A 22VBT137 8A双向中间引线通散热片1N4750A 27VBT138 10A 双向中间引线通散热片1N4752A 33V BT139 12A双向中间引线通散热片1N4756A 47V BTA06 6A双向中间线不通散热片1N4764A 100V型号参数特性型号参数D820 N 1500/600V5A80W 电源D1047 N 160V12A100W D869 N 1500/600V3.5A50W 行B817 P 160V12A100W D850 N 1500/700V3A65W 电源D1559 N 100V20A100W D870 N 1500/600V5A50W 行B1079 P 100V20A100W D905 N 1400/650W8A50W 电源D2256 N 120V25A120W D871 N 1500/600V6A50W 行B1494 P 120V25A120W D1204 N 500/400V15A100W 电源D718 N 120V8A80WD898 N 1500V3.5A50W 行B688 P 120V8A80W D1279 N 1400/700V10A50W 电源D1435 N100V15A100WD951 N 1500V3A65W 行B1031 P 100V15A100W C1942 N 1500/800V3A50W 电源带阻三极管D1173 N 1500V5A70W 行RN1201 RN1202C2027 N 1500/800V5A50W 电源RN1206 RN2201 D1175 N 1500V5A100W 行RN1001 RN1001 大功率功放管DTA114 DTA144C3280 N 160V12A120W HiFi TOS DTC144A1301 P 160V12A120W HiFi TOD 光藕及三端C3281 N 200V15A150W HiFi TOS 521-1 621-1A1302 P 200V15A150W HiFi TOS 631 632C5200 N 230V15A150W HiFi TOS 4N35 CNX62A A1943 P 230V15A150W HiFi TOS PC113 PC117 D2155 N 180V15A150W HiFi TOS SE090 SE110B1429 P 180V15A150W HiFi TOS SE120 SE125C5198 N 140V10A100W HiFi TOS SE135 SE140A1941 P 140V10A100W HiFi TOS 78(L)06 78(L)08 C5196 N 120V6A60W HiFi TOS 78(L)12 78(L)15A1939 P 120V6A60W HiFi TOS 78(L)24 79(L)05C3182 N 140V10A100W HiFi TOS 79(L)08 79(L)09 A1265 P 140V10A100W HiFi TOS 79(L)15 79(L)18 型号P/N 参数备注及用途型号P/N 参数C1514 N 300V0.1A1.25W 80MHz Vid-L HIT C2481 N150V1.5A20WC1507 N 300V0.2A15W 80MHz Vid-L NIP C2611 N300V0.1A0.8WC1569 N 300V0.15A12.5W 100MHz Vid TOS C2330 N300V0.1A1WC1573 N 300V0.07A1W 80MHz NF Vid MAT C2331 N80V0.7A1WC1627 N 80V0.4A0.8W Uni TOS C2655 N 60V2A0.9WC1687 N 40V0.03A0.4W NF/ZF MAT C2688 N300V0.2A10WC1756 N 300V0.2A15W >50MHz SAY C2653 N350V0.2A15WC1740 N 50V0.1A0.3W 180MHz Uni TOS C2785 N60V0.1A0.25WC1815 N 60V0.15A0.4W >80MHz Uni TOS C2878 N50V0.3A0.4WC1846 N 45V1A5W 200MHzNF/S-LMAT C3355 N20V0.1A0.6WC1906 N 30V0.05A1GHz UHF HIT C3417 N 300V0.1A5W C1959 N 35V0.5A0.5W 300MHz Uni TOS C3419 N40V0.8A5WC2001 N 30V0.7A0.6W 70MHz Uni NIP C3420 N50V5A10WC2068 N 300V0.05A1.5W 95MHz Vid TOS C3807 N30V2A15WC2120 N 30V0.8A0.6W 120MHz Uni TOS C3789 N300V0.1A7WC2026 N 30V0.05A0.25W 2GHz UHF NIP C3198 N60V0.15A0.4WC2060 N 40V1A0.75W 150MHz Uni TOY C4075 N300V0.2A10WC2229 N 200V0.05A0.8W 120MHz Vid TOS C4544 N300V0.1A8WC2230 N 200V0.1A0.8W >50MHz Vid TOS D400 N25V1A1WC2271 N 300V0.1A0.9W Vid TOS D471 N 30V1A1W C2258 N 300V0.1A4W Vid MAT D965 N 40V5A0.75W C2240 N 120V0.1A0.3W 100MHz NF.rd TOS D966 N40V5A1WC2482 N 300V0.1A0.9W Vid TOS D612 N 35V2A10W C2236 N 30V1.5A0.9W Uni TOS D789 N 100V1A0.9W C2371 N 300V0.1A10W Vid NIP D1640 N 120V2A1.2WC2383 N 160V1A0.9W NF/VA TOS D415 N 120V0.8A10W C2482 N 300V0.1A0.9W Vid TOS C3946 N 350V0.2A15W C2594 N 40V5A10W 150MHz D1406 N 60V3A30W C2500 N 30V2A0.9W 150MHz Uni TOS。